Federal Court Decisions

Decision Information

Decision Content

Date: 20160608


Docket: T-1364-14

Citation: 2016 FC 580

Ottawa, Ontario, June 8, 2016

PRESENT:     The Honourable Madam Justice Mactavish

BETWEEN:

BRISTOL-MYERS SQUIBB CANADA CO., BRISTOL-MYERS SQUIBB HOLDINGS IRELAND AND NOVARTIS AG

Applicants

and

TEVA CANADA LIMITED AND

THE MINISTER OF HEALTH

Respondents

PUBLIC JUDGMENT AND REASONS

(Confidential Judgment and Reasons released May 27, 2016)


TABLE OF CONTENTS

[Blank/ En blanc]

Para.

I.          Introduction………………………………………………………………………

1

II.         Background………………………………………………………………………

9

III.       The Development of Atazanavir…………………………………………………

27

IV.       The ’840 Patent……………………………………………………………………

51

A)        The Burden and Standard of Proof………………………………………

54

B)        The Test for Obviousness………………………………………………

58

C)        Is Teva’s Allegation of Obviousness Justified?…………………………

62

(i)         The Identity of the Person Skilled in the Art ……………………

63

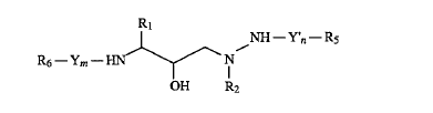
(ii)        The Relevant Common General Knowledge……………………

64

(iii)       Were pages 200 and 201 of the AU ’479 Patent Application Publically Available as of April 22, 1996?………………………

72

(iv)       Was the European Patent Office Letter Publically Available as of April 22, 1996?…………………………………………………

95

(v)        The Inventive Concept of the ’840 Patent………………………

104

(a)        Legal Principles Relating to the Identification of a Patent’s Inventive Concept…………………………………………

107

(b)        Findings Regarding the Inventive Concept of the ’840 Patent………………………………………………………

120

(vi)       Were the Differences between the State of the Art and the Inventive Concept of the ’840 Patent Obvious?…………………

147

(a)        Was it Obvious to Start with Example 22B of the ’AU 479 Patent? ……………………………………………………

149

(b)        Was it Obvious to Start with the Azapeptide Backbone?

183

(vii)      Were the Modifications to the Azapeptide Backbone More or Less Self-evident?…………………………………………………

189

(viii)      Conclusion on Obviousness………………………………………

214

D)        Anticipation………………………………………………………………

222

(i)         Legal Principles Relating to Anticipation…………………………

225

(ii)        The Test for Anticipation…………………………………………

229

(iii)       Is Teva’s Allegation of Anticipation Justified?…………………

238

(iv)       Conclusion Regarding Anticipation………………………………

264

E)         Conclusion Regarding the ’840 Patent……………………………………

265

V.        The ’736 Patent……………………………………………………………………

266

A)        Claims Construction………………………………………………………

266

(i)         Legal Principles Governing the Construction of a Patent and its Claims……………………………………………………………

282

(ii)        The Applicants’ Position on Construction……………………

285

(iii)       Teva’s Position on Construction………………………………

306

(iv)       Construction Analysis…………………………………………

339

(v)        Conclusion on the Proper Construction of the ’736 patent……

374

B)        Is Teva’s Allegation of Obviousness Justified?………………………

375

(i)         The Development of the Type-I Atazanavir Bisulfate Salt……

389

(ii)        The Identity of the Person Skilled in the Art…………………

403

(iii)       The Relevant Common General Knowledge…………………

405

(iv)       The Inventive Concept of the ’736 Patent……………………

413

(a)        Bioavailability…………………………………………

418

(b)        Crystallinity……………………………………………

427

(c)        Stability…………………………………………………

431

(d)        The In Situ Transformation Behaviour…………………

435

(e)        Conclusion Regarding the Inventive Concept of the ’736 Patent……………………………………………………

446

(v)        Were the Differences Between the State of the Art and the Inventive Concept of the ’736 Patent Obvious?…………………

448

(a)        The Extent to Which an Inventor has to be Able to Predict the Advantageous Properties of a Compound for the Invention of the Compound to be Obvious………………

449

(b)        The Application of these Principles to this Case…………

481

(vi)       Conclusion on Obviousness………………………………………

509

C)        Conclusion Regarding the ’736 Patent……………………………………

511

VI.       Costs………………………………………………………………………………

512


I.                   Introduction

[1]               Since its effects on the human population were recognized nearly 40 years ago, the Human Immunodeficiency Virus has proved to be a scourge of unimaginable proportions. The virus, and the Acquired Immunodeficiency Syndrome that it causes, have claimed more than 34 million lives, and there are nearly 40 million others living with the virus.

[2]               Left untreated, the HIV virus causes a deterioration of the patient’s immune system, which in turn leads to the development of the opportunistic infections that are associated with full-blown AIDS, a condition that was, for many years, almost invariably fatal.

[3]               The scientific community has searched long and hard to find treatments that can either cure HIV/AIDS, or allow the virus to be managed. The discovery of protease inhibitors in the 1990s marked a breakthrough in the treatment of patients infected with HIV.

[4]               One example of this class of medications is a “second generation” protease inhibitor called atazanavir. The applicants say atazanavir is one of the most important HIV drugs ever developed, and that it was the preferred protease inhibitor-based HIV treatment for nearly a decade.

[5]               There are two patents involving atazanavir listed by the applicants on the Register maintained by Health Canada under section 4 of the Patented Medicines (Notice of Compliance) Regulations, SOR/93-133, as amended (PM(NOC) Regulations), which are the patents at issue in this proceeding.  Canadian Letters Patent No. 2,250,840 (the ’840 patent) is owned by Novartis AG, whereas Patent No. 2,317,736 (the ’736 patent) is owned by Bristol-Myers Squibb. Atazanavir is sold in Canada by Bristol-Myers Squibb Canada Co. under the brand name “REYATAZ®, in accordance with a Notice of Compliance received from the Minister of Health.

[6]               The ’840 patent pertains to the invention of atazanavir and expires on April 14, 2017. The ’736 patent pertains to the invention of atazanavir bisulfate. It expires on December 22, 2018.

[7]               Teva Canada Limited wants to sell atazanavir in Canada, and is seeking to obtain a Notice of Compliance from the Minister of Health to allow it to do so.  On April 22, 2014, Teva served a Notice of Allegation (NOA) on Bristol-Myers Squibb Canada Co., alleging, amongst other things that both the ’840 patent and the ’736 patent are invalid on a number of bases, including anticipation, obviousness, and lack of utility.  Infringement is not an issue in this case.

[8]               By this proceeding, the applicants seek to prohibit the Minister from issuing a Notice of Compliance to Teva until the expiration of both the ’840 and ’736 patents. I have concluded that Teva’s allegations of invalidity are not justified as they relate to the ’840 patent. An order pursuant to section 6 of the PM(NOC) Regulations prohibiting the respondent Minister of Health from issuing a Notice of Compliance to Teva for its atazanavir product until after the expiry of the ’840 patent will therefore be granted. I have, however, concluded that Teva’s allegation of obviousness has been justified insofar as the ’736 patent is concerned. Consequently, the application for a prohibition order in relation to the ’736 patent will be dismissed.

II.                Background

[9]               In the early 1980s, physicians observed that members of certain patient populations (such as homosexual men, hemophiliacs and intravenous drug users) were presenting suffering from unusual infections and severely compromised immune systems. Given the similarity in the patients’ symptoms, it was hypothesized that the underlying cause of the patients’ symptoms was a transmissible agent.

[10]           Shortly thereafter, the HIV retrovirus was identified. There are two strains of HIV – HIV type 1 and HIV type 2. The more common virus, and the one that predominates in the North American population, is HIV-1. HIV-2 infection is concentrated in Africa.

[11]           It was determined that HIV attacks certain cells of the immune system, leading to an inability to fight infection. Left untreated, the virus ultimately compromises the immune system to the point that the patient develops AIDS, a condition that leads to the patient’s death. Death is usually the result of an opportunistic infection, that is, a secondary infection that thrives because of the body’s weakened immune system.

[12]           Research in the mid-1980s determined the virus’ mechanism of replication, and much of the ensuing research focussed on developing drugs that would interrupt the virus’ replication process, thereby preventing further infection.

[13]           The first class of anti-HIV drugs emerged in 1987. These drugs were known as nucleotide reverse transcriptase inhibitors (or NRTIs). NRTIs impede viral reverse transcriptase from converting viral RNA to DNA, and were initially administered as a monotherapy using a single NRTI.

[14]           Although NRTIs have potent initial activity against HIV in cell cultures, they had little impact on patient survival rates when used as a monotherapy because of poor patient compliance with medication regimens, and the development of drug resistance. The HIV virus replicates very quickly, with billions of copies of the virus being made in a single day. This rapid replication leads to mutations of the viral genome, which can lead to the development of drug resistance. Drug resistance has presented a significant challenge in the development of HIV drugs.

[15]           By the mid-1990s, the Federal Drug Administration in the United States had approved five different NRTIs for use in the treatment of HIV infection. Each of these drugs caused unpleasant side-effects, however, and each failed to provide any long-term benefit as a stand‑alone treatment. Indeed, by 1992, it was becoming apparent that HIV treatment with NRTIs alone was not advancing, and that other forms of treatment needed to be developed.

[16]           In 1995, a new class of HIV medication was introduced, known as protease inhibitors. The first protease inhibitors to reach the market were saquinavir, ritonavir and indinavir.

[17]           Unlike NRTIs, protease inhibitors target HIV protease, a protein that plays an essential role in the viral replication process. Proteases are enzymes that break down other proteins by hydrolysis of the amide (peptide) bond that links amino acids together. Since HIV protease is required for the replication of HIV, it had been a target for the development of anti-HIV drugs.

[18]           HIV protease contains several pockets into which the side chains of its peptide substrates bind. By binding to the active site of protease, protease inhibitors prevent it from binding to amino acid chains, inhibiting viral maturation, thereby interfering with viral replication.

[19]           According to a well-known nomenclature system, peptidic side chains that bind to a protease are characterized as …P3-P2-P1*P1’-P2’-P3’… where * denotes the location of the scissile bond.  The scissile bond is the amide bond that is cleaved or hydrolyzed by the HIV protease.

[20]           The binding of a compound to an enzyme is often analogized to a lock and key, where the active site of the protein is the lock into which the specific substrate (the key) fits and binds. Upon binding, each “P” sidechain fits into a complimentary “S” pocket of the protease. This binding mechanism is depicted below:

Peptide

 

Backbone

 
Zone de Texte: P Sidechains

[21]           The goal of protease inhibitor design was, therefore, to develop a molecule that looks enough like the protein to which protease would naturally cleave that it can attach itself to the protease enzyme and stop it from acting on its usual target. By mimicking peptide substrates, protease inhibitors bind to HIV, thereby preventing hydrolysis and arresting HIV infection. Inhibitors that mimic peptide substrates but are modified such that they are unable to be cleaved are referred to as peptidomimetics.

[22]           Protease inhibitors are considered to be some of the most potent anti-retroviral drugs that have been developed to date, and they have had had a major impact on patient survival rates. There were difficulties, however, with first-generation protease inhibitors such as saquinavir, ritonavir and indinavir. Amongst other problems, the drugs had to be taken in large quantities, due to the fact that little of the medication made its way into the patient’s blood, a problem known as poor bioavailability. The medications also had to be taken multiple times daily, on a precise schedule, making strict compliance with the medication regime difficult for patients. Moreover, the failure of a patient to adhere to the dosing schedule allowed the HIV protease genome to mutate, resulting in the development of resistance to the medication, often after only a few months of use.

[23]           As a consequence, there was a strong motivation in the scientific community to develop improved “second generation” protease inhibitors in the late 1980s and early 1990s, and many academic institutions and more than a dozen research-based pharmaceutical companies were working on the problem. One such company was Ciba-Geigy Ltd. (which subsequently became Novartis).  It was Ciba-Geigy’s research that led to the discovery of atazanavir or REYATAZ®.

[24]           REYATAZ® came on the market in 2003, and it has been one of the recommended treatments for HIV since then. According to the evidence of Dr. Jay Dobkin, an infectious disease specialist with decades of clinical experience treating patients infected with HIV, the introduction of REYATAZ® responded to an unmet need by providing an effective treatment with a high barrier to resistance. REYATAZ® encouraged significant patient compliance because it could be administered once a day, as a result of its inherent bioavailability. In Dr. Dobkin’s view, REYATAZ®’s better toxicity and side-effect profiles also gave it a significant advantage over first-generation protease inhibitors.

[25]           Based upon his years of clinical experience, Dr. Dobkin states that with proper adherence, a drug regimen including REYATAZ® can supress viral replication indefinitely, dramatically improving the life expectancy of individuals infected with HIV. Dr. Dobkin is of the opinion that REYATAZ® is more effective than the first-generation protease inhibitors, and that it remains one of the best of the second-generation protease inhibitors. The applicants also provided evidence from Mr. Tom Brogan, an economist with experience in the pharmaceutical industry, attesting to the successful commercial performance of REYATAZ®.

[26]           Indeed, Dr. Richard Ogden - one of Teva’s own experts - acknowledged that the development of atazanavir involved “a fine effort” and that it “met an unmet need”.

III.             The Development of Atazanavir

[27]           Evidence regarding the development of atazanavir was provided by Dr. Alexander Fässler. Dr. Fässler is a research scientist at Ciba-Geigy, and is one of the inventors named in the ’840 patent.

[28]           In 1989, Dr. Fässler joined a project at Ciba-Geigy which was focussing on potential new treatments for HIV. This project led to the development of atazanavir some six years later.

[29]           Dr. Fässler’s team employed a medicinal-chemistry strategy based on analyzing the structure and activity of candidate compounds. This involved the iterative synthesis and testing of numerous compounds. The team then tried to understand how the structural features of the compounds that they had studied affected the compounds’ properties, and used these results to try to design improved compounds.

[30]           The first stage of the project focussed on identifying inhibitors that bound well to HIV protease. The team at Ciba-Geigy spent the years between 1989 and 1993 developing compounds that showed good enzymatic activity and were selective for the protease enzyme. By 1993, they had identified two classes of protease inhibitors that showed promise, with each class using a different backbone from which various compounds could be made by substituting the side chains. One class used a Phe-C-Phe backbone, and the other was based on an azapeptide backbone. It was from this latter group that atazanavir was eventually developed.

[31]           The second stage of the research process involved finding a protease inhibitor that had favourable pharmacological properties such as high cellular activity and good bioavailability. Cellular activity is a measure of a compound’s effectiveness in inhibiting HIV replication in living cells infected with HIV. Due to the complexities of cellular processes, it was impossible to predict prior to 1996 whether a compound that bound tightly to HIV protease - that is, one that had good enzymatic activity - would also have high cellular activity.

[32]           Oral bioavailability is a measure of the blood levels (or blood concentration) of a drug following oral administration. Prior to the discovery of atazanavir, it had been difficult to find a protease inhibitor that had good oral bioavailability - one that could provide blood levels in excess of the concentration required to prevent HIV replication in living cells. Indeed, as was noted earlier, one of the problems with first-generation protease inhibitors such as saquinavir, ritonavir and indinavir was their poor bioavailability, which limited their effectiveness as a treatment for HIV infection.

[33]           The applicants say that finding a protease inhibitor with favourable pharmacological properties proved to be extremely difficult because of the unpredictable impact of structural changes on properties such as cellular activity and bioavailability. However, because the Phe‑C‑Phe and azapeptide classes of inhibitors were both considered promising, Ciba-Geigy investigated both, in parallel, in an attempt to identify a compound with favourable pharmacological properties.

[34]           According to Dr. Fässler, initial research efforts involving the azapeptide group resulted in compounds with good cellular activity, but poor bioavailability. Ciba‑Geigy therefore focussed primarily on the Phe‑C‑Phe series of compounds in 1992 and 1993, paying close attention to a lead candidate and its variants.  By 1995, however, the results of clinical trials of the Phe‑C‑Phe compounds were discouraging and work on these compounds was subsequently abandoned.

[35]           Although the focus of attention at this time had been primarily on the Phe‑C‑Phe series of compounds, some work was also being done on a completely new and different class of compounds using a different backbone. Based upon Ciba‑Geigy’s experience with the Phe‑C‑Phe series of compounds, Dr. Fässler’s team hypothesized that a nitrogen‑based backbone might provide greater flexibility than compounds with the Phe‑C‑Phe backbone.

[36]           Azapeptides, sometimes also known as “hydroxyethyl hydrazines” or “hydrazides”, are peptidomimetics having a nitrogen-nitrogen (-N-N-) bond in the backbone. The azapeptide backbone is illustrated below, as are six locations on the molecule denoted as P3-P2-P1 and P1’-P2’-P3’:

[37]           Without making and testing compounds with the azapeptide backbone, however, the Ciba-Geigy team was unable to predict how the cellular activity and bioavailability would be impacted by such a fundamental change in structure. Nor could the team predict the impact that any given substitution would have on a compound’s activity or bioavailability.

[38]           The discovery of azapeptides and the results of some of Ciba-Geigy’s initial azapeptide experiments were reported in a 1993 article by Dr. Fässler et al.: “Novel Pseudosymmetric Inhibitors of HIV-1 Protease” (1993) 13(12) Bioorg. Med. Chem. Lett. 2837 [Fässler 1993].

[39]           This paper reported that the Ciba-Geigy team had been able to achieve improved enzymatic activity by replacing a phenyl substituent at the P1’ position with a cyclohexyl group and symmetrical substitution with two acetyl-valine residues in the areas marked “amino acid” in the above diagram. This resulted in a new lead compound known as CGP 53820.

[40]           CGP 53820 had good binding affinity and it was selective and had good enzymatic test results. It was not, however, a viable drug candidate because it did not possess suitable pharmacological properties. The cellular activity of the compound was only moderate, and in vivo experimentation revealed that it had poor bioavailability. From this, the Ciba-Geigy team understood that high enzymatic activity did not necessarily translate to high cellular activity and bioavailability. It was, moreover, proving difficult to design an azapeptide that had good bioavailability, and it could not be predicted what effect structural changes would have on the pharmacological properties of compounds.

[41]           In 1994, the Ciba-Geigy team began working on analogues of CGP 53820 in an attempt to determine which structural changes, if any, would result in improved cellular activity and bioavailability.

[42]           One CGP 53820 analogue that did show promise was a compound known as CGP 61783. This compound is central to Teva’s obviousness argument, as it had been disclosed in a 1993 Australian patent application, although the extent of that disclosure is in dispute. CGP 61783 was promising, inasmuch as it had excellent binding affinity and high cellular activity, but it too had poor bioavailability.

[43]           Dr. Fässler’s team then modified CGP 61783 to create prodrugs – that is, compounds that are converted within the body into pharmacologically active drugs. However, the prodrugs of CGP 61783 that were made and tested showed only a slight increase in bioavailability, and the team decided to abandon this line of inquiry.

[44]           In tandem with its prodrug strategy, the Ciba-Geigy team also experimented with structural modifications to CGP 61783 in an effort to increase bioavailability without negatively impacting cellular activity. While Dr. Fässler’s team was able to generate compounds with good cellular activity using this approach, the bioavailability of the compounds synthesized remained unacceptably low.

[45]           In 1995, however, Dr. Fässler and his team achieved a dramatic increase in bioavailability with a CGP 61783 derivative called CGP 70726.  It provided the best combination of cellular activity and bioavailability that had been observed in this series of compounds. As a result, CGP 70726 was promoted for further investigation.

[46]           In the period leading up to early 1995, Ciba-Geigy had spent millions of dollars on its protease inhibitor development project, and had 20 chemists, biologists and technicians working full-time on the project. By this point, Dr. Fässler and his team had synthesized and tested a vast number of compounds, and had performed extensive bioavailability testing in mice.

[47]           Despite the teams’ recent success with CGP 70726, in early 1995, management at Ciba-Geigy decided to shut down the protease inhibitor program because none of the compounds that had been synthesized to that point had pharmacological properties that would provide a competitive advantage over existing protease inhibitors. Dr. Fässler and his team were given a final six months to come up with a suitable candidate or the program would be terminated.

[48]           Ciba-Geigy’s team therefore focussed their attention on developing compound analogues of CGP 70726, spending over a million dollars making and testing approximately 100 derivatives of CGP 70726 as part of the final push that led to the discovery of atazanavir. The CGP 70726 derivative that demonstrated the best profile was identified as CGP 73547, now known as atazanavir.

[49]           Dr. Fässler’s team was surprised at the magnitude by which atazanavir’s pharmacological properties exceeded those of saquinavir, as well as the other CGP 70726 analogues they had evaluated. Atazanavir’s cellular activity was three times that of saquinavir, and its bioavailability was 60 times than of saquinavir. Moreover, atazanavir’s plasma concentration was significantly higher than each of the other CGP 70726 analogues that the team had studied, and its cellular activity was also very good. Plasma concentration levels also rose from 30 to 90 minutes after administration, suggesting that atazanavir had a longer half-life in the body than other compounds.

[50]           Based upon these results, atazanavir was recommended for clinical development in the spring of 1996. In 2003, following the completion of clinical studies, atazanavir was approved for sale in the United States and Canada as REYATAZ®.

IV.              The ’840 Patent

[51]           Atazanavir is disclosed in the ’840 patent. The patent was filed on April 14, 1997, and claims a priority date of April 22, 1996, which, the parties agree, is the relevant date for the obviousness and anticipation analyses.

[52]           The ’840 patent discloses azapeptide derivatives for the inhibition of retroviral aspartate proteases, including that of HIV. Example 46 discloses the synthesis and characterization of atazanavir having the following chemical structure:

[53]           The ’840 patent has 36 claims. The only claims being asserted by the applicants are claims 20 and 25. I do not understand there to be any disagreement between the parties as to the proper construction of the claims. Claim 20 is a claim to atazanavir or a salt thereof. Claim 25 is a claim to a pharmaceutical composition comprising atazanavir or a pharmaceutically acceptable salt thereof for treatment of a disease that is responsive to a retroviral protease.

A)                The Burden and Standard of Proof

[54]           Before considering the validity issues raise by Teva, it is first necessary to identify the burden and standard of proof in proceedings under subsection 6(1) of the PM(NOC) Regulations. I do not understand there to be any disagreement between these parties on these points.

[55]           Insofar as the validity of the ’840 patent is concerned, the patent will be presumed to be valid, in the absence of evidence to the contrary.  If a generic manufacturer fails to adduce any evidence on a ground of invalidity, the presumption is not rebutted.

[56]           However, if the generic adduces some evidence which, if accepted, is capable of establishing the invalidity of the patent, thereby putting the allegations of invalidity “in play”, the burden will then be on the applicant to establish on a balance of probabilities that all of the allegations of invalidity are not justified: see Patent Act, R.S.C. 1985, c. P-4, s. 43(2); AstraZeneca Canada Inc. v. Pharmascience Inc., 2014 FCA 133, at paras. 32-34.

[57]           Although numerous allegations of invalidity were advanced in Teva’s NOA in relation to the ’840 patent, only two were pursued at the hearing of this matter: obviousness and anticipation. My task is to decide if Teva’s allegations are justified. I will deal first with the issue of obviousness.

