Federal Court Decisions

Decision Information

Decision Content

Date: 20160823


Docket: T-1694-14

Citation: 2016 FC 857

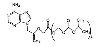
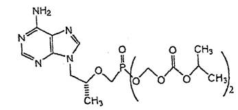
Ottawa, Ontario, August 23, 2016

PRESENT:    The Honourable Mr. Justice Brown

BETWEEN:

GILEAD SCIENCES, INC. AND
GILEAD SCIENCES CANADA, INC.

Applicants

and

THE MINISTER OF HEALTH AND
APOTEX INC.

Respondents

PUBLIC JUDGMENT AND REASONS

(Confidential Judgment and Reasons released July 21, 2016)

I.                   Nature of the Matter

[1]               This was originally an application for an order pursuant to section 6 of the Patented Medicines (Notice of Compliance) Regulations, SOR/1993-133 as amended, SOR/1998-166, SOR/1999-379, SOR/2006-242 (PM(NOC) Regulations) prohibiting the Minister of Health from issuing a Notice of Compliance (NOC) in respect of a Notice of Allegation (NOA) sent by Apotex Inc. (Apotex or the Respondent) to Gilead Sciences Canada, Inc. (Gilead or the Applicant) dated June 19, 2014 in respect of two Canadian Patents, namely Nos. 2,261,619 (619 Patent) and 2,298,059 (059 Patent) and tablets for oral administration containing tenofovir disoproxil fumarate (300 mg) (TDF). The 619 Patent covers the drug VIREAD®.

[2]               However Justice Barnes struck issues concerning the validity of the 059 Patent from Gilead’s Notice of Application by Order dated May 8, 2015 (Gilead Sciences, Inc v Canada (Health), 2015 FC 610). I will not refer further to the 059 Patent.

[3]               Also by way of background, there is a companion case namely Court File No. T-1693-14, which I heard at the same sittings as the present file. This companion case, decided contemporaneously with the case at bar, concerns Canadian Patent No. 2,512,475 (475 Patent) and Gilead's product TRUVADA® which involves a combination drug comprised of VIREAD® which is covered by the 619 Patent, and another drug, namely emtricitabine or FTC, also known as Coviracil.  In the companion case, Justice Heneghan determined that the 619 Patent was ineligible for listing on the Patent Register and therefore ineligible for inclusion in that proceeding: Gilead Sciences, Inc v Canada (Health), 2016 FC 231; the 619 Patent was therefore struck from the Patent Register for purposes of that court file. An appeal was dismissed by the Federal Court of Appeal on May 4, 2016: Gilead Sciences, Inc v Apotex Inc, 2016 FCA 140.

[4]               The parties agree that my findings regarding the 619 Patent apply equally to the companion T-1693-14 application. The allegations and evidence regarding the 619 Patent are identical in both Court files.

[5]               As noted, only the 619 Patent remains in this proceeding. The 619 Patent covers VIREAD®, a prodrug useful in the treatment and prophylaxis of HIV. In this case, a prodrug is a compound designed to allow another drug with known medical benefits (called the parent drug) to cross the intestinal wall after which the prodrug is transformed back into its parent drug in the body, where the parent drug may then do what it is designed to do. The purpose of a prodrug is to overcome a bioavailability barrier after oral delivery in circumstances where the parent drug itself is unable to cross the intestinal wall into the body, i.e., has little or poor bioavailability when delivered orally. VIREAD® is a prodrug, tenofovir disoproxil, in the fumarate salt form, together TDF, which allows the parent drug, tenofovir or PMPA, to cross the intestinal wall into a patient’s body where the parent drug can do what it is designed to do. The prodrug is also known as bis(POC)PMPA.

[6]               The 619 Patent is examined on its merits in this Court file. The asserted claim in the 619 Patent is Claim 32, which describes the chemical compound tenofovir disoproxil (TD) and its salts, tautomers and solvates. Infringement is not in issue; Apotex admits its proposed new drug will infringe the 619 Patent if the Patent is valid. Instead, Apotex relies on invalidity, alleging Patent 619 is invalid because it is not new (anticipation), it is obvious, it is an invalid selection as a selection patent, and is not useful (lacks utility). In my view, after reviewing the law and evidence, I find on a balance of probabilities that the allegations in Apotex’s NOA are not justified. Therefore the Order of prohibition is issued.

II.                Facts

A.                Notice of Allegation

[7]               The NOA dated June 19, 2014, alleges the 619 Patent (and the 059 Patent) are invalid on various grounds. Appended to the NOA are 199 documents. There is a Protective Order in place which is why these Reasons are issued in this Confidential version.

B.                 619 Patent

[8]               The 619 Patent states in relevant parts:

BACKGROUND OF THE INVENTION [page 5]

The present invention relates to intermediates for phosphonomethoxy nucleotide analogs, in particular intermediates suitable for use in the efficient oral delivery of such analogs.

Such analogs per se and various technologies for oral delivery of these and other therapeutic compounds are known. See WO 91/19721, WO 94/03467, WO 94/03466, WO 92/13869, U.S. 5,208,221, 5,124,051, DE 41 38 584 Al, WO 94/10539, WO 94/10467, WO 96/18605, WO 95/07920, WO 95 79 /07919, WO 92/09611, WO 92/01698, WO 91/19721, WO 88/05438, EP 0 632 048, EP 0 481 214, EP 0 369 409, EP 0 269 947, U.S. Patent Nos. 3,524,846 and 5,386,030, Engel Chem. Rev. 77:349-367 1977, Farquhar et al., J. Pharm. Sci.72:324-325 1983, Starrett et al., Antiviral Res. 19:267-273 1992, Safadi et al., Pharmaceutical Research 10(9):1350-1355 1993, Sakamoto et al., Chem. Pharm. Bull. 32(6):2241-2248 1984, and Davidsen et al., J. Med. Chem. 37(26):4423-4429 1994.

Utilities: [page 35]

The compounds of this invention are useful in the treatment or prophylaxis of one or more viral infections in man or animals, including infections caused by DNA viruses, RNA viruses, herpesviruses (CMV, HSV 1, 5 HSV 2, VZV, and the like), retroviruses, hepadnaviruses, (e.g. HBV), papillomavirus, hantavirus, adenoviruses and HIV. Other infections to be treated with the compounds herein include MSV, RSV, SIV, FIV, MuLV, and other retroviral infections of rodents and other animals. The prior art describes the antiviral specificity of the nucleotide analogs, and the parental drug specificity is shared by the compounds of this invention.

Example 15 [page 56]

Oral Bioavailability of PMPA and PMPA Carbonates in Beagle Dogs

Example 16

Antiviral Activity of PMPA and PMPA Carbonates in Tissue Culture

Claims [page 70]

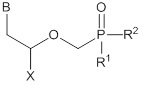
32. A compound having the structure:

and its salts, tautomers and solvates.

C.                 Witnesses

(1)               Experts

(a)                Gilead

Dr. Franz Maag

[9]               Dr. Maag has been practicing for over 40 years in the area of organic chemistry with an emphasis on medicinal chemistry and experience with anti-viral agents, immunosuppressive agents and anti-HIV agents. He has authored articles on prodrugs and nucleoside chemistry, and contributed chapters to a textbook on prodrugs. Dr. Maag has been a consultant in the pharmaceutical and biotechnology field since 2010.

[10]           By 1996 Dr. Maag had already accumulated fifteen years of experience as a researcher in various capacities for Hoffman-Laroche and Syntex Discovery. In October 1994, he was promoted to principal scientist in the institute of organic chemistry at Syntex Discovery Research in Palo Alto, California, where Dr. Maag led a medicinal chemistry group whose focus was on novel analgesic agents (i.e. painkillers). Dr. Maag also served as project team leader for the clinical development of a prodrug of the antiviral agent ganciclovir, in respect of which he is a named inventor of Canadian Patent No. 2,154,721. Syntex Discovery Research was later acquired and renamed as Roche Bioscience. In June 1996, Dr. Maag was promoted to senior research scientist at Roche Bioscience.

 Dr. Ronald Borchardt

[11]           Dr. Borchardt has over 40 years of academic and research experience in drug and prodrug design and development. Dr. Borchardt has had an impressive academic career, publishing over 500 papers and 450 abstracts of presentations, chairing the Department of Pharmaceutical Science at the University of Kansas, receiving prizes and honorary degrees, and was more recently an editor of a 2-volume, 1,500-page book entitled “Pro-drugs: Challenges and Rewards”, to which Dr. Maag contributed two chapters.

[12]           By 1996 Dr. Borchardt had already acquired over 25 years of experience in his field. He acquired a PhD degree in medicinal chemistry from the University of Kansas in 1970. During his tenure at The University of Kansas, Dr. Borchardt held academic appointments in the Departments of Pharmaceutical Chemistry (1983-present), Biochemistry (1971-1999) and Medicinal Chemistry (1981-1994). For 15 years, from 1983 to 1998, Dr. Borchardt was the Chairman of the Department of Pharmaceutical Chemistry at The University of Kansas. Since 2001, Dr. Borchardt has served as Editor-in-Chief of the Journal of Pharmaceutical Sciences. It was not contested, and I accept that this is the “official journal” of both the American Pharmacists Association and the Board of Pharmaceutical Sciences of the International Pharmaceutical Federation. Dr. Borchardt has also served on the editorial advisory boards for many other journals in the pharmaceutical sciences, including: Journal of Drug Targeting (1992-2008), Pharmaceutical Research (1986-2005), Advanced Drug Delivery Reviews (1992-2004), Molecular Interventions (2000-2005), European Journal of Pharmaceutical Sciences (1998-2003), Journal of Peptide Research (1997-2001), AAPS (American Association of Pharmaceutical Scientists) Journal (1999-2001), Antiviral Research (1988-2000), and Journal of Medicinal Chemistry (1988-1993).

Dr. Richard Elion

[13]           Dr. Elion is a family medicine physician with experience in treating HIV. Dr. Elion started working with patients with HIV/AIDS in 1984, and was the medical director at Stuyvesant Polyclinic in 1985, when the clinic became the first community health center in New York City to offer HIV testing. Dr. Elion’s medical practice focused on HIV/AIDS. Dr. Elion also served as an advisor on various HIV/AIDS policy boards, and as an author and editor for publications with a focus on the treatment of HIV/AIDS. Dr. Elion is currently funded by Gilead in clinical research related to its integrase inhibitors, and has provided medical advisory services for Gilead in the past. Dr. Elion provided evidence on the treatment for HIV/AIDS at the relevant times, and clinical impact of VIREAD®.

(b)               Apotex

(i)                 Dr. Joseph Fortunak

[14]           Dr. Fortunak is a Professor of Chemistry at Howard University with a joint appointment in Pharmaceutical Sciences. Dr. Fortunak worked for SmithKline Beecham from 1983-1993, then for DuPont Pharmaceutical Company from 1993-2000, and then for Abbott Labs from 2000-2004. For example, Dr. Fortunak worked on the development of commercial manufacturing processes for Efavirenz (Sustiva, a non-nucleoside reverse transcriptase inhibitor) for the treatment of HIV during his term at DuPont Pharma (1993-2000), and emtricitabine (FTC or Coviracil), also for the treatment of HIV, while at Abbott Labs. Dr. Fortunak became a chemistry professor in 2004. Dr. Fortunak focused his academic career on initiatives implementing more effective API manufacturing processes to lead to greater accessibility to treatment globally and environmental sustainability.

