Federal Court Decisions

Decision Information

Decision Content

Date: 20200406


Docket: T-226-18

Citation: 2020 FC 486

Ottawa, Ontario, April 6, 2020

PRESENT:  The Honourable Mr. Justice Manson

BETWEEN:

VIIV HEALTHCARE COMPANY,

SHIONOGI & CO., LTD. AND

VIIV HEALTHCARE ULC

Plaintiffs/

Defendants by Counterclaim

and

GILEAD SCIENCES CANADA, INC.

Defendant/

Plaintiff by Counterclaim

JUDGMENT AND REASONS

I.  Introduction

[1]  This is a motion for summary trial in a patent action. Given the narrow and well-defined issues before the Court, this is an appropriate proceeding to advance the litigation and narrow the issues in dispute.

II.  Background

[2]  The Defendant, Gilead Sciences Canada, Inc [Gilead] brought this motion for summary trial in the context of an action brought by the Plaintiffs, ViiV Healthcare Company, Shionogi & Co Ltd, and ViiV Healthcare ULC [collectively “ViiV”], alleging that Gilead has infringed Canadian Patent No. 2,606,282 [the 282 Patent] by making, using, selling, or offering to sell bictegravir as a component in its BIKTARVY product. Gilead denies all allegations of infringement, and counterclaims alleging that the 282 Patent is invalid.

[3]  The motion is limited to two issues:

  1. The proper construction of Ring A as defined in claims 1, 11, and 16 of the 282 Patent; and

  2. Whether, based on that construction, bictegravir falls within the scope of claims 1, 11, and 16 of the 282 Patent.

[4]  At the outset of the trial, ViiV admitted that Ring A is an essential element of the claims, so the only issue in dispute with respect to claim construction is whether any of claims 1, 11, and 16 cover bridged bicyclic Ring A structures.

A.  The 282 Patent

[5]  The 282 Patent is titled “Polycyclic Carbamoylpyridone Derivatives Having HIV Integrase Inhibitory Activity.” The patent is co-owned by ViiV Healthcare Company [ViiV USA] and Shionogi & Co, Ltd [Shionogi]. ViiV Healthcare ULC, a Canadian entity, is licensed indirectly by ViiV USA and Shionogi, and as such is a person claiming under the patentees.

[6]  The 282 Patent is 315 pages long. It contains 437 claims and covers a multitude of compounds. However, as stated above, only claims 1, 11, and 16 are at issue in this summary trial. Each of these claims refers to a genus of compounds and their pharmaceutically acceptable salts or solvates. Claims 1 and 11 are the only asserted independent claims. The parties and their experts focused substantially all of their interpretive efforts on pages 39-42, 47-54, and 241-245 of the disclosure – less than 20 pages of the 245 page disclosure.

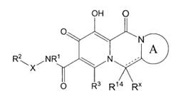
[7]  As stated in the “Technical Field” section of the disclosure, the 282 Patent discloses novel compounds possessing inhibitory activity against human immunodeficiency virus [HIV] integrase and pharmaceutical compositions containing said compounds. The general structure of the claimed compounds, depicting Ring A on the right, is first used on page 4 of the patent:

B.  Bictegravir

[8]  Bictegravir sodium is one of three medicinal components in Gilead’s BIKTARVY product. As depicted in the BIKTARVY product monograph, bictegravir sodium has the following structural formula:

[9]  This structural formula is in reverse orientation to the structural formulas in the 282 Patent. When rotated 180 degrees to be consistent with the formulas in the patent, the structure of bictegravir sodium is:

[10]  At issue is the purposive construction of Ring A in claims 1, 11, and 16, and whether bictegravir’s bridged ring, circled in the images above, falls within the scope of the claims.

III.  Summary Trial

[11]  The factors to be considered on a motion for summary trial include:

• The amount involved;

• The complexity of the matter;

• The urgency of the matter;

• Any prejudice likely to arise by reason of delay;

• The cost of taking the case forward to a conventional trial in relation to the amount involved;

• The course of the proceedings;

• Whether the litigation is extensive and the summary trial will take considerable time;

• Whether credibility is a crucial factor and the deponents of the conflicting affidavits been cross examined;

• Whether the summary trial involves a substantial risk of wasting time and effort, and producing unnecessary complexity;

• Whether the motion results in litigating in slices; and

• Any other matters which arise for consideration.

Wenzel Downhole Tools v National-Oilwell Canada Ltd, 2010 FC 966, at paras 36-37 [Wenzel]

[12]  If the Court is satisfied that there is sufficient evidence for adjudication, regardless of the amounts involved, the complexities of the issues and the existence of conflicting evidence, the Court may grant judgment, either generally or on an issue, unless it would be unjust to do so (Federal Courts Rules, SOR-98/106, r 216(6)).

[13]  Summary trial need not be reserved for cases where the summary trial will result in determination of every issue. The Court has discretion to look at one or more issues and determine whether it is appropriate to deal with those issues by way of summary trial (Federal Courts Rules, r 213(1); Teva Canada Limited v Wyeth and Pfizer Canada Inc, 2011 FC 1169 (rev’d on other grounds 2012 FCA 141), at para 32 [Teva Canada]).

[14]  ViiV submits that lack of expert opinion evidence is a factor that weighs against the appropriateness of a summary trial (Wenzel, above, at para 38). However, the facts of that case were markedly different from the present case. In Wenzel, there was no expert evidence before the Court. In this case, the parties put forward five expert witnesses, who were all cross-examined on their reports during the summary trial. The Court has all of the necessary expert evidence in addition to the 282 Patent specification to construe Ring A of claims 1, 11 and 16 and determine whether Gilead has made out its case of non-infringement.

[15]  ViiV further submits that summary trial is inappropriate because it will result in litigating in slices. In Wenzel, Justice Snider noted that severing off the issue of anticipation would not conclusively dispose of the trial if the Court made a determination against the defendants. In that event, the Court would still need to consider obviousness, an issue based on much of the same evidence, at trial (Wenzel at para 38).

[16]  The motion before this Court is distinguishable from the cases cited by ViiV. The issue for summary trial turns on the construction of only one claim element: Ring A in each of claims 1, 11, and 16 and whether based on that construction, Gilead may infringe one or more of these claims and claims dependent thereon. As discussed further below with respect to the burden of proof, claim construction is a question of law, and the only factual determination necessary to dispose of the summary trial has already been determined.

[17]  The motion before the Court may be dispositive of ViiV’s claim, and in any event, will result in the following efficiencies:

(1) If the Court finds that bictegravir does not fall within the scope of claims 1, 11, or 16 of the 282 Patent, none of these claims and their dependant claims can be or will be infringed by Gilead, and ViiV’s action will be dismissed in its entirety.

(2) If the Court finds that bictegravir does fall within the scope of any of claims 1, 11, or 16 of the 282 Patent, disposition of the claim construction issue will provide greater certainty and clarity for a trial of the remaining issues, including validity. The construction of Ring A in the asserted claims is a necessary first step in determining the scope of the asserted claims in this action for both infringement and validity.

[18]  As noted by Justice Hughes, “[t]hese Rules are intended to be used, not avoided or distinguished” (Teva Canada, above, at para 33). Despite ViiV’s continued attempts to derail the summary trial, I find that Gilead’s motion is both appropriate and timely.

A.  Burden of Proof

[19]  Gilead, as the party seeking summary trial, bears the burden of demonstrating that summary trial is appropriate (Teva Canada at para 35). For the reasons given above, Gilead has met this burden.

[20]  On the merits of the summary trial issue, the usual burden in a civil trial applies, that is, the “party making an assertion must prove it by relevant evidence and the application of appropriate law” (Teva Canada at para 36). In this case, Gilead asserts that bictegravir does not fall within the scope of claims 1, 11, and 16 of the 282 Patent, and thus bears the burden of proving non-infringement.

[21]  That said, claim construction is a question of law for the Court (Whirlpool Corp v Camco Inc, 2000 SCC 67 at paras 61 & 76 [Whirlpool]). While the issue of infringement is a question of mixed fact and law, the only fact required to determine whether there is infringement of claims 1, 11, and 16 is the structure of bictegravir. The admissibility of evidence establishing bictegravir’s structure was the subject of great debate prior to the summary trial, despite the parties’ general agreement on the actual structure. The Court found Gilead’s BIKTARVY product monograph admissible, so this fact has been established. Therefore, Gilead’s assertions of non-infringement will simply flow from the Court’s construction of Ring A in the three claims at issue.

[22]  To the extent ViiV asserts that any aspect of Ring A is non-essential, it bears the burden on this issue (Free World Trust v Électro Santé Inc, 2000 SCC 66 at para 57 [Free World Trust]).

IV.  The Experts

A.  Gilead’s Experts

(1)  Mark Lautens, PhD

[23]  Dr. Lautens is a Professor of Chemistry at the University of Toronto. He obtained his PhD in synthetic reactions and metal catalysis from the University of Wisconsin-Madison in 1985, and completed postdoctoral studies in the field of bioactive natural product synthesis at Harvard University between 1985 and 1987.