B)                 The Test for Obviousness

[58]           I understand the parties to agree that the test for obviousness is that identified by the Supreme Court of Canada in in Apotex Inc. v. Sanofi-Synthelabo Canada Inc., 2008 SCC 61 [Plavix #1] at paragraph 67. There, the Court adopted the following four-step approach to an inquiry into whether a claimed invention is obvious:

(1)        (a)        Identify the notional “person skilled in the art”;

(b)        Identify the relevant common general knowledge of that person;

(2)        Identify the inventive concept of the claim in question or if that cannot readily be done, construe it;

(3)        Identify what, if any, differences exist between the matter cited as forming part of the “state of the art” and the inventive concept of the claim or the claim as construed; and

(4)        Viewed without any knowledge of the alleged invention as claimed, do those differences constitute steps which would have been obvious to the person skilled in the art or do they require any degree of invention?

[59]           In the context of the fourth factor, the Court accepted that it may be appropriate to consider an “obvious to try” analysis.  As to when such an analysis will be appropriate, Justice Rothstein stated that:

In areas of endeavour where advances are often won by experimentation, an “obvious to try” test might be appropriate.  In such areas, there may be numerous interrelated variables with which to experiment.  For example, some inventions in the pharmaceutical industry might warrant an “obvious to try” test since there may be many chemically similar structures that can elicit different biological responses and offer the potential for significant therapeutic advances.

[Plavix #1 at para. 68]

[60]           If the Court determines that an “obvious to try” test is warranted, Plavix #1 teaches that, depending upon the evidence in each individual case, the following non-exhaustive list of factors should be taken into consideration at the fourth step of the obviousness inquiry:

1.         Is it more or less self-evident that what is being tried ought to work?  Are there a finite number of identified predictable solutions known to persons skilled in the art?

2.         What is the extent, nature and amount of effort required to achieve the invention?  Are routine trials carried out or is the experimentation prolonged and arduous, such that the trials would not be considered routine?

3.         Is there a motive provided in the prior art to find the solution the patent addresses?

[Plavix #1 at para. 69]

[61]           Insofar as the degree of effort that was required to achieve the invention is concerned, the Supreme Court stated that where, for example, the inventor and his or her team were able to arrive at their invention “quickly, easily, directly and relatively inexpensively, in light of the prior art and common general knowledge”, this may support a finding of obviousness, unless the inventors were working at a level and their knowledge base was higher than that which should be attributed to person skilled in the art: Plavix #1 at paras. 70-71.

C)                Is Teva’s Allegation of Obviousness Justified?

[62]           Before considering the conflicting evidence on this issue, I would start by noting that although the applicants take issue with the way that certain of Teva’s experts approached their tasks, both sides agree that all of the experts providing evidence in this case are qualified to offer the opinions they have given.

(i)                  The Identity of the Person Skilled in the Art

[63]           The parties also agree that for the purpose of the obviousness analysis, the person skilled in the art or “POSITA” is a composite person or multidisciplinary drug development team comprising medicinal or organic chemists, molecular biologists, pharmacologists, biochemists, with a few years of practical experience in aspartyl proteases, including HIV protease.

(ii)                The Relevant Common General  Knowledge

[64]           As used in patent law, the term “common general knowledge” refers to “knowledge generally known by persons skilled in the relevant art [skilled persons] at the relevant time”: Plavix #1 at para. 37. Unlike “prior art”, which refers to all previously disclosed information in the field, however obscure, information only becomes common general knowledge if the POSITA would become aware of it and accept it as “a good basis for further action”: Mylan Pharmaceuticals ULC v. Eli Lilly Canada Inc., 2016 FCA 119 at para. 24, citing General Tire& Rubber Co. v. Firestone Tyre & Rubber Co., [1971] F.S.R. 417, (1972) R.P.C. 457 at 483 (C.A.).

[65]           I will address the state of the common general knowledge in April of 1996 in greater detail when I examine each of Teva’ allegations of obviousness. I do not, however, understand there to be any dispute that the information described below was part of the common general knowledge at the material date.

[66]           In April of 1996, there were many research groups working on identifying novel HIV/AIDS treatments. The protease inhibitors known at that time had drawbacks in terms of their pharmacological properties, which led to problems when they were used as HIV treatments. All of the known protease inhibitors had poor bioavailability, which required patients to take large doses of medication, multiple times each day.

[67]           Dosing frequency requirements contributed to patient non-compliance, incomplete response and viral resistance, which was a major problem with first-generation protease inhibitors. Patients also suffered side-effects from their medication caused by its lack of selectivity.

[68]           There was a broad selection of compounds that constituted possible starting points in developing an improved protease inhibitor, of which azapeptides were one. While there is a dispute between the parties as to whether a compound identified in an example in an Australian patent would have been a logical starting point in looking for a better protease inhibitor, the POSITA would have known that azapeptides were on the easier end of the scale of synthetic difficulty.

[69]           The POSITA would, moreover, have been aware that the development of compounds with both antiviral potency and suitable pharmacokinetic properties had proved difficult, and that finding a protease inhibitor with good bioavailability was presenting a considerable challenge. The POSITA would also have been aware that the properties of newly-made compounds, including bioavailability, are not predictable, and that enzyme activity and cellular activity are not necessarily correlated.

[70]           While there is no substantial disagreement between the parties as to the state of the common general knowledge at the material date, there is a real dispute as to what was available as prior art as of April 22, 1996.

[71]           Insofar as the state of the art is concerned, Teva relies on an Australian patent application as the starting point in their obviousness analysis. This takes us to the first area of dispute between the parties, which is whether the portion of the Australian patent on which Teva relies was indeed part of the prior art as of April 22, 1996.

(iii)               Were pages 200 and 201 of the AU ’479 Patent Application Publically Available as of April 22, 1996?

[72]           The subject matter defined by a claim in a patent must not have been obvious to the skilled person having regard to the information that was publicly available as of the claim date or one year before the Canadian filing date which, in this case, is April 22, 1996: Patent Act, s. 28.3  

[73]           Teva’s NOA refers to AU 9352479 (AU ’479), an Australian patent that was originally filed with the Australian Patent Office by Dr. Fässler and his team on December 17, 1993. The patent application was laid open to the public on July 7, 1994, and according to the document produced by Teva, the publication date of the accepted patent application was October 3, 1996.

[74]           AU ’479 is entitled “Antiretroviral Hydrazine Derivatives” and it discloses azapeptides suitable as inhibitors of HIV protease having “advantageous pharmacological properties”. The patent describes a genus that includes billions of compounds, and covers two classes of compounds which it identifies as formula I and formula II compounds.  The patent states that “compounds of formula II are suitable as inhibitors of retroviral aspartate proteases, especially as inhibitors of the protease of HIV-1 or HIV-2, and are suitable for the treatment of retroviral diseases, such as AIDS or its precursors”.

[75]           The disclosure of the AU ’479 patent identifies the “most preferred compounds” as being the compounds mentioned in the examples and their salts. There are some 51 different examples cited in the patent application, some that include many different compounds, with some 240 different compounds ultimately being identified in the examples.

[76]           Example 22B is one of seven compounds identified in Example 22. This is the compound that Ciba-Geigy called CGP 61783.

[77]           Example 22B has the following structure:

[78]           Teva says that Example 22B is a potent inhibitor of HIV-1 protease with excellent antiviral activity and good bioavailability. Teva’s medicinal chemist, Dr. Richard Ogden, submits that in trying to develop a better protease inhibitor, Example 22B would have been a good place to start. This, he says, is because the Example 22B compound was specifically claimed in the AU ’479 patent application, from which the POSITA would have understood that it was an important compound.

[79]           The applicants contend that Teva’s argument is based upon a mistaken premise. While accepting that the compound described as Example 22B of the AU ’479 patent was disclosed at the time that the patent application was filed in December of 1993, the applicants say that the Example 22B compound was not specifically claimed in AU ’479 when the patent application was originally filed.

[80]           In support of this argument, the applicants note that the first 199 pages of the patent have the December 17th, 1993 filing date of the patent noted in the margin of each page. However, on pages 200 and 201 (which includes the page where Example 22B is specifically claimed as Claim 38), the date in the margin of the page is August 12, 1996, which is after the relevant date for the obviousness analysis. There is also a little stamp at the bottom of each of these two pages that does not appear on other pages of the patent.

[81]           The applicants further note that while the application date of the original patent application was December 17, 1993, according to the AU ’479 patent itself, the accepted application was not published in its final form until October 3, 1996.

[82]           From this, the applicants submit that it is clear that while Example 22B itself was available when the AU ’479 patent was originally filed, the claim to the compound of Example 22B was added after the original patent application, as part of an amended application. As a consequence, it would not have been available to the POSITA prior to April of 1996, and the POSITA would thus not have been alerted to that example as a particularly good starting point.

[83]           Counsel for Teva refused to allow Dr. Ogden to identify the original 1993 AU ’479 patent application or to answer any questions with respect to the document during his cross-examination, and it does not form part of the record in this proceeding. Dr. Ogden did state in cross-examination, however, that it was more likely than not that pages 200 and 201 were added to the AU ’479 patent application on or after August 12, 1996. As Teva points out, however, Dr. Ogden is not an expert in Australian patent law.

[84]           There is no question that Example 22B was included as one of many examples disclosed in AU ’479 when the patent application was filed in 1993. The onus is on Teva, however, to prove that page 200 of the AU ’479 specifically claiming the compound described as Example 22B was available to the public prior to April 22, 1996, if they want to rely on the existence of the claim as part of the prior art: Pfizer Canada Inc. v. Apotex Inc., 2007 FC 971, at para. 110, [2007] F.C.J. No. 1271 [Apotex Viagra FC], aff’d 2009 FCA 8. On the evidence before me, I am not persuaded that Teva has satisfied its onus of providing some admissible evidence that the AU ’479 patent application in the form before me was available to the POSITA at the relevant time. On its face, the document provided by Teva suggests otherwise.

[85]           The only evidence on which Teva relies to support its assertion that pages 200 and 201 of the AU ’479 patent were available to the public prior to April 22, 1996 is a statement by Dr. Nicholas Hodge. Dr. Hodge is the applicants’ expert in organic and medicinal chemistry and the drug development process.

[86]           During Dr. Hodge’s cross-examination, counsel for Teva put the October, 1996 version of AU ’479 to Dr. Hodge, asking him to confirm that the state of the art in April of 1996 included Ciba-Geigy’s ’AU 479 patent, which he did. Teva says that constitutes a sworn statement by Dr. Hodge that unequivocally acknowledges that the October, 1996 version of AU ’479 was part of the state of the art at the relevant time. I am not persuaded that, when read in context, Dr. Hodge’s statement has the significance attributed to it by Teva.

[87]           Dr. Hodge was shown the AU ’479 patent by Teva’s counsel, and was asked to confirm, based upon the October, 1996 version of the document, that the state of the art in April of 1996 included the October, 1996 version of AU 479. No one directed Dr. Hodge’s attention to the fact that the document post-dated April, 1996, nor did counsel direct Dr. Hodge’s attention to the August, 1996 date appearing on page 200 of the patent.

[88]           Moreover, like Dr. Ogden, Dr. Hodge is not an expert in Australian patent law, and he was not in a position to speak to the nature or extent of the information that was in the Australian patent office at any given time. Dr. Hodge’s statement must thus be considered with this in mind, and I have concluded that, in these circumstances, no weight should be attributed to Dr. Hodge’s statement.

[89]           Teva also argues that it is unfair for the applicants to make this argument, as it was first raised at Dr. Ogden’s cross-examination, leaving Teva with no opportunity to respond to it with evidence. Beyond the bald assertion that it might have retained an Australian patent lawyer to assist it, Teva has not identified any evidence that it could have adduced that would have been helpful to its position, and I am thus not persuaded that Teva has been prejudiced in this regard.

[90]           I do not, however, agree with the applicants that it is appropriate to draw an adverse inference from Teva’s refusal to allow Dr. Ogden to identify the original version of the AU ’479 patent application or answer any questions with respect to the 1993 document during his cross-examination. Teva’s argument as to the significance of Example 22B being specifically claimed in the AU ’479 patent was identified at page 10 of its NOA, and it was open to the applicants to put the original AU ’479 patent application into evidence through Dr. Fässler. It chose not to do so, and an adverse inference could equally be drawn against the applicants in this regard.

[91]           That said, I am prepared to draw an adverse inference from the fact that Teva elected to provide a version of the AU ’479 that is dated after the material date for the obviousness analysis, rather than the version that was in the Australian patent office in April of 1996.

[92]           While recognizing that I do not have evidence from an expert in Australian patent law, I am satisfied that the logical inference to be drawn from the dates appearing on the pages of the patent application on which Teva relies is the one that was drawn by Teva’s own witness, Dr. Ogden. That is, that pages 200 and 201 of AU ’479 were added to the patent application some three years after the patent application was originally filed with the Australian Patent Office and before the patent application was published in its final form. We have no evidence as to what version of the patent application was in the Australian Patent Office on the relevant date.

[93]           While I am thus satisfied that the compound identified as Example 22B in the AU ’479 patent was included in the disclosure section of the patent application at the time that it was filed in 1993, I have not been persuaded on a balance of probabilities that the version of AU ’479 that included a specific claim for the Example 22B compound was part of the prior art as of April 22, 1996.

[94]           I will return to this issue later in these reasons, but suffice it to say at this point that my finding that it has not been established that the Example 22B compound was specifically claimed in the ’AU 479 patent as of the material date seriously undermines the probative value of Dr. Ogden’s evidence in relation to the question of obviousness.

(iv)              Was the European Patent Office Letter Publically Available as of April 22, 1996?

[95]           Dr. Ogden stated in his affidavit that the POSITA would also have been aware from the file history for the European equivalent to the AU ’479 patent that the Example 22B compound was a very active inhibitor of HIV protease.

[96]           Based on this, Teva argues that even if I were to find that the AU ’479 patent did not specifically claim the compound described as Example 22B at the material date, the POSITA would nevertheless be aware that the Example 22B compound was a very active HIV protease inhibitor, and would therefore be motivated to modify the compound to improve on its qualities.

[97]           In support of this contention, Teva points to a Ciba-Geigy letter to the European Patent Office dated March 5, 1995. Teva says that this letter discloses that the Example 22B compound from AU ’479 has an ED90 (the dose that is 90% effective) of 10 nM (0.01 μM). The POSITA would understand this to be a very active HIV protease inhibitor.

[98]           Teva contends that this document was available to the public, and should thus be considered to be part of the prior art. In support of this contention, Teva notes that when the applicants replied to Dr. Ogden’s first affidavit, they did not suggest the May 3, 1995 letter was not citable for obviousness. There are, however, three problems with this submission, each of which is fatal to Teva’s position.

[99]           The first problem is that regardless of the test used to determine what documents are to be included as part of the prior art (reasonably diligent search as opposed to mere disclosure), there is no evidence that establishes that the March 5, 1995 Ciba-Geigy letter was indeed available to the public at the relevant time.

[100]       While the affidavit of a law clerk in Teva’s counsel office stated that the letter was available over the internet in 2015, the only evidence that touched on the public availability of the letter in April of 1996 was the response to a question put to Dr. Ogden in cross-examination. Dr. Ogden stated that he did not know whether or not the letter was in fact available to the public in 1996. There is thus no evidence to support Teva’s claim that the letter was indeed available to the public in April of 1996, and Teva has failed to meet its onus in this regard: Apotex Viagra FC, above at para. 110.

[101]       The second problem is that the letter is written in German, and I have not been provided with an English translation of the document. Teva relies on the translation of the phrase “beispiel 22B” provided by Dr. Ogden, who says that the phrase means “Example 22B”. I have concerns about relying on Dr. Ogden’s translation, given that he admitted that while he had to learn German in order to qualify for his PhD, he was no longer able to really speak it or read it. I am also concerned about taking a few words out of a nine-page single-spaced letter and reading them without regard to their context. It is, moreover, not even clear that the reference to Example 22B referred to by Dr. Ogden is in fact a reference to the Example 22B compound in the ’AU 479 patent.

[102]       The third problem is that Teva did not cite the letter as prior art in its NOA, and it is thus not entitled to rely on it. The PM(NOC) Regulations require that a party set forth in its NOA “the legal and factual basis” for its allegations of invalidity, and “to do so in a sufficiently complete manner as to enable the patentee to assess its course of action in response to the allegation” rather than being “revealed piecemeal when some need happens to arise”. This requires that all the prior art relied upon by a generic be identified in its NOA: AB Hassle v. Canada (Minister of National Health and Welfare), [2000] F.C.J. No. 855, at paras. 21-23, 7 C.P.R. (4th) 272.

[103]       This is not a situation where a new issue is raised by an applicant after the generic has delivered its NOA. In such cases, fairness requires that the second person be allowed to defend itself: see, for example, Merck Frosst Canada Inc. v. Canada (Minister of Health), [2000] F.C.J. No. 785 (TD), aff’d  [2001] F.C.J. No. 915 (FCA); Fournier Pharma Inc. v. Canada (Minister of Health), [2004] F.C.J. No. 2149, aff’d 2005 FCA 326. In this case, the significance of the Example 22B compound as a logical starting point for further research was put squarely in issue by Teva in its NOA, and was a central part of the factual basis for its obviousness argument. Paragraph 231 of Dr. Hodge’s affidavit (which states that the POSITA would not have been motivated to select the compound described in Example 22B of the ’AU 479 patent) did not open the door to new prior art being adduced by Teva.

(v)                The Inventive Concept of the ’840 Patent

[104]       The focus of much of the parties’ argument in relation to the alleged obviousness of the ’840 patent was on the proper characterization of the inventive concept of the patent. Teva submits that the atazanavir compound was the inventive concept of the ’840 patent, while the applicants contend that based upon a purposive reading of the disclosure of the patent, the ’840 patent’s inventive concept properly includes atazanavir’s advantageous properties

[105]       In other words, the question is whether the inventive concept of claims 20 and 25 of the ’840 patent should be determined without reference to the patent’s disclosure or in light of it.  

[106]       Before considering the competing submissions on this issue, it is helpful to start by reviewing the legal principles governing the identification of a patent’s inventive concept.

(a)                Legal Principles Relating to the Identification of a Patent’s Inventive Concept

[107]       In Plavix #1, the Supreme Court described the four-step test for obviousness, the second step of which requires the Court to “[i]dentify the inventive concept of the claim in question or if that cannot readily be done, construe it”: at para. 67;  Zero Spill Systems (Int’l) Inc. v. Heide, 2015 FCA 115 at para. 87.

[108]       While the issues are related, the inventive concept of a patent can differ from the construction of its claims: Eurocopter v. Bell Helicopter Textron Canada Ltée, 2013 FCA 219 at paras. 122-124. For example, in Plavix #1, the Supreme Court construed the claims of the patent in issue as constituting “the dextro-rotatory isomer of the racemate and its pharmaceutically acceptable salts and processes for obtaining them”: para. 76. In contrast, the inventive concept of the patent was described as “a compound useful in inhibiting platelet aggregation which has greater therapeutic effect and less toxicity than the other compounds of the ’875 patent and the methods for obtaining that compound”: para. 78.

[109]       The Supreme Court has further confirmed that where the inventive concept of a patent is not readily discernable from the claims themselves (as may be the case with a bare chemical formula), it is acceptable to read the specification in the patent to determine the inventive concept of the claims: Plavix #1, above, at para. 77; see also Eurocopter above at paras. 121-123; Apotex Inc. v. Allergan Inc. and Minister of Health, 2015 FCA 137, at para. 7.

[110]       Teva says that in this case, the POSITA would understand the inventive concept of Claim 20 of the ’840 patent and all of the claims that are dependent thereon (including Claim 25) as “relat[ing] to compounds useful in the inhibition of a retroviral protease, including HIV, and therefore useful in the treatment of AIDS”. Teva further says that “this is sufficient and there is no need to dig deeper into the disclosure to ascertain the inventive concept”.

[111]       In support of this contention, Teva observes that the Supreme Court did not state in Plavix #1 that resort be had to the disclosure in every case, pointing out that the claims in the patent at issue Plavix #1 only recited chemical compounds, and made no reference to uses or therapeutic efficacy. Teva notes that the patent at issue in Plavix #1 thus involved a bare chemical compound, submitting that this is not the case here.

[112]       Teva cites the Federal Court of Appeal’s decision in Laboratoires Servier v. Apotex Inc., 2009 FCA 222, [2009] F.C.J. No. 821, as authority for the proposition that obviousness is determined by reference to the claims in the patent, “and not to some vague paraphrase based upon the disclosure of the patent”: at para. 69, citing the decision of the House of Lords in Angiotech Pharmaceuticals Inc. v. Conor Medsystems Inc., [2008] UKHL 49.

[113]       However, the Federal Court of Appeal also noted in Laboratoires Servier that purposive construction may require that a court have regard to the whole of the patent (including the claims and the disclosure) when ascertaining the nature of the invention. The Federal Court of Appeal further observed that the inventive concept of the patent need not be readily discernable from the claims, even in circumstances where construction of the claims is not in issue: at para. 58.

[114]       Teva also cites three decisions where judges of this Court have declined to consider the disclosure of patents in identifying the patents’ inventive concepts: AstraZeneca Canada Inc. v. Apotex Inc., 2014 FC 638 at para. 267 (Apotex esomeprazole), aff’d 2015 FCA 158; Abbvie Corporation v. Janssen Inc., 2014 FC 55 at para. 123 (Abbvie), rev’d on other grounds 2014 FCA 242; and Alcon Canada Inc. v. Apotex Inc., 2014 FC 699 (Alcon travoprost). However, these decisions are of limited assistance, as each has to be considered in light of the specific wording of the patents at issue.

[115]       For example, in Apotex esomeprazole, the claims at issue were to “[a] compound according to any one of claims 1 to 6 having an optical purity of 98% or greater” and “[a] compound according to any one of claims 1 to 6 having an optical purity of 99.8% or greater”. Justice Rennie refused to import the improved properties of esomeprazole described in the disclosure into the inventive concept of the patent, finding that there was no need to do so because a viable inventive concept was present in the claims themselves. In coming to this conclusion, he rejected the assertion that the compounds at issue were “bare compound claims”, noting that claims 7 and 8 of the patent referred not merely to a “bare compound”, but to compounds with a specific degree of optical purity: paras. 272-273.

[116]       Similarly, the claims at issue in the Abbvie case were not “bare compound” claims, but related to the use of a human antibody that binds to a specific site and has at least a certain level of stickiness and potency, for the treatment of psoriasis: para. 125.

[117]       In Alcon travoprost, Justice Kane’s determination of the nature of the inventive concept depended on the wording of the patent as a whole, together with the claims at issue, how they were expressed, and the unanimous expert evidence in that case: para. 167.

[118]       Teva further submits that where, as in this case, there is a dispute between the parties, attempting to identify the inventive concept of the ’840 patent “is a distraction”. Citing another British case, Teva says that the sensible way to proceed “is to forget it and work on the elements of the claim”, as “in the end, what matters is the difference between what is claimed and the prior art”: Pozzoli SPA v. BDMO SA, [2007] EWCA Civ. 588, at para. 118.

[119]       I acknowledge that there is a debate in the jurisprudence as to whether the identification of the inventive concept is a mandatory or optional part of the test for obviousness: Sealy-Harrington, “The Inventive Concept in Patent Law: Not so Obvious”, 27 I.P.J. 385.  While the issue is admittedly not free from doubt, I agree with Sealy-Harrington that the prevailing view appears to be that the Supreme Court intended in Plavix #1 that the identification of a patent’s inventive concept be a mandatory part of the obviousness inquiry. I am therefore not prepared to simply “forget it”.