(ii)               Dr. Andrea Brancale

[15]           Dr. Brancale received his Master’s degree in 1996; his thesis was on the design and synthesis of novel heterocyclic compounds as anti-human immunodeficiency virus (HIV) agents. His master’s research work included making novel anti-HIV agents and conducting testing for these agents. He received his PhD in Medicinal Chemistry in 2001 with work which resulted in the invention of an oral prodrug for treatment for shingles and varicella (viruses). Dr. Brancale worked on a GlaxoSmithKline project designing novel prodrugs of nucleoside analogs for use as anti-HIV and anti-hepatitis B agents after his PhD. Dr. Brancale has been very active in the area of design and synthesis of novel nucleosides and nucleotide analogs.

Professor Andrew Owen

[16]           Professor Owen is a professor in the Department of Molecular and Clinical Pharmacology at the University of Liverpool. Prof. Owen obtained his M.Sc. degree in Pharmacology in 1998 and a PhD in Pharmacology in 2002. Prof. Owen has focused on HIV and AIDS basic and clinical pharmacology for almost 20 years. Prof. Owen is currently working on developing the first oral nanomedicine for treating HIV/AIDS and is extensively qualified in the field of pharmacology in HIV/AIDS treatment.

[17]           Prof. Owen provides his opinion on the identity of the Skilled Person, the disclosure of the 619 Patent and whether it was anticipated by the EP 214 application, the state of the prior art at the relevant date, the promise of the Patent and whether the utility was demonstrated or soundly predicted at the relevant time.

(2)               Fact Witnesses

[18]           Gilead presented affidavits from fact witnesses to provide context for the invention story of TD. The witnesses include: Dr. William A. Lee, current Senior Vice-President Research, and at the relevant time Vice-President for Pharmaceutical Product Development at Gilead; Dr. Reza Oliyai, currently Vice-President of Product Development and Clinical Supplies, and Research Scientist from 1994 to 2004 at Gilead; Dr. Valentino J. Stella, Professor at the University of Kansas with a research focus on prodrugs, drug stability, biopharmaceutics and pharmacokinetics, and the use of novel cyclodextrins, and co-inventor on the 619 Patent; and Dr. Michael Hitchcock, current Senior Advisor at Gilead and a member of the prodrug development team at Bristol Myers Squibb (BMS) before joining Gilead’s team in 1993.

[19]           Dr. Hitchcock presents the work already accomplished at BMS on phosphononucleotide analogs (not PMPA), before 1991, in search of an orally bioavailable method of delivery for a medicine for HIV. Dr. Lee then provides a backdrop of the transition from BMS to Gilead for the prodrug development team, including John Martin who joined Gilead as head of R&D in 1990 and who was a co-inventor for bis(POM)PMEA.

[20]           Dr. Stella and Dr. Oliyai explain their invention leading to the 619 Patent. Dr. Oliyai studied under Dr. Stella for his PhD in pharmaceutical chemistry, which he obtained in 1993. Dr. Stella’s laboratory was one of the few prodrug laboratories in existence at the relevant time. Dr. Oliyai was hired by Gilead in 1994, only one year after completing his PhD; he still works there today. Dr. Oliyai provided the invention story of TDF, leading to the 619 Patent, which is supported by Dr. Stella’s evidence.

a)Invention Story

[21]           In outlining the inventive story of TD as the oral prodrug for PMPA, I accept the evidence of Gilead’s witnesses who gave personally-witnessed first-hand evidence. The events outlined below took place almost 20 years ago. I appreciate they have an interest in the outcome of these proceedings, but the fact remains they were eye witnesses to and lived through the events in question. Their testimony in these material respects was not diminished in cross-examination and I find it credible and reliable.

[22]           In the early 1980s, a deadly disease emerged as the Acquired Immune Deficiency Syndrome (AIDS) caused by a virus now known as Human Immunodeficiency Virus (HIV). HIV is a retrovirus. HIV has several steps in its development and replication. The steps in the HIV lifecycle offer potential points of attack to limit its spread including: proteases, integrases and reverse transcriptase (RT).

[23]           In finding treatment for HIV, each potential point of attack may be considered. However, interrupting the activity of RT is very beneficial because it prevents viral replication and stops the HIV infection from spreading to healthy cells.

[24]           In the mid-1980s, researchers from the Institute of Organic Chemistry and Biochemistry (IOCB) in Czechoslovakia and the Rega Institute for Medical Research (Rega) in Belgium invented a class of compounds known as acyclic phosphonomethoxy nucleotide analogs (PNAs) (also referred to as phosphonate nucleotides), that are active against viruses, particularly HIV, and could be used as nucleotide reverse transcriptase inhibitors (NRTIs).

[25]           [………………………………Redacted.……………………………………………………………………………………………………………………………………………………………………………………..…..].

[26]           [……………………………….Redacted……………………………………………….] Gilead’s fact witness, Dr. Hitchcock, collaborated with Drs. DeClercq and Balzarini of IOCB and Rega.  Apotex's expert, Dr. Brancale, acknowledged they (as well as Dr. Stella, referred to below) were experienced, internationally renowned and distinguished from others because they are bright, inventive and innovative.

[27]           While PMPA was among the licenced class, BMS did not select PMPA because no data showed any advantages over others in the class. [……………….Redacted…………………….] [……………………………………..….Redacted……………………………………………….] [……….Redacted……………….].  In addition, because of their two negative charges, PNAs could not be efficiently administered orally, and were instead limited to intravenous (IV) administration. An alternative would require the discovery of a suitable prodrug that would enable PNAs to be administered orally. Intravenous (IV) administration was costly in addition to being difficult to administer to the growing number of HIV infected persons. A prodrug was the answer.

[28]           [……………………………….Redacted……………………………………………….] [………………………………..….Redacted……………………………………….]. According to a paper co-authored by Dr. Hitchcock only a handful of PMEA prodrugs (including bis(POM)PMEA) showed useful oral bioavailability. BMS [……………Redacted……………] [……………………….……………….Redacted……………………………………………….] [………………….Redacted…………………….] in 1991, and terminated its rights to the compounds.  [……………………. Redacted…………………………………………………….] [……………………………….Redacted……………………………………….….].

[29]           IOCB and Rega then approached other pharmaceutical companies with this class of compounds to find a new partner. One of these companies was Syntex, which, knowing about the nephrotoxicity and lack of bioavailability, declined to licence or proceed with the IOCB/Rega compounds.

[30]           [……………………………….Redacted……………………………………………….] […Redacted…] Gilead, a small California-based start-up founded three years previously, took on these licences to conduct its own research into the PNA class of compounds and licenced the compounds with the goal of discovering a commercially viable oral antiviral drug.

[31]           To advance somewhat in the inventive story and to place subsequent events in context, Gilead eventually formulated tenofovir disoproxil (TD) (also known as bis(POC)PMPA). TD is an oral prodrug of PMPA, and the allegedly new, useful and inventive compound at issue in this proceeding. TD alone (in its fumarate salt form, TDF), and in combination with other drugs, is an important medicine for treating HIV-1 infection, which requires an enzyme known as reverse transcriptase (RT) to successfully infect target cells and prevent their harmful replication. TD is a prodrug of a compound called tenofovir (or PMPA). The fumarate salt of TD is TDF; the fumarate salt is in the drug formulation to improve its stability.

[32]            Without Gilead's claimed invention of TD as the orally administered, bioavailable prodrug for PMPA, PMPA only enters the body in sufficient quantities for therapeutic purposes when administered intravenously. The parties agree that PMPA's oral bioavailability was too low, that is, when consumed orally it did not pass through the intestinal wall into the body where PMPA is needed to do its work in the infected patient. As noted, intravenous or IV administration of PMPA was difficult for the growing number of HIV sufferers across North America and around the world. An orally administered product such as a pill would be better because it would be far easier to administer to far more patients. TDF is now a central part of antiviral therapy for HIV-infected patients, which the United States Department of Health and Human Services (HHS) has decreed as a preferred antiviral therapy. TD is a member of the PNA class of compounds.

[33]           To return to the inventive narrative, […………………Redacted………………………] [………………………………….Redacted…………………………………………………….] [……………………….Redacted……………………………………………….] Dr. Hitchcock left BMS to join Gilead in part because of the phosphonate nucleotide analogs (PNAs) in respect of which Gilead had obtained the licences. Dr. Hitchcock hoped that at Gilead the issues observed at BMS might be mitigated, but knew it could fail.

[34]           […………………………………..….Redacted……………………………………………….].

[35]           PNAs possess a phosphonate group. Antiviral activity for these compounds, including PMPA, was first reported in the early 1990s. However, notwithstanding their antiviral activity, these PNA compounds exhibit nephrotoxicity in addition to poor oral bioavailability. Their negative charges inhibit absorption after oral administration such that they did not pass well through the intestinal wall into the lymphatic system.

[36]           [……………………………….Redacted……………………………………………….] [……………………………….Redacted……………………………………………….] Gilead [………………………….Redacted……………………………………….]. While not part of the inventive story it is noteworthy that in 1999, the US Food and Drug Administration (FDA) declined Gilead's application for 60 and 120 mg oral doses of bis(POM)PMEA, because those doses, required for HIV treatment, caused kidney toxicity and carnitine depletion.

[37]           In searching for a back-up to PMEA, Gilead found that structural differences among the compounds produced distinct properties. For example, a difference between PMEA and PMPA is the presence of the methyl group (CH3) in PMPA which creates a chiral carbon not present in PMEA. [……………………………….Redacted……………………………………………….] […………………….Redacted……………….].

[38]           [……………………………….Redacted……………………………………………….] [……………….Redacted……………………………………….] The Gilead research team was instructed to find an alternative to PMEA in 1994. PMPA was selected. The team was later tasked with finding a suitable prodrug for PMPA. The first prodrug tested and used as a control was bis(POM)PMPA. The POM moiety was known to increase oral bioavailability, notwithstanding its toxicity due to pivalic acid. Pivalic acid leads to reduced levels of carnitine in the body, which can result in muscle weakness, heart disease and other undesirable consequences particularly for those suffering from HIV.

[39]           [……………………………….Redacted……………………………………………….] [……………………………….Redacted……………………………………….].

[40]           Gilead’s Drs. Lee and Oliyai described this work, including examples of PMPA prodrugs that Gilead attempted. They provided excerpts of lab notebooks, internal memos, research reports and summary charts of the synthesis and/or testing of the PMPA prodrugs. [..Redacted..] […………………………………..…….Redacted……………………………………………….] […………………………………..…….Redacted……………………………………………….] [………….Redacted…………………………….].

[41]           Gilead scientists found, as the prior art taught, that the prodrug approach is unpredictable and requires empirical testing.

[42]           According to the 619 Patent and to fact witnesses, more promising compounds were tested in vivo in dogs for oral bioavailability.

[43]           [……………………………….Redacted……………………………………………….] [Redacted]  Gilead’s management team was comprised of accomplished scientists, namely Dr. John Martin (an inventor of the bis(POM)PMEA while employed as a scientist at BMS, extensively involved in the BMS research program exploring PNAs licenced by IOCB/Rega, and at the relevant time Head of Gilead’s Research and Development), Dr. William Lee (an affiant in this case who obtained a Master of Science and PhD in Chemistry, did post-doctoral work in chemical physics at Ecole Polytechnique Fédérale in Lausanne, Switzerland, and a second post-doctorate in bioorganic chemistry at the University of California (Santa Barbara), and who was Vice-President of Pharmaceutical Product Development at the relevant time), and Dr. Norbert Bischofberger (responsible for Gilead’s discovery research group at the relevant time). […… ………………………………..….Redacted…………… ……………………………….….] [………………………………..….Redacted…………………………………………….….] [……………………………..…….Redacted………………………………………….…….] [……………………………..…….Redacted…………………………………………….….] [………………………………..….Redacted………….]