[24]  Dr. Lautens’ areas of research include new and improved chemical reactions for biologically or medicinally interesting compounds, and his laboratory focuses on designing streamlined syntheses for pharmaceuticals. He has published extensively in the field of synthetic chemistry, and acts as a consultant to the pharmaceutical industry.

[25]  Dr. Lautens was qualified as an expert in organic chemistry and synthetic organic chemistry, including how to characterize molecules for pharmaceutical applications.

[26]  Dr. Lautens was a credible witness. His evidence was clear and direct, and he remained consistent during cross-examination. Dr. Lautens did concede that he is not a medicinal chemist and he was giving his opinion on the claims strictly from the perspective of a synthetic organic chemist. His interpretation of claims 1, 11, and 16 involves a starting position that Ring A as defined in the claims is ambiguous, and therefore he looks to the disclosure to see how the skilled person would understand the claims, based on their common general knowledge [CGK] at the relevant date.

(2)  Brent Stranix, PhD

[27]  Dr. Stranix is a Medicinal Chemistry Consultant at the Montreal Heart Institute. He obtained his PhD in organic chemistry from McGill University in 1997. Following his PhD, he completed postdoctoral studies at McGill in the field of bio-inorganic chemistry.  

[28]  Dr. Stranix has worked as a medicinal chemist on drug design and development for over 20 years, with a focus on compounds with anti-HIV activity including inhibitors of the HIV-1 integrase enzyme.

[29]  Dr. Stranix was qualified an expert in organic chemistry, medicinal chemistry, and HIV integrase inhibitor drug design and discovery. At trial, Dr. Stranix’s evidence was weakened by challenges to his credibility, and he was evasive on cross-examination.

[30]  Gilead did not ask Dr. Stranix to interpret claim language. As further set out below, the key evidence for understanding the scope of the claims in issue is provided by Dr. Lautens, Dr. Winkler, and to the extent Dr. Winkler relied on a medicinal chemist’s knowledge, Dr. Williams.

[31]  Further, despite opining on how the skilled person would understand certain aspects of the asserted claims in light of their CGK, Dr. Stranix admitted on cross-examination that “didn't really look at the whole disclosure of the 282 Patent” and he did not consider the definitions of “heterocycle” contained in the disclosure. Dr. Stranix did not opine on matters relating only to biology or virology, as this was outside his expertise.

[32]  In light of these admissions, Dr. Stranix’s evidence is of limited value in construing the claims in issue.

B.  ViiV’s Experts

(1)  Jeffrey D. Winkler, PhD

[33]  Dr. Winkler is a Professor of Chemistry at the University of Pennsylvania. He obtained his PhD in chemistry from Columbia University in 1981 and completed postdoctoral studies in the chemistry department at Columbia University between 1981 and 1983.

[34]  Dr. Winkler’s research areas include the design and synthesis of both natural and unnatural products with important structural and/or biological properties. Dr. Winkler has published extensively in peer-reviewed scholarly journals, is a named inventor on numerous patents, and acts as a consultant to the pharmaceutical industry.

[35]  Dr. Winkler was qualified as an expert in the field of organic chemistry, particularly synthetic organic chemistry.

[36]  Dr. Winkler was a credible witness. He answered questions clearly and his evidence was consistent both in chief and during cross-examination. However, Dr. Winkler’s claim construction opinion was weakened by his admission that he used infringement-centric hindsight in construing the claims.

(2)  Peter Williams, PhD

[37]  Dr. Williams obtained his PhD in organic chemistry from Michigan State University in 1982 and completed postdoctoral studies in total synthesis of natural products at Stanford University between 1982 and 1985.

[38]  Dr. Williams worked as a medicinal chemist at Merck from 1985 to 2013. During this time, he worked in drug discovery and was involved in multiple projects aimed at creating new anti-HIV drugs. Dr. Williams is listed as a co-inventor on several issued patents and has authored or co-authored several scientific papers in the area of HIV integrase inhibitors.

[39]  Dr. Williams was qualified as an expert in the fields of medicinal chemistry and HIV integrase inhibitor drug design and discovery. Dr. Williams relied on Dr. Winkler’s claim construction in providing his opinion, stating that the medicinal chemist Person of Ordinary Skill in the Art [POSITA] would understand the terms in the same way. Dr. Williams was a credible witness.

(3)  Mamuka Kvaratskhelia, PhD

[40]  Dr. Kvaratskhelia is a Professor of Medicine in the Infectious Diseases Division at the University of Colorado School of Medicine. He obtained his PhD in Biotechnology and Biochemistry at the Georgian Institute of Agriculture and Biotechnology Center at Moscow State University in 1991.

[41]  Dr. Kvaratskhelia’s research focuses on HIV integrase inhibitors, specifically the investigation of the structure and function of HIV integrase as a therapeutic target. He was qualified by the Court as an expert in biochemistry and molecular virology relating to HIV.

[42]  Dr. Kvaratskhelia admitted on cross-examination that the claims at issue are not directed towards a skilled biologist or virologist. He stated that he did not consider the meaning of Ring A as defined in claims 1, 11, and 16, and consideration of the types of compounds that fall within the scope of these claims is not within his expertise.

[43]  While Dr. Kvaratskhelia gave evidence as to how the claimed compounds work based on the skilled biologist/virologist POSITA’s reading of the Experimental Examples in the 282 Patent, given that Ring A is admitted to be an essential element, his evidence is not relevant to determining the scope of Ring A in claims 1, 11, and 16.

[44]  As such, I find that his evidence is of limited weight in respect of the issues on this motion.

V.  Claim Construction

[45]  The principles of claim construction were recently summarized by the Federal Court of Appeal in Tearlab Corporation v I-Med Pharma Inc, 2019 FCA 179 at paragraphs 30-34:

[30]  The general principles of claim construction are now well established and were set out by the Supreme Court in three cases (Whirlpool at paras. 49-55; Free World Trust v. Électro Santé Inc., 2000 SCC 66, [2000] 2 S.C.R. 1024 at paras. 31-67 [Free World Trust]; Consolboard Inc. v. MacMillan Bloedel (Sask.) Ltd., 1981 CanLII 15 (SCC), [1981] 1 S.C.R. 504 at p. 520 [Consolboard]). These principles can be summarized as follows.

[31]  The Patent Act promotes adherence to the language of the claims, which in turn promotes fairness and predictability (Free World Trust at paras. 31(a), (b) and 41). The words of the claims must, however, be read in an informed and purposive way (at para. 31(c)), with a mind willing to understand (at para. 44). On a purposive construction, it will be apparent that some elements of the claimed invention are essential while others are non-essential (at para. 31(e)). The interpretative task of the court, in claim construction, is to separate and distinguish between the essential and the non-essential elements, and to give the legal protection to which the holder of a valid patent is entitled only to the essential elements (at para. 15).

[32]  To identify these elements, the claim language must be read through the eyes of a POSITA, in light of the latter’s common general knowledge (Free World Trust at paras. 44-45; see also Frac Shack at para. 60; Whirlpool at para. 53). As noted in Free World Trust:

[51] …The words chosen by the inventor will be read in the sense the inventor is presumed to have intended, and in a way that is sympathetic to accomplishment of the inventor’s purpose expressed or implicit in the text of the claims. However, if the inventor has misspoken or otherwise created an unnecessary or troublesome limitation in the claims, it is a self-inflicted wound. The public is entitled to rely on the words used provided the words used are interpreted fairly and knowledgeably. [Emphasis in the original.]

[33]  Claim construction requires that the disclosure and the claims be looked at as a whole “to ascertain the nature of the invention and methods of its performance, … being neither benevolent nor harsh, but rather seeking a construction which is reasonable and fair to both patentee and public” (Consolboard at p. 520; see also Teva Canada Ltd. v. Pfizer Canada Inc., 2012 SCC 60, [2012] 3 S.C.R. 625 at para. 50). Consideration can thus be given to the patent specifications to understand what was meant by the words in the claims. One must be wary, however, not to use these so as “to enlarge or contract the scope of the claim as written and … understood” (Whirlpool at para. 52; see also Free World Trust at para. 32). The Supreme Court recently emphasized that the focus of the validity analysis will be on the claims; specifications will be relevant where there is ambiguity in the claims (AstraZeneca Canada Inc. v. Apotex Inc., 2017 SCC 36, [2017] 1 S.C.R. 943 at para. 31; see also Ciba at paras. 74-75).

[34]  Finally, it is important to stress that claim construction must be the same for the purpose of validity and for the purpose of infringement (Whirlpool at para. 49(b)).

[46]  The relevant date for construing the claims is the publication date: November 2, 2006.

[47]  Counsel for ViiV acknowledged that Ring A is an essential element of claims 1, 11, and 16. As argued by Gilead, I find that ViiV’s evidence in support of its “variant theory” is irrelevant, based on its admission that Ring A is an essential feature of the asserted claims.

[48]  Accordingly, the crux of the claim construction issue is whether Ring A in claims 1, 11, and 16 includes bridged rings, or is limited to spiro and fused rings. ViiV encourages the Court to adopt a broader interpretation, that based on the claims and disclosure of the 282 Patent, Ring A purposively construed includes bridged rings, whereas Gilead puts forward a narrower interpretation of Ring A that excludes bridged rings. Where the parties’ expert evidence diverges, the Court must focus carefully on which interpretation adheres more closely to the established principles of purposive claim construction.

