Federal Court Decisions

Decision Information

Decision Content

Date: 20050928

Docket: T-1133-02

Citation: 2005 FC 1332

BETWEEN:

ABBOTT LABORATORIES and
ABBOTT LABORATORIES LIMITED

 

Applicants

and

 

THE MINISTER OF HEALTH and
APOTEX INC.

 

Respondents

 

REASONS FOR ORDER[1]

 

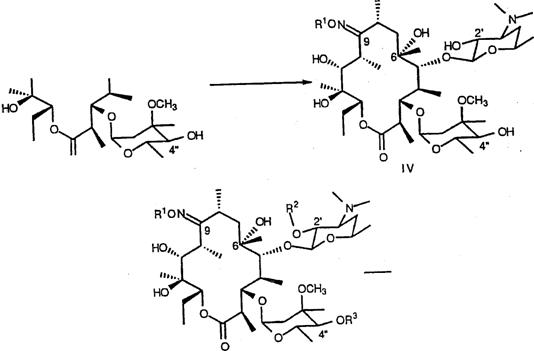
PHELAN J.

 

A.        INTRODUCTION

 

[1]               This is an application by Abbott Laboratories (“Abbott”) for an order prohibiting the Minister of Health from issuing a Notice of Compliance (“NOC”) to Apotex Inc. (“Apotex”) in respect of Apotex’s brand of 250 mg. and 500 mg. clarithromycine tablets known as Apo-Clarithromycine until the expiry of Canadian Patent 2,261,732 (the “'732 patent”).  The active medicinal ingredient in these tablets is 6-0-methylerythromycin A Form II (also referred to as Clarithromycine Form II).

 

[2]               This proceeding was commenced under the Patented Medicine (Notice of Compliance) Regulations, SOR/93-133 (the “NOC Regulations”).  The issue in this proceeding is whether Abbott has successfully rebutted Apotex’s allegation that the patent is not valid.  The issue of infringement is not directly raised in this proceeding, other than that there is no infringement because the patent is invalid.

 

[3]               The nature of the NOC proceedings has been summarized by Layden-Stevenson J. in Fournier Pharma Inc. v. Canada (Minister of Health) 2004 FC 1718:

6.              As noted, this proceeding is brought under the Regulations.  The history and scheme of the Regulations have been delineated in various decisions of the Federal Court of Appeal and need not be repeated here.  See: Merck Frosst Canada Inc. v. Canada (Minister of National Health and Welfare) (1994), 55 C.P.R. (3d) 302 (F.C.A.); AB Hassle v. Canada (Minister of National Health and Welfare) (2000), 7 C.P.R. (4th) 272 (F.C.A.); Novartis AG et al. v. Abbott Laboratories Ltd. et al (2000), 7 C.P.R. (4th) 264 (F.C.A.).  Basically, issues of non-infringement and validity between the patent holder (first person) and the person seeking a NOC from the Minister (second person) originate with a NOA, served on the first person by the second person, setting out the second person’s allegations, including the legal and factual basis in support.  The first person may disagree and apply to the court for an order prohibiting the Minister from issuing a NOC to the second person until after expiration of the patent.

 

8.              Section 6 proceedings are not to be likened to actions for determining validity or infringement.  They are proceedings in judicial review, to be held expeditiously, whose aim is to determine whether the Minister is free to issue the requested NOC.  Their scope is confined to administrative purposes: Apotex Inc. v. Canada (Minister of National Health and Welfare) (1997), 76 C.P.R. (3d) 1 (F.C.A.).  The determination must turn on whether there are allegations by the second person sufficiently substantiated to support a conclusion for administrative purposes (the issuance of a NOC) that an applicant’s patent would not be infringed if the second person’s product is put on the market: Pharmacia Inc. v. Canada (Minister of National Health and Welfare) (1994), 58 C.P.R. (3d) 209 (F.C.A.).

 

9.             By merely commencing the proceeding, the applicant obtains what is tantamount to an interlocutory injunction without having satisfied any of the criteria a court would require before enjoining issuance of a NOC: Merck Frosst Canada Inc. v. Canada (Minister of National Health and Welfare) (1998), 80 C.P.R. (3d) 368 (S.C.C.); Bristol-Myers Squibb Canada Inc. v. Canada (Attorney General) (2001), 11 C.P.R. (4th) 539 (F.C.A.).  The Regulations allow a court to determine summarily, on the basis of the evidence adduced, whether the allegations are justified.  Section 6 proceedings are not adjudicative and cannot be treated as res judicata.  The patentee is in no way deprived of all the recourses normally available to enable it to enforce its rights.  If a full trial of validity or infringement issues is required, this can be obtained in the usual way by commencing an action: Pfizer Canada Inc. v. Apotex Inc. (2001), 11 C.P.R. (4th) 245 (F.C.A.); SmithKline Beecham Pharma Inc. v. Apotex Inc. (2001), 14 C.P.R. (4th) 76 (F.C.T.D.) aff’d (2002), 21 C.P.R. (4th) 129 (F.C.A.); Novartis A.G. v. Apotex Inc. (2002), 22 C.P.R. (4th) 450 (F.C.A.).

 

B.        THE PATENT – NOTICE OF ALLEGATION

 

[4]               The '732 patent is attached as Appendix A to these Reasons.  The claims in issue are 1, 2, (3 and 9 are no longer in issue), 13, 15 and 16 to 21.

 

[5]               Apotex alleged that Claims 16 to 21 of the '732 patent are invalid because they claim an admittedly old product (i.e. Form II Clarithromycine).  Claims 16 to 21 are set out below:

 

16.           6-0-methylerythromycin A crystal Form II prepared according to the process of Claim 2.

 

17.           6-0-methylerythromycin A crystal Form II prepared according to the process of Claim 3.

 

18.           6-0-methylerythromycin A crystal Form II prepared according to the process of Claim 9.

 

19.           6-0-methylerythromycin A crystal Form II prepared according to the process of Claim 13.

 

20.           6-0-methylerythromycin A crystal Form II prepared according to the process of Claim 15.

 

21.           6-0-methylerythromycin A crystal Form II prepared according to the process of Claim 1.

 

[6]               Apotex says that a product by process claim cannot be valid if the compound itself is old.

 

[7]               Apotex further alleges that claims 16-21 are invalid because the claims upon which they depend (claims 1, 2, 13 and 15 – set out below) are invalid because each claim is beyond the processes actually invented and disclosed.  It is said that the processes were never tested and their utility was not soundly predicted; the processes do not work to make Form II; the processes were obvious and anticipated.

 

[8]               There is a significant issue as to the interpretation of the dependent claims as alternative claims.  It is useful to set those claims out as well.  The relevant claims are:

1.                    A method of preparing 6-0-methylerythromycin A crystal Form II comprising:

 

(a)                 converting erythromycin A to 6-0-methylerythromycin A;

 

(b)                 treating the 6-0-methylerythromycin A prepared in step a with a solvent selected from the group consisting of:

 

(i)                   an alkanol of from 1 to 5 carbon atoms, provided said alkanol is not ethanol or isopropanol,

 

(ii)                 a hydrocarbon of from 5 to 12 carbon atoms,

 

(iii)                a ketone of from 3 to 12 carbon atoms,

 

(iv)               a carboxylic ester of from 3 to 12 carbon atoms, provided said carboxylic esteris not isopropyl acetate,

 

(v)                 an ether of from 4 to 10 carbon atoms,

 

(vi)               benzene,

 

(vii)              benzene substituted with one or more substituents selected from the group consisting of:

 

alkyl of from one to four carbon atoms,

 

alkoxy of from one to four carbon atoms,

 

nitro, and

 

halogen,

 

(viii)            a polar aprotic solvent,

 

(ix)                a compound having the formula HNR1R2 wherein R1 and R2 are independently selected from hydrogen and alkyl of one to four carbon atoms, provided that R1 and R2 are not both hydrogen,

 

(x)                  water and a water miscrible solvent selected from the group consisting of:

 

a water miscible organic solvent, and

 

a water miscible alkanol,

 

(xi)                methanol and a second solvent selected from the group consisting of:

 

a hydrocarbon of from 5 to 12 carbon atoms,

 

an alkanol of from 2 to 5 carbon atoms,

 

a ketone of from 3 to 12 carbon atoms,

 

a carboxylic ester of from 3 to 12 carbon atoms,

 

an ether of from 4 to 10 carbon atoms,

 

benzene, and

 

benzene substituted with one or more substituents selected from the group consisting of:

 

                alkyl of from one to four carbon atoms,

 

                alkoxy of from one to four carbon atoms,

 

                nitro, and

 

                halogen, and

 

(xii)               a hydrocarbon of from 5 to 12 carbon atoms and a second solvent selected from the group consisting of:

 

a ketone of from 3 to 12 carbon atoms,

 

a carboxylic ester of from 3 to 12 carbon atoms,

 

an ether of from 4 to 10 carbon atoms,

 

benzene,

 

benzene substituted with one or more substituents selected from the group consisting of:

 

                alkyl of from one to four carbon atoms,

 

                alkoxy of from one to four carbon atoms,

 

                nitro, and

 

                halogen, and

 

a polar aprotic; and

 

(c)                 isolating the 6-0-methylerythromycin A crystal Form II crystals.

 

2.                    The process of Claim 1 wherein step (a) comprises

 

(i)                   converting erythromycin A into an erythromycin A 9-oxime derivative;

 

(ii)                 protecting the 2' and 4'' hydroxy groups of the erythromycin A 9-oxime derivative prepared in step (i);

 

(iii)                reacting the product of step (ii) with a methylating agent; and

 

(iv)               deprotecting and deoximating the product of step (iii) to form 6-0-methylerythromycin A.

 

13.           A method according to Claim 2 wherein the solvent comprises a compound of formula HNR1R2 wherein R1 and R2 are independently selected from hydrogen and alkyl of from one to four carbon atoms, provided that R1 and R2 are not both hydrogen.

 

15.           A method according to Claim 2 wherein the solvent is selected from the group consisting of:

 

acetone,

 

heptane,

 

toluene,

 

methyl tert-butyl ether,

 

N, N-dimethylformamide,

 

ethyl acetate,

 

xylene,

 

isopropanol-water,

 

tetrahydrofuran-water,

 

ethanol-water,

 

ethyl ether,

 

arnyl acetate,

 

isopropyl acetate-methanol,

 

diisopropyl ether,

 

isopropyl butyrate

 

isopropylamine, and

 

methanol-ethanol.

 

[9]               Apotex therefore raises the issues of novelty, sound prediction and inutility.

 

[10]           Abbott contends that the claims within Claims 1 and 15 are alternate claims for purposes of section 27(5) of the Patent Act and therefore Apotex must successfully invalidate all of the claims in Claims 1 and 15.  Abbott also says that Apotex’s experiments are inadmissible; that the allegations against Claims 13 and 15 are not justified; that the allegations of lack of novelty are also not justified.

 

[11]           Crystals are solid materials in which molecules (like Clarithromycine) are arranged in a specific geometric pattern extending in those dimensions.  Where multiple crystal forms exist, the phenomenon is known as “polymorphism”.

 

[12]           Clarithromycine is a chemical compound whose molecules crystallize into at least two shapes; polymorphs.  Clarithromycine is used as an antibiotic, particularly in the treatment of infections in the upper respiratory tract of both children and adults.

 

[13]           Form I and Form II Clarithromycine are the names given respectively to two polymorphs of Clarithromycine.  Each displays a specific result when subjected to x-ray powder diffraction, differential scanning calorimetry or infrared spectrum analysis.

 

[14]           Form II is the polymorphic form of the Clarithromycine included in Biaxin tablets since 1993 and sold by Abbott.

 

[15]           The earliest claim date of the '732 patent is July 29, 1996.  Claims 1 to 15 of the '732 patent claim processes to make Form II, and claims 16 to 21 of the patent claim Form II when made by those processes.  (In the patent, Clarithromycine is called 6-0-methylerythromycin A.)  Since Claims 1 to 15 are process claims, they are not eligible claims under the NOC Regulations and cannot be the basis for a prohibition order.

 

[16]           It is not disputed that the “person skilled in the art” of the '732 patent would have a B.Sc. in chemistry or chemical engineering and two to five years’ experience in pharmaceutical process development.  All the experts’ qualifications far exceeded this “person skill” in the art.

 

C.        SUFFICIENCY OF PLEADINGS AND EVIDENTIARY BURDEN

 

[17]           Much has been made about the sufficiency of the pleadings, and the burden and sufficiency of proof as well as the presumption of validity.  Abbott has challenged the Notice of Allegation (“NOA”) and based its application to this Court on the grounds that:

·                    The NOA does not comply with the NOC Regulations because it is insufficiently detailed.

·                    Claims 16 to 21 of the '732 are not dependent on invalid claims.

·                    None of claims 1, 2 (3 and 9 are no longer in issue), 13 and 15 is invalid for being broader than the invention made or disclosed, being anticipated or obvious, being claims for an old method, lacking utility or being claims for an old product.

 

[18]           Apotex says that Abbott’s Notice of Application does not challenge the allegation that claims 16 to 21 claim an old product and that a product by process claim is not valid if the product is old.  Apotex also complains that Abbott’s Notice of Application does not raise Abbott’s argument regarding s.27(5) of the Patent Act.