[44]           Apotex criticizes this decision as one of “senior management” overriding scientists. I consider Apotex’s objections neither fair nor accurate. First, Gilead management was comprised of accomplished scientists. In addition, none of the literature disclosed or discussed carbonate prodrugs of phosphonate nucleotides analogs. Indeed, an article published in 1993 and authored by Drs. Oliyai and Stella (both inventors on the 619 Patent) demonstrated the instability of compounds containing both carbonates and phosphates. In my view, this decision was a reasonable management decision on the basis of the prior art available at the time.

[45]           By late 1995 or early 1996, Gilead had not found a suitable PMPA prodrug over two years from obtaining the licence. [………………………………...Redacted…………………..] [.Redacted.].

[46]           After exhausting the options it had identified, Gilead consulted with Prof. Stella of the University of Kansas, a pharmaceutical chemist and prodrug expert. Upon being briefed on Gilead's prodrug efforts, Dr. Stella was surprised by how many potential PMPA prodrugs Gilead had studied. [………………………………….Redacted……………………………………….] […………………………….………………….Redacted……………………………………….] [……………….Redacted…………………………….]

[47]           In order to make and test new carbonate prodrugs, Gilead’s team was required to and did develop a new synthetic process. [……………………………….Redacted……………………..] [……………………….Redacted…………………………………………….] Drs. Arimilli and Dougherty synthesized other carbonate PMPA prodrugs, which were then analyzed.

[48]           [……………………………….Redacted……………………………………………….] [..Redacted..]. TD showed adequate stability, which was not expected by the inventors. Based on its enhanced cellular permeability, solubility, efficacy, stability, low toxicity and improved oral bioavailability over PMPA, TD was selected for development and eventually patented in the 619 Patent.

III.             Issues

[49]           In my view, the issues in this application are:

A.       Whether Apotex discharged its relatively low burden in connection with its allegations of invalidity concerning the 619 Patent relating to Claim 32 on the grounds of:

                                                                    i.            Anticipation, if the 619 Patent is anticipated by European Patent Application 0,481,214 (“the EP 214 application”), or is an invalid selection patent from the genus of the EP 214 application, and if so, whether Gilead established on a balance of probabilities that such allegations are not justified;

                                                                  ii.            Obviousness, if Claim 32 is obvious, or obvious to try, as discussed in Sanofi;

                                                                iii.            Lack of sound prediction or demonstrated utility as measured against the promise of the 619 Patent.

[50]           The law is well-established that Apotex in order to succeed must first give an air of reality to each allegation in its NOA. If it does, the burden shifts to Gilead to establish on a balance of probabilities that Apotex’s allegations of invalidity are not justified.

[51]           In my view, Gilead has established on a balance of probabilities that the allegations of anticipation, obviousness, and inutility are not justified.

IV.             Analysis

A.                Preliminary Issues

(1)               Relevant Dates

[52]           The relevant dates for the assessment of the justifiability of the various allegations of invalidity are the following:

A.       Patent Construction: Publication Date – February 5, 1998

B.        Anticipation/Novelty: One year before Canadian Filing Date – July 26, 1996

C.        Obviousness (State of the Art): Claim Date (Priority Date) – July 26, 1996

D.       Utility: Canadian Filing Date – July 25, 1997

(2)               Expert Blinding

[53]           The parties argued the issue of “blinding” of experts; Apotex asks me to assess the weight of each expert’s evidence with reference to the method by which the expert’s opinion was sought by counsel.

[54]           I make the same comments in this case as I did in the companion case T-1693-14, but for convenience repeat my analysis here.

[55]           The parties chose different methods of gathering information from their experts for their respective opinion affidavits. While counsel for Gilead provided the legal framework to its experts early, including legal tests for anticipation, obviousness, and utility, Apotex states it did not do so before the experts had drawn their own conclusions on issues such as the promise of the patent, claim construction, and the prior art.

[56]           Apotex submits expert blinding has been recognized by this Court as a preferred method of gathering expert evidence and refers to: AstraZeneca Canada Inc v Apotex Inc, 2014 FC 638, per Rennie J, at para 321; Teva Canada Innovation v Apotex Inc, 2014 FC 1070, per Gleason J, at paras 94-96; Takeda v Apotex Inc, 2015 FC 570, per O’Reilly J, at paras 27, 29; Allergan Inc v Apotex Inc, 2016 FC 344, per Zinn J, at para 13. For this reason, it asks the Court to assess greater weight to the opinions of its experts when addressing these issues and conclusions by the expert witnesses. In my view the blinding of a witness is a factor, one of perhaps several, that goes to weight, but it is not a matter that goes to admissibility.

[57]           Gilead, as a counter to Apotex’s allegations that Gilead’s expert evidence should be given less weight because experts were not blinded, argues that Apotex’s experts for the most part did not conduct their own research to determine the prior art, which indeed I find was substantially the case. Instead, the Apotex experts were provided with all or virtually all of the material relevant to their opinions on prior art and skilled person in the art by counsel for Apotex. Gilead submits this diminishes the weight I should give to Apotex’s expert evidence, essentially because Apotex witnesses are not stating what the state of the prior art or skilled person was, but were in effect simply opining on what Apotex’s counsel told them was the state of the prior art and knowledge of the skilled person.

[58]           The Court has to weigh the evidence before it. On the blinding issue, I agree with Justice Gleason (as she then was) in Eli Lilly Canada Inc v Apotex Inc, 2015 FC 875 at para 166:

Insofar as concerns the allegation regarding lack of “blinding”, Apotex has tried to apply the decisions in Teva and AstraZeneca out of context. There, the experts whose credibility was found to be wanting based their construction of the patents in suit with a view to infringement and were able to come to their opinions based on the information in the generic company’s NOA. In Teva, this led to an especially tortured construction. In Teva and AstraZeneca, the approach taken was found to undercut the experts’ credibility as it led to an improper results-oriented opinion. Neither case can be read for the position that Apotex sought to advance here, namely, that in any case where one party blinds its experts but the other does not, the former’s evidence is to be preferred. Rather, these two decisions must be limited to the facts that arose in these cases.

And see to the same effect the approach taken by Justice Locke in his recent decision, Shire Canada Inc v Apotex Inc, 2016 FC 382 at paras 42-48.

[59]           More generally the weighing of expert evidence is a question of fact. Having reviewed the law, and as counsel for Apotex candidly noted at the hearing, the blinding issue is a question of relevance, reliability and weight, and is not a doctrinal matter. I agree.

[60]           For reasons set out, I prefer some experts’ evidence on certain issues, and other experts’ evidence on other matters, taking into account the arguments raised by both parties and assessing the appropriate weight to be given to the expert testimony.

a)Comity within the Court: determinations of Barnes J.

[61]           The parties disagreed on the extent to which the Court may rely on Justice Barnes’ prior decision in Gilead Science Inc v Canada (Health), 2013 FC 1270 (Teva). In Teva, Justice Barnes made determinations of fact with reference to the same patent as before me, on the issue of anticipation of TD by the EP 214 application.

[62]           The question of whether findings on invalidity allegations in NOC proceedings are binding on subsequent NOC decisions has been considered before. The Federal Court of Appeal in Apotex Inc v Allergan Inc, 2012 FCA 308 found that only questions of law may be found binding as a matter of horizontal comity, and even in that context, findings on questions of law could be departed from if a subsequent court had reason to do so:

[49]      It is apparent from the foregoing that it was not open to the Federal Court judge to issue a prohibition order for the purpose of having his concerns about the use of the doctrine of comity and the notion of abuse of process addressed by this Court on appeal. As noted earlier, the parties were entitled to have their dispute settled on the merits and the Federal Court judge by issuing a formal judgment that was contrary to the conclusions that he reached on the merits, failed in his task.

[50]      Beyond this, the doctrine of comity has no application with respect to findings of fact. A finding that an invention is obvious because the solution proposed was plain to see is one of fact (671905 Alberta Inc. v. Q’max Solutions Inc., 2003 FCA 241 , para. 48; Laboratoires Servier v. Apotex Inc., 2009 FCA 222 , para. 67 (Servier); Apotex Inc. v. Wellcome Foundation Ltd., [2001] 1 F.C. 495, para. 61 (C.A.), aff’d 2002 SCC 77, [2002] 4 S.C.R. 153). In contrast, construing a patent in order to identify the inventive concept when it is not readily discernable for the claim itself requires looking at the whole of the patent (Sanofi, para. 77) and gives rise to a question of law (Western Electric Co. v. Baldwin International Radio of Canada Ltd., [1934] S.C.R. 570, pp. 572-573 (S.C.C.); Weatherford Canada Ltd. v. Corlac Inc., 2011 FCA 228, [2011] F.C.J. No. 1090, para. 24 – and the authorities referred to in these passages). It follows that unless the Federal Court judge could demonstrate that Crampton J.’s construction of the patent in order to determine the inventive concept was wrong or that distinct evidence adduced before him compelled him to reach a different conclusion, it would have been preferable for him to adhere to it.

[63]           Based on this reasoning, I am not bound by Justice Barnes’ decision in Teva. Nor am I persuaded that I ought to apply comity except in the limited context of patent construction or on another question of law. That said, and for the record only, I note that Barnes J. in Teva, with different parties and differences in the evidence also ordered prohibition re the 619 Patent.

B.                 Claim Construction

[64]           Claim construction is an issue of law to be determined by the Court. The experts may provide guidance. The Claim is to be construed, based on the claim as it would be read by a Person of Ordinary Skill in the Art (Skilled Person), looking to the patent with a view to understand.

(1)               Skilled Person

[65]           A patent is addressed to this notional Skilled Person, who is “unimaginative and uninventive, but at the same time is understood to have an ordinary level of competence and knowledge incidental to the field to which the patent relates and to be reasonably diligent in keeping up with advances”: AstraZeneca Canada Inc v Apotex Inc, 2014 FC 638 at para 51 (citing Merck & Co v Pharmascience Inc, 2010 FC 510 at paras 34-40), aff’d 2015 FCA 158. The “unimaginative and uninventive” language is found in Beloit Canada Ltd v Valmet OY (1986), 8 C.P.R. (3d) 289 (F.C.A.) [Beloit], where the Federal Court of Appeal refers to the “unimaginative skilled technician”, and Apotex Inc v Sanofi-Synthelabo Canada Inc, 2008 SCC 61 at para 81, where the Supreme Court refers to inventiveness as foreign to the Skilled Person in the obviousness analysis. In my view, the Federal Court retained these concepts in its interpretation of the skilled technician in patent law: AstraZeneca Canada Inc v Apotex inc, 2014 FC 638 at para 51 (Rennie, J as he then was) (citing Merck & Co, Inc, v Pharmascience inc, 2010 FC 510 at paras 34-40 (Hughes, J)), aff’d 2015 FCA 158 (Dawson, J.A.).