(b)               Findings Regarding the Inventive Concept of the ’840 Patent

[120]       The “inventive concept” identifies the “inventiveness” of the claim. It forms the measuring stick for determining whether an inventive step is required to bridge the gap between the inventive concept of the claim and the state of the art.

[121]       The applicants say that the inventive concept of the ’840 patent relates to a compound that provides a high degree of inhibitory activity against viral replication in cells, anti-viral activity against numerous viral strains including those known to be resistant to existing protease inhibitors, and especially advantageous pharmacological properties.

[122]       In contrast, Teva says that as fairly understood by the POSITA, the inventive concept of claim 20 and all of the claims dependent thereon, including Claim 25, relates to compounds useful in the inhibition of a virus dependent on a retroviral protease including HIV and, therefore, useful in treatment of those infected with HIV. Relying on the evidence of Dr. Ogden, Teva further submits that the inventive concept should be limited to inhibition of the protease enzyme, and that no regard should be had to any other aspect of the invention that is described in the patent.

[123]       The applicants contend that in the case of a bare chemical formula such as the one claimed here, it is appropriate to look at the disclosure of the patent to ascertain the nature of the invention as claimed. Teva argues that Claim 20 is not a “bare compound” or “bullet” claim, but is, rather, a claim to atazanavir and its salts, with the result that resort to the disclosure of the ’840 patent is not necessary. Teva thus reads out all of the “surprisingly advantageous properties” described in the patent.

[124]       The applicants agree that Claim 20 is a claim to atazanavir or a salt thereof, but note that this was exactly the type of claim at issue in Plavix #1. There, the Supreme Court found that a claim to clopidogrel (the compound at issue in that case) and the pharmaceutically acceptable salts thereof, constituted a claim to a bare chemical formula. The Court further found that it was therefore appropriate to have regard to the pharmacological advantages (such as greater therapeutic effect and less toxicity) described in the patent’s disclosure in construing the patent’s inventive concept.

[125]       Moreover, in Allergan Inc. v. Canada (Minister of Health), 2012 FCA 308, aff’g 2012 FC 767 (Allergan) the Federal Court of Appeal affirmed the appropriateness of going to the disclosure in the case of a bare formulation patent.

[126]       I agree with the applicants that, in this case, the inventive concept of the ’840 patent is not readily discernable from the claims themselves, even when regard is had to the other claims in the patent. The claims should therefore be construed by purposively reading the disclosure. I am further satisfied that a purposive reading of the patent leads to the conclusion that the advantageous properties of atazanavir do indeed form part of the claimed invention.

[127]       In considering the disclosure in this case, I would start by noting that the inventors identify the aim of their invention as being to “provide a novel type of compound that is equipped, especially, with a high degree of inhibitory activity against virus replication in cells, high anti-viral activity against numerous virus strains, including those which are resistant to known compounds, such as saquinavir, ritonavir and indinavir, and especially advantageous pharmacological properties, for example good pharmacokinetics, such as high bioavailability and high blood levels, and/or high selectivity”.

[128]       Teva says that no consideration should be given to this paragraph as it is “aspirational only”. I am, however, only referring to the paragraph to provide a context for what is provided in the patent’s disclosure.

[129]       At pages seven and eight of the ’840 patent, the inventors report that they had accomplished their goal, discovering a novel class of compounds with “surprisingly, especially advantageous and important pharmacological properties…”. Atazanavir – the compound of Claim 20 and example 46 – is cited as having particularly advantageous properties.

[130]       Dr. Hodge stated that the POSITA would have understood the disclosure of these special advantages to distinguish atazanavir from earlier protease inhibitors, and to clearly indicate that the inventive concept of Claim 20 comprises four aspects, namely cellular activity that was better than that of saquinavir, an advantageous resistance profile, high oral bioavailability/blood levels, and high selectivity.

[131]       At pages nine through 12 of the ’840 patent, the patent describes measurement of cellular activity in terms of ED90 in cell tests, and also describes the results of bioavailability testing measuring blood levels of atazanavir in mice and dogs. At page 12, the patent states that “[i]n particular, the combination of high bioavailability (high plasma levels) which is surprising in itself, and unexpectedly excellent ED90 in the cell experiment renders the compounds of the present invention valuable in an unforeseen way.  Activity against inhibitors of retroviral aspartate proteases to which resistance has already developed is also still possible and is a further important advantage of the compounds according to the invention”. The disclosure further states that atazanavir’s cellular activity “is in practical terms better than that of saquinavir”.

[132]        At page 13 of the patent, the disclosure states that “compounds of formula I exhibit a high selectivity towards the retroviral aspartate protease of HIV”, and atazanavir is highlighted on the same page as having particularly advantageous and important pharmacological properties in terms of both its cellular activity and its resistance profile. Atazanavir’s activity against an HIV variant with known resistance to a protease inhibitor known as lasinavir is stated to be “comparable with saquinavir and better than that of indinavir or ritonavir”.  Atazanvir’s activity against an HIV variant with known resistance to a different protease inhibitor known as amprenavir is described as being “more potent than saquinavir, indinavir and ritonavir”.

[133]       Dr. Hodge therefore concludes that the inventive concept of Claim 20, read in light of the patent as a whole, is a particular protease inhibitor (atazanavir) which is useful in the inhibition of HIV infections and having the following advantageous properties:

                    A high degree of cellular activity that is better than saquinavir (and by extension, indinavir and ritonavir);

                    High oral bioavailability/blood levels/plasma concentrations;

                    An advantageous resistance profile; and

                    High selectivity against HIV protease.

[134]       In contrast, Dr. Ogden described the inventive concept of Claim 20 of the ’840 patent as being that “the compound atazanavir is a protease inhibitor” and that the inventive concept of Claim 25 is that “atazanavir can be used to treat a disease that is responsive to retroviral protease”.

[135]       Teva argues that Dr. Ogden was unshaken in cross-examination in his determination of the inventive concept, and disputes each of the asserted advantages attributed to atazanavir based on the quality of the data disclosed in the patent.

[136]       Insofar as Dr. Ogden’s attacks on the data disclosed in the patent are concerned, I am satisfied that there is data in the ’840 patent supporting each of the alleged advantages of atazanavir. The more fundamental difficulty with Teva’s position is, however, that the quality of the data disclosed in a patent goes to the issue of utility, rather than the obviousness inquiry: Eli Lilly Canada Inc. v. Novopharm Ltd., 2010 FCA 197 at paras. 59-64, [2010] F.C.J. No. 951).

[137]       Teva has not made an allegation of invalidity based on inutility in this case.

[138]       Moreover, I understand Teva to agree that even where invalidity is alleged based on inutility, there is no requirement that utility be demonstrated in the patent disclosure, as long as it can be established when challenged in court: Pfizer Canada Inc. v. Novopharm Limited, 2010 FCA 242 at para. 82. See also para. 27(3) of the Patent Act.

[139]       As will be discussed further on in these reasons, I have other reasons for preferring the evidence of Dr. Hodge where it conflicts with that of Dr. Ogden in this case, but insofar as this issue is concerned, I am concerned that Dr. Ogden’s affidavit fails to identify his understanding of the legal principles that should govern the identification of a patent’s inventive concept. Dr. Ogden stated in his cross-examination that he was told by Teva’s counsel that there was a concept in Canadian patent law known as the “inventive concept” and that he was given general advice as to what constituted an inventive concept. He could not, however, recall what he had been told.

[140]       When asked in cross-examination “Did they tell you about [the inventive concept], or did you just discern that from the questions that they asked you to answer in this case”, Dr. Ogden responded that he read about the inventive concept in Dr. Hodge’s affidavit, “but [he] wasn’t sure what it meant in legal terms”.

[141]       When it was put to Dr. Ogden that nowhere in his affidavit did he describe the instructions that he had received as to how to identify the inventive concept of a patent, Dr. Ogden responded by stating “It is my understanding that the inventive concept needs to be supported by … well, data, for want of a better word. But that is part of what the patent is about: there has to be some evidence that there is data supporting the inventive concept”. As noted earlier, this reflects a faulty understanding of the requirements of Canadian patent law.

[142]       In contrast, Dr. Hodge was provided with passages from Plavix #1 explaining the approach to be taken in identifying the inventive concept of a patent and his approach more closely matches the approach mandated by the jurisprudence.

[143]       Dr. Ogden also conceded in cross-examination that the POSITA would certainly look at the disclosure of the patent in order to understand why atazanavir is an important compound.

[144]       While he was not always satisfied with the sufficiency of the information, Dr. Ogden further conceded that the disclosure of the ’840 patent did provide data regarding atazanavir’s antiviral activity, its bioavailability and its enzyme inhibition.

[145]       I would therefore prefer the evidence of Dr. Hodge, and accept the applicants’ position that the inventive concept includes more than a protease inhibitor, but also includes atazanavir’s advantageous properties.

[146]       I therefore find that the inventive concept of the ’840 patent is a particular protease inhibitor (atazanavir) that is useful in the inhibition of HIV infections, and which has four advantageous properties. These are:

                    A high degree of cellular activity that is better than saquinavir (and by extension, indinavir and ritonavir);

                    High oral bioavailability/blood levels/plasma concentrations;

                    An advantageous resistance profile; and

                    High selectivity against HIV protease.

(vi)              Were the Differences between the State of the Art and the Inventive Concept of the ’840 Patent Obvious?

[147]       The next stage of the obviousness inquiry requires the Court to identify what, if any, differences exist between the matter cited as forming part of the “state of the art” and the inventive concept of the patent.

[148]       The Court must then ascertain whether, when viewed without any knowledge of the alleged invention as claimed, those differences constituted steps that would have been obvious to the POSITA, or required any degree of invention.

(a)                Was it Obvious to Start with Example 22B of the ’AU 479 Patent?

[149]       Teva says that in light of the prior art, the compound identified as Example 22B of the AU ’479 patent would have been the obvious starting point for scientists seeking to obtain an improved protease inhibitor.

[150]       Teva then asserts that the difference between the Example 22B compound and atazanavir is merely the three structural modifications identified below:

[151]       Teva says that the structural differences between the Example 22B compound and atazanavir are trivial modifications of the type that would have been made by the POSITA in light of the prior art. Teva further submits that there are a limited number of places in azapeptides generally, and in the Example 22B compound specifically, where structural modifications could be made, and that there were, moreover, only a few modifications that a POSITA would reasonably try.

[152]       Central to Teva’s obviousness argument is the premise that the compound described as Example 22B of AU ’479 would have been the logical starting point for scientists seeking to obtain an improved protease inhibitor.

[153]       It will be recalled that Dr. Ogden’s justification for selecting the Example 22B compound as his starting point was his belief that it was specifically claimed in the patent. Based upon this belief, Dr. Ogden says that the skilled person would have understood the Example 22B compound to be “important”.

[154]       However, I have previously found that it had not been established that the compound identified as Example 22B of AU ’479 had in fact been specifically claimed in AU ’479 as of April 22, 1996. Dr. Ogden’s opinion is thus based on a premise that has not been established by the evidence.

[155]       Teva then argues, in the alternative, that even if the Example 22B compound was not specifically claimed in the AU ’479 patent, the POSITA would still start with that compound because AU ’479 describes the examples in the patent (including Example 22B) as being the “most preferred of all” compounds. Teva also relies on the Ciba-Geigy letter to the European Patent Office, which, it says, states that the Example 22B compound was a very active protease inhibitor.

[156]       I agree with the applicants that this alternate argument (which, I note, was not raised in Teva’s NOA) must also be rejected.

[157]       Insofar as Teva’s reliance on Ciba-Geigy’s March 5, 1995 letter to the European Patent Office is concerned, I have already found that it has not been established that this letter was available to the public on April 22, 1996.

[158]       The question, then, is whether, based on what was actually in the prior art as of April 22, 1996, together with the common general knowledge of the day, would it have been obvious to the POSITA to start with the compound identified as Example 22B of AU ’479 in trying to develop a better protease inhibitor?

[159]       Dr. Ogden says this would have been obvious to try, while Dr. Hodge says that this is not the case. I have a number of reasons for preferring the evidence of Dr. Hodge to that of Dr. Ogden on this point.

[160]       As was noted earlier, Dr. Ogden zeros in on Example 22B of the AU ’479 patent because of his belief that it was specifically claimed in the patent as Claim 38. Dr. Ogden himself admitted in cross-examination that the POSITA would not have focused on any of the compounds described in AU ’479 that had not been specifically claimed in the patent. Given that it has not been established that the compound described as Example 22B was specifically claimed in the AU ’479 patent as of April 22, 1996, it follows from Dr. Ogden’s own evidence that the POSITA would have had no reason to single it out as an appropriate starting point in trying to obtain a better protease inhibitor.

[161]       Moreover, even if Dr. Ogden had been correct in his understanding that the Example 22B compound had been specifically claimed in the ’AU 479 patent, he did not provide a satisfactory explanation as to why the POSITA would focus attention on the Example 22B compound, rather than on any one of the 50 other compounds that were specifically claimed in the patent. Tellingly, none of these other compounds could have ever led to atazanavir.

[162]       If the Example 22B compound was not specifically claimed in the AU ’479 patent at the material date, is there any other reason why the POSITA would have started with this compound in trying to obtain a better protease inhibitor?

[163]       The Example 22B compound was one of billions of compounds that were described in the ’AU 479 patent. It was, moreover, just one of over a hundred examples cited in the patent. These examples related to approximately 240 different compounds, all of which were identified by the inventors as being “most preferred” compounds. Dr. Ogden provides no explanation as to why the POSITA would focus on the Example 22B compound rather than any of the hundreds of  other compounds that had also been identified as “most preferred” compounds in ’AU 479. Once again, however, what is telling is the fact that Example 22B is the only compound disclosed in the examples of AU ’479 that could lead to atazanavir.

[164]       Dr. Ogden acknowledged in his cross-examination that he approached his task knowing the structure of atazanavir, as well as that of the compound described in Example 22B of ’AU 479. He was, moreover, aware of Teva’s allegation that the POSITA would select the Example 22B compound in seeking to obtain a better protease inhibitor, and would then just make three modifications to the structure of Example 22B and get to atazanavir.

[165]       I am satisfied from all of this that the logical inference to be drawn from Dr. Ogden’s laser-like focus on the Example 22B compound is that he started with atazanavir, knowing the solution taught by the ’840 patent, and worked backwards to identify the compound in AU ’479 that had the structure that was closest to that of atazanavir. This is a classic results-driven, hindsight analysis.

[166]       In contrast, Dr. Hodge observes that there were hundreds of other possible backbones that could have been used in protease inhibitor research in 1996, of which the azapeptide backbone was but one. Dr. Hodge further states that even if one was to start with the azapeptide backbone, AU ’479 did not contain any activity data for the various examples of the patent, and, in particular, no activity data that was specific to the Example 22B compound. Without information regarding the Example 22B compound’s properties, the POSITA would have had no motivation to select that compound over any of the other azapeptides described in ’AU 479.

[167]       Unlike Dr. Ogden’s opinion, Dr. Hodge’s opinion is supported by the wording of the AU ’479 patent and the prior art, and is, moreover, consistent with the inventors’ course of conduct.

[168]       Insofar as the conduct of the Ciba-Geigy team is concerned, the Supreme Court noted in Plavix #1 that in determining whether an invention was obvious to try, regard can be had to what was actually done to arrive at the invention in question.

[169]       Indeed, the Supreme Court found it to be very persuasive in Plavix #1 that it had taken Sanofi years to figure out how to resolve the racemate that was at issue in that case. The Court was also influenced by the fact that Sanofi had originally put a different compound into clinical trials. The Court asked itself why, if the invention was so obvious to try, the innovator company initially went up a ‘blind alley’, taking a long time to figure it out.

[170]       The inventors’ course of conduct in this case supports Dr. Hodge’s view that the Example 22B compound was not the obvious starting point for Ciba-Geigy’s protease inhibitor project.

[171]       It will be recalled that Dr. Fässler acknowledged that Ciba-Geigy’s initial research efforts involved work on the azapeptide group of compounds, and that Dr. Fässler had himself acknowledged in a 1993 paper that azapeptide inhibitors were “potent HIV-1 protease inhibitors with high antiviral activity and good specificity”: Fässler 1993.

[172]       As one of the named inventors in the AU ’479 patent, Dr. Fässler would have had actual, and not just constructive knowledge of the compound described in the Australian patent as Example 22B. His team did not, however, initially focus its research on the Example 22B compound. Indeed, Dr. Fässler’s evidence was that Ciba-Geigy’s research on azapeptide compounds had resulted in compounds with good cellular activity, but poor bioavailability, and that because of this, Ciba-Geigy’s focus in 1992 and 1993 was primarily on the Phe-C-Phe series of compounds.

[173]       It was only in 1995, when the results of clinical trials of the Phe-C-Phe compounds proved to be discouraging, that work on this class of compounds was abandoned as a ‘blind alley’, and the focus of Dr. Fässler’s team returned to azapeptide compounds generally. This course of action is clearly inconsistent with compounds using an azapeptide backbone generally, or the Example 22B compound in particular, being the obvious place to start in trying to develop a better protease inhibitor.

[174]       Indeed, it was only as a result of Ciba-Geigy’s experience with the Phe-C-Phe series of compounds that Dr. Fässler’s team hypothesized that a nitrogen-based backbone might provide greater flexibility than compounds with the Phe-C-Phe backbone. Without making and testing such compounds, however, the team was unable to predict how cellular activity and bioavailability would be impacted by such a fundamental change in structure.

[175]       It was not until the azapeptide compounds were actually made and tested that one of them - CGP 53820 - showed promise. This compound had good binding affinity and it was selective and had good enzymatic test results. It was not, however, a suitable drug candidate because it did not possess suitable pharmacological properties.

[176]       The Ciba-Geigy team then began making analogues of CGP 53820 in an attempt to determine which structural changes, if any, would result in improved cellular activity and bioavailability. One CGP 53820 analogue that did show promise was a compound known as CGP 61783. This was the Example 22B compound in the ’AU 479 patent. While CGP 61783 was promising, inasmuch as it had excellent binding affinity and high cellular activity, it too had bioavailability that was unacceptably low.

[177]       It was not until 1995 that Dr. Fässler and his team were able to achieve a dramatic increase in bioavailability with a CGP 61783 derivative called CGP 70726, a compound that had not been disclosed in the prior art. CGP 70726 provided the best combination of cellular activity and bioavailability that had been observed in this series of compounds. As a result, CGP 70726 was promoted for further investigation.

[178]       Even then, it took Dr. Fässler’s team a further six months making and testing over 100 different derivatives of CGP 70726 before the team finally discovered atazanavir.

[179]       This course of conduct is entirely inconsistent with Teva’s claim that the Example 22B compound of AU ’479 was the obvious place to start. To paraphrase Justice Hugessen in Beloit Canada Ltd. v. Valmet OY (1986), 8 C.P.R. (3d) 289 (F.C.A.), if it was so obvious to start with the Example 22B compound, why didn’t Dr. Fässler’s team do just that?

[180]       The answer, of course, is that it was not obvious at all. Indeed, there is no evidence before me that would suggest that Ciba-Geigy’s many competitors (or the academic researchers who were also engaged in the search for improved protease inhibitors) were focussing their research endeavours on the Example 22B compound. This strongly suggests that starting with the Example 22B compound was not obvious to try, or others would have done just that: Alcon Canada Inc. v. Cobalt Pharmaceuticals Co., 2014 FC 462 at para. 123, aff’d 2015 FCA 192.

[181]       Indeed, as Justice Hugessen noted in Beloit, every invention will be obvious after it has been made, especially to an expert in the field. Where, moreover, the expert has been hired for the purposes of litigation, “his infallible hindsight is even more suspect”.  Justice Hugessen further noted that “[i]t is so easy, once the teaching of a patent is known, to say, ‘I could have done that’: before the assertion can be given any weight, one must have a satisfactory answer to the question ‘why didn’t you?’”: above at 295.

[182]       To conclude on this point, I prefer the evidence of Dr. Hodge to that of Dr. Ogden, and find that it would not have been not obvious to start with the Example 22B compound of the AU ’479 patent in attempting to develop a protease inhibitor that had better bioavailability than those already on the market, as well as improved cellular activity and selectivity, and an advantageous resistance profile.

(b)               Was it Obvious to Start with the Azapeptide Backbone?

[183]       Teva also contends that even if the POSITA would not have been motivated to start with the Example 22B compound, it would nevertheless have been obvious to start with an azapeptide backbone in trying to create a better protease inhibitor. Teva further submits that the differences between the azapeptide compounds disclosed in the prior art and atazanavir were “trivial modifications” of the type that would have been made by the POSITA in light of the prior art.

[184]       From this, Teva says that it would have been obvious to try making modifications to azapeptide compounds in order to improve the compounds’ properties, although it will be recalled that Teva’s position is that the inventive concept of the ’840 patent does not include its advantageous properties. However, I have already concluded that the inventive concept of the ’840 patent does indeed include atazanavir’s four advantageous pharmacological properties.

[185]       The applicants say that it was not obvious to start with the azapeptide backbone, and that, in any event, the substitutions that it made to get to atazanavir were not trivial. The applicants further submit that it was impossible to predict the effect that any given substitution would have on a compound’s properties. As a consequence, the applicants say that the invention of atazanavir was not more or less self-evident.

[186]       I recognize that there were many different protease backbones disclosed in the prior art, including those of saquinavir, ritonavir, and indinavir. While there were indeed other possible starting points for protease inhibitor research as of the material date, I am prepared to accept that some of the prior art would have motivated the POSITA to consider compounds with the azapeptide backbone as one, but by no means the only, logical place to start in trying to obtain a better protease inhibitor.

[187]       As of April, 1996, the POSITA would have been aware that research was being carried out into azapeptide compounds, and that some of these compounds showed promise. It was also known that azapeptides were potent HIV-1 protease inhibitors with high anti-viral activity and good specificity. Much of this information came from Ciba-Geigy’s own research papers and patent filings, including Dr. Fässler’s 1993 paper and the ’AU 479 patent. Even Dr. Hodge conceded that starting with the azapeptide backbone would be one of many obvious starting points for those seeking to obtain an improved protease inhibitor.

[188]       It is true that other backbones were being studied at this time, but the fact that there may have been other possible starting points for protease inhibitor research does not mean that the route that was actually taken was not obvious: Shire Biochem Inc.v Apotex Inc., 2008 FC 538 at para. 80, [2008] F.C.J. No. 690 (Shire Biochem); Janssen Inc. v. Teva Canada Ltd., 2015 FC 184 at para. 113, [2015] F.C.J. No. 161.

(vii)             Were the Modifications to the Azapeptide Backbone More or Less Self-evident?

[189]       Teva says that there are a limited number of places in azapeptide compounds where structural modifications could be made in an attempt to optimize the compounds’ properties, including their bioavailability/solubility and activity. Teva further submits that using standard approaches, there were also only a few modifications that a POSITA would actually try as part of the optimization process, with the result that the work done by Dr. Fässler’s team to get to atazanavir was obvious to try.

[190]       As discussed above, I have determined that Dr. Ogden’s evidence (which focused largely on the modifications that would have been made to the Example 22B compound in the AU ’479 patent) should be given little weight.

[191]       However, Teva also relies on the evidence of Dr. Donna Romero in support of this argument. Dr. Romero is an expert in synthetic organic chemistry and medicinal chemistry. She also has considerable experience with drug design, including structured activity relationships of inhibitors of both HIV reverse transcriptase and protease.

