Federal Court Decisions

Decision Information

Decision Content


Date: 20091001

Docket: T-1321-97

Citation: 2009 FC 991

Ottawa, Ontario, October 1, 2009

PRESENT:     The Honourable Justice Johanne Gauthier

 

BETWEEN:

ELI LILLY AND COMPANY

and ELI LILLY CANADA INC.

Plaintiffs

and

 

APOTEX INC.

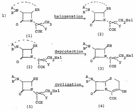
Defendant

 

AND BETWEEN:

 

APOTEX INC.

Plaintiff by Counterclaim

(Defendant)

- and -

 

ELI LILLY AND COMPANY

and ELI LILLY CANADA INC.

 

Defendants by Counterclaim

(Plaintiffs)

 

and

 

SHIONOGI & CO. LTD.

 

Defendant by Counterclaim

 

REASONS FOR JUDGMENT AND JUDGMENT

[1]               The plaintiffs in this action claim that their rights under eight Canadian patents were infringed when Apotex Inc. (Apotex) imported bulk cefaclor into Canada for use in the various Apo-cefaclor dosage forms they sold after January, 1997. The plaintiff Eli Lilly and Company (Lilly U.S.) is the owner of these eight patents. Eli Lilly Canada Inc. (Lilly Canada) is a wholly owned subsidiary of Lilly U.S. incorporated under the laws of Ontario and it alleges that it has rights under the patentee, which is contested by Apotex. These plaintiffs will collectively be referred to as “Lilly”.

 

[2]               Lilly sold dosage forms of cefaclor in Canada under the registered name of Ceclor®. This medicine was put on the market in 1980.[1]

 

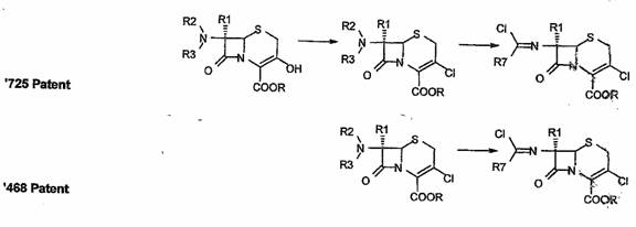
[3]               The following four patents, all filed on February 1, 1979, were issued to, and were continuously owned by, Lilly U.S. (the Lilly patents):

a.       Canadian Letters Patent No. 1,133,007 (“the ‘007 Patent”), issued October 5, 1982, expired October 5, 1999;

b.      Canadian Letters Patent No. 1,146,536 (“the ‘536 Patent”), issued May 17, 1983, expired May 17, 2000;

c.       Canadian Letters Patent No. 1,133,468 (“the ‘468 Patent”), issued October 12, 1982, expired October 12, 1999; and,

d.      Canadian Letters Patent No. 1,150,725 (“the ‘725 Patent”), issued July 26, 1983, expired July 26, 2000.[2]

 

The patents referred to in paras. b, c and d will collectively be referred to as “the Lilly process patents”.

 

[4]               The other four relevant patents were issued to Shionogi & Co. Ltd., a Japanese pharmaceutical company, (Shionogi) on the dates indicated below:

a.       Canadian Letters Patent No. 1,095,026 (“the ‘026 Patent”), issued February 3, 1981, expired February 3, 1998;

b.      Canadian Letters Patent No. 1,132,547 (“the ‘547 Patent”), issued September 28, 1982, expired September 28, 1999;

c.       Canadian Letters Patent No. 1,136,132 (“the ‘132 Patent”), issued November 23, 1982, expired November 23, 1999; and,

d.      Canadian Letters Patent No. 1,144,924 (“the ‘924 Patent”), issued April 19, 1983, expired April 19, 2000.[3]

 

While all have the same filing date of February, 1976 (when the original application was filed in Canada), three of these patents resulted from the filing of divisional applications, which will be further discussed below. These patents will be collectively referred to as the “Shionogi patents”. Lilly U.S. became the owner of the Shionogi patents by way of assignment dated April 27, 1995 which was registered in Canada on August 24, 1995.

 

[5]               Although this action was instituted nearly twelve years ago, the dispute between the parties as to whether or not the sale by Apotex of a generic version of Ceclor® in Canada would infringe the patents at issue started earlier, with the filing of an application under the Patented Medicines (Notice of Compliance) Regulations, SOR/93-133 (PM (NOC) Regulations) by Lilly and Shionogi on June 23, 1993.[4] Earlier, the issue had also been raised when Apotex sought a compulsory licence with respect to cefaclor and certain Lilly patents related thereto in 1986.

 

[6]               Despite the fact that for the most part of this period, the parties have been intensively litigating the matter, neither the discovery process nor any other steps taken in this long period of time succeeded in significantly reducing the number of issues involved or to focus the debate at trial.

 

[7]               Given the amount of evidence filed and the many issues involved, the parties’ counsel made a real effort in attempting to consign all their arguments in writing. This entails that they filed nearly one thousand pages of submissions (including those filed with respect to the counterclaim), not counting the various submissions filed in respect of a number of objections which had to be taken under reserve to avoid delaying the trial. The Court thanks each counsel involved for their effort in reducing the number of those objections that remained outstanding in the end.

 

[8]               Despite all this goodwill, the Court was left with a daunting task. This is only partially reflected in these reasons which are, unfortunately, too long despite the fact that the Court could not really do justice to all the issues raised. It was simply not possible or even desirable to refer to all the evidence and the hundreds of cases put forth by the parties.[5]

[9]               At the end of the process, one must wonder where the system failed for the Court is convinced that there has to be a better way to achieve the objectives set out in section 3 of the Federal Court Rules, SOR/98-106 (the Rules), which seeks to achieve the just, most expeditious and least expensive determination of every proceeding on its merits.

 

INDEX

 

      Heading                                                                                                        Para. No.

1. General Background                                                                                               10

 

2. The Evidence                                                                                                          16

 

3. Lilly Canada’s Lack of Standing                                                                              75

 

4. Patent Construction                                                                                                87

      4.1. Person Skilled in the Art                                                                              91

      4.2. Common General Knowledge (Principles)                                                  95

      4.3. The ‘007 Patent                                                                                          106

      4.4. The Lilly Process Patents                                                                           144

            4.4.1. The ‘536 Patent                                                                                   145

            4.4.2. The ‘725 Patent                                                                                   164

            4.4.3. The ‘468 Patent                                                                                   170

      4.5. The Shionogi Patents                                                                                  175

            4.5.1. Common Disclosure                                                                            177

            4.5.2. The ‘547 Patent                                                                                   184

            4.5.3. The ‘924 Patent                                                                                   188

            4.5.4. The ‘132 Patent                                                                                   192

            4.5.5. The ‘026 Patent                                                                                   199

 

5. Infringement 

      5.1. Burden                                                                                                         211

      5.2. Statutory and Common Law Presumptions                                               212

      5.3. Lupin Process                                                                                             224

      5.4. Kyong Bo Process                                                                                       257

            5.4.1. Existence of a License                                                                          263

      5.5. Importation                                                                                                 270

      5.6. The Exception Under Subsection 55.2(1) of the Patent Act                        342

 

6. Invalidity       347

      6.1. Standard of Review and Burden of Proof                                                   348

 

7. Inherency and Lack of Subject Matter                                                                     

      7.1. Shionogi Patents                                                                                         371

      7.2. Lilly Patents                                                                                                380

 

8. Anticipation                                                                                                             

      8.1. The Legal Test                                                                                            391

      8.2. The ‘007 Patent                                                                                          399

      8.3. The Lilly Process Patents                                                                           409

      8.4. The Shionogi Patents                                                                                  411

 

9. Obviousness                                                                                                            

      9.1. The Legal Test                                                                                            412

      9.2. The ‘007 Patent (Claim 17)                                                                        426

            9.2.1. The Person Skilled in the Art                                                                428

            9.2.2. Relevant Common General Knowledge                                                429

            9.2.3. Rydon, Coe and Ramirez                                                                     432

            9.2.4. The Inventive Concept                                                                         438

            9.2.5. The Difference Between the Common General Knowledge and

                      the Above-mentioned Publications and the Inventive Concept               439

            9.2.6. Would these differences be obvious to the person skilled in

                      the art?                                                                                                441

      9.3. The Lilly Process Patents                                                                             

            9.3.1. Identify the Skilled Addressee                                                              476

            9.3.2. The Relevant Common General Knowledge                                         477

            9.3.3. The Dreux Article and Other Prior Art                                                 484

            9.3.4. The Inventive Concept                                                                         489

            9.3.5. The Differences between the Prior Art Including Common

                      General Knowledge and the Inventive Concept of the Claims                491

            9.3.6. Do these differences constitute steps which would have been

                      obvious or do they require any degree of invention?                              496

      9.4. The Shionogi Patents                                                                                  512

            9.4.1. The Person Skilled in the Art                                                                515

            9.4.2. Common General Knowledge                                                              516

            9.4.3. Contested Art                                                                                      532

                  9.4.3.1. Cocker                                                                                      533

                  9.4.3.2. Chauvette Application                                                              538

                  9.4.3.3. Kishi                                                                                          539

            9.4.4. The Inventive Concept                                                                         544

            9.4.5. The Differences between the Prior Art and the Inventive

                      Concept                                                                                                

                  9.4.5.1. The ‘547 Patent                                                                        547

                  9.4.5.2. The ‘924 Patent                                                                        549

                  9.4.5.3. The ‘132 Patent                                                                        552

                  9.4.5.4. The ‘026 Patent                                                                        554

            9.4.6. Are these differences inventive?                                                            557

 

10. Lack of Utility – Sound Prediction – Inoperability                                                 583

      10.1. The Lilly Patents                                                                                       585

      10.2. The Shionogi Patents                                                                                604

      10.3. Deficiency of Specification and Ambiguity                                               613

 

11. Remedies and Costs                                                                                              

      11.1. Disentitlement and Set-off                                                                        626

      11.2. Remedies                                                                                                   646

      11.3. Exemplary/Punitive Damages                                                                  657

      11.4. Interest                                                                                                      665

      11.5. Costs                                                                                                                        676

 

12. Apotex’s Counterclaim                                                                                        683

      12.1. Relevant Statutory Provisions                                                                  718

      12.2. The Framework of Inquiry into Apotex’s Counterclaim                          720

      12.3. Is Apotex’s Counterclaim Time-Barred?                                                  728

      12.4. Apotex’s Claim for Damages                                                                   754

      12.5. The Applicable Evidentiary Standard                                                       757

      12.6. Background                                                                                               771

      12.7. Apotex’s “But For” Scenarios with Respect to Causation                      793

            12.7.1. Scenarios 1 and 2: Apotex Obtains a Licence from

                        Shionogi or Lilly                                                                                 803

            12.7.2. Scenario 3: Apotex Practices the Shionogi Process and

                        is not sued                                                                                         835

            12.7.3. Scenarios 4 and 5: Apotex Practices the Shionogi and

                        Lilly Processes and is Sued by Shionogi and Lilly                                840

      12.8. Is there a loss resulting from the assignment under the most

               likely “but for” world scenario?                                                              842

      12.9. Increased Cost of Legal Bulk Cefaclor                                                     849

      12.10. Infringement Liability                                                                             853

            12.10.1. The Lilly Patents                                                                              855

            12.10.2. The Shionogi Patents                                                                       861

      12.11. Costs                                                                                                       882

 

1. General Background

[10]           It is not disputed that penicillin is the oldest of the β-lactam compounds, having first been discovered in 1928. Semi-synthetic penicillin came later. The β-lactam molecule per se is a small square molecule that is highly reactive, to which, in penicillin, a five-membered ring is attached, whereas in cephalosporin (which includes cefaclor) the β-lactam is attached to a six-membered ring containing sulfur. There are different types of β-lactam depending on their side-chain, such as penicillin V (Pen V) and penicillin G (Pen G).

 

[11]           Cephalosporins were first discovered in 1948. Semi-synthetic cephalosporins were prepared by altering the naturally produced compounds for greater anti-bacterial activity. Like penicillins, cephalosporins are bactericidal and exhibit similar modes of action. Cephalosporins are classified based on their generation. First generation cephalosporins, such as cephalexin (another Lilly product), have good activity against gram positive bacteria and more modest activity against gram negative. Second generation cephalosporins, such as cefaclor, have better activity against gram negative bacteria. Third generation cephalosporins, such as cephotaxim, ceftazidine and ceftriaxone, were less active than the first generation but have good activity against Enterobacteriaceae.

 

[12]           Shortly after it was introduced in the market by Lilly, Ceclor® was a very successful drug. It remained so for several years, however, by 1997, when Apotex came to market, it was definitely in decline, having been overtaken by other antibiotics.

 

[13]           The basic patent on the compound Cefaclor or the class of second generation cephalosporins to which it belongs (7-χ-aminoacyl-3-halo-3-cephem carboxylic acid or ester compound) is patent 1,016,537 (the ‘537 patent) filed on February 22, 1974 and issued in Canada on August 30, 1977. It expired August 30, 1994. It was also owned by Lilly U.S., having been discovered by Dr. Chauvette, a member of its β-lactam research team. Cefaclor was specifically disclosed in an example and the process to prepare it, or an obvious chemical equivalent, was claimed. Other claims dealt with other 7-χ-acylamino-3-chloro-3-cephem compounds prepared by those processes.

 

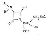
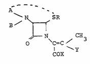
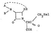
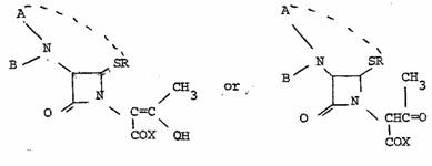
[14]           It is not disputed that although the disclosure of the ‘007 patent directly refers to the preparation of a cephalosporin compound using the kinetically controlled complexes claimed in the patent, the claims do not expressly refer to such use. Also, none of the claims in the Lilly process patents or the Shionogi patents are directly claiming a process to make cefaclor itself. As a matter of fact, and as will be explained in more detail later on, these patents more generally relate to the making of what all experts agree was a key intermediate compound (the 3-hydroxy-3-cephem compound)[6] if one were to make cefaclor. The steps required to make cefaclor from this key intermediate were disclosed in the ‘537 patent.

 

[15]           An important part of the debate relates to processes involved in the transformation of a penicillin molecule into a cephalosporin molecule. Penicillin molecules could be synthetically produced at very low cost whereas the original starting material used by Dr. Chauvette to make cefaclor or other second generation cephalosporins described in his patent was very expensive.

 

2. The Evidence

[16]           An important part of the evidence in this trial is a long list of facts agreed to by the parties that are applicable both to the main action and the counterclaim. To avoid excessive duplication, the Court will attempt to avoid repeating those admitted facts which are relevant to both actions, with the understanding that the totality of said facts were considered in the course of the determination of both actions.

 

[17]           In the infringement action Lilly produced six factual witnesses: Dr. Stephanie Parra, Mr. Thomas Lee Pytynia, Ms. Debbie Rassos, Dr. Larry Blaszczak, Dr. Robin Cooper and Mr. John Gardner.

 

[18]           Dr. Parra is acting manager of the general direct quality division one at Health Canada. Her division is responsible for evaluating data submitted to support the quality of drug submissions made to the department including chemistry and manufacturing data. Her testimony mainly served the purpose of entering into evidence, as well as offering a brief explanation of, documents filed in relation to Apotex’s submission for its Apo-cefaclor product.[7] This included particularly the “open” and “closed” portions of the relevant Drug Master Files (DMFs) submitted by Apotex’s suppliers, Lupin Laboratories Ltd. of India (Lupin) and Kyong Bo Chemical Ltd. of South Korea (Kyong Bo).

 

[19]           Various important exhibits discussed throughout the trial were put into evidence in the course of Dr. Parra’s testimony, such as the Comprehensive Summary regarding Apo-cefaclor (TX-124), the open and closed portions of Kyong Bo’s DMF (TX-126; TX-129), Apotex’s notifiable change for new source (TX-157) and letters from the Department of Justice to Gowlings Lafleur Henderson LLP with information provided by Lupin attached (TX-167; TX-168).

 

[20]           Dr. Parra also explained the meaning of a “notifiable change” and the various levels ascribed thereto, which correspond to greater or lesser regulatory filing requirements. A change of supplier for example is classified as a level 2 notifiable change and will receive an objection letter if Health Canada has an objection to the proposed change.[8] In this matter, before approving the change of supplier notified by Apotex (from Kyong Bo to Lupin), Health Canada requested additional information by way of a document called a “Clarifax” (TX-152) to which Apotex replied by a letter dated June 21, 1997 with an attachment explaining the source of the starting material and a full diagram representing the synthetic route used to make 7-amino-3-chloro-3-cephem-4-carboxylic acid esters (7-ACCA) (TX-150).

 

[21]           Mr. Pytynia was in-house counsel for Lilly U.S. between May 1977 and December 31, 2007. He testified mainly about the relationship between Lilly U.S. and Lilly Canada, including particularly their licensing and distribution agreements. He introduced various documents which will be referred to later on, such as the 1991 licensing agreement between Lilly U.S. and Lilly Canada (TX-109), the 1995 patent and trademark licence amendment (TX-110), the Master Supply and Distribution Agreement between the said two companies (TX-112) as well as the Authorization to grant sub-licences from Lilly U.S. to Lilly Canada (TX-113).

 

[22]           Ms. Rassos is the senior regulatory affairs manager at Lilly Canada, a position she has held for two and a half years. She had no direct knowledge of any of the events relevant to the proceedings and testified only to the documentation she found in Lilly Canada’s regulatory records concerning cefaclor. She introduced in evidence, among other things, Lilly Canada’s process information filed in relation to its New Drug Submission (NDS) (TX-208; TX-209) for Ceclor® as well as a portion of its 1979 NDS (TX-115). It was made clear during her cross-examination that her testimony with respect to the identity of Lilly Canada’s supplier during the 1979 and 2000 period is solely based on the said documentation for she had no independent knowledge of such matters.[9]

 

[23]           Dr. Blaszczak is one of the inventors listed in the Lilly patents in suit, with the exception of the ‘536 patent. However, he did not testify in this capacity but rather to explain his relationship with a graduate student in chemistry from the University of Modena, Alberto Spaggiari. This student had solicited Dr. Blaszczak’s supervision in conducting research in β-lactam chemistry with the view of preparing dual action cephalosporins. This led to Dr. Blaszczak collaborating with Mr. Spaggiari as a co-author for a scientific article referred to here as the Spaggiari paper published in 2004. In the course of his testimony on this issue, Apotex formulated a number of objections to hearsay evidence. While the objections were largely justified in this regard, none of this evidence is relevant to the issues upon which this judgment turns.

 

[24]            On cross-examination, Dr. Blaszczak was referred to a 1978 cefaclor progress report (TX-211) and questioned as to his role in relation with it. He was also probed as to the process used by Lilly in the late 1970’s, particularly the transition to triphenyl phosphite (TPP) chloride (Cl) complex and the comparative yields achieved. Finally, Dr. Blaszczak offered evidence as to how Lilly structured its research operations with regard to cefaclor, particularly the de facto merging of the process research and development and discovery groups (he was part of the latter) when Lilly requested that the discovery chemists thoroughly consider the problem posed by the production of cefaclor on a commercial scale.

 

[25]           Dr. Cooper was working with Lilly’s research team at the relevant time. He was already a world-renowned expert in cephalosporin chemistry. He was presented as a factual witness to relate any attempts he made back in the early 1970’s to cyclicize the thiazoline azetidinone compound he discovered (Cooper compound), which is used as starting material in the process described in the Shionogi patents. The content of his testimony will be discussed in more detail when assessing the allegations of invalidity of the Shionogi patents.

 

[26]           Mr. Gardner is a chemist who performed the experiment described in example nine of the ‘007 patent (characterised as a side chain cleavage using the tri-p-chloro phenyl phosphite chlorine complex) while at Lilly in the late summer, early fall of 1978.  Although Lilly produced a copy of his thirty-year-old lab notebook (TX-1799), Apotex objected to this evidence being used to counter the arguments of Apotex’s experts with regard to invalidity. Mainly, Apotex argues that Rule 248 of the Federal Courts Rules precludes this evidence from being introduced as Apotex sought to obtain all these lab notebooks during the discovery and its requests went unheeded. However, I fail to see how Rule 248 can apply when it is the Court which determined that the requested documents were not relevant.[10] That said, in order to avoid further peripheral debates, the Court does not consider this evidence to be necessary to reach its findings.

 

[27]           Subject to what I said about Ms. Rassos and my further comments in respect of Dr. Cooper, I accepted as credible the evidence of these witnesses.

 

[28]           Apotex presented eight fact witnesses in the main action: Ms. Julie Carrière, Mr. Donald Barber, Mr. Gordon Fahner, Dr. Bernard Sherman, Mr. John Hems, Mr. Rajeev Patil, Mr. Vilas Satpute and Mr. Haracharan (Harry) Singh.

 

[29]           Ms. Carrière is Apotex’s director of quality assurance and she testified about the regulatory context which requires Apotex to conduct tests and analyses of the bulk chemicals it uses in making pharmaceutical formulations. Her testimony was put forth in support of Apotex’s defence pursuant to s. 55.2 of the Patent Act, R.S.C. 1985, c. P-4. In cross-examination, she explained that the related compounds which must be tested referred to the synthetic or degradation impurities which have been previously identified in the New Drug Submission or Notifiable Change. She also agreed that these related compounds may change from supplier to supplier, depending upon the processes used, which may create a need for different analytical techniques.[11] Finally, Ms. Carrière agreed that apart from the regulatory obligation, testing is beneficial to Apotex for it must ensure that the products it puts on the market are safe and of good quality, otherwise its sales might suffer.

 

[30]           Mr. Barber has been the formulation development manager at Apotex since 1998. He provided testimony on product development at Apotex. He explained in detail the various testing required to develop a commercially viable product, which includes the formulation stages, the scaling up of a process or formulation that is thought to be workable on an industrial scale and the testing or evaluation of the formulation so produced. The raw material testing is ongoing throughout the process.

 

[31]           He noted that whenever Apotex switches to a different supplier for an active pharmaceutical ingredient (API), evaluations, both chemical and physical, are repeated and a “good amount” of the formulation development work must also be repeated. Mr. Barber discussed how, with regard to cefaclor, such work started as early as 1991. He identified several exhibits relating to quantities of cefaclor which have not been sold or used for commercial purposes. Again, this testimony was offered in support of Apotex’s defence pursuant to s. 55.2 of the Patent Act. On cross-examination, Lilly’s counsel focused on the accuracy of records which are not relevant to the issues the Court must decide today, given that if infringement is established, the damages will be assessed by reference. The accuracy of Apotex’s records in this regard can be contested at the reference stage, in accordance with the Court’s reasons below on the proper scope of the exemption.