[66]           The parties agree the Skilled Person is a person or team of persons with an advanced degree (MSc or PhD) in medicinal, organic or pharmaceutical chemistry who has been engaged in the drug discovery process, and has a working knowledge of antiviral research activities, including the antiviral activity of phosphonomethoxy nucleotide analogs. However, Gilead’s experts Drs. Borchardt and Maag disagree with Apotex’s experts that the Skilled Person includes: (i) a person with expertise in prodrugs (although the Skilled Person would have been aware of prodrug efforts, and Dr. Borchardt said the inclusion of a team member with prodrug expertise would not affect his opinion in any event); and (ii) a clinician knowledgeable in treatment therapies of viral infections.

[67]           In my view, the Skilled Person is a person or a team of persons with an advanced degree in pharmaceutical chemistry or a related field with knowledge of and experience in the antiviral research activities, including the antiviral activity of phosphonomethoxy nucleotide analogs, with some experience and knowledge of prodrugs. I agree with Gilead’s experts that the Skilled Person does not need to have experience in the clinical treatment of HIV specifically because the Patent would not be helpful to a treating physician, but only to the chemist manufacturing the prodrug. In this connection I note that the Patent refers to prodrugs and the Claim at issue (Claim 32) is a chemical formulation which does not comprise information including a prescribed dosage (posology) or other information which would be necessary for a treating physician. While Gilead’s experts noted that the Skilled Person at the time would not need expertise in prodrugs, in my view some experience and knowledge of prodrugs is part of the skill set of the Skilled Person. I make this finding because the patent specifically addresses prodrugs. The Patent is really only relevant to those who aim at inventing or making prodrugs in the treatment of the viral infections listed in the Patent.

[68]           In this connection, I also prefer the evidence of Gilead’s witnesses because, by the time of the invention in 1996, its expert witnesses Dr. Borchardt and Dr. Maag had each been working as chemical scientists or researchers for at least fifteen years already. Dr. Maag had first-hand knowledge of the prior art and of what a Skilled Person would or would not know, including in the field of prodrugs. Conversely, the Apotex experts had less cumulative experience in chemistry research at the time. I have admitted the opinions of the Apotex witnesses in this regard; I do not agree that experts testifying on the state of the prior art and the knowledge of Skilled Person as it was some twenty years ago need to have been active in those fields at that time. But when measured against those who had long been active scientists, and had two decades of experience twenty years ago, I prefer Gilead’s evidence over Apotex’s.

(2)               Claim Construction Conclusion

[69]           The only claim at issue in the 619 Patent is Claim 32, which states:

32. A compound having the structure:

and its salts, tautomers and solvates.

[70]           The Skilled Person in my view, and the parties and their experts agree, would view the asserted claim as the disclosed compound tenofovir disoproxil and its salts, tautomers and solvates, as described in Claim 32; that is the proper construction of Claim 32.

C.                 Anticipation

[71]           The definition of “invention” in section 2 of the Patent Act requires that it be “new”, which engages the law of anticipation referred to in s. 28.2 of the Patent Act each of which are set out below:

2 In this Act, except as otherwise provided,

2 Sauf disposition contraire, les définitions qui suivent s’appliquent à la présente loi.

(…)

(…)

invention means any new and useful art, process, machine, manufacture or composition of matter, or any new and useful improvement in any art, process, machine, manufacture or composition of matter; (invention)

invention Toute réalisation, tout procédé, toute machine, fabrication ou composition de matières, ainsi que tout perfectionnement de l’un d’eux, présentant le caractère de la nouveauté et de l’utilité. (invention)

28.2 (1) The subject-matter defined by a claim in an application for a patent in Canada (the “pending application”) must not have been disclosed

28.2 (1) L’objet que définit la revendication d’une demande de brevet ne doit pas :

(a) more than one year before the filing date by the applicant, or by a person who obtained knowledge, directly or indirectly, from the applicant, in such a manner that the subject-matter became available to the public in Canada or elsewhere; (…)

[emphasis added]

a) plus d’un an avant la date de dépôt de celle-ci, avoir fait, de la part du demandeur ou d’un tiers ayant obtenu de lui l’information à cet égard de façon directe ou autrement, l’objet d’une communication qui l’a rendu accessible au public au Canada ou ailleurs; (…)

[original non souligné]

[72]           The Supreme Court of Canada in Apotex Inc v Sanofi-Synthelabo Canada Inc, 2008 SCC 61 at paras 18-37 [Sanofi] held that anticipation consists in one publicly available document disclosing the content of the patent at issue, such that the patent would infringe the prior disclosure when made, and secondly, that the prior disclosure must enable the Skilled Person to make the invention as claimed:

[20] In his reasons after referring to s. 27(1) of the Act, the applications judge defined anticipation as meaning “that the exact invention had already been made and publicly disclosed” (para. 55).  Shore J. cited this Court’s decision in Free World Trust v. Electro Sante Inc., [2000] 2 S.C.R. 1024, 2000 SCC 66, at para. 26, which approved of the test for anticipation described in Beloit Canada Ltd. v. Valmet OY (1986), 8 C.P.R. (3d) 289 (F.C.A.), at p. 297:

One must, in effect, be able to look at a prior, single publication and find in it all the information which, for practical purposes, is needed to produce the claimed invention without the exercise of any inventive skill.  The prior publication must contain so clear a direction that a skilled person reading and following it would in every case and without possibility of error be led to the claimed invention. [Emphasis added by the applications judge.]

[21] The applications judge noted that the English Court of Appeal stated in General Tire & Rubber Co. v. Firestone Tyre & Rubber Co., [1972] R.P.C. 457, at p. 486:

If, on the other hand, the prior publication contains a direction which is capable of being carried out in a manner which would infringe the patentee’s claim, but would be at least as likely to be carried out in a way which would not do so, the patentee’s claim will not have been anticipated, although it may fail on the ground of obviousness.  To anticipate the patentee’s claim the prior publication must contain clear and unmistakable directions to do what the patentee claims to have invented Emphasis added by the applications judge.]

He then noted that in Free World, at para. 26, this Court approved the following statement from General Tire:

A signpost, however clear, upon the road to the patentee’s invention will not suffice.  The prior inventor must be clearly shown to have planted his flag at the precise destination before the patentee. [p. 486]

[22] The law of anticipation as explained in Beloit and General Tire has been accepted in Canada without reservation:  see Free World, at para. 26.  In his application of the law to the facts, there is no doubt that Shore J. was using the test as set out in Beloit when he stated, at para. 57:

Based on the law, the question before the Court is whether a person skilled in the art was given such a clear direction that, by reading and following the ’875 patent (or its U.S. or French equivalents) would in every case and without possibility of error make a compound or pharmaceutical composition within the claims of the ’777 patent (e.g. the bisulfate salt of clopidogrel).

(c)        Recent United Kingdom Jurisprudence

[23] For the reasons that follow, and in light of recent jurisprudence, I am of the respectful opinion that the applications judge overstated the stringency of the test for anticipation that the “exact invention” has already been made and publicly disclosed.

[24] In the 2005 decision of the House of Lords in Synthon, Lord Hoffmann has brought some further clarity to the law of anticipation as understood since General Tire.  His reference at para. 20 to the “unquestionable authority” of Lord Westbury in Hills v. Evans (1862), 31 L.J. Ch. (N.S.) 457, at p. 463, makes it plain that his analysis does not depend on any change on English law flowing from the enactment of the Patents Act 1977 (U.K.), 1977, c. 37, or the U.K.’s adoption of the Convention on the Grant of European Patents, 1065 U.N.T.S. 199 (entered into force October 7, 1977).  He distinguishes between two requirements for anticipation that were not theretofore expressly considered separately, prior disclosure and enablement.

[25] [In the 2005 decision of the House of Lords in Synthon, Lord Hoffmann] explains that the requirement of prior disclosure means that the prior patent must disclose subject matter which, if performed, would necessarily result in infringement of that patent, and states, at para. 22:

If I may summarise the effect of these two well-known statements [from General Tire and Hills v. Evans], the matter relied upon as prior art must disclose subject matter which, if performed, would necessarily result in an infringement of the patent... It follows that, whether or not it would be apparent to anyone at the time, whenever subject matter described in the prior disclosure is capable of being performed and is such that, if performed, it must result in the patent being infringed, the disclosure condition is satisfied.

When considering the role of the person skilled in the art in respect of disclosure, the skilled person is “taken to be trying to understand what the author of the description [in the prior patent] meant” (para. 32).  At this stage, there is no room for trial and error or experimentation by the skilled person.  He is simply reading the prior patent for the purposes of understanding it.

[26] If the disclosure requirement is satisfied, the second requirement to prove anticipation is “enablement” which means that the person skilled in the art would have been able to perform the invention (para. 26).

[73]           Gilead has not raised any arguments against Apotex’s enablement allegations. I am satisfied that Apotex’s enablement arguments have an air of reality. Unless I find on a balance of probabilities that Apotex’s disclosure allegation is not justified, i.e., that the subject matter of the 619 Patent was not disclosed in the EP 214 application, I am required to find in favour of Apotex on anticipation. For the reasons that follow, Apotex’s invalidity arguments based on anticipation are not justified.

(1)               Disclosure

[74]           As stated in Sanofi, in order for there to be disclosure of the 619 Patent, the EP 214 application must have disclosed all the information that is needed for the Skilled Person, without inventive skill, to make the claimed invention, where the claimed invention necessarily infringes the prior disclosure. And, as stated in para 25 in Sanofi, “when considering the role of the person skilled in the art in respect of disclosure, the skilled person is ‘taken to be trying to understand what the author of the description [in the prior patent] meant’ […]. At this stage, there is no room for trial and error or experimentation by the skilled person. He is simply reading the prior patent for the purposes of understanding it”.

[75]           The parties’ experts provide conflicting evidence to guide the Court in its understanding of the scope of the disclosure in the EP 214 application. All experts agree as to the scope of the genus patent, up to the substituent group R4. This means the experts disagree on precisely the claimed invention for the 619 Patent: the carbonate group moiety of the prodrug TD. The following illustrate the area of disagreement:

A. Agreed genus of compounds of the EP 214 application:

B. Agreed possible components for EP 214 application:

C. Described composition of R4 according to Apotex experts and contested by Gilead’s experts:

[76]           The language of the EP 214 application states in relevant part:

[p. 703, l. 1-5:]

R4 represents a physiologically hydrolyzable ester group such as CH2C(O)NR52, CH2C(O)OR5, CH2OC(O)R5, CH(R5)OC(O)R5 (R, S, or RS stereochemistry), CH2C(R5)2 CH2OH, or CH2OR5; R4 may also be R5' provided that R4 and R5' are not simultaneously alkyl;

R5 represents C1 - C20 alkyl, aryl or aryl-alkyl which may be substituted or unsubstituted by substituents independently selected from the group consisting of hydroxy, oxygen, nitrogen and halogen;

(…)

[p. 705 l. 22-28:]

The term "C1 to C20 alkyl" as used herein and in the claims (unless the context indicates otherwise) means saturated or unsaturated, branched or straight chain hydrocarbon group having 1 to 20 carbon atoms such as methyl, ethyl, propyl, isopropyl, butyl, isobutyl, t-butyl, etc. Unless otherwise specified in the particular instance, the term "substituted or unsubstituted" as used herein and in the claims is intended to mean hydrocarbon group wherein an atom, element or group is regarded as having replaced a hydrogen atom, said substituted alkyl groups are preferably substituted with a member selected from the group consisting of hydroxy, oxygen, nitrogen and halogen.