[49]  The nub of Gilead’s argument is that the 282 Patent disclosure makes specific reference to spiro and fused Ring A structures, but at no point are bridged bicyclic compounds disclosed, either by name or concept. Therefore, in Gilead’s submission, Ring A as depicted in claims 1, 11, and 16 must be limited to spiro and fused bicyclic structures. The parties cited several cases where the Court either construed claim terms narrowly in accordance with examples disclosed in the patent, or construed claim terms more broadly in accordance with the plain meaning of the term.

[50]  In Dableh, Justice Muldoon made recourse to the disclosure of the patent, specifically the preferred embodiment depicted in a diagram, in construing the terms "varying electric current" and "electromagnetic coil." He found that “varying electric current” was not broad enough to embrace an AC current and, therefore, must be limited to a DC current. Similarly, he construed “electromagnetic coil” to be limited to a sturdy, heavy coil akin to the coil the patentee used in his actual device (as summarized by the Court of Appeal in Dableh v Ontario Hydro, (1996) 68 CPR (3d) 129 (FCA) at 144 [Dableh]).

[51]  The Federal Court of Appeal reversed, finding that the evidence clearly established that no ambiguity existed in these claim terms. Accordingly, the claim at issue was worded broadly enough to cover an AC source of electricity and coils other than those used by the patentee in his device. In coming to this decision, the Federal Court of Appeal noted the judge had accepted the respondent’s expert evidence, and none of the respondent’s expert witnesses saw any ambiguity in the meaning and scope of the claim terms in question. Therefore, the trial judge erred in construing the meaning of the claim terms by reference to the disclosure, as the terms were not ambiguous (Dableh, above, at 147).

[52]  In Whirlpool, the claims at issue used the term “vanes” and the parties disagreed on whether this term encompassed both rigid and flexible vanes, or rigid vanes only. At trial, Justice Cullen concluded that flexible vanes, while not explicitly excluded from the patent, were nevertheless not included. This finding was based on the expert evidence that while flexible vanes for use with unitary action agitation machines were known to the skilled person, “it was out of the question to consider flex vanes on a dual action agitator at the material time” (Whirlpool Corporation v Camco Inc, (1997) 76 CPR (3d) 150 (FCTD) at 195 [Whirlpool FC]).

[53]  Dual action agitation was such a new thing that it was considered an entirely different category from unitary action agitation. Justice Cullen concluded that only using hindsight would one interpret the patent at issue as including both rigid and flex vanes. Absent this hindsight analysis, he concluded that the claims only included rigid vanes (Whirlpool FC, above, at 171).

[54]  The Supreme Court of Canada ultimately upheld this finding, stating that because none of the experts interpreted the patent as teaching the use of flex vanes, it was open to the trial judge to conclude that the patent specification taught rigid vanes only (Whirlpool, at para 60).

[55]  In Bridgeview, the claim term at issue was “manipulator” as used in a patent for a hay bale processor. The expert evidence was that at the relevant time, three types of “manipulators” were known. However, only one of these types of manipulators—“roller” type—was described in the patent disclosure. Justice Campbell accepted expert evidence that the POSITA at the relevant time would have understood “manipulator” to be limited to “roller” type manipulators based on the context of the entire specification (Bridgeview Manufacturing Inc v 931409 Alberta Ltd (Central Alberta Hay Centre), 2009 FC 50 at para 31 [Bridgeview]).

[56]  On appeal, the patentee argued that the trial judge used the specification to improperly narrow the scope of the claim. The Federal Court of Appeal rejected this argument, upholding the trial judge’s construction despite the fact that it tended to make a later claim redundant. Claim redundancy by itself was not sufficient to overcome a purposive interpretation of the patent specification (Bridgeview Manufacturing Inc v 931409 Alberta Ltd (Central Alberta Hay Centre), 2010 FCA 188 at para 33).

[57]  In ABB Technology, the claims at issue referred to a “moveable switch-contact element.” One controversy that arose was whether this term was limited to a “sliding contact switch” or would be understood to also include a “knife blade switch” (ABB Technology AG v Hyundai Heavy Industries Co, Ltd, 2013 FC 947 at para 37 [ABB Technology]). The patentee’s expert opined that the skilled person would not understand the reference to a “moveable switch-contact element” to include a knife blade switch, based on the “exemplary embodiment” of a sliding contact switch in figures used in the disclosure. Justice Barnes rejected this argument, noting that the figures were merely labelled “exemplary” and a skilled reader could just as easily infer from this language that the claims were not limited, but rather included both types of switches.

[58]  The defendant’s expert opined that the phrase “moveable switch-contact element” was a generic term that includes knife switches and sliding contact switches. Justice Barnes accepted this position, and had no difficulty concluding that the claim language “comfortably describes both switch types” (ABB Technology, above, at para 45).

[59]  The Federal Court of Appeal affirmed, finding no reason to interfere with Justice Barnes’ finding on the construction issue (ABB Technology AG v Hyundai Heavy Industries Co, Ltd, 2015 FCA 181 at para 57 [ABB Technology FCA]). Justice Stratas noted that the figures relied on by the patentee’s expert were merely referred to as “exemplary,” not even “preferred.”

[60]  In dismissing the patentee’s arguments, Justice Stratas concisely summarized Justice Barnes’ finding on the key claim term: “In this case, viewing the words of Claim 1 and the context of those words through the goggles supplied by the experts it preferred, the Federal Court did not find ambiguity in those words. It found that the words, ‘a moveable switch contact element,’ covered both knife blade switches and sliding contact switches” (ABB Technology FCA, above, at para 51).

[61]  In Bombardier, the claim term at issue was “engine cradle” and the dispute between the parties was whether the engine cradle as claimed required solid walls, or could be an open structure. At trial, Justice Roy construed “engine cradle” to be limited to walled engine cradles, finding there was no evidence to the contrary (Bombardier Recreational Products Inc v Arctic Cat Inc, 2017 FC 207 at para 347). Based on his reading of the patent, he found there was simply no embodiment where walls were eliminated from the engine cradle, and the evidence appeared clear that the inventors meant for their invention to have a walled engine cradle in which the engine could be disposed.

[62]  The Federal Court of Appeal reversed, finding that on the proper evidence of the POSITA’s CGK and how they would understand the claim term “engine cradle,” the only conclusion available to the trial judge was that the term would refer to any rigid structure which acts as a receptacle or compartment to receive the engine. Accordingly, the “engine cradle” could be a structure with solid walls, or alternatively an open structure (Bombardier Recreational Products Inc v Arctic Cat, Inc, 2018 FCA 172 at para 34 [Bombardier FCA]).

[63]  Justice Gauthier for the Federal Court of Appeal noted that the trial judge appeared to accept expert evidence that the “cradle could be a structure delimited by solid walls, or alternatively an open structure” but nevertheless went on to limit the claim term to walled structures only (Bombardier FCA, above, at para 38). Justice Gauthier found that the trial judge put undue weight on figures included in the preferred embodiments section, ultimately relying on the figures over expert evidence to the contrary. Further, there was no definition in the patent that limited the ordinary meaning of “engine cradle” and the disclosure made clear that the preferred embodiments did not exhaust the claimed invention (Bombardier FCA at para 43).

[64]  Ultimately, Justice Gauthier concluded that on a proper construction of the claims, read in the context of the disclosure, informed by the evidence of the CGK of the POSITA, the engine cradle was not limited to a variety that included walls (Bombardier FCA at para 57).

[65]  As evidenced by these examples, in some circumstances the proper construction will limit a claim term to specific embodiments disclosed in the patent specification. In other cases, the basic principle that the description of the preferred embodiments is not meant to include all the possible embodiments of the invention claimed will govern (Bombardier FCA at para 54).

[66]  The common thread in all of these cases is that the court is to construe the claims through the eyes of the POSITA in light of their CGK at the relevant date. Apart from the patent specification, the only evidence the Court should consider to inform its analysis of the claims is evidence of how the POSITA would understand the claims in light of his or her relevant CGK in the context of the specification as a whole (Bombardier FCA at para 24).

[67]  The sole issue in this case boils down to whether the POSITA, in reading the claims and disclosure in light of their CGK at the relevant time, would have understood Ring A, as an “optionally substituted heterocycle,” to include bridged bicyclic rings.

[68]  One distinguishing factor between this case and all of the above cited cases, is that here we are dealing with a chemical patent. All of the contentious claim terms above arose in the context of mechanical patents. The construction exercise in the present case is not as simple as considering two or three known types of a mechanical component. The main contentious claim term here is “heterocycle” but the list of so-called variants that the parties are concerned about are fused, spiro, and bridged bicyclic ring structures. Before considering the parties’ arguments on bridged bicyclic structures, the Court must consider whether, in the context of the invention of compounds with HIV integrase inhibitory activity, the POSITA would understand the term “heterocycle” to refer to bicyclic or polycyclic Ring A structures.