 

[32]           Mr. Fahner has been Apotex’s Vice-President of Finance since 2003, having held the position of Director of Finance at the relevant period. He testified twice in the course of the main action. Firstly, Mr. Fahner testified as to the inventory tracking system at Apotex and the gradual evolution of this system from a paper-based system to an electronic SAP system in the 1999 to 2001 timeframe. The main purpose of Mr. Fahner’s testimony was to introduce in evidence, and explain the significance of, spreadsheets (TX-1559; TX-1560; TX-1561) he prepared representing compilations of quantities of cefaclor which Apotex claims is covered by the defence provided for at s. 55.2 of the Patent Act. Also, Mr. Fahner explained the significance of another spreadsheet he prepared (TX-1759) which represents a summary of raw cefaclor quantities purchased by Apotex primarily for commercial use as well as prices paid for said cefaclor.

 

[33]           On cross-examination it became apparent that some of the material included in the spreadsheets was in fact material that had been acquired post-patent expiry and thus is not relevant for the purposes of this proceeding. On this basis, Apotex undertook to have Mr. Fahner revise said spreadsheets to ensure that they only include quantities relevant to the allegation of infringement. This was provided by Apotex on May 12, 2008. Inconsistencies were also identified with regards to the summary of raw cefaclor quantities (TX-1759) and various purchase orders, which again, in a context where a reference will take place, are not germane to the issues presently at hand.  Finally, Mr. Fahner also identified a spreadsheet representing international sales of Apo-cefaclor (TX-1747) and confirmed that no sales had occurred in the United States.

 

[34]           Following the testimony of Mr. Singh, which will be discussed below, Apotex re-called Mr. Fahner to testify with regard to certain invoices emanating from Tektrade Ltd. (contained in Glopec-36) which called into question Mr. Fahner’s earlier testimony. Mr. Fahner testified that the relevant invoices (# TTL-981006-02 and TTL-981006-3) were not in Apotex’s records, that the cefaclor quantities represented therein had not been received by Apotex and that no payment had been made to Tektrade Ltd. in relation thereto. Lilly objected to Mr. Fahner being called back to testify, but on June 17, 2008, the Court ruled that it would exercise its discretion and allow said testimony, noting that Lilly did not suffer any prejudice in light of the bifurcation order for the issue of the quantum of damages, save perhaps in losing what was indeed a very able cross-examination of Mr. Singh by counsel for Lilly.

 

[35]           Mr. Hems is the Director of Regulatory Affairs at Apotex. He testified as to the regulatory requirements which Apotex must meet in order to offer a drug on the market and the process used to meet these requirements. He oversaw the process for seeking approval for cefaclor, which began in 1993 with the filing of the original drug submission (TX-1761; TX-1762) and explained the analysis of the API which is necessary for such submissions. Mr. Hems also explained what a DMF contains and the portions of said files which Apotex may gain access to and how it may gain access to them.

 

[36]           Except for the issue relating to the Tektrade invoices in respect of which the Court will make no finding, the evidence of the aforementioned witnesses was accepted.

 

[37]           Dr. Sherman is the Chairman and Chief Executive Officer of Apotex. In this phase of the trial, he testified as to Apotex’s practices with regard to the sourcing of APIs, particularly cefaclor. He explained that, around the time where Apotex received its NOC for cefaclor, it hired an in house lawyer named Brigitte Fouillade, who has since passed away. Her role was to advise Dr. Sherman as to intellectual property issues. Referring to correspondence addressed to Ms. Fouillade from Kyong Bo dated October 10, 1997 (TX-662), Dr. Sherman explained that Kyong Bo represented to Apotex that it had rights to use the Shionogi process.

 

[38]           With regard to Lupin, Dr. Sherman testified that while no formal agreement was entered into at first, it is his understanding that Ms. Fouillade attempted to ensure that the material supplied was not infringing. Ms. Fouillade developed a flow sheet for such a non-infringing process and, relying on correspondence between Ms. Fouillade and Mr. Singh (TX-679), explained that she was to ensure that this process was followed even if the cefaclor so produced was more costly, which is why Apotex then entered into a formal agreement.

 

[39]           On cross-examination, Dr. Sherman was led to explain the reasons for which Apotex limited its choice of Lilly patents in its compulsory licence application (TX-265) and the reason which led him to terminate said licence (TX-267). He was also questioned as to why the agreement with Lupin (TX-1656) was not in the original affidavit of documents he signed (TX-327) and why no Notifiable Change had been filed by Apotex for this new process. He was also thoroughly questioned with regard to his answers on discovery pertaining to Lupin process information and communications between Lupin and Apotex. Finally, he also attempted to explain price variations for bulk cefaclor purchased, from Lupin and Kyong Bo.

 

[40]           Generally, the Court has no problem with the credibility of Dr. Sherman’s testimony in respect of matters where he was directly involved as opposed to those where others were directly involved such as Ms. Fouillade. It is obvious and understandable that Dr. Sherman did not recall factual details and appeared sometimes to be offering explanations based on common sense and written documentation. The Court was certainly surprised by his candour when he noted that he did not read correspondence from his lawyers (there was simply too much of it) and he entirely relied on them when signing affidavits (it is not clear if he even read them all).[12]

 

[41]           The testimonies of Mr. Singh, Mr. Patil and Mr. Satpute were heard under reserve of general objections (generally referred to as voir dire by the parties) which will be discussed in the section regarding infringement. Still, it is useful to briefly note what their testimonies relate to.

 

[42]           Mr. Singh is the owner of Glopec International Inc. (Glopec), a company which imports and distributes raw pharmaceutical ingredients in both Canada and the United States. Glopec represents Indian manufacturers, such as Lupin, taking care not only of selling their products in Canada but also filing their regulatory materials with Health Canada. With regard to cefaclor, a certain amount of such correspondence related thereto was introduced in the course of his testimony (Glopec 1-14; 28-33). Also, Mr. Singh had in his files a certain amount of correspondence between Glopec and Apotex (addressed to Ms. Fouillade) regarding the process used by Lupin in the summer of 1997 and the subsequent development with Lupin of a non-infringing process (Glopec 16-26), as well as related correspondence with Lupin (Glopec 27; 35).[13]

 

[43]           Mr. Singh also testified as to a big order of 7,500 kg of cefaclor passed by Apotex to be manufactured using the so-developed process.  When Apotex was invoiced for bulk cefaclor manufactured by Lupin, these invoices were issued by Tektrade Ltd. (Glopec 36), a trading company owned by his in-laws in India and which Mr. Singh represents in Canada. Mr. Singh explained how the prices represented in these invoices were set and how payments are processed from Apotex through Tektrade Ltd. and finally to Lupin. While much of his cross-examination focused on these same points, counsel for Lilly was able to identify a rather large discrepancy between Tektrade Ltd. invoices and the data compiled by Apotex as to quantities received, which, as mentioned above, prompted Apotex to recall Mr. Fahner to testify on this point.

 

[44]           Mr. Patil is the Vice-President of Regulatory Affairs at Lupin. At the relevant period, he was a senior manager within the same department. He was tasked with the registration of the companies’ products (DMFs), which include dosage form and API (bulk), the study of regulatory requirements in countries to which Lupin exports and compliance with these requirements. Mr. Patil testified as to how the registration and other requirements were performed at Lupin as well as what they generally entailed, with a particular focus on communications with Health Canada concerning cefaclor both directly from Lupin and via Glopec (which were tendered as Patil 1-6; TX-337; Glopec 4-5; 10). These documents came into the possession of Mr. Patil following a request made to Health Canada in 2008 to provide them as Lupin’s records had been largely lost in a flood in 2005 (some files still existed at the Bombay office while others were salvaged).

 

[45]           Mr. Patil also testified as to the locations where cefaclor and 7-ACCA are manufactured. Correspondence between Lupin and Glopec was also tendered, for example Patil 8 (but also Patil 9; TX-158), which contained Mr. Patil’s handwriting in the margins and which prompted testimony about the interaction Mr. Patil had with the research and development (R&D) department (the letter was addressed to Dr. Gutpa, the chief of the R&D department) of Lupin regarding Apotex’s request for cefaclor produced using a third process. Concerning this third process, Mr. Patil testified as to a mix up in the correspondence in 1999, specifically an incorrect flow sheet depicting the manufacture of 7-ACCA appended thereto (see, for example, Patil 10).

 

[46]           Mr. Satpute is the Vice-President of API manufacturing at Lupin’s Mandideep facilities. At the relevant period (1996-1999), he was the senior manager of Lupin’s Ankleshwai facility, which manufactured ethambutol, vitamin B-6 and two intermediates, 7-ADCA and 7-ACCA. After 1999, he took up this same role but at the Mandideep facilities where cephalexin, cefadroxil, cefaclor, ceftriaxone and cefatoxime are manufactured. Mr. Satpute testified as to the process used at the Ankleshwai facility to manufacture 7-ACCA and its subsequent transformation to cefaclor at Mandideep and the delay this entails.

 

[47]           He testified that initially, in 1996, Lupin used a process which began with Pen V acid. Sometime in 1997, Lupin did trial batches and a few commercial ones to validate a new process starting with Pen G before reverting in 1998 to Pen V acid but using a third process which was slightly different from the one used in 1996 (particularly at what is described as step V in some of Lupin’s documents) to fulfill what he qualified as a “one of the biggest orders we received”. Mr. Satpute explained the implementation of this third process, the fact that it produced substantially lower yields (about 60 percent of the yields of the previous Pen V acid process used) and the use of chlorine (Cl) gas and TPP. Also when he was asked to find batch records for the 7-ACCA so produced, for which the plant manager and the R&D department would have created a template a few weeks before coming to Canada, he found that these documents no longer existed. It is not clear if anybody verified the files of the R&D department for the data relating to this process.

 

[48]           Once this order was filled, Mr. Satpute testified that Lupin reverted to the Pen G process validated in the latter part of 1997. Documents referred to in the course of Mr. Satpute’s cross-examination were marked Satpute 1-3.

 

[49]           Finally, the parties filed by consent an affidavit of Leslie Sands, Director of regulatory affairs at Lupin Pharmaceuticals Inc., a subsidiary of Lupin operating in the United States (TX-340). This filing was made under reserve of an objection that the documents therein are not proof of their contents but rather only of the existence of such communications with the U.S. Food and Drug Administration. The Court agrees with Apotex in this respect.

 

[50]           In the main action, the parties filed 33 expert reports dealing with the infringement and invalidity allegations. They are listed in Chart A[14] attached hereto with the names of the experts, dates, subject matter and exhibit numbers, together with their area of expertise and a brief summary of their qualifications.

 

[51]           On the question of infringement of the Shionogi patents by the use of the Kyong Bo process, Lilly called Dr. Anthony Barrett while Apotex responded with the evidence of Dr. Stephen Hanessian who touches on the issue of infringement of all the patents in issue mostly to support Apotex’s arguments with regard to importation (A-10). Both experts were properly qualified to opine on these issues. Their evidence in that respect was not contradicted. The Court accepts the evidence of Dr. Barrett in respect of the Kyong Bo process. While the relevance of Dr. Hanessian’s evidence will be discussed in the section dealing with importation.

 

[52]           A much more contentious issue concerns the infringement of the Lilly patents, particularly whether the Lupin process described in the Health Canada file fell within the scope of the monopoly of the plaintiffs. Lilly’s main expert witnesses[15] in this respect were Drs. Miller and Baldwin. While Dr. Hunter[16] and Mr. Moraski reported and commented on the results of numerous experiments conducted by both sides in relation to this question, particularly with the use of 31P Nuclear Magnetic Resonance (31P NMR) Spectroscopy. Apotex’s experts on this question were Drs. Modro, McClelland and Cowley. Dr. Chase also testified about the tests he performed.

 

[53]           An inordinate amount of time was spent discussing the results of the various experiments performed by both sides as well as their respective alleged flaws. It is clear that most of these experiments involved a certain amount of subjectivity (for example, what is yellow vs. light or faint yellow, or what is cooled vs. ice cooled or cooled with ice salt, what is room temperature, etc.) and that really none of the tests performed were perfect. For various reasons, choices were made with respect to temperature and equipment. Many things can and do go wrong in laboratories (broken valves, etc.). The Court used considerable caution in assessing the weight to be given to this evidence, but in the end, considering the construction of the claims at issue adopted, most of these experiments and the comments relating thereto became somewhat irrelevant. With respect to those that remain relevant, such as reactions carried out on cephalosporin substrate with or without a halogen scavenger, individual tests were not considered in isolation, in the sense that the Court always looked to confirm if the results were supported by other evidence on the record.

[54]           The one positive aspect of the testing is that it led to the abandon of some of the arguments and helped focus the debate.

[55]           There was a lengthy debate about the admissibility of tests performed ex parte and how tests must be introduced in the evidence. In the end, these issues were settled without the need for a ruling. Nevertheless, it is important to note that pre-trial scheduling orders setting deadlines for the reporting of test results, absent an express indication to the contrary, must not be construed to constitute a waiver of any requirement that may exist regarding notice of testing to be performed pre-trial.

[56]           Also, with respect to the infringement of the Lilly process patents, the Court granted leave to both parties to file expert evidence on issues arising from the testimony of Mr. Satpute. Dr. Barrett (E-15), who had only previously been dealing with the Shionogi patents, and Dr. Hanessian (A-20) testified in respect of the various processes allegedly used by Lupin.

 

[57]           Turning now to the validity phase of the trial, Apotex relied on the evidence of Drs. McClelland, Hanessian and Martin in respect of the Shionogi patents while Lilly responded with the evidence of Dr. Barrett and that of Mr. Murphy, who focused on the prosecution of the Shionogi patents and the unity of invention practice of the Canadian Patent Office.

 

[58]           In respect of the Lilly patents, Drs. Modro, Chivers, Olah and McClelland discussed the validity of the ‘007 patent while Dr. McClelland also addressed issues relating to all the Lilly process patents and Dr. Olah opined in respect of the ‘536 patent. In response, Lilly relied upon the evidence of Dr. Baldwin who discussed all of the Lilly patents and Dr. Hunter who focussed on certain allegations in respect of the ‘007 patent. Mr. Murphy also discussed the prosecution of the Lilly patents and the unity of invention practice in relation thereto.

 

[59]           In respect of infringement by the Lupin process, the Court found the evidence of Dr. Baldwin and Dr. Miller particularly helpful. Despite Apotex’s attempts to challenge their credibility on the basis that they had worked as a consultants for Lilly from time to time and the university where Dr. Miller teaches received some grants from Lilly, the Court is satisfied that they gave their evidence in a straightforward, unbiased manner. In that respect, the Court notes that early in his testimony, Dr. Baldwin readily admitted that the kinetic complex must have formed when one carried out some of the experiments in the prior art.

 

[60]           In respect of the validity of the Lilly patents, like the House of Lords in Synthon BV v. Smithkline Beecham plc, [2005] UKHL 59, [2006] 1 All ER 685 (Synthon), who described him as one of the foremost organic chemists in the world, the Court found Dr. Baldwin to be particularly well qualified to opine on the issues of fact covered in his report. In fact, he was the only expert witness that was properly qualified to opine on the common general knowledge of the posita to whom the Lilly process patents were addressed and how said posita would read those patents or the relevant prior art.

 

[61]           Drs. Modro, Olah and McClelland were all properly qualified to opine in respect of the ‘007 patent. Generally the Court had no difficulties with their credibility although, the Court was more cautious with the evidence of Dr. McClelland because of his vast experience acting as an expert in patent cases he was somewhat less spontaneous than other Apotex experts.

 

[62]           It is obvious, and Drs. Modro and Martin readily admitted it, that Ivor Hughes and Dr. Stewart from his office played a very significant role in the drafting of the reports (presumably all of them except maybe for that of Dr. McClelland). Normally there is nothing wrong with being assisted by one’s lawyer in drafting one’s report but despite the Court’s flexibility in that respect, one must not lose sight of the principle expressed in National Justice Compania Riviera S.A. v. Prudential Assurance Co. (“the Ikarian Reefer”), [1993] 2 Lloyd’s Rep. 68 to the effect that “expert evidence should be seen as the independent product of the expert uninfluenced as to form or content by the exigencies of litigation: Whitehouse v Jordan [1981] 1 WLR 246 at 256, per Lord Wilberforce” (emphasis added). Certainly the more the lawyers are involved the more careful an expert must be in reviewing the text proposed to ensure that it truly reflects his or her views. There was some evidence in this case that the review, by Apotex’s experts particularly, was not as careful as one would expect.

 

[63]           Although the Court generally accepted the evidence of Dr. Hunter in respect of the testing performed and found his evidence credible in respect of the common general knowledge about 31P NMR and the impact of various factors on the ppm chemical shift at the relevant time, his evidence was not as useful considering the construction of the claims at issue adopted by the Court. With respect to the validity of the ‘007 patent (E-18), the Court notes that Dr. Hunter’s PhD is in inorganic chemistry. His evidence was given the same weight as that of Dr. Chivers’ in respect of the said patent.

 

[64]           Again, in view of the construction of the claims at issue, most of the evidence of Dr. Cowley was not particularly useful. In respect of the view he expressed in para. 27 of his report (A-9), the Court preferred the opinion of Dr. Hunter which was corroborated by the tests performed, including those of Dr. Chase. The Court was unimpressed by his evidence with respect to the Spaggiari article.[17]

 

[65]           As mentioned, Dr. Chivers, like Dr. Hunter, has a PhD in inorganic chemistry[18] with particular expertise in chemistry involving various elements including phosphorus. He testified in a straightforward, clear and credible manner. It is evident that he had initially also been asked to comment on the validity of the ‘536 patent, a matter in respect of which he was clearly not qualified, but the report he filed when he took the stand was heavily redacted, probably in response to Lilly’s objection that there was duplication. Only paragraph 6 now deals with the ‘536 patent, it describes the characteristics of the addressee of the patent. His evidence, in respect of the ‘007 patent, like that of Dr. Hunter, did not add much to that of the well-qualified organic or medicinal chemists relied upon by Apotex and Lilly.

 

[66]           Dr. Barrett and Dr. Hanessian are both well-qualified and have expertise in β-lactams, particularly cephalosporin chemistry, even if the details as to exactly what Dr. Hanessian was doing in the late 1970s in respect of β-lactams or cephalosporins are not as clear.[19] These two experts were equally credible which made the task of the Court particularly difficult considering that their evidence is often contradictory.

[67]           My further comments in respect of Drs. Olah, McClelland and Martin’s evidence in respect of the Lilly process patents and the Shionogi patents illustrate difficulties the Court faced in this case and which are unfortunately not uncommon.

[68]           Dr. Olah is an imminent scientist. Among his many outstanding achievements, he has won a Nobel Prize in 1994 for his work on positively charged compounds of carbons. However, he has no experience whatsoever with respect to β-lactams or cephalosporin chemistry. Despite this, he was asked to opine on the validity of the ‘536 patent on the basis of publications provided to him by Ivor Hughes, one of Apotex’s counsel at the time. Like other experts acting for Apotex, his report includes a description of the addressee of these patents which appear to be meant to fit his credentials.

[69]           In cross-examination, he could not name a reagent used in cephalosporin chemistry – the type of chemistry discussed in the ‘536 patent. This may explain why he appeared as a reluctant witness who even refused to answer some questions during his cross-examination until offered a choice between withdrawing his report and answering the questions put to him. It may also explain comments such as: “I wouldn’t stick out my reputation one way or another to argue that the few ppm one way or the other is a fundamentally different situation.”[20]

[70]           In such a case, it is easy to understand why the Court preferred Dr. Baldwin’s evidence in respect of the ‘536 patent to that of Dr. Olah, and why time spent on examination and cross-examination of a witness that is not “the right expert for the job” is almost always time lost for all concerned.

[71]           Dr. McClelland’s evidence in respect of the Lilly process patents and the Shionogi patents falls pretty much in the same category especially when one considers that he should know better given his vast experience in litigation.

[72]           This is a problem because one’s willingness to offer an opinion without an appropriate basis to do so can impact on the overall credibility of a witness otherwise qualified to opine on another issue for it can raise some doubt as to the existence of a proper basis for the other portion of his opinion or as to whether the expert really understood his role.[21]

[73]           Dr. Martin is another distinguished organic chemist expert in his field which includes lactams but he has no experience whatsoever in β-lactam chemistry let alone cephalosporin chemistry – a prerequisite of the posita to whom the Shionogi patents are addressed according to para. 12 of his report. In an attempt to compensate for his “obvious” inability to see through the eyes of such posita, Dr. Martin testified that in the claimed reactions in fact the β-lactam molecule remains a spectator. The Court cannot agree and as argued by Lilly, this is a clear use of hindsight. This puts in question Dr. Martin’s understanding of his role particularly as he also offered comments on other issues that appear to go beyond his expertise and personal knowledge (conferences given by Kishi and the invention not claimed in the Shionogi patents).

 

[74]           Another issue on which the parties presented expert evidence was on pharmaceutical regulatory affairs, particularly the filing of NDSs and DMFs and the requirements for keeping these filings up to date. For this purpose, Lilly called upon Ms. Azzarello who filed one report (E-7) and Apotex relied on the testimony of Ms. Wehner, who did likewise (A-11). This evidence provided some background for the debate on the evidentiary value of the information provided to Health Canada by the foreign suppliers of Apotex. It also brought to light that there may be a loophole in the regulations or at least in how they are applied. According to Ms. Wehner, it is known that foreign suppliers do not always abide by the regulations and file up-to-date information about their processes. Also changes are sometimes implemented before receiving Health Canada approval. I understand that this may have an impact on the ultimate safety of the product because the testing performed on the API by the Canadian sponsor may need to be adapted[22] to the process used to manufacture it. Clearly this is a matter for the regulator, not a Court dealing with an infringement action. That said, in the end, this evidence was not particularly useful.

 

3. Lilly Canada’s Lack of Standing

[75]           Apotex argues that Lilly Canada has not proven its standing to sue. It alleges that a bare assertion of a corporate relationship is not sufficient. In that respect, it relies on two statements made by Justice Judith Snider in Laboratoires Servier v. Apotex Inc., 2008 FC 825, 67 C.P.R. (4th) 241 (Laboratoires Servier) that read as follows:

The test for who qualifies as a person claiming under a patentee is not simply whether the patentee has consented to the person being joined as a plaintiff in an action; nor is it enough to demonstrate that two parties are related. In each case, the facts must demonstrate a credible and legally sufficient basis for claiming under a patentee

 

[…]

 

As noted above, the mere existence of a corporate affiliation is not conclusive evidence of a right under s. 55(1) of the Patent Act. There must be something more. That something more has consistently been described in the jurisprudence as a license or some other arrangement (for example, a lease, an assignment, or a sale) that would give the affiliate the right to use the patent.