(…)

[p. 731 l. 46-51]

R4 represents a physiologically hydrolyzable ester group such as CH2C(O)NR52, CH2C(O)OR5, CH2OC(O)R5, CH(R5)OC(O)R5 (R, S, or RS stereochemistry), CH2 C(R5)2CH2 OH, or CH2OR5; R4 may also be R5' provided that R4 and R5' are not simultaneously alkyl;

R5 represents C1 - C20 alkyl, aryl or aryl-alkyl which may be substituted or unsubstituted by substituents independently selected from the group consisting of hydroxy, oxygen, nitrogen and halogen; (…).

[77]           The experts disagree on the substitution of the oxygen on the R5 group, given the R4 as selected. Gilead argues that carbonates, which are created by the supposed substitution, are known as a specific group, referred to as “carbonates”. Because the EP 214 application does not precisely identify or disclose the carbonate group by name, Gilead says the EP 214 application does not and would not have been understood to disclose tenofovir disoproxil. Moreover, the Gilead experts emphatically state that it would not be possible to have the substitution of the oxygen on the R5 subgroup, as described by Apotex’s experts. This conclusion is based on the EP 214 application disclosing a substitution on the alkyl, aryl or aryl-alkyl chains of R5, instead of the carbonyl carbon of R4.

[78]           Apotex disagrees with Gilead’s experts’ conclusions on the feasibility of the oxygen substitution, stating the conclusions were based on the false premise that the R5 group must be able to independently cleave from the R4 group (Apotex referred to this as the “hydrolysable ester theory”). Apotex submits this faulty underlying theory renders Dr. Borchardt’s and Dr. Maag’s conclusions invalid in their entirety.

[79]           In my view, although Gilead’s “hydrolysable ester theory” may be faulty in some respects (although in fact it did accurately apply to various scenarios), I do not agree with Apotex that this is sufficient to undermine the entirety of Drs. Borchardt and Maag’s conclusions on the disclosure issue. These experts are renowned and experienced chemists and academics; both have wide expertise in chemical compositions and of course in chemical nomenclature. I accept the evidence provided by Gilead’s experts when they state that a Skilled Person would understand the absence of the “carbonate” group in the R4 and R5 substituent explanations and examples in the EP 214 application, to mean precisely that, namely that no carbonate is included in the disclosed R4/R5 combination substituent group. As between the two, I prefer Gilead’s evidence of Drs. Borchardt and Maag over that of the Apotex experts based not only on their considerably longer experience but their knowledge of matters in 1996. It is not that they must have been in the field of drug development in 1996, but it is the greater experience and knowledge of Gilead’s experts that impels me to prefer their evidence. I note particularly Dr. Borchardt’s extensive experience in chemistry even 20 years ago. I also note Gilead’s witnesses were completely unshaken on cross-examination in this respect, despite vigorous efforts by Apotex to advance its theory of the case. Dr. Borchardt stated unequivocally in answer to counsel for Apotex that: “[a] person of skill in the art would not have read R5 as substitution between the carbonyl and the alkyl substituent.” I accept his evidence.

[80]           It is also the case, as Gilead alleges, that the EP 214 application nowhere directly discloses carbonates in its explanations for the genus compounds. Importantly, I read the 619 Patent to specifically disclose the substituent groups leading to the carbonates’ formation for the disclosed carbonate prodrug, tenofovir disoproxil. This is consistent with Gilead’s experts’ opinion on patent interpretation.

[81]           Significantly, Dr. Borchardt explained that the Skilled Person would not have understood the EP 214 application to include carbonates, because of the conspicuous absence of carbonates from any explicit disclosure, including the complete absence of carbonates from the explanations and examples provided in the EP 214 application. The myriad other compounds or subgroups disclosed and exemplified offered ample opportunity for the disclosing party to mention carbonates, if indeed carbonates had been meant to be included in the disclosure. I conclude there was no such intention.

[82]           In order for disclosure to be found, the Beloit test, upheld by the Supreme Court of Canada in Free World Trust v Électro Santé Inc, 2000 SCC 66, and accepted in Sanofi, states that the prior publication must contain so clear a direction that a Skilled Person reading and following it would in every case and without possibility of error be led to the claimed invention. In Beloit Canada Ltd v Valmet OY (1986), 8 C.P.R. (3d) 289 (F.C.A.), at page 297, the Federal Court of Appeal per Hugessen JA stated:

The test for anticipation is difficult to meet:

One must, in effect, be able to look at a prior, single publication and find in it all the information which, for practical purposes, is needed to produce the claimed invention without the exercise of any inventive skill. The prior publication must contain so clear a direction that a skilled person reading and following it would in every case and without possibility of error be led to the claimed invention.

[83]           I accept Dr. Borchardt’s evidence that the EP 214 application does not disclose a possible substitution of oxygen on the carbonyl carbon, but rather on the alkyl, aryl, or aryl-alkyl groups. This finding leads me to conclude that there is no clear direction to follow that would inevitably lead the Skilled Person to tenofovir disoproxil. I note Dr. Maag supports Dr. Borchardt’s conclusion. According to Dr. Maag, although the EP 214 application could encompass a substitution of an oxygen atom on R5, this substitution does not clearly state it could take place on the carbonyl group. Such a clear disclosure would have been expected had a carbonate group been meant for inclusion within the EP 214 application.

[84]           I find Dr. Borchardt’s and Dr. Maag’s evidence on this issue compelling, and agree the EP 214 application does not disclose the carbonate group. On this point Dr. Fortunak’s and Dr. Brancale’s evidence was less persuasive, because they provided a more backwards looking view of the EP 214 application’s disclosure. Patent law and PM(NOC) Regulations are meant to offer a monopoly within a clearly delineated scope. Absent a sufficiently clear disclosure, the Apotex evidence was in my view convoluted, if not tortured, in order to reach its conclusion. Given the expected contents of the EP 214 application disclosure as seen through the eyes of a Skilled Person, I am unable to agree with the Apotex experts on this issue. I find the 619 Patent could not infringe the EP 214 application without a far more direct and specific disclosure of the carbonate group as the R5 substituent.

[85]           Therefore, although Apotex provided an air of reality for this allegation of invalidity, I find that Gilead has met its burden to show on a balance of probabilities that Apotex’s allegation that the EP 214 application disclosed the 619 Patent is not justified.

(2)               Enablement

[86]           Because I find there was no disclosure of tenofovir disoproxil in the EP 214 application, I need not deal with enablement. Moreover, Gilead did not attack Apotex’s anticipatory argument re enablement and rested this part of its case on the disclosure aspect of anticipation. Therefore, I will not discuss enablement further.

(3)               Selection Patent

[87]           Apotex also argued that the 619 Patent is an invalid selection patent from the genus disclosed in the EP 214 application. However, Gilead in my view has established on a balance of probabilities that this allegation is not justified.

[88]           As in Sanofi, if I had found the EP 214 application was for a class encompassing tenofovir disoproxil, which on the evidence and law I did not and could not do, this application would then concern a selection patent. Selection patents are invalid except where they present a special advantage not itself disclosed in the genus patent.

[89]           In Sanofi, the Supreme Court of Canada found that when selecting a compound from a large class, there will be no disclosure where the genus patent does not disclose the selected compound’s special advantage over other members of the genus:

[31] Section 27(1) of the Act requires as a condition for obtaining a patent that the invention was not “known or used” and was not “described” in any patent or any publication more than two years before the patent application was filed.  In the context of genus and selection patents, in E. I. Du Pont de Nemours & Co. (Witsiepe’s) Application, [1982] F.S.R. 303 (H.L.), Lord Wilberforce stated, at p. 311:

It is the absence of the discovery of the special advantages, as well as the fact of non-making, that makes it possible for such persons to make an invention related to a member of the class.

The compound made for the selection patent was only soundly predicted at the time of the genus patent.  It was not made and its special advantages were not known.  It is for those reasons that a patent should not be denied to the inventor who made and discovered the special advantages of the selection compound for the first time.

[32] In the context of disclosure as explained in Synthon, “the absence of the discovery of the special advantages” to which Lord Wilberforce was referring in Witsiepe’s means that the genus patent does not disclose the special advantages of the invention covered by the selection patent.  Where there is no such disclosure, there is no discovery of the special advantages of the selection patent as compared to the genus patent, and the disclosure requirement to prove anticipation fails.  At this stage, the person skilled in the art is reading the prior patent to understand whether it discloses the special advantages of the second invention.  No trial and error is permitted.  If in reading the genus patent the special advantages of the invention of the selection patent are not disclosed, the genus patent does not anticipate the selection patent.

[90]           In this case, even if the EP 214 application includes TD, which I found it does not, I would still find that TD presented particular and special advantages over other members of the claimed genus that were not disclosed, such that there was no discovery of the special advantages of the selection patent as compared with the genus claimed in the EP 214 application until the invention of tenofovir disoproxil by Gilead. Specifically, the 619 Patent discloses in Example 15 and Example 16 that it has a specific oral bioavailability as compared with other carbonate prodrugs. Also these Examples show the selectivity and effectiveness of the related prodrug compared to other carbonate prodrugs of PMPA. These are sufficient to find that the selected compound has special advantages for efficient oral delivery of the parent compound, PMPA, as opposed to others. Moreover, the laboratory notes from Gilead and the prior art references indicate no PMEA prodrug had been found to meet similar results at the relevant time, where PMEA had been the most extensively researched PNA for prodrug development from the class.

[91]           Therefore, I would conclude, if the EP 214 application did disclose bis(POC)PMPA (which it did not), that the 619 Patent is a valid selection patent and proved to be an efficient tool in the HIV fight arsenal, where it selected this particular parent drug and appropriate moieties from a dauntingly large list in order to find a prodrug which, as opposed to the other tested and exemplified EP 214 application prodrugs. I find on a balance of probabilities that Apotex’s allegation of an invalid selection patent is not justified.

D.                Obviousness

[92]           The Patent Act provides at section 28.3 that for a patent to issue the subject matter must not have been obvious to a person skilled in the art:

28.3 The subject-matter defined by a claim in an application for a patent in Canada must be subject-matter that would not have been obvious on the claim date to a person skilled in the art or science to which it pertains, having regard to

28.3 L’objet que définit la revendication d’une demande de brevet ne doit pas, à la date de la revendication, être évident pour une personne versée dans l’art ou la science dont relève l’objet, eu égard à toute communication :

(a) information disclosed more than one year before the filing date by the applicant, or by a person who obtained knowledge, directly or indirectly, from the applicant in such a manner that the information became available to the public in Canada or elsewhere; and

a) qui a été faite, plus d’un an avant la date de dépôt de la demande, par le demandeur ou un tiers ayant obtenu de lui l’information à cet égard de façon directe ou autrement, de manière telle qu’elle est devenue accessible au public au Canada ou ailleurs;

(b) information disclosed before the claim date by a person not mentioned in paragraph (a) in such a manner that the information became available to the public in Canada or elsewhere.

[emphasis added]

b) qui a été faite par toute autre personne avant la date de la revendication de manière telle qu’elle est devenue accessible au public au Canada ou ailleurs.