[69]  Gilead submits that the focus in construing the claims should be on what the patentee actually invented, and Bridgeview and Whirlpool support its position that the claims at issue should be construed to encompass only spiro and fused rings as disclosed in the 282 Patent.

[70]  Conversely, ViiV submits that the claim terms are unambiguous, and in any event, the disclosure is not to be used to expand or contract the scope of the claims.

A.  Person of Ordinary Skill in the Art [POSITA]

[71]  The experts generally agreed that the 282 Patent is directed towards a team of scientists including a synthetic organic chemist, a medicinal chemist, and a biologist/virologist. The POSITA team would have knowledge of HIV, HIV integrase, and HIV integrase inhibitors.

[72]  Dr. Winkler and Dr. Lautens agree that the chemistry-related aspects of the patent are directed towards someone with a PhD in organic chemistry or synthetic organic chemistry, and one to three years of practical laboratory experience. Alternatively, the chemist could have a Master’s degree in organic chemistry or synthetic organic chemistry with commensurate additional practical experience in synthetic organic chemistry. The POSITA would have experience synthesizing and characterizing organic compounds, and would be familiar with common chemistry nomenclature.

[73]  The medicinal chemist POSITA would preferably have a PhD in organic chemistry and several years of industry experience in HIV integrase drug discovery. Alternatively, the medicinal chemist POSITA could have a Bachelor of Science degree and proportionally more industry experience. 

[74]  Claims 1, 11 and 16 all relate to classes of chemical compounds and their structures; chemistry matters within both Dr. Winkler and Dr. Lautens’ expertise as of November 2006.

[75]  Dr. Williams and Dr. Stranix have the education and experience of the medicinal chemist POSITA, and would have understood the medicinal chemistry aspects of the 282 Patent as of November 2006. They provided their opinions from this perspective.

[76]  While Dr. Kvaratskhelia provided his opinion from the perspective of the virologist POSITA, as stated above, I find that his evidence is of very limited value and not helpful in construing the scope of Ring A in claims 1, 11, and 16.

[77]  Further to this point, ViiV’s criticism that Gilead did not provide evidence from a biologist or virologist despite its own definition of the POSITA is misguided, given that the sole issue on this motion is the construction of Ring A in claims 1, 11, and 16. ViiV’s position is that by limiting its expert evidence to that of an organic chemist and a medicinal chemist, Gilead has only provided a partial interpretation of the patent, leaving the Court with an incomplete view.

[78]  To support this position, ViiV relies on Justice Barnes’ comments in Janssen Inc v Teva Canada Limited, 2015 FC 184 at paragraphs 92-93 and Justice Locke’s comments in Teva Canada Limited v Janssen Inc, 2018 FC 754 at paragraph 236. In both cases, the parties disagreed on the characteristics of the skilled person. In resolving the issue, Justice Barnes held that in order to construe the claims, the notional skilled person must be capable of understanding the entirety of the patent in issue. Similarly, Justice Locke held that the skilled person is not defined claim-by-claim, and there cannot be different skilled persons for different claims.

[79]  I agree with these findings related to the POSITA, however they do not apply in this case. The parties agree on the composition of the POSITA team. Where, as in this case, the sole construction issue is outside the expertise of certain members of the skilled team, a party cannot be faulted for failing to lead evidence from the perspective of those members. Dr. Kvaratskhelia acknowledged that claims 1, 11, and 16 are not directed to a skilled biologist or virologist, and the scope of these claims is not within his expertise. Evidence from additional virologists would not have helped the Court.

B.  Common General Knowledge [CGK]

[80]  The only CGK relevant for determining the scope of Ring A as set out in claims 1, 11 and 16 is that of the organic chemist and the medicinal chemist POSITA, as part of the composite POSITA, at the relevant date. Dr. Lautens’ chemistry primer, as annotated by Dr. Winkler where relevant, provides the necessary chemistry CGK for the POSITA to interpret the claims.

[81]  The POSITA would have understood that a heterocycle is a cyclic structure that includes one or more non-carbon atoms, also known as heteroatoms, as part of the ring. Heterocycles can be of any ring size, and can vary in terms of the number, type, and position of heteroatoms.

[82]  The POSITA would have further understood that hydrogen atoms can be replaced by non-hydrogen atoms or molecular groups, and that in such circumstances the replacing atom or group would be called a substituent or a substitution.

[83]  Rings can be joined together to form bicyclic or polycyclic ring structures, and there are only three ways in which rings can be joined. The POSITA would have known that the three categories of bicyclic compounds are spiro, fused, and bridged:

[84]  As seen in the above image, the two rings in the spiro structure share a single atom. In the fused system, the two rings share two adjacent atoms, and in the bridged system, the rings share two non-adjacent atoms.

[85]  In addition to the knowledge of general chemistry set out in Dr. Lautens’ chemistry primer, the POSITA team would have been monitoring the development of HIV integrase inhibitors, and would have been aware of publications and other public documents.

[86]  In light of monitoring the development of HIV integrase inhibitors, the POSITA team would have been aware that several “integrase strand transfer inhibitors” [INSTIs] had been reported and three such compounds had reached clinical trials. The pharmacophore—the portion of the molecular structure that binds to the biological target—of many of these compounds was understood to have two common elements: a triad of electronegative atoms (O/O/N or O/O/O), and a hydrophobic group, which was often a fluorobenzyl or similar group.

[87]  As submitted by Gilead, while members of the skilled team would have knowledge of the HIV integrase enzyme and its inhibitors, knowledge of HIV integrase inhibitors does not necessarily assist in determining the scope of Ring A of the compound claims at issue. In fact, Dr. Stranix—Gilead’s medicinal chemistry expert—opines that the skilled person with knowledge of HIV integrase would be in no better position than an organic chemist without such background to review the claims and disclosure to determine the meaning of Ring A. Similarly, Dr. Williams—ViiV’s medicinal chemistry expert—opines that the medicinal chemistry POSITA would have understood the claim terms in the same way that an organic chemist would have at the relevant date of November 2, 2006.

C.  Scope of the Claims in Issue

(1)  Ring A

[88]  In the structures shown in the 282 Patent, Ring A is depicted as the rightmost ring defined by the curved line or semicircular arc. The arc shape can be used for structural formulas to imply a ring without defining any other parameters such as ring size, bond characteristics, and the presence, number, type, or position of additional heteroatoms. As depicted throughout the patent, Ring A shares a nitrogen atom with the middle ring and is therefore by definition a heterocycle. The structure depicted in claim 1 is exemplary:

[89]  Ring A is included as an element of each of claims 1, 11, and 16. The specific claim language for each individual claim will be detailed below.

[90]  While the arc appears to only depict a single ring in the structure, the parties’ experts agree that the POSITA, based on their CGK, would understand that additional rings are possible beyond a monocyclic Ring A. Reading the patent as a whole, the POSITA would see written references to tricylic and tetracylic compounds, and chemical structures of tricyclic, tetracyclic, and pentacyclic compounds, indicating that one or two additional rings are possible beyond the tricyclic core as depicted in the structures in the claims.

[91]  As highlighted by ViiV, and relied on by Dr. Winkler, one such reference to tetracyclic compounds is found in the abstract. However, the abstract must not be taken into account for the purpose of interpreting the scope of protection sought or obtained (Patent Rules, SOR/2019-251, s 55(8); Laboratoires Servier v Apotex Inc, 2009 FCA 222 at para 105 [Laboratoires Servier]).

[92]  In closing arguments, ViiV suggested this is not a hard and fast rule, as the Supreme Court of Canada has previously held that the disclosure of a patent includes the abstract (Monsanto Canada Inc v Schmeiser, 2004 SCC 34 at para 18). The Federal Court of Appeal has previously rejected this argument in the context of using the abstract to ascertain the promise of the patent under the now defunct Promise Doctrine (Laboratoires Servier, above, at para 104). I reject the argument in this context as well. The Court should not use the abstract to aid claim construction.

[93]  In any event, as discussed further below, there are specific references to tetracyclic compounds on pages 47 and 49 of the patent, and numerous examples of tetracyclic compounds depicted in the disclosure. In these tetracyclic examples, the POSITA would understand the compounds to have a bicyclic ring at the “Ring A” position.

[94]  Dr. Williams gave evidence as to how the POSITA would understand the role of Ring A within the compounds described in the 282 Patent. He states the medicinal chemist POSITA would understand that Ring A was an area of the compound that could tolerate much structural change without significantly affecting the potency of the compound as an integrase inhibitor. In Dr. Williams’ view, the POSITA would understand Ring A to be an “ancillary region,” that is, a part of the compound near the pharmacophore that can tolerate structural modification with minimal impact on the compound’s antiviral potency.

[95]  In support of this position, Dr. Williams refers to pages 241 to 245 of the 282 Patent, particularly the tables on pages 243-245 showing that Experimental Example 2 compounds all had relatively good activity, despite wide structural variation at Ring A. Therefore, in Dr. Williams’ view, the size and shape of Ring A is not critical to the functioning of the compounds listed in the 282 Patent, and a variety of shapes and sizes are tolerated while maintaining integrase inhibitor activity.