 

[paras. 70 and 82]

 

 

[76]           Lilly Canada does not disagree with the above-noted statements, it simply says that in this case it has not only established, through the testimony of Mr. Pytynia (Transcript Volume 7, pp. 56-63; 83-84) that Lilly Canada is a wholly owned subsidiary, but also that it had an express licence to both the Lilly and Shionogi Patents at issue in this case. It has also been admitted that Lilly Canada has been selling Ceclor® (cefaclor) in Canada since 1980. Lilly Canada made specific references to various exhibits filed during the hearing to support its position, particularly an agreement executed and effective as of January 1, 1991 between Lilly U.S. and Lilly Canada (TX-109) where:

Lilly represents and warrants that for Canada, it has the exclusive right to grant licenses to enable the licensee to make, have made, use and sell certain products, including the right to use within Canada, certain patents, trademarks

 

[…]

 

relating to such products and to their preparation, manufacture, processing and packaging.

 

[77]           In the said agreement, Lilly U.S. appoints Lilly Canada as its authorized distributor of all Lilly U.S. products in Canada (which includes Ceclor®) and at s. 1.2:

Lilly further grants to Lilly Canada a non-exclusive sublicense (without right of further sublicense except as further granted in writing by Lilly) under the Canadian patent applications and patents listed in Schedule “A”

 

[…]

 

to make, have made, use or sell, and/or import Lilly Products whose preparation is covered by the patent applications and patents.

 

[78]           At pp. 8 and 9 of Schedule A, the four Lilly patents at issue here are listed. Normally, it should thus not be contentious that Lilly Canada has proper standing pursuant to subs. 55(1) of the Patent Act, at least in respect of those patents.

 

[79]           Apotex, however, says that on January 1, 1995, the 1991 agreement was amended (TX-110) to delete the various schedules which, according to Mr. Pytynia, was done to avoid having to keep them up to date which was found to be difficult. According to Apotex, the result of this amendment is simply that licences to the Lilly or Shionogi patents were no longer granted to Lilly Canada.

 

[80]           This, according to Apotex, makes particular sense[23] in respect of the Shionogi patents, given that none of the material purchased by Lilly Canada was made by the processes protected thereunder and that Lilly Canada never actually made, purchased or sold any of the actual compounds claimed in the patents in suit. Apotex also discards the impact of the General Supply and Distribution Agreement, filed as TX-112, on the basis that Lilly Canada’s role as distributor appears to be based on an agreement that says nothing about patent rights, nor does it characterize Lilly Canada as an agent and expressly disclaims any other rights flowing between the parties.

 

[81]           The Court agrees with the plaintiff that such an interpretation of the 1991 agreement as amended through time leads to an absurd result and is simply incorrect. The January 1, 1995 agreement expressly states:

WHEREAS the parties desire to maintain the rights, licenses and sublicenses granted by the AGREEMENT while also recognizing that the parties will receive full compensation under the Master Supply and Distribution and Manufacturing or other Agreements.

 

[82]           It is also worth noting that the 1991 agreement was further amended on April 9, 1998 (TX-113) giving Lilly Canada the right to further sub-licence a third party under some of the patents covered by the agreement, in conformity with s. 1.2 of the 1991 agreement. More particularly, the amendment refers to the licence granted under the 1991 agreement for cefaclor and:

grants to Lilly Canada the right to sub-license the following licenses granted to it under the [1991] License Agreement (collectively, the “Licenses”) for cefaclor: (i) licenses granted under patent rights of Lilly U.S. (including, without limitation, the patents listed in Schedule A hereto).

 

Said schedule made specific reference to three of the Lilly Patents in suit (the only ones missing are the ‘007 and ‘026, the latter having expired by that time).

 

[83]           Having considered all of the evidence, the Court is satisfied that Lilly Canada has properly established its standing based on an express licence from the patentee.

[84]           Before concluding on this issue, it is worth quoting a passage from the decision of the Federal Court of Appeal in Apotex Inc. v. Wellcome Foundation Ltd., [2001] 1 F.C. 495 (2000), 262 N.R. 137 (Apotex (2000)), where, after observing that the trial judge, Justice Howard Wetston, had committed no error in his analysis and conclusion, and that based on the unwritten licensing practices of the Glaxo Wellcome Inc. group of companies, Glaxo Wellcome Inc. had an unwritten licence to all the patents held by companies under the control of Glaxo Wellcome Inc. of the United Kingdom, Justice Marshall Rothstein noted, at para. 99, that:

It is perhaps not uncalled for to observe that this is not a case in which the alleged licensee is alone in advancing its claim for the patent infringement. Here, the patentee is also before the Court as a co-Plaintiff supporting the claim of GWI. It is difficult to conceive of what more is necessary to prove the existence of a licence than to have the licensor and licensee both attesting to the validity of the license. Where both the patentee and the person claiming under the patentee are before the Court, are affiliated as being owned by the same parent and have an identity of interest in the litigation – with the patentee supporting the person claiming under the patentee – it is, to say the least, surprising that technical questions of status to sue would be advanced as a defence to infringement.

 

 

[85]           In fact, Lilly Canada argues that in the past, the Federal Court of Appeal has accepted less than an exclusive or non-exclusive licence as evidence of a right to claim under the patentee. For example, in Signalisation de Montreal Inc. v. Services de Béton Universels Ltée (1992), [1993] 1 F.C. 341 p, 147 N.R. 241, the Court accepted that the plaintiff whose standing was contested was a sales representative of the patentee’s product in Canada. The agreement between it and the patentee did not make any specific reference to the patents or rights of any kind thereunder, leading Justice Paul Rouleau to conclude that the plaintiff had no standing to sue for infringement. In reversing the decision of the trial judge, the Court of Appeal said, among other things, that:

In my view, a person ‘claiming under’ the patentee is a person who derives his rights to use the patented invention, at whatever degree, from the patentee. The right to use an invention is one of the monopoly to which is conferred by a patent. When a breach of that right is asserted by a person who can trace his title in direct line back to the patentee that person is ‘claiming under’ the patentee. It matters not by what technical means the acquisition of the right to use may have taken place. It may be a straightforward assignment or a license. It may, as I have indicated, be a sale of an article embodying the invention. It may also be a lease thereof. What matters is that the claimant asserts a right in the monopoly in that the source of that right may be traced back to the patentee. This is the case with the appellant here.

 

[Footnotes omitted, para. 24]

 

[86]           There is no doubt here that Lilly Canada derives its rights from the patentee, Lilly U.S.

4. Patent Construction

[87]           Before considering the allegations of infringement and invalidity, the Court must construe the claims at issue in this proceeding. The principles of construction are well-established. They are set out in Free World Trust v. Electro Santé Inc. 2000 SCC 66, [2000] 2 S.C.R. 1024 (Free World Trust), and Whirlpool Corp. v. Camco Inc. 2000 SCC 67, [2000] 2 S.C.R. 1067 (Whirlpool). Since those decisions were issued, much has been written by this Court on this topic. Be it sufficient to say that “[t]he key to purposive construction is therefore the identification by the court, with the assistance of the skilled reader, of the particular words and phrases in the claims that describe what the inventor considered to be the “essential” elements of his invention.”[24] As to the further details of what date the claims are to be construed, using what criteria, what resources, through whose eyes and what is made of the resulting construction, the Court adopts and refers to paras. 32-48 of Justice Roger Hughes’ decision in Pfizer Canada Inc. v. Canada (Minister of Health), 2005 FC 1725, 285 F.T.R. 1.

[88]           As noted in Shire Biochem Inc. v. Canada (Minister of Health), 2008 FC 538, 328 F.T.R. 123, at para. 21 (Shire), the Court “is not to construe a claim without knowing where disputes between the parties lie.” This is particularly important in cases such as this one, where a large number of claims in eight distinct patents are at issue. As previously noted, all of the patents in this case were issued before October 1, 1989 and are thus subject to the pre October 1, 1989 version of the Patent Act (s. 29 of the post October 1, 1989 version of the Patent Act). They are to be construed as of their respective dates of issuance.

 

[89]           To these more general principles, one should also add that the Court adopts and will apply Justice Denis Pelletier’s statement regarding claim differentiation in Halford v. Seed Hawks Inc., 2004 FC 88, 246 F.T.R. 1 (Halford), affirmed, 2006 FCA 275, 275 D.L.R. (4th) 556 at para. 110, where he quoted the following passage from D.M.I., Inc. v. Deere & Co., 755 F. 2d 1570, 225 U.S.P.Q. (BNA) 236 (U.S. Cir.):

The district Court said ‘As a general rule a limitation cannot be read into a claim to avoid infringement’…Where, as here, the limitation sought to be ‘read into’ a claim already appears in another claim, the rule is far more than ‘general.’ It is fixed. It is long and well established. It enjoys an immutable and universally applicable status comparatively rare among rules of Law.

 

[90]           The Court will also rely on the following passage from The Canadian Law and Practice Relating to Letters Patent for Inventions by Harold G. Fox (Fox) ,[25] which was recently quoted by Justice Snider in Hoffmann-Laroche Ltd. v. Mayne Pharma (Canada) Inc., 2005 FC 814, 41 C.P.R. (4th) 505 (Hoffmann (2005)), at para. 43:

Each part of the specification must be effectively construed and, if it is at all possible, each claim must be construed independently of the others and be given an effective and distinct meaning. The court will not be inclined to construe two claims in a specification as identical, for if one claim bears the same meaning as another it does not bear an effective meaning.

 

[Emphasis is in the original.]

 

4.1. Person Skilled in the Art

[91]           With respect to the ‘007 patent, although the disclosure discusses, among other things, the utility of the new class of halogenating compounds in the chemistry of cephalosporins, the Court is satisfied that the art to which the patent relates is wider than the chemistry of cephalosporins for the patent covers the kinetic complexes (compound by process claims) and processes to make them. Thus, the Court accepts Apotex’s view that the addressee of the patent would have a Ph.D. in organic or medicinal chemistry with 3-5 years experience in carrying out organic transformations and knowledge of organophosphorus compounds as well as the use of 31P NMR (see para. 119 of Apotex’s memorandum on infringement).

 

[92]           That said, with respect to the Shionogi patents and the Lilly process patents, the Court finds that the addressee is a person with a Ph.D. in organic or medicinal chemistry, with 3-5 years experience in organic synthesis and heterocyclic chemistry, particularly in β-lactam chemistry and penicillin or cephalosporin compounds.[26]

 

[93]           Insofar as the Shionogi patents are concerned, there is little dispute between the parties in that respect even if Dr. Hanessian appears to prefer the word “focus” to describe the experience of the person skilled in the art in the β-lactam antibiotic field. It is apparent that at the relevant time, this kind of chemistry was only conducted by, and of interest to, very specialized research teams. Dr. Baldwin, who was actively working in that field at the time, described those researchers in his testimony.[27]

 

[94]           The views of Apotex’s experts such as Dr. Olah (with respect to the ‘536 patent) and Dr. McClelland (who deals with the Lilly process patents as well as the Shionogi patents)[28] regarding the particular addressee of the process patents appear to be designed to suit the particular characteristics of their own expertise, rather than that of the true addressee. The Court cannot accept the view that the addressee of the Lilly process patents is the same person to whom the ‘007 patent is addressed, but who “would in addition likely be interested in cephalosporin compounds.”[29] That said, this finding will have little impact on the evaluation of their evidence, given that, as mentioned when discussing the weight given to the expert evidence, Apotex’s experts who commented on the Lilly process patents would not meet either description as there is no evidence that any of them had a particular interest in cephalosporins prior to their involvement in this litigation. They have failed to establish in their affidavit the basis on which they are qualified to comment on how a person skilled in the art (hereinafter posita) at the relevant time would construe the patents and what common general knowledge these persons would possess.

 

            4.2. Common General Knowledge (Principles)

[95]           During the trial, the Court noted on several occasions that there was little evidence to establish that the numerous publications, patents, applications relied upon by various experts were part of the common general knowledge of the posita at the relevant time. While this was to a certain extent cured through the cross-examinations,  it remains that too little attention was given to such matters which are of prime importance, not only to construe the claims, but also to assess the prior art put forth to establish invalidity. This is particularly significant when, like in this case, one is considering older patents issued at a time when a posita did not have the benefit of electronic versions of scientific publications and could not use the internet or other sophisticated research tools to locate relevant information.

 

[96]           The very general statements made recently by the Supreme Court of Canada that “[c]ommon general knowledge means knowledge generally known by persons skilled in the relevant art at the relevant time” (Apotex Inc. v. Sanofi-Synthelabo Canada Inc., 2008 SCC 61, [2008] 3 S.C.R. 265 (Sanofi)) or that a posita is expected to be “reasonably diligent in keeping up with advances in the field to which the patent relates” and that their common knowledge “undergoes continuous evolution and growth” (Whirlpool, para. 74) must be read together with other classic comments that are still applicable.[30]

 

[97]           As noted in General Tire & Rubber Co. v. Firestone Tyre & Rubber Co. Ltd, [1972] RPC 457, [1971] FSR 417 (U.K.C.A.) (General Tire) at pp. 482-483 (of the RPC):

The common general knowledge imputed to such an addressee must, of course, be carefully distinguished from what in patent law is regarded as public knowledge. This distinction is well explained in Halsbury's Law of England, Vol. 29, para. 63. As regards patent specifications it is the somewhat artificial (see per Lord Reid in the Technograph case [1971] F.S.R. 188 at 193) concept of patent law that each and every specification, of the last 50 years, however unlikely to be looked at and in whatever language written, is part of the relevant public knowledge if it is resting anywhere in the shelves of the Patent Office. On the other hand, common general knowledge is a different concept derived from a commonsense approach to the practical question of what would in fact be known to an appropriately skilled addressee – the sort of man, good at his job, that could be found in real life.

 

The two classes of documents which call for consideration in relation to common general knowledge in the instant case were individual patent specifications and “widely read publications”.

 

As to the former, it is clear that individual patent specifications and their contents do not normally form part of the relevant common general knowledge, though there may be specifications which are so well known amongst those versed in the art that upon evidence of that state of affairs they form part of such knowledge, and also there may occasionally be particular industries (such as that of colour photography) in which the evidence may show that all specifications form part of the relevant knowledge.

 

As regards scientific papers generally, it was said by Luxmoore, J. in British Acoustic Films (53 R.P.C. 221 at 250):

 

 “In my judgment it is not sufficient to prove common general knowledge that a particular disclosure is made in an article, or series of articles, in a scientific journal, no matter how wide the circulation of that journal may be, in the absence of any evidence that the disclosure is accepted generally by those who are engaged in the art to which the disclosure relates. A piece of particular knowledge as disclosed in a scientific paper does not become common general knowledge merely because it is widely read, and still less because it is widely circulated. Such a piece of knowledge only becomes general knowledge when it is generally known and accepted without question by the bulk of those who are engaged in the particular art; in other words, when it becomes part of their common stock of knowledge relating to the art.” And a little later, distinguishing between what has been written and what has been used, he said:

 

"It is certainly difficult to appreciate how the use of something which has in fact never been used in a particular art can ever be held to be common general knowledge in the art."

 

Those passages have often been quoted, and there has not been cited to us any case in which they have been criticised. We accept them as correctly stating in general the law on this point, though reserving for further consideration whether the words “accepted without question” may not be putting the position rather high: for the purposes of this case we are disposed, without wishing to put forward any full definition, to substitute the words “generally regarded as a good basis for further action.”

 

[98]           In Mahurkar v. Vas-Cath of Canada Ltd. (1988), 16 F.T.R. 48, 18 C.P.R. (3d) 417, Justice Barry Strayer noted, at para. 27:

In reviewing the prior art I have also been persuaded by counsel for the plaintiff that an objective test should be applied to determine whether the hypothetical skilled workman in the art could be reasonably assumed to have knowledge of such prior art. There appears to be adequate authority in the jurisprudence for such a test. No evidence was produced by the defendants to show that the ordinary skilled workman should be assumed to have been aware of all of this prior art. Frankly I find it difficult to believe that several of the items of prior art would have been present to the mind of the ordinary skilled workman in 1981.

 

[Emphasis added]

 

[99]           Furthermore, as noted by Justice Karen Sharlow in Janssen-Ortho Inc. v. Novopharm Ltd., 2007 FCA 217, 366 N.R. 290, at para. 25 (citing factors developed by Justice Hughes in Janssen-Ortho Inc. v. Novopharm Ltd., 2006 FC 1234, 301 F.T.R. 166 (Janssen-Ortho (2006)):

Not all knowledge is found in print form. On the other hand, not all knowledge that has been written down becomes part of the knowledge that a person of ordinary skill in the art is expected to know or find.

 

 

[100]       With respect to the proof required to establish common general knowledge, this passage from Simon Thorley et al., Terrell on the Law of Patents, 16th ed. (London: Sweet & Maxwell, 2006) (Terrell), at 6-39 is relevant:

Proof of common knowledge is given by witnesses competent to speak upon the matter, who, to supplement their own recollections, may refer to standard works upon the subject which were published at the time and which were known to them. In order to establish whether something is common general knowledge, the first and most important step is to look at the sources from which the skilled addressee could acquire his information.

 

The publication at or before the relevant date of other documents such as patent specifications may be to some extent prima facie evidence tending to show that the statements contained in them were part of the common knowledge, but is far from complete proof, as the statements may well have been discredited or forgotten or merely

 

 

ignored. Evidence may, however, be given to prove that such statements did become part of the common knowledge.

 

[Footnotes omitted.]

 

 

[101]       In the present case, most of the printed information cited by Apotex’s experts was provided to them by the office of Ivor Hughes, one of Apotex’s counsel. Originally, Dr. Sarkis from that office was scheduled to appear as a witness. However, he did not testify[31] and no evidence was given as to how the search for this literature was conducted. With the exception of one answer, given during Dr. Barrett’s testimony, that Chemical Abstracts were not available in electronic form at the relevant time, the Court still does not know what research tools, if any, would have been available. This is particularly important when one considers that this information was used by experts, such as Drs. McClelland, Olah and Martin,[32] who did not work in the area relevant to the process patents at the relevant time, nor did they have a particular interest or focus on β-lactam, let alone cephalosporin compounds. Such experts could not rely on their own experience and memories of these publications and they opined on the validity of various process patents at issue simply on the basis of the written material provided to them.

 

[102]       Even Dr. Hanessian, who was, to some extent, working in that field in the late 1970’s, does not properly address the notion of common general knowledge and what search would normally be done at the time by the skilled addressee. He noted during one of his cross-examinations that he was aware of some of the materials given to him but did not specify when he had become aware of this material during his career. Was it only in the 1980’s when he got more deeply involved with cephalosporins?

 

[103]       Certainly none of these experts describe the beliefs and biases commonly held by such an addressee at the relevant time that could not be expressed in printed form.

 

[104]       The distinction between common general knowledge and prior art which is part of the state of the art for the purpose of assessing anticipation and obviousness tends to diminish in modern times because of the sophistication of search engines and the availability of electronic publications and databases. Nevertheless, the degree to which a particular publication was “generally regarded as a good basis for further action” (General Tire, at p. 483) is still very relevant when one considers issues such as obviousness, where mosaicing is permitted in certain circumstances.

 

[105]       That said, the Court will now turn to the immediate task at hand, which is the construction of the individual patents.

 

4.3. The ‘007 Patent

[106]       The claims of the ‘007 patent that remain at issue are claims 1, 4 (dependent on claims 1, 2 or 3), 13 (dependent on claims 8, 9 or 10), 17 (dependent on claims 8, 9 or 10) and 18 (dependent on claims 8, 9 or 10). Claims 1 and 4 are compound claims, whereas claims 13, 17 and 18 are process claims. It is not necessary to reproduce all of these claims here; an example of each type will suffice.

 

[107]       The Court will use claims 1 and 17, as their construction has been a subject of dispute between the parties. These claims read as follows:

1. A halogenating compound of the general formula      

which is the kinetically controlled product of the reaction of equivalent amounts of a triaryl phosphite of the formula

 

and chlorine or bromine in a substantially anhydrous inert organic solvent wherein in the above formulas Z is hydrogen, halo, C1-C4 alkyl or C1-C4 alkoxy, and X is Cl or Br.

17. The process of claim 8, 9 or 10 wherein the solvent is an aromatic hydrocarbon or halogenated hydrocarbon.

 

However, to better understand claim 17, one must look, for example, as to how it would read if one used the process described in claim 8. It would cover a process for preparing a halogenating compound of the general formula:

which is the kinetically controlled product of the reaction of equivalent amounts of a triaryl phosphite of the formula:

 

and chlorine or bromine in substantially anhydrous inert [aromatic hydrocarbon or halogenated hydrocarbon] wherein the above formulas Z is hydrogen, halo, C1-C4 alkyl or C1-C4 alkoxy, and X is Cl or Br.

 

 

[108]       It is also useful to reproduce claim 6 which, although not at issue, has been referred to by all parties when discussing the essential elements of claims 1 and 4 in particular.

 

6. A compound having the empirical formula

 

which

(a) has a 31P nuclear magnetic resonance signal in methylene chloride at -3.7 ppm relative to that of phosphoric acid;

(b) has in, methylene chloride, an infrared spectrum which exhibits the following characteristic absorptions: 1120-1190 (very strong), 1070 (very strong), 1035 (strong), 1010 (very strong), 990 (very strong), 640 (medium), 625 (medium) , 580 (weak), 510 (strong) and 465 (weak)

(c) reacts with water to give HCl and triphenyl

phosphate; and

(d) reacts with n-butanol to give HCl n-butyl

chloride, and triphenyl phosphate.

 

[109]       The common elements of claims 1, 4, 13, 17 and 18 are (1) a halogenating compound of the general formula described therein; (2) which is the kinetically controlled product; (3) of the reaction; (4) of equivalent amounts; (5) of triaryl phosphite;[33] (6) and Cl or bromine (Br);[34] (7) in a substantially anhydrous inert organic solvent.[35] It is not disputed that these seven elements (in the form covered by each claim) are essential elements of these claims.

 

[110]       The parties disagree, however, on whether or not the specific solvent described in claim 17 is an essential element of that claim. This will be discussed later. They also disagree as to the impact of the words “[a] halogenating compound” at the beginning of claim 1, for example. Is claim 1 a Shell Oil type claim (Shell Oil Co. v. Canada (Commissioner of Patents), [1982] 2 S.C.R. 536, 142 D.L.R. (3d) 117), i.e. a claim for a new use of the kinetically controlled product of the reaction described therein, or is the reference to halogenating compounds simply a description of the nature or class of the compound described by formula I per se? There is also a dispute as to whether or not the term “kinetically controlled product” necessarily and implicitly includes the properties[36] described in Table 1 (p. 8 of the disclosure) as an essential element when the reaction is between TPP and Cl (i.e. where Z and X of the formula in claim 1 is H and Cl respectively).