[original non souligné]

[93]           If a claimed invention in a patent is obvious, the patent for the invention is invalid. In Sanofi, the Supreme Court of Canada sets out a four-step approach for the obviousness inquiry, with “obvious to try” arising in the fourth step:

[65] In Saint-Gobain PAM SA v. Fusion Provida Ltd., [2005] EWCA Civ 177 (BAILII), Jacob L.J. stated, at para. 35:

Mere possible inclusion of something within a research programme on the basis you will find out more and something might turn up is not enough.  If it were otherwise there would be few inventions that were patentable.  The only research which would be worthwhile (because of the prospect of protection) would be into areas totally devoid of prospect.  The “obvious to try” test really only works where it is more-or-less self-evident that what is being tested ought to work.

In General Tire, Sachs L.J. said, at p. 497:

“Obvious” is, after all, a much-used word and it does not seem to us that there is any need to go beyond the primary dictionary meaning of “very plain”.

In Intellectual Property Law, at p. 136, Professor Vaver also equates “obvious” to “very plain”.  I am of the opinion that the “obvious to try” test will work only where it is very plain or, to use the words of Jacob L.J., more or less self-evident that what is being tested ought to work.

[66] For a finding that an invention was “obvious to try”, there must be evidence to convince a judge on a balance of probabilities that it was more or less self-evident to try to obtain the invention.  Mere possibility that something might turn up is not enough.

[67] It will be useful in an obviousness inquiry to follow the four-step approach first outlined by Oliver L.J. in Windsurfing International Inc. v. Tabur Marine (Great Britain) Ltd., [1985] R.P.C. 59 (C.A.).  This approach should bring better structure to the obviousness inquiry and more objectivity and clarity to the analysis.  The Windsurfing approach was recently updated by Jacob L.J. in Pozzoli SPA v. BDMO SA, [2007] F.S.R. 37 (p. 872), [2007] EWCA Civ 588, at para. 23:

In the result I would restate the Windsurfing questions thus:

(1)        (a)        Identify the notional “person skilled in the art”;

(b)        Identify the relevant common general knowledge of that person;

(2)        Identify the inventive concept of the claim in question or if that cannot readily be done, construe it;

(3)        Identify what, if any, differences exist between the matter cited as forming part of the “state of the art” and the inventive concept of the claim or the claim as construed;

(4)        Viewed without any knowledge of the alleged invention as claimed, do those differences constitute steps which would have been obvious to the person skilled in the art or do they require any degree of invention? [Emphasis added.]

It will be at the fourth step of the Windsurfing/Pozzoli approach to obviousness that the issue of “obvious to try” will arise.

i.          When Is the “Obvious to Try” Test Appropriate?

[68] In areas of endeavour where advances are often won by experimentation, an “obvious to try” test might be appropriate.  In such areas, there may be numerous interrelated variables with which to experiment.  For example, some inventions in the pharmaceutical industry might warrant an “obvious to try” test since there may be many chemically similar structures that can elicit different biological responses and offer the potential for significant therapeutic advances. 

ii.         “Obvious to Try” Considerations

[69] If an “obvious to try” test is warranted, the following factors should be taken into consideration at the fourth step of the obviousness inquiry.  As with anticipation, this list is not exhaustive.  The factors will apply in accordance with the evidence in each case.

1.         Is it more or less self-evident that what is being tried ought to work?  Are there a finite number of identified predictable solutions known to persons skilled in the art?

2.         What is the extent, nature and amount of effort required to achieve the invention?  Are routine trials carried out or is the experimentation prolonged and arduous, such that the trials would not be considered routine?

3.         Is there a motive provided in the prior art to find the solution the patent addresses?

[70] Another important factor may arise from considering the actual course of conduct which culminated in the making of the invention.  It is true that obviousness is largely concerned with how a skilled worker would have acted in the light of the prior art.  But this is no reason to exclude evidence of the history of the invention, particularly where the knowledge of those involved in finding the invention is no lower than what would be expected of the skilled person.

[94]           I propose to conduct the obviousness analysis in accordance with Sanofi.

(1)               Skilled Person and his or her knowledge

[95]           First I have identified the Skilled Person as a person or a team of persons with an advanced degree in pharmaceutical chemistry or a related field with knowledge of and experience in the antiviral research activities, including the antiviral activity of phosphonomethoxy nucleotide analogs and with some knowledge of and experience with prodrugs.

(2)               Inventive Concept

[96]           The inventive concept is different from the promise of the patent. While the promise of the patent is measured in the context of utility, the inventive concept goes to the obviousness inquiry concerning the 619 Patent. In this case, the parties argue the inventive concept is the addition of the bis(POC) moiety to PMPA. The promise of efficient oral delivery is not part of this inventive concept. This follows from the state of the art, which clearly set out the usefulness of prodrugs in the efficient oral delivery of phosphononucleotide analogs (PNAs) in treatment and prophylaxis of viral infections.

(3)               Differences Between “State of the Art” and the Inventive Concept

[97]           The “State of the Art” at the relevant date contained the following elements, of which the Skilled Person would have been aware:

                                                        i.            Bis(POM)PMEA had been tried and shown to exhibit increased oral bioavailability as compared with its parent compound, though it also had pivalic acid toxicity issues from the POM moeity;

                                                      ii.            PMPA was known to be effective as a pure substance in treating select viral infections, including HIV, through intravenous administration;

                                                    iii.            Carbonate moieties had not been frequently attached to a phosphate group and tested. The report from Safadi, Oliyai and Stella, "Phosphorylmethyl Carbamates and Carbonates- Novel Water- Soluble Prodrugs for Amines and Hindered Alcohols" (1993) 10:9 Pharm. Res. 1350, cited by Drs. Borchardt and Maag, indicated this group of moieties would be chemically unstable;

                                                    iv.            Bis(POM)PMPA had been tried in Gilead’s first experiment with PMPA and found to exhibit similar results as bis(POM)PMEA, i.e., increased oral bioavailability but with undesirable pivalic acid toxicity issues;

                                                      v.            Prodrugs were known to behave unpredictably in the body and to require heavy trial and error efforts to determine efficacy. Promoieties which worked for one parent compound were poor success predictors for another parent compound; and

                                                    vi.            Prodrugs were a known, though still uncommon, solution to increase oral bioavailability of effective drugs with poor oral bioavailability.

[98]           Apotex argues the state of the art included knowledge of how the POM moiety’s toxicity issues had been resolved in another field, namely the antibiotic field. Indeed ampicillin, an antibiotic, had at the relevant time already been made into a prodrug, bacampicillin, in order to resolve its low oral bioavailability problem. Moreover, in the antibiotic field, a POM moiety presenting pivalic acid toxicity problems had been replaced by a POC moiety to ensure efficient and less toxic oral delivery of this antibiotic.

[99]           However, in my view, the unimaginative and uninventive Skilled Person would not have been directly led to the solution adduced from the antibiotic field in his or her experiments, especially given the experiments demonstrating chemical instability of carbonate moieties for parent drugs similar to PMPA and given the highly unpredictable results when combining moeities with various parent drugs. It would have taken an inventive spark to draw from the antibiotics field where Skilled Persons working with prodrugs would know of the highly unpredictable nature of manufacturing a prodrug, where it is uncontested that trial and error is the basis of much of prodrug research.

[100]       To arrive at the inventive concept of the bis(POC)PMPA for efficient oral delivery of the PMPA parent drug, the inventors had to make educated and in my view inventive selections to try various moieties on PMPA. [………………Redacted………………………………………] [……………….Redacted………..……………………………….] a point Apotex emphasized – in my view the state of the art was to the effect that carbonate prodrugs for this family of compounds were not chemically stable. This led the research team including the very accomplished scientists involved in Gilead’s management, to steer Gilead’s efforts initially towards other moieties for the PNAs being tested […..…….Redacted……….]. That was the state of the art as advanced by Gilead’s evidence which again I accept.

[101]       The inventive concept was first attempted following the retention of Dr. Stella as a consultant with Gilead. Dr. Stella, one of the few experts on prodrugs at the time [Redacted]  [……………………………….Redacted……………………………………………….] [……………………………….Redacted……………………………………………….] […………….Redacted…………………….] manufactured several different carbonate prodrugs, including bis(POC)PMPA (or TD, the successful new prodrug for oral administration of PMPA claimed in this Patent).

(4)               Viewed without any knowledge of the alleged invention as claimed, do those differences constitute steps which would have been obvious to the person skilled in the art or do they require any degree of invention? Was the invention “obvious to try”?

[102]       Apotex submits there was very little distance between the state of the art and the inventive concept, such that the moiety bis(POC) would have been obvious to try. Apotex argues that carbonates would have been an obvious solution, [………….……Redacted………………] [……………………………………….Redacted……………………………………………….] [……Redacted……………………….].  Moreover, Apotex alleges that once carbonates were attempted as a subgroup, the Skilled Person would have known to try carbonate moieties with the fewest number of carbons, though with more than one carbon. Apotex alleges that the Skilled Person would have started with a carbonate moiety with two or three carbons. This would have resulted in the Skilled Person making three carbonate prodrugs of PMPA, one of which being bis(POC)PMPA. Apotex went so far as to argue that TD would have been invented as the second, third or fourth molecule Gilead tried. I note bis(POC) was attempted early after starting carbonate moeity research, as Apotex alleges was to be anticipated. With respect I disagree that researching with carbonate moieties lacked inventiveness on the bases argued.

[103]       In Sanofi, the Supreme Court said that the “obvious to try” test could be appropriate in cases where there are many chemically similar structures that can elicit different biological responses and offer the potential for significant therapeutic advances. The Sanofi principles indicate the Court’s analysis of “obvious to try” must look to the following factors: [para 69]

1.         Is it more or less self-evident that what is being tried ought to work?  Are there a finite number of identified predictable solutions known to persons skilled in the art?

2.         What is the extent, nature and amount of effort required to achieve the invention?  Are routine trials carried out or is the experimentation prolonged and arduous, such that the trials would not be considered routine?

3.         Is there a motive provided in the prior art to find the solution the patent addresses?

[104]       Reading the 619 Patent through the eyes of the unimaginative Skilled Person, I am unable to find the carbonate subgroup was uninventive and either self-evident or “obvious to try”.

[105]       The prodrug literature on PNAs for antivirals pointed away – it indicated chemical instability for carbonates.  […………………....Redacted…………………………..] , so too were other avenues of research. In my view when Gilead’s researchers suggested carbonates, they were not reflecting the view of an unimaginative and uninventive Skilled Person who had identified carbonates as a solution which “ought to work”. In my view Gilead’s research team at that time was acting with an inventive spark and expected a period of trial and error before achieving their goal. There is no evidence the Gilead inventive team were in the position of the Skilled Person as construed above; I am unable to find they reflected the views of the unimaginative and uninventive Skilled Person in making this suggestion. The decision to opt for other, seemingly more promising, avenues of research, was but part of the inventive process for this prodrug development project. It would not have been more or less obvious to the Skilled Person at the time that the carbonate subgroup ought to work on PMPA; to the contrary, the prior art indicated it would not.

[106]       In this connection I am concerned that Apotex’s witness Dr Fortunak filed an affidavit which he admitted contained two significant false statements. First, he originally deposed that “the double ester prodrug approach had been successfully used to improve the oral bioavailability of the acyclic nucleotide compounds PMEA and PMPA. However, on cross-examination he agreed that the reference to PMPA was not correct. Secondly, Dr. Fortunak deposed: “The two types of double ester pro-moieties exemplified in the prior art to be useful for compounds with phosphonate group in improving oral bioavailability were ones containing esters and carbonates. However and also in cross-examination Dr. Fortunak admitted the reference to carbonates was not true.