 

[19]           A review of the pleadings and the evidence discloses that all of the issues raised by each party were sufficiently raised to “put the issues in play”, even if that were the correct legal standard as argued by Abbott.  No party was unduly surprised or prejudiced by the manner in which any issue came before the Court.  The parties had available all the pre-hearing procedural steps to deal with any deficiencies in the record.  The parties were not shy to use these procedures where they thought necessary.

 

[20]           The NOA, particularly paragraph 16, raises the issue of “old product” – lack of novelty, invalid breadth of claim, anticipation/obviousness, inutility in respect of Claim 1.  Paragraph 17 deals with Claim 2; paragraph 20 deals with Claim 13, paragraph 21 with Claim 15.  Furthermore, paragraph 21, which covers Claims 16-21, raises all those same issues because these claims are dependent on the earlier claims (and their alleged deficiencies) including in subparagraph (iii), the issue of old product.

 

[21]           The test for adequacy of pleadings was recently reviewed in Pfizer Canada Inc. v. Novopharm Ltd. 2005 FCA 270:

14.           The purpose for Novopharm providing the detailed statement of the legal and factual basis for the non-infringement allegations was to notify the patentee (Pfizer) of the reasons why its patent would not be infringed or was invalid (see AB Hassle v. Canada (Minister of National Health and Welfare) (2000), 7 C.P.R. (4th) 272 (F.C.A.) at paragraph 16).  At paragraph 17 of that decision Stone J.A. stated:

 

… the detailed statement must be such as to make the patentee fully aware of the grounds for claiming that the issuance of an NOC would not lead to infringement of a listed patent for, otherwise, the patentee would be unable to decide whether or not to initiate a section 6 proceeding.

 

15.           Similarly, in SmithKline Beecham Pharma Inc. v. Apotex Inc., Noël J.A. stated the following at paragraph 24:

 

The detailed statement … is intended to place the patentee in the position of deciding whether to oppose the issuance of a notice of compliance by instituting a section 6 proceeding or to stand aside.

 

16.           The Applications Judge erred in his formulation of the legal test to determine whether Novopharm’s NOA was deficient when he required Novopharm to ‘put into play’ all aspects of the non-infringement issue.  Whether Novopharm’s NOA was adequate depends on whether it provided Pfizer with a sufficient understanding of the case it had to meet (supra at paragraph 4).  The legal test of adequacy does not require Novopharm to anticipate all possible grounds of infringement, including Pfizer’s speculative theory that the dihydrate could be used in the process of manufacturing Novopharm’s bulk monohydrate.  As noted by Evans J.A. in AstraZeneca AB v. Apotex Inc. 2005 FCA 183, [2005] F.C.J. No. 842 (QL) at paragraph 11:

 

A second person [the generic] should not be required to anticipate every theory of possible infringement, however speculative, in the detailed statement supporting its allegations.

 

[22]           The adequacy of the NOA is determined by whether it provided Abbott with a sufficient understanding of the case it had to meet.  The NOA clearly meets that standard.

 

[23]           In addition to the allegation of insufficiency of pleadings, the parties have raised the question of on whom the burden of proof rests.  This is a relevant issue because of the arguments pertaining to the various experts’ testimony.

 

[24]           Abbott’s position is that because of the presumption of patent validity, where the NOA challenges the patent’s validity, the evidentiary burden on Apotex is to put the allegations of invalidity in play by filing evidence in support of each allegation of invalidity.

 

[25]           Unlike the issue of adequacy of pleadings where the matter of putting “the issues in play” is not the legal test, in respect of burden of proof, the matter of putting “the issues in play” does become relevant.

 

[26]           The evidentiary burden was also discussed in Pfizer Canada Inc. v. Novopharm Ltd., supra, at paragraphs 19 and 20:

19.           In Pharmacia Inc. v. Canada (Minister of National Health and Welfare) (1995), 64 C.P.R. (3d) 450 (F.C.A.), Hugessen J.A. addressed the evidentiary burden placed on a generic under the Regulations.  He adopted the reasons of the trial judge who described this burden as follows:

 

… the grounds that the patentee has for challenging the generic’s notice of allegation should be advanced in the originating notice of motion filed pursuant to s. 6(1) of the Regulations. … The generic may then be informed as to what vexes the patentee and why a prohibition order barring entry should be issued.  Initially, i.e., before the Minister, the generic has raised the issue of non-infringement.  At this stage, before the court, the generic now has the opportunity to file evidence supporting its detailed statement.  In essence, this is the evidential burden on a respondent.

 

(see Pharmacia Inc. v. Canada (Minister of National Health and Welfare) (1995), 60 C.P.R. (3d) 328 at 339-40 (F.C.T.D.), per Wetston J.)

 

20.           In my view, this statement remains good law.  Where, as here, the NOA is found to be adequate, the legal burden remains squarely on Pfizer to prove, on a balance of probabilities, that the allegations in the NOA are unjustified.  Novopharm has no evidential burden to support the allegations in its NOA and detailed statement (see AB Hassle v. Canada (Minister of National Health and Welfare) (2002), 22 C.P.R. (4th) 1 at paragraph 35).  Therefore, Novopharm need only file evidence supporting its detailed statement to counter evidence, if any, submitted by Pfizer in the course of the prohibition proceedings.

 

[27]           Gibson J. in SmithKline Beecham Pharma Inc. v. Apotex Inc. (2001), 14 C.P.R. (4th) 76 (F.C.T.D.) limited the burden of proof to requiring the Applicant to disprove the allegations in the NOA.

14.           Against the foregoing, I conclude that while an “evidential burden” lies on Apotex to put each of the issues raised in its Notice of Allegation “in play”, if it is successful in doing so, the “persuasive burden” or “legal burden” then lies with SmithKline.  Assuming Apotex to be successful in putting the issue of validity of the '637 Patent “in play”, SmithKline is entitled to rely on the presumption of validity of the patent created by subsection 43(2) of the Act.

 

15.           Against the foregoing, I conclude that while an “evidential burden” lies on Apotex to put each of the issues raised in its Notice of Allegation “in play”, if it is successful in doing so, the “persuasive burden” or “legal burden” then lies with SmithKline.  Assuming Apotex to be successful in putting the issue of validity of the '637 Patent “in play”, SmithKline is entitled to rely on the presumption of validity of the patent created by subsection 43(2) of the Act.

 

16.           The “persuasive burden” or “legal burden” that lies with SmithKline in the circumstances described in the preceding paragraph is, however, impacted by the nature of the proceeding here before the Court.  In Merck Frosst Canada Inc. v. Canada (Minister of National Health and Welfare) (1994), 55 C.P.R. (3d) 302 (F.C.A.), Mr. Justice Hugesson, for the Court, wrote at pages 319-20:

 

As I understand the scheme of the regulations, it is the party moving under s. 6, in this case Merck, which, as the initiator of the proceedings, has the carriage of the litigation and bears the initial burden of proof.  That burden, as it seems to me, is a difficult one since it must be to disprove some or all of the allegations in the notice of allegation which, if left unchallenged, would allow the Minister to issue a notice of compliance.

 

.....

 

In this connection, it may be noticed that, while s. 7(2)(b) [of the Regulations] seems to envisage the court making a declaration of invalidity or non-infringement, it is clear to me that such declaration could not be given in the course of the s. 6 proceedings themselves.  Those proceedings, after all, are instituted by the patentee and seek a prohibition against the Minister; since they take the form of a summary application for judicial review, it is impossible to conceive of them giving rise to a counterclaim by the respondent seeking such a declaration.  Patent invalidity, like patent infringement, cannot be litigated in this kind of proceeding.

 

Thus, the burden on SmithKline is only to disprove the allegations in the notice of allegation, not to justify declarations of validity and infringement or conversely to negative claims for declarations of invalidity and non-infringement.

 

[Justice Gibson’s judgment was affirmed on appeal at (2003), 21 C.P.R. (4th) 129.]

 

[28]           Given the summary nature of NOC proceedings and the focus on disproving the allegations in the NOA, the statutory presumption of validity is not sufficient defence, in and of itself, to shift the burden of proof to Apotex.  The burden of disproving the allegations in the NOA rests on Abbott and does not shift to Apotex because of the presumption of validity.

 

[29]           Therefore, the issue for this Court is whether Abbott has disproven the allegations made by Apotex.  If Abbott has disproved each of the allegations, a prohibitive order would issue.

 

D.        EXPERTS

 

[30]           As with most NOC proceedings, the parties produce numerous eminently qualified expert witnesses.  The principal witnesses were:

For Abbott:

Dr. Stephen Bryn, a Ph.D. chemist, and a highly respected scientist and author in the very field of science in issue.  He consults widely in the pharmaceutical industry on the very questions at issue in this case.  Dr. Byrn, says Abbott, “wrote the book” on Solid State Chemistry of Drugs.  He is widely published on the very matters of the crystal forms of drugs which is the issue in this case.

 

Dr. Allan Myerson, the Provost of the Illinois Institute of Technology.  He is a Ph.D. chemical engineer.  He also consults to the pharmaceutical industry but on the more concrete issues of designing processes to crystallize drugs.  Dr. Myerson is also widely published on the process of crystallization in industry and his leading textbook is in fact called The Handbook of Industrial Crystallization.

 

Dr. Jerry Atwood, Chairman of the Department of Chemistry at the University of Missouri-Columbia.  He is a highly accomplished Ph.D. chemist with broad expertise in solid-state chemistry.

 

For Apotex

Dr. Robert McClelland, a professor of chemistry at the University of Toronto holding both a B.Sc. (Honours Chemistry) and Ph.D. in Chemistry from that university.  His expertise was in the area of mechanistic organic chemistry, and in the area of biological and medicinal chemistry.  He has been an accepted expert in many proceedings before this Court.

 

Dr. Robert Brown, a professor at Queen’s University, who holds B.Sc. Honours in Chemistry, a M.Sc. Physical Organic Chemistry and Ph.D. with expertise in mechanistic organic chemistry.

 

Dr. Michael Cima, a professor at M.I.T., holds a Ph.D. in chemical engineering with expertise in material science including the field of polymorphism.

 

Dr. James B. Hendrickson, who is a professor at Brandeis University, also has a Ph.D. with expertise in organic chemistry.

 

[31]           The one witness not produced by either party is a person with a B.Sc. in chemistry or chemical engineering and two to five years experience in pharmaceutical process development – the “person skilled in the art”.  There was a paucity of evidence about this mythical person.  Like the “reasonable man” in tort law, this person’s knowledge, understanding and actions are described to the Court through the prism of the battery of experts.

 

[32]           The parties engaged in a considerable amount of attack on the respective witnesses, colloquially, “slagging” their reputations and their findings.  Aside from the rhetoric, these arguments were of little benefit to the parties or the Court.

 

[33]           I reject the suggestion that these experts, on both sides, were not qualified and were not honest in the opinions they held.  The fact that some worked for a company related to one of the parties or that others have been regular expert witnesses for a particular party was not persuasive in terms of undermining their credibility.

 

[34]           What is important in assessing the evidence is to look at what was said and what was done and to give the evidence the appropriate weight in the full context of the record.  There is no evidence that any witness deliberately tried to mislead nor that those who conducted tests did so for the purpose of having the tests fail.

 

[35]           On many key points there was not much direct conflict, discrepancies between witnesses were generally based on addressing slightly different questions.  The evidence was often carefully nuanced, in part due to equally nuanced questions.

 

[36]           Dr. McClelland was singled out for particular attack on his opinions and the integrity of his evidence.  I have found his evidence, both in affidavit form and under cross-examination, to be clear, cogent and rational.  I see no basis for suggesting that he was anything but forthright.

 

E.         SECTION 27(5) PATENT ACT

 

[37]           Abbott defends the patent’s validity, particularly in respect of Claims 1, 15 and 16-21 by arguing that, where a claim is made in the alternative, so long as one alternative is patentable, the claim is valid.  Put another way, Abbott contends that even if one or more alternatives in the claim includes unpatentable matter, that fact does not affect the overall validity of that claim in the patent.

 

[38]           In effect, Abbott says that Apotex would have to be able to allege that every alternative in the '732 patent is not patentable in order to succeed in this case.  Abbott says it would be unfair for it to lose patent protection just because one small part of a claim was bad.

 

[39]           Section 27(5) does not speak directly to this point.  The provision reads:

27. (5) For greater certainty, where a claim defines the subject-matter of an invention in the alternative, each alternative is a separate claim for the purposes of sections 2, 28.1 to 28.3 and 78.3.

27. (5) Il est entendu que, pour l'application des articles 2, 28.1 à 28.3 et 78.3, si une revendication définit, par variantes, l'objet de l'invention, chacune d'elles constitue une revendication distincte.

 

[40]           The starting point of this analysis is the patent itself and the construction of that patent.  The '732 patent teaches how to obtain Form II by mixing amenes and solvents rather than by means of heating.  The first 15 claims are “method” or “process” claims while claims 16-21 are compound claims.