[96]  Dr. Williams states that he agrees with Dr. Winkler’s interpretations of the terms in claims 1, 11, 16, and 20 of the 282 Patent. Dr. Williams adds that as of November 2006, the medicinal chemist POSITA would understand that any Ring A variation that made the compound of choice excessively large, lipophilic, or polar would likely negatively impact the molecular properties desired for an orally administered integrase inhibitor.

[97]  ViiV submits that this approach is consistent with the Supreme Court of Canada’s guidance on claim construction found in Burton Parsons Chemicals Inc v Hewlett-Packard (Canada) Ltd, (1974), 17 CPR (2d) 97 (SCC) at 104:

While the construction of a patent is for the Court, like that of any other legal document, it is however to be done on the basis that the addressee is a man skilled in the art and the knowledge such a man is expected to possess is to be taken into consideration. To such a man it must be obvious that a cream for use with skin contact electrodes is not to be made up with ingredients that are toxic or irritating or are apt to stain or discolour the skin.

[98]  When faced with a document showing hypothetical polycyclic Ring A structures ranging from one ring to ten rings, and asked which compounds were “within reason,” Dr. Williams stated that if he were designing a compound, smaller is better based on Lipinksi’s rules, and he would likely not go beyond a tricyclic Ring A structure.

[99]  Gilead submits the experts agreed that Lipinksi’s rules are merely guidelines, and not a hard and fast rule on what size of molecules are “within reason.” Further, some examples listed in the 282 Patent do not comply with the rules, and the rules only apply to oral drugs for humans. No limitation is found in the claims at issue relating to oral drugs. Therefore, even if these “rules” were applied, they would not assist the POSITA in placing clear boundaries on the claims.

[100]  While I accept the reasoning in Burton Parsons, it does not stand for the proposition that a claim can open the door to a speculative range of possibilities without guideposts or fences that enable the POSITA, with their CGK, to understand the scope of protection to be afforded to the claims covering the invention having regard to the patent specification as a whole.

[101]  Regardless of the precise scope of how many rings are possible beyond a monocyclic Ring A, the sole issue is whether the POSITA, having read the claims and disclosure in light of their CGK, would understand that claims 1, 11, and 16 include bridged bicyclic Ring A structures.

(2)  Claim 1

[102]  The relevant portion of claim 1 reads as follows:

[103]  Ring A is defined as an “optionally substituted heterocycle.” Elements R1, R2, R3, R14, RX, and X are further defined in the claim, but Ring A has no further limitations beyond “optionally substituted heterocycle” and the fixed location of the nitrogen and carbon atoms on the left hand side of the ring.

[104]  In Dr. Lautens’ view, the words “optionally substituted heterocycle” place no precise fences around the boundaries of Ring A. Based on the claim language alone, the skilled chemist would not know if the patentee intended to include every possible heterocycle, or some bounded class of heterocycles.

[105]  Accordingly, a skilled person would need to use the disclosure to assist in interpreting Ring A. Pages 38 to 45 of the 282 Patent provide a list of definitions under the heading “Preferred Embodiment.” Drs. Lautens and Winkler both looked to these definitions to understand what the inventors meant by “optionally substituted heterocycle” in claim 1, as this is the only place in the 282 Patent where many of the terms are defined.

[106]  The relevant definitions from the disclosure are as follows:

Heterocycle” means a cycle which can be lead [sic] to the above heterocyclic group.

Heterocyclic group” means “heteroring” or “heteroaryl”.

Heteroring” means a non-aromatic ring which has at least one of N, O and/or S in the ring and may be bonded at any substitutable position, preferably 5- to 7- membered ring, such as [lists several examples]. The non-aromatic ring is a saturated or unsaturated ring.

Heteroaryl” means monocyclic aromatic hetero-type ring or condensed aromatic hetero-type ring.

Monocyclic aromatic hetero-type ring” means a 5- to 8-membered aromatic ring, which contains 1 to 4 of O, S, P and/or N and may be bonded at any substitutable position. 

Condensed aromatic hetero-type ring” means a group wherein an aromatic ring containing 1 to 4 of O, S, P and/or N is condensed with 1 to 4 of 5- to 8-membered aromatic ring(s) or the other 5- to 8-membered aromatic heteroring(s).

When a substituent(s) is/are present on […] “optionally substituted heterocycle”, each may be substituted with the same or different, 1 to 4 group(s) selected from Substituent group B at any position.

Examples of Substituent group B include [lists many examples].

[107]  A few comments about these definitions are in order. First, the definition of “heterocycle” as a cycle which “can be lead to the above heterocyclic group” is not clear. However, the experts generally agreed that the skilled person would understand that the “heterocyclic groups” described were substituent groups (i.e. could be attached to the main structure as a substituent), and that heterocycles as defined in the patent would mean the same “heterocyclic groups” not as substituents, but as Ring A as used in the claims.

[108]  Second, Dr. Lautens and Dr. Winkler agreed that the organic chemist POSITA would understand “condensed” as used in the 282 Patent to mean “fused” – that is, two rings sharing two adjacent atoms and the bond(s) between them.

[109]  Third, the definition for “heteroring” is broad, but is limited to single rings (“heteroring” means a non-aromatic ring). As described in Dr. Winkler’s report, the skilled person would understand that if the heteroring were “saturated” it would contain all single bonds, and if it were “unsaturated” it could contain either an additional ring, or double or triple bonds. The preferable 5- to 7-membered rings listed in the definition are all single rings that are either saturated or contain double bonds. Notably, most of the so called “preferable” 5- to 7-membered ring examples cannot actually be Ring A either because they contain no nitrogen atoms, or because they have double bonds placed in positions that preclude them from being Ring A.

[110]  The definition for “heteroaryl” is limited to monocyclic or fused aromatic hetero-type rings. Dr. Lautens notes that the definition of “heteroaryl” includes fused two-ring and three-ring systems. As with the “heteroring” examples, most of the heteroaryl examples listed in the definition cannot actually be Ring A. While Dr. Winkler stated the definition for “heteroaryl” in his report, he acknowledged on cross-examination that he focused his analysis on the “heteroring” aspect of the “heterocyclic group” definition because of its relationship to bictegravir. Bictegravir’s bridged ring is not a heteroaryl ring.

[111]  Dr. Lautens opines that pages 47 to 54 of the 282 Patent provide details about the meaning of Ring A relevant to claim 1. Specifically, he states that aspects of the general definitions of “heterocycle,” much of which could not actually apply to Ring A, appear to be supplanted by a more specific description of Ring A. He focuses on page 49 of the 282 Patent, which describes how substituents of Ring A may form “a condensed ring or a spiro ring.” Because condensed in this context means fused, his opinion is that Ring A substituents may form fused or spiro rings only.

[112]  Reading claim 1 in light of the disclosure, Dr. Lautens concludes that the POSITA would understand Ring A to be an optionally substituted monocyclic heterocycle where two of the substituents may be taken together to form one or more additional rings in spiro or fused form only.

[113]  Dr. Lautens goes on to state that the POSITA would have understood Ring A to include the following features:

• Ring size of 5- to 7-membered (pages 47-48 of the 282 Patent);

• 1 to 4 heteroatoms (page 40 of the 282 Patent);

• Optional substitution, where 1-4 substituents are selected from substituent group S2 (pages 41-42 of the 282 Patent); and

• Optionally, two of the above substituents may be “taken together” to form one or more additional spiro or fused rings (pages 10 and 49 of the 282 Patent).

[114]  Notwithstanding Gilead’s position that only spiro and fused rings are disclosed in the 282 Patent, Dr. Lautens goes further and limits the skilled person’s understanding of “optionally substituted heterocycle” as used in claim 1, to 5- to 7-membered rings only, with substituents selected from substituent group S2. I see no such limitation on the size of Ring A in claim 1. While claims 11 and 16 limit Ring A to 5- to 7-membered rings, claim 1 is not so limiting. Looking to the definitions of heterocycle and heteroring, the skilled person would understand that as heterorings, heterocycles are preferably 5- to 7-membered rings, but are not limited to these sizes.

[115]  Dr. Winkler considers the terms of claim 1 both in light of their plain meaning, and in light of the definitions included in the 282 Patent. The POSITA would have understood the plain meaning of the term “heterocycle” to mean a structure containing at least one ring with one or more non-carbon atoms in the ring. Looking at the definitions of heterocycle and heteroring in the 282 Patent disclosure, Dr. Winkler opines that the organic chemist POSITA would have understood a heterocycle to include a heteroring, and the heteroring would have the following characteristics:

(a) a structure that had nitrogen and carbon atoms as depicted on the left hand side of Ring A in the chemical structure accompanying Claim 1, highlighted by the red and blue circles below, respectively;

(b) the structure is a non-aromatic ring that has at least one nitrogen, oxygen, and/or sulfur atom in the ring;

(c) if substituted, it may be substituted with the same or different 1 to 4 group(s) selected from Substituent group B at any position; and

(d) if saturated, it contains all single bonds. If unsaturated, it could contain either an additional ring, or double or triple bonds.