 

[111]       It is undisputed that “substantially anhydrous inert organic solvent” means a solvent that is not going to react with the compound and that is substantially water-free or contains

 

little water. The term substantially anhydrous, as used in the disclosure and the patent, is also defined at p. 14 to mean that:

although anhydrous organic solvents are generally preferred, trace amounts of water, such as that often found in commercially available solvents, can be tolerated. Although the kinetic products described herein will react with any water present in the solvent medium, additional amounts of reagents can easily be added to compensate for the loss. It is preferred that conventional laboratory techniques be employed to dry the solvents employed and to exclude moisture from the reaction mixtures.


[112]       Although the disclosure describes suitable solvents that can be used in great detail at pp. 14 and 15 it is also stated that the “[p]referred solvents for the preparation of the [claimed] compounds are hydrocarbons, especially aromatic hydrocarbons, and halogenated hydrocarbon solvents”, such as those specifically referred to in claim 17. In addition, “[t]he particular inert organic solvent employed as a medium for the preparation of the […] triaryl phosphite-chlorine complex or as a medium for its use in halogenation processes is not critical”.

[113]       With respect to the nature of the invention, the disclosure states, at p. 1, that it is “directed to a novel class of halogenating agents which are useful in preparing 3-halo-3-cephems.” The said halogenating agents are described as “highly reactive halogenating compounds, having the structural formula [I]”[37] and “derived from the reaction of a triaryl phosphite and chlorine or bromine respectively.” It then states that “[a] number of

 

 

halogenating agents derived from halogens and phosphorus or phosphorus containing compounds have been described” in the prior art and that:

[o]f those prior art compounds, those most closely related to the present compounds are the triphenyl phosphite dihalides which have an empirical formula identical to that of the present compounds. See, for example, D. G. Coe, S. R. Landauer, and H. N. Rydon, J. Chem. Soc., 2021 (1954) and H. N. Rydon and B. L. Tonge, J. Chem. Soc., 3043 (1956).[[38]]

 

[114]       At p. 3, the disclosure acknowledges that “the present halogenating compounds can be described as intermediates, previously unrecognized, in the preparation of the prior art triaryl phosphite dihalides from triaryl phosphites and chlorine or bromine.” (Emphasis added.)

 

[115]        The disclosure also states that, although the prior art triaryl phosphite dihalide and the claimed triaryl phosphite-halogen compound have two discrete molecular forms (i.e. a kinetic form and a thermodynamically stable form described in the prior art), their exact molecular forms have not been established definitively. Therefore, the dot (●) in the general formula used for example in claims 1 and 17 (dependent on claim 8, 9, or 10):

is used simply to designate that equivalent amounts of halogen and phosphite reagent are combined chemically and in a way that can be distinguished from that in the prior art compounds which typically have been drawn without the dot.

 

[p. 4 of the disclosure]

 

The only further information with respect to the molecular form of the claimed compounds is that “physical-chemical data do indicate that the kinetic product is one wherein the phosphorus center acquires some cationic character.”[39]

 

[116]       At p. 15, the specification also states that:

the triaryl phosphite-halogen complexes of the present invention are potent halogenating agents. Like the prior art thermodynamically stable triaryl phosphite dihalide compounds, the present kinetic complexes react with aliphatic alcohols to provide the corresponding alkyl halides (with different by-products). Unlike the prior art triaryl phosphite dichlorides, however, the present compounds efficiently halogenate under mild conditions both enolic groups to form the corresponding vinyl halides and, in the presence of base, amido functions to form the corresponding imino halides.

 

More particularly the present halogenating complexes can be used in preparing known 3-halo-cephem antibiotics of the formula [V].

 

[Emphasis and footnote added; emphasis in the original omitted.]



[117]       However, as mentioned earlier, there is no specific reference to this use of the claimed compounds or processes in any of the claims.

 

[118]       The disclosure discusses in some detail how the reaction should be carried out to maximize the formation of the kinetically controlled products and means for stabilizing those products. However, except for claims 18 and 8, where the reaction temperature for carrying out the process of the claims described therein is stated as “about -70 to about 0º C” and, to some extent, claims 17 and 27, which specifically refer to the solvent being an aromatic hydrocarbon or halogenated hydrocarbon[40], none of the claims include elements directed to stabilizing or improving the formation of the kinetically controlled product of the reaction described in the claims.

 

[119]       The disclosure describes in some detail how the kinetically controlled product converts to a corresponding thermodynamically stable prior art form at varying rates, depending on, among other things, the nature of the triaryl phosphite, the halogen, the solvent and the solution temperature (see pp. 6-11) and discusses the half-life of the kinetically controlled product as well as how to use 31P NMR to determine the half-life of the product or its presence in solution. It also lists in Table 1 on p. 8 five indicia, or properties, differentiating the kinetically controlled product and the thermodynamically controlled product of the reaction of TPP and Cl. These are 1) a 31P NMR shift in CH2Cl2; 2) the half-life in CH2Cl2; 3) infrared data; 4) the reaction products obtained when each compound is hydrolyzed; and, 5) the reaction products with N-Butanol (See also p. 7, lines 18 to 21; p. 2, line 20 to p. 3, line 3; p. 9, lines 1 to 8). Again, except for claims 6 and 7, there is no express reference to such characteristics in the claims.

 

[120]       The disclosure of the ‘007 patent includes 10 examples and only examples 1 and 2 provide corresponding 31P NMR data to identify the kinetically controlled product obtained in methylene chloride from the reaction of TPP with Br (example 1) and TPP with Cl (example 2). In both instances, it appears that a +3.7 ppm shift was observed.[41]/[42] The 31P NMR for the thermodynamic product was described as -22.7 ppm.[43]

 

[121]       As noted, claim 6 (an independent claim) expressly refers to four properties of the product from the reaction of TPP and Cl listed in Table 1. This includes a 31P NMR shift at +3.7 ppm (in CH2Cl2), IR data, by-products of hydrolysis and reaction with N-Butanol. Claim 7 covers the kinetically controlled product of the reaction of TPP with Br in methylene chloride and only refers to the 31P NMR resonant signal at +3.7 ppm.[44] Although these two claims are not at issue, as mentioned in Hoffmann (2005) and Halford, they can be useful in construing the claims at issue.

 

[122]       Each claim is generally to be given a distinct and effective meaning. It is clear that claim 6 is more limited in scope than claim 1 because it covers only a subset of the compound, i.e. when Z = H and X = Cl. In my view, it is also evident that they have different essential elements given that these claims adopt a very different approach to delineate the monopoly they cover. In claim 1, the general formula representing the halogenating compound is only particularized by reference to the kinetically controlled nature of the product and the main features of the reaction producing it (i.e. how it can be obtained). Conversely, claim 6 defines its monopoly by reference to the empirical formula of the compound and the properties that further distinguish it from the prior art dihalides having a similar empirical formula (Table 1, p. 8).

 

[123]       Inasmuch as one could not construe claim 6 as including, as essential elements of the claim, the reaction of equivalent amounts of the materials described in claim 1 without rewriting the claim, one could not construe claim 1 as including as its essential elements the properties described in claim 6. If, by construing the claim, one were to limit or incorporate the elements of one independent claim into the elements of another independent claim, one would disregard the right of the inventors to adopt different ways of defining their monopoly and describing different aspects of an invention, which may or may not be too limited or too wide.[45]

 

[124]       Having considered the specification as a whole, the Court can now address the main issues raised by the parties (see para. 110, above).

 

[125]       The Court cannot accept Apotex’s argument (summarized at paras. 151-160 of its memorandum on infringement[46]) that the expression “kinetically controlled product” in claim 1 would be read and understood by a posita as including as one of its essential elements, a 31P NMR shift of +3.7 ppm (or any other data included in claim 6) when applied to the kinetically controlled product of the reaction between TPP and Cl.

 

[126]       Among other things, the Court notes that the disclosure, at pp. 4 and 5, is quite specific as to the meaning of this term:

 [H]erein, the terms “kinetic compound,” “kinetic complex,” “triaryl phosphite-halogen complex (compound)”, “kinetically controlled halogenating compounds,” and “kinetically controlled product (compound)” are used synonymously and likewise are to be distinguished from those triaryl phosphite dihalides of the prior art.

 

The term kinetically controlled product is a term of art which, when used in reference to reactions yielding two (or more) products, refers to the product formed faster, regardless of its thermodynamic stability.

 

[127]       There is evidence from Dr. McClelland that a skilled person would understand the meaning of “kinetically controlled product” without even consulting the disclosure preceding the claims.[47] In any event, after discussing various criteria contained in the disclosure, such as half-life and reactivity, which distinguish the claimed compound from the thermodynamic product, Dr. McClelland states that:

This is criteria, but the basic term, “kinetic complex,” as used in the patent, indicates that it’s not stable in regards to what its half-life is, and that it would convert to the thermodynamic complex with time.[[48]]

 

[128]       This is perfectly in line with the Court’s understanding of the patent.

 

[129]       Given the uncertainty as to the molecular structure, Apotex’s experts appear to focus on the need to better understand and identify the claimed compounds. For this purpose they use the properties described in Table 1 which in fact concern only one such compound. [49] The inventors did not wish to be tied down to a particular molecular structure and they used the formula with a dot (●) only to distinguish the claimed compounds from the thermodynamic compounds described in the prior art.[50] It is evident that the information given in Table 1 and elsewhere in the disclosure will enable the posita to more easily identify and use the claimed compounds and processes. This does not however answer the question of law as to whether these elements are included in claim 1 as essential elements of the monopoly described therein.

 

[130]       Also, Dr. McClelland clearly adds words to the disclosure when, in para. 15 of his affidavit (TX-1764) he states that:

[t]he skilled chemist would understand from the patent that these criteria such as the 31P NMR chemical shift and the IR are to be employed to distinguish the novel kinetic product […] claimed in the Patent from the prior art, i.e. from the thermodynamic product […] and other previously unrecognized halogenating compounds with the same empirical formula.”[[51]]

 

[Emphasis added]

 

In fact, there is no mention in the specification that the inventors are trying to distinguish their claimed kinetic product from previously unrecognized intermediates made using Rydon. On the contrary, they clearly focus on distinguishing the kinetic products from the prior art dihalides, i.e. the thermodynamic form of the compounds disclosed in the prior art.[52]

 

[131]       The idea that a posita would try to determine what novel compound was claimed, meaning according to Dr. McClelland, what differentiated the previously made and unrecognized compound in Rydon versus the claimed compound, is not acceptable. Even the Courts had not specified that previously made but unrecognized compounds could prevent Lilly from claiming novelty in the ‘007 patent until the decision of the House of Lords in Merrell Dow Pharmaceuticals Inc. and another v. HN Norton & Co. Ltd. and others, [1997] BMLR 201, [1996] RPC 76 (Merrell Dow Pharmaceuticals Inc.) in 1995 and in Canada until the decision of the Federal Court of Appeal in Abbott Laboratories v. Canada (Minister of Health), 2006 FCA 187, 350 N.R. 242 (Abbott (2006)).

 

[132]       The Court is not convinced that Apotex has established that Tseng and Michalski’s articles, particularly the information the authors give about 31P NMR shift of the substances discussed therein, were part of the common general knowledge available to the addressee of the patent at the date of issuance. That said, to avoid any collateral debate, the Court did in fact consider this information to determine if it would have any impact on the construction at issue and concluded that it would not. It is therefore not useful to elaborate further on this.

 

[133]       Also in respect of common general knowledge, the Court agrees with Apotex that Dr. Gorenstein’s evidence, to the effect that it was well-known and part of the general common knowledge at the relevant time, that 31P NMR shifts were susceptible to variations of several ppm (more than the ±1 ppm advanced by some of Apotex’s experts) for a given compound as a result of very many variables,[53] was not proper reply evidence because Dr. Hunter had already addressed this very issue in a prior affidavit. But this conclusion is of no moment, given that the Court found Dr. Hunter’s evidence credible in that respect and gave it much weight, but more importantly because this evidence has little impact, if any, on the Court’s conclusion in respect of the construction of claims 1 and 4. Again, like the Tseng and Michalski articles, it may well have an impact on the construction of claim 6 but this claim is not at issue and the Court certainly does not need to decide what variant[54], if any, would be covered by the express reference to a shift of +3.7 ppm.

 

[134]       Turning now to the second element in dispute, the Court must also reject Lilly’s argument that claim 1 is a Shell Oil-type claim, where the invention is a new use of a previously unrecognized compound as opposed to a classic compound claim.

 

[135]       There is no mention in the patent that the previously unrecognized intermediate discussed in the disclosure was not a halogenating compound and should be distinguished in any way from the claimed compound on that basis.

 

[136]       However, as mentioned earlier, it is clearly stated in the disclosure that both the thermodynamic products and the kinetically controlled products of the reactions described in the claims are halogenating compounds. The only discussion of a new or distinct use of the kinetically controlled compound is in contradistinction with the prior art triaryl phosphite dihalides and it concerns their ability to efficiently halogenate under mild conditions both enolic groups and their “utility” in preparing known 3-halocephem antibiotics of the formula described on p. 15 of the patent. The words “a halogenating compound” cannot be meant to infer those distinctions. The Court is thus satisfied that the reference to “halogenating compounds” is simply descriptive of the class of compounds to which the claimed compounds pertain.[55] The invention as described and claimed is thus the compounds themselves and the processes to produce these compounds.

 

[137]       With respect to claim 17, the Court must determine whether or not the particular solvent (an aromatic or halogenated hydrocarbon) is an essential element of the claim. As noted earlier, the disclosure states that the particular inert organic solvent employed is not critical to the making of the claimed compounds so long as it is substantially anhydrous. On the other hand, it is undisputed that an anhydrous solvent is essential for the process to work and the only solvents in claim 17 are the preferred solvents described on p. 15 of the patent.

 

[138]       As a dependent claim, it covers a particular embodiment of the invention described in claim 8, 9 or 10. The solvent is its only distinguishing feature. Here it is worth pointing out again that one of the main purposes of establishing what is essential in that claim is to determine what element cannot be varied in an allegedly infringing product. In other words, could one infringe claim 17 without using an aromatic or halogenated hydrocarbon. To ask the question is to answer it, which answer is obviously no.

 

[139]       To say otherwise would mean that this claim is not distinct at all from claim 8, 9 or 10. As described in Whirlpool and Free World Trust, there are limits to how the Court may use the disclosure to construe the claims. The disclosure cannot be used to rewrite a claim. If an inventor has clearly limited his or her monopoly by making essential what is clearly not necessary to the proper working of the invention, he will suffer the consequences and will not be able to prevent a third party from using his invention for it will be able, with a simple variation, to avoid infringement.

 

[140]       To adopt Apotex’s position that the solvent in claim 17 is a non-essential element would mean that this claim is essentially read out of the patent and has absolutely no meaning.

 

[141]       It may well be that the claim is invalid for lack of novelty or inventiveness or that it is not patentably distinct but that is not to be decided at this stage.

 

4.4. The Lilly Process Patents

[142]       It is not disputed that the applications for these three process patents were filed on the same day as the ‘007 patent.[56]

 

[143]       The Lilly process patents relate to the use of the kinetically controlled product discussed in the ‘007 patent, to effect, either alone or in any combination, the following steps: cephalosporin sulfoxide reduction, enol chlorination and imino halide formation. The schematic depictions of these steps are described in para. 18 or Dr. Baldwin’s report (E-6) as follows:

[144]       Optionally, included within some of the claims of each of the Lilly process patents, is a subsequent alcoholysis (converting the imino halide intermediate to an amine) and salt formation steps. That said, and given that the construction of the claims in the patents raises no substantial issue, the Court will only discuss the ‘536 patent in some detail, for this is the most comprehensive, and will briefly deal with the other two patents.

 

4.4.1. The ‘536 Patent

[145]       The following are the claims being pursued at trial: 4-6, 8, 11, 14-18, 20-22, 27 and 30-34. They are all dependent claims.

 

[146]       The ‘536 patent is entitled “Cephalosporin reduction process”. The specification starts by disclosing that “[c]ephalosporin sulfoxides are widely used intermediates in the synthesis of cephalosporin antibiotics.” Several examples are provided and relevant prior art, such as two patents by Dr. Douglas C. Spry, one by Dr. Stjepan Kukolja and a couple of patents by Dr. Robert R. Chauvette.[57] It states in particular at p. 2 that the “3-exomethylenecepham sulfoxides are useful intermediates in the preparation of the 3-halo substituted cephalosporins described by Chauvette […] and in the synthesis of the 3-methoxy-3-cephem antibiotic compounds described by Chauvette […].”

 

[147]       At p. 3, it is noted that “[p]rior to this invention one preferred method for reducing cephalosporin sulfoxide was that of Murphy et al., U.S. Pat. No. 3,641,014.” It also deals with other reduction methods, disclosed by Drs. Lowell D. Hatfield, Kukolja and Spry in other patents. It continues by saying, at pp. 3-4, that:

In view of the usefulness of cephalosporin sulfoxides in the synthesis of cephalosporin antibiotics, more efficient and more economical methods for sulfoxide reduction, have been the object of extensive research efforts. This invention provides a process for the reduction of cephalosporin sulfoxides. More particularly this invention is directed to a process for reducing cephalosporin sulfoxides using a recently discovered class of triaryl phosphite-halogen compounds, derived from the kinetically controlled reaction of equivalent amounts of triaryl phosphites and chlorine or bromine. The triaryl phosphite-halogen reducing compounds employed the present reduction process are useful for effecting other desirable chemical modifications (halogenation) of cephalosporin compounds. It is therefore another object of the present invention to provide processes for one step reduction/halogenation conversions of C-7 acylamino cephalosporin sulfoxides to 7-amino cephalosporins or depending on the cephalosporin starting materials and the amounts of reagents employed C-7 acylamino halogenated cephalosporins or C-7 amino halogenated cephalosporins.

 

Further, the invention is said to “also be directed to processes wherein the triaryl phosphite-halogen complex is utilized to effect multiple chemical conversions of the cephalosporin sulfoxide starting materials in one reaction mixture.”[58]

 

[148]       On p. 5, the disclosure says that the “products formed in the present process are known antibiotic compounds or intermediates thereto.”

 

[149]       As in the ‘007 patent, at p. 9 one can read that:

The dot (●) in the general formula used to represent the kinetically controlled products employed in the present processes is used simply to designate that equivalent amounts of halogen and triaryl phosphite are combined chemically and in a way that can be distinguished from that in the thermodynamically stable derivatives that have been known in the art and which typically have been drawn without the dot [e.g. (PHO)3PCl2]. The exact molecular form of the triaryl phosphite-halogen kinetic complexes […] has not been established definitively […].

 

[150]        The specification then discusses in detail the preparation of the kinetically controlled products, the solvents to be used, the reaction conditions, some properties distinguishing the kinetic product and the thermodynamic product when TPP and Cl are reacted in methylene chloride, including the data found in Table 1 of the patent which is identical to the one discussed earlier in respect of the ‘007 patent. It deals with temperatures and preferred conditions for the formation of the kinetically controlled products and their stabilization in a tertiary amine base as well as details of temperatures for carrying out the processes and chemical reactions claimed in the patent. At p. 17, it also mentions that, because the reduction process claimed produces Cl or Br as a by-product, “[i]n order to prevent undesirable side reactions between the halogen by-product and the cephalosporin product, a halogen scavenger is used in the reaction mixture to react with or inactivate the chlorine or bromine as it is formed.” The term “halogen scavenger” is defined and various such scavengers are discussed. Further details (such as quantities, etc.) as to how to use the kinetic product to effect one or a combination of the reactions claimed are also given.

 

[151]       On p. 35, there is a discussion of how “[t]he triaryl phosphite-halogen complexes utilized as reducing agents in the present process are also potent halogenating agents” and how “[t]he multiple reactivity of the triaryl phosphite-halogen kinetic complexes is exploited in each of several alternate embodiments of the present invention.” At pp. 46-47, the inventor particularly mentions that:

combining the […] reduction/-enol-imino halogenation (Scheme III above [found on p. 36 of the patent]), using a triaryl phosphite-chlorine complex, with subsequent alcoholysis of the resulting imino chloride constitutes an improved method of preparation of 7-amino-3-chloro-3-cephem-4-carboxylic acid esters [7-ACCA] from the corresponding 7-acylamino-3-hydroxy-3-cephem-4-carboxylic acid ester sulfoxides. Prior to this invention the total 3-function conversion was effected either in 3 separate steps, that is reduction, chlorination and side chain cleavage or in two steps, either combining reduction and chlorination (see U.S. Patent No. 4,115,643) with subsequent side chain cleavage or by combining chlorination and side chain cleavage after reduction of the sulfoxide entity, for example, using the method disclosed in U.S. Patent No. 4,044,002. With the discovery of the present process the reduction, chlorination and cleavage conversion can be executed in excellent yields in one reaction vessel without isolation of intermediates.

 

[152]       This is said to be of particular significance, given that the 3-halocephem nucleus ester “can be acylated using conventional acylation techniques and subsequently deesterified to provide known antibiotic compounds [particularly cefaclor]” (p. 47, lines 6-14).

 

[153]       After providing 96 examples, the 70-page disclosure concludes with a list of 52 claims.

 

[154]        For the purpose of considering what aspects of the construction of the claims are at issue here, it is sufficient to reproduce claims, 1, 9, 10 and 11.

 

[155]       Claim 1:

A process for reducing a cephalosporin sulfoxide to the corresponding cephalosporin which comprises reacting said cephalosporin sulfoxide with a triaryl phosphite-halogen complex of the formula

 

 

wherein X is Cl or Br, and Z is hydrogen, halo, C1-C4 alkyl or C1-C4 alkoxy, which is the kinetically controlled product of the reaction of equivalent amounts of a triaryl phosphite of the formula

 

and chlorine or bromine in an inert organic solvent,

 

in the presence of at least 1 equivalent of a halogen scavenger per equivalent of cephalosporin sulfoxide in a substantially anhydrous inert organic solvent at a temperature of about 30°C. or below;

 

provided that

 

(a) about 1.0 to about 1.3 equivalents of the triarylphosphite-halogen complex per equivalent of cephalosporin sulfoxide are employed when the reduction of the sulfoxide group is the only reaction desired,

 

(b) about 2 to about 3 equivalents of the triarylphosphite-halogen complex per equivalent of cephalosporin sulfoxide are employed when the cephalosporin sulfoxide is a 3-hydroxy cephalosporin sulfoxide and it is desired to simultaneously reduce the sulfoxide and halogenate the 3-position, or the cephalosporin sulfoxide is a 7-acylamino cephalosporin sulfoxide and it is desired to simultaneously reduce the sulfoxide group and convert the acylamino group to an imino halide group, and

 

(c) about 3 to about 5 equivalents of the triaryl phosphite-halogen complex per equivalent of cephalosporin sulfoxide are employed when the cephalosporin sulfoxide is a 3-hydroxy-7-acylamino cephalosporin sulfoxide and it is desired to simultaneously reduce the sulfoxide group, halogenate the 3-position, and convert the acylamino group to an imino halide group; and further provided that when the cephalosporin sulfoxide has a free amino, hydroxy or carboxy group on the C-7 substituent, those groups are first protected by conventional amino, hydroxy or carboxy protecting groups.[[59]]

 

[156]       There is no dispute as to the meaning of this claim and no issue as to whether or not certain elements described therein are essential. What is clear is that the claim requires the following elements: (i) cephalosporin sulfoxide; (ii) kinetic complex as defined by the formula and the reaction of equivalent amounts of the components described therein; (iii) at least one equivalent of halogen scavenger per equivalent of cephalosporin sulfoxide; (iv) an anhydrous inert organic solvent; (v) a temperature of 30º C or below; and, (vi) that certain quantities of kinetic complex be used depending on how many steps one wishes to perform.