 

[41]           Claim 1 is the broadest claim, Claim 13 relates to the amenes group and Claim 15 refers to the use of 17 solvents.

 

[42]           The principles of patent construction were reviewed by Justice Binnie in Free World Trust v. Électro-Santé Inc., [2000] 2 S.C.R. 1024 and Whirlpool Corp. v. Camco Inc., [2000] 2 S.C.R. 1067.  The principles were summarized by Harrington J. in Biovail Pharmaceuticals v. Canada, [2005] F.C.J. No. 7 as follows:

1.             A patent is construed as a bargain between the inventor and the public.  In consideration of disclosing the invention, the inventor is given a temporary monopoly to exploit it.

 

2.             It is a statutory requirement that the patent contain a specification and end with a claim or claims “defining distinctly and in explicit terms the subject-matter of the invention for which an exclusive privilege or property is claimed”.  The specification must be sufficiently full, clear, concise and exact “as to enable any person skilled in the art or science to which it pertains, or to which it is most closely connected, to make, construct, compound or use it”.  (Patent Act, R.S.C. 1985, c. P-4, as amended, s. 27)

 

3.             The patent is notionally addressed to a person skilled in the art or science of the subject-matter and is to be read as such a person would have read it when it first became public.  (More will be said about this skilled reader.)

 

4.             The claims are to be read in an informed and purposive way to permit fairness and predictability and to define the limits of the monopoly “[I]ngenuity of the patent lies not in the identification of the desired result but in teaching one particular means to achieve it.  The claims cannot be stretched to allow the patentee to monopolize anything that achieves the desired result” (Free World Trust, paras. 31, 32).

 

5.             The claim portion of the patent specification takes precedence over the disclosure portion in the sense that the disclosure is read to understand what was meant by a word in the claims “but not to enlarge or contract the scope of the claim as written and thus understood” (Whirlpool, para. 52).

 

6.             It is only such novel features that the inventor claims to be essential that constitute the “pith and marrow” of the claim.  “The key to purposive construction is therefore the identification by the Court with the assistance of the skilled reader, of the particular words or phrases in the claims that describe what the inventor considered to be the “essential” elements of his invention”  (Whirlpool, para. 45).

 

7.             Some elements of the claimed invention are essential and others are not, based either on common knowledge when the patent was published or according to the intent of the inventor, expressed or inferred from the claims.  This lies at the heart of Biovail’s position that Novopharm’s allegation that it will not infringe the '320 patent is not justified.  Put another way, was it obvious at the time the patent was published that the substitution of a variant would make a difference?

 

8.             To overclaim is to lose everything.  If the inventor underclaims, the court will not broaden the monopoly in the interests of the “spirit” thereof.  This often, as in this case, results in layers of claims, each limitation serving as a potential safety net so that if the broadest claims fail, the monopoly may be saved in part by the more modest claims.

 

9.             Yet a patent is not an ordinary writing.  It meets the definition of a “regulation” in the Interpretation Act, and must be read to assure the attainment of its objects.  “Claims construction is a matter of law for the judge, and he was quite entitled to adopt a construction of the claims that differed from that put forward by the parties.”  (Whirlpool, para. 52)

 

[43]           The person skilled in the art has been described by Binnie J. in Free World Trust v. Électro-Santé Inc. (2000), 9 C.P.R. (4th) 168, at paragraph 44, as follows:

The courts have traditionally protected a patentee from the effects of excessive literalism.  The patent is not addressed to an ordinary member of the public, but to a worker skilled in the art described by Dr. Fox as:

 

A hypothetical person possessing the ordinary skill and knowledge of the particular art to which the invention relates, and a mind willing to understand a specification that is addressed to him.  This hypothetical person has sometimes been equated with the “reasonable man” used as a standard in negligence cases.  He is assumed to be a man who is going to try to achieve success and not one who is looking for difficulties or seeking failure.  [Fox, H.G. The Canadian Patent Law and Practice relating to Letters Patent for Inventions 4th ed Toronto: Carswell 169 at 184]

 

[44]           Abbott must establish that there are alternative claims in the relevant claim.  This issue was examined in Abbott Laboratories et al v. The Minister of Health and Ratiopharm 2005 FC 1095 dealing with this same patent but focused primarily on non-infringement although issues of validity were also addressed.  The evidentiary base of that case and this instance case are somewhat different, as were some of the legal arguments.

 

[45]           Without reference to any other evidence, I would have immediately adopted the reasoning of Justice von Finckenstein, principally, that claim 15 uses the exact words “selected from the group consisting of”, as well as the word “and” instead of “or” before enumerating the last solvent.  That would indicate that the use of all of the named solvents would produce Form II.

 

[46]           However, Dr. Cima, an expert for Apotex, admitted under cross-examination that in respect of Claim 1, the solvents were claimed as alternatives to each other and that a person skilled in the art in February of 1998 (the claim date is July 29, 1996) would have understood it to be claimed as alternatives.  (Application Record, Vol. IV (Transcripts), p. 847, Q. 289 and 290)

 

[47]           Claim 1 and Claim 15 are structured similarly opening with “… a solvent selected from the group consisting of …” and with “and” as the penultimate word of the claim.

 

[48]           Dr. Cima’s answer is the only evidence relied upon by Abbott.  Having reviewed his evidence on this point, it is unclear whether Dr. Cima understood the purport of the question.  His answer flies in the face of the wording of the patent.  There is insufficient evidence, given the multitude of experts who said nothing about the issue, to say that on the balance of probabilities, there were alternate claims and the patent would be understood as such.  I am not satisfied that there are alternative claims.

 

[49]           Even if Dr. Cima’s answer is to the effect urged by Abbott that there are alternate claims in Claim 1 and 15, s. 27(5) cannot be interpreted in the manner argued by Abbott.

 

[50]           The specific wording of s. 27(5) limits its application to three sections of the Patent Act, evidencing a legislative intention to circumscribe the operation of the section.  S. 27(5) did not say something to the effect of “For all purposes…”.

 

[51]           The sections of the Patent Act to which s. 27(5) refers are (a) section 2 – the definition provision; (b) section 28.1 – the claim date provision; (c) section 28.2 – the non-prior disclosure provision; (d) section 28.3 – the non-obvious provision; and (e) section 78.3 – transitional provision related to s. 43.  Therefore, the application of s. 27(5) is very limited within the operation of the Patent Act itself.

 

[52]           S. 27(5) is part of the provisions under the heading “Application for Patents”.  The section requires that if there are alternative claims, each alternative meet the test for patentability – novelty, utility and inventiveness.  Failure to establish that each alternative meets the test for patentability would result in the alternative being invalid as well as the whole of the claim.

 

[53]           S. 27(5) does not direct that alternatives in a claim constitute a separate claim for purposes of either s. 27 and 58.  It is particularly significant that s. 58 is not included by reference in s. 27(5) because s. 58 allows a court to sever an invalid claim from a patent and allow the remainder of the patent to survive.

 

[54]           The conflicting interpretations result in Abbott arguing that so long as one alternative in a claim is valid, the whole claim is saved and Apotex saying that if one alternative is proven not to be patentable, the whole claim fails.

 

[55]           Abbott makes this argument on the effect of s. 27(5) without reliance on any direct authority in support.  One would have thought that if s. 27(5) had the scope argued by Abbott, it would have been the subject of at least some learned writing if not actual decisions of this Court.

 

[56]           Given that alternative claims can result in a vast number of claims and the general adverse consequences of overclaiming, I interpret the application of s. 27(5) more narrowly than Apotex.  It applies only to the named provisions and is principally an administrative provision for purposes of a patent application.

 

[57]           Therefore, even if the claim (1 or 15) is in the alternative, if Apotex establishes that an alternative is not patentable, the whole claim fails – at least for purposes of an NOC.

 

F.         NOVELTY

 

[58]           Apotex has alleged that Form II is an old product for which Abbott cannot have a valid patent on the basis of a product by process claim.  Hoffman-La Roche & Co. Ltd. v. Commissioner of Patents (1955), 23 C.P.R. 1 (S.C.C.) is still good law in Canada; the principle of novelty is still contained in s. 2 of the Patent Act.  I do not understand Canwell Enviro-Industries Ltd. v. Baker Petrolite Corp. et al (2002), 17 C.P.R. (4th) 478 to have eliminated the requirement for novelty.  That decision is more relevant to issues of disclosure.

 

[59]           In addition, Apotex alleges that Form II has been disclosed prior to the claim date.  For this, it relies most particularly on an article by I.I. Salem entitled “Clarithromycine found in analytical profiles of drug substances and excipients” Vol. 24 published by Academic Press Inc. San Diego – 1996.

 

[60]           Apotex also relies upon the prior sale and use of the tablets BIAXIN.

 

Old Product

 

[61]           As Dr. Bryn attested, prior to the priority date, Clarithromycine was known without a numerical reference.  It was known to have a melting point of 225°C.  What is now called Form I does not have a melting point, it simply changes its molecular shape at something beyond 135°C and has now been labelled Form II.  This process of obtaining Clarithromycine through heating was well-known before the priority date.

 

[62]           Dr. Cima confirmed that the '732 patent clearly admitted that the practice at the time of the priority date was to make Form II (which the '732 patent states to have been in the marketed product at the time of the priority date of the '732 patent) by thermal conversion at a temperature greater than 80°C.

 

[63]           The evidence of Drs. Hendrickson, Brown and Myerson is all to the same effect - that Form II was a known product well before the priority date.  In essence, Clarithromycine upon heating moves from Form I, to Form II at 135°C and the substance melts at 225°C.  What Abbott has done is give a name or numerical designation to each of these forms.

 

[64]           The fact that Form II is “old product” was highlighted by five European Patent Applications dating back as far as 1981 up to 1988 in which solvents were used to obtain Form II.

 

[65]           A similar description of the process was contained in the 1984 Journal of Antibiotics.  To the same effect were articles published in the Journal of Antibiotics in 1990, 1991 and 1993. The 1980 European Patent Application and the 1984 Journal of Antibiotics both describe what is Example II in the '732 patent.

 

[66]           Abbott’s Dr. Myerson confirmed in cross-examination that the 1980 European Patent Application describes the same crystallization of Form II using water and solvents as are described in the '732 patent.

 

[67]           This aspect of Apotex’s evidence establishes the allegation in the NOA that Form II was old product.  Abbott has no satisfactory answer to this allegation other than to say that what was produced, either through heating or the use of solvents, was not called Form II.

 

Prior Disclosure/Anticipation

 

[68]           Apotex alleged that the invention described in the '732 patent had been anticipated by the Salem article.  While the exact date of publication is not certain, it is certain that the priority date of the patent was July 29, 1996.

 

[69]           To be able to establish anticipation, Apotex must establish that the Salem article was available to the public in Canada or elsewhere prior to the priority date.  The evidence must satisfy the requirements of subsection 28.2(1)(a) and (b) set out below:

28.2 (1) The subject-matter defined by a claim in an application for a patent in Canada (the "pending application") must not have been disclosed

(a) more than one year before the filing date by the applicant, or by a person who obtained knowledge, directly or indirectly, from the applicant, in such a manner that the subject-matter became available to the public in Canada or elsewhere;

(b) before the claim date by a person not mentioned in paragraph (a) in such a manner that the subject-matter became available to the public in Canada or elsewhere;

28.2 (1) L'objet que définit la revendication d'une demande de brevet ne doit pas :

a) plus d'un an avant la date de dépôt de celle-ci, avoir fait, de la part du demandeur ou d'un tiers ayant obtenu de lui l'information à cet égard de façon directe ou autrement, l'objet d'une communication qui l'a rendu accessible au public au Canada ou ailleurs;

b) avant la date de la revendication, avoir fait, de la part d'une autre personne, l'objet d'une communication qui l'a rendu accessible au public au Canada ou ailleurs;

 

[70]           According to the affidavit of William Sinden filed on behalf of Apotex, the Salem article was received in the publisher’s warehouse on July 25, 1996 but was not available for distribution until August 30, 1996.  The U.S. Library of Congress did not receive its copy until September 5, 1996.

 

[71]           Holding a copy of the article in the publisher’s warehouse prior to distribution to libraries, purchasers and others does not mean that the article “became available to the public in Canada or elsewhere”.  See Canwell Enviro-Industries Ltd. v. Baker Petrolite Corp. et al, supra.

 

[72]           There is no basis for Apotex’s allegation that the article is proof of anticipation.  It does, however, suggest, and purely as a corroborative matter, that Form II was a known matter.  Salem’s secret use of the patented invention is not itself grounds for invalidating the patent.  See Proctor & Gamble Co. v. Kimberly-Clark of Canada Ltd. (1989), 28 C.P.R. (3d) 226 (reversed on other grounds, 29 C.P.R. (3d) 545 (C.A.).

 

[73]           The second basis for the allegation of anticipation is that there had been prior sale and use through the tablets BIAXIN which were on the market.