[107]       I am not persuaded that these erroneous statements were included by accident or mistake. They are simply too important to the dispute before the Court to have been accidental. They were obviously inserted by the drafter of Dr. Fortunak’s affidavit – by Dr. Fortunak himself or others – who believed or hoped (wrongly) those statements were true. It is significant that these material untrue statements remained in Dr. Fortunak’s affidavit after whatever number of reviews and preparation took place leading up to a significant legal challenge as mounted here. These misstatements cast doubt on his evidence and reinforce my conclusion that his evidence is of less value generally than that of Gilead’s experts where they diverge; therefore and in those respects I must and do give more credence to Gilead’s evidence on the obviousness issue.

[108]       I agree with Apotex that once selected, the carbonate prodrug class for PMPA was limited to a mathematically finite number of identified predictable potential solutions. However, I note that not only was PMPA a backup drug to PMEA in the research project, but it was such along with PMPDAP. Moreover, there were other more obvious subgroups that could have been attempted, and many others which were attempted, according to the literature, and PMEA and PMPA research efforts, before trying the carbonate subgroup, a prodrug moiety with flagged instability issues. It was not obvious that a carbonate subgroup ought to work.

[109]       While Apotex derided Gilead’s team as looking for the wrong things in the wrong places, in my respectful view, Gilead’s research efforts to find a suitable prodrug were simply part of a normal prolonged inventive process given the state of the art at the time. Once experiments started with PMPA in 1994, less than three years elapsed before bis(POC)PMPA was made into the subject matter of the 619 Patent in 1996, about the same time as the experiments conducted on the alternate PNA, PMEA […Redacted…] , which did not yield a suitable solution.

[110]       Prodrug trials are by nature prolonged in that their chemistry, behaviour, and selectivity inside the body is not easily predictable. Trial and error is a norm. Due to this unpredictable nature, experts must make judgment calls on the likelihood of success early on in their testing efforts, based on available information at the relevant time. I find reaching the inventive concept of bis(POC)PMPA was a relatively long and arduous process, and that its selection required an inventive spark that would not have been made by an unimaginative and uninventive Skilled Person. Further, far more than routine tests were required.

[111]       I find there was strong financial and medical motivation to find HIV treatment and prophylaxis at the time, where the infection was relatively new and treatment options difficult and limited in their effectiveness. Moreover, there was motivation to find a chemically stable, bioavailable and efficient prodrug, which would not have the same toxicity issues as had been found with the bis(POM) moiety. The need for treatment of the other viral infections listed in the 619 Patent also provided sufficient motivation for pharmaceutical innovators to invent drugs with effective oral delivery. However, the presence of such strong motivation to invent a drug with the properties now known to TDF does not itself render the invention obvious or obvious to try under the Sanofi test.

[112]       In my view, the discovery of the prodrug bis(POC)PMPA was neither obvious nor obvious to try; it required an inventive spark and would not have been obvious to the unimaginative and uninventive Skilled Person. In my view Gilead has established on a balance of probabilities that Apotex’s allegations of obviousness and obvious to try are not justified.

E.                 Utility

[113]       Utility is required for an invention to be patentable: Patent Act at s. 2:

invention means any new and useful art, process, machine, manufacture or composition of matter, or any new and useful improvement in any art, process, machine, manufacture or composition of matter; (invention)

[emphasis added

invention Toute réalisation, tout procédé, toute machine, fabrication ou composition de matières, ainsi que tout perfectionnement de l’un d’eux, présentant le caractère de la nouveauté et de l’utilité. (invention)

[original non souligné]

[114]       In Eli Lilly Canada Inc v Novopharm Limited, 2010 FCA 197, Justice Layden-Stevenson explains that utility may be demonstrated or soundly predicted at the date of filing. Where the specification sets out an explicit promise, utility will be measured against that promise:

[74]      Section 2 of the Act requires that the subject matter of a patent be new and useful. The general principle is that, as of the relevant date (the date of filing), there must have been either demonstration of utility of the invention or a sound prediction of the utility. Evidence beyond that set out in the specification can, and normally will, be necessary.

[75]      To establish lack of utility, the alleged infringer must demonstrate “that the invention will not work, either in the sense that it will not operate at all or, more broadly, that it will not do what the specification promises that it will do” : Consolboard Inc. v. MacMillan Bloedel (Sask.) Ltd., [1981] 1 S.C.R. 504 (Consolboard).

[76]      Where the specification does not promise a specific result, no particular level of utility is required; a “mere scintilla” of utility will suffice. However, where the specification sets out an explicit “promise”, utility will be measured against that promise: Consolboard; Pfizer Canada Inc. v. Canada (Minister of Health), [2009] 1 F.C.R. 253, 2008 FCA 108 (Ranbaxy). The question is whether the invention does what the patent promises it will do.

[115]       This reasoning was featured in Teva Canada Ltd v Pfizer Canada Inc, 2012 SCC 60, citing the Supreme Court’s decision in Apotex Inc v Wellcome Foundation Ltd, 2002 SCC 77 (AZT):

[38]      As the courts below noted, all that is required to meet the utility requirement in s. 2 is that the invention described in the patent do what the patent says it will do, that is, that the promise of the invention be fulfilled: see also S. J. Perry and T. A. Currier, Canadian Patent Law (2012), at §7.11. Patent ’446 states that the claimed compounds, including sildenafil, will be useful in treating ED. At the time the application was filed, sildenafil could assist in treating ED. This is all that is required. The fact that Pfizer did not disclose that the tested compound was sildenafil goes to the issue of disclosure of the invention, not to that of disclosure of the invention’s utility.

[39]      That the invention must be useful as of the date of the claim or as of the time of filing is consistent with this Court’s comments in AZT, at para. 56:

Where the new use is the gravamen of the invention, the utility required for patentability (s. 2) must, as of the priority date, either be demonstrated or be a sound prediction based on the information and expertise then available. If a patent sought to be supported on the basis of sound prediction is subsequently challenged, the challenge will succeed if . . . the prediction at the date of application was not sound, or, irrespective of the soundness of the prediction, “[t]here is evidence of lack of utility in respect of some of the area covered”. [Italics in original; underlining added.]

1)      Promise of the 619 Patent

[116]       To determine whether the 619 Patent has utility that is either demonstrated or soundly predicted, I must first identify the promise of the 619 Patent. Justice Rennie (as he then was) in his decision, AstraZeneca Canada Inc v Apotex inc, 2014 FC 638, explains there is a difference between goals and outcomes that a patent promise will occur when construing the promised utility for the patent; promises are explicit and define guaranteed or anticipated results from the patent (depending on whether the promise is demonstrated or soundly predicted), whereas goals merely relate to potential uses for the patent:

[115]    There is a difference between the goals that a patent hopes to address, and the outcomes that a patent promises will occur.  In AstraZeneca Canada Inc v Mylan Pharmaceuticals ULC, 2011 FC 1023 [Mylan Arimidex], I observed that “not all statements of advantage in a patent rise to the level of a promise.  A goal is not necessarily a promise” (at para 139).  This distinction between goals and promises has been affirmed by the Federal Court of Appeal (see e.g. Apotex Inc v Sanofi-Aventis, 2013 FCA 186 at para 67 [Sanofi-Aventis Plavix]).

[116]    Differentiating goals and promises is a question of characterization.  Thus, before interpreting whether or not the ‘653 patent’s reference to an improved therapeutic profile is a goal or a promise, goals must be distinguished from promises in the abstract.

[117]    Goals merely describe “a hoped-for advantage of the invention” (Mylan Arimidex, at para 139).  For example, in Mylan Arimidex, I found that an object clause, beginning with “it is a particular object of the present invention to,” merely described a goal that the patent strived to achieve rather than a promised outcome.  Similarly, in Sanofi-Aventis Plavix, at paras 55-67, Justice Pelletier found the inference of a promise of therapeutic utility based on indirect references to the use of the drug in humans (e.g. references to human diseases and dosages that potentially correspond to use in humans) was insufficient to substantiate a promise and merely alluded to potential uses.  In sum, promises are explicit and define guaranteed or anticipated results from the patent (depending on whether the promise is demonstrated or soundly predicted), whereas goals merely relate to potential uses for the patent.

(emphasis in original)

[117]       In Mylan Pharmaceuticals ULC v Pfizer Canada Inc, 2012 FCA 103, the Federal Court of Appeal found the promise of the patent will generally be construed with the help of experts within the context of the patent as a whole, and through the eyes of a Skilled Person, stating at para 48:

(…) generally, the construction of the promise is an exercise that requires the assistance of expert evidence, as the promise should be properly defined, within the context of the patent as a whole, through the eyes of a person skilled in the art or science to which the invention pertains: Eli Lilly Canada Inc. v. Novopharm Limited, 2010 FCA 197, 85 C.P.R. (4th) 413 at para. 80.

[118]       In Astrazeneca Canada Inc v Mylan Pharmaceuticals ULC, 2011 FC 1023, Justice Rennie confirmed that construction of the promise of the patent is a question of law within the exclusive province of the Court:

[90]      Construction of the promise of the patent is a question of law within the exclusive province of the Court: GlaxoSmithKline rosiglitazone, above at para 86. Courts should be careful in relying on expert evidence to construe the promise of the patent. In Pfizer donepezil, above at para 224, Justice Roger Hughes reinforces the need for a clear demarcation of roles:

These illustrations, which are by no means exhaustive, demonstrate the perils in asking experts to stray from their expertise and to enter into the realm of advocacy in construing a patent. It is very tempting for lawyers to seek to put words into the mouths of experts and then seek to urge upon the Court that these words be accepted as being assistance from the expert in interpretation of a patent.

[119]       The parties disagree on the promise of the Patent. While Gilead submits the only promise of the 619 Patent is the offer of efficient oral delivery of the parent compound (tenofovir), Apotex submits the 619 Patent also promises to be an effective treatment for, among other things, HIV.

[120]       In support of Apotex’s argument that efficacy in HIV treatment is promised, I agree that the effectiveness of TD against HIV is mentioned several times in the 619 Patent. I further note Gilead went so far as to conduct experiments on the selectivity and effective concentrations for TD as compared with PMPA alone as relates to HIV infections, and with other tested carbonate prodrugs of PMPA. These results are presented in Table 2 of Example 16 of the 619 Patent.

[121]       However, PMPA was known within the prior art to be a useful NRTI when used intravenously in the treatment of HIV. All the experts agree PMPA was a known compound with anti-viral activity. The problem was that PMPA had to be delivered intravenously i.e., through an IV, because it had poor oral bioavailability at the time of the claimed invention. Dr. Maag even explains racemic (or a mixture equally composed of dextrorotatory and levorotatory forms) tenofovir was disclosed in the EP 0,206,459 application, as a standalone compound (without a prodrug).

[122]       In my view there are differences between the goals and promises of the 619 Patent. In the 619 Patent, the goal was to improve treatment or prophylaxis for HIV, among other viral infections in animals and humans, through the promised utility of effective oral bioavailability of the parent drug, PMPA.