[116]  Later in his report, under the heading “Claim 16” and the subheading “Using Claim 20 to understand what bicyclics are in Claims 1, 11, and 16,” Dr. Winkler opines that because the disclosure refers to tetracyclic compounds, the organic chemist POSITA would understand that Ring A could be a bicyclic structure. At the relevant date, the organic chemist POSITA would be aware that bicyclic ring structures could have three possible forms: fused, spiro, and bridged. In his view, because nothing in claim 1 limits Ring A, the organic chemist POSITA would read claim 1 as covering fused, spiro, and bridged bicyclic forms of Ring A.

[117]  Claim 20 is a dependent claim of claims 1 and 11. Dr. Winkler interprets Ring A in claim 20 to be limited to fused and spiro bicyclic rings. However, because claims 1 and 11 do not use the same restrictive language that is found in claim 20 to describe Ring A, in his view the organic chemist POSITA would read claims 1 and 11 as broader, including spiro, fused, and bridged Ring A structures.

[118]  Gilead takes exception to this claim differentiation argument, noting that on cross-examination, Dr. Winkler admitted many other differences between claim 20 and the independent claims 1 and 11 that it depends on, such as ring size, heteroatom type and position, and stereocentre. I accept Gilead’s position on this issue, noting that no differences between claims 1, 11, and 20 suggest that the scope of bridged bicyclics should be broader in claims 1 and 11 than in claim 20.

[119]  The parties’ disagreed on how the disclosure should be interpreted. Gilead submits that the “Preferred Embodiment” and “More preferable embodiments” headings describe the actual invention. Ultimately, both Drs. Lautens and Winkler relied on the definitions in the “Preferred Embodiment” section to some degree as this is the only place definitions are included in the disclosure. Further, both experts relied on the “More preferable embodiments” section of the patent as evidence that the POSITA would understand that substituents of Ring A could be “taken together” to form additional rings, creating tetracyclic derivatives of otherwise tricyclic structures.

[120]  Gilead submits that Dr. Winkler’s opinion on claim construction was impermissibly coloured by the fact that he construed the claims with an eye to infringement. At the outset of his report, Dr. Winkler states that he was asked to assume that bictegravir has the chemical structure shown in the background section above. He highlights bictegravir’s bridged ring, and states that the organic chemist POSITA would recognize this as a bridged ring structure. Immediately
following this section of his report, Dr. Winkler lays out his mandate, which includes the following questions:

(c) What would the terms that relate to Ring A in claims 1, 11 and 16 of the ‘282 Patent have meant to the organic chemist POSITA as of November 2, 2006?

(d) Would those terms include the bridged ring structure of bictegravir?

[121]  On cross-examination, Dr. Winkler admitted that he focused on the heteroring aspect of the heterocycle definition because of its relationship to bictegravir. Gilead submits this exemplifies an impermissible hindsight approach to claim construction. Conversely, ViiV submits that the heteroaryl part of the heterocycle definition can be ignored for the purposes of this summary trial, because this is not “where the shoe pinches.”

[122]  I agree with ViiV’s submission that the Court must construe the claim with knowledge of where the disputes between the parties lie. In this summary trial, the dispute clearly lies around the scope of Ring A in claims 1, 11, and 16. However, given bictegravir contains a bridged bicyclic ring, the correct approach is not to use hindsight to ask whether Ring A might include bridged rings. Rather, the correct question is whether, in reading the claims and disclosure of the 282 Patent, the POSITA, with their CGK at the relevant date, would appreciate that Ring A as defined in the claims encompassed bridged bicyclic rings. While the POSITA would have been aware of bridged bicyclic rings as part of their CGK, the inquiry here is whether the POSITA would have understood the 282 Patent to claim compounds with a bridged bicyclic Ring A structure in the context of the HIV integrase inhibitor scaffold taught in the patent.

[123]  Dr. Winkler’s infringement-centric approach to claim construction is further exemplified when he evaluates the elements of claim 1 in bictegravir. Using his proposed construction for claim 1, Dr. Winkler opines that bictegravir’s Ring A is a substituted heterocycle. The heterocycle described in claim 1 may be substituted with methyl (CH3) substituents. Dr. Winkler then states “[t]he disclosure of the ‘282 Patent describes joining substituents to create another ring,” citing to the “More preferable embodiments” found on page 49. This page of the disclosure explicitly describes joining substituents to create fused and spiro rings, but not bridged rings. Dr. Winkler then explains that the POSITA would have understood that joining two methyl groups together to form bictegravir’s bridged ring would necessarily involve the corresponding alkene (CH2):

[124]  Therefore, a key step in Dr. Winkler’s infringement analysis is that claim 1 describes “optionally substituted heterocycles,” and the skilled person would know from page 49 of the disclosure that substituents can be joined together to create another ring. Claim 1 does not mention joining substituents, but Dr. Winkler reads this understanding into the claim from page 49 of the disclosure.

[125]  ViiV criticized Dr. Lautens for reading language from the “More preferable embodiments” section of the disclosure into the claims. This criticism is akin to the pot calling the kettle black. Dr. Winkler relied on the exact same portion of the disclosure to prop up his opinion that bictegravir falls within the scope of claim 1.

[126]  In construing the claims, recourse to the disclosure portion of the specification is: (1) permissible to assist in understanding the terms used in the claims; (2) unnecessary where the words are plain and unambiguous; and (3) improper to vary the scope or ambit of the claims (Mylan Pharmaceuticals ULC v Eli Lilly Canada Inc, 2016 FCA 119 at para 39; Dableh at 144). The law is clear that “where the words used in the claims are clear and unambiguous, they must not be narrowed or limited to a patent's preferred embodiment” (Dableh at 144). The disclosure may also be used to determine if the inventor gave a particular meaning to an expression or word in the claim by adopting a special lexicon (Apotex Inc v Astrazeneca Canada Inc, 2017 FCA 9 at para 48 [Apotex]).

[127]  In this case, although Dr. Winkler opined that the claim language is clear and unambiguous, he went on to refer to the disclosure to both assist in understanding the terms used in the claims, and define the scope of the claims. As stated above, in Dr. Lautens’ view, the scope of the claim term “optionally substituted heterocycle” is ambiguous.

[128]  While “optionally substituted heterocycle” as used in claim 1 appears on its face to be a clear and unambiguous term, I accept that recourse to the disclosure is necessary to understand the meaning given to these words by the inventors, and the intended scope of this claim language. Both parties’ organic chemistry experts referred to the disclosure to understand the meaning of claim terms and the scope of the claims. Dr. Winkler’s reference to the disclosure to define the claim scope and interpret the claim terms undermines his opinion that the meaning of “optionally substituted heterocycle” is clear and unambiguous.

[129]  I prefer Dr. Lautens’ evidence that reading the claims in light of the disclosure and their CGK, the POSITA would understand “optionally substituted heterocycle” in claim 1 to refer to an optionally substituted heteroaryl or heteroring as those terms are defined in the disclosure. As a heteroaryl, Ring A is a monocyclic aromatic hetero-type ring or condensed aromatic hetero-type ring. As a heteroring, Ring A is a monocyclic non-aromatic ring with at least one N, O and/or S in the ring, where two of the substituents may be taken together to form additional spiro or fused rings.

[130]  To be clear, this construction does not limit Ring A to the “preferable” or “more preferable” embodiments in the disclosure. The “Preferred Embodiment” and “More preferable embodiments” headings appear to have little connection to the content described therein. I give little interpretive weight to the organizational structure of the patent, including the headings. Instead, the Court should focus on the contextual teachings of the disclosure as a whole. Looking to specific references to preferred embodiments, the “preferable embodiments” shown on page 48 of the patent show Ring A as a 5- to 7-membered ring with one or two heteroatoms. One of
the heteroatoms is the fixed nitrogen atom, and a second heteroatom may be positioned at other specified positions within the ring:

[131]  In these preferable embodiments, substituents on Ring A may be selected from different lists included in the disclosure, but are preferably lower alkyl. Substituents may form a condensed ring or a spiro ring.

[132]  On page 49 of the disclosure, reference is made to “more preferable embodiments” where Ring A is limited to 5- to 7-membered rings with two heteroatoms, where one of the heteroatoms
is the fixed nitrogen atom, and the second heteroatom is either oxygen or nitrogen, and is positioned at the equivalent to the “6-oclock” position on a clockface, as shown below:

[133]  In these more preferable embodiments, substituents on Ring A may be selected from substituent group S2, and two substituents may be joined to form a condensed ring or a spiro ring.

[134]  The preferable and more preferable embodiments in the 282 Patent limit the size of Ring A, and the type, number, and position of heteroatoms within the ring. These limitations are all directed to a monocyclic Ring A. All references in the disclosure to additional rings beyond a monocyclic Ring A are consistent in that substituents on Ring A may be joined to form additional spiro or fused rings only.

[135]  Bridged ring structures are never mentioned in the patent. While the POSITA would be aware of bridged bicyclic structures as part of their CGK, nothing in the patent or the CGK suggests to the POSITA to use bridged bicyclic Ring A structures in the specific application of HIV integrase inhibitors.