[192]       Unlike Dr. Ogden, Dr. Romero was ‘blinded’ in relation to the mandate that she was asked to carry out. She was given selected portions of the prior art (not including ’AU 479), and was asked what a POSITA would likely have done in 1996 in order to improve upon what was taught in the prior art. Dr. Romero was not told the name of the drug that was at issue in this proceeding, other than the fact that it was a protease inhibitor, nor was she told the names of the parties. She was also asked not to carry out any independent research that might identify the drug in question.

[193]       I understand the applicants to agree that because of this, Dr. Romero’s evidence was not infected with hindsight. I share that view. That said, Dr. Romero was provided with a limited selection of the prior art that had been “cherry-picked” by Teva, and her evidence has to be viewed with this in mind.

[194]       Dr. Romero says that in 1996, the POSITA would have known that azapeptides were potent HIV-1 protease inhibitors with high anti-viral activity and good specificity. From this, I understand her to suggest that the POSITA would have been motivated to start with the azapeptide backbone in trying to obtain a better protease inhibitor, further supporting my finding on this question. That said, I am concerned with the fact that Dr. Romero was not provided with a number of papers and patents dealing with protease inhibitors that used non-azapeptide backbones, which undermines somewhat her claim that the skilled person would have been motivated to start with the azapeptide backbone.

[195]       Dr. Romero’s evidence further undermines the reliability of Dr. Ogden’s claim that three trivial modifications would have led the POSITA from the Example 22B compound to atazanavir. Not only was Dr. Romero not given the AU ’479 patent by counsel for Teva, she also considered and proposed modifications at other sites on the azapeptide backbone than those suggested by Dr. Ogden, which modifications would never have led to atazanavir.

[196]       Dr. Romero and Dr. Hodge agree that there were over a thousand possible substitutions that could have been made to the azapeptide backbone in an effort to obtain an improved protease inhibitor. Dr. Romero says, however, that the POSITA would not just blindly try all of the possible modifications. Just as Dr. Fässler and his team did, the POSITA would prioritize, focussing on certain kinds of substitutions at certain locations, while staying away from others. The POSITA would proceed in an iterative fashion, making compounds, testing them, and then evaluating the results before going forward with additional substitutions.

[197]       Dr. Romero says that like the inventors of the ’840 patent, the POSITA would not have explored substitutions at P1, since a benzyl substituent at this position was known to be conserved in many other inhibitors. Nor would the skilled person significantly investigate substitutions at P3/ P3’, as it was known that these positions were close to the surface of the protein and modifications at these positions have little effect in vitro, provided the substituent at these positions is not too bulky and contains a carbonyl group. Dr. Ogden did not say anything in his evidence about whether the POSITA would have been motivated to make substitutions at the P3/ P3’ sites of the Example 22B compound. Any substitutions made at these sites would not lead to atazanavir.

[198]       On the other hand, Dr. Romero says that it was well-known that the low bioavailability of earlier protease inhibitors posed a significant problem. In order to improve oral bioavailability of protease inhibitors, drug companies often replace hydrophobic phenyl groups with more polar hydrophilic groups like pyridyl. Replacing a phenyl group with a pyridyl group was common because the groups are approximately the same size and would advantageously create the possibility of forming solubility-increasing salts which can, in turn, assist in improving bioavailability, and making such a change at the at P1’ site would, therefore, have been obvious.

[199]       That said, Dr. Romero admitted in cross-examination there were at least 35 different substituents that the skilled person could reasonably have tried at the P1’ site. For his part, Dr. Hodge says that there were numerous possible substitutions that the POSITA could have considered at the P1’ site, and that it could not have been predicted what effect such modifications would have on the properties of the newly-made compounds. This is consistent with the work done by Dr. Fässler’s team, who had tried a variety of modifications at the P1’ site during the final stages of their project in their efforts to improve the bioavailability of the compounds that they were making.

[200]       Dr. Ogden relies on a prior art reference (Thompson et al, “Synthesis and Antiviral Activity of a Series of HIV-1 Protease Inhibitors with Functionality Tethered to the PI or PI’ Phenyl Substituents: X-ray Crystal Structure Assisted Design” (1992) 35 J. Med. Chem. 1685) as support for his contention that it would have been obvious to make a pyridyl substitution at the P1’ site of the Example 22B compound. However, while the authors of that paper did attempt various substitutions at the P1’ position of the structure that they were investigating, they published no bioavailability data and they did not even mention, much less try, the very substitution Dr. Ogden says would have been obvious.

[201]       In addition, Thompson et al. were using a different backbone, and the substitutions proposed in that article were not made for the purpose of improving bioavailability, but rather to improve activity. There is, moreover, no evidence to suggest that any azapeptide disclosed in the prior art had a pyridyl substitution, and there is no pyridyl phenyl moiety described in any of the examples of ’AU 479.

[202]       It was in the context of discussing the pyridyl substitution that Dr. Ogden conceded on cross-examination that a POSITA would have to be “clairvoyant” to predict the impact of a structural change on bioavailability. As the Federal Court of Appeal noted, however, “an invention is not made obvious because the prior art would have alerted the person skilled in the art to the possibility that something might be worth trying”: Apotex Viagra FCA at para. 29. The mere possibility that something might turn up is not enough: Plavix #1¸ above at para. 66 [my emphasis].

[203]       I agree with the applicants that the unpredictability of substitutions on bioavailability, and the lack of teaching in the art of a pyridyl at the P1’ site means that Teva’s proposed pyridyl substitution to the Example 22B compound was not more or less self-evident, even if one were to accept that the POSITA would have started with the Example 22B compound in trying to create a better protease inhibitor – a position that I have already rejected.

[204]       Moreover, because atazanavir is a pseudo-symmetrical compound, Teva’s obviousness allegation necessarily depends upon the POSITA making symmetrical substitutions (that is, substituting the same group at the P2/ P2’positions). According to Teva, protease inhibitors were often designed to be symmetric or pseudo-symmetric in order to take advantage of the symmetry of the HIV protease active site, and because symmetrical compounds were easier to synthesize.

[205]       Dr. Hodge testified, however, that P2 and P2’could be modified asymmetrically, and there was no teaching in the prior art that made symmetrical modifications self-evident. This is consistent with the actual steps taken by Dr. Fässler’s team, who did not limit themselves to symmetrical substitutions at the P2/ P2’positions. Moreover, Dr. Romero herself agreed that it would have been reasonable for the POSITA to pursue asymmetrical azapeptides, a course of action that would not have led to atazanavir.

[206]       It would also not have been more or less self-evident to substitute L-tert-leucyl (or t-butyl) groups at the P2/ P2’positions in order to get to atazanavir. Dr. Hodge explains that far from being an obvious substitution, the prior art (cited in Teva’s NOA) taught the POSITA that a t-butyl substitution at that position could be detrimental to enzymatic and cellular activity.

[207]       There were, in fact, a number of possible substitutions that the POSITA could try at the P2/ P2’ sites, and the impact of those changes would not have been predictable. Dr. Romero herself acknowledged that at this site alone, there were at least seven different substituents the skilled person would have considered.

[208]       Dr. Ogden states that the POSITA would have understood from the prior art that the HIV protease can accommodate a variety of small aliphatic side chains at P2/ P2’positions and that substituting a tert-leucyl group was a regular part of any strategy seeking to modify peptides for improved pharmacological behaviour, citing Bommarius et al., “Synthesis and Use of Enantiomerically Pure tert-Leucine” (1995) 6(12) Tetrahedron Asymmetry 2851.

[209]       Dr. Ogden also attempted to justify his choice for a t-butyl substitution at P2/ P2’ in part on the basis that it could “potentially” provide activity against a “key mutant strain, I84V”. However, Dr. Ogden later conceded that this was merely a “hypothesis”, and he had no idea whether or not it would have worked.

[210]       Given that there were a number of possible choices for substitutions at the P2/ P2’ positions and that the POSITA would not have had an ability to predict the impact of these substitutions, it was not more or less self-evident that the symmetrical t-butyl substitution at the P2/ P2’ sites would lead to compounds with any of the advantageous properties of atazanavir.

[211]       However, what is important about Dr. Romero’s evidence is not just what she said, but what she did not say. That is, Dr. Romero does not identify which compounds or which substitutions should be made to obtain an improved protease inhibitor in her evidence, or how the POSITA should prioritize them. Importantly, Dr. Romero never states that the POSITA would make the substitutions necessary to get to atazanavir.

[212]       Moreover, while Dr. Romero says that there are a finite number of modifications that the POSITA would make in trying to make a better protease inhibitor, there is no suggestion in her evidence that the POSITA would have been able to predict whether a particular substitution made at a given location would result in a compound with a specific advantageous property.

[213]       Indeed, I do not understand there to be any disagreement between the experts that the POSITA would not have been able to predict what effect substitutions would have on the properties of the newly-made compounds. Even Dr. Ogden agreed that the POSITA would have to be “clairvoyant” to predict the impact of a structural change on a compound’s bioavailability.

(viii)           Conclusion on Obviousness

[214]       Teva submits that the test for obviousness does not require certainty or guarantee of results, that trial and error is acceptable and that an avenue of inquiry can be obvious to try, even where there is no certainty of success. According to Teva, all that is required is that there be a “fair expectation of success”.

[215]       In support of this contention, Teva cites the decisions in Amgen Canada Inc. v. Apotex Inc., 2015 FC 1261 at paragraph 102, Eli Lilly Canada Inc. v. Mylan Pharmaceuticals ULC, 2015 FC 178 at paragraph 150, aff’d on other grounds 2015 FCA 286; Apotex Viagra FCA at para. 44; AstraZeneca Canada Inc. v. Teva Canada Limited, 2013 FC 246 at paragraphs 36, 37, 40.

[216]       I will discuss this issue in greater detail in connection with the ’736 patent. At this juncture I would simply note that Teva’s contention is inconsistent with the recent decision of the Federal Court of Appeal in Eli Lilly v. Mylan, above. There, the Court held that it was an error of law to apply the “fair expectation of success” test. According to the Federal Court of Appeal, the correct test is that articulated by the Supreme Court of Canada in Plavix #1, where the Court held that “[f]or a finding that an invention was ‘obvious to try’, there must be evidence to convince a judge on a balance of probabilities that it was more or less self-evident to try to obtain the invention. Mere possibility that something might turn up is not enough”: at para. 66

[217]       I have concluded that in this case, the inventive concept of the ’840 patent included the following advantageous properties of atazanavir:

                    A high degree of cellular activity that is better than saquinavir (and by extension, indinavir and ritonavir);

                    High oral bioavailability/blood levels/plasma concentrations;

                    An advantageous resistance profile; and

                    High selectivity against HIV protease.

[218]       The prior art, together with the general knowledge that the POSITA would have been expected to have had as of April 22, 1996, did not make the invention claimed in the ’840 patent more-or-less self-evident. It was not more or less self-evident that making the substitutions that were made on the azapeptide backbone to obtain atazanavir ought to work, let alone result in the specific combination of advantageous properties that are present in atazanavir.

[219]       As Dr. Romero herself noted, there were many possible substitutions that could have been made on the azapeptide backbone, and that while the number was finite, the effect that those substitutions would have on the properties of the compounds that were created were not predictable.

[220]       It is, moreover, evident from the evidence of Dr. Hodge, Dr. Romero and Dr. Fässler that the extent, nature and effort required to achieve the invention amounted to far more than routine trials, and involved experimentation that was prolonged and arduous.

[221]       It took Dr. Fässler’s team years to get to CGP 70726 in 1995. It then took Ciba-Geigy’s team of 20 scientists a further six months and over a million dollars synthesizing and testing over 100 derivatives of CGP 70726 before arriving at CGP 73547, now known as atazanavir. This is not consistent with the substitutions that were made to get to atazanavir being obvious to try, and I find that this was not the case. Teva’s allegation of obviousness has not therefore been justified.

D)                Anticipation

[222]       Teva’s second allegation of invalidity with respect to the ’840 patent is that the invention of atazanavir was anticipated because it falls within a genus of compounds described (but not claimed) in United States Patent No. 5,461,067 (the “US ’067 patent”) owned by Abbott Laboratories. The US ’067 patent discloses azapeptides of Formula A for use in inhibiting retroviral proteases, and, in particular, for inhibiting HIV protease.

[223]       Formula A has the following structure:

[224]       Before considering Teva’s allegation, however, I will start by reviewing the legal principles relating to the question of anticipation.

(i)                  Legal Principles Relating to Anticipation

[225]       As the Supreme Court of Canada observed in Plavix #1, anticipation and obviousness are related concepts.  However, although both require an examination of the prior art, that prior art must be treated differently, depending on whether the issue is anticipation or obviousness.

[226]       Where obviousness (or lack of invention) is alleged, the Court may consider a number of prior disclosures that would have been known or found by a person skilled in the art, in order to determine whether an inventive step has been taken: Eli Lilly Canada Inc. v. Novopharm Ltd., 2009 FC 301 at para. 58.

[227]       In contrast, in examining an allegation of anticipation (or lack of novelty), the Court must determine whether the claimed invention has already been disclosed to the public in a single disclosure in such a way as to enable it to be put into practice: see Eli Lilly, above at para. 58.

[228]       Anticipation is a difficult test to meet: Free World Trust v. Électro Santé Inc., 2000 SCC 66, [2000] 2 S.C.R. 1024, at para. 26.

(ii)                The Test for Anticipation

[229]       Insofar as the test for anticipation is concerned, the Supreme Court reviewed the law on this point at paragraphs 23 through 37 of Plavix #1. The Court found that two separate requirements must be satisfied in order for there to be anticipation: namely, prior disclosure and enablement.

[230]       For there to be “prior disclosure”, the prior art “must disclose the subject matter which, if performed, would inevitably or necessarily result in infringement of the patent”: Plavix #1 at para. 25.

[231]       The POSITA looking at the disclosure must be “‘taken to be trying to understand what the author of the description [in the prior patent or other disclosure] meant.’ At this stage, there is no room for trial and error or experimentation by the skilled person.  He is simply reading the prior [art] for the purposes of understanding it”: Plavix #1 at para. 25, citing Synthon B.V. v. SmithKline Beecham plc, [2006] 1 All E.R. 685, [2005] UKHL 59.

[232]       Where choices are left to the POSITA in carrying out prior art, the law has established that “[i]f a prior document leaves a choice open for the skilled person and if the result only falls within the patent claim if the skilled person adopts one way forward and not the other, then there is no lack of novelty”: Takeda Canada Inc. v. Canada (Minister of Health), 2015 FC 751 at para. 36, [2015] F.C.J. No. 1033, citing Synthon BV v. Teva Pharmaceutical Industries Limited, [2015] EWHC 1395 (Pat), [2015] All ER (D) 200 at para. 89. See also Allergan (FC), above at para. 126.

[233]       The law is, moreover, clear that if the special advantages of a selection patent (as compared to the genus patent) are not disclosed in the genus patent, there will be no disclosure for the purposes of the anticipation analysis: Plavix #1 at para. 32.

[234]       “Enablement” means that the person skilled in the art “would have been able to perform the invention” without undue burden.  The person skilled in the art is assumed to be willing to make trial and error experiments to get it to work: Plavix #1, at paras. 26-27.

[235]       As to how much trial and error or experimentation will be permitted before a prior disclosure will be found not to constitute an enabling disclosure, the Court held in Plavix #1 that if an inventive step is required to get to the invention of the second patent, the earlier publication will not have provided enabling disclosure.  Even if no inventive step is necessary, the person skilled in the art must still be able to perform or make the invention work without undue burden: at para. 33.

[236]       The Court then went on at paragraph 37 of Plavix #1 to provide a non-exhaustive list of factors that may be applied in considering the question of enablement.  It noted, amongst other things, that “routine trials are acceptable and would not be considered undue burden. But experiments or trials and errors are not to be prolonged even in fields of technology in which trials and experiments are generally carried out. No time limits on exercises of energy can be laid down; however, prolonged or arduous trial and error would not be considered routine”.

[237]       To be anticipated, the subject matter of a claim must not have been disclosed to the public more than one year before the filing date of the application. The parties agree that in accordance with section 28.2(1)(a) of the Patent Act, the date to be used in assessing whether the invention claimed in the ’840 patent was anticipated is April 22, 1996.

(iii)               Is Teva’s Allegation of Anticipation Justified?

[238]       As noted above, an allegation of anticipation requires the Court to determine whether the claimed invention has already been disclosed to the public in a single disclosure in such a way as to enable it to be put into practice. Teva says that atazanavir was anticipated by the US ’067 patent. As will be explained below, I do not agree.

[239]       There is a dispute between the parties as to whether atazanavir even falls within the genus of compounds described in the US ’067 patent. Whether or not it does depends on whether a specific group on the genus molecule identified in the US ’067 patent as being an “arylalkyl” includes the group found in the same position on atazanavir. If “arylalkyl” includes that group, then the US ’067 patent does disclose the atazanavir molecule. If it does not, atazanavir was not disclosed in the American patent.

[240]       Teva submits that the US ’067 patent does disclose atazanavir, submitting that based upon Dr. Ogden’s evidence, the POSITA would understand the term “arlylakyl” as it applies to R2 of Formula A above as including 4-(pyridin-2-yl)phenylmethyl. In contrast, Dr. Hodge states that the interpretation of “arylaklyl” in the US ’067 patent should be limited to “benzyl, 4-hydroxybenzyl, naphthylmethyl and the like”.

[241]       For the reasons previously given, I have already concluded that the evidence of Dr. Hodge is generally to be preferred over that of Dr. Ogden. I agree with the applicants that the interpretation given by Teva to the term “arylaklyl” as it is used in the US ’067 patent in an attempt to bring atazanavir within the scope of that patent is “nothing short of tortured”.

[242]       Even if I did not have reason to prefer the evidence of Dr. Hodge to that of Dr. Ogden, we would still be left with a debate between the two experts as to the proper interpretation to be given to the term “arylaklyl”. Even Teva’s counsel had to admit that the definition of “arylaklyl” in the US ’067 patent is “a very loose definition” and not “a precise, well-defined definition”.

[243]       As Justice Barnes observed in Gilead Sciences, Inc. v. Canada (Minister of Health), 2013 FC 1270 (Gilead) at paragraph 30, “[i]f there is doubt about what the prior art reference includes, it cannot be taken to meet the definition of anticipation”.

[244]       As a consequence, I am not persuaded that atazanavir falls within the genus of compounds described in the US ’067 patent. It does not, therefore, anticipate the invention of the ’840 patent.

[245]       While this finding is sufficient to end the matter, I am further satisfied that even if the scope of the genus of the US ’067 patent did encompass atazanavir, the patent does not give directions that would inevitably result in atazanavir.

[246]       I have previously concluded that the inventive concept of the ’840 patent includes atazanavir’s advantageous properties. The US ’067 patent does not disclose these advantageous properties. There is no disclosure of high cellular activity, selectivity, bioavailability, or resistance profile of the compounds in the US ’067 patent. Indeed, the reported potency of the very best compounds in the US ’067 patent is worse than that of atazanavir.

[247]       I also do not agree with Teva that the decision in Amgen Canada Inc. v. Mylan Pharmaceuticals ULC, 2015 FC 1244 assists it in demonstrating that atazanavir was disclosed by the US ’067 patent.

[248]       Teva says that paragraphs 81-82 and 87 of Amgen stand for the proposition that a prior art genus encompassing a later claimed species does provide disclosure for the purpose of anticipation. However, a review of the Amgen decision reveals that not only are the facts of that case quite different to the facts here, the decision does not in fact stand for the sweeping proposition asserted by Teva. While a prior art genus encompassing a later claimed species can, in some cases, provide disclosure for the purpose of anticipation, that is not necessarily always going to be the case.

[249]       The applicant in Amgen admitted that the compound at issue in that case had been disclosed in a prior patent. The applicant further conceded that the POSITA would have understood the compound to be a member of the genus disclosed in that earlier patent: see para. 81. Neither point is true here.

[250]       The uncontradicted evidence in Amgen was, moreover, that there was no inventive step required to get from the prior genus patent to the compound at issue in that case: see para. 82. Again, that is not the situation here.

[251]       Paragraph 87 of Amgen also does not help Teva, as it simply states Justice Phelan’s conclusion that the patent in issue in that case was anticipated by the prior art.

[252]       I am therefore satisfied that the US ’067 patent does not “disclose” atazanavir, as that term is used in relation to anticipation.

[253]        Insofar as enablement is concerned, the jurisprudence has established that for there to be enablement, “[t]he prior publication must contain so clear a direction that a skilled person reading and following it would in every case and without possibility of error be led to the claimed invention”: Eurocopter, above at para. 109, citing Beloit, above. That is not the case here.

[254]       If an inventive step is required to get from the prior publication to the invention, there is no enablement. I have already concluded that inventive steps were required to discover atazanavir and its collection of advantageous properties. Based on the evidence of Dr. Hodge (which was not directly contradicted by Dr. Ogden on this point), I am further satisfied that inventive ingenuity would have been required to get from the genus of the US ’067 patent to atazanavir.

[255]       Even if no inventive step was required to get from the US ’067 patent to atazanavir, the law further requires that the POSITA must be able to perform invention without undue burden.

[256]       Atazanavir is not claimed, structurally depicted, named, synthesized or tested anywhere in the US ’067 patent. A number of choices must, moreover, be made by the POSITA for each substituent in order to get from the compounds described in the US ’067 patent to atazanavir, and there is no teaching in the US ’067 patent that would tell the POSITA which choices should be made.

[257]       Teva says that the synthetic scheme used to make atazanavir that was disclosed in the US ’067 patent was well-known. Dr. Ogden says that both Ciba-Geigy and Abbott had disclosed a simple method for manufacturing azapeptides that contain a hydroxyethylene hydrazine isotere, citing the 1993 Fässler article as an example of this, although, to be fair, Dr. Fässler does reference the US ’067 patent, amongst others, in a footnote. However, as was noted earlier, in examining an allegation of anticipation, the Court must determine whether the claimed invention has already been disclosed to the public in a single disclosure in such a way as to enable it to be put into practice.

[258]       More importantly, as was noted earlier, it is common ground that the US ’067 patent is a genus patent that discloses billions of compounds. Dr. Ogden himself conceded that it would take the POSITA more than a century to make all of the compounds described in the US ’067 patent, and that, in his words “it would be a futile exercise” to try to do so. By any definition, this goes beyond routine trial and error experiments and would constitute an undue burden.

[259]       There is also no clear direction to get to atazanavir in the US ’067 patent. A claim to a specific chemical compound such as atazanavir is not anticipated by a prior art reference that only teaches a broad genus of compounds into which the specific compound in question arguably falls, where the genus patent does not provide directions that would inevitably result in the specific compound in issue: Pfizer Canada Inc. v. Canada (Minister of Health), 2008 FCA 108 at para. 83, [2008] F.C.J. No. 496.

[260]       Finally, Teva argues that because the US ’067 patent includes atazanavir, the ’840 patent must disclose an unexpected, substantial and peculiar advantage in order to be a valid selection patent. Because the ’840 patent does not make any reference to any direct comparison of the compounds claimed in the ’840 patent (including atazanavir) to the compounds claimed in the US ’067 patent, the selection of atazanavir from the US ’067 patent genus, Teva says, is entirely unsupported.

[261]       I have, however, rejected Teva’s assertion that the inventive concept of the ’840 patent must be construed without regard to atazanavir’s advantageous properties. There is nothing in the US ’067 patent about the bioavailability or resistance profile of the compounds described in that patent, whereas I have concluded that atazanavir’s bioavailability and resistance profile were unexpected, substantial and peculiar advantages. Atazanavir’s level of cellular activity is, moreover, significantly better than that of the most potent compound described in the US ’067 patent.