 

[157]       Claim 4 is dependent on claims 1 and 3 and specifies the various substituents on the cephalosporin sulfoxide starting material involved in the reaction. Claim 5 is dependent on claims 1, 2 and 3 and limits the starting material to 3-cephem sulfoxide or 3-exomethylene cepham sulfoxide. Claim 6 is dependent on claim 1 but includes specific halogen scavengers. Claim 8 is dependent on claims 1 or 2 with a more specific temperature range.

 

[158]       Claims 9, 10 and 11 read as follows:

9. The process of claim 1 wherein X is Br.

 

10. The process of claim 9 wherein Z is hydrogen.

 

11. The process of claims 1, 2 or 10 wherein X is Cl.

 

[159]       There was an argument raised by Apotex as to how one could construe claim 11, given its reference to claim 10, which itself refers to claim 9, wherein X is Br, whereas according to claim 11, X is Cl. There is little doubt that a person skilled in the art with a mind willing to understand would simply disregard this apparent contradiction and would understand claim 11 to apply only to processes wherein X is Cl. The reference to claim 10 being understood to refer to the process where Z is hydrogen.

[160]       Claim 14 is dependent on claims 1, 12, and 13 “wherein the tertiary amine base is pyridine.” Claim 15 is the process of claim 1 where the “solvent is an aromatic or halogenated hydrocarbon.” Claim 16 is dependent on claims 1 and 15 but further limits the solvent to methylene chloride. Claim 17 is dependent on claims 1 and 3 but limits the acyl group R3. Claim 18 covers a one step reduction process only using a TPP and Cl complex having the characteristic of +3.7 ppm signal (again, as per the new convention) and specific infrared data described in the claim. While claim 20 (dependent on claims 1 and 19) covers a two step process (reduction of sulfoxide/halogenation of the enol chlorination) using a TPP and Cl complex as a reagent, claim 21 (dependent on claims 1, 19 or 20) deals again with the two steps described above using the TPP and Cl complex but in the presence of a tertiary base. Claim 22 is another claim dependent on claims 1 and 19 which covers specific halogen scavengers.

 

[161]       Claim 27 is dependent on claims 1, 19, 20, or 25, which deals with situations where X is Cl and it appears to be somewhat redundant in respect of claim 20, which already refers to the use of TPP and Cl complexes. Claim 30 is dependent on the process of claim 1 for specific cephalosporins with the use of pyridine as a tertiary amine base. Claim 31 is dependent on claims 1 and 19 for specific cephalosporins wherein the inert organic solvent is an aromatic or halogenated hydrocarbon. Claim 32 (dependent on claims 19, 20, or 31 and thus, claim 1) further limits the solvent to methylene chloride. Claim 33 is dependent on claims 19 or 20 and claim 1, with a specific acyl group. Claim 34,[60] like claim 18, includes a description of the characteristics of the TPP and Cl complex to be used in the process such as infrared data and 31P NMR shift. It applies in the context of a two step process (or imino halide formation process).

 

[162]       As with the construction of claim 1 in the ‘007 patent, the Court does not find that the 31P NMR shift of +3.7 ppm and presumably the IR data described in Table 1 of the ‘536 patent are essential elements of any of the claims which simply refer to the kinetically controlled product of the reaction of a triaryl phosphite and Cl or Br in an inert organic solvent. This is particularly clear when one considers that claim 18 (dependent on claim 1) only has two distinguishing features – these two properties.

 

[163]       From all of the above, the Court concludes that the invention is alternative or improved[61] processes as opposed to new processes for transforming cephalosporin sulfoxides. It consists mainly in the use of the kinetically controlled product described therein as the reagent and in the fact that said reagent may be used to make up to three reactions or steps in one pot.

 

4.4.2. The ‘725 Patent

[164]       The claims at issue here are claims 1 (the only independent claim in the patent), 16, 22 to 27 and 30. The patent is entitled “Process for Halogenation of β-lactam Compounds”. The ‘725 patent claims a process again requiring the use of the kinetically controlled product of the reaction of equivalent amounts of defined triaryl phosphite and Cl or Br as halogenating agents to convert the 3-hydroxy group at the 3-position of a cephem ring to a halo group as well as a process using the same kinetic product to convert a class of halides to corresponding amino halides (two of the three steps already described in respect of the ’536 patent). Again, on p. 28, the specification notes that “[c]ombining the aforedescribed enol-halogenation/imino-halogenation process, where X is Cl, with subsequent alcoholysis of the resulting imino chloride constitutes an improved method of preparation of the 7-amino-3-chloro-3-cephem-4-carboxylic acid esters”. It is then mentioned, on p. 29, that this is of particular significance given that the 3-halocephem nucleus esters “can be acylated using conventional acylation techniques and subsequently deesterified to provide known antibiotic[s]”, such as cefaclor.

 

[165]       Forty-eight examples are then provided and the patent ends with 30 claims, some of which include the alcoholysis step after the formation of the imino chloride products is complete (see for example claim 27, a process claim dependent on claim 16). There is only one claim at issue (claim 30) that includes a reference to the various characteristics of the specific kinetically controlled product described therein (all the characteristics found in Table 1, reproduced at p. 8, except the half-life).

 

[166]       Claim 1 covers the process described previously using the kinetic complex made in a substantially anhydrous inert organic solvent at a temperature below about 30º C in a prescribed ratio depending if one desires to simply halogenate the enol of formula V (about 1.0 to about 1.3 equivalents of triarylphosphite-halogen complex per equivalent of cephalosporin starting material) or to also carry out imino-halogenation (about 2.0 to about 3.0 equivalents of triarylphosphite-halogen complex per equivalent of cephalosporin starting material). The imino-halogenation must also be carried out “in the presence of about 1.0 to about 1.2 equivalents of a tertiary amine base per equivalent of [kinetic complex].”

 

[167]       Claim 16 is dependent on claim 15 which covers the process of claim 1 for preparing 7-imino halide-3-halo-3-cephem from 7-acylamino-3-hydroxy-3-cephem. Claim 16 covers said process where the kinetic complex is TPP and Cl.

 

[168]       Claim 22 covers the process of claim 15 where X is Cl while claim 23 covers the same process but where Z is hydrogen and X can be either Cl or Br. Claims 24 and 25 depend on claim 15 but limit the type of solvents (aromatic or halogenated hydrocarbon and methylene chloride respectively). Claim 26 is dependent on claim 15 or 16 and specifies the acyl group.

 

[169]       For reasons already given in respect of claims 18 and 34 of the ‘536 patent, the Court does not need to determine the essential elements of claim 30, given that it will not deal with the issue of infringement for such claim. Furthermore, as there are no other disagreements as to the construction of any of the other claims at issue, there is little more to say other than this patent also relates to an alternative or improved process (one or two steps in one pot) where the key feature is the use of the kinetically controlled product of the reaction described therein as reagent.

 

                        4.4.3. The ‘468 Patent

[170]       This process patent is entitled “Process for Preparation of Penicillin and Cephalosporin Imino-Halides”. The patent contains only two independent

 

 

claims, i.e. claims 1 and 8. The claims at issue are dependent claims 2, 7 and 17-20, as well as claim 8.

[171]       The disclosure starts by making it clear that the process for “the cleavage of the C-6 or C-7 acylamino group to provide the corresponding C-6 or C-7 amino compounds which are reacylated […]” is known. Thus, the specification states on p. 2 that “an object of the present invention [is] to provide a new process for preparing penicillin and cephalosporin imino halides”, more precisely “to provide a high yielding method of preparing C-6 and C-7 imino halides of penicillin and cephalosporin respectively using novel triaryl phosphite-halogen kinetic complexes”. As this is the last of the three steps covered in the ‘536 patent and of the two steps covered in the ‘725 patent, it contains many similar details about the process itself and about the reagent and its preparation. The disclosure gives thirty examples and ends with 20 claims. The Court will not review the specific wording of any of those claims as there is no dispute between the parties as to their construction.

 

[172]       Here again, and for reasons similar to those expressed in respect of the ‘007 patent, the Court does not consider the 31P NMR shift of the TPP and Cl complex (and the other properties described in Table 1) to be an essential element of claim 1 or its dependent claims that make no reference to such properties when describing the kinetic product to be used in the claimed processes. The only claims at issue that specifically referred to such properties are claim 8 and its dependent claims (one alternative in claims 17-20). As was noted in respect of claims 18 and 34 of the ‘536 patent, even if it is likely that these elements are essential elements of those claims, there was no argument presented in that respect. There is no need to make a judicial determination of this issue.

 

[173]       Claim 7 is dependent on claim 5 or 6 and includes the optional alcoholysis step discussed earlier. Claims 17-20 are all dependent on claim 1 or 8. Claim 17 specifies a particular range of temperature, while claim 18 includes specific types of solvents. Claim 19 is limited to certain types of cephalosporins and claim 20 specifies that the halogenating compound in claim 1 or 8 is stabilized by a tertiary amine base.

 

[174]       Once again, it is quite clear that the invention is an alternative or improved process, whose key feature is the use of the triaryl phosphite-halogen kinetic complex.

 

4.5. The Shionogi Patents

[175]       Initially, Shionogi filed an application on February 9, 1976 to obtain a patent covering all the processes described therein, including the compounds obtained from some of these processes. This first application claimed a priority date based on the filing of the Japanese applications (February/March, 1975).

 

[176]       During the patent examination process, the Patent Examiner noted that the application contained more than one invention. He identified four distinct groups of claims and requested amendments. Thereafter, four divisional applications were filed on October 19 and 22, 1979, resulting in the issuance of the four patents at issue. Thus, they all have an identical disclosure;[62] only their claims vary as each now covers a separate portion of the overall synthetic pathway described in the specification which deals with the overall cyclization of the 6-membered ring structure with the concurrent introduction of an OH substituent at the 3-position of the ring that allows for the subsequent conversion of the substituent to Cl. Except in respect of the ‘026 patent where an issue of construction is raised, the content of such disclosure will only be discussed once. Also, because the construction of the claims at issue in each of these patents raises little dispute, my review will be brief.[63]

 

4.5.1. Common Disclosure

[177]       The disclosure starts with the following: “[t]his invention relates to the cyclization to form cephem ring, and the intermediates therefore. More specifically, it relates to a compound” of the formula:

 

where “the substituents can be combined to form an azetidinothiazoline bicyclic ring; and their enamine derivatives, and to the processes for the cyclization to form cephem ring

 

 

through the said intermediates shown above by the reactions representable by the following reaction scheme”:

 

[178]       At p. 2 it is noted that:

Many trials for synthesizing 3-cephem ring in large scale have been reported, but no factory produce cephalosporins by synthesizing nucleus except for cephalexin.[[64]] This invention provides mild cyclization to form 3-hydroxy-3-cephem compounds through 4-mercaptoazetidinone derivatives.

 

Efforts to cyclize a type of compounds of the formula (2) or (3) where Y is other than hydroxy or a substituted amino resulted in unsatisfactory results. However, when Y is a group which promotes enolization to form a double bond toward the exo-position, the cyclization took place smoothly to form the objective 3-hydroxy-3-cephem compound (4).

 

The 3-hydroxy-3-cephem compound (4) is a useful intermediates for synthesizing useful cephem compounds (e.g. recently developed 3-methoxy-7-(α-phenylglycinamido)-3-cephem-4-carboxylic acid [this is cefaclor], 3-chloro-7-(α-phenylglycinamido)-3-cephem-4-carboxylic acid, 3-bromo-7-(2-thienylacetamido)-3-cephem-4-carboxylic acid).

 

[179]       On p. 17, line 23 to p. 18, line 14 of the disclosure, one finds that:

Halogenation of compounds representable by the formula (1) provided Y is other than amino took place smoothly in some cases and with difficulty in other cases. Main difficulty was the position where the halogen atoms was introduced. In other words, the priority of the desired position to other position in the molecule for halogenation was rather small, and it differs from a compound to other. Another factor which restrict Y to the scope given above is found not in the halogenation but in the following reactions, i.e. i) ease of deprotection to give a compound (I) where Y is hydroxy; and ii) ability to cyclize giving the desired cephem compound (4). The compounds representable by formula (1) provided Y is other than hydroxy cyclized unefficiently or insignificantly. From these observations, Y is restricted to include a hydroxy and substituted amino, as is explained above.

 

The deprotection 2) of the compound (2) can be carried out by treating the compound (2) with aqueous acid for the thiazolino-azetidine compound, and by treating the compound (2) where R is a carbonic acyl, with a Lewis acid.

 

The decomposition of the azetidinothiazoline compound with an aqueous acid is a new generic reaction for obtaining the 4-mercapto-3-carboxylic acylamino-2-oxoazetidine derivatives according to the reaction scheme

 

[Depicted on the said page.]

 

 

[180]       On p. 22 of the disclosure after discussing the reactions claimed in the ‘026 patent,[65] one finds that:

[t]he final product is a 3-hydroxy-3-cephem-4-carboxylic acid or 3-oxocepham-4-carboxylic acid (4). In some instances, the substituents at position 3 or 7 on the cephem ring change during the reaction or working up, and as a result, the corresponding substituents in the starting and produced materials differ each other. If desired, such substituents can be recovered or transformed into other required one by conventional methods. Such cases are also included in the scope of the present invention.

 

[181]       And at p. 23, also concerning the ‘026 patent, that:

The halogenation 1), deprotection 2). and cyclization 3) can be carried out in one pot, namely without isolating intermediates, and even without removing each reaction solvents. Therefore, the reactions practically be done as simply as one step reaction (see Examples 2(2) and (3), and Examples 9 to 17 of Part III Cyclization).

 

[See also p. 33, lines 6-12.]

 

 

[182]        The disclosure further indicates that the products of the claimed reactions (except for the 3-hydroxy or 3-oxo) are novel. The lengthy disclosure includes various details relevant to the carrying out of these processes and the preferred modes particularly the

 reasoning behind the choice of substituents and other products to be used such as acids, solvents, etc.

[183]       One also finds the following statement at p. 33: “this invention provides the higher yielding and simpler process from less expensive penicillins to give valuable key intermediates, the 3-hydroxy-3-cephem-compounds.” Numerous examples are given in respect of each of the processes claimed in the individual patents. As mentioned, given that sufficiency was not an issue in respect of these patents.  It is not useful to discuss further these examples or the details given.

 

                        4.5.2. The ‘547 Patent

[184]       This patent, like the other three Shionogi patents, is entitled “Cyclization to Form Cephem Ring and Intermediates Therefore” and the disclosure ends with eight claims. The claims being pursued at trial are claims 1 (independent claim), 3, 5 and 7-8 (dependent claims).

 

[185]       Those claims are directed to processes[66] for preparing hydroxylated compounds from exomethylene compounds (penicillin derived compound, including the Cooper compound), via oxidative cleavage of the unsaturated bond of the exomethylene group and to the resulting compounds.

 

 

 

 

 

[186]       Claim 1 can be summarized as follows:

 

A process for preparing

                                                        

By subjecting[[67]]

 

To oxidation followed by cleavage of the thus produced ozonide.

 

 

[187]       The target compound of claim 1 is the compound claimed in claim 8. Claim 3 is dependent on claims 2 and 1 and relates to the specific use of ozone as the oxidizing material. Claim 5 is dependent on claims 1 and 4, and covers the reduction of the ozonide using specific reducing agents described therein. Claim 7 is dependent on claims 6 and 1 and covers the process of claim 1 in the presence of the specific solvents described therein.

 

 

 

 

                        4.5.3. The ‘924 Patent

[188]       The claims at issue are 3-4, 8-9, 12, 27, 31 and 37. These claims are generally directed to processes for acylating azetidinone compounds and subsequently forming an enamine azetidinone.

 

[189]       Claim 1 can be simplified as follows. A process for preparing:

by reacting

 

            (Enol form)                                           (Keto form)

 

with an acylating agent to introduce the C2-12 carbonic acyl, the C1-20 sulfonyl group, and if required, subjecting such compound to a C2-20  disubstituted amine to give the amine compound.

 

[190]       Claim 3 is dependent on claims 2 and 1 and covers the process where the selected compound is treated with the sulfonylating reagent mentioned therein. Claim 4 (dependent on claims 2 and 1) covers the process for preparing an acylated or sulfonylated azetidinothiazoline. Claim 8 claims a process of further reacting the acylated or sulfonylated compound of claim 1 with dialkylamine, including piperidino and morpholino. Claim 9 is dependent on claim 8 and deals with a specific substituted amino. Claim 12 (dependent on claims 10, 8 and 1) claims the same process wherein R’ is benzyl, X includes the carboxy protecting group benzyhydryloxy and the substituted amine is morpholino.

 

[191]       Claim 27 covers a compound prepared by the process in claim 1 where specific functional groups are as defined in claim 1, whereas claim 31 covers a compound prepared by the process in claim 4 (which is dependent on claims 2 and 1) where specific functional groups are as defined in claim 4. Claim 37 covers a compound prepared by the process in claim 35 (which is dependent on claims 10, 8 and 1) wherein R’ is benzyl; Y” is a morpholino and, when prepared by the process of claim 12 (dependent on claims 10, 8 and 1), X is a p-nitrobenzyloxy, 2,2,2-trichloroethoxy, benzyloxy.

 

                        4.5.4. The ‘132 Patent

[192]       The parties have agreed that the halogenation described in the ‘132 patent can generally be referred to as an allylic halogenation.

[193]       Of the 76 claims in this patent, only claims 15, 22, 29, 34, 38 and 58 are at issue. Claims 15 and 22 are dependent on claim 1. Claim 15 specifies that the halogenating reagent is Cl, Br or iodine, whereas claim 22 is the process of claim 1 but for preparing specific compounds described therein.

 

[194]       Claim 29 is a compound claim dependent on independent claim 24, which generally describes the compounds made using the process claimed in the previous claims (the formula in claim 24 is the same formula as in claim 1) with the same substituents. Claim 34 is another dependent claim, and, like claim 29, it claims a compound with specific substituents described therein.

 

[195]       Claim 38, which is dependent upon claim 36 (and claim 1), covers a specific process involving treating a compound shown in claim 36 with particular substituents with a halogenating reagent which includes Br. The said compound includes a thiazoline β-lactam, in which the Y is a morpholino, the group R is benzyl and the group X may be benzhydryloxy.

 

[196]       Finally, claim 58 covers the compound according to claim 56 prepared by the process of claim 38, where Y is a morpholino, Hal is a Br and X is one of three compounds listed therein, which includes benzhydryloxy.

 

[197]       There was some dispute between the parties as to the meaning of “Hal” in the two independent claims, 1 and 24. Although this is not determinative in any way, given the specific wording of claims 29 and 58, which restrict the definition of “Hal” to a specific halogen other than fluorine, the issue is whether or not claims 1 and 24 would include fluorine as “Hal” in the formula described in the said claims. The disclosure is quite clear at p. 8 that “[h]alogen which may be represented by Hal in the formulae can be a chlorine, bromine, iodine, or fluorine, in which chlorine and bromine are most preferable.”

 

[198]       Having considered the specification as a whole, including the various claims which specify which Hal is covered, the Court concludes that fluorine is included in the halogen (Hal) described in the formulas in claims 1 and 24, although it is evident that this is not the preferred halogen and would be so understood by a posita.

 

                        4.5.5. The ‘026 Patent

[199]       The ‘026 patent has five claims. Generally, the claims of this patent relate to the two steps described in the disclosure as the deprotection and cyclization. The claims being pursued at trial were claims 1, 2 and 4. Claim 1 covers a process for preparing a 3-hydroxy-3-cephem[68] (or its keto tautomer) (A and B below) and an azetidinone enol[69] (or its keto tautomer) (C and D below).

 

[200]       Claim 1 reads as follows:

1.         A process for preparing a compound represented by the following formulas:

 

Wherein A and B are, independently, hydrogen, substituted or unsubstituted alkanoyl, substituted or unsubstituted aralkanoyl or substituted or unsubstituted aroyl, which substituents are such as to not affect the cephem ring formation ability of the compound;

 

X is a hydroxy or carboxy-protecting group;

 

Hal is halogen; and R is hydrogen, alkoxycarbonyl, cycloalkyl-methoxycarbonyl, aralkoxycarbonyl, aryl-, benzothiazolyl-, furyl-, thienyl-, pyrryl-, oxazolyl-, isoxazolyl-, oxadiazolyl-, oxatriazolyl-, pyrazolyl-, imidazolyl-, triazolyl-, tetrazolyl-, pyridyl-, pyrimidyl-, pyrazinyl-, pyridazinyl-, or triazinylthio each being optionally substituted by halogen, alkyl containing from 1 to 3 carbon atoms, hydroxy, aminomethyl or alkoxy containing from 1 to 3 carbon atoms, which comprises:

 

1) treating an enamine of a compound represented by the formula:

 

 

wherein A, B, R, X and Hal are defined above and the broken line between A and R constitutes a combining together of A, B and R when R and B are hydrogens and A is a carboxylic acyl with a disbustituted amino containing from 2 to 20 carbon atoms, with the action of an aqueous acid.

 

 

 

 

2) cyclizing a compound of the formula:

 

 

wherein, A and B are as defined above by treating a selected compound of above formula x with an acid, base, or solvent, if required in the presence of a catalizer to prepare selected compounds of formulas (A) or (B).

 

 

[201]       The starting compound described therein (keto compound) can have a thiazoline ring present or not. In the absence of the thiazoline ring, the sulfur group is independently protected with a thiol substituent (R). In the disclosure, at p. 8, R is described as a thiol substituent which is “easily removable without adverse effect on the other part of the molecule prior or during cyclization reaction” (emphasis added). “It is needless to use the isolated starting material (3) for the reaction” (p. 20, lines 27-28, see also p. 33, lines 6-18).