[136]  One further comment on this point is appropriate. The law is clear that recourse to the disclosure is improper to vary the scope or ambit of the claims, and that where the words of the claim are clear and unambiguous they must not be limited to a patent’s preferred embodiments. That said, where the words of the claims are decidedly unclear, recourse to the disclosure is appropriate. In such circumstances, recourse to the disclosure does not necessarily vary or narrow the claim scope, as the scope was undefined after reading the claims alone. Here, the disclosure is not being used to narrow or broaden the claims, but rather give the purposive construction based on the experts’ testimony as to what the POSITA with the CGK would have understood at the relevant date.

[137]  Free World Trust and Whirlpool are clear that patents are to be construed purposively rather than literally (Apotex, above, at para 46). To construe the claim term “optionally substituted heterocycle” literally using the plain meaning of the word “heterocycle” would lead to the absurd result that Ring A could be a multi-ring system of an unlimited number of rings of an unlimited ring size with unlimited substitutions, effectively granting the inventors a monopoly over an infinite scope of compounds.

[138]  ViiV’s only answer to this result, as advanced through Dr. Winkler and Dr. Williams, is that the POSITA would understand the claims to be limited to compounds that are “within reason” for treating humans. Dr. Williams notes that some claims of the 282 Patent relate to use of the compounds to treat HIV, and the POSITA would understand that any Ring A that makes the compound “excessively large, excessively lipophilic, or excessively polar” would likely negatively impact an orally administered drug. However, these are merely guidelines, and the claims at issue are not use claims, and do not refer to oral administration.

[139]  One last claim construction principle bears repeating. In construing the claims, the Court looks to the entire disclosure and claims to ascertain the nature of the invention and methods of its performance, seeking a construction which is reasonable and fair to both patentee and public (Consolboard Inc v MacMillan Bloedel (Sask) Ltd, [1981] 1 SCR 504 at 520, cited with approval in Whirlpool at para 49. See also Free World Trust at para 50, and Teva Canada Ltd v Pfizer Canada Inc, 2012 SCC 60 at para 50).

[140]  A reasonable and fair construction of claim 1 does not include bridged bicyclic Ring A structures. The disclosure only refers specifically to spiro and fused ring structures in the preferred embodiments, and there is no reference to bridged ring structures anywhere in the specification. I find that reading in bridged bicyclic Ring A structures improperly expands the scope of claim 1, as would be understood by the POSITA based on the claims themselves, the disclosure, and the CGK as of November 2006. The POSITA’s understanding of the scope of bicyclic Ring A structures in claim 1, in light of the explanation provided by Dr. Lautens, is preferred.

(3)  Claim 11

[141]  The relevant portion of claim 11 reads as follows:

[142]  As in claim 1, elements R1, R3, R14, RX, and (R)m are further defined in the claim. Claim 11 differs from claim 1 by limiting Ring A to a 5- to 7- membered ring containing 1 to 2 heteroatoms. Of these 1 to 2 heteroatoms, Ring A as drawn in claim 11 already includes one nitrogen atom. As stated in the claim, the asterisk indicates that the stereochemistry of that carbon atom is in R or S configuration, or a mixture thereof.

[143]  Claim 11 also includes the term “optionally condensed.” As noted above, the POSITA would understand “condensed” as used in the 282 Patent to mean “fused.” Therefore, the POSITA would have understood the term “optionally condensed” to mean “optionally fused.”

[144]  The experts generally agree on the POSITA’s understanding of the additional limitations of claim 11, and both incorporated their construction of “optionally substituted heterocycle” from claim 1 into claim 11. Dr. Lautens ultimately concludes that the POSITA would understand claim 11 to define an optionally substituted 5- to 7- membered heterocycle where two of the substituents may be taken together to form one or more additional rings, in spiro or fused form only.

[145]  In his claim 11 infringement analysis, Dr. Winkler incorporates his infringement analysis from claim 1, thereby incorporating his conclusion that substituents on Ring A may be joined together to form another ring, as described on page 49 of the patent. He further opines that because the POSITA would have been aware of spiro, fused, and bridged bicyclic rings, they would have understood that Ring A in claim 11 includes spiro, fused, and bridged bicyclic rings.

[146]  As with claim 1, Dr. Winkler construes claim 11 with an eye to infringement, only concluding the claim 11 covers bridged Ring A structures when comparing the claim language to bictegravir’s bridged ring, or when comparing claim 11 to claim 20. Further, Dr. Winkler picks and chooses from the “More preferable embodiments” section of the disclosure. He relies on pages 47 and 49 for his opinion that the POSITA would understand claim 11 to cover tetracyclic compounds, but reads in bridged compounds through the POSITA’s CGK rather than focusing on the tetracyclic compounds taught on those pages.

[147]  As with claim 1, Dr. Lautens construction that limits bicyclic Ring A structures to spiro and fused structures, as taught in the disclosure, is preferred.

(4)  Claim 16

[148]  The relevant portion of claim 16 reads as follows:

[149]  As a preliminary point, the parties agree that “carbocyle” as used throughout the patent, including in claim 16, is understood to be a misspelling of “carbocycle.”

[150]  Substituent group S2 is defined in claim 6 and includes a long list of acceptable substituents, including C1-C6 alkyl.

[151]  As with claims 1 and 11 above, Dr. Lautens opines that the skilled person would understand claim 16 to include a substituted heterocycle where two of the substituents taken together may form one or more additional rings, in spiro or fused form only.

[152]  Dr. Lautens first states that his opinion with respect to the first portion of claim 16, namely the term "optionally substituted and optionally condensed heterocycle containing l to 2 O, S and/or N atom(s),” is substantially the same as with claims 1 and 11.

[153]  Dr. Lautens and Dr. Winkler agreed the term “taken together with the neighbouring atom(s)” would not commonly be used by organic chemists. Therefore, the term does not clearly inform a skilled person how the additional carbocycle or heterocycle is attached to Ring A.

[154]  Here, Drs. Lautens and Winkler diverged in their opinions. Dr. Lautens looked to the disclosure, specifically pages 10, 49, and 53, to conclude that Ring A in claim 16 includes a substituted heterocycle where two of the substituents may be taken together to form one or more additional rings in spiro or fused form.

[155]  Where two substituents on the same atom are taken together with the neighboring atom, they form an additional spiro ring. Where two substituents on adjacent atoms are taken together with the neighboring atoms, they form an additional fused ring. Conversely, two substituents on non-adjacent atoms taken together with the neighboring atoms merely forms a line of atoms, rather than a carbocycle or heterocycle as stated in claim 16. Forming a bridged ring would require one or more additional atoms that do not “neighbor” the substituents as that term is used in the 282 Patent.

[156]  Dr. Winkler takes a broader view. He opines that the organic chemist POSITA would have understood the term “neighboring atom(s)” to mean the atoms of the heterocycle to which the substituents are attached, and other atoms between those substituent atoms that are members of the included ring. Dr. Winkler’s interpretation captures bridged rings, whereas Dr. Lautens’ interpretation only includes spiro and fused rings.

[157]  Dr. Winkler based his opinion on the concept of “neighboring group participation,” a term that has been used commonly since the 1950s to refer to participation of both adjacent groups and groups that are more distant. In support of this position, Dr. Winkler referred to the definition of “neighboring group participation” from an organic chemistry textbook. In his view, the organic chemist POSITA would expect that “neighboring” would include both adjacent and other nearby atoms.

[158]  Dr. Winkler’s approach relies on an analogy to a known concept in organic chemistry, rather than looking to the disclosure to understand how the patentee defined the uncommon term “neighboring atom(s).” As noted above, the disclosure may be used to help determine if the inventor gave a particular meaning to an expression in the claim by adopting a special lexicon. Where, as here, the patentee has used a special lexicon to give meaning to an unusual expression, I would rely on that meaning over an analogy to a concept in the field of the invention.

[159]  Dr. Winkler further opines that had the inventors intended to limit claim 16 to only fused and spiro rings, they would have used the same restrictive language that is used in claim 20. In his view, the organic chemist POSITA would conclude that the inventors did not intend to limit Ring A in claim 16 to spiro and fused bicyclic systems as was explicitly taught in claim 20.

[160]  At paragraph 121 of his report, Dr. Winkler describes the differences between claims 16 and 20 as follows:

However, other language in these two claims is strikingly different. Claim 16, as shown above, provides no limitation as to the substituents that are taken together to form the additional ring. In contrast, Claim 20 is very specific and limits the resulting bicyclic ring system to being either spiro or fused, by specifying which particular substituents may be taken together, as explained in paragraph 108 above. Therefore, an organic chemist POSITA would have understood that Claim 16 says that any two substituents may be taken together to form a new ring, and therefore Claim 16 is not limited to the fused and spiro bicyclic ring systems of Claim 20. Claim 16 would therefore include bridged bicyclic ring systems. This understanding is consistent with the language at page 47 of the ‘282 Patent describing the structural formula (I-1) as having a tetracyclic core that can include spiro, fused or bridged bicyclic ring systems.

(Emphasis added)

[161]  Based on these differences, Dr. Winkler concludes claim 16 does not have language that limits Ring A to spiro or fused rings, and would include tetracyclic compounds with no limitation. Therefore, Ring A could be a spiro, fused, or bridged bicyclic ring structure. The emphasized text highlights a problem with Dr. Winkler’s construction. The language at page 47 simply states “…compounds of formula (I) show tricyclic compounds (I-1) or (I-11) shown below, or their derivatives, tetracyclic compounds.”