[262]       As the Federal Court of Appeal observed in Apotex Inc. v. Sanofi-Aventis, 2013 FCA 186 aff’g 2011 FC 1486 (Plavix #2), a selection patent is a compound that has an unexpected advantage over the compounds of the prior genus patent. The Court went on to observe that this unexpected advantage “need not be an improvement on every aspect of the invention described in the genus patent, though it may be. It is sufficient that it is a new and useful improvement on some aspect of the invention”: at para. 70.

[263]       Given that the ’840 patent does disclose the unexpected, substantial and peculiar advantages of atazanavir - which advantages were not disclosed in the US ’067 patent – it follows that Teva’s selection patent argument must fail.

(iv)              Conclusion Regarding Anticipation

[264]       I have concluded that atazanavir is a new compound that does not fall within the US ’067 patent. Atazanavir also has surprisingly advantageous properties that were not previously disclosed or enabled by the US ’067 patent. Teva’s allegation of anticipation is therefore not justified.

E)                 Conclusion Regarding the ’840 Patent 

[265]       For these reasons, I have concluded that Teva’s allegations as to the invalidity of the ’840 patent have not been justified. As a consequence, the applicant’s application for an order pursuant to section 6 of the PM(NOC) Regulations prohibiting the respondent Minister of Health from issuing a Notice of Compliance to Teva for its atazanavir sulfate 150, 200 and 300 mg capsules until after the expiry of the ’840 patent is granted.

V.                 The ’736 Patent 

A)                Claims Construction

[266]       The ’840 patent discloses the free base of atazanavir. However, even though considerable work had been done to make the free base available in the bloodstream, it was not yet sufficiently orally bioavailable in the solid form. Indeed, the inventors of the ’840 patent had to dissolve the free base of atazanavir into a liquid formulation before using it in test animals.

[267]       As a result, atazanavir was not yet a viable product that could be brought to market, and additional work still had to be done to develop a solid form of atazanavir that was suitable for an oral pharmaceutical dosage form.

[268]       At some point, Ciba-Geigy merged with another entity, becoming Novartis AG.  In early 1997, Bristol-Myers Squibb (BMS) acquired rights to the atazanavir molecule from Novartis AG. A development team of BMS scientists then began research in an effort to discover a form of atazanavir having properties suitable for an oral pharmaceutical dosage form, including improved oral bioavailability.

[269]       The suitable form of atazanavir that was ultimately developed was the bisulfate salt of atazanavir. This is the subject of the ’736 patent. The patent was filed on December 22, 1998 and claims a priority date of January 20, 1998, making January 20, 1998 the relevant date for the obviousness analysis. The ’736 patent expires on December 22, 2018.

[270]       The parties agree that the principle issue with respect to the ’736 patent is the proper construction of the patent’s claims. Teva also alleges that the invention claimed in the ’736 patent was obvious.

[271]       There are at least two forms of atazanavir bisulphate, which are known as Type-I and Type-II bisulphate salts. The ’736 patent discloses that Type-I and Type-II crystals have different properties: Type-I atazanavir bisulfate is a non-hygroscopic, anhydrous/desolvated crystalline solid, whereas Type-II is a crystalline form that is both hydrated and hygroscopic.

[272]       Important to the parties’ argument on this point is the difference between hydrous and anhydrous salt crystals. A salt crystal is a hydrate when it has water molecules regularly incorporated into the lattice-like structure of the crystal, whereas a compound is anhydrous/desolvated where there are no water molecules or any solvating molecules regularly incorporated into the salt’s crystal lattice. The fact that a crystal is described as “anhydrous” does not, however, mean that there is no absorbed or adsorbed surface water in or on the salt crystal.

[273]       The ’736 patent has two claims. They are:

                    The bisulfate salt having the formula

                    A pharmaceutical dosage form comprising the bisulfate salt of Claim 1 and a pharmaceutically acceptable carrier.

[274]       There is no dispute that Type-I atazanavir bisulfate is covered by the two claims of the ’736 patent. The issue that divides the parties in relation to the construction of the ’736 patent is whether it claims both forms of the bisulphate salt, or just the Type-I salt.

[275]       The applicants say that the claims of ’736 patent only cover the Type-I salt. According to the applicants, Claim 1 of the patent should thus be construed as encompassing the “Type-I bisulfate salt of atazanavir”, while Claim 2 covers the “pharmaceutical dosage form containing Type-I bisulfate salt of atazanavir”.

[276]       In contrast, Teva asserts that the claims of the ’736 patent should be construed as covering both Type-I and Type-II bisulphate salts. Teva further submits that because the Type-II bisulphate salt is unacceptable for use in an oral dosage form, it follows that the claims of the ’736 patent are over-broad and the patent is accordingly invalid.

[277]       The ’736 patent contains a description, followed by four examples and the two claims. The first three examples in the patent show preparation methods for bisulfate salts. Because Teva’s primary construction argument hinges on the content of each of the first three examples, it is necessary to summarize what each describes.

[278]       Example 1 of the ’736 patent describes a method for forming a bisulfate salt using ethanol, which method results in Type-I bisulfate crystals. Example 2 describes a method of forming a bisulfate salt using acetone, which also results in the creation of Type-I crystals. The crystals formed in accordance with the methods described in Examples 1 and 2 are anhydrous.

[279]       Central to Teva’s construction argument is Example 3. This example describes a method of forming a bisulfate salt using isopropanol, which results in the creation of Type-II bisulphate crystals. As was noted earlier, in contrast to the crystals formed by the methods described in Examples 1 and 2, Type-II crystals are hydrates.

[280]       The fourth example in the ’736 patent is for the preparation of capsules using bisulfate salts. This example does not specify whether the salts are Type-I or Type-II salts.

[281]       I will return to the wording of the ’736 patent in addressing the parties’ construction arguments. Before doing so, however, I will first identify the legal principles relevant to claims construction.

(i)                  Legal Principles Governing the Construction of a Patent and its Claims

[282]       In Free World Trust, above, Justice Binnie described patent claims as “fences”, and the task of the Court as being to separate the essential from the non-essential elements of the claims, thereby defining the parameters of the monopoly: at para. 15.

[283]       In Pfizer Canada Inc. v. Pharmascience Inc., 2013 FC 120, [2013] FCJ No 111, Justice Hughes neatly summarized the relevant principles governing claims construction. He stated at paragraph 64 of his reasons that:

●             construction must be done before considering the issues of validity and infringement;

●             construction is done by the Court alone, as a matter of law;

●             the Court is to construe the claim through the eyes of the person skilled in the art to which the patent pertains;

          the Court may obtain the assistance of experts to explain the meaning of particular words and phrases, and as to the state of the art as of the date the claim was published;

          the Court should read the claim in the context of the patent as a whole, including the description and other claims;

          the Court should avoid importing this or that gloss from the description;

          the Court should not restrict the claim to specific examples in the patent;

          the Court should endeavour to interpret the claim in a way that gives effect to the intention of the inventor;

          the Court should endeavour to support a meritorious invention.

[284]       With this understanding of the principles governing claims construction, I will next consider the parties’ arguments with respect to the manner in which the claims of the ’736 patent should be construed.

(ii)                The Applicants’ Position on Construction

[285]       The applicants submit that there are a number of reasons why the POSITA would construe the claims of the ’736 patent as encompassing only Type-I atazanavir bisulfate crystals, and not Type-II crystals. Indeed, Teva’s NOA expressly states that “the purported invention appears to relate to the properties of atazanavir bisulfate salt Type-I”, a statement with which the applicants’ expert, Dr. Jerry Atwood, agrees.

[286]       Dr. Atwood is an expert in physical chemistry, crystal engineering, X-ray crystallography, inorganic chemistry, and polymer chemistry, and has consulted widely with the pharmaceutical industry. Teva’s expert witness on claims construction is Dr. Eugene Fiese. He has a PhD in pharmaceutical chemistry and is also a consultant to the pharmaceutical industry, and has experience in the areas of pre-formulation and pharmaceutics, as well as dosage form development.

[287]       As was noted earlier in these reasons, both sides agree that the experts called by their opponents are qualified to give the opinions that they have expressed, although the applicants do take issue with the way that Dr. Fiese came to his opinion.

[288]       I understand the applicants’ primary argument to be that Claim 1 explicitly describes the structural formula for the atazanavir bisulfate salt that it claims, and that this structural formula limits the scope of the claims. In accordance with the naming convention established by the International Union of Pure and Applied Chemistry (IUPAC), the applicants say that the structural formula depicted in Claim 1 is the structure for the anhydrous Type-I atazanavir bisulfate crystals, and not the structural formula for the hydrous Type-II crystals. As a result, the applicants submit that Claim 1 was written in such a way as to exclude any crystal salt form that has water regularly incorporated into the lattice, such as the Type-II atazanavir bisulfate salt.

[289]       The applicants say that this argument is dispositive of the construction issue. That said, they have several other arguments to support their assertion that the claims of the ’736 patent encompass only Type-I atazanavir bisulfate crystals.

[290]       The first of these alternate arguments is the applicants’ contention that three of the advantageous properties of the bisulphate salt claimed in the ’736 patent are unique to Type-I crystals, and not Type-II crystals, as the properties in question are more consistent with those of anhydrous crystals than hydrated crystals.

[291]       First, the applicants note that the salt of the invention is explicitly stated to have excellent physical solid-state stability. Hydrated crystals are relatively unstable, and their tendency to attract water can lead to stability problems. Indeed, Dr. Fiese agreed in his cross-examination that the hydrated bisulfate salt is unstable in storage conditions, while the anhydrous salt is very stable. It is thus evident, the applicants say, that the advantage of stability belongs only to Type-I atazanavir bisulfate crystals and not to the hydrated Type-II crystals.

[292]       The applicants further observe that the purpose of the inventors was to describe a salt that could be used as a pharmaceutical dosage form. Type-II atazanavir bisulfate salts are hygroscopic. “Hygroscopicity” refers to a crystal’s tendency to attract moisture from the environment. The fact that Type-II crystals are unstable as a result of their hydration and hygroscopicity means that they would not be acceptable for use in the pharmaceutical formulation of an oral dosage form.

[293]       The applicants also note that, although it later attempted to resile from this position, Teva admitted in its NOA that the only stability testing that was described in the ’736 patent was testing done using Type-I crystals. The applicants argue that as Justice Hughes observed in Merck & Co. v. Pharmascience Inc., 2010 FC 510, “ … the Notice of Allegation is like a pleading. Once a second party has taken a position as to fact or law, it cannot be seen to resile from that position. This is particularly so since a Notice of Allegation cannot be amended once Court proceedings have been commenced”: at para. 96.

[294]       The applicants say that Type-I crystals have a second advantageous property that is not shared by Type-II crystals. That is, Type-I crystals exhibit unique solubility/dissolution behaviour in that it transforms, in situ, to a sulfate salt of intermediate solubility. According to the applicants, this transformation provides formulation benefits. In contrast, other types of salts convert to a useless gel or to the relatively insoluble (and therefore relatively useless) free base.

[295]       The applicants make similar arguments insofar as the solubility and oral bioavailability of Type-I crystals are concerned. Consequently, the applicants say that the invention disclosed in the patent pertains only to Type-I crystals. It would, moreover, be inconsistent with this disclosure and a purposeless construction to read the claims of the ’736 patent as including unsuitable Type-II salts.

[296]       The applicants’ next alternate argument is that the ’736 patent expressly describes what it calls “the characterizing properties of the preferred bisulphate salt”, which characterizing properties are those of the Type-I atazanavir bisulfate salt, and not the Type-II salt. The elemental analysis of the preferred bisulphate salt is that of Type-I salt crystals, and the melting point of the desired form of crystal is that of the Type-I salt, with the Type-II atazanavir bisulfate salt having a different melting point.

[297]       The applicants’ third alternate argument is a legal one based upon the decision of the Supreme Court of Canada in Burton Parsons Chemicals, Inc. v. Hewlett-Packard (Canada) Ltd., [1976] 1 S.C.R. 555. There the Supreme Court held that courts will not and should not construe patent claims to cover embodiments that the POSITA knows cannot work.

[298]       The Supreme Court explained at pages 564-565 of Burton Parsons that while the construction of a patent is a matter for the Court, it is to be done in light of the knowledge that would be possessed by the POSITA. Where the POSITA would know that using a particular compound would not be useful for the purpose intended, the patent should not be construed as encompassing such a use.

[299]       In this case, the applicants say that the problem that the inventors of the invention of the ’736 patent set out to address was to make a stable dosage form of atazanavir, and that Claim 2 of the patent is a claim to a pharmaceutical dosage form of the atazanavir bisulfate salt of Claim 1. According to the applicants, the ’736 patent teaches the skilled person that Type-II atazanavir bisulfate salt crystals are not suitable for a pharmaceutical dosage form as they are unstable and hygroscopic. The applicants therefore submit that given this teaching, the claims should accordingly not be read as covering unsuitable Type-II crystals.

[300]       The applicants point out that Dr. Fiese never expressly stated that Type-II salt crystals were acceptable for use as a pharmaceutical dosage form, and Teva has itself admitted in its NOA that Type-II crystals are not a suitable pharmaceutical dosage form. After noting that Type-II crystals are a hydrated, hygroscopic form of crystal, Teva’s NOA states that because of the properties of the Type-II atazanavir bisulfate salt, the POSITA “would not consider the Type-II crystals to be acceptable for use in a pharmaceutical formulation”.

[301]       The applicants submit that Teva has since attempted to resile from this position. However, as was noted earlier, once a second party has taken a position as to fact or law in its NOA, it cannot resile from that position: Merck & Co., above at para. 96.

[302]       Finally, the applicants say that Teva’s construction has to be rejected as, if one were to accept it, the claims of the ’736 patent would then cover every form of atazanavir bisulphate including amorphous forms, as well as solids, liquids, gels or gasses. This does not reflect a purposive construction, given that the very first sentence of the patent states that the invention is “a novel crystalline bisulfate salt” of atazanavir [my emphasis].

[303]       The applicants thus submit that the ’736 patent is clear: the only bisulfate salt claimed in in the patent are Type-I atazanavir bisulfate crystals. To construe the claims of the patent as covering Type-II crystals requires the POSITA to effectively rewrite the patent – something that the law does not permit.

[304]       The applicants note that their proposed construction of the claims of the ’736 patent is also consistent with the evidence of Dr. Ronald J. Sawchuk. Dr. Sawchuk has a PhD in chemisty, and is the applicants’ expert in the field of pharmacokinetics.

[305]       Dr. Sawchuk’s evidence primarily related to the issue of the alleged obviousness of the invention claimed in the ’736 patent. Dr. Sawchuk was, however, asked in cross-examination for his opinion as to the meaning of the ’736 patent. Dr. Sawchuk stated his unequivocal opinion that Claim 1 of the patent would only ever be read by a person of ordinary skill, reading the patent as a whole, to be claiming Type-I atazanavir bisulfate crystals. The applicants contend that Dr. Sawchuk’s opinion should be given significant weight as he had never discussed his opinion as to the proper construction of the claims of the ’736 patent  with counsel for the applicants.

(iii)               Teva’s Position on Construction

[306]       Teva asserts that the claims of the ’736 patent are not limited to Type-I atazanavir bisulfate salt crystals, but encompass both the Type-I and Type-II forms of atazanavir bisulfate salts. This argument is supported by the opinion of Dr. Fiese.

[307]       Because Type-II atazanavir bisulfate crystals do not work, Teva says that it follows that the claims of the patent are over-broad, and that the ’736 patent is thus invalid.

[308]       To accept the applicants’ construction, Teva says that the Court would have to construe both claims in the ’736 patent as excluding the product of Example 3, even though it is expressly described in the patent as being one of the specific embodiments of the invention. The Court would also have to redraft the specification, adding the words “of Type-I” before “atazanavir bisulphate of Formula II” (Formula I being atazanavir itself). Finally, the Court would have to find that the phrase “of Formula II” has different meanings in the disclosure of the ’736 patent than it does in the patent’s claims.

[309]       Teva starts its construction argument by noting that the title of the ’736 patent is “Bisulfate Salt of HIV Protease Inhibitor”, making no mention of any specific salt crystal form. Nor does the title mention Type-I or Type-II salt crystals, or that the salts covered by the claims of the patent are hydrates or anhydrates. The summary of the invention describes the invention as providing “the bisulphate salt of compound 1 [the free base of atazanavir] … having the structural formula II”, again without any mention of Type-I or Type-II atazanavir bisulfate salt crystals.

[310]       Teva notes that the detailed description of the invention states that “[t]he bisulphate salt may be prepared by forming a solution of free base of compound 1 with sulphuric acid in solvents such as acetonitrile, isopropanol, ethanol or acetone and then isolating the so-produced bisulphate salt” [my emphasis]. Teva argues that this is significant, as isopropanol is the solvent that is used to make Type-II crystals, while at least two of the other solvents listed make Type-I salt crystals.

[311]       The patent goes to state that “[b]ecause of high bioavailability, as well as good crystallinity and stability, the bisulphate salt is very useful in preparing oral dosage forms of compound 1” and “[t]he examples which follow illustrate preparation of representative oral formulations”. Example 3, it will be recalled, makes the Type-II atazanavir bisulfate salt.

[312]       The specific embodiments of the invention are central to Teva’s construction argument. According to the patent, Examples 1, 2 and 3 of the ’736 patent all make bisulphate salts “of formula II”. However, the methods described in Examples 1 and 2 produce Type-I atazanavir bisulfate salt crystals, whereas the Example 3 process makes the Type-II salt.

[313]       The product of Example 1 is described as “the desired crystalline bisulfate”. The applicants say that this indicates that the Type-I salt is the desired form. However, Teva points out that no such language appears with respect to the product of Example 2, which also produces Type-I crystals. According to Teva, this limits the significance of the fact that the Type-II crystals produced at Example 3 are not described in the patent as “the desired crystalline bisulfate”.

[314]       Teva further points out that the only reference to Type-I and Type-II salt crystals in the ’736 patent appears at the end of Example 3, where it is noted that powder x-ray diffraction revealed that the salt crystals obtained using isopropanol are different from the crystals obtained by using the other solvents identified in the patent. The salt crystals obtained using isopropanol are called Type-II crystals, whereas the crystals obtained by using the other solvents are called Type-I crystals.

[315]       Type-I salts are described in the ’736 patent as being anhydrous/desolvated crystalline material, while Type-II salts are stated to be a hydrated, hygroscopic crystalline salt form. Immediately after this statement, Example 4 of the specification - which relates to the preparation of capsule formulations of bisulphate salts - describes these formulations as containing “the bisulphate salt of formula II”, without distinguishing between Type-I and Type-II atazanavir bisulfate crystals.

[316]       Teva contends that as it appears in the ’736 patent, the phrase “the bisulphate salt of formual II” is akin to a defined term, and that the phrase is used in the specification of the patent to refer to both Type-I and Type-II atazanavir bisulfate salt crystals. Where a patentee has included something in a patent’s specification that tells the reader that for the purpose of the specification he or she is using a particular word or phrase with a meaning that it then set out, the reader will then know that when he or she gets to the claims that the word or phrase must be read as having that meaning: Lundbeck Canada Inc. v. Ratiopharm Inc., 2009 FC 1102, [2009] F.C.J. No. 1466, at para. 46, citing Minerals Separation North American Corp. v. Noranda Mines Ltd., [1952] J.C.J. No. 2, 69 RPC 81, 15 C.P.R. 133, at para.17. The Privy Council went on to observe in the Minerals Separation case, however, that this is an awkward method of drafting, and should be avoided.

[317]       Claim 1 of the ’736 patent refers to the atazanavir bisulfate salt having formula II. This is the same linguistic formulation that appears in the patent’s disclosure, where it is used in reference to both Type-I and Type-II atazanavir bisulfate salt crystals. When the POSITA reads the embodiments of an invention, he or she would understand that such embodiments would be part of the invention that has been made and claimed. Given that Claim 1 of the patent claims bisulfate salts having formula II, it follows, Teva says, that Claim 1 includes both Type-I and Type-II atazanavir bisulfate crystals.

[318]       According to Teva, the fact that there is a structural formula appearing in Claim 1 of the patent does not change the meaning of the phrase, even though what is depicted in the structural formula is the structure of Type-I atazanavir bisulfate salt crystals, and not the Type-II salt.

[319]       Consequently it follows, Teva says, that the both Type-I and Type-II atazanavir bisulfate crystals are claimed in the ’736 patent.

[320]       Teva further submits that in order to find as a matter of law that Claim 1 is limited to Type-I bisulphate crystals, this Court would have to redraft the patent’s specification and strike out the words “atazanavir bisulphate of formula II” from the wording of Example 3. According to Teva, Dr. Atwood’s construction of the claims of the ’736 patent is inconsistent with one of the specific embodiments of the invention, and he had to ignore the words “of formula II” in Example 3 in order for his claims construction to make sense. Teva says that Dr. Atwood has, moreover, admitted that Claim 1 could include anhydrous Type-II bisulfate crystals.

[321]       In his cross-examination, Dr. Atwood agreed that the invention claims the bisulfate salt of atazanavir that is described in the patent as being “of Formula II”. He further accepted that the patent says that “the bisulfate salt” may be made by using one of the methods described in the patent, and that, when reading the ’736 patent, the POSITA would understand the specific embodiments of the patent as being examples of how to practice the invention.

[322]       Dr. Atwood further agreed that Example 4 of the patent (which is the oral dosage form) refers to two different formulations, both using “the bisulfate salt of formula II”, and that this is what is being claimed in Claim 1. He initially suggested that these formulations were probably made with Type-I crystals, but when it was pointed out to him that Example 4 did not say that, he had to agree that “the patent is silent as to the origin of the bisulphate salt”. He thus agreed that when the patent speaks of the bisulphate salt of formula II, or the bisulphate of formula II, “it’s referring to what’s being claimed in Claim 1”.

[323]       It flows from this, Teva says, that because Claim 2 relates to a pharmacological dosage form comprising the bisulfate salt in Claim 1, and Claim 1 claims “the bisulfate salt of formula II”, the claims include both Type-I and Type-II atazanavir bisulfate salt crystals, as both are “bisulfate salt(s) of formula II”.

[324]       In his cross-examination, Dr. Atwood was directed to the portion of Example 3 of the ’736 patent where it says that the bisulfate salt made by the method using isopropanol (which is the Type-II salt) is a crystalline “bisulfate salt of Formula II”. Dr. Atwood became confused at this point, as he was equating the phrase “bisulfate salt of Formula II” with Type-I crystals.

[325]       It was then put to him by Teva that given that Type-II crystals were also being described as “bisulfate salt of Formula II”, it would logically follow that this meant that Type-II crystals were also claimed in Claim 1 of the patent. Dr. Atwood responded “I think crystalline bisulphate salt of Formula II, that would be an interpretation.” Dr. Atwood then went on to note that this could not be right, as the melting point for the product of Example 3 was that of the dihydrate, and that it also had a different X-ray diffraction pattern (XRPD) from that of Type-I crystals.

[326]       Dr. Atwood then stated that there was something about Example 3 that he did not understand. Although he did not think that the drafters of the patent had made a mistake, Dr. Atwood stated that in order to make sense of the example, one would have to read “of formula II” out of Example 3. He explained that doing so would “make sense of the example because it’s clear that from the rest of the example that these are not the bisulphate salt of formula II”. That is, they were not Type-I atazanavir bisulfate salts.