 

[74]           The guiding principles respecting subsection 28.2(1)(a) are set out in paragraph 42 of Canwell Enviro-Industries Ltd. v. Baker Petrolite Corp. et al, supra, in particular paragraph 3:

3.             The prior sale or use of a chemical product will constitute enabling disclosure to the public if its composition can be discovered through analysis of the product.  The Board of Appeal for the European Patent Office in Fisons PLC v. Packard Instrument B.V., E.P.O. case number T0952/92-3.4.1, August 17, 1994, stated at p. 21:

 

… in the Board’s view it is the fact that direct and unambiguous access to information concerning the composition or internal structure of a prior used product is possible, for example by means of analysis, which makes such composition or internal structure “available to the public” and thus part of the state of the art for the purpose of Article 54(2) EPC.  [emphasis added]

 

[75]           In my view, while Hoffman-La Roche, supra, is good law generally with respect to novelty, it must be applied in a manner consistent with the present Patent Act.  In other words, subsection 28.2 (1)(a) and (b) are to be applied rather than s. 27(i)(a) of the former Act.

 

[76]           In the absence of evidence (such as showing that reverse engineering was feasible) that BIAXIN could disclose Form II as taught in the '732 patent, Apotex cannot rely on this allegation of prior disclosure.  However, this finding does not undermine the earlier conclusion that the subject matter of the '732 patent is “old” product and that Hoffman-La Roche, supra, is still good law; that one cannot obtain a patent on an old product even by use of a new process.

 

[77]           In addition to the conclusion that Apotex has made out its allegation of “old” product, the Court must also deal with the allegations of sound prediction, inutility and insufficiency.

 

G.        SOUND PREDICTION

 

[78]           The basic requirement that the utility for patentability either be demonstrated or be a sound prediction is laid out in Apotex Inc. v. Wellcome Foundation Ltd. (2003), 21 C.P.R. (4th) 499 (S.C.C.) (known as the “AZT case”), in particular at paragraph 69:

69.                 With respect, I think Parliament intended to get something more than speculation in exchange for the grant of a patent monopoly (a point which is further discussed below).  On the other hand, I do not think, with respect, that the doctrine of sound prediction is limited to the narrow ambit ascribed to it by the trial judge.  Once it is accepted that in appropriate circumstances utility can be predicted in advance of complete testing (whether of untested chemical compounds or otherwise), there seems no reason in principle why the doctrine should not be applied more generally, depending, of course, on the expert evidence.  There is no doubt that care must be taken that the doctrine is not abused, and that sound prediction is not diluted to include a lucky guess or mere speculation.  The public is entitled to obtain a solid teaching in exchange for the patent rights.

 

[79]           There are three components to sound prediction:

·                    there must be a factual basis for the prediction;

·                    the inventor must have at the date of the patent application, an articulate and sound line of reasoning from which the desired result can be inferred from the factual basis; and

·                    there must be proper disclosure.

 

[80]           Dr. McClelland opined that in choosing and using solvents for crystallizing or recrystallizing, the process is highly unpredictable and highly empirical. Drs. Brown and Cima’s evidence was to the same effect.

 

[81]           Abbott’s Dr. Myerson, in his affidavit evidence, confirmed that the determination of solvents or solvent compositions which will allow the direct crystallization of a particular polymorph is a problem which required significant experimentation and inventiveness.

 

[82]           Dr. Myerson reaffirmed this problem of predictability in his cross-examination:

Q:            And that’s because … and the reason for that is that this is pretty delicate work in the sense that one solvent, ethanol, for example, and alkanol will produce Form I and yet methanol and alkanol will produce Form II?

 

A:           The way I would describe it is that a priori, meaning without experimentation, you cannot predict which solvent will make which form.

 

[83]           While Apotex’s Dr. McClelland said that solvents move in unpredictable patterns, Abbott’s Dr. Myerson acknowledged that at least 2 of the 16 solvents (see Claim 15) in the '732 patent do not work, others only produce Form I.

 

[84]           It is known that in respect of Claim 1, only the benzene and benzene substitutes work to produce Form II.

 

[85]           In my view, given the legal burden imposed in a NOC proceeding for Abbott to meet Apotex’s NOA, it is not sufficient for Abbott to show that one or two solvents work and to reap the benefits of patent protection for the whole claim.  The burden is the very opposite.

 

[86]           The issue of predictability is further complicated by the vast number of solvent and solvent combinations which could be used for the crystallization process.  The properties of each solvent affects the process of trying to obtain Form II.

 

[87]           Abbott’s theory is that if one solvent of a particular class produces the “thermodynamically stable form” (Form II), other solvents of that class with similar properties will do likewise.

 

[88]           Dr. McClelland calls that theory into question especially since four common organic solvents closely related to solvents in the list in Claim 1, along with unspecified combinations of these four solvents with other common organic solvents, produce only Form I as stated in the '732 patent.

 

[89]           In light of the weight of the evidence indicating unpredictability including the vast number of substances at issue, I can find insufficient cogent evidence from Abbott to challenge this allegation in regard to Claim 1.  Indeed there are some admissions by Dr. Myerson which confirm this unpredictability.

 

[90]           With respect to Claim 13, Abbott maintains its theory that if one amene works, others must also work to produce Form II.  The theory is similar to that advanced in respect of solvents in Claim 1.

 

[91]           As was pointed out by Apotex’s witnesses, the one example shown to work is the easiest.  The Abbott witnesses’ evidence was general in nature but of little ultimate assistance.  In the face of the evidence on inutility (referred to further in these Reasons), Abbott must do more than rely on one example which works when there is evidence that not all examples work.

 

[92]           Apotex has made an allegation of unpredictability with the amene group in Claim 13 which has been supported by the evidence.  The unpredictability of amenes is related to other comments on unpredictability.  Abbott has not produced persuasive evidence through testing to show either that its theory is sustainable or that Apotex’s allegation has no basis.

 

[93]           With respect to Claim 15, Abbott contends that its Claim is not overbroad.  It relies, in part, on Dr. McClelland’s concession that a person skilled in the art would know from reading the '732 patent that somewhere between 50/50 ethanol-water and 100% ethanol, the combination ratio would stop making Form II.  This is known as the changeover point.  The evidence is that it is implicit in the patent that there is a changeover point.

 

[94]           A central criticism of Claim 15 is that the patent discloses no ratios for the solvents to be used.  As stated earlier, there is strong evidence that one cannot predict which and how the particular solvents would make Form II.

 

[95]           While Abbott contends that a person skilled in the art would know the changeover point, such a person might obtain the information from the disclosure, not from the claim.  There is no evidence as to how such person would know the changeover point from the claim description.

 

[96]           In Apotex Inc. v. AB Hassle et al (2004), 29 C.P.R. (4th) 23 (F.C.A.) at page 30, the Court of Appeal held that “it is not appropriate to look to the disclosure to construe the claim and, in particular, to vary the scope or ambit of the claim”.  Abbott cannot rely on the disclosure to cure the defect in the claim.

 

[97]           If the ratios are unnecessary for a person skilled in the art, Abbott failed to explain why Claim 4 contained a ratio of 1:1.  The use of ratios in one part of the claim suggests that knowledge of ratios is necessary and that it is necessary to provide the ratios in the claim itself.

 

[98]           In Halford v. Seed Hawk Inc. (2004), 31 C.P.R. (4th) 434, Pelletier J. (as he then was) held that a dependant claim cannot be given a construction which is inconsistent with the claim on which it depends.  Claim 15 is dependent on Claim 2 which incorporates parts of Claim 1.

 

[99]           Abbott has been unable to rebut Apotex’s allegation that Claim 15 is unpredictable.  Abbott would ask the Court to read into Claim 15 a provision which effectively says that the claim includes those ratios which would be successful in making Form II.  This is an insufficient rebuttal to Apotex’s allegations.

 

H.        INUTILITY

 

[100]       It has been well settled law that a patent claim which includes inoperable species results in the entirety of the claim being invalid; see Mineral Separation North America Corp. v. Noranda Mines Ltd. (1952), 15 C.P.R. (Sec. II) 133; also see Société des Usines Chimiques Rhone-Poulenc and CIBA, S.A. v. Jules R. Gilbert Limited et al, [1968] S.C.R. 950.

 

[101]       In my view, s. 27(5) of the Patent Act has not changed that long-standing proposition of patent law.  Certainly no authority has been cited to me to support the argument that the law has been changed in such an important way.

 

[102]       In respect of Claim 1, Apotex argues that this claim includes inoperable species.  The evidence curiously enough establishes not only that some solvents in Claim 1 make Form I; some make, what is called in another patent, Form III.

 

[103]       International Patent Application WO 01/402 42 13, December 1, 2000, claims the making of Form 1 and III through a recrystallization using a solvent claimed in the patent.  That same solvent, acctonitrite (referred to as “polar aprotic”) is claimed in Claim 1(b)(viii) of the '732 patent to make Form II.

 

[104]       Apotex has also established that the isopropyl acetate and leptane referred to in Claim 1(b)(xii) of the '732 patent is also claimed by Abbott in U.S. Patent 5,858,986 to make Form I.

 

[105]       Abbott has provided no rebuttal to the documentary and affidavit evidence submitted by Apotex that Claim 1 of the '732 patent contain inoperable species.  Therefore, one can conclude that Apotex’s submission on this point is correct and that would conclude the matter on Claim 1.

 

[106]       Furthermore, Apotex ran a number of experiments on solvents said to be operable to make Form II.  The solvents were methanol, acetone, N, N-dimethylformamide, ethanol/water (where ethanol is greater than 70% of the mixture), methanol/water, methanol/isopropyl acetate, and lastly, methanol/ethanol.  Each of these solvents is listed in Claim 1.  The experiments did not produce Form II.

 

[107]       While Abbott criticizes the experiments – an issue dealt with later – it chose not to file any rebuttal evidence.  Given the nature of NOC proceedings, it was incumbent on Abbott to rebut Apotex’s allegations, otherwise the allegation stands.

 

[108]       The evidence from these experiments also calls into question Abbott’s general theory of operability; that if one solvent produces Form II, all of the listed solvents and solvent compounds do.  The credibility of this thesis is severely undermined by this evidence and the evidence referred to earlier in these Reasons.

 

[109]       With respect to Claim 13, Apotex again says that it contains inoperable species – that it lacks utility.  The starting point of the evidence is Example 16 of the '732 patent on which Apotex’s experts performed its test.  Example 16 reads:

Example 16

 

Recrystallization from Isopropylamine

 

A clear solution resulting from addition of 6-0-methylerythromycin A (8.0 g) to isopropylamine (50 mL) was stirred overnight at ambient temperature.  When no precipitate formed, and additional 10.4 g of 6-0-methylerythromycin A was added.  The clear solution was stirred overnight at ambient temperature during which time a precipitate formed.  The solid was collected by filtration and dried in the vacuum oven (2-4 in Hg, 45-50°C) to give 6-0-methylerythromycin A Form II (16.2 g).

 

[110]       The actual tests were performed by Brantford Chemicals Inc. (“BCI”), a company related to Apotex.  Dr. Allen Rey, the Assistant Manager, Research and Development was asked to carry out and/or supervise the testing of Example 16.

 

[111]       The actual testing was done by Dr. Rocha and the test results were reviewed by Dr. Rey.  The result was that no solid (the result of a successful recrystallization) was obtained on three occasions, June 10, 13 and 17.

 

[112]       In these proceedings, Dr. McClelland’s evidence was that BCI followed the instructions in Example 16 precisely.  His evidence compares the steps in Example 16 with those of BCI – they are virtually identical except that BCI used half the Clarithromycine and half the isopropylamine and left the substance overnight at 20-25°C (whereas Example 16 calls for “ambient temperature”).

 

[113]       In the face of Apotex’s evidence of the test and the conclusions of both Dr. McClelland and Dr. Hendrickson, to the effect that the test was done properly, consistent with a person skilled in the art and showed that there was no basis for sound prediction or utility, Apotex obtained leave of the Court to file reply test evidence.

 

[114]       Abbott’s reply test evidence was submitted by Dr. Chyall, which showed that his test worked.  However, Dr. Chyall was given instructions by counsel on how to conduct the test which included bubbling with nitrogen to a specific line on the beaker.

 

[115]       Then what followed was a number of affidavits from each side’s respective experts criticizing the others’ test procedures.  Abbott has added a further objection – the BCI test results were hearsay because the evidence came from Dr. Rey whereas it was Dr. Rocha who performed the test.

 

[116]       The criticism of Apotex’s test includes the allegation that since Example 16 is, in part, an evaporation process, BCI’s failure to “uncap” the substance and allow for evaporation is a fatal flaw.  If the term “ambient temperature” was meant to direct evaporation, then BCI’s test would have contained a major flaw.

 

[117]       Apotex counters with the allegation that Abbott’s test was performed according to a “secret protocol” from counsel.  That protocol was significantly different from what was called for in Example 16.

 

[118]       For reasons given earlier, I have rejected the arguments that any of these witnesses attempted to mislead the Court, that because of relationships with a party, they were prepared to “skew” the results or their opinion.  I also do not accept that those performing the tests did not approach the task “with a mind willing to understand”.  Certainly there is no evidence that those witnesses approached their tasks with closed minds.

 

[119]       The argument on this testing can be distilled to whether a person skilled in the art would know that Example 16 called for an overnight evaporation.  The opinion evidence is, as one would expect, evenly split.  There is nothing in the text of Example 16 to indicate that evaporation was called for.