[162]  The patent makes no mention of bridged bicyclic structures. Dr. Winkler’s inference that tetracyclic versions of the claimed compounds can include bridged bicyclic Ring A structures may be based on a combination of the organic chemist POSITA’s CGK. However, in light of the fact that only two references to “tetracyclic compounds” are made in the disclosure of the 282 Patent, and the second of these references states that “[s]ubstituents on A ring may form a condensed ring or a spiro ring as mentioned below, whereby compounds of formula (I) include tetracyclic compounds,” it appears more likely that Dr. Winkler read in bridged bicyclic structures to the disclosure using impermissible hindsight based on his knowledge of bictegravir. As noted above, bridged bicyclic structures form part of the CGK, but nothing in the patent or the CGK suggests to the POSITA to use bridged bicyclic Ring A structures in the specific application of HIV integrase inhibitors.

[163]  With respect to claim differentiation, claim 20 further limits the number, type, and position of heteroatoms as compared to claim 16. Therefore, even though both claim 16 and claim 20 are limited to spiro and fused bicyclic Ring A structures, the two claims have different scopes and therefore are not redundant.

[164]  I accept Dr. Lautens’ evidence with respect to claim 16 over that of Dr. Winkler, based on a purposive construction of the claim in light of the disclosure. Contrary to ViiV’s submissions, Dr. Lautens’ approach to claim 16 does not read down the scope of the claim based on the preferred embodiments, but rather uses the disclosure to understand the patentee’s definition of “neighboring atom(s).”

[165]  The POSITA, reading claim 16 in light of the examples in the disclosure, would understand “neighboring atom(s)” to mean the atoms of the heterocycle to which the substituents are attached. Accordingly, claim 16 is limited to spiro and fused rings, as outlined by Dr. Lautens in his report.

D.  Essentiality of Spiro and Fused Rings

[166]  ViiV submits that in the event that Ring A in any of the asserted claims is construed as limited to spiro and fused structures only, the Court must go on to consider whether it would have been known and obvious to the POSITA at the relevant that bridged ring structures were substitutable for spiro or fused bicyclic rings.

[167]  In light of ViiV’s admission that Ring A, as an “optionally substituted heterocycle,” is an essential feature of the invention, the Court does not accept that it should now look at a variant of this essential feature. The Free World Trust variant analysis focuses on a claimed element of an invention, not some sub-element or feature of the claimed element. Counsel for ViiV suggested in opening arguments that the question before the Court is “what do you mean by heterocycle”? I agree, and now that the Court has determined how the POSITA would answer the question, it need not revisit the question of essentiality.

[168]  In any event, even if I were to consider bridged Ring A’s as a variant of the claimed bicyclic Ring A structures, ViiV has not met its burden of establishing that it would have been obvious to the POSITA at the publication date that bridged bicyclic Ring A structures would have no material effect on how the invention works.

[169]  ViiV frames the Free World Trust variant analysis around claim 16, arguing that if the Court determines that Ring A is limited to monocyclic rings where substituents may be taken together to form additional fused and spiro rings, the Court must determine whether varying a spiro or fused bicyclic ring with a bridged ring variant meets the Free World Trust test for a non-essential feature.

[170]  ViiV argues that bictegravir is an INSTI that has the same function, works in the same way, and achieves the same result as the compounds of the invention. The Free World Trust test looks not at whether the overall compound or invention performs the same function in the same way to achieve the same result, but rather whether “the variant (or component) would perform substantially the same function in substantially the same way to obtain substantially the same result” (Free World Trust at para 55, emphasis added).

[171]  ViiV’s expert evidence is that the POSITA would have seen Ring A as an “ancillary region” of the INSTI compounds that allowed for significant structural diversity while retaining integrase inhibition. Dr. Williams states that Ring A “is part of a three ring system, the left and middle rings of which hold three oxygen atoms in proper position for chelation to magnesium ions and the hydrophobic binding element.” Similarly, looking to Experimental Examples 1 and 2, Dr. Kvaratskhelia states that the virologist POSITA “would have understood from the results that there was flexibility in Ring A while still retaining anti-HIV activity.”

[172]  This evidence does not establish the function of Ring A itself. ViiV’s argument amounts to claiming that the known INSTI pharmacophore accounts for the inhibitory activity of the compounds, and Ring A can be any heterocycle. I disagree. As argued by Gilead, the patent claims molecular structures that must be precisely defined. Swapping atoms and bonds is not analogous to swapping mechanical components.

[173]  Ring A is an essential element, and ViiV has not established that any sub-elements of Ring A are substitutable so as to broaden the claim scope.

VI.  Does Bictegravir fall within the scope of Claims 1, 11, and 16?

[174]  As previously noted, there is no mention of bridged Ring A structures—not even the concept of such rings—anywhere in the 282 Patent. The structures drawn and words used in the disclosure describe spiro and fused structures, but do not so much as imply a bridged structure. The public is entitled to rely on the words used by the patentee, read in the sense the inventor is presumed to have intended (Free World Trust at para 51).

[175]  Infringement occurs if an accused product takes all of the essential elements of the invention (Free World Trust at para 68). There is no infringement if an essential element is replaced with something else. Ring A is an essential element of claims 1, 11, and 16. Ring A, as construed in each of these claims, does not include bridged bicyclic compounds.

[176]  Gilead’s position, as supported by Dr. Lautens’ opinion, is that because bictegravir includes a bridged ring at the Ring A position, and claims 1, 11, and 16 of the 282 Patent only encompass fused or spiro rings, bictegravir does not fall within the scope of these claims. In light of the above finding that claims 1, 11, and 16 cover only spiro and fused bicyclic Ring A structures, Gilead’s motion must succeed.

[177]  Gilead seeks a finding of non-infringement, and a declaration that bictegravir does not fall within the scope of the asserted claims. Having purposively construed the claims at issue, bictegravir does not fall within the scope of claims 1, 11, and 16 of the 282 Patent. Because all other asserted claims depend on claims 1 or 11, Gilead does not infringe any of the asserted claims of the 282 Patent.

VII.  Conclusion

[178]  For the foregoing reasons, bictegravir does not fall within any of the asserted claims of the 282 Patent. Accordingly, Gilead’s motion for summary trial is granted, and ViiV’s action is dismissed.

VIII.  Costs

[179]  The motion for summary trial was appropriately filed and Gilead was successful on its non-infringement argument based on a purposive construction of Ring A in claims 1, 11, and 16 of the 282 Patent. Accordingly, Gilead shall have its costs.

[180]  The parties agreed that costs should be awarded on a lump sum basis in line with recent complex patent cases in this Court (Dow Chemical Company v Nova Chemicals Corporation, 2016 FC 91, aff’d 2017 FCA 25; Sport Maska Inc v Bauer Hockey Ltd, 2019 FCA 204; Packers Plus Energy Services Inc v Essential Energy Services Ltd, 2020 FC 68). Gilead seeks 40% of its actual costs, and ViiV proposed lump sum costs in the range of 30-40% of its professional fees plus 100% of all reasonable disbursements, in line with the above cases.

[181]  Given that these are sophisticated commercial parties engaged in complex patent litigation, a lump sum costs award is appropriate. That said, the summary trial was limited to construing three claims, with the issue of non-infringement flowing from the Court’s construction. In the circumstances, 30% of actual costs, plus reasonable disbursements, is appropriate.


JUDGMENT IN T-226-18

THIS COURT’S JUDGMENT is that

  1. Gilead’s motion for summary trial is granted. The 282 Patent is not infringed by Gilead.

  2. ViiV’s action is dismissed.

  3. Gilead is entitled to its costs of the summary trial and the action, assessed as 30% of its legal fees incurred plus reasonable disbursements.

"Michael D. Manson"

Judge


FEDERAL COURT

SOLICITORS OF RECORD


 

Docket:

T-226-18

 

STYLE OF CAUSE:

VIIV HEALTHCARE COMPANY, SHIONOGI & CO., LTD. AND VIIV HEALTHCARE ULC v GILEAD SCIENCES CANADA, INC.

 

PLACE OF HEARING:

Toronto, Ontario

 

DATE OF HEARING:

January 27-30, 2020

MARCH 10, 2020

 

JUDGMENT AND REASONS:

MANSON J.

 

DATED:

APRIL 6, 2020

 

APPEARANCES:

Donald M. Cameron

R. Scott MacKendrick

Melanie Szweras

Michael Fenwick

Laura MacDonald

 

For The Plaintiffs

 

Tim Gilbert

Nisha Anand

Andrew Moeser

Kevin Siu

Colin Carruthers

Andrea Rico Wolf

For The Defendant

 

SOLICITORS OF RECORD:

Bereskin & Parr LLP

Barristers and Solicitors

Toronto, Ontario

For The Plaintiffs

 

Gilbert’s LLP

Barristers and Solicitors

Toronto, Ontario

For The Defendant

 

 You are being directed to the most recent version of the statute which may not be the version considered at the time of the judgment.