[123]       In reading the 619 Patent, I note the focus is not on making the active anti-viral component of the compound, PMPA, but rather on making this compound accessible orally to an infected living being. In this connection, Table 2 looks to PMPA in all cases, and only changes the moiety to determine differences in selectivity and effectiveness of the different prodrugs. A prodrug is used to allow a drug to reach its target more effectively where chemical barriers prevent a medication’s reaching the site in the body where it is to work: successful oral delivery of PMPA required that it be in effect “carried” across the intestinal wall by a prodrug which then cleaved and resolved into the parent. Where the prodrug would not cleave at the right stage or in the right manner, for example, the effectiveness of the parent drug is lost and the prodrug would not be deemed to provide an effective means to orally deliver the parent compound, PMPA.

[124]       In reviewing the 619 Patent with the guidance of both Gilead and Apotex’s experts, I find the promise of the patent is efficient oral delivery of the parent compound through its prodrug, which has a specific carbonate moiety, yielding bis(POC)PMPA or tenofovir disoproxil.

2)      Utility Measured Against the 619 Patent Promise

[125]       Having defined the promise of the 619 Patent, I now turn to an analysis of whether the utility was demonstrated or soundly predicted at the time of filing of the 619 Patent. Although later use of tenofovir disoproxil shows success in delivering PMPA orally to infected humans, I must determine whether, at the time of filing namely July 25, 1997, the efficient oral delivery was demonstrated or soundly predicted. The utility may be demonstrated or soundly predicted based on evidence found within or outside the patent as of the relevant date. Gilead relies only on demonstrated utility, making no submissions on sound prediction.

[126]       The Federal Court of Appeal outlined the requirements for this utility analysis in Apotex Inc v Pfizer Canada Inc, 2014 FCA 250 at para 64, where it is stated that the threshold to prove established utility is no more than a scintilla of utility:

The courts, however, have long held that the minimum requirements for utility under the Act are fairly forgiving. First, the inventor need not expressly set out the utility of the invention in the patent. It is merely required that, where the inventor is called upon to prove the utility of the invention, utility can be shown to be demonstrated or soundly predicted as of the patent’s filing date. Second, the threshold that must be proven to establish utility is generally quite low, described as being no more than a “scintilla of utility”.

[127]       I note as well that Justice Rennie held in Astrazeneca Canada Inc v Mylan Pharmaceuticals ULC, 2011 FC 1023 at para 168, that “[f]or the purposes of demonstrating utility, it is sufficient that the test results are ‘strongly suggestive’ of utility, and that no other logical explanation for the test results is likely.”

[128]       Measuring the utility against the promise of oral bioavailability, and reconciling the evidence from all the experts, I note the evidence is limited in this instance to laboratory notes, Example 15, and Example 16.

[129]       To find efficient oral delivery, or oral bioavailability, of tenofovir disoproxil, a Skilled Person would naturally look to compare the oral bioavailability of the prodrug with that of its parent, PMPA. In this connection I agree with Apotex that Example 15 does not provide any information for PMPA’s oral bioavailability. However, in looking outside the 619 Patent, I find the parent PMPA was reputed for having low oral bioavailability. [……….Redacted…………] […………………………..…….Redacted…………………………….………………….] find the oral bioavailability as listed in Example 15 is [Redacted] the figure available from this data (35.8±14.7%). Even taking the least favourable result within each margin of error, bis(POC)PMPA still shows better oral bioavailability than its parent drug, PMPA (i.e., 35.8±14.7% is at its lowest 21.1%, which is still greater than [….Redacted….] such that the delta on the least favourable results shows a clear bioavailability improvement). I note the protocols for assessing oral bioavailability may have been different between the experiments. Also, the animals on which testing was conducted is not clearly identical for both tests. […… [……………….………….Redacted……………..………….] though only testing on beagle dogs is reported in the 619 Patent.

[130]       Drs. Borchardt and Maag opine that in their experience, which I accept, it is not possible to get funding approval for in vivo testing on humans if a patent is not in effect. Although some jurisdictions may impose different constraints for testing, as Dr. Owen suggests, I give the testimony by Gilead’s experts more weight because of their long experience with patents in the jurisdiction where tenofovir disoproxil was invented. Specifically, Drs. Borchardt and Maag had experience with chemical research, patent filing and or drug development programs with inventors at the relevant time.

[131]       In my view, the data in Example 15 is strongly suggestive of utility and no other logical explanation for the test result is likely; it shows that bis(POC)PMPA will have improved oral bioavailability compared to the parent PMPA; it will also have efficient oral bioavailability (above 20% of the amount delivered if administered as an intravenous injection of pure PMPA).

[132]       Example 16 in the 619 Patent is further evidence which demonstrates that, through its oral delivery, the PMPA activity remains effective against HIV; HIV is one of the infections for which PMPA had previously been shown to exhibit prophylactic effect. The information in Table 2 is useful to Gilead in selecting which prodrug to select from among the tested carbonate prodrugs for efficient oral bioavailability. Due to the highly unpredictable behaviours of the prodrugs tested, in determining which prodrug was an especially effective anti-viral, it would have been important to test, as Gilead did, whether PMPA was still effective once in prodrug form. Specifically, Gilead argued that in building a prodrug moiety, the inventors had to make sure that the prodrug’s chemistry would cleave at the right location on the compound. The testing in tissue culture (in vitro) is strongly suggestive of utility; the prodrug would retain the effectiveness of the PMPA compound once it made it into a living human (in vivo). In my view no other logical explanation for the results is likely.

[133]       I find these facts demonstrate the utility of the 619 Patent in terms of its promise, i.e., it has more than a “scintilla of utility”, and do so on a balance of probabilities.

[134]       Apotex raised issues concerning the disclosures of the tests conducted in the 619 Patent. Apotex argues experimenting on beagle dogs in Example 15 is not a sound predictor or demonstrator of oral bioavailability in humans. Apotex also argues the oral bioavailability in Example 15 does not compare data with oral bioavailability of the parent compound, PMPA. Although I agree that Example 15 is tested on beagle dogs, and that PMPA in its standalone form is not part of the testing, I find Gilead’s evidence sufficient to meet its burden.

[135]       In order to establish utility, I am not bound only by the contents of the 619 Patent; the Court may, and does look outside to determine whether the promise’s utility was shown. First, Gilead establishes that low oral bioavailability of the parent PMPA was demonstrated in the prior art as [Redacted] Apotex agreed bioavailability of PMPA was low. Gilead established that testing on smaller animals, such as beagle dogs, is sufficient in practice to demonstrate oral bioavailability of the prodrug as promised in the 619 Patent. Gilead also presents the in vitro stability studies data in the Patent performed with human tissue culture. These demonstrate that the prodrug has good stability in the intestine and plasma and poor stability in the liver. These results are ideal to show promise for effective delivery of PMPA when ingested orally. This is all that is required to get a patent which would then enable internal funding for in vivo human testing, and in this case also meets the burden to show utility was demonstrated. Finally, the 619 Patent’s statement of oral bioavailability of 20% as compared with intravenous administration of the parent compound is sufficient to find there was effective oral bioavailability.

[136]       In weighing the evidence before me, I am satisfied on a balance of probabilities that Apotex’s allegations of inutility are not justified.

V.                Conclusions

[137]       The application must therefore be granted, and the Minister prohibited from issuing a Notice of Compliance to Apotex in respect of its Notice of Allegation until the expiry of the 619 Patent on July 25, 2017, with costs payable by Apotex to Gilead.

VI.             Costs

[138]       The parties have agreed on costs which agreement is set out in the Court’s Judgment as Schedule “A” – Agreed Terms of Costs Order. The Court appreciates the cooperation of counsel in this regard.

VII)          Confidential Reasons

[139]       These Reasons contain information subject to a Protective Order and are therefore marked Confidential. The Parties shall have 20 days to consult with one another and advise the Court what if any portions they wish redacted, failing which these Reasons will become the Public Reasons and be placed on the public file.  Note: the foregoing sentence was included in the Confidential Reasons; these present reasons contain redactions requested by the Applicant and thus redacted are now public.


JUDGMENT

THIS COURT’S JUDGMENT is that:

1.      The application is granted.

2.      The Minister of Health is prohibited from issuing a Notice of Compliance to Apotex in respect of its Notice of Allegation in this matter dated June 19, 2014, until the expiry of Canadian Patent No. 2,261,619.

3.      Apotex shall pay Gilead its costs of this application as per the Schedule “A” – Agreed Terms of Costs Order attached hereto.

4.      The Parties shall have 20 days to consult with one another and advise the Court what if any portions of this Confidential Judgment and Reasons they wish redacted, failing which these Reasons will become the Public Reasons and placed on the public file accordingly.  Note: this part of the Judgment was included in the Confidential Reasons but having heard from the parties is now spent; see para 139.

“Henry S. Brown”

Judge


Schedule “A” – Agreed Terms of Costs Order

1.                  The successful party will be awarded costs in accordance with the following directions, provided that the following directions in no way modify or supersede any existing Orders or Directions with respect to costs for particular motions or steps before the hearing of this Application:

a)                  Costs are to be assessed at the middle of Column IV of Tariff B;

b)                  No costs are recoverable for in-house counsel, law clerks, students and support staff;

c)                  Costs are recoverable only for those experts who provided affidavits or reports that were filed in the proceeding (the “allowable experts”);

d)                 The hourly rate for allowable experts shall not exceed the hourly rate of senior counsel;

e)                  Fees paid to allowable experts for time not spent preparing the expert’s own affidavit/report or preparing for the expert’s own cross-examination are recoverable only where it is demonstrated that it was reasonable and necessary to provide technical assistance to counsel;

f)                   Counsel fees shall be assessed on the basis of:

                                            i.                        one senior and one junior counsel at the hearing;

                                          ii.                        one senior and one junior counsel in conducting cross-examinations; and

                                        iii.                        one senior counsel for defending cross-examinations;

g)                  Travel and accommodation expenses will be assessed on the basis of economy air fares and single rooms; and

h)                  Photocopying costs will be assessed at $0.25 per page, and the number of recoverable copies shall be limited to that which is reasonable and necessary.


FEDERAL COURT

SOLICITORS OF RECORD


DOCKET:

T-1694-14

STYLE OF CAUSE:

GILEAD SCIENCES, INC. ET AL v THE MINISTER OF HEALTH AND APOTEX INC.

PLACE OF HEARING:

Toronto, Ontario

DATE OF HEARING:

April 11 - 14, 2016

PUBLIC JUDGMENT AND REASONS:

BROWN J.

DATED:

August 23, 2016

APPEARANCES:

Patrick Kierans

Brian Daley

Louisa Pontrelli

Biran J. Capogrosso

Nisha Anand

For The Applicants

GILEAD SCIENCES, INC. and

GILEAD SCIENCES CANADA, INC

- Nil -

FOR THE RESPONDENT

THE MINISTER OF HEALTH

Belle Van

Andrew Brodkin

Dino Clarizio

FOR THE RESPONDENT

APOTEX INC

SOLICITORS OF RECORD:

Norton Rose Fulbright Canada LLP

Barristers and Solicitors

Montréal, Quebec

For The Applicants

GILEAD SCIENCES, INC. and

GILEAD SCIENCES CANADA, INC

William F. Pentney

Deputy Attorney General of Canada

Toronto, Ontario

FOR THE RESPONDENT

THE MINISTER OF HEALTH

Goodmans LLP

Barristers & Solicitors

Toronto, Ontario

FOR THE RESPONDENT

APOTEX INC

 

 You are being directed to the most recent version of the statute which may not be the version considered at the time of the judgment.