[327]       In other words, Dr. Atwood could not reconcile the wording of Example 3 with his own construction of the patent’s claims. Teva thus submits that Dr. Fiese’s construction of the claims of the ’736 patent should therefore prevail, that is, that the claims cover both Type-I and Type-II atazanavir bisulfate crystals.

[328]       Teva argues that claims construction has to be carried out based upon what the patent does say, and not what the patentee thinks that it should say, and that Dr. Atwood is trying to read the claims down to conform with the applicants’ position. Teva contends that while a patent must be read by a mind willing to understand and not by a mind desirous of misunderstanding, a claim in a patent “is not to be treated ‘like a nose of wax which may be turned and twisted in any direction, by merely referring to the specification, so as to make it include something more than, or something different from, what its words express’”: Janssen-Ortho Inc. v. Canada (Minister of Health), 2010 FC 42 at para. 98, [2010] F.C.J. No. 333 (Janssen methylphenidate), citing White v. Dunbar, 119 U.S. 47 (1886) at pp. 51-52.

[329]       If the invention of the ’736 patent was just the Type-I salt form, Dr. Fiese stated that the skilled person would expect to see some reference to Type-I salts in the first pages of the patent, or at least some indication that the invention was a specific crystalline form. In this case, the inventors were clearly aware that there were different types of atazanavir bisulfate crystals, yet the term “Type-I crystals” appears only once in the entire patent - on the last page of the disclosure - and then only in the context of the examples. The skilled person would, moreover, expect to see the term “Type-I crystals” mentioned in the patent’s claims, if that was what was being claimed, but nowhere in the claims does it say that.

[330]       Teva says that an expert can properly give evidence as to what the POSITA would expect in the claims of a patent if the inventors intended to limit their claims to a specific polymorph, as a skilled person is not ignorant to how patent claims are drafted: Teva Canada Ltd. v. Pfizer Canada Inc., 2012 SCC 60, [2012] S.C.J. No. 60, at para. 80. Indeed, Dr. Atwood himself agreed that there is typically some polymorph designation in the claims of a patent.

[331]       Although there is no doubt as to what the drafters of the ’736 patent were trying to achieve in this case, Teva says that when they chose to draft their claims and use the words that they use in their examples (which they describe as specific embodiments of the invention), they ran afoul of the Patent Act. In claiming a type of atazanavir bisulfate salt that does not work, Teva says that the inventors’ claims are broader than they now wish them to be, and that the claims are, moreover, broader than the invention.

[332]       If the inventors have misspoken, Teva says that this amounts to a “self-inflicted wound”: Free World Trust, above at para. 51. This is because it is ultimately the inventor who has the responsibility for ensuring that the language of the claims reflects the essential elements of the invention over which the inventor wishes to have a monopoly: Janssen methylphenidate, above at para. 101.

[333]       Dr. Atwood further agreed that nowhere does the’736 patent expressly state that it excludes the hydrous form of crystalline atazanavir bisulphate salts, and that none of the testing discussed in the patent had been done on Type-II crystals. Teva disputes this, pointing out that stability testing and XRPD tests were indeed performed on Type-II crystals.

[334]       Dr. Atwood asserts that where the phrase “the bisulphate salt” appears in the ’736 patent, the POSITA would understand that to refer to Type-I crystals. Teva responds to this by submitting that it would have been easy for the drafters of the ’736 patent to make the claims clear simply by adding “Type-I” to Claim 1, or by specifying that it was “anhydrous” crystals that were being claimed. They could, moreover, have had separate claims for Type-I and Type-II atazanavir bisulfate salt crystals, yet they chose not to do so. Instead, Teva says that they chose to include something in the claims that lacked utility, and Dr. Atwood had to resort to a strained construction of the claims, reading in words that are not present and reading out other words that are there, in an attempt to make his construction make sense.

[335]       What Teva described as its “auxiliary argument” on construction is that when an inventor says that his or her invention has certain embodiments described in the patent, one intuitively says “well, that’s got to be the invention”.  A claim construction that excludes a preferred embodiment is rarely correct, and such an interpretation would require highly persuasive evidence to support it: Epos Technologies Ltd. v. Pegasus Technologies Ltd., CAFC 2013-1330, Dyson Technology Limited v. Samsung Gwangju Electronics Co. Limited, [2009] EWHC 55 (Pat) at para. 92.

[336]       While Teva has not cited any Canadian authority that is directly on point, it says that a claims construction that is inconsistent with a patent’s own examples or preferred or specific embodiments simply does not make sense. The applicants have, moreover, not identified a single case from any jurisdiction where an example described as a specific embodiment of the invention which is said to produce the very compound claimed in the claims was not within the claims themselves.

[337]       In conclusion, Teva says that properly construed, the ’736 patent covers all forms of atazanavir bisulfate salt and not just Type-I salt crystals. The Type-II atazanavir bisulfate salt is a specific embodiment of the invention of the ’736 patent, and it comfortably falls within the express words of Claim 1. If the inventors misspoke by not limiting the claims of the patent to Type-I atazanavir bisulfate salt crystals, then that is a self-inflicted wound.

[338]       Although its position on this point has not always been consistent, Teva says in its NOA that Type-II atazanavir bisulfate crystals will not work as a pharmacological formulation. As a consequence, if the Court were to accept its construction of the ’736 patent, the patent is invalid as the claims of the patent are broader than the invention and that the applicants’ application for prohibition must therefore be dismissed.

(iv)              Construction Analysis

[339]       As was previously noted, there are two forms of atazanavir bisulphate salts, known as the Type-I and Type-II bisulphate salts. The issue that divides the parties in relation to the proper construction of the ’736 patent is whether the patent claims only the Type-I bisulfate salt, or whether it also claims other forms of bisulfate salts of atazanavir, in particular, the Type-II bisulfate salt.

[340]       While both sides have put forward compelling arguments favoring their respective positions as to how the patent’s claims should properly be construed, I have concluded that the applicants’ construction of the patent’s claims is to be preferred. Construing the claims of the ’736 patent for myself, I have concluded that Claim 1 is a claim to the Type-I bisulfate salt of atazanavir, while Claim 2 covers the pharmaceutical dosage form containing the Type-I bisulfate salt of atazanavir, together with a pharmaceutically acceptable carrier.

[341]       In coming to this conclusion, it is important to have regard to certain general legal principles governing the construction of patents. While I have already discussed some of the principles governing the construction of patents earlier in these reasons, there are certain principles that bear discussing in greater detail as they relate to the proper construction of the ’736 patent.

[342]       I would start by observing that in the absence of any evidence to the contrary, patents are presumed to be valid: Patent Act, section 43. The jurisprudence also teaches that Courts should endeavour to interpret the claims of a patent in a way that gives effect to the intention of the inventor, and should, moreover, endeavour to support a truly meritorious invention.

[343]       As the Supreme Court of Canada observed in Free World Trust, above at paragraph 51, “[t]he words chosen by the inventor will be read in the sense the inventor is presumed to have intended, and in a way that is sympathetic to accomplishment of the inventor's purpose expressed or implicit in the text of the claims”.

[344]       A patent must not, however, be construed “with an eye on the allegedly infringing device in respect of infringement or with an eye to the prior art in respect of validity to avoid its effect”: Whirlpool Corp. v. Camco Inc., 2000 SCC 67 at para. 49 (Whirlpool).

[345]       It is the claims - and not the disclosure - that are “the essence of a patent”, and it is the claims that must be interpreted: Teva Canada Ltd. v. Novartis AG, 2013 FC 141 at para. 76, [2013] F.C.J. No. 182. While the specification does describe the invention, the scope of the monopoly is defined by the claims. Indeed, in Free World Trust, above at paragraph 40, the Supreme Court affirmed “the primacy of the claims language”.

[346]       As the Supreme Court further stated in Whirlpool, above at paragraph 45: “[t]he key to purposive construction is therefore the identification by the court, with the assistance of the skilled reader, of the particular words or phrases in the claims that describe what the inventor considered to be the “essential” elements of his invention” [my emphasis].

[347]       That said, the Court may, where necessary, have resort to the disclosure to assist in the exercise: Eli Lilly Canada Inc. v. Apotex Inc., 2008 FC 142 at para. 25, 63 CPR (4th) 406, aff'd 2009 FCA 97, 78 C.P.R. (4th) 388; Eli Lilly Canada Inc. v. Novopharm Ltd., 2007 FC 596 at para. 103, 58 C.P.R. (4th) 214. That is, the Court should construe the claims of a patent in light of the description in the specification, assisted by experts as to the meaning of technical terms, as well as the science and the state of the art as of the date the claim was published, as understood by a person skilled in the art: Shire Biochem, above at para. 22; Whirlpool, above at para. 45.

[348]       While one can look to the specification where the claims of a patent are not clear, there is a clear limitation on the use that can be properly made of it. It is not permissible to read the specification in order to construe the claims more narrowly or widely than the text will allow: Plavix #1, at para. 77.

[349]       Moreover, as the Federal Court of Appeal recently held in ABB Technology AG v. Hyundai Heavy Industries Co., 2015 FCA 181, at paragraph 45, “[w]here patent language can bear more than one equally plausible meaning, one must adopt a “reasonable view” of patent language to ‘afford the inventor protection for that which he has actually in good faith invented’ [citation omitted]”. This principle does not, however, mean that in all cases the Court must adopt “any arguable interpretation that would uphold the patent”.

[350]       While the Court may obtain the assistance of experts, claims construction is a matter of law, and it is ultimately the role of the Court, and not the experts, to construe the claims: Whirlpool, above at para. 61.

[351]       In this case, Claim 1 of the ’736 patent clearly identifies the structural formula of the claimed bisulfate salt of atazanavir, depicting it as:

[352]       I do not understand there to be any disagreement between the experts that the POSITA would understand that the explicit reference in the ’736 patent to Type-I salts being “anhydrous/desolvated” means there are no water molecules or any solvating molecules regularly incorporated into the lattice of Type-I salt crystals. In contrast, the skilled person would have understood that describing Type-II salts as being in “a hydrated, hygroscopic crystalline form” means that this type of crystal contains water molecules that are regularly incorporated into the lattice of the crystal structure.

[353]       Dr. Atwood says that water that is regularly incorporated into the lattice of a hydrated salt crystal must be indicated in the structural formula for the salt crystal, if it is to be described accurately.

[354]       In contrast, Dr. Fiese stated in his affidavit that while the inclusion of •0.2H2O in a structural formula would be understood to signify a hydrate, the opposite is not true. That is, according to Dr. Fiese’s initial evidence, the absence of water in a structural formula for a salt crystal does not necessarily mean that salt is an anhydrate.

[355]       In his cross-examination, however, Dr. Fiese stated that the skilled person would never include •H20 in the structural formula of a compound that did not have water incorporated into the crystal structure of the salt. He further stated that where a salt crystal had water regularly incorporated into the lattice, that water had to be included as •H2O in the structural formula for the crystal if the salt crystal is to be described accurately.

[356]       Dr. Atwood further stated that the POSITA would know that the only correct structural formula for Type-II atazanavir bisulfate salts would be written as [atazanavir formula]•H2SO4•2H2O, with the first “2” in the •2H2O reflecting the fact that there are two water molecules incorporated into the crystal lattice of Type-II crystals. I do not understand Dr. Fiese to disagree with Dr. Atwood on this point.

[357]       The experts further agree that there is no “•H2O” included in the structure of the bisulfate salt of atazanavir that is depicted in Claim 1 of the ’736 patent.

[358]       According to Dr. Atwood, the POSITA would understand that the absence of any “•H2O” in the structural formula for the bisulfate salt depicted in Claim 1 of the ’736 patent means that Claim 1 was written to exclude any salt crystal form having water regularly incorporated into the crystal lattice, as is the case with Type-II atazanavir bisulfate salts. From this, Dr. Atwood says that the POSITA would understand that Claim 1 of the ’736 patent only covers Type-I salts, and that Claim 2 of the patent covers only pharmaceutical dosage forms comprising Type-I atazanavir bisulfate salts, and not the Type-II salt form.

[359]       Teva does not disagree with Dr. Atwood that in accordance with the IUPAC naming convention, the structural formula appearing in Claim 1 of the ’736 patent depicts only anhydrous atazanavir bisulfate salt crystals. However, Teva contends that the fact that the structural formula in Claim 1 does not include any bound water (that is water that is regularly incorporated into the lattice of a hydrated crystal) does not mean that it necessarily excludes hydrated forms of atazanavir bisulfate crystals, such as the Type-II salt form.

[360]       Teva says that this is because the drafters of the ’736 patent did not follow the naming convention elsewhere in the patent, and that it should not therefore be assumed that the structural formula in Claim 1 was correctly drafted.

[361]       According to Teva and Dr. Fiese, the elemental analysis in Example 2 demonstrates how naming conventions were not used in a consistent manner by the drafters of the ’736 patent. Teva says that the experts agreed that the •0.2H2O contained in the elemental analysis in Example 2 indicated that the product of the method described in that example is a hydrate, even though both sides agree these salt crystals made using acetone are in fact anhydrous Type-I salts.

[362]       Teva says that this is a “red flag”, indicating that the naming convention relied upon by the applicants to support their construction of Claim 1 of the ’736 is not being used consistently within the patent. This, they say, is a good reason not to rely on the IUPAC convention to construe Claim 1 of the patent as excluding Type-II salt crystals, even though they are expressly described in Example 3 of the patent as being one embodiment of “the bisulphate salt of Formula II”.

[363]       I do not accept this argument as it mixes apples with oranges. Teva is confusing the naming convention that governs how water is depicted in chemical formulae with that governing how bound and unbound water are depicted in structural formulae in an attempt to demonstrate inconsistent use of the IUPAC naming convention.

[364]       As was noted earlier, the fact that a salt form such as Type-I atazanavir bisulfate crystals is described as “anhydrous” does not mean that there is no absorbed or adsorbed surface water in or on the salt crystals. The presence of this type of water is, however, treated differently in describing the formula of the salt in question, depending on whether the description is contained in a chemical formula or a structural formula.

[365]       The parties agree that the presence of “bound” water must be indicated in the structural formula for a hydrous crystal if it is to be described accurately. It is thus common ground that the structural formula for a hydrated crystal such as Type-II bisulfate crystals would include the “•H2O” to the right of the “•H2SO4” on the right side of the diagram in Claim 1. There is no such water indicated in the structural formula of the crystal claimed in Claim 1 of the ’736 patent.

[366]       At the same time, unbound or non-structural water would not properly be included in the structural formula for crystals such as Type-I salts because it does not form part of the lattice structure of such crystals. Such non-structural water would, however, be noted in the chemical formula for anhydrous crystals, in order to reflect the crystals’ elemental analysis.

[367]       The formula for Type-I crystals described in Example 2 of the ’736 patent is a chemical formula, and not a structural formula, which is why the formula includes the •0.2H2O in the elemental analysis. This does not mean that the Example 2 crystals are hydrates, nor does it mean that the IUPAC naming convention has not been applied consistently by the drafters of the ’736 patent.

[368]       Teva also contends that Dr. Atwood admitted in cross-examination that not all of the examples in the ’736 patent followed the IUPAC convention. However, when Dr. Atwood’s evidence on this point is reviewed in its entirety, it is clear that he understands the reference to water in Example 2 to relate to unbound water and that it has to be treated as such in describing the formula of the Type-I crystals made using the method described in Example 2.

[369]       The experts agree that unbound water such as that referred to in Example 2 should not be included in the structural formula appearing at Claim 1 of the ’736 patent. Consequently, Teva has not persuaded me that the drafters of the ’736 patent did not consistently follow the IUPAC naming convention in the specification of the patent. Nor has Teva persuaded me that the structural formula appearing at Claim 1 should thus be disregarded, or be interpreted to cover Type-II atazanavir bisulfate crystals, when it clearly does not include hydrated salts of that nature.

[370]       Teva also argued that although Dr. Atwood initially stated that Claim 1 of the ’736 patent only encompassed Type-I crystals, he later “changed his tune” and conceded that Claim 1 would also cover dehydrated forms of Type-II bisulfate salt crystals. I place little stock on this answer, however, as it is by no means clear that dehydrated forms of the Type-II bisulfate salt would in fact still be Type-II salt crystals, because Type-II salt crystals are characterized by the fact that they are hydrated. Indeed Dr. Atwood testified that he had never seen such a thing as dehydrated or anhydrous forms of Type-II bisulfate crystals.

[371]       I would further note that the ’736 patent explicitly states that the invention relates to “a novel crystalline bisulfate salt” of atazanavir [my emphasis]. Dr. Fiese admitted in cross-examination that his proposed construction would have the patent’s claims covering non-crystalline forms of atazanavir bisulfate such as solids, liquids and gasses. Given that these forms are not what the patent discloses to be the invention, it follows that the claims should not be read in the manner proposed by Dr. Fiese and Teva.

[372]       Finally, insofar as Teva’s “auxiliary argument” is concerned, as was noted earlier, Teva has not cited any Canadian authority supporting its contention that a claim construction that excludes a preferred embodiment is unlikely to be correct. While I agree that it is puzzling why the drafters of the ’736 patent would include an embodiment that was not suitable for the intended purpose of the invention, at the end of the day, I have not been persuaded that, in addition to Teva’s other arguments relating to Example 3, the presence of Example 3 in the specification of the ’736 patent is enough to override the express text of Claim 1.

[373]       Given my conclusion that the structural formula in Claim 1 of the ’736 patent only encompasses Type-I atazanavir bisulfate salts, it is not necessary to address the applicants’ alternate construction arguments.

(v)                Conclusion on the Proper Construction of the ’736 patent

[374]       For these reasons, I have concluded that the claims of the ’736 patent should be construed as follows:

1.                  Claim 1 is a claim to the Type-I bisulfate salt of atazanavir;

2.                  Claim 2 is a claim to the pharmaceutical dosage form containing the Type-I bisulfate salt of atazanavir together with a pharmaceutically acceptable carrier.

B)                 Is Teva’s Allegation of Obviousness Justified?

[375]       The final issue is Teva’s allegation that the ’736 patent is invalid because the invention claimed by the patent was obvious in light of the ’840 patent.

[376]       Teva says that as of 1998, the POSITA would know from atazanavir’s structure that it was not very water soluble - something that could be determined using well-known techniques. A skilled person would also have known, Teva says, that converting atazanavir to a salt would be one way to improve its oral bioavailability.

[377]       Teva further submits that the POSITA would know from the ’840 patent that atazanavir salts could be made, and that it would be more or less self-evident to conduct a salt screen using a variety of acids, one of which would have been sulfuric acid. This would inevitably have led to the making and testing of atazanavir bisulfate salts.

[378]       A salt is an ionic compound that is formed when a base (such as atazanavir) is combined with an acid. A salt may have different properties that its parent compound such as solubility, dissolution rate, stability and hygroscopicity.

[379]       A “salt screen” is a process whereby scientists attempt to make different salts of a compound using different acids and solvents. When salts are formed, they are investigated in order to determine whether they have suitable properties for further development. The parties agree that “salt screens” were a standard technique used by pharmaceutical companies in 1998 - one that did not require any inventive ingenuity. Indeed, the ’840 patent itself teaches that salts of atazanavir can be prepared in a manner known per se, one example of which would be by treating atazanavir with a suitable acid such as sulfuric acid.

[380]       Teva further asserts that the POSITA did not have to be able to predict every one of the advantageous properties of Type-I atazanavir bisulfate crystals for the invention to be obvious. It is enough, Teva says, that the POSITA would have had a fair expectation of success for it to have been obvious to try making a salt of atazanavir using sulfuric acid.

[381]       The applicants agree that the ’840 patent discloses the atazanavir molecule and also discloses that salts of atazanavir can be made with a variety of acids, including sulfuric acid. They point out, however, that ’840 patent does not disclose whether reaction with sulfuric acid will create a bisulfate or a sulfate salt. Nor does the ’840 patent teach which solvent conditions should be used, whether any salt so formed will be a crystalline solid and, if so, what its crystalline form will be. Most importantly, the applicants say, the ’840 patent does not disclose the properties of any atazanavir salt, let alone the Type-I atazanavir bisulfate salt.

[382]       I do not understand the parties to disagree that creating salt forms by using acids was a well-known technique for improving the solubility of compounds such as atazanavir. Where the applicants disagree with Teva is with respect to the extent to which the POSITA has to be able to foresee the results of a salt screen for a salt so created to be obvious.

[383]       The applicants do not agree with Teva that improving a compound’s solubility will inevitably improve its bioavailability. While accepting that the POSITA would have known that it was indeed possible that a salt of atazanavir would be more soluble than the free base, and that it might also be more orally bioavailable, the applicants say that a possibility of finding the invention is not enough. According to the applicants, the lack of a priori knowledge regarding the various advantageous properties of Type-I atazanavir bisulfate, including its improved bioavailability, is fatal to Teva’s obviousness allegation.

[384]       The applicants further submit that the POSITA would have had no way of predicting that the Type-I atazanavir bisulfate salt would be in a crystalline solid form, or that it would demonstrate superior solid-state physical stability that was paradoxical in light of the salts’ improved solubility. The applicants also contend that no one could have anticipated that the Type-I atazanavir bisulfate salt would convert in vitro from the bisulfate to the sulfate salt – something that could advantageously be exploited in formulations having increased or extended release in vivo, including once-a-day dosing.

[385]       Teva says that the applicants’ suggestion that the test for whether something was “obvious to try” requires that the properties of the resulting salt be predictable a priori is inconsistent with the entire approach to obviousness set down by the Supreme Court in Plavix #1.  That is, Teva says that the applicants seek to replace the expansive, flexible approach to obviousness established in Plavix #1 with a rigid bright-line test whereby a salt could never be obvious if the POSITA could not have predicted all of the properties of the salt, no matter how mechanically routine the process was by which the salt was obtained.

[386]       It is enough, Teva says, that the POSITA would have a fair expectation of success for something to be “obvious to try”, and that the applicants are “splitting hairs” between the “more or less self-evident to try” test recently espoused by the Federal Court of Appeal in Plavix #2, and the “fair expectation of success” test.

[387]       In contrast, the applicants say that it had to be more or less self-evident that by performing a salt screen, a salt would be created that has the particular constellation of advantages that are shared by Type-I atazanavir bisulfate crystals – namely crystallinity, oral bioavailability, solid-state stability, and in situ transformation behaviour. According to the applicants, these four properties were unpredictable, could not have been expected and were thus not obvious.

[388]       Before considering these arguments, however, I will start by reviewing the work that was done by the team at BMS in order to arrive at the invention claimed in the ’736 patent.

(i)                  The Development of the Type-I Atazanavir Bisulfate Salt

[389]       The ’840 patent describes a liquid formulation of atazanavir, and not an oral solid dosage form. To get around the problems with atazanavir’s lack of solubility, the inventors of the ’840 patent had dissolved the free base of atazanavir in a solvent, thereby creating a liquid formulation. They then pumped the liquid formulation directly into the stomachs of laboratory animals in order to get the atazanavir into the animals’ blood. According to the applicants, this is where BMS “picked up the baton” in the race towards developing a stable crystalline solid form AIDS drug that would work “in the real world”.

[390]       Evidence as to the work that was done by BMS to arrive at the invention claimed in the ’736 patent was provided by Mark Lindrud. Mr. Lindrud is a senior research scientist at BMS and was part of the drug development team at BMS that was assigned to atazanavir. Mr. Lindrud is one of the named inventors of the invention claimed in the ’736 patent.