 

[202]       As a first step, the enamine of the keto compound is treated with an aqueous acid, the result of which is the hydrolysis of the disubstituted enamine group (which is in effect the only reaction expressly described therein). Where a thiazoline ring is present, the experts are in agreement that the first step will also open the thiazoline ring leading to the formation of the compounds represented by C or D where R = H. When a thiazoline ring is not present, depending on the substituent used to independently protect the sulfur group, the first step may or may not result in the deprotection of the sulfur substituent. Where it does, the result is the same as above, that is compound C or D where R = H. Where it does not, R is unchanged.

 

[203]       The step described in para. 2 of claim 1 is the cyclization of the compound described therein (C or D where R=H). This takes place by reacting the said compound with either an acid, a base or a solvent (and optionally, a catalyst) to produce the key intermediate described in the disclosure, that is the 3-hydroxy-3-cephem (represented as A or B).

 

[204]       Dr. Hanessian, who is the only expert for Apotex qualified to opine on how a posita would read this claim, simply describes this as reacting an azetidinone-thiazoline with an aqueous acid to form an azetidinone enol, which is further reacted with an acid, base or solvent (with an optional catalyst) to give the 3-hydroxy-3-cephem compound. He does not raise any difficulty or issue with the construction of this claim.

 

[205]       Dr. McClelland, whom has no relevant experience with cephem compounds and cephalosporins, noted that Dr. Hanessian’s was the literal interpretation he had first adopted but he felt this was not accurate on closer examination of the substances. Dr. McClelland testified to the effect that this cyclization step, on his interpretation of the claim, would not take place when R is a group that cannot be removed through treatment with an aqueous acid. This would mean that for such compound the ending material of the claimed process would be the compounds represented as C or D.[70]

 

[206]       Dr. Barrett, in the course of his cross-examination, agreed that in order to cyclize (second reaction covered in claim 1), R had to equal H. However, he noted that the disclosure contains examples where the R substituent in C or D does not equal H but can be removed effectively in a “one pot” or “two pot”[71] operation through treatment with acid[72] for the purpose of cyclization. This would, as shown in example 2. – III, deprotect the sulfur group (with R becoming H) and allow for cyclization to take place (see also p. 18, lines 7-10, p. 19, line 28 to p. 21, line 19 of the disclosure).

 

[207]       There is no evidence of any allowed R substituent that would not permit cyclization when one considers the “one pot” or “two pot” method or the fact that the removal of the thiol substituent can be done during cyclization[73] as a preliminary reaction that will enable the R substituent to become H and thus arriving at compounds A or B.

 

[208]       Based on the evidentiary record before me and on my review of the patent, I conclude that a posita would understand that in all cases the processes claimed in the ‘026 patent can lead to compounds A or B.

 

[209]       In any event, this particular issue of whether or not the product of the reaction will be compounds A or B need only be determined in relation to Apotex’s argument that the Shionogi patents lack subject matter and constitute improper divisional,[74] which for the reasons described below, are rejected.

 

[210]       Like the ‘132 patent, the “Hal” is halogen in claim 1 and would be understood by a person skilled in the art to include fluorine because of the definition on p. 8 of the disclosure. Although again it would be readily appreciated by such a person that this is not the preferred halogen to be used (leaving group in the reaction).

 

5. Infringement

5.1. Burden

[211]       It is not disputed that the Plaintiff must establish on a balance of probabilities that the processes used by Apotex’s suppliers included all of the essential elements of one or more claims of the patents at issue.

 

            5.2. Statutory and Common Law Presumptions

[212]       Lilly argues that in this particular case, they have the benefit of two presumptions. First, the presumption of infringement arising under s. 55.1 of the Patent Act, which reads as follows:

55.1 In an action for infringement of a patent granted for a process for obtaining a new product, any product that is the same as the new product shall, in the absence of proof to the contrary, be considered to have been produced by the patented process.

 

[Emphasis added.]

55.1 Dans une action en contrefaçon d’un brevet accordé pour un procédé relatif à un nouveau produit, tout produit qui est identique au nouveau produit est, en l’absence de preuve contraire, réputé avoir été produit par le procédé breveté.

 

[213]       According to Lilly, the word “product” (« produit ») was substituted with the word “substance” (same in French) as a result of an amendment in 1993[75] in order to give effect to para. 1709(11)(a) of the North American Free Trade Agreement Between the Government of Canada, the Government of Mexico and the Government of the United States, 17 December 1992, Can.T.S. 1994 No. 2, 32 I.L.M 289 (NAFTA). Lilly says that the Courts have yet to interpret the meaning of “new product” and it submits that it is a product that has not been sold on the market before. To that end, it refers to various dictionary definitions of the word “product.” According to Lilly, cefaclor, which was first sold in Canada in 1980,[76] was thus not even a product when the Lilly and Shionogi patent applications were filed and they relate to processes for the production of such new products.

 

[214]       The Court cannot accept this argument. As noted by Apotex, the words “product” and “substance” were used interchangeably by the Supreme Court of Canada in (Harvard College v. Canada (Commissioner of Patents), 2002 SCC 76, [2002] 4 S.C.R. 45 (Harvard College (2002)). The word “product” must be given the same meaning as it received throughout the Patent Act. It is used in the definition of “invention.”

 

[215]       In my view, by changing “substance” to “product”, the legislator was simply ensuring that the Canadian provision would be applied in accordance with its obligations pursuant to NAFTA. “Substance” appears to be a more restrictive expression that could, for example, hardly apply to a new hairdryer, whereas the presumption is meant to apply to any new product.

 

[216]       None of the patents at issue are processes to make cefaclor per se. Thus, the Court could only apply the presumption to the making of the new compounds covered in the Shionogi patents or to the products claimed in the ‘007 patent.

 

[217]       As will be discussed, there is no need to apply this presumption to determine the merits of the infringement allegations in respect of the Kyong Bo process and the Shionogi patents. With respect to the ‘007 patent, for reasons given below under anticipation, the Court finds that these compounds are not new products.

 

[218]       Lilly also asked the Court to apply the common law presumption discussed in Hoffmann-La Roche Ltd. v. Apotex Inc. (1983), 41 O.R. (2d) 84, 145 D.L.R. (3d) 270 (H.C.) (aff’d (1984), 47 O.R. (2d) 287, 11 D.L.R. (4th) 320 (C.A.)), in which Justice Walsh confirmed Hoffmann-La Roche Ltd.’s assertion that the burden of proving what process was used by its supplier was on Apotex, as:

at common law the rule has always been that when the subject matter of an allegation lies particularly within the knowledge of one of the parties that party must prove it, whether it be an affirmative or negative character.

 

[para. 23]

 

[219]       In that case, there was evidence that Apotex had written to its supplier, asking it not to voluntarily give information to the plaintiff. Also, it had manoeuvred to ensure that all process information would be sent to its counsel directly with no copy being sent to Apotex.

 

[220]       According to Lilly, Lupin was actually willing to cooperate in this case and Apotex knew this, but did not disclose it to the plaintiffs or to the Court. Moreover, given the special contractual undertaking of Lupin to assist Apotex (see TX-1656), Apotex was in a much better position to provide admissible and credible evidence as to the process actually used by Lupin.

 

[221]       Had I been satisfied that Lilly had taken reasonable steps to obtain this information, for example by pursuing a motion to obtain further information about the process actually used once TX-1656 was produced (after the filing of their initial motion), rather than relying on an undertaking from Apotex to look through their file, the Court would have been willing to apply this presumption given the particular circumstances of this case. Contrary to what was argued by Apotex, the Court does not believe that it is necessary for a plaintiff to go around the world using means available under various foreign legal systems to obtain the information it can use in a case in order to benefit from the presumption.[77]

 

[222]       Apotex’s failure to advise Lilly and the Court that Lupin was willing to disclose the details of its process subject to proper protection of the confidentiality of the information contained in the said documentation will be discussed further when assessing costs and the admissibility of certain evidence produced to defend the allegation of infringement.

 

[223]       Needless to say, even if Lilly cannot benefit from this common law presumption, it can still rely on inferences that can reasonably be made based on the evidence produced to establish certain facts. This is perfectly in line with the statement made in Whirlpool.[78]

 

            5.3. Lupin Process

[224]       Apotex received cefaclor made by Lupin from about May 23, 1997 until at least October, 1998. Although the exact amount of material received from that supplier will be ascertained through the reference, it appears that Apotex imported at least 8,650kg and maybe as much as 10,000kg of cefaclor made by Lupin.

 

[225]       Apotex admitted[79] that in respect of at least the receiving lot numbers described in the Request to admit, and except for the quantities used for testing and other regulatory purposes pursuant to subs. 55.2(1) of the Patent Act, the bulk cefaclor imported from Lupin was used in the manufacture of its Apo-cefaclor product.

 

[226]       In light of the Confidentiality Order issued in this matter, the Court will give few details of the processes used by Apotex’s suppliers.

 

[227]       In his report (E-15), Dr. Barrett summarizes the various processes described in the evidence filed by the parties. I will use his nomenclature:

Process “A” – Process described in Lupin’s filing with Health Canada. It is also described in the material filed by Lupin in 1996 with the Federal Drug Administration (FDA) (U.S. health authority). It is a process whereby cefaclor is synthesized from Pen V acid. The manufacturing process described in letters dated June 21, 1997 and August, 20, 1997 (TX-150; TX-158-TX-159) filed in response to a Health Canada request for clarification in respect of the process used by Lupin to make its 7-ACCA, is similar if not identical to the manufacturing process described by Lupin in its FDA filings in 1996. [Omitted.]

 

 

 

Process “B” – A process described in an update filed by Lupin with the FDA in November, 1997. It is a process whereby cefaclor is synthesized from Pen [omitted]. It appears from TX-167 and TX-168 filed by Dr. Parra of Health Canada, that in June, 1999, Lupin updated its DMF disclosing a process which is similar (if not identical) to the one described in the FDA filing of 1997. According to Dr. Barrett, this process infringes the Shionogi patents.

Process “C” – Another process described in a further update filed by Lupin with the FDA in 2000, which, according to Dr. Barrett uses both the Shionogi and the Lilly processes (a mixture). However, there is no indication that it was used at any time before the expiration of all the patents at issue.

Process “D” – Another process starting from Pen [omitted].

 

 

 

Whereas all those reactions were described simply as step V of Process “A” – they are now shown as step V(a) and step V(b). [Omitted.]

 

It is described in a document allegedly attached to various versions of a letter dated October 27, 1997 from Mr. Patil to Mr. Singh which was never filed by Mr. Singh with Health Canada. This letter and other documents similar to it were all produced under reserve of Lilly’s objection (voir dire). According to Mr. Satpute, this process (or at least the new process used in 1998) was only used to produce one very large order sometime early in 1998.

Process “E” – A process described in the appendix to the contract for the sale and manufacture of cefaclor between Apotex and Lupin, dated March 15, 1998 (TX-1656). According to this schematic outline, it starts from Pen [omitted].

 

[228]       For reasons that follow, the Court has come to the conclusion that Lilly has established on a balance of probabilities that the cefaclor received by Apotex between May 23, 1997 and June 3, 1998[80] infringes the following claims in the Lilly patents:

1.      The ‘007 patent: claims 1, 4, 8-13, and 17-18.

2.      The ‘536 patent: claims 1, 4,[81] 11, 14 and 16.

3.      The ‘728 patent: claims 1, 15, 16, 20, and 25-27.

4.      The ‘468 patent: claims 1, 2 and 7.

 

[229]       However, the plaintiffs have not met their burden in respect of the cefaclor shipped to Apotex as of June 4, 1998.

 

[230]       In respect of the period ending on June 3, 1998, the Court is satisfied that the plaintiffs have established that Lupin was using Process “A”, described above. Having carefully examined the arguments and the evidence referred to in Apotex’s memorandum on infringement (part V) and considering its construction of the claims at issue, the Court is convinced (as was, apparently, Apotex’s in-house counsel back in 1997) that Process “A” infringes the claims referred to above. The Court accepts and prefers the evidence of Drs. Baldwin and Miller who both concluded that Lupin was using a kinetic complex covered by the Lilly patents (as opposed to the thermodynamic product of the reactions between TPP and Cl in dichloromethane (methylene chloride)) to perform the reactions described in the Lupin process.[82]

 

[231]       Although TX-150, TX-158 and TX-159 do not specifically refer to the use of a halogen scavenger, the Court is persuaded that, as explained by Dr. Baldwin,[83] without such scavenger, the reactions in step V of Process “A” could not be successfully performed. As mentioned, the correspondence filed by Lupin with the FDA is not proof that what is represented to be used was effectively used to make the cefaclor shipped to Apotex. The Court notes, however, that what was represented to the FDA corroborates at least to some extent the evidence of Lilly’s experts. Also, once the evidence of Mr. Satpute is considered, it becomes clear that except for the special order made in 1998, there was only one process which started from Pen V acid used at Lupin’s plant in 1997. The Court understands from Mr. Satpute’s evidence that apart from the special order referred to above, the plant used the same processes to fulfill all its orders.

[232]       With respect to Process “B” and Process “C”, there is insufficient evidence for the Court to conclude that either was used to produce the cefaclor shipped to Apotex during the period between May 23, 1997 and October, 1998. The arguments presented by Lilly in that respect are purely speculative.

[233]       This conclusion remains true whether or not the Court accepts or rejects all or any of the evidence presented under reserve of Lilly’s objections (voir dire).

[234]       It is clear that as of March 15, 1998, Lupin had agreed to change the process it had used until then to make cefaclor for Apotex. Apotex’s position has always been that it presumed that Process “E” was used at least after that date.

[235]       I do not intend to refer to all the circumstances referred to in the parties’ submissions. I will simply mention some salient points of the background relevant to this debate (voir dire).

[236]       On March 10, 2000, Lilly obtained an Order[84] from Justice James Hugessen enjoining Apotex to request from its suppliers and the Minister of Health copies of its suppliers’ DMFs in support of its NDS for Apo-cefaclor and to provide an affidavit stating that it had made such requests. After writing to the Minister and to Lupin, Dr. Sherman swore such an affidavit stating that the Minister had refused to disclose the closed portion of the DMF, that he had received no response from Lupin and that Apotex did not have the ability to compel its suppliers to provide the said information.

[237]       Shortly thereafter, Lilly received an amended affidavit of documents from Apotex which included the 1998 agreement between Apotex and Lupin which expressly stipulates that the said supplier would assist Apotex in providing “information and evidence necessary to show that it has used the process of appendix A”.

[238]       On May 4, 2000, Lilly filed another motion seeking an order compelling the Minister of Health to produce all portions of Apotex’s NDS relating to Apo-cefaclor including any DMFs relating to Apotex’s suppliers’ processes for preparing cefaclor. Although Lilly specifically refers to Lupin’s undertaking to provide Apotex with information and evidence in respect of the contract process (Process “E”), Lilly did not seek an order compelling Apotex to obtain such information on the basis that they were, as they now argue, under their possession and control.

[239]       Upon confirmation that no response had been obtained from Lupin, on July 5, 2000, Justice Hugessen issued an order enjoining the Minister to produce the materials sought by Lilly. As a result, Lilly became aware of the details of Process “A” and of the fact that no update had been filed by Lupin until 1999 (Process “B”).

[240]       Thereafter, Lilly asked at each new session[85] of its examination for discovery whether Apotex had received any reply to its letter to Lupin and whether it had any information or documentation regarding the process they used. Dr. Sherman continued to say that he had received no response from Lupin and essentially that he assumed that they were using the contract process (Process “E”).

[241]       In 2006 and thereafter, Apotex indicated in their trial chart(s) that they expected to present witnesses from Lupin. Lilly raised no particular issue or objection in that respect. However, it appears that at some stage, it took legal steps in the United States to obtain about the Lupin process from Lupin’s American subsidiary. As a result, and among other things, it obtained copy of a letter from Lupin Laboratories to Ivor Hughes dated July 4, 2000 which indicates that Lupin knew of Lilly’s motion which was set to be heard on July 5, 2000[86] and understood that Lilly was seeking information concerning the process they used to make cefaclor. It also appears that Lupin thought that Apotex was already in possession of the closed portion of their DMF as well as the information exchanged in 1997 about the manufacture of the 7-ACCA (presumably TX-150; TX-158; TX-159). Thus the letter only enclosed information about the process developed by Lupin pursuant to the March 15, 1998 agreement. The letter also includes an authorization to use the said information upon certain conditions which included ensuring that it would be protected by a confidentiality order. This letter and its attachments never found their way into Apotex’s affidavit of documents. They were not filed as exhibits in the trial, although a copy was shown to the Court and Lilly included the letter itself in its written submissions on the voir dire.

[242]       It is in this context that Lilly raised their objections in respect of the admissibility of any viva voce evidence and documentary evidence presented to establish what process was actually used by Lupin after March, 1998 or failed attempts by Lupin to update their Health Canada DMF. Essentially, Lilly relies on paras. 232 and 248 of the Federal Courts Rules as well as on the evidentiary principle of spoliation because the destruction of Lupin’s manufacturing records[87] and of the files of Mr. Patil which were lost in a flood in 2005.[88]

[243]       As mentioned, the parties filed extensive submissions in respect of these objections. When the Court pointed out that Apotex could seek leave pursuant to Rule 232 to file the documents that according to Lilly were under its possession and control, Apotex indicated that it felt no need to do so.[89]

[244]       On the other hand, the Court offered[90] to Lilly to suspend the trial so that steps could be taken to obtain evidence in India if necessary. According to Lilly, this would be useless given that the best evidence – the documentation on the manufacturing of individual batches – were destroyed. Both parties thus remain entrenched in their initial position. It is in that context that leave was granted to file additional expert evidence from Dr. Barrett (E-15) and Dr. Hanessian (A-20).

[245]       The absence of evidence establishing that either Process “D” or Process “E” infringes on any of the patents at issue means that prior to gaining any knowledge of the July 4 letter or of the evidence presented under reserve, Lilly’s only argument, with respect to the period after the signing of the March, 1998 contract, was that Process “E” was too inefficient to be commercially viable. Also, it appears that Lilly thought that the Health Canada filing would provide sufficient evidence in this case given that there were, according to them, only two commercially viable processes (the Shionogi and the Lilly patented processes) and Lupin had filed no updates with Health Canada. However, prior to trial, Lilly had not served on Apotex any expert report supporting this position including the inefficiency of Process “E”.[91]

[246]       After learning of Process “D” Lilly’s position remained that Process “E” and Process “D” were inefficient and not commercially viable and that there was no time to implement either processes in the timeframe discussed in TX-1671.

[247]       Thus, in my opinion, the main difference for Lilly between the case it thought it had to meet before trial and after it learned of the July 4, 2000 letter and the evidence taken under reserve is that, with respect to Process “D”, which Dr. Barrett described as different from Process “E” while Dr. Hanessian described it simply as an improvement over Process “E”,[92] Apotex could now counter Lilly’s allegations of inefficiencies by referring to Lilly’s own NDS documentation submitted to Health Canada on June 23, 1978 to obtain its NOC for Ceclor® (TX-208).

 

[248]       Also, because of Apotex’s failure to disclose the July 4, 2000 letter, Lilly was deprived of an opportunity to change its tactics and to use whatever means were available to obtain or verify what process Lupin effectively used after March, 1998. In that respect, however, the Court notes that given that it had failed to do so after learning of the contract and the undertaking in it, this remains only a possibility rather than a probability. Also, there is insufficient evidence before me to conclude that the manufacturing documentation, which Mr. Satpute could not find in 2008, would have all been available at that time. Evidently, the files of Mr. Patil should have remained intact until 2005.

[249]       Had Lilly lost their action because of this, I would have had no hesitation in awarding them all their costs on a solicitor-client basis as of July 5, 2000. That said, this is not what happens here and I do not believe that all the viva voce evidence objected to is inadmissible.

[250]       In effect, having carefully examined the relevant extracts from the transcripts of the examination for discovery, the Court cannot conclude that Rule 248 applies here.

[251]       In any event, even if the Court were to apply this rule, it would not mean that all the viva voce evidence of Mr. Singh, Mr. Satpute and Mr. Patil would become inadmissible. It could only affect the evidence relating to the details of the process used after March 15, 1998 that differs from Process “E”.

[252]       In my view, it could not be used to exclude the evidence of Mr. Satpute that sometime in early in 1998 Lupin took the necessary steps to adopt a process different from Process “A” and Process “B”[93] to fulfill a very large order of the magnitude provided for in the March 15, 1998 contract of which he had no knowledge. It would not exclude his evidence that such process, although not as efficient as Process “A”, still produced a yield than enabled them to fulfill this order. When the Court heard and saw this witness, it found his testimony very credible. The transcript of this evidence was read several times and this only confirmed my first impression. This evidence is, in itself, sufficient to convince me that the shipments made as of June 4, 1998, were not manufactured using Process “A” or Process “B”. There is no need for the Court to determine which process (Process “D” or Process “E”) was used.

[253]       Mr. Patil and Mr. Singh had no personal knowledge of the process actually used by Lupin and even if the documentary evidence they produced was admissible, it would have no probative value in respect of the process used by Lupin during that period. In effect, there is a contradiction between some of the correspondence, particularly the October 27, 1997 letter and Mr. Satpute’s testimony, which I prefer. None of this evidence can have, or would have had, an impact on my findings.

[254]       In the circumstances, there is no need to discuss further the application of paras. 232 and 248 of the Rules.

[255]       Finally, with respect to spoliation and the residual discretion of the Court in such matters, the law is well summarized by the Alberta Court of Appeal in McDougall v. Black & Decker Canada Inc., 2008 ABCA 353, 62 C.P.C. (6th) 293. As noted at para. 18 of the said decision:

Spoliation in law does not occur merely because evidence has been destroyed. Rather, it occurs where a party has intentionally destroyed evidence relevant to ongoing or contemplated litigation in circumstances where a reasonable inference can be drawn that the evidence was destroyed to affect the litigation. Once this is demonstrated, a presumption arises that the evidence would have been unfavourable to the party destroying it. This presumption is rebuttable by other evidence through which the alleged spoliator proves that his actions, although intentional, were not aimed at affecting the litigation, or through which the party either proves his case or repels the case against him.

 

[256]       First, it is evident that spoliation could not apply to the destruction of the files of Mr. Patil which was clearly an act of God. With respect to the manufacturing data that was destroyed by Lupin (not Apotex), the Court is not persuaded that in the particular circumstances of this case a reasonable inference can be drawn that the destruction was meant to affect the litigation.[94] I have not come to this conclusion lightly for the Court is obviously alive and alert to any tactic meant to revive the old “trial by ambush” concept. However, in this case I truly do not believe that it would be in the best interests of justice to totally put aside the viva voce evidence of Mr. Satpute. I would thus exercise any residual discretion I may have to admit this portion of the evidence if it were necessary.