 

[120]       Abbott’s position would be stronger if its test had followed Example 16 precisely (as did Apotex) but had allowed for overnight evaporation.  Instead, Apotex chose to do a quite different test – a telling comparison between Example 16 and Abbott’s test is found at page 8 of Dr. McClelland’s reply affidavit.

 

[121]       Given the conflict in the evidence, I accept Apotex’s test and conclusions because they are most closely in line with what is described in Example 16.  There is insufficient compelling evidence that a person skilled in the art would have conducted the test as was done by Abbott’s Dr. Chyall.

 

[122]       Abbott has failed to make out its challenge to Apotex’s allegation on the issue of inutility of Claim 13.  Apotex’s evidence of inutility is significantly stronger than any rebuttal evidence.

 

[123]       With regard to Claim 15, some of the same issues are raised as for Claim 13, most particularly the issue of hearsay and of insufficiency of disclosure in the patent.

 

[124]       Apotex again used BCI to conduct experiments on the solvents in Claim 15, specifically methanol, acetone, N, N-dimethylformamide, ethanol/water where ethanol greater than 70% of mixture, methanol/water, methanol/isopropyl acetate, methanol/ethanol.  These solvents also appear in Claim 1(b).

 

[125]       The results of those experiments is that these solvents for the most part produced Form I (some did not work at all) but never Form II. 

 

[126]       As rebuttal, Abbott ran a test of Example 10.  The evidence of the test results came from Dr. Chyall.

 

[127]       In performing the test, Dr. Chyall chose to do the test in a manner not described in Example 10.  Moreover, Abbott’s Dr. Atwood admitted that with the solvent combinations, one would have to experiment to find the correct ratios.  It was said that a person skilled could obtain this information relatively easily.

 

[128]       However, what the experiments do establish is that there is a serious question about the adequacy or sufficiency of the disclosure in the claim.

 

[129]       Example 16 does not mention evaporation.  Dr. Chyall had to use a “protocol” to do his experiment and had to follow a method not called for in the patent when doing Example 10.

 

[130]       Given the nature of these “off” claim procedures, I conclude that Abbott has not shown the sufficiency of its claim disclosure.

 

[131]       In addition, and as raised in respect of Claim 13, Abbott asks the Court to reject all of Apotex’s test evidence on the basis that it is hearsay.  This is a narrow basis upon which to defend an allegation of inutility rather than facing the allegation head on with other test evidence to establish that the claims actually work.

 

[132]       The courts are less reluctant to accept hearsay evidence than in the past and even this Court’s Rules must be read in light of the developing law from the Supreme Court of Canada.  The hearsay evidence will be admissible if it is necessary and reliable.

 

[133]       In my view, Dr. Rey would be an appropriate affiant as he had overall supervision and responsibility for the tests.  It is not immediately obvious that each of the people involved in a test must provide affidavits.  It is not necessary that each person who performed a function related to the test file an affidavit attesting to their specific function.  Dr. Rocha was Dr. Rey’s surrogate in performing some of the physical functions of the test and recording the results.

 

[134]       I also conclude that his evidence is sufficiently reliable.  Dr. Rey not only was responsible for the tests, he supervised and observed the tests.  There is no requirement that he stand by the testing equipment at all times.

 

[135]       The evidence establishes that the laboratory notes were kept in a proper way consistent with standard operating protocol.

 

[136]       Even if the test results were inadmissible through Dr. Rey, other expert witnesses (e.g. Dr. McClelland) commented on those tests and opined that they were performed correctly.  As expert evidence, it is permissible for the expert to comment on work done by others.  While the weight given to that expert opinion will be affected by the reliability of the test evidence, the opinion is still admissible.

 

[137]       However, as hearsay evidence, there may be issues of weight arising from the evidence.  Given the nature of the tests and the absence of compelling evidence which undermines what was said to have been done, the evidence must be given significant importance.

 

[138]       Moreover, Abbott had its opportunity to deal with any alleged infirmities due to the hearsay nature of Dr. Rey’s evidence.  In respect of Example 16 tests, it had an opportunity to submit rebuttal test evidence, which it did.

 

[139]       With respect to Claim 15 and the hearsay evidence, it brought a motion to strike portions of Apotex’s expert affidavits.  Abbott’s complaint was that Dr. Rey’s evidence was hearsay, that he did not have sufficient direct knowledge to be able to respond to cross-examination.

 

[140]       Prothonotary Aronovitch ordered Apotex to produce a further witness to address Abbott’s complaint.  Apotex offered to produce Dr. Rocha.  Abbott did not take up the offer despite having gone to Court to obtain that very opportunity.

 

[141]       Abbott elected to challenge the hearsay evidence by requiring Apotex to produce another witness.  It then chose not to cross-examine that witness.  It is too late in the day, too prejudicial to the parties and to the orderly resolution of this case, to disregard this evidence.

 

I.          CONCLUSION

 

[142]       The record before the Court contained certain confidential information.  To ensure that there is no inadvertent disclosure of that information, the parties will have 14 days from the release of these reasons to make submissions on the disclosure in the public version of these reasons.

 


[143]       Given that Abbott has failed to disprove Apotex’s allegations in respect of Claims 1, 13 and 15 and, more particularly, the allegations that the '732 patent claims are neither novel, nor reasonably predictable, nor that they have utility, this application for a prohibition will be dismissed with costs to Apotex in accordance with Column III of this Court’s Tariff.

 

 

 

“Michael L. Phelan”

JUDGE

 


FEDERAL COURT

 

SOLICITORS OF RECORD

 

 

 

DOCKET:                                          T-1133-02

 

STYLE OF CAUSE:                          Abbott Laboratories and Abbott Laboratories Limited

 

                                                            and

 

                                                            The Minister of Health and Apotex Inc.

 

 

PLACE OF HEARING:                    Toronto, Ontario

 

DATE OF HEARING:                      13-16 June, 2005

 

REASONS FOR ORDER:               The Honourable Mr. Justice Phelan

 

DATED:                                             September 28, 2005

 

 

APPEARANCES:

 

Mr. Andrew Reddon

Mr. Steven Mason                                                                    FOR APPLICANTS

 

Mr. H.B. Radomski

Mr. Andrew Brodkin                                                                 FOR RESPONDENT

                                                                                                 APOTEX INC.

 

No Appearance                                                                        FOR RESPONDENT

                                                                                                 MINISTER OF HEALTH

 

 

SOLICITORS OF RECORD:

 

McCarthy Tétrault LLP

Toronto, Ontario                                                                      FOR APPLICANTS

 

Goodmans LLP

Toronto, Ontario                                                                      FOR RESPONDENT

                                                                                                APOTEX INC.


APPENDIX A


Zone de Texte: ®®Office de la Propriété             Canadian

Intellectuelle                            Intellectual Property

du Canada                               Office

Un organisme                         An agency of

d'Industrie Canada                 Industry Canada


CA 2261732 C 2001/07/24

(11)(21) 2 261 732

(12) BREVET CANADIEN CANADIAN PATENT

(13)Cî



(86)

 

 
Zone de Texte: (51) CI.Int.6/Int.Cl.6 C07H 17/08
(72)	Inv enteursll nventors: RILEY, David A, US; LIU, Jih-Hua, US
(73)	Propriétaire/Owner:
ABBOTT LABORATORIES, US
(74)	Agent DONAHUE ERNST & YOUNG LLP
Date de dépôt PCT/PCT Filing Date: 1997/07/28

(87) Date publication PCT/PCT Publication Date: 1 9 9 8/0210 5 (45) Date de délivrance/Issue Date: 2001/07/24

(85)             Entrée phase nationale/National Entry: 1999/01/20

(86)             demande PCT/PCT Application No.: US 97/13166

(87)             N° publication PCT/PCT Publication No.: WO 98/04574

(30) Priorités/Priorities: 1996/07/29 (08/681,695) US; 1997/07/25 (08/900,271) US



(54) Titre : PREPARATION DE LA FORME CRISTALLINE II DE LA CLARITHROMYCINE (54) Title: PREPARATION OF CRYSTAL FORM II OF CLARITHROMYCIN

(57) Abrégé/Abstract

The present invention provides a, process for the preparation of 6-O-methylerythromycin A Form II comprising converting erythromycin A to 6-O-methylerythromycin A and treating the 6-O-methylerythromycin A with a number of common organic solvents or mixtures.of common organic solvents.


a~ii

C a n a d ' a b ~ " / / o p i c . g c . c a • Ottawa-Hull K1A 0C9 • h t t p : / / c i p o . g c . c a                                                         O P I C      CIP O

OPIC CIPO 191


CA 02261732 1999-01-20

.,.IIlo,-. PCT

WORLD INTELLECTUAL PROPERTY ORGANIZATION                 ~~~I~.

International Bureau

INTERNATIONAL APPLICATION PUBLISHED UNDER THE PATENT COOPERATION TREATY (PCT)


 

 
(51) International Patent Classification 6 :                                               (11) International Publication Number:               WO 98/04574

C07H 17/08                                                                Al

(43) International Publication Date:    5 February 1998 (05.02.98)

(21) International Application Number:             PGT/US97/13166 (81) Designated States: AU, BR, CA, CN, CZ, IL, JP, KR, MX, NZ, SG, TR, European patent (AT, BE, CH, DE, DK, ES,

(22)     International Filing Date:               28 July 1997 (28.07.97)                FI, FR, GB, GR, 1E, IT, LU, MC, NL, PT, SE).

(30) Priority Data:                                                                               Published

                      08/681,695                                           29 July 1996 (29.07.96)  US                With international search report.

       081900,271                                                         25 July 1997 (25.07.97)       US

 

 

(71) Applicant: ABBOTT LABORATORIES [US/US]; CHAD 03771AP6D-2, 100 Abbott Park Road, Abbott Park, IL 60064-3500 (US).

 

(72) Inventors: LIU, Jih-Hua; 31645 Rein Court, Green Oaks, IL 60048 (US). RILEY, David, A.; 5904 80th Place, Kenosha, WI 53142 (US).

 

(74) Agents: ANAND, Mona et al.; Abbott Laboratories, CHAD 0377/AP6D-2, 100 Abbott Park Road, Abbott Park, IL 60064-3500 (US).

(54) Title: PREPARATION OF CRYSTAL FORM 1I OF CLARITHROMYCIN (57) Abstract

 

The present invention provides a process for the preparation of 6-0-methylerythromycin A Form II comprising converting erythromycin A to 6-0-methylerythromycin A and treating the 6-O-methylerythromycin A with a number of common organic solvents or mixtures of common organic solvents.


Zone de Texte: 5WO 98104574                                                                                        ?CT/11S97113I66

PREPARATION OF CRYSTAL FORM II OF CLARITHROMYCIN

TTe i I Field

This invention relates to a compound having therapeutic utility and to a method for its preparation. More particularly, the present invention concerns a process for the direct isolation of 6-O-me thylerythromycin A crystal Form U.

$ac roupd of the 1IIyt•np on

6-O-methylerythromycin A (Qariduomycin. BIA.XIN) is a semisynthetic macrolide antibiotic of formula



Zone de Texte: oZone de Texte: o
o
Zone de Texte: 6-0-methyl eryfhPmrcil AZone de Texte: 15Zone de Texte:  Zone de Texte: taia              octi,

".,,, 5          ..,at




which exhibi s excellent antibacterial activity against gram-positive bacteria, some gram-negative bacteria, anaerobic bacteria, Mycoptarma, and Chian:14in. It is stable under acidic conditions and is efficacious when administered orally. Clarithromycin is a useful therapy for.

20 infections of the upper respiratory tract in children and adults

.

potis ÛORg a `'-'tee

FIGS. la, lb and le show, respectivelyl the powder X-ray diffraction strum, rhe infrared spectrum, and the differential scanning calorimetric (DSC) thermogram of 6-0-25 methylcry hromycin A Form. I.

FIGS. 2a, 2A and 2c show, respectively, the powder X-ray diffraction spectrum, the infrared spectrum, and the differential scanning calorimetric (DSC) thermogram of 6-0-methylerythromycin A Form U.


WO 98VO4514


-2‑


PCTIUS97/1a166


$urrtlnay of die lrtveptiop

We have discovered that 6-O-rnethylerythromyein A can exist in at least two distinct crystalline forms, which for the sake of identification arc designated "Form I" and "Form II". The crystal forms are identified by their infrared spectrum. differential scanning calorimetric

5 thermogram and powder x-ray diffraction pattern. Investigations in our laboratory have revealed that 6-0-methylerytlunmycin A when recrystallized from ethanol tcuuhydmfuran, isopropyl acetate, and isopropanol, or mixtures of ethanol. tes ahydrofuren, isopropyl acetate, or isopropanol with other common organic solvents result in exclusive forrnalion of Form I crystals, not identified hitherto before. 6-O-methyl erythromycin A Form i is disclosed in the

o        co-pending U.S. Patera 5,858,986, filed even-date an July 29, 19%.