[391]       BMS was aware that the free base of atazanavir was relatively insoluble and that it exhibited poor bioavailability. According to Mr. Lindrud, scientists at Novartis had used various formulation strategies to improve the bioavailability of atazanavir, including solutions in citric acid, as well as aqueous or oil-based suspensions.

[392]       The Novartis scientists had also experimented with salt forms of atazanavir, but had not been able to obtain crystalline forms of some of the salts, finding that many samples formed undesirable hydrates, and that some salts were too corrosive to use in the manufacturing process. The applicants argue that Novartis’ purported failure to identify an appropriate salt form supports a finding of non-obviousness. However, while Mr. Lindrud’s affidavit described the problems that Novartis had encountered in developing a crystalline salt of atazanavir, he did not have any first-hand knowledge of the work that was done at Novartis, and we thus have no way of knowing how much time and effort was devoted to this aspect of the research done at Novartis.

[393]       While Mr. Lindrud had no first-hand knowledge of the work that was done at Novartis, he was able to confirm that the scientists at BMS understood from the outset that the insolubility of the free base of atazanavir was one of the biggest hurdles that they faced in trying to develop a pharmaceutical formulation of atazanavir.

[394]       Mr. Lindrud’s team knew that making salts of a compound may improve the compound’s solubility, and that this could, in turn, possibly result in an increase in its oral bioavailability. After discussing and rejecting other possible strategies, the BMS team decided to pursue a salt strategy in an attempt to identify a suitable candidate for further development.

[395]       The goal of the BMS team was to find a crystalline salt of atazanavir that had high solubility, acceptable thermal properties, low hygroscopicity, good stability and acceptable oral bioavailability. According to Mr. Lindrud, his team did not know before making and testing the salts which, if any, of them would have some or all of the desired properties.

[396]       Mr. Lindrud says that there were many acids that could have been used in attempting to make salts of atazanavir, and that his team’s initial attempts to form salts were unsuccessful in that no crystalline salt forms were obtained. The applicants say that this highlights the fact that it is impossible to predict whether a crystalline solid salt will form in advance of experimental testing. We do not know, however, what salts were attempted or how many were tried, nor do we know what the difficulties were with each of the salts that were formed. We also do not know how much time and effort went into the making and testing of these salts.

[397]       What we do know is that the BMS team succeeded in making atazanavir salts using nine different acids on the first day of the project.

[398]       One of the acids that they used was sulfuric acid, which made the bisulfate salt of atazanavir. Mr. Lindrud says that his team could not have predicted in advance whether the salts formed by using sulfuric acid would be sulfate or bisulfate salts, or what the properties of these salts would be.

[399]       Mr. Lindrud acknowledged in cross-examination that it took his team approximately six weeks or so to characterize both Type-I and Type-II atazanavir bisulfate salts insofar as matters such as their solubility, melting points, hygroscopicity and solid state stability were concerned. At this point, the decision was made to select the Type-I atazanavir bisulfate salt for further development. An internal BMS memo states that this selection process had been completed within 9 weeks.

[400]       Additional work remained to be done with respect to the Type-I salt, however, in order to ascertain its bioavailability and long-term stability. According to Mr. Lindrud, it took 13 months to complete the final phase of the project, including carrying out the dog studies that were required to ascertain the bioavailability of the Type-I salt.

[401]       Teva notes, however, that BMS had identified the Type-I atazanavir bisulfate salt as the final form for further development before the bioavailability study in dogs was done, submitting that while the dog studies determined that the bisulphate salt exhibited absolute bioavailability of 20 per cent, this simply confirmed what had been expected by Mr. Lindrud and his team.

[402]       In contrast to the situation that confronted the Supreme Court in Plavix #1, Teva says that there was nothing long or arduous about the inventors’ actual course of conduct in this case.

(ii)                The Identity of the Person Skilled in the Art

[403]       In deciding whether the invention claimed in the ’736 patent was obvious, the first step requires me to identify the person skilled in the art: Plavix #1, above.

[404]       I do not understand there to be any material dispute as to the characteristics of the skilled person to whom the ’736 patent is addressed. The POSITA in this case is an individual or group involved in pre-formulation, including salt selection, who also has an understanding of bioavailability and pharmacokinetics. Some of the individuals on the team making up the composite POSITA would have education in physical, organic or analytical chemistry, either at the graduate or undergraduate level, depending on the person’s degree of experience in the pharmaceutical industry.

(iii)               The Relevant Common General Knowledge

[405]       I understand the parties to generally agree as to the state of the art as of January 20, 1998, and that that the most relevant prior disclosure is the ’840 patent.

[406]       As of January 20, 1998, the POSITA would have understood that salt screens were a well-known and routinely used pre-formulation procedure employed by the pharmaceutical industry to identify salts with a suitable combination of properties for the intended route of administration.

[407]       Salt screens were, moreover, routinely used in cases where the POSITA was trying to enhance the solubility of a relatively insoluble compound such as atazanavir, as it was well-known that salts tend to be more soluble than a free base. It was also known that that good solubility was required for a compound to be bioavailable.

[408]       The POSITA would also have known from the ’840 patent that salts of atazanavir can be made using suitable inorganic acids, for example:  hydrohalic acids (such as hydrochloric acid), phosphoric acid or sulfuric acid. Indeed, sulfuric acid is specifically identified as being a suitable acid in the ’840 patent. Sulfuric acid is the acid used to make Type-I atazanavir bisulfate salts.

[409]       It was also generally known that sulfuric acid could be used to form both sulfate and bisulfate salts, although whether reacting atazanavir with sulfuric acid would generate a sulfate salt or a bisulfate salt depended on the solvents used and unknown and unpredictable reaction conditions.

[410]       A standard salt screen would, in the normal course, test for polymorphism. Different solvents would be used to see if the salts so formed could exist in more than one form, and the properties of the different forms of salt would be assessed as part of the standard screening process.

[411]       It was also generally known that different salt forms can have markedly different properties – some useful and some not. The experts agree that these properties (including a salt’s crystallinity, solubility, bioavailability and stability) cannot be predicted in advance of the salt actually being made and tested, with the result that the POSITA would not know in advance which salts would be suitable for selection.

[412]       Finally, it is also not really contested that the POSITA would have expected that a salt screen would likely identify at least one salt that would have improved pharmaceutical properties when compared to the free base.

(iv)              The Inventive Concept of the ’736 Patent

[413]       The second step of the obviousness inquiry requires the Court to identify the inventive concept of the claim in question, or, if that cannot readily be done, construe it.

[414]       The problem that the inventors of the invention claimed the ’736 patent set out to address was atazanavir’s poor solubility and oral bioavailability. These limited the compound’s utility as an oral pharmacological treatment for HIV.

[415]       As noted in the previous section of these reasons, the applicants have acknowledged that the use of salt screens would be routine in cases such as this where a skilled person was trying to enhance the solubility of a compound, and the experts agree that there was at least a good possibility that forming a salt of a compound would improve the compound’s solubility. As a consequence, the applicants do not assert that the improved solubility of the Type-I atazanavir bisulfate salt forms part of their inventive concept.

[416]       The applicants say that the inventive concept of the ’736 patent has four aspects: crystallinity, oral bioavailability of the solid, stability, and what they call the in situ transformation behaviour of the Type-I atazanavir bisulfate salts claimed in the patent. The applicants submit that these properties were unpredictable, could not have been expected, and were not obvious.

[417]       Unlike the ’840 patent, Teva made no allegation regarding the inventive concept of the ’736 patent in its NOA. However, Dr. Fiese submitted that the inventive concept of the patent is simply a pharmaceutical salt, namely atazanavir bisulfate, and a pharmaceutical formulation of atazanavir bisulfate.

(a)                Bioavailability

[418]       Teva submits that there is nothing in the ’736 patent stating that Type-I atazanavir bisulfate salts have increased bioavailability over the free base of atazanavir, and there is no comparative data to other salts in the patent, with the result that the comparative statements in the patent cannot be justified. Teva also says that there is no mention of the in situ transformation behaviour of Type-I atazanavir bisulfate in the patent, with the result that it cannot form part of the patent’s inventive concept.

[419]       Teva submits in its memorandum of fact and law that there was nothing surprising or unexpected in confirming that the Type-I salt form having increased bioavailability relative to the insoluble free base. However, this argument goes to whether the invention claimed in the patent was obvious, and not the patent’s inventive concept.

[420]       Claim 1 of the ’736 patent is a claim to a bare chemical compound and Claim 2 is simply a pharmaceutical dosage form for the Type-I bisulfate salt of atazanavir. Neither claim says anything about the properties of the Type-I bisulfate salt. That said, as was noted earlier, the Supreme Court held in Plavix #1 that advantageous properties of a compound can form part of the inventive concept of a patent, even where those properties are not mentioned in the patent’s claims.

[421]       The Supreme Court has further confirmed that where the inventive concept of the claims in a patent is not readily discernable from the claims themselves (as may be the case with a bare chemical formula), it is appropriate to read the specification in the patent to determine the inventive concept of the claims: Plavix #1, at para. 77.

[422]       In this case, the specification of the ’736 patent discloses that the inventors set out to develop an atazanavir salt having suitable oral bioavailability and that their research led to the discovery of the novel Type-I atazanavir bisulfate salt. The patent discloses that these salts are a non-hygroscopic, anhydrous/desolvated solid that has good crystallinity, improved oral bioavailability and good stability, all of which make it useful in preparing pharmaceutical dosage forms.

[423]       Insofar as the question of bioavailability is concerned, Dr. Fiese states that the data in the ’736 patent is insufficient to support the allegedly improved bioavailability of Type-I atazanavir bisulfate salts being part of the inventive concept of the patent. This raises a question of utility, however, and the jurisprudence teaches that at this stage of the analysis, the inventive concept of a patent is to be construed without regard to issues of validity: Allergan (FCA), above at paras. 64-65, [2012] F.C.J. No. 1467, Whirlpool above at para. 49. I agree with the applicants that any insufficiency in the disclosure of the ’736 patent would not be a legal reason to ignore the inventors’ statements about what the invention is for the purpose of construing the inventive concept of the patent.

[424]       The ’736 patent further notes that the free base of atazanavir “has poor bioavailability in animals”, and that the inventors were seeking to improve its bioavailability. The patent states that the “present invention provides … unexpectedly superior aqueous solubility/dissolution behaviours compared to other salts, and significantly improved oral bioavailability in animals compared to the free base”.

[425]       The patent then goes on to provide additional information regarding the in vivo comparison of the bioavailability of Type-I atazanavir bisulfate salt in dogs relative to that of the free base of atazanavir. The 20% absolute oral bioavailability of the Type-I atazanavir bisulfate salt in dogs was a demonstrated improvement over the “minimal” absolute oral bioavailability of the free base.

[426]       The ’736 patent thus promises to deliver a compound that has “significantly improved bioavailability compared to the free base of atazanavir” and I am thus satisfied that the inventive concept of the ’736 patent includes the improved oral bioavailability of Type-I atazanavir bisulfate salts over that of the free base of atazanavir.

(b)               Crystallinity

[427]       The ’736 patent also discloses that the invention claimed in the patent is the “novel crystalline bisulfate salt of [atazanavir]”. It further states that because of its properties, including its crystallinity, the bisulfate salt is “very useful in preparing oral dosage forms of [atazanavir]”. Dr. Atwood and Dr. Fiese further agree that crystalline solids are the most desirable solid form of salts, and that while salts will almost always form provided that appropriate acids are used, not all of the resulting salts will precipitate into a solid form. Some will form oils or gels or other forms that are not suitable for use in drug formulation.

[428]       The patent further discloses that atazanavir can be made into a crystalline bisulfate salt that is not hygroscopic or solvated/hydrated. I understand Dr. Atwood and Dr. Fiese to agree that hydrous salts tend to be less physically stable than anhydrous salts.

[429]       Teva says that there is no proof that Type-I atazanavir bisulfate crystals are in fact anhydrous, noting that the inventors had only done preliminary testing and that the patent only states that Type-I atazanavir bisulfate salt “appear to be anhydrous”. Teva also points to the chemical formula for Type-I crystals in Example 2 of the ’736 patent, which includes water.

[430]       Here once again, Teva is confusing a chemical formula with a structural formula. The water shown in the chemical formula in Example 2 is not structural water, and the fact that water is included in a chemical formula does not mean that the compound in question is a hydrate. I have, moreover, construed the claims of the patent as claiming the anhydrous Type-I bisulfate salt of atazanavir, and am further satisfied that Type-I atazanavir bisulfate salt is indeed anhydrous. Given the advantages of these properties, the anhydrous crystalline solid form nature of Type-I atazanavir bisulfate salts is thus part of the inventive concept of the ’736 patent.

(c)                Stability

[431]       The ’736 patent further states that satisfactory solid-state physical stability is another desirable property of pharmaceutical salt forms, and that the bisulfate salt claimed in the patent “exhibited excellent solid-state physical stability over nine months when stored at 40°C and 75% relative humidity”. Indeed, Dr. Atwood and Dr. Fiese agree that based upon the data in the patent, Type-I atazanavir bisulfate salts are very stable, and I am satisfied that the solid-state physical stability of the salt is part of the inventive concept of the ’736 patent.

[432]       Dr. Atwood and Dr. Fiese also agreed that, as a general rule, solubility and stability trend in opposite directions: that is, an increase in the physical stability of a compound will usually result in a decrease in the compound’s solubility. In this case, the ’736 patent states that although Type-I atazanavir bisulfate crystals are the most soluble of the salts tested, they are paradoxically also very stable. While Dr. Fiese contends that there is insufficient data in the ’736 patent to prove that the Type-I atazanavir bisulfate salt is more stable than atazanavir, he agreed that it would be paradoxical if the Type-I atazanavir bisulfate salt had both good bioavailability and good stability.

[433]       Whether or not the free base of atazanavir is stable is not the question. The inventors’ point was that they were able to develop a much more soluble form of atazanavir that still had satisfactory physical stability. I further understand the experts to agree that stability is an advantageous characteristic in pharmaceutical formulations, and I agree that the stability of Type-I atazanavir bisulfate salts is part of the inventive concept of the ’736 patent.

[434]       This leaves the question of what the applicants call the in situ transformation behaviour of the Type-I atazanavir bisulfate salts.

(d)               The In Situ Transformation Behaviour

[435]       According to the applicants, the ’736 patent discloses that Type-I atazanavir bisulfate salt transform in situ into a sulfate salt of intermediate solubility. The applicants say that this provides formulation benefits, and should be included as part of the inventive concept of the patent.

[436]       Dr. Atwood states that with an acidic compound, one would expect that any undissolved solid would be in the form of the free base. While this would be the expectation, the ’736 patent discloses that in actual fact, the undissolved solid of the bisulfate salt is transformed into the crystalline sulfate salt, while other types of salts either convert into gels that are unstable and unsuitable for manufacturing an oral dosage form, or the relatively insoluble free base. This, Dr. Atwood says, could not have been predicted, and contributes to the superior stability and improved bioavailability of the Type-I crystals. It can, moreover, be advantageous in designing and making dosage forms, including those for a more extended release.

[437]       According to Dr. Sawchuk, the applicants’ expert in pharmacokinetics, the fact that the bisulfate salt provides a reservoir of a relatively slower-dissolving atazanavir salt would afford a prolonged drug absorption phase which could, in turn, provide an advantageous extended release profile in the body and a prolonged presence of atazanavir in the blood. This could provide potential advantages, Dr. Sawchuk says, in the design of oral formulations of atazanavir which could not have been known to exist in advance of the experiments disclosed in the ’736 patent.

[438]       Teva notes that the ’736 patent does not mention that the in vitro conversion of the bisulfate to the sulfate salt could advantageously be exploited in formulations having increased or extended release, including once-a-day dosing. While not disputing the observed behavior of Type-I atazanavir bisulfate salts, Dr. Fiese says that there was insufficient data to conclude that most salts would convert to the free base, with the exception of the bisulfate salt.

[439]        It is also not clear that the behaviour observed in an in vitro experiment was unusual or unexpected, and Dr. Fiese says that while it might be of academic interest, it has little relevance to the actual bioavailability of atazanavir or the bisulfate salt in vivo. Dr. Fiese further states that the skilled person would not have any expectation that the in vitro conversion to another salt of intermediate solubility would provide any advantage in vivo, and that the alleged transformative behaviour of the bisulfate salt has no practical application in a dosage form to be administered to humans or animals. He also says that the possibility of this property being useful in designing dosage forms would never have occurred to the skilled person.

[440]       There is, moreover, no mention of this potential application in the ’736 patent, Dr. Fiese notes, and it is nothing more than speculation on the part of Dr. Atwood and Dr. Sawchuk. Indeed, Dr. Sawchuk admitted in cross-examination that he did not know if the transformation would occur in vivo, only that it was possible that it could occur.

[441]       Dr. Fiese also says that this transformative behavior indicates a lack of physical stability of the atazanavir bisulfate salt, undermining the applicants’ claim that the stability of the Type-I atazanavir bisulfate crystals should be included as part of the inventive concept of the ’736 patent.

[442]       Dealing with this last point first, Dr. Fiese had to concede in cross-examination that immersion in water is not a standard storage stress condition. The in situ transformative behaviour of the Type-I atazanavir bisulfate salts is thus not evidence of instability as instability is defined in the patent. Type-I atazanavir bisulfate salts are stable according to that definition, as they hold their crystal form under standard storage stress conditions. Moreover, as was noted earlier, Dr. Fiese himself conceded that Type-I atazanavir bisulfate salts were very stable. As a consequence, I reject Dr. Fiese’s claim that in situ transformative behaviour of the Type-I atazanavir bisulfate salt is evidence of the salt’s instability.

[443]       I do, however, agree with Dr. Fiese that the inventive concept of the ’736 patent should be construed to exclude the alleged advantage in the design of oral formulations of atazanavir resulting from the so-called in situ transformation behaviour of the Type-I atazanavir bisulfate salts that was observed in vitro.

[444]       As Dr. Fiese noted, the ’736 patent does not state that the in vitro conversion of the bisulfate to the sulfate salt could be advantageous in formulations to be used in vivo having increased or extended release. As to what the POSITA would understand from the information contained in the ’736 patent, all Dr. Sawchuk could say was that it was possible that the conversion of the bisulfate to the sulfate salt could occur in vivo.

[445]       In my view, the mere possibility that something might happen that could potentially have advantages insofar as the design of oral formulations of atazanavir is concerned is insufficient to include the in vitro conversion of the bisulfate to the sulfate salt as part of the inventive concept of the ’736 patent. I agree with Teva that if this “reservoir” theory was so apparent to the skilled person, as alleged by the applicants, it is remarkable that it was entirely overlooked by the named inventors.  Moreover, its significance insofar as an oral formulation of Type-I atazanavir bisulfate salts is concerned, was, at best, speculation on the part of the applicants’ experts.

(e)                Conclusion Regarding the Inventive Concept of the ’736 Patent

[446]       I therefore find that the inventive concept of the ’736 patent includes the improved oral bioavailability in animals of Type-I atazanavir bisulfate salts over the free base of atazanavir. It also includes the salt’s anhydrous crystalline solid form and its solid-state physical stability.

[447]       The next stage of the obviousness inquiry requires the Court to identify what, if any, differences exist between the “state of the art” and the inventive concept of the ’736 patent. The Court must then ascertain whether, when viewed without any knowledge of the alleged invention as claimed, those differences constituted steps that would have been obvious to the POSITA, or required any degree of invention.

(v)                Were the Differences Between the State of the Art and the Inventive Concept of the ’736 Patent Obvious?

[448]       Teva has not pursued its allegation that the invention claimed in the ’736 patent was anticipated, and I do not understand it to suggest that any of the advantageous properties that I have identified as forming part of the inventive concept of the patent were disclosed in the prior art. Where the parties disagree is with respect to whether it was obvious to try to make salts of atazanavir in an effort to improve its solubility and bioavailability, and the extent to which the inventors of the ’736 patent had to be able to predict the advantageous properties of the Type-I atazanavir bisulfate salt such as its crystallinity and stability. I will deal with this latter question first.

(a)                The Extent to Which an Inventor has to be Able to Predict the Advantageous Properties of a Compound for the Invention of the Compound to be Obvious

[449]       Section 28.3 of the Patent Act states that that to be patentable, the subject-matter of the patent must “not have been obvious on the claim date to a person skilled in the art or science to which it pertains”.

[450]       As was noted earlier, Teva says that the law does not require that a POSITA be able to predict each of the Type-I atazanavir bisulfate salt’s advantageous properties for the invention of the salt to be obvious. According to Teva, it is enough that the POSITA would have a fair expectation of success for it to be “obvious to try” making a salt of atazanavir using sulfuric acid.

[451]       In contrast, the applicants submit that that the law requires more than just a possibility of finding an invention for the invention to be obvious. According to the applicants, it had to be more or less self-evident that by performing a salt screen, a salt would be created that has the particular constellation of advantages that are shared by the Type-I atazanavir bisulfate salt. The applicants further submit that the advantageous properties of the Type-I salt were unpredictable and could not have been expected, and that the inventors’ lack of advance knowledge of the various advantageous properties of the Type-I atazanavir bisulfate salt is fatal to Teva’s obviousness allegation.

[452]       In order to determine which approach is correct, it is necessary to review the recent jurisprudence dealing with this question.

[453]       The starting point for this discussion is the Federal Court of Appeal’s description of the test for obviousness in Beloit, above, where the Court stated that in determining whether an invention was obvious, the Court should not ask “what competent inventors did or would have done to solve the problem”, as “[i]nventors are by definition inventive”. Rather, the “classical touchstone” in assessing obviousness is “the technician skilled in the art but having no scintilla of inventiveness or imagination; a paragon of deduction and dexterity, wholly devoid of intuition; a triumph of the left hemisphere over the right”. The question that the Court has to ask “is whether this mythical creature […] would, in the light of the state of the art and of common general knowledge as at the claimed date of invention, have come directly and without difficulty to the solution taught by the patent”. According to the Federal Court of Appeal, this is a very difficult test to satisfy.

[454]       In Plavix #1, the Supreme Court was dealing with a selection patent. It noted that if the compound selected has been made before, the selection patent “would fail for want of novelty”.  However, if the selected compound is indeed novel, and “‘possess[es] a special property of an unexpected character’, the required ‘inventive’ step would be satisfied” and that, in this regard, a selection patent is no different than any other patent: at para. 9, citing In re I. G. Farbenindustrie A. G.’s Patents (1930), 47 R.P.C. 289 (Ch. D.).

[455]       The Court then addressed the test for obviousness, particularly as it related to the concept of “obvious to try”. After noting that both the United States and the United Kingdom accept that an “obvious to try” test can be relevant to the obviousness inquiry, the Court stated that the Beloit description of obviousness was not to be applied in an “acontextual” manner to all classes of claims. Whether something was “obvious to try” was just one of a number of factors that should be considered, having regard to the context and the nature of the invention.

[456]       As was noted earlier, the Court stated that that an “obvious to try” test might be appropriate in areas such as pharmaceuticals, “where advances are often won by experimentation”, noting that “there may be many chemically similar structures that can elicit different biological responses and offer the potential for significant therapeutic advances”. The Supreme Court held that to be “obvious to try”, there must be evidence to convince a judge on a balance of probabilities that it was “very plain” or “more or less self-evident” that what is being tested ought to work. The mere possibility that something might turn up will not be enough: Plavix #1, above at paras. 65, 68.