 

5.4. Kyong Bo Process

[257]       Apotex ordered and received cefaclor from Kyong Bo from at least November, 1996 to at least September, 1997. Once again, there is some discrepancies as to the exact quantity involved, this will be dealt with in the second phase of the trial (reference).

[258]       Also, Apotex admitted[95] at least in respect of the receiving lot numbers described in the Request to admit, and except for the quantities used for testing and other regulatory purposes, pursuant to subs. 55.2(1) of the Patent Act, the bulk cefaclor imported from Kyong Bo was used by Apotex for the manufacture for its Apo-cefaclor product.

[259]       Lilly presented expert evidence from Dr. Barrett (A-1) who reviewed in detail the processes described in the closed portion of that manufacturer’s file at Health Canada at the relevant time. In his cross-examination on his reply affidavit, Dr. Hanessian also confirmed that the processes described in that documentation were covered by the Shionogi patents.[96]

 

[260]       Although there is no direct evidence from a Kyong Bo representative that it indeed used the processes described in Health Canada’s file to produce the material shipped to Apotex at the relevant time, the Court is satisfied that in this case, it can reasonably infer that it was so used.[97] From the correspondence between Ms. Fouillade and Kyong Bo, it is clear that Kyong Bo used the information and the processes it learned from Shionogi to produce the cefaclor sold to Apotex. In fact, this is why they initially alleged that they had been authorized by Shionogi to use the patented processes. It is also the basis of a defence raised by Apotex, which obviously implies that the processes covered by Shionogi patents were used.

 

[261]       Having carefully considered the evidence, I am satisfied that the cefaclor made by Kyong Bo for use by Apotex in Canada infringes all the claims in issue in the ‘547 patent. I have come to the same conclusion with respect to claims 3-4, 8-9, 12, 27, 31 and 37 of the '924 patent as well as claims 15, 22, 29, 34, 38 and 58 of the '132 patent. There again, not only are the steps in the patented process used but the starting and resulting compounds claimed (compound by process claims), for example, at claim 58 of the ‘132 patent, are necessarily produced during the Kyong Bo process. The Court is also satisfied that Lilly has met its burden on a balance of probabilities that the Kyong Bo process infringes claims 1, 2 and 4 of the ‘026 patent.

 

[262]       In fact, Apotex only raised two particular defences in respect of Lilly’s allegation of infringement: the first one is based on the existence of a licence from Shionogi, implicit or express, and the second on the fact that Canadian law does not provide for infringement by importation and use in Canada and no infringement acts took place in Canada.

 

5.4.1. Existence of a Licence

[263]       With respect to the argument that Kyong Bo was licensed, very scant evidence was produced by Apotex. In fact, the Court expressed its surprise during the final argument that Apotex’s counsel insisted on pursuing this issue.

 

[264]       Apotex relies on the testimony of Dr. Sherman, who said that he was informed by Ms. Fouillade that Kyong Bo’s position was that it had the right to use the processes covered by the Shionogi patents because of a licence obtained from Shionogi itself.[98] In his testimony, Dr. Sherman also noted that he had instructed Ms. Fouillade to obtain clarification and appropriate evidence as to the alleged arrangement.

 

[265]       The only evidence produced as to how Ms. Fouillade obtained this information, i.e. that Kyong Bo would have been authorized by Shionogi to use their process, is a letter from Kyong Bo Senior Managing Director, Seung-Ho An, dated October 10, 1997 produced as TX-662. But what is more telling here is the answer received from Kyong Bo (TX-664) when Ms. Fouillade requested further details as to the arrangement referred to in that said letter.

We do not have a kind of contract for the technology transfer. I think, a kind of sales contract was made by Mitsubishi with Shionogi in 1992. As a matter of fact, we do not have an authorized document to use specifically CP 1,095,026, CP 1,132,547, CP 1,136,132 and CP 1,144,924.

 

 

[266]       Shortly after this exchange, Apotex stopped buying cefaclor from Kyong Bo.[99]

 

[267]       Furthermore, it is an agreed fact that[100] “Shionogi did not license the Shionogi patents to any non-Lilly entity for the manufacture of cefaclor before April 27, 1995.”

 

[268]       Without ever explaining or referring to the above admission, Apotex argued that the evidence of Dr. Sherman in TX-662 and TX-664 is sufficient to shift the burden of proof to Lilly who should present cogent evidence that no such licence existed. Apart from being contrary to an admitted fact, such position appears to be based on a misunderstanding of the nature of the present proceedings. This is an infringement action, not a PM (NOC) proceeding where Lilly has to prove that the allegations of Apotex, presumably put into play by means of this evidence, are unjustified. If, in its defence (paras. 15-17), Apotex alleges that it bought material from a licensed source, it must prove that fact on a balance of probabilities. It has failed to do so.

 

[269]       This is one of many arguments that the Court would have expected counsel to put aside at least in their final presentation of the case. Pursuing arguments that have little or no chance of success unduly lengthens the trial process, places an undue burden on the Court and increases costs for all concerned. More will be said in that respect later on.

 

5.5. Importation

[270]       Apotex’s main defence[101] in respect of the allegations of infringement of the Shionogi patents[102] is that the importation and use of products in Canada which one made abroad by a process patented in Canada cannot constitute infringement under the Canadian Patent Act. Apotex recognizes that there is Canadian jurisprudence applying the English doctrine of “infringement by importation”, but it submits that those cases do not bind the Court and should not be followed.

 

[271]       Not surprisingly, Lilly relies on this Canadian case law, which will be discussed later on, and states that infringement by importation and use in Canada has recently been reinforced by the Supreme Court of Canada’s decision in Monsanto Canada Inc., and that the so-called “Saccharin doctrine” was applied by Justice Snider in Pfizer Canada Inc. v. Canada (Minister of Health), 2007 FC 898, 328 F.T.R. 41 (Pfizer), in respect of product claims (as opposed to process claims).

 

[272]       The defendant advances two primary arguments as to why the existing case law on “infringement by importation” should be disregarded.  First, the Court should conclude that Canadian courts were incorrect in following English precedents such as Elmslie v. Boursier (1869), [L R] 9 Eq 217 (Elmslie), Von Heyden v. Neustadt (1880), 14 Ch D 230 (C.A.) (Von Heyden), Saccharin Corporation Ltd v. Anglo-Continental Chemical Works Ltd (1900), 17 RPC 307[103] (Saccharin) and Wilderman v. F.W. Berk & Co. Ltd. (1925), 42 R.P.C. 79 (Wilderman), because of material differences between the Canadian Patent Act and the English patent legislation in force until 1977.

 

[273]       Instead, argues Apotex, given that our Patent Act was modeled on U.S. patent legislation, our Courts should have followed the American case law, which concluded that, in light of the territorial application of patent legislation,[104] an American process patent could not be infringed unless the process was actually used in the U.S. To adopt this approach would also be more in line with the Canadian view of the exclusive rights or the monopoly defined by the claims of a process patent, which do not cover the product made by such process unless so claimed.

 

[274]       Second, Apotex submits that, should the Court feel compelled to follow the general principles set out in the Canadian case law, it should at least restrict their application to cases that meet the statutory limitations now applicable in the United Kingdom Patents Act 1977 (U.K.), 1977, c. 37, para. 60(1)(c), and the European Economic Community (EEC) as a result of the European Patent Convention[105] (EPC) and in the United States as a result of legislation adopted in 1988.[106]

 

[275]       This would mean, according to Apotex, that importation and use or sale of cefaclor in Canada could only amount to infringement if cefaclor was a product “obtained directly” by the process covered by the Canadian patents and used overseas or if the chemical compounds made by said patented processes (in this case, the 3-chloro-cephem or the 3-hydroxy-cephem compounds) were not “materially changed” by the subsequent steps used by Apotex’s suppliers to make cefaclor and these compounds had not become a trivial or non-essential component of cefaclor.

 

[276]       To come to such conclusion, Apotex recognizes that it must also convince the Court that Justice Snider in Pfizer misread Monsanto Canada Inc.[107] and that the “creative compromise” she articulated at para. 90 of her decision was “inadequate and not based upon a sound legal foundation”.[108]

 

[277]       Given the importance of this issue, and the fact that many of Apotex’s arguments have not been recently canvassed by this Court,[109] I will address the issue of infringement by importation in more detail than may normally be required.  Specifically, I will address how existing English and Canadian case law dispose of Apotex’s arguments.

 

[278]       While there appears to be only a dozen or so Canadian cases dealing with this issue, the concept of infringement of a process patent (or process claims) by importation and use or sale in Canada of a product manufactured abroad was first described as a settled question of law more than a century ago.

 

[279]       In Auer Incandescent Light Manufacturing Co. v. O'Brien (1897), 5 Ex.C.R. 243 (Auer), the Exchequer Court of Canada, granting an injunction to prevent further infringement of a process patent, noted, at para. 26:

Before leaving this question of infringement I ought, perhaps, to refer to the contention made on behalf of the defendant that under any circumstances he would at least be entitled to import for use or sale illuminant appliances made in a foreign country in accordance with the process protected by the plaintiffs' patent. With that view, however, I cannot agree. I think that the law is well settled to the contrary, and I need only refer for this purpose to the cases cited by Mr. Hellmuth, viz.: Elmslie v. Boursier; Wright v. Hitchcock; Von Heyden v. Neustadt.

 

[Footnotes omitted.]

 

[280]       The English cases cited above were again applied two years later by the Divisional Court of the Chancery Division of the Ontario High Court of Justice in Toronto Auer Light Company Limited v. Colling (1899), 31 O.R. 18, [1899] O.J. No. 65 (QL) (Toronto Auer Light).  In that case, the Court was also dealing with a patent on a method for making incandescent devices (illuminant appliance). It is relevant here to review what passages of Von Heyden Justice Boyd, speaking for the Court, found to be of particular interest:

In Von Heyden v. Neustadt (1880), 14 Ch. D. 230, James, L.J., said (adopting the conclusion arrived at in Elmslie v. Boursier (1869), L.R. 9 Eq. 217): “That the sole right ... to 'make, use ... and vend the invention' ... includes a monopoly of the sale ... of products made according to the patented process ... A person who ... sells the product here, is surely indirectly making, using, and putting in practice the patented invention. Any other construction,” he adds, “would render ... the whole privilege ... futile,” p. 233.

 

[para. 31.]

 

 

[281]       Given that Apotex says that this reasoning, if applied in Canada, raises an issue of extraterritorial application of our Patent Act, it is also worth mentioning that this very same issue was considered in England more than a hundred years ago. In Badische Anilin und Soda Fabrik v. Henry Johnson & Co. and Basle Chemical Works, Bindschedler, [1897] 2 Ch. 322 , a patent owner had obtained a declaration of infringement against a trader in England who had ordered goods made in Switzerland using a process protected by an English patent, but which were delivered to the Swiss post office (the Buyer) by whom they were then imported into England. The defendant appealed and the English Court of Appeal reversed the decision. The following passage from p. 342 of Lord Justice Lindley’s brief reasons clearly shows that the Court was alert and alive to the argument now raised by Apotex:

[…] the defendant Bindschedler had done nothing which amounts to making, using, exercising, or vending the invention of the plaintiffs in this country. In other words, Bindschedler has not infringed the plaintiffs’ patent. The patent is confined to this country, and does not extend to Basle, where all the acts done by Bindschedler were committed. It is true that […] no one has a right to use [the goods so made] here. But what the defendants did in Basle was lawful and not unlawful; lawful by the law of Switzerland and not unlawful by the law of England, which has no application there.

 

 

[282]       But even with territoriality clearly in mind, Lord Justice Smith, with whom Lord Justice Lindley concurred, made it clear, at p. 344, that:

[…] if Bindschedler by himself or his agent had brought the infringing article into this country, or had it received her[e], he would have been liable, for he would then be, in this country, by himself or his agent, using, exercising or vending

 

 

the infringing article. The cases of Elmslie v. Boursier and Von Heyden v. Neustadt shew this to be so.

 

[Footnotes omitted.]

 

This decision was affirmed by the House of Lords at [1898] AC 200; (see to the same effect Badische Anilin und Soda Fabrik v. Hickson, [1905] 2 Ch. 495, affirmed, [1906] AC 419.) [110]

 

[283]       As the Saccharin case is at the center of the debate, it is of interest to mention the decision in Saccharin Corporation v. Reitmeyer & Co., [1900] 2 Ch. 659, (1900) 17 R.P.C. 606. There, the patent owner, who had successfully obtained a declaration of infringement against the importer in the first Saccharin case, was seeking a similar declaration against the English commission merchant who had originally bought the saccharin in Germany and sold it to the English importer. The Court refused to do so, on the basis that the principles laid down in Elmslie and Von Heyden and applied in Saccharin could not be extended to a case where the defendant had neither imported into nor sold in England the product made abroad using the patented process. Justice Cozens-Hardy reached this conclusion on the basis that, “[n]ow, it is plain that a Patent is of local force. It cannot and does not profess to interfere with or control acts done abroad […]” (p. 611, lines 40-41 of the R.P.C.).

 

[284]       It could not be clearer that English Courts felt bound by the very principle Apotex seeks to now rely upon. Contrary to Apotex’s assertion, however, they focused only on the acts taking place within their jurisdiction to determine if there was any conduct which constituted infringement.

 

[285]       There are three other English decisions that must be briefly mentioned. The first, Pfizer Corporation v. Ministry of Health, [1965] AC 512, [1965] 1 All ER 450 (H.L.), simply because it was referred to in Monsanto Canada Inc.  (albeit in a different context) and indicates that Lord Upjohn, after re-examining the validity of the doctrine both “on principle and on authority”, concluded:

[…] where an importer imports into this country, articles manufactured abroad but in accordance with a British patent for the purpose of distributing them and selling them in this country, he quite plainly is using and exercising the patent, and he thereby infringes the appellant’s patent […]

 

[p. 469(D) of the All ER]

 

[286]       The other two decisions are Beecham Group Limited v. Bristol Laboratories Limited and another, [1967] RPC 406, [1967] FSR 283 (CA.) and the final decision on the merits rendered nearly ten years later by the House of Lords ([1978] RPC 153) (Beecham Group). The latter is probably the last decision to apply the principles at issue given that, shortly after it was rendered, the Patents Act, 1977 was adopted.

 

[287]       The English Court of Appeal (Lord Justice Alfred Thompson Denning writing the main reasons) reversed the decision of the High Court judge and issued an interlocutory injunction to prevent the importation of hetacillin.  In the Court of Appeal’s view, the plaintiff had established a prima facie case of infringement of his English patents protecting, in particular, the process for making ampicillin, an intermediate compound which was then transformed into hetacillin by the addition of acetone (see particularly the concurring reasons of Lord Justice Russell, at p. 417 of the RPC).

 

[288]       The reasoning in this case is, in my view, particularly instructive because the defendants vigorously contested that the Saccharin case was still good law in light of the amendments to the Patents Act, 1949 (U.K.), 12, 13 & 14 Geo. VI, c. 87, which clearly required that the claims define the scope of the invention.  Thus, the defendants argued, only patents claiming a product could be infringed by importation of such products into England. As in the present case, it was also argued that the “Saccharin doctrine”, if followed, had the potential to yield extraordinary results[111] and uncertainty, leaving competitors uncertain as to what they are entitled to do.

 

[289]       These arguments are remarkably similar to those made before me by Apotex; they were ultimately rejected on the merits, by Justice Falconer in the first instance, by the Court of Appeal and by the House of Lords.

 

[290]       Apotex noted that this case is not helpful because the Courts were really dealing with a colourable imitation of the patented product, ampicillin. That is true. The plaintiffs in Beecham Group also raised an argument based on the fact that hetacillin was a colourable imitation because once it was used by a potential patient as an antibiotic it reverted to ampicillin in the stomach. However, this was treated by all judges as a separate ground. In the decision of the House of Lords, Lord Diplock also made it clear that the doctrine of infringement by importation, applied in Saccharin, was not an extension of the pith and marrow doctrine. It was a distinct concept standing on its own (see p. 200-201).

 

[291]       The House of Lords also confirmed that the Patents Act, 1949 did not contain any changes that justified setting aside the principles applied in Saccharin and Wilderman. Lord Diplock noted that the need to describe and ascertain the nature of the invention in the letters patent was made a condition of the grant from 1700 onwards. To end the specification with a distinct statement of the invention claimed was made statutory in 1883, at which point Lord Diplock noted the practice to have already become widespread (p.198).

 

[292]       Lord Diplock describes the reasoning behind Elmslie and Von Heyden as follows at p. 199:

The monopoly granted by a patent is limited territorially to the United Kingdom and the Isle of Man and the corresponding prohibition is limited to acts done within those territorial limits. The wide words of the grant and prohibition[[112]] were, however, treated as entitling the patentee to prohibit the obtaining from abroad and selling in this country an article manufactured abroad by the patented process, even though the article was of a kind that was not new and consequently of itself could not be, and was not, claimed as an invention in the specification.

 

[Emphasis added.]

 

 

[293]       With respect to the extraordinary results which would flow from the unbridled application of the “Saccharin doctrine”, it appears that the House of Lords, like Lord Justice Denning in 1967, found comfort in the application of the limitations set out in Wilderman. Lord Diplock explained, at p. 201:

My Lords, if logic were the sole guide to the law of patents such an extension of the doctrine of infringing importation might be difficult to resist. In effect it would mean that in respect of any article sold in this country, anything done in the course of its manufacture which would constitute an infringement of a United Kingdom patent if done in this country would constitute a like infringement if before importation it had been done abroad. This extreme extension of the doctrine was, however, rejected by Tomlin, J. in Wilderman v. F.W. Berk & Co. Ltd. (1925) 42 R.P.C. 79, where in relation to a claim for the infringing importation of an article in the course of whose manufacture abroad a patented apparatus had been used, he expressed the view that the use of the patented process or apparatus must have played an important part in the manufacture of the imported article.

 

 

[294]       Finally, it is interesting to note that in that case, the House of Lords refused to decide if the doctrine should also apply to pure product claims, which extension had been accepted by the trial judge and the Court of Appeal. The Court felt that it did not have the benefit of full arguments (see also the reasons of Lord Simon of Glaisdale on this point, p. 204).

 

[295]       Turning back now to Canadian jurisprudence on the matter. In 1955, in Hoffmann-LaRoche & Co. v. Canada (Commissioner of Patents), [1955] S.C.R. 414; 23 C.P.R. 1 (Hoffmann-LaRoche), the Supreme Court of Canada issued its well-known decision that, contrary to what was then the English practice, no product by process claim could be issued in Canada for a known product, even though the process itself was new. As this involved an appeal in respect of a decision of the Commissioner of Patents refusing to allow the proposed product by process claims, the Supreme Court of Canada was not required to discuss the issue of infringement of a pure process patent or process claims, by the importation of a product (not covered by the patent) made abroad using the patented process. Nevertheless, while dealing with the main issue before it, Chief Justice Patrick Kerwin, writing for the majority, considered the decision of the Court of Appeal of England and Wales in Von Heyden, as well as two Canadian decisions, Auer and Toronto Auer Light and expressly noted that “there seems to be no reason to doubt the correctness of these decisions.”[113]

 

[296]       While accepting that Canadian patent law differs from British legislation, and that Canadian patent law was originally modeled on U.S. legislation, Apotex’s argument that the distinctions between Canadian and British law should render British jurisprudence of little assistance on this issue is unpersuasive.  Put plainly, notwithstanding the differences between Canadian and British patent laws, our Courts continue to look to British jurisprudence to inform the analysis of our intellectual property laws. 

 

[297]       There is also little doubt that the Exchequer Court of Canada and the Supreme Court of Canada were fully aware of these differences between English and Canadian legislation. The best example of this is Union Carbide Canada Ltd. v. Trans-Canadian Feeds Ltd., [1966] Ex.C.R. 884 (Union Carbide), where President Wilbur Jackett,[114] having reviewed the cases of Elmslie and Von Heyden, said at para. 13:

I have been able to discover no such difference between the ambit of an English patent for an invention and the ambit of the monopoly granted under the Canadian Patent Act as would warrant reaching a conclusion when this question arises under the Canadian Act different from that reached in respect of an English patent.

 

[298]       The learned judge also noted that he was unable to ascertain any relevant difference between the Canadian legislation that was under consideration in Auer and he concluded based on comity that he should follow Auer, noting that it had also been the subject of the obiter mentioned above in Hoffmann-LaRoche.

 

[299]       President Jackett appeared unaware of the then recent decision of Justice Noël in Rhone-Poulenc S.A. v. Micro Chemicals Ltd., [1964] Ex.C.R. 819, 44 C.R.R. 193 (Rhone-Poulenc), where, on the basis of the same authorities, the latter had concluded that the principle was now accepted by our Courts (para. 49). Also, although there is a reference to the Badische Anilin und Soda Fabrik decisions (see above) in the editorial note of the Canadian Patent Reporter for Rhone-Poulenc, at 194, it does not appear that these cases were brought to the attention of the Court.

 

[300]       The term “Saccharin doctrine” per se came to the forefront in American Cyanamid Co.. In that case, the Court had to determine if the “Saccharin doctrine” should be applied to the importation of tetracycline in Canada. This particular product was not covered by the patent at issue but it was made using a patented process for making chlortetracycline,[115] to which a dechlorination method was then applied to obtain tetracycline. Thus, the patented process was not the last step in making the product ultimately imported and used in Canada. The learned judge does not specifically refer to the decision in Wilderman (he says simply “there are also a number of cases”, para. 41). But having expressed some concern in respect of the application of the doctrine to processes that are merely incidental, the learned judge did apply the “Saccharin doctrine”, as he found that the product used as an intermediary was of importance.

 

[301]       Between 1966 and 1991, it appears that the Exchequer Court of Canada and the Federal Court of Canada considered the issue quite settled. In Rhone-Poulenc v. Gilbert (1967), 35 Fox Pat. C. 174 (aff’d, [1968] S.C.R. 950, 69 D.L.R. (2d) 353) (Gilbert), Justice Arthur Thurlow, after referring to the decision of President Jackett in Union Carbide, stated that in the absence of any expression of opinion to the contrary by the Supreme Court of Canada, he regarded the point as settled in this Court.

 

[302]       In Leesona Corp. v. Giltex Hosiery Ltd. (1971), 2 C.P.R. (2d) 211, [1971] F.C.J. No. 1006 (QL), Justice Roderick Kerr followed Justice Thurlow’s decision in Gilbert and even issued an interlocutory injunction to prevent the importation into Canada of certain products made abroad according to patented processes. Reference was also made to the then recent decision of Lord Justice Denning in Beecham Group.