Drugs currently on the market are formulated from the thermodynamically more stable Farm U. Therefore, preparation of the current commercial entity requires convening the Form I crystals to Form II. Typically this is done by heating the Form I crystals under vacuum at a temperature of greater than 80 °C. Therefore, a process for the preparation of 6-0‑

15 merhylerythramycir A Form A which does not require the high temperature treatment would result in substantial processing cost savings.

Although recrystallization from ethanol, tetrahydrofuran, isopropanol or isopropyl

acetate results in exclusive formation of Form I crystals, 6-O-methylerythromycmn A Form Il

can be isolated directly by using a number of other common organic solvents- or mixtures of 20 common organic solvents, thereby eliminating the additional conversion step.

Accordingly. the present invention provides a process for preparing 6-O‑

methyleryttuomycin A Form U comprising

(a)                           convening erythromycin A to 6-0-methylerythromycin A;

(b)                          treating the 6-O-methylerythromycin A prepared in step (a) with a solvent selected

xs from the group consisting of (i) an alkanol of from l to 5 varbon atoms, provided said alkanol is not ethanol or isopropanol. (ii) a hydrocarbon of from 5 to 12 carbon atoms, (iii) a ketone of from 3 to 12 carbon atoms, (iv) a carboxylic ester of from 3 to 12 carbon atoms, provided said carboxylic ester is not isopropyl acetate, (v) an ether of from 4 to 10 carbon atoms, (vi)

benzene, (vii) benzene substituted with one or more substituents selected from the group

so consisting of alkyl of front one to four carbon atoms, alkoxy of from one to four carbon atoms, nitro, and halogen, (viii) a polar aprotie solvent, (ix) a compound having the formula HNRIR2 wherein RI and R2 are independently selected from hydrogen and alkyl of one to four carbon atoms, provided that RI and R2 are not both hydrogen, (x) water and a second solvent selected from the group consisting of a water miscible organic solvent and a water miscible alkanol. (xi)

35 methanol and a second solvent selected from the gro.ip consisting of a hydrocarbon of from 5 to 12 carbon atoms, an alkanol of from 2 to 5 carbon atoms, a ketone of from 3 to 12 carbon atoms, a carboxylic ester of from 3 to 12 carbon atoms, an ether of from 4 to 10 carbon atoms,


Zone de Texte: -3 WO 96104574


FCTRJ 1I23ib6


benzene, and benzene substituted with one or more substiments selected from the group consisting of alkyl of from one to four carbon atoms, alkoxy of from one to four carbon atoms, nitro, and halogen, and (xii} a hydrocarbon of from 5 to 12 carbon atoms and a second solvent selected from the group consisting of a ketone of from 3 to 12 carbon atoms, a carboxylic ester of from 3 to 12 carbon atoms, an ether of from 4 to 10 carbon atoms, benzene, benzene substituted with one or more substituents selected from the group consisting of alkyl of from one to four carbon atoms, alkoxy of from one to four carbon atoms, nitro, and halogen, and a polar aprotic; and

(c) isolating the 6-0-methylerythrotnycin A Form R crystals.

to

n

6-O-methylerythromycin A is prepared by methylation of the 6-hydroxy group of erythromycin A. However, in addition to the 6 position, erythromycin A contains hydroxy groups at the 11, 12, 2' and 4" positions, and a nitrogen at 3' position, ail of which are

s potentially reactive with alkylaring agents. Therefore, itis necessary to protect the various reactive functionalities prior to alkylation of the 6-hydroxy group. Representative 6-0-methylerythromycin A preparations arc described in U.S Pat. Nos. 4,331,803, 4,670,549, 4,672,109 and 4.990,602 and European Patent Specification 260 938 )31 _ Following final removal of the protecting groups, the 6-0‑

2Q mt thylerythromyein A may exist as a solid, a semisolid, or a syrup containing residual solvents from the deprotectian reactions, inorganic salts, and other impurities. 6-0-methyletythromycin A Form A may be crystallized directly from the syrup or semisolid using the solvent systems described above. Alternatively, if the crude reaction product solidifies, the solid may be recrystallized from any of the solvent systems described above_ Pure 6-0‑

25 methylerythrorrtycin A Form U may also be obtained by recrystallizing Form I or mixtures of Form 1 and Form II from any of the solvent systems described above. The term "6-0-merbylerythromycin A" as used herein is meant to include 6-0-rnethylcryt romycin A Firm 1 or IT in any state of purity, or mixtures thereof.

The term "treating" refers 10 crystallizing or recrystallizing 6-0-methylcrythromycin A as defined above from any of the solvent systems described above.

The term "hydrocarbon" as used herein refers to straight chain or branched alkanes

having the formula C9H2».r.2. Hydrocarbons suitable for use in isolating 6-0‑

methyletythromycin A Form II crystals include hexane, beguile, octane and the like.

The term alkyl" refers to a monovalent group derived from a saaighr or branched chain 35 saturated hydrocarbon by the removal of a single hydrogen atom. AIky1 groups arc

exemplified by methyl. ethyl, n- and iso-propyl, n-, sec-, iso- and tent-butyl, and the like.


WO 98/04574                                                                                                     PCT/US97/13166 -4‑

The term "ketone" refers to a solvent of formula RC(0)R' where R and R' are straight or branched alkyl. Ketones suitable for use in isolating 6-0-methylerythromycin A Form II crystals include acetone, methyl ethyl ketone, 2-, and 3-pentanone, and the like.

The term "carboxylic ester" means a solvent of formula RCO2R' where R and R' are

straight or branched alkyl. Carboxylic esters suitable for use in isolating 6-0-methylerythromycin A Form II crystals include methyl acetate, ethyl acetate, isobutyl acetate, and the like.

The term "ether" means a solvent of formula ROR' where R and R' are straight or branched alkyl. Ethers suitable for use in isolating 6-O-methylerythromycin A Form II crystals 10    include ethyl ether, diisopropyl ether, methyl Cert-butyl ether, and the like.

The term "polar aprotic" refers to solvents which do not contain hydroxy groups but have a relatively high dipole moment. Polar aprotic solvents suitable for use in isolating 6-0-methylerythromycin A Form II crystals include acetonitrile, N,N-dimethylformamide (DMF), dimethyl sulfoxide (DMSO), 1,1-dimethoxyethane (DME), hexamethylphosphoric triamide

15 (RMPA), and the like.

The term "water miscible organic solvents" means organic solvents which are substantially miscible with water. Examples of water miscible organic solvents suitable for use in isolating 6-O-methylerythromycin A Form II crystals from water miscible organic solvent water mixtures include acetone, acetonitrile, N,N-dimethylformamide (DMF), dimethyl

20  sulfoxide (DMSO), tetrahydrofuran, dioxane, ethylene glycol diethyl ether, ethylene glycol dimethyl ether (glyme), and diethylene glycol dimethyl ether (diglyme).

The term "alkanol" refers to a hydrocarbon as defined above substituted with one or more hydroxy groups. Representative alkanols include methanol, propanol, isopropanol, butanol, isobutanol, ethylene glycol, and the like.

25  The term "water miscible alkanols" means an alkanol as defined above which is substantially miscible with water. Examples of water miscible alkanols suitable for use in isolating 6-O-methylerythromycin A Form II crystals from water miscible alkanol-water mixtures include methanol, ethanol, propanol, isopropanol, butanol, isobutanol and tert­butanol.

30   6-O-methylerythromycin A is prepared from erythromycin A by a variety of synthetic routes. In one method, erythromycin A is converted to 2'-0-3'-N-bis(benzyloxycarbonyl)-N-


Zone de Texte:  Zone de Texte: OBzWO 98/04574                                                                                          PCT/US97/13166



Zone de Texte:  demethylerythromycin A (I).                                                                    The 6-hydroxy group is then methylated by reaction with an alkylating agent such as bromomethane or iodomethane and a base. Removal of the benzoyl groups by catalytic hydrogenation and reductive methylation of the 3' N gives 6-0-methylerythromycin A. See U.S. Pat. No.

5     4,331,803.

An alternative synthetic route involves methylation of 6-O-methylerythromycin A-9‑

oxime. 6-O-methylerythromycin A-9-oxime is prepared by methods well known in the art

such as reaction of erythromycin A with hydroxylamine hydrochloride in the presence of base,

or by reaction with hydroxylamine in the presence of acid as described in US Pat. No.

10 5,274,085. Reaction of the oxime with RX wherein R is allyl or benzyl and X is halogen

results in formation of 2'-0,3'-N-diallyl or dibenzylerythromycin A-9-O-allyl or benzyloxime

halide. Methylation of this quarternary salt as described above, followed by elimination of the

R groups and deoxmimation gives 6-O-methylerythromycin A. See U.S. Pat. No. 4,670,549.

Methylation of 6-O-methylerythromycin A oxime derivatives of formula II,

R2    \ N... D3 OH , 2iw

RON

O

15                             i                                     wherein R is alkyl, alkenyl, substituted or

unsubstituted benzyl, oxyalkyl, or substituted phenylthioalkyl, R2 is benzoyl, and R3 is methyl or benzoyl, followed by deprotection, deoximation, and reductive methylation when R3 is benzoyl gives 6-O-methylerythromycin A. See U.S. Pat. Nos. 4,672,109.


WO 98/04574                                                                                                                                          PCTIUS97/13166 -6‑

A particularly useful preparation of 6-O-methylerythromycin A involves methylation of R2

R'ON~

o

the oxime derivative ID,                        III                                              wherein RI is alkenyl, substituted or unsubstituted benzyl, or alkoxyalkyl, R2 is substituted silyl, and R3 is R2 or H. Removal of the protecting groups and deoximation is then accomplished in a single step by

5 treatment with acid to give 6-O-methylerythromycin A. See European Patent Specification 260 938 B1 and U.S. Pat. No. 4,990,602.

A preferred route of 6-O-methylerythromycin A is outlined in Scheme 1. Erythromycin A, prepared by fermentation of Streptomyces erythreus is oximated to give oxime 4 wherein RI is alkoxyalkyl. The group RI may be introduced by reaction of erythromycin A with the

10 substituted hydroxylamine RIONH2, or by reaction of erythromycin A with hydroxylamine hydrochloride in the presence of base, or hydroxylamine in the presence of acid, followed by reaction with RIX. The two hydroxy groups are then protected simultaneously, in which R2 or R3 are the same, or sequentially in which R2 and R3 are different. Particularly useful protecting groups are substituted silyl groups such as trimethylsilyl, tert-butyldimethylsilyl,

15 tert-butyldiphenylsilyl and the like. The protecting groups are then removed and the compound is deoximated to produce 6-O-methylerythromycin A. The order of deprotection/deoximation is not critical. When the protecting groups are substituted silyl, deprotection and deoximation can be accomplished in a single step by treatment with acid, for example using formic acid or sodium hydrogen sulfite. See US. Pat. No. 4,990,602.


Zone de Texte: -7 WO 98/04574


PCTIUS97/13166


Zone de Texte: o
Erythromycin A
Zone de Texte: ProtectionZone de Texte: 	MethylationZone de Texte: OximationZone de Texte:  Zone de Texte: deprotectionZone de Texte:  Zone de Texte: VIZone de Texte:  Zone de Texte: 6-0-methylerythromycin AScheme 1



5                      The 6-O-methylerythromycin A prepared as described above is suspended in the

desired solvent and heated to about the reflux temperature of the solvent. Heating is then

continued and the suspension is stirred for an amount of time sufficient to dissolve most of the

solid, generally about 10 minutes to 2 hours. The suspension is then filtered hot. If

necessary, the filtrate may be heated to at or about the reflux temperature of the solvent to form to    a clear solution. The filtrate is then slowly cooled to ambient temperature with optional further

cooling in an ice-water bath. For purposes of this specification, ambient temperature is from

about 20 to about 25 °C.


WO 98/04574                                                                                                                          PCT/US97/13166 -8‑

6-O-methylerythromycin A crystal Form II is isolated by filtration and dried in a vacuum oven at a temperature of between ambient temperature and about 50 °C, and a pressure of between about 2 inches of mercury and atmospheric pressure to remove any remaining solvent.

When 6-O-methylerythromycin A is treated with a water miscible organic solvent and

s water or a water miscible alkanol and water, a suspension of 6-O-methylerythromycin A in the organic solvent or alkanol is heated to reflux and hot filtered. If necessary, the filtrate is heated at about the reflux temperature of the solvent until a clear solution is obtained. The clear solution is then mixed with water and cooled to ambient temperature with optional further cooling in an ice bath. The upper limit on the amount of water occurs when the mixture

t o separates into two liquid phases. A preferred ratio is about 1:1 parts by volume of water. After cooling, 6-O-methylerythromycin A crystal Form II is isolated by filtration and dried as described above. A preferred water miscible organic solvent is tetrahydrofuran. Preferred water miscible alkanols include methanol, ethanol, propanol and isopropanol.