[457]       Where the Court determines that the “obvious to try” test is appropriate, a non-exhaustive list of several factors should be taken into consideration, depending on the evidence in the case. In addition to determining whether it was more or less self-evident that what is being tried ought to work, the Court should also consider whether there were a finite number of identified predictable solutions that were known to the POSITA. The Court should additionally consider what actually happened in achieving the invention, including the nature, extent and degree of effort that was required and whether it merely involved routine trials or prolonged and arduous experimentation. Finally, the Court should consider whether the prior art provided a motive to find the solution the patent addresses.

[458]       The Federal Court of Appeal has subsequently confirmed that the test for whether something is “obvious to try” is whether it is more or less self-evident to try to obtain the invention, and not whether the POSITA had good reason to pursue predictable solutions or solutions that provide a fair expectation of success: Eli Lilly Canada Inc. v. Mylan Pharmaceuticals ULC, 2015 FCA 286 at para. 4.

[459]       Teva places much stock on the decision in Ratiopharm Inc. v. Pfizer Limited, 2009 FC 711, aff’d 2010 FCA 204, where Justice Hughes found a salt to be obvious, notwithstanding the fact that the evidence showed that the properties of a salt depend on the unpredictable structure of its solid form. The conclusion that the invention was obvious to try in that case was the result of the factual finding that the POSITA would have been motivated to test sulphonic acid salts in general, and would, moreover, have had every reason to test a particular salt, as it had already been shown to offer advantages over other salts in terms of stability.

[460]       This brings us to Plavix #2, the decision that was the primary focus of the applicants’ submissions. In Plavix #2, the Federal Court of Appeal held that the lack of knowledge of the properties of a compound meant that it was not obvious to try to obtain that compound.  The applicants say that in this case, the POSITA could not have predicted the properties of the bisulfate salt of atazanavir and that the invention of the Type-I atazanavir bisulfate salt was therefore not obvious to try.

[461]       It is, however, important to put the Federal Court of Appeal’s comments in Plavix #2 into context. Plavix #1 was a proceeding under the PM(NOC) Regulations. After the innovator was successful before the Supreme Court, Apotex then commenced an impeachment action in the Federal Court, following which Sanofi sued for infringement. The two actions were then consolidated.

[462]       Apotex’s impeachment action succeeded at trial on the basis that the invention claimed in the patent in suit was obvious. The Federal Court of Appeal allowed the appeal, finding that the trial judge had erred in concluding that the patent was invalid on the basis of obviousness. Although the methods used to resolve a racemate that had been disclosed in the genus patent were part of the common general knowledge, the properties of the enantiomers of the racemate were unknown. Consequently, the Court found that the distance between the common general knowledge and the inventive concept of the patent could not be bridged by routine experimentation.

[463]       As the Federal Court of Appeal observed in Plavix #2, the key factor in the Supreme Court’s “obvious to try” analysis in Plavix #1 was the lack of knowledge of the properties of the enantiomers of the compounds of the genus patent, including the racemate from which compound in issue was obtained. While the method for resolving racemates was well-known, without advance knowledge of the properties of the enantiomers, it was not obvious to try to resolve the racemate in order to obtain the enantiomer having advantageous properties.

[464]       The trial judge had found as a fact that it was not possible to predict the properties of the separated enantiomers. According to the Federal Court of Appeal, it was this lack of knowledge that had led the Supreme Court to hold that it was not more or less self-evident that what was being tried ought to work. Because of this lack of knowledge, the POSITA would not have thought of separating the racemate in question and testing its enantiomers in order to obtain the benefit of its properties, when the existence and nature of those properties were unknown: Plavix #2 at para. 79.

[465]       The Federal Court of Appeal found that it followed from this that although the resolution of the racemate was part of the common general knowledge, nothing turned on this as it was the unknown nature of the properties of the enantiomers that explained why the invention was not “obvious to try”: at para. 80.

[466]       As was the case in Plavix #2, the applicants here say that the inability to predict the properties of the bisulfate salts of atazanavir in this case is fatal to the “obvious to try” analysis.

[467]       There is, however, an important factual distinction between this case and the Plavix cases, including Plavix #2. The Plavix cases involved a selection patent, where the genus patent had disclosed over 250,000 possible different compounds useful for inhibiting platelet aggregation activity in the blood. The genus patent described 21 specific examples of compounds coming within the terms of the patent, one of which was a racemate known as PCR 4099.

[468]       While nothing in the genus patent distinguished PCR 4099 from other compounds disclosed or tested in terms of therapeutic effect or toxicity, it turned out that one isomer of PCR 4099 allegedly had greater therapeutic effect and less toxicity than the other compounds of the genus patent, and it was this discovery that was the invention claimed in the patent in suit in the Plavix cases.

[469]       The important question in the Plavix cases was whether there was a motive provided in the prior art for the POSITA to resolve the compounds covered by the genus patent, particularly PCR 4099, into their optical isomers.

[470]       The trial judge in Plavix #2 had found as a fact that, at the relevant time, PCR 4099 was part of the common general knowledge, although its properties were not. The judge further found that resolution methods were well-known, and that there was motivation to separate PCR 4099 into its enantiomers. He further found that there was a well-known and well-established method of obtaining salts of the compounds resulting from such separation, including the isomers of PCR 4099. As a result he concluded that the invention of the patent in issue was obvious to try.

[471]       On appeal, the Federal Court of Appeal noted in Plavix #2 that nothing distinguished PCR 4099 from any of the other compounds disclosed or tested in the genus patent in terms of therapeutic effect or toxicity. Indeed, the genus patent did not differentiate between the efficacy and the toxicity of any of the compounds that it covered. The POSITA would not, moreover, have known of the relative advantage of one of the isomers of PCR 4099 over the other.

[472]       It was in this context that the Supreme Court had previously stated that the key factor in its ‘obvious to try’ analysis was the POSITA’s lack of knowledge of the properties of the enantiomers of the compounds of the genus patent, including the racemate from which invention was obtained. The Supreme Court further held that without that knowledge, it was not obvious to try to resolve the racemate, (or any other compound in the genus for that matter), so as to obtain the enantiomer having the advantageous properties. The Federal Court of Appeal came to the same conclusion in Plavix #2.

[473]       What is central to the analysis in Plavix #2 is that the trial judge had found as a fact that the genus patent did not point, directly or indirectly, to PCR 4099. Consequently, the fact that the POSITA could not have predicted properties of enantiomers of PCR 4099 meant that there was no motivation for the skilled person to focus on that particular racemate over the others disclosed in the patent, or to try to resolve it.

[474]       In other words, while the methods used to resolve racemates were well-known, the fact that the existence and nature of the advantageous properties of PCR 4099 were not known meant that the POSITA would not have been aware that PCR 4099 was something special to look at. Indeed, the skilled person simply would not have thought to separate PCR 4099 and test its enantiomers in order to obtain the benefit of its properties.

[475]       This was a factual finding based upon the evidence in that case. I do not understand the finding of the Federal Court of Appeal in Plavix #2 that, on the facts of that case, it was not obvious to try to resolve the PCR 4099 racemate to stand for the blanket proposition that in every case where a skilled person cannot predict the properties of a compound in advance of making it, it will not be obvious to try to obtain that compound.

[476]       The final case that Teva relies on in this regard is the decision of this Court in Gilead, above. There Justice Barnes was considering a salt patent for a different HIV treatment, and he noted that “the strength of the ability to predict success is the lynchpin to an obvious to try analysis and not necessarily whether the means or methods employed to arrive at the result were well-known”, and that “[a]n obviousness challenge will not succeed if the prior art only establishes that something might work”: at paras. 33 and 35.

[477]       The innovator in Gilead argued that there were multiple choices available to a POSITA in developing a suitable salt of the parent compound, and “no clear pathway” to the use of the acid from which the salt in question was made. Justice Barnes found that the fact that there were multiple pathways available to the person of skill did not necessarily mean that a claimed invention was not obvious: at para. 82, citing Hoffman-La Roche Ltd v. Apotex Inc., 2013 FC 718 at paras. 316-341, [2013] F.C.J. No. 844.

[478]       Although the POSITA might not have been able to predict with a high degree of certainty that fumaric acid could be used to produce an acceptable salt formulation of the compound in question, Justice Barnes nevertheless found that “there would still be an expectation that, with routine screening of a handful of acidic salt formers, one or more acceptable compounds would emerge”: at para. 82.

[479]       Despite the innovator’s assertion that the choice of acid was counterintuitive, and that its success as a useful salt former was unpredictable, it had presented no evidence regarding the inventive history behind the salt patent. Justice Barnes found that, in the absence of such evidence, it could be inferred that the development of the salt “was routine and not the end product of an onerous or inventive process of discovery”, and was, moreover, “neither surprising nor inventive”: at paras. 83-84. In this case we do have evidence as to the inventors’ course of conduct, the significance of which will be discussed further on in these reasons.

[480]       From these cases I take the following principles:

1.                  Whether something was “obvious to try” is one of a number of factors that should be considered at the fourth stage of the obviousness inquiry;

2.                  For something to be “obvious to try”, there has to be evidence establishing on a balance of probabilities that it was “very plain” or “more or less self-evident” that what is being tested ought to work;

3.                  The mere possibility that something might work is not enough;

4.                  The Court should also consider whether there were a finite number of identified predictable solutions that were known to the POSITA;

5.                  Also relevant is the history of the invention and whether it involved routine trials or prolonged and arduous experimentation;

6.                  The Court should also consider whether the prior art provided a motive to find the solution the patent addresses.

(b)               The Application of these Principles to this Case

[481]       As the Supreme Court observed in Plavix #1, the pharmaceutical industry is intensely competitive: at para. 90. There was, moreover, a tremendous need in 1998 for an effective treatment for HIV/AIDS, which was, to that point, a deadly disease. Indeed, as was noted earlier, there were many academic institutions and more than a dozen research-based pharmaceutical companies working on the problem.      

[482]       In contrast to the more than 250,000 compounds disclosed in the genus patent in the Plavix cases, in this case, atazanavir was specifically distinguished in the ’840 patent.

[483]       The inventors of the Type-I atazanavir bisulfate salt claimed in the ’736 patent were confronted with a situation where the free base of atazanavir had good anti-viral activity, but was relatively insoluble and had poor bioavailability in a solid form. There was thus the motivation for the POSITA to find a form of atazanavir that had better solubility and bioavailability than did the free base.

[484]       Mr. Lindrud’s team developed a salt of atazanavir that was more soluble than the free base of atazanavir, while paradoxically still being stable. The Type-I atazanavir bisulfate salt also had better bioavailability than the free base, and was in an anhydrous, non-hygroscopic crystalline form. All of these properties were advantageous in preparing oral formulations of atazanavir, and none had been seen in the prior art. The question is whether these improvements were obvious.

[485]       I understand the parties to agree that creating salt forms by using acids in a salt screen was a well-known technique for improving the solubility of compounds such as atazanavir. Teva notes that the POSITA would also have known from the ’840 patent that atazanavir salts could be made. Indeed, as was mentioned earlier, the applicants have not claimed that the improved solubility of Type-I atazanavir bisulfate salt over the free base is part of the inventive concept of the ’736 patent.

[486]       Where the parties disagree is with respect to whether it follows that improving the solubility of a compound such as atazanavir would necessarily improve its bioavailability. Dr. Fiese says that it would, while Drs. Atwood and Sawchuk say that although solubility is required for a compound to be bioavailable, it does not necessarily follow that a compound’s bioavailability will always be improved if the compound is made more soluble. While accepting that the POSITA would have known that it was indeed possible that making atazanavir more soluble would result in it also being more bioavailable, the applicant’ experts say that it was by no means clear that this would in fact be the case.

[487]       Dr. Sawchuk is the applicants’ expert in pharmacokinetics, which is the study of the how drugs are absorbed, distributed, metabolized and eliminated by the body (the so-called “ADME” factors). While Dr. Sawchuk conceded in cross-examination that increases in the solubility of a poorly soluble drug will “generally” or “often” enhance the drug’s bioavailability, he nevertheless stated that a drug’s solubility is not necessary predictive of its bioavailability. This is because the oral bioavailability of a drug is determined by the interaction of the various ADME factors, and factors other than solubility can have an impact on, or, in some cases, govern the observed bioavailability. Consequently, Dr. Sawchuk says that the POSITA would have known that differences in solubility would not necessarily translate into differences in oral bioavailability.

[488]       Dr. Sawchuk further states that the bioavailability of the Type-I atazanavir bisulfate salt would have been unknowable in advance of appropriate testing, such as the dog studies that were carried out by the inventors in this case. Such studies are, moreover, often very predictive, at least from a qualitative perspective, of pharmacokinetic behaviour in humans.

[489]       Dr. Atwood agreed in cross-examination that the POSITA would have known from the structure of atazanavir that it was lipophilic, and that increasing its solubility would improve its absorption. He agreed with Dr. Sawchuk, however, that while the POSITA would have expected that salts of atazanavir would have greater aqueous solubility than the free base, solubility is only one of a number of factors that can contribute to the bioavailability of a compound. According to Dr. Atwood, the link between the two was only established in this case once the dog studies conducted by Mr. Lindrud’s team were completed.

[490]       There was no teaching in the prior art  regarding the factors affecting the absorption, distribution, metabolism and elimination of atazanavir, and Dr. Atwood says that it would thus not have been self-evident to the POSITA that increasing atazanavir’s solubility would translate into any meaningful improvement in its oral bioavailability.

[491]       At best, Dr. Atwood says that the POSITA would have hoped that there would be a relationship between increased solubility and improved oral bioavailability, and that there would be no other impediments to increased bioavailability among the other ADME factors.

[492]       Dr. Fiese stated in his affidavit that given the structure of atazanavir, the POSITA would have had every reason to expect that salts of atazanavir would be more soluble than the free base, and that it would therefore have better bioavailability.

[493]       Although Dr. Fiese initially claimed in his cross-examination that it would be intuitively obvious that a salt would always be more bioavailable than the free base of the same compound, he later acknowledged that this was something of an overstatement, and that it was more accurate to say that the making of a salt would give you the possibility of improving a compound’s bioavailability.

[494]       I prefer the evidence of Dr. Sawchuk (and Dr. Atwood, to the extent that he agrees with Dr. Sawchuk) over that of Dr. Fiese. The relationship between solubility and bioavailability involves a question of pharmacokinetics, and Dr. Sawchuk is the only witness who is an expert in that field. Indeed, Dr. Fiese himself stated that he would defer to Dr. Sawchuk on questions of pharmacokinetics.

[495]       While I have accepted that differences in solubility do not necessarily always translate into differences in oral bioavailability, Dr. Sawchuk stated that increases in the solubility of a poorly soluble drug “generally” or “often” go hand-in-hand with an increase in the drug’s bioavailability. The POSITA would also have known from the ’840 patent that if atazanavir free base was dissolved in a solution, you could get over the bioavailability problem and obtain an active and potent protease inhibitor. I also do not understand the parties to disagree that making salts of a compound would likely turn up a salt that would be more soluble than the free base.

[496]       While it was not guaranteed that improving the solubility of the atazanavir free base would improve its bioavailability, that is not the test. Dr. Sawchuk says that increasing the solubility of a poorly soluble drug will generally increase the drug’s bioavailability. There was thus more than just a mere possibility that it would work in this case. Indeed, I am satisfied on a balance of probabilities that it would have been more or less self-evident to the POSITA that improving atazanavir’s solubility ought to improve its bioavailability. The parties agree, moreover, that nothing inventive was involved in making salts of atazanavir to try to improve its solubility.

[497]       In Plavix #2, the Federal Court of Appeal found that in light of the lack of information regarding the properties of the enantiomers of the PCR 4099 racemate, the POSITA would have no motivation to single out and try to resolve the racemate. In contrast, when confronted with the limited bioavailability of the free base of atazanavir in this case, the skilled person would have had every reason to try making salts of atazanavir in order to improve its solubility and bioavailability. It was therefore obvious to try.

[498]       Having done so, the POSITA would then have determined through standard animal studies that the general relationship between solubility and bioavailability identified by Dr. Sawchuk held true in this case.

[499]       Dr. Fiese stated in cross-examination that sulfuric acid is the second most commonly used salt-forming acid and would thus almost certainly have been included in a standard salt screen involving atazanavir. I am further satisfied that the POSITA would indeed have used sulfuric acid in a standard salt screen in light of the fact that some sulphates and bisulphates are included as potential salts on the “Berge list” of pharmaceutically approved salts: Berge et al, “Pharmaceutical Salts” (1977) 66 J. Pharm. Sci. 1].

[500]       A standard salt screen would, in the normal course, recrystallize salts in a variety of solvents. The applicants’ experts did not disagree with Dr. Fiese when he stated that he would certainly have used acetone as a solvent in a salt screen, acetone being the solvent used to produce Type-I atazanavir bisulfate salts.

[501]       In conducting a salt screen of atazanavir, the POSITA would, therefore, have come directly and without difficulty to the bisulfate salts of atazanavir. Standard techniques for characterizing the properties of these salts would then have disclosed the existence of Type-I and Type-II atazanavir bisulfate salts and the properties of each form, including the anhydrous non-hygroscopic crystallinity and solid state stability of the Type-I bisulfate salt form. While the POSITA would not have known in advance what the properties of each of the bisulfate salts would be, I do not understand the applicants to suggest that there was anything inventive about the techniques used to identify the characteristics of the Type-I atazanavir bisulfate salt.

[502]       That the POSITA would have come directly and without difficulty to the Type-I bisulfate salt of atazanavir is confirmed by what actually happened in this case. It will be recalled Mr. Lindrud’s evidence was that rather than wasting time and money going down blind alleys, the BMS team succeeded in making atazanavir salts (including the Type-I atazanavir bisulfate salt) on the very first day of their drug development project. Using routine techniques, it then took the team approximately six weeks or so to characterize both Type-I and Type-II atazanavir bisulfate salts insofar as matters such as their solubility, crystallinity, melting points, hygroscopicity and short-term solid state stability were concerned. I do not consider this process to have been either prolonged or arduous.

[503]       Indeed, Mr. Lindrud’s team was able to get to the Type-I atazanavir bisulfate salt “quickly, easily, directly and relatively inexpensively, in light of the prior art and common general knowledge”: Plavix #1 at para. 71. There is, moreover, no suggestion that they were working at a higher level than that which should be attributed to person skilled in the art. All of this supports a finding of obviousness.

[504]       Once the decision was made to select the Type-I atazanavir bisulfate salt for further development, Mr. Lindrud’s team continued with their bioavailability and longer-term stability studies. I understand that the stability studies essentially involved keeping the Type-I atazanavir bisulfate salts under stress conditions and evaluating their stability over time. There was nothing inventive about this, and although it took some time, it was not arduous. The dog studies similarly took some time, but were also routine and not arduous.

[505]       As a consequence, I find that to the extent that the inventive concept of the ’736 patent was the improved bioavailability in animals of Type-I atazanavir bisulfate salts over the free base of atazanavir, it was obvious.

[506]       Insofar as the anhydrous non-hygroscopic crystalline solid form and solid state stability of the Type-I bisulfate salt are concerned, the experts agree that both of these properties are advantageous in making pharmacological formulations. The experts further agree that these properties could not have been predicted in advance of the salts actually being made and tested.

[507]       That said, the fact that Type-I atazanavir bisulfate salts were stable, non-hygroscopic, anhydrous solid form crystals was easily discovered using routine techniques, without undue effort. The discovery of these inherent characteristics of the Type-I atazanavir bisulfate salt did not add anything inventive to the work that was done by Mr. Lindrud and his team at BMS: Janssen Inc. v. Teva Canada Ltd., 2015 FC 184, [2015] F.C.J. No. 161 at para. 100.

[508]       As a consequence, I find that the determination that Type-I atazanavir bisulfate salts were stable, non-hygroscopic, anhydrous solid form crystals was a serendipitous discovery made without prolonged or arduous work, and not an invention.

(vi)              Conclusion on Obviousness

[509]       I have concluded that insofar as the improved bioavailability of the Type-II atazanavir bisulfate salt is concerned, it was obvious. To the extent that the inventive concept of the ’736 patent included the fact that Type-I atazanavir bisulfate salts are stable, non-hygroscopic, anhydrous solid form crystals, the discovery of the inherent properties of the salt was not inventive.

[510]       I am therefore satisfied that the invention of the Type-I atazanavir bisulfate salt claimed in the ’736 patent was obvious.

C)                Conclusion Regarding the ’736 Patent

[511]       For the reasons given, I have concluded that Teva’s allegations as to the invalidity of the ’736 patent have been justified. As a consequence, the applicant’s application for an order pursuant to section 6 of the PM(NOC) Regulations prohibiting the respondent Minister of Health from issuing a Notice of Compliance to Teva for its atazanavir sulfate 150, 200 and 300 mg capsules until after the expiry of the ’736 patent is dismissed.

VI.              Costs

[512]       There was a brief discussion at the hearing of this application as to what the cost consequences should be if the applicants were to succeed with respect to the ’840 patent and not the ’736 patent. Given that the parties do not appear to agree on this point, I am prepared to consider brief submissions on the question of costs.

[513]       The applicants shall have 10 days from the date of my judgment to make submissions on costs (not to exceed five pages in length), including submissions as to why each side should not bear their own costs given the divided success in this matter. Teva will then have 10 days from the date of receipt of the applicants’ submissions to respond, with its submissions again not to exceed five pages in length. The applicants will then have five days for reply, their reply submissions not to exceed two pages in length.

 


JUDGMENT

THIS COURT’S JUDGMENT is that:

1.                  The applicant’s application for an order pursuant to section 6 of the PM(NOC) Regulations prohibiting the respondent Minister of Health from issuing a Notice of Compliance to Teva for its atazanavir sulfate 150, 200 and 300 mg capsules until after the expiry of the ’840 patent is granted;

2.                  The applicant’s application for an order pursuant to section 6 of the PM(NOC) Regulations prohibiting the respondent Minister of Health from issuing a Notice of Compliance to Teva for its atazanavir sulfate 150, 200 and 300 mg capsules until after the expiry of the ’736 patent is dismissed; and

3.                  This Court retains jurisdiction to deal with the issue of costs.

"Anne L. Mactavish"

Judge

 


FEDERAL COURT

SOLICITORS OF RECORD


DOCKET:

T-1364-14

 

STYLE OF CAUSE:

BRISTOL-MYERS SQUIBB CANADA CO., BRISTOL-MYERS SQUIBB HOLDINGS IRELAND AND NOVARTIS AG v TEVA CANADA LIMITED AND THE MINISTER OF HEALTH

 

PLACE OF HEARING:

Toronto, Ontario

 

DATE OF HEARING:

February 15, 2016 to February 19, 2016

 

PUBLIC JUDGMENT AND REASONS:

MACTAVISH J.

 

DATED:

June 8, 2016

 

APPEARANCES:

Andrew J. Reddon

Steven G. Mason

David A. Tait

Sanjaya Mendis

Martin Brandsma

 

For The Applicants

 

Marcus Klee

Jonathan Stainsby

Scott A. Beeser

 

For The Respondent

TEVA CANADA LIMITED

 

SOLICITORS OF RECORD:

McCarthy, Tetrault LLP

Barristers and Solicitors

Toronto, Ontario

 

For The Applicants

 

Aitken Klee LLP

Barristers and Solicitors

Ottawa, Ontario

 

For The Respondent

TEVA CANADA LIMITED

 

 You are being directed to the most recent version of the statute which may not be the version considered at the time of the judgment.