In another aspect of the present invention, 6-O-methylerythromycin A is treated with

15 mixtures of methanol and a second solvent. In this case, the second solvent may include solvents such as ethanol, isopropanol, tetrahydrofuran or isopropyl acetate which normally result in formation of Form I crystals. Because the drug may have comparable solubilities in methanol and the second solvent, the amount of methanol must be carefully controlled to ensure maximum recovery. Preferred amounts of methanol are from about 1:3 to about 1:1

20 parts by volume. An especially preferred ratio is about 1:1 parts by volume of methanol In accordance with this aspect of the invention, a suspension of 6-O-methylerythromycin A in the second solvent is heated to reflux and hot filtered. If necessary, the filtrate is heated at about the reflux temperature of the second solvent until a clear solution is obtained. The hot solution is then mixed with methanol and cooled to ambient temperature with optional further cooling in

25 an ice bath. Alternatively, when

6-O-methylerythromycin A has comparable solubility in both the second solvent and methanol, the second solvent and methanol are premixed in a ratio of about 1:1 parts by volume and the drug is suspended in a the solvent mixture, followed by heating, filtration, and cooling as described above. After cooling, 6-O-methylerythromycin A crystal Form II is isolated by

3o filtration and dried as described above.

In accordance with the aspects of this invention wherein 6-O-methylerythromycin A is treated with hydrocarbon-second solvent mixtures, 6-O-methylerythromycin A is suspended in the desired second solvent and heated to about the reflux temperature of the second solvent. The suspension is then heated and stirred for an amount of time sufficient to dissolve most of

35 the solid, generally about 10 minutes to 2 hours. The suspension is then filtered hot. The filtrate may be heated to reflux to form a clear solution if necessary. A hydrocarbon solvent is then added to the hot filtrate and the mixture is cooled slowly to ambient temperature with


WO 98/04574                                                                                                     PCT/US97/13166 -9‑

optional further cooling in an ice bath. After cooling, 6-O-methylerythromycin A crystal Form II is isolated by filtration and dried as described above. The amount of hydrocarbon solvent added is dependent on the solubility of the drug in the second solvent and the hydrocarbon solvent, and can be readily determined by one of ordinary skill in the an. Typical ratios fall in

5 the range of about 1:10 to about 1:1 parts by volume of hydrocarbon solvent.

In a preferred embodiment, 6-O-methylerythromycin A crystal Form II is isolated by treating 6-0-methylerythromycin A with a solvent selected from the group consisting of acetone, heptane, toluene, methyl tert-butyl ether, N,N-dimethylformamide, ethyl acetate, xylene, ethyl ether, amyl acetate, diisopropyl ether, and isopropyl butyrate.

to     In a more preferred embodiment, 6-O-methylerythromycin A crystal Form II is isolated by treating 6-O-methylerythromycin A with water and a solvent selected from the group . consisting of a water miscible organic solvent and a water miscible alkanol. An especially preferred water miscible organic solvent is tetrahydrofuran. Especially preferred water miscible alkanols are methanol, ethanol, propanol, and isopropanol.

15  When water is replaced with methanol in solvent mixtures, drying times are shortened or drying can be accomplished at a lower temperature. Therefore, in a still more preferred embodiment, 6-O-methylerythromycin A crystal Form II is isolated by treating 6-0-methylerythromycin A with a solvent comprising methanol and a second solvent selected from the group consisting of a hydrocarbon of from 5 to 12 carbon atoms, an alkanol of from 2 to 5

20 carbon atoms, a ketone of from 3 to 12 carbon atoms, a carboxylic ester of from 3 to 12 carbon atoms, an ether of from 4 to 10 carbon atoms, benzene, and benzene substituted with one or more substituents selected from the group consisting of alkyl of from one to four carbon atoms, alkoxy of from one to four carbon atoms, nitro, and halogen. Preferred solvents according to this embodiment are methanol and alkanols of from 2 to 5 carbon atoms, and

25 methanol and carboxylic esters of from 3 to 12 carbon atoms. Especially preferred solvents are methanol-ethanol and methanol-isopropyl acetate.

In the most preferred embodiment of the present invention, 6-O-methylerythromycin A crystal Form II is isolated by treating 6-O-methylerythromycin A with a solvent having the formula F R1R2 wherein RI and R2 are independently selected from hydrogen and alkyl of

30 one to four carbon atoms, provided that RI and R2 are not both hydrogen. Alkyl and dialkylamines are preferred because 6-O-methylerythromycin A is substantially soluble in these solvents and the solvents are readily evaporated, resulting in lower solvent and energy costs. The most preferred solvent is isopropylamine.

The foregoing may be better understood by reference to the following examples which 35 are provided for illustration and not intended to limit the scope of the inventive concept.


Zone de Texte: 30WO 98/04574                                                                                                                                        PCT/US97/13166 -10‑

Reference Example

6-O-methylerythromycin A was prepared from erythromycin A by oximation of the C-9 carbonyl, protection of the C-2' and C-4" hydroxy groups, methylation of the C-6 hydroxy group, deoximation and removal of the protecting groups, and recrystallization from ethanol

5 according to the method of U.S. Pat. No. 4,990,602 to give 6-0-methylerythromycin A Form I. The Form I crystals (0.40 g) were placed in a vial and heated in the vacuum oven (4-9 in Hg, 100-110 °C) for 18 hours to give 6-O-methylerythromycin A Form II crystals.

6-O-methylerythromycin A Form II is characterized by its infrared spectrum, the differential scanning calorimetric (DSC) thermogram and the powder x-ray diffraction pattern.

10 The differential scanning calorimetric thermogram is obtained by methods known in the art and is illustrated in Figure 2c. It can be seen from Figure 2c that 6-O-methylerythromycin A Form II melts at 223.4 °C. In Figure 2c, an endothermic peak at 283.3 °C, which may be due to decomposition, can also be seen. After the DSC scan, the color of the sample was black.

The powder x-ray diffraction pattern for 6-O-methylerythromycin A Form II is

15 illustrated in Figure 2a. The powder x-ray diffraction pattern is obtained by methods known in the art using Nicolet X-ray Diffractometer. The peaks (with an intensity greater than 15% of the largest peak) generated from the powder x-ray diffraction pattern are compared with the corresponding peaks obtained from the calculated powder diffraction pattern. The calculated powder diffraction pattern is derived from the single x-ray structure, which is obtained by the

20 methods known in the art using Rigaku AFC5R Diffractometer. The calculated powder pattern is used to confirm that the peaks in the experimentally observed x-ray pattern are due to clarithromycin Form II.

Table I below sets forth the 2-theta positions of the selected peaks (with an intensity greater than 15% of the largest peak). The standard positions in the Table I represent the peak

25 positions from the experimental powder pattern rounded to 2 decimal places. One peak in the experimental powder pattern (15.280 2-theta) does not have a corresponding peak in the calculated powder pattern and, therefore, its position is not included in the listing of standard positions.

 

 
Table 1

Powder Diffraction Peak Positions (degrees 20)

x-rayl                  Experimental           Difference                    Standard Positions
+/- 0.20

8.596                         8.393                    0.203                           8.39

9.528                         9.331                    0.197                           9.33

10.905                     10.716__________ 0.189____________ 10.72

11.515                     11.334                    0.181                         11.33

11.926                     11.739                    0.187                         11.74


WO 98/04574                                                                                         PCT/US97/13166

Table j

Powder Diffraction Peak Positions (degrees 20) continued

Zone de Texte: 	x-rayl	Experimental	Difference	Standard Positions
+/- 0.20
	12.425	12.237	0.188	12.24
	13.813	13.624	0.189	13.62
	14.161	13.968	0.193	13.97
	15.231	15.030	0.201	15.03
'`'..,`	15.280~.<r f...	:: _.	A...::
Zone de Texte: 16.566 16.978 17.353 17.605 18.160 18.418 19.123 19.965 20.532 22.277Zone de Texte: 	16.797	0.181
	17.162	0.191
	17.383	0.222
	17.969	0.191
	18.201	0.217
	18.906	0.217
	19.749	0.216
	20.337	0.195
	22.075	0.202
Zone de Texte: 	24.974	24.788	0.186 x-rayl: calculated powder x-ray diffraction patternZone de Texte: 16.372	0.194Zone de Texte: 16.37 16.80 17.16 17.38 17.97 18.20 18.91 19.75 20.34 20.08 24.795 The standard 2-theta angle position from the Table 1 above are 8.39, 9.33, 10.72, 11.33, 11.74, 12.24, 13.62, 13.97, 15.03, 16.37, 16.80, 17.16, 17.38, 17.97, 18.20, 18.91, 19.75, 20.34, 20.08, and 24.79.

In comparison, the 2-theta angle positions in the powder x-ray diffraction pattern of 6-O-methylerythromycin A Form I illustrated in Figure la are 8.52°±-0.2, 9.48°±0.2,

10     10.84°±0.2, 11.48°±0.2, 11.88°±0.2, 12.36°±0.2, 13.72°±0.2, 14.12°±0.2, 15.16°±0.2,
16.48°±0.2, 16,92°±0.2, 17.32°±0.2, 18.08°±0.2, 18.40°±0.2,19.04°±0.2,
19.88°±0.2, and 20.48°±0.2.

 

Example 1

15                                                      Recrystallization from Acetone

A suspension of 6-0-methylerythromycin A (30 g) in acetone (200 mL) was heated at reflux for 15 minutes. The hot solution was filtered and 5.53 g of solid was removed. The filter flask was rinsed with acetone (5 mL). The combined filtrate and rinse was warmed to


WO 98/04574                                                                                                                                            PCT/US97/13166 -12

reflux and acetone (45 mL) was added to dissolve all remaining solid. The solution was cooled to ambient temperature and then in an ice-water bath. The resulting solid was filtered and dried overnight in a vacuum oven (4-9 in Hg, 40-45 °C) to give 6-O-methylerythromycin A Form II (17.8 g).

s

Example 2

Recrystallization from Heptane

A suspension of 6-O-methylerythromycin A (10 g) in heptane (1000 mL) was heated at

reflux (98 °C) for 1.5 hours. The hot solution was filtered and 1.91 g of solid was removed. to The filtrate was warmed to reflux and heated for 35 minutes. The clear solution was cooled to

ambient temperature and then in an ice-water bath. The resulting solid was filtered and dried

overnight in a vacuum oven (4-9 in Hg, 40-45 °C) to give 6-O-methylerythromycin A Form II

(5.7 g).

 

is                                                                   Example 3

Recrystallization from Toluene

A suspension of 6-O-methylerythromycin A (30 g) in toluene (100 mL) was heated at reflux (110-112 °C) for 1.5 hours. The hot solution was filtered and the filter flask was rinsed with toluene (10 mL). The combined filtrate and rinse was warmed to reflux (110 °C) and

20      heated for 35 minutes. The solution was cooled to ambient temperature and then in an ice-water bath. The resulting solid was filtered and dried overnight in a vacuum oven (4-9 in Hg, 40-45 °C) to give 6-O-methylerythromycin A Form II (5.7 g).

 

Example 4

25                                           Recrystallization from Methyl tert-Butyl Ether

A suspension of 6-O-methylerythromycin A (10 g) in methyl tert-butyl ether (200 mL)

was heated at reflux (55 °C) for 15 minutes. The hot solution was filtered and 2.6 g of solid

was removed. The filtrate was warmed to reflux and methyl tert-butyl ether (70 mL) was

added to dissolve the remaining solid. The solution was cooled to ambient temperature and 30 then in an ice-water bath. The resulting solid was filtered and dried overnight in a vacuum

oven (4-9 in Hg, 40-45 °C) to. give 6-O-methylerythromycin A Form II (4.6 g).

 

Example 5

Recrystallization from N,N-Dimethylformamide

35       A suspension of 6-O-methylerythromycin A (20 g) in N,N-dimethylformamide (200 mL) was heated atreflux (153 °C) for 15 minutes. The hot solution was filtered and the filtrate was warmed to reflux. The clear solution was cooled slowly to ambient temperature and


WO 98/04574                                                                                            PCTIUS97/13166

-13‑

 

stirred for four days. The resulting solid was filtered and dried overnight in a vacuum oven (4-9 in Hg, 40-45 °C) to give 6-O-methylerythromycin A Form II (7.4 g).

 

Example 6

5                         Recrystallization from Ethyl Acetate

A suspension of 6-O-methylerythromycin A (15 g) in ethyl acetate (100 mL) was heated at reflux (77 °C) for 30 minutes. The hot solution was filtered and the filtrate was warmed to reflux. To the cloudy solution was added ethyl acetate (15 mL). The resulting clear solution was cooled to ambient temperature overnight. The resulting solid was filtered and

1 o dried in a vacuum oven (4-9 in Hg, 40-45 °C) for 91 hours to give 6-O-methylerythromycin A Form II (8.7 g).

 

Example 7

Recrystallization from Xylene

15     A suspension of 6-O-methylerythromycin A (35 g) in xylene (105 mL) was heated to 140 °C at which point a clear solution was obtained. Additional 6-O-methylerythromycin A (5.0 g) was added and the hot solution was filtered to remove a trace amount of insoluble material. The filter flask was rinsed with xylene (5 mL) and the combined filtrate and rinse were heated at reflux for 15 minutes. The solution was cooled to ambient temperature and then

20 in an ice water bath. The resulting solid was filtered and dried overnight in a vacuum oven (4-9 in Hg, 40-45 °C) to give 6-O-methylerythromycin A Form I1(29 g).

 

Example 8

Recrystallization from Isopropanol-Water

25   A suspension of 6-O-methylerythromycin A (20 g) and isopropanol (100 mL) was heated to reflux (82 °C). The hot solution was filtered and 1.16 g of solid was removed. The filtrate was diluted with isopropanol (20 mL) and was again warmed to reflux. The hot suspension was filtered and 3.5 g of 6-O-methylerythromycin A was collected. To the filtrated was added isopropanol (50 mL) and the mixture was heated at reflux until a clear solution was

30 obtained. To the clear solution was added water (100 mL) and the solution was cooled in an ice bath. The resulting solid was filtered and dried overnight in a vacuum oven (4-9 in Hg, 40-45 °C) to give 6-O-methylerythromycin A Form II (9.5 g).

 

Example 9

35                     Recrystallization from Tetrahydrofuran-Water

A suspension of 6-O-methylerythromycin A (30 g) in THF (100 mL) was heated at reflux (66.5 °C) for 20 minutes. The hot solution was filtered to remove a trace amount of


WO 98/04574                                                                                            PCT/1JS97/13166

-14‑

insoluble material. The filtrate was warmed to (66.5 °C) and water (100 mL) was added at which point a solid formed. The suspension was cooled to ambient temperature and filtered. The solid was dried in a vacuum oven (4-9 in Hg, 40-45 °C) for four days to give 6-0-methylerythromycin A Form II (24 g).

5

Example 10

Recrystallization from Ethanol-Water

A suspension of 6-O-methylerythromycin A (20 g) in ethanol (200 mL) was heated to

78 °C. The hot solution was filtered and 12.6 g of solid was removed. The filtrate was t o warmed to reflux and water (200 mL) was added. The mixture was cooled to ambient

temperature and filtered. The solid was dried in a vacuum oven (4-9 in Hg, 40-45 °C) to give

6-O-methylerythromycin A Form 11 (8.8 g).

 

Example 11

15                              Recrystallization from Ethyl Ether

A suspension of 6-O-methylerythromycin A (5.0 g) in ethyl ether (150 mL) was

warmed to reflux. The insoluble solids were removed by filtration and the filtrate was cooled

to ambient temperature. A precipitate slowly appeared and was isolated by filtration to give 6‑

O-methylerythromycin A Form II (0.8 g). The filtrate was stirred overnight at ambient 20 temperature to give an additional 0.65 g of 6-0-methylerythromycin A Form II.

 

Example 12

Recrystallization from Amyl Acetate

A suspension of 6-O-methylerythromycin A in amyl acetate (100 mL) was warmed 93

25 °C at which point the solution was almost clear. A trace amount of insoluble solids were removed by filtration of the hot solution and the filtrate was cooled to ambient temperature. A precipitate slowly appeared and was isolated by filtration to give 6-O-methylerythromycin A Form II (6.9 g) after drying overnight at ambient temperature (4-9 in Hg).

 

30                                     Example 13

Recrystallization from Isopropyl Acetate-Methanol

A suspension of 6-0-methylerythromycin A (12 g) in isopropyl acetate (100 mL) was warmed to reflux. The hot solution was filtered and the filtrate was transferred to another vessel. The filter flask was rinsed with isopropyl acetate (10 mL) and the combined filtrate and

35 rinse were warmed to reflux. Methanol (100 mL) was added and the clear solution was cooled slowly to ambient temperature during which time a precipitate formed. After three hours at


WO 98/04574                                                                                                                        PCT/US97/13166

-15‑

ambient temperature the precipitate was collected by filtration. The solid was dried in a vacuum oven (4-9 in Hg, 40-45 °C) to give 6-O-methylerythromycin A Form II (6.8 g).

Example 14

 

5                            Recrystallization from Diisopropyl Ether

 

A suspension of 6-O-methylerythromycin A (3.0 g) and diisopropyl ether (150 mL) was warmed to reflux. The hot solution was filtered rapidly and the filtrate was cooled to ambient temperature over two hours. The resulting solid was collected by filtration and dried in the vacuum oven (7-9 in Hg, 45-50 °C) to give 6-0-methylerythromycin A Form 11 (0.27 g).

 

to

 

Example 15

 

Recrystallization from Isopropyl Butyrate

 

A suspension of 6-O-methylerythromycin A (5.0 g) in isopropyl butyrate (100 mL) was warmed to 90 °C. The resulting clear solution was cooled to ambient temperature over

 

15 three hours and then was cooled for 30 minutes in an ice-water bath. The resulting solid was collected by filtration and dried in the vacuum oven (2-4 in Hg, 45-50 °C) to give 6-0-methylerythromycin A Form II (2.8 g).

Example 16

 

20                             Recrystallization from Isopropylamine

 

A clear solution resulting from addition of 6-O-methylerythromycin A (8.0 g) to isopropylamine (50 mL) was stirred overnight at ambient temperature. When no precipitate formed, and additional 10.4 g of 6-0-methylerythromycin A was added. The clear solution was stirred overnight at ambient temperature during which time a precipitate formed. The solid

 

25 was collected by filtration and dried in the vacuum oven (2-4 in Hg, 45-50 °C) to give 6-0-methylerythromycin A Form II (16.2 g).

Example 17

 

Recrystallization from Methanol-Ethanol

 

30                            A mixture of 6-O-methylerythromycin A (15 g).ethanol (100         mL) and methanol (100 mL) was warmed to 69 °C and stirred for 30 minutes. The hot solution was filtered and the filtrate was transferred to another vessel. The clear solution was cooled to ambient temperature over two hours and then was stirred for 30 minutes in an ice-water bath. The resulting solid was collected by filtration and dried in the vacuum oven (2-4 in Hg, 45-50 °C) to give 6-0‑

 

35 methylerythromycin A Form II (7.1 g).


WO 98/04574                                                                                             PCT/US97/13166 -16‑

The foregoing examples are presented for purposes of illustration and are not intended to limit the scope of the invention. Variations and changes which are obvious to one skilled in the art are intended to be within the scope and nature of the invention as defined in the appended claims.


WE CLAIM:

1.          A method of preparing 6-O-methylerythromycin A crystal Form II comprising:

(a)                         converting erythromycin A to 6-0-methylerythromycin A;

(b)                         treating the 6-0-methylerythromycin A prepared in step a with a solvent

5                              selected from the group consisting of:

(i)                  an alkanol of from .1 to 5 carbon atoms, provided said alkanol is not ethanol or isopropanol,

(ii)                a hydrocarbon of from 5 to 12 carbon atoms,

(iii)               a ketone of from 3 to 12 carbon atoms,

10                            (iv)       a carboxylic ester of from 3 to 12 carbon atoms, provided said carboxylic ester is not isopropyl acetate,

(v)             an ether of from 4 to 10 carbon atoms,

(vi)            benzene,

(vii)          benzene substituted with one or more substituents selected from the 15         group consisting of:

alkyl of from one to four carbon atoms,

alkoxy of from one to four carbon atoms,

nitro, and

halogen,

20                              (viii) a polar aprotic solvent,

(ix)            a compound having the formula HNR I R2 wherein RI and R2 are independently selected from hydrogen and alkyl of one to four

carbon atoms, provided that R1 and R2 are not bôth hydrogen,

(x)              water and a water miscible solvent selected from the group

25                                        consisting of:

a water miscible organic solvent, and

a water miscible alkanol,

(xi)            methanol- and a second solvent selected from the group consisting

of:

30                                                     a hydrocarbon of from 5 to 12 carbon atoms,


an alkanol of from 2 to 5 carbon atoms,

a ketone of from 3 to 12 carbon atoms,

a carboxylic ester of from 3 to 12 carbon atoms,

an ether of from 4 to 10 carbon atoms,

5                                                   benzene, and

benzene substituted with one or more substituents selected from the group consisting of :

alkyl of from one to four carbon atoms,

alkoxy of from one to four carbon atoms,

10                                                               nitro, and

halogen, and

a hydrocarbon of from 5 to 12 carbon atoms and a second solvent selected from the group consisting of:

a ketone of from 3 to 12 carbon atoms,

15                                                   a carboxylic ester of from 3 to 12 carbon atoms, an ether of from 4 to 10 carbon atoms,

benzene,

benzene substituted with one or more substituents selected from the group consisting of:

20                                                             alkyl of from one to four carbon atoms, alkoxy of from one to four carbon atoms,

nitro, and

halogen, and

a polar aprotic; and

25                  (c)       isolating the 6-O-methylerythromycin A crystal Form II crystals.

 

2.         The process of Claim 1 wherein step (a) comprises

(i)                  converting erythromycin A into an erythromycin A 9-oxime derivative;

(ii)                protecting the 2' and 4" hydroxy groups of the erythromycin A 9-oxime

30                            derivative prepared in step (i);


(iii)               Zone de Texte: 20reacting the product of step (ii) with a methylating agent; and

(iv)              deprotecting and deoximating the product of step (iii) to form 6-0-methylerythromycin A.

 

5         3.       A method according to Claim 2 wherein the solvent comprises water and a water miscible organic solvent or a water miscible alkanol.

 

4.                   A method according to Claim 3 wherein the solvent comprises water and a water miscible organic solvent or a water miscible alkanol in a ratio of about 1:1 parts 10         by volume.

 

5.                   A method according to Claim 4 wherein the solvent comprises water and a water miscible organic solvent.

 

15       6.       A method of preparing 6-O-methylerythromycin A crystal Form Il according to Claim 5 wherein the water miscible organic solvent is tetrahydrofuran.

 

  7.       A method according to Claim 4 wherein the solvent comprises water and a water miscible alkanol.

8.                   A method according to Claim 7 wherein the water miscible alkanol is selected from the group consisting of methanol, ethanol, and isopropanol.

 

9.                   A method according to Claim 2 wherein the solvent comprises methanol and a

25                   second solvent selected from the group consisting of:

a hydrocarbon of from 5 to 12 carbon atoms,

an alkanol of from 2 to 5 carbon atoms,

a ketone of from 3 to 12 carbon atoms,

a carboxylic ester of from 3 to 12 carbon atoms,

30                             an ether of from 4 to 10 carbon atoms,


Zone de Texte: 5 10benzene, or

benzene substituted with one of more substituents selected from the group consisting of

alkyl of from one to four carbon atoms,

alkoxy of from one to four carbon atoms,

nitro, and

halogen.

 

           10.     A method according to Claim 9 wherein the solvent comprises methanol and an alkanol of from 2 to 5 carbon atoms, or a carboxylic ester of from 3 to 12 carbon atoms.

 

11.                                    A method according to Claim 10 wherein the solvent comprises methanol and an alkanol of from 2 to 5 carbon atoms, or a carboxylic ester of from 3 to 12 carbon 15      atoms in a ratio of about 1:1 parts by volume.

 

12.                 A method according to Claim 11 wherein the solvent comprises methanol and a second solvent selected from ethanol and isopropyl acetate.

 

20        13.     A method according to Claim 2 wherein the solvent comprises a compound of formula HNR1R2 wherein R1 and R2 are independently selected from hydrogen

and alkyl of from one to four carbon atoms, provided that R1 and R2 are not both hydrogen.

 

25        14.     A method according to Claim 13 wherein the solvent is isopropylamine.

 

15.     A method according to Claim 2 wherein the solvent is selected from the group consisting of:

acetone, 30          heptane,


Zone de Texte: 25toluene,

methyl tert-butyl ether, N, N-dimethylformamide,

ethyl acetate,

5                  xylene,

isopropanol-water, tetrahydrofuran-water, ethanol-water,

ethyl ether,

10                  amyl acetate,

isopropyl acetate-methanol,

diisopropyl ether, isopropyl butyrate, isopropylamine, and

15                  methanol-ethanol.

 

   16.     6-O-methylerythromycin A crystal Form II prepared according to the process of Claim 2.

 

20         17.     6-O-methylerythromycin A crystal Form II prepared according to the process of Claim 3.

 

18.     6-O-methylerythromycin A crystal Form H prepared according to the process of Claim 9.

19.               6-O-methylerythromycin A crystal Form II prepared according to the process of Claim 13.

20.               6-O-methylerythromycin A crystal Form II prepared according to the process of

30                   Claim 15.


21.        6-O-methylerythromycin A crystal Form II prepared according to the process of Claim 1.



Zone de Texte:  Zone de Texte:  Zone de Texte: -o
_ o o
- ri
- o o
- rh
o
_ o
o
Zone de Texte:  a...Zone de Texte:  Zone de Texte:  Zone de Texte: N- o

_ o co

0

0

 

-

0

- o _ o

cv

- o o

o

 

 

W


Zone de Texte:  Zone de Texte:  
o
o

o


Zone de Texte: PGT/US97113166'CA 02261732 1999-01-20 WO 98/04574

4/6

0 M

O H Cl N LLI

N


Zone de Texte: 0 o co
0
0 O
0 N
Zone de Texte:  Zone de Texte: O
[r r- 
Zone de Texte: O OZone de Texte: (OZone de Texte: O O OZone de Texte: N


Zone de Texte:  
0 0
Zone de Texte:  O O

 



[1] The parties have confirmed that these Reasons now made public contain no confidential information.

 You are being directed to the most recent version of the statute which may not be the version considered at the time of the judgment.