 

[303]       Nevertheless, three years later in Farbwerke Hoechst Aktiengesellschaft, vormals Meister Lucius & Bruning v. Halocarbon (Ontario) Ltd., [1974] 2 F.C. 266, 15 C.P.R. (2d) 105, Justice Frank Collier again faced the same issue, where the Canadian defendant imported isohalothane, a product made in the United States by a process patented in Canada. It was then used to manufacture another product at the defendant’s plant in Ontario. Although Justice Collier did not go into the details of the arguments presented, he notes in his reasons, at para. 10, that the Court “was invited by Mr. Hughes [as he then was] to distinguish, on a number of grounds, the Union Carbide case and the cases referred to by Jackett P.” but concludes that he does not “see any reasonable grounds for so doing.” It is important to mention that in his decision, Justice Collier specifically echoed the comments of Justice Thurlow in Gilbert and stated that in the absence of any expression of opinion to the contrary by the Supreme Court of Canada, he regarded the point as settled.

 

[304]       This decision was reversed by the Federal Court of Appeal and the plaintiff appealed to the Supreme Court of Canada, which allowed the appeal ([1979] 2 S.C.R. 929, 104 D.L.R. (3d) 51) and specifically reinstated the decision of Justice Collier in respect of the impugned process claim. At p. 941 (of the S.C.R.), Justice Louis-Philippe Pigeon, who delivered the reasons for the majority, noted:

At the hearing in this Court, counsel for the respondent raised the contention that the importation of a product manufactured outside Canada did not infringe a Canadian patent for the process whereby it is manufactured elsewhere, but counsel for the appellant was informed that no reply to that submission was required. It will therefore not be dealt with.

 

This strongly suggests that the Supreme Court considered the issue of infringement by importation settled by the existing jurisprudence.

 

[305]       Undeterred, Apotex mounted a new charge before Justice Andrew MacKay in Wellcome Foundation Ltd. v. Apotex Inc., 47 F.T.R. 81, 39 C.P.R. (3d) 289 (Wellcome (1991)), raising arguments very similar to those discussed at length in its memorandum before this Court. It contested the validity of the “Saccharin doctrine” per se, based among other things on the differences between the English and Canadian patent statutes.[116] It also contested the findings of Justice Noël in American Cyanamid Co., which it found questionable because of the absence of a direct reference to the limitation of the doctrine as set out in Wilderman.

 

[306]       Prompted by these arguments and the fact that this was indeed only the second reported case involving a process patent for an intermediate compound (B-methoxy-a-(3,4,5-trimethoxybenzylidene) propionitrile, or MTBP and B-anilino-a-(3,4,5-trimethoxybenzyl) acrylonitrile, or TAA), Justice MacKay addressed the point in more detail than his predecessors. Particularly, with respect to the basis of the doctrine in the Canadian legislation, the learned judge stated at para. 59:

I also reject the defendant's submission that the differences in the Canadian Act from the English statute do not support the application of the Saccharin doctrine. The “exclusive right” of “vending” seems to me to be broad enough to encompass situations such as that in this case. This point as well was noted in American Cyanamid, at 168. The effect of the granting provision, now section 44 of the Patent Act, may be summarized, as it was by O'Halloran J.A. in Skelding v. Daly, (1941), 1 C.P.R. 266 at 273 (B.C.C.A.), as intending that “... any act which interferes with the full enjoyment of the monopoly granted to the patentee is an infringement”.

 

[Emphasis added.]

 

 

[307]       Applying the “Saccharin doctrine” as qualified by Wilderman, the Court concluded that there was infringement of the process claims by the importation of trimethoprim. As mentioned by Apotex, there was evidence in that case that traces of MTBP and TAA (the intermediate compounds) were found in the final product sold by the defendant in Canada.

 

[308]       It is worth noting that Apotex appealed the decision of Justice MacKay, which was varied on an unrelated issue ((1995), 100 F.T.R. 320 n, 60 C.P.R. 3(d) 135). Surprisingly, it seems that Apotex did not contest the application of the doctrine by Justice MacKay before the Court of Appeal even though this point was clearly determinative in respect of the findings of infringement.

 

[309]       These Canadian decisions are, in my view, sufficient for this Court to conclude that the “Saccharin doctrine” as qualified by Wilderman is applicable to the case at bar. However, more recent jurisprudence further undermines the argument advanced by Apotex.

 

[310]       In Monsanto Canada Inc., the Supreme Court of Canada articulated broad principles related to the interpretation of the rights granted under the Patent ActAt para. 58, Chief Justice Beverly McLachlin and Justice Morris Fish, speaking for the majority, summarize seven such principles:

1.  "Use" or "exploiter", in their ordinary dictionary meaning, denote utilization with a view to production or advantage.

 

2.  The basic principle in determining whether the defendant has "used" a patented invention is whether the inventor has been deprived, in whole or in part, directly or indirectly, of the full enjoyment of the monopoly conferred by the patent.

 

3.  If there is a commercial benefit to be derived from the invention, it belongs to the patent holder.

 

4.  It is no bar to a finding of infringement that the patented object or process is a part of or composes a broader unpatented structure or process, provided the patented invention is significant or important to the defendant's activities that involve the unpatented structure.

 

5.  Possession of a patented object or an object incorporating a patented feature may constitute "use" of the object's stand-by or insurance utility and thus constitute infringement.

 

6.  Possession, at least in commercial circumstances, raises a rebuttable presumption of "use".

 

7.  While intention is generally irrelevant to determining whether there has been "use" and hence infringement, the absence of intention to employ or gain any advantage from the invention may be relevant to rebutting the presumption of use raised by possession.

 

[Emphasis added.]

 

[311]       Several of these principles are relevant to the issue of infringement by importation. First, with regards to the question of “use”, the Court must ask itself: “did the defendant’s activity deprive the inventor in whole or in part, directly or indirectly, of full enjoyment of the monopoly conferred by law?” (Emphasis omitted, Monsanto Canada Inc., para. 35; see also Free World Trust, para. 43). This is exactly the question all the British cases cited above, going back to Elmslie, Von Heyden and Saccharin, meant to answer when they concluded that the importation, use or sale of products made abroad by way of the patented process constitutes infringement.

 

[312]       Moreover, the meaning and purpose of s. 42 of the Patent Act, as described at para. 34 of the Monsanto Canada Inc. decision, is perfectly in line with the views adopted by Justice MacKay in Wellcome (1991):

[t]he purpose of s. 42 is to define the exclusive rights granted to the patent holder. These rights are the rights to full enjoyment of the monopoly granted by the patent. Therefore, what is prohibited is "any act that interferes with the full enjoyment of the monopoly granted to the patentee": H. G. Fox, The Canadian Law and Practice Relating to Letters Patent for Inventions (4th ed. 1969), at p. 349;

 

[Monsanto Canada Inc., para. 34.]

 

[313]       This approach to a patent’s monopoly was discussed by the majority in Monsanto Canada Inc. with reference to British jurisprudence:

Thus, in Saccharin Corp. v. Anglo-Continental Chemical Works, Ld. (1900), 17 R.P.C. 307 (H.C.J.), the court stated, at p. 319:

By the sale of saccharin, in the course of the production of which the patented process is used, the Patentee is deprived of some part of the whole profit and advantage of the invention, and the importer is indirectly making use of the invention.

 

[para. 44]

 

 

[314]       It is also worth nothing that even the minority in Monsanto Canada Inc. appear to be in agreement with the “Saccharin doctrine”. As Justice Louise Arbour stated, at para. 155:

It is well established that the use or sale of unpatented subject matter may still infringe a patent where the unpatented subject matter is made employing a patented process: Saccharin Corp. v. Anglo-Continental Chemical Works, Ld. (1900), 17 R.P.C. 307 (H.C.J.); F. Hoffmann-Laroche, supra, at p. 415; Wellcome Foundation Ltd. v. Apotex Inc. (1991), 39 C.P.R. (3d) 289 (F.C.T.D.); American Cyanamid Co. v. Charles E. Frosst & Co. (1965), 29 Fox Pat. C. 153 (Ex. Ct.). This proposition does not assist the respondent, however. The appellants have not infringed the process claim because they have not used the claimed method to produce their canola crop.

 

[Emphasis in the original.]

 

[315]       While mindful that Monsanto Canada Inc. did not specifically address the issue of territoriality, the principles laid out therein are of assistance in evaluating Apotex’s argument.

 

[316]       Both Lilly and Apotex have raised various policy reasons in support of their respective positions with respect to the question of infringement by importation. There is no need to discuss them here except to say such arguments are matters for Parliament to consider, not this Court.

 

[317]       Apotex’s argument that the U.S. approach to this issue should be preferred is not convincing.  It is worth noting that much of the U.S. jurisprudence regarding this issue (which were considered by the Court), was followed by legislative changes seeking to close significant gaps resulting from these decisions.

 

[318]       In sum, the Court agrees with Lilly that it is now too late to turn back the clock on the application of the general principles set out in the above-mentioned Canadian case law.   Importation of products made abroad that are the subject of patented process claims in Canada is prohibited.  This prohibition is widely recognized and is well-settled law in Canada.

 

[319]       Apotex’s second argument with respect to infringement by importation seeks to limit the application of the “Saccharin doctrine” as qualified by Wilderman based on the U.S. Process Patent Amendment Act and/or the EPC, as well as the jurisprudence that has interpreted these instruments.

 

[320]       First, it is worth mentioning that even though Parliament has had opportunities to intervene in this respect, it appears never to have felt the need to do so even after Canada became a party to the NAFTA and the Agreement on Trade-Related Aspects of Intellectual Property Rights (TRIPS)[117] agreements.

 

[321]       In NAFTA, para. 1709(5)(b) reads:

where the subject matter of a patent is a process, the patent shall confer on the patent owner the right to prevent other persons from using that process and from using, selling, or importing at least the product obtained directly by that process, without the patent owner's consent.
 
[Emphasis added.]
 
Para. 28(1)(b) of TRIPS is nearly identical. It reads:

where the subject matter of a patent is a process,

[a patent shall confer on its owner the exclusive right] to prevent third parties not having the owner’s consent from the act of using the process, and from the acts of: using, offering for sale, selling, or importing for these purposes at least the product obtained directly by that process.

 

[Emphasis added.]

 
 

[322]       Parliament adopted two bills with respect to the implementation of these agreements. The first, An Act to Implement the North American Free Trade Agreement, S.C. 1993, c. 44, sets out at s. 189 and following, the changes to the Patent Act made necessary by this agreement. The second, An Act to Implement the Agreement Establishing the World Trade Organization, S.C. 1994, c. 47, deals with necessary modifications to the Patent Act at ss. 141 and 142. None of these changes address the issue before the Court.

 

[323]       It can be reasonably assumed that the legislator was well aware of the state of patent law in Canada before it presented these bills. The relevant law at that time was summarized in Fox, at pp. 391 and 392, as follows:

In considering infringement it is well to remember that it is not only manufacture that is forbidden to others than the patentee, but use and sale as well. For this reason infringement is committed by the importation of infringing articles made abroad, as well as importation and use in the country of articles or products made abroad on a patented machine or by a patented process. This principle applies also where the process used abroad has not produced the finished product that is imported but an intermediate that falls within the claims of the patent. In other words, it is none the less an infringement that the article or substance produced and sold which is manufactured by the use of the patented process is subjected to certain other processes. But this concept must be considered with care: it does not apply in a case of de minimis. If there is an act committed in Canada by the defendant in derogation of the patentee’s rights there is infringement.

 

[Footnotes omitted.]

 

 

[324]       It is also reasonable to assume that Parliament was well aware of the relevant statutory provisions referred to by Apotex.

 

[325]       What Apotex seeks in this Court is a re-writing of Canadian patent laws in order to limit the application of over a century’s worth of jurisprudence.  While European and U.S. statutory provisions may be of assistance in analyzing Canadian laws, they cannot serve to displace the well-settled jurisprudence on infringement by importation.

 

[326]       As mentioned earlier, Justice Snider, in Pfizer, made a very useful summary of factors that a Court should consider to determine whether or not the patented process plays an important part in the manufacture of the imported products:

- The importance of the product or process to the final product sold into Canada. Where the use is incidental, non-essential or could readily be substituted (such as the Italian scissors example), a Court might be less inclined to find infringement.

-  Whether the final product actually contains all or part of the patented product. Where the patented product can actually be identified in the product sold into Canada, there may be a strong case for a finding of infringement.

-  The stage at which the patented product or process is used. For example, use of a process as a preliminary step of a lengthy production process may lead to a conclusion that the patentee has suffered little deprivation.

-  The number of instances of use made of the patented product or process. Where the same patented product is used repetitively through the production of the non-patented end product, there may be clearer evidence that the advantage of the patentee has been impaired.

-  The strength of the evidence demonstrating that, if carried out or used in Canada, the product or process would constitute infringement. On this point, my opinion would be that, where there is ambiguity in the evidence, the benefit of the doubt should go to the party using the product or process. This is, perhaps, simply another way of expressing the established principle that the patentee bears the burden of proving infringement.

 

[para. 90]

 

Justice Snider concludes that “[i]n sum, there must be a strong link established between the use of the patented process or product and the product sold into Canada.” (para. 91.)

 

[327]       I do not take Justice Snider’s list to be exhaustive or to limit in any way the test applicable in Canada. There is nothing in what she proposed that prevents the Court from also considering whether the imported product was obtained directly from the patented process or whether the compound made by the patented process was materially changed or has become a trivial or non-essential component of the imported product. In fact, these concepts are very close to those she used, her list is obviously more detailed as our test is more flexible and as mentioned, this is rightly so.

 

[328]       The value of our approach is that it can be adapted to new circumstances. The Courts in Beecham Group were able to conclude to infringement despite the fact that the final ingredient imported in England no longer contained the compound made using the patented processes. It was the flexibility of the test that enabled them to do so and to look at what happened in the stomachs of the patients who actually bought and used the pills made by the defendant.

 

[329]        For these reasons, not only do I conclude that the Court cannot redefine and limit the test applicable in Canada with respect to infringement by importation and use, but also that I should not do so. On this basis, I will now proceed to apply these principles to the facts of this case.

[330]       In respect of the Shionogi patents, it is not disputed that if the Kyong Bo process had been carried out in Canada, it would have infringed the Shionogi patents.[118]

 

[331]       It was also clear, in my view, that Lupin used the process covered by the Lilly patents until 1998.[119]

 

[332]       The only real difficulty in applying the test in this case arises from the fact that making cefaclor is a very complex process[120], involving more steps than what was required to make the various compounds previously discussed in the case law. But this alone should not prevent the application of the doctrine. Certainly technical complexity should not enable a party to deprive in whole or in part, directly or indirectly, of the full enjoyment of the monopoly conferred by a patent.

 

[333]       It is not disputed that there are other steps (chemical reactions) that take place after Lupin and Kyong Bo obtained either the 3-chloro-cephem or the 3-hydroxy-cephem compounds (which are the end compounds of the patented processes) to make cefaclor. Nor is it contested that the 3-chloro-cephem and the 3-hydroxy-cephem are changed into an ultimately different chemical compound (cefaclor) by these additional steps.

 

[334]       All the experts agreed that there was no known method to make cefaclor without going through the 3-hydroxy-cephem compound.

 

[335]       None of the experts opine that either patented process was a trivial or unessential part of the processes used by Kyong Bo or Lupin (Process “A”) to produce the cefaclor used by Apotex in Canada.

 

[336]       On the whole of the evidence, it is clear that the Shionogi and Lilly processes were more efficient (and therefore less costly) than any other alternative discussed in any of the publications referred to by the experts or used by Lupin.[121]

 

[337]       In fact, in respect of the Lilly process, there is clear evidence that to change what is described in Lupin’s documentation simply as step V (although it involves three distinct reactions) resulted in an increase of almost 50% of the price of cefaclor.[122]

 

[338]       As discussed, the disclosure of the Lilly process patents expressly states that the inventions are particularly useful to make cefaclor. This is the very purpose for which their teachings were used here.

 

[339]       Apotex relied heavily on a 1978 progress report from Lilly’s research team working on cefaclor (TX-211). Interestingly it states, at p. 3 that:

The two most difficult steps in the cefaclor synthesis, in terms of time and effort expended, are the exomethylene ring expansion (Dr. T.S. Chou) and the enol chlorination (79284 → 112069). Very few processes have been as extensively investigated as these two synthetic steps for cefaclor.

 

[340]       Having considered and weighed all the evidence, I conclude that, as a matter of fact, Lilly’s patented process was an “important” part of the method used by Lupin to make the cefaclor that was used by Apotex in Canada.

 

[341]       I have also concluded that the Shionogi process was a crucial, thus obviously important, part of the Kyong Bo process for making cefaclor. Without it, Kyong Bo could not have used the total synthetic pathway described in its technical documentation filed with Health Canada.

            5.6. The Exemption Under Subsection 55.2(1) of the Patent Act

[342]       Subsection 55.2(1) provides:

55.2(1) It is not an infringement of a patent for any person to make, construct, use or sell the patented invention solely for uses reasonably related to the development and submission of information required under any law of Canada, a province or a country other than Canada that regulates the manufacture, construction, use or sale of any product.

55.2(1) Il n’y a pas contrefaçon de brevet lorsque l’utilisation, la fabrication, la construction ou la vente d’une invention brevetée se justifie dans la seule mesure nécessaire à la préparation et à la production du dossier d’information qu’oblige à fournir une loi fédérale, provinciale ou étrangère réglementant la fabrication, la construction,

 

l’utilisation ou la vente d’un produit.

 

It is admitted that this defence was included in the particulars filed by Apotex but Lilly argues that the statement of defence was never amended and thus it was not properly pleaded. There is no dispute that Lilly was fully aware that Apotex would rely on this exemption. Although strictly speaking Lilly is correct, it is obvious that in the present circumstances there is no good reason to deprive Apotex of the right to raise this defence.

[343]       The only substantive argument advanced by Lilly is that, based on Ms. Carrière’s testimony, the in-process sampling and the reserve samples were not set aside simply to meet government requirements but also for internal quality controls (which addresses business, not regulatory, imperatives). Lilly argues that in light of this dual purpose, the exemption cannot apply to such material. Lilly also says that Apotex has not established that its records are consistent and complete and that the quantities set out in the documentation prepared by Mr. Fahner were only used for the purposes set out in subs. 55.2(1) of the Patent Act.

[344]       The argument that this exemption should be strictly construed has been rejected by the Federal Court of Appeal in Merck & Co. v. Apotex Inc., 2006 FCA 323, [2007] 3 F.C.R. 588 (Merck & Co. (FCA)) (paras. 103-104). In that decision and in Laboratoires Servier the Courts did not limit the exemption solely to material actually provided to a regulator. What is critical here is that the Court is satisfied that the materials purported to have been used for research and development formulation, reserve samples and in-process sampling were not sold or used for any similar purpose.[123] The fact that these quantities could serve a dual purpose is, in my view, irrelevant.

[345]       As for the actual amount of bulk cefaclor covered by the exemption, the Court agrees that the exact quantities described in the document prepared by Mr. Fahner[124] as a result of his cross-examination and attached to a letter from counsel for Apotex dated May 12, 2008, shall be the subject of the reference in order to determine what quantities properly fall under the above-mentioned categories. This being, the amounts described in this document represent the maximum quantities which can be considered for the purpose of the exemption (187 kilos).

[346]       Both parties recognize that this is not a major issue in this case and thus there is nothing more to say.

 

6. Invalidity

[347]       It has been agreed that as all of the patents in suit have now expired, there is no need to deal with the portion of the counter-claim seeking a declaration that said patents are void. All findings concerning invalidity are thus made in the context of the main action.

 

            6.1. Standard of Review and Burden of Proof

[348]       It is common ground between the parties that Apotex, as the party attacking the validity of Lilly’s patents, bears the burden of proof with respect to invalidity.  Such is the effect of subs. 43(2) and s. 59 of the Patent Act.

 

[349]       Nor do the parties disagree on the applicable standard of proof.  As the Supreme Court of Canada recently confirmed, “there is only one civil standard of proof at common law and that is proof on a balance of probabilities.” (F.H. v. McDougall, 2008 SCC 53, [2008] 3 S.C.R. 41, at para. 40).

 

[350]       While agreeing on the onus and the standard of proof with respect to invalidity, Lilly and Apotex disagree on what a party asserting invalidity must prove.  Lilly argues that Apotex must prove that the decision of the Commissioner of Patents to approve the patents at issue was unreasonable.  In support of this proposition, Lilly relies on the following passage from Apotex Inc. v. Wellcome Foundation Ltd., 2002 SCC 77, [2002] 4 S.C.R. 153 (Wellcome (2002)):

 

Unlike the Harvard Mouse case (Harvard College v. Canada (Commissioner of Patents), [2002] 4 S.C.R. 45, 2002 SCC 76), released concurrently, these appeals are not limited to a question of law (i.e., the statutory limits of patentable subject matter). On that issue, the standard is correctness. The issue here is one of mixed fact and law, namely, was the Commissioner properly satisfied the claimed invention met the statutory test of utility? Fact finding generally commands deference, but here Parliament has provided an unfettered right of appeal to the Federal Court (Patent Act, s. 42).

 

[…]

 

In the circumstances, I think the appropriate standard of review of these issues, which largely raise mixed questions of law and fact, is reasonableness simpliciter, i.e., that the Commissioner's decision must withstand a somewhat probing examination (Canada (Director of Investigation and Research) v. Southam Inc., [1997] 1 S.C.R. 748, at para. 56).

 

[Emphasis added. Paras. 42 and 44.[125]]

 

[351]       In effect, relying on Wellcome (2002), Lilly argues that s. 59 of the Patent Act requires a party asserting invalidity to engage in a form of judicial review of the Commissioner’s “decision” to grant an impugned patent.  Furthermore, Lilly argues that deference is owed, and that the standard of reasonableness should apply.

 

[352]       In Whirlpool, the Supreme Court of Canada put plainly the task faced by a party asserting invalidity: “The burden was on the appellants to prove on a balance of probabilities, that the patent was invalid” (para. 92). In so doing, the party attacking validity must establish that the patent, or claims within a patent, do not meet the requirements for patentability under the Patent Act (i.e. obviousness, utility, etc.). This requires one to examine the claims of a patent, properly constructed, against the requirements of the Patent Act (see Free World Trust at paras. 24-27).

 

[353]       This is perfectly in line with the wording in s. 59 of the Patent Act which speaks of “any fact or default which by this Act or by law renders the patent void” and directs the Court to “take cognizance of that pleading and of the facts and decide accordingly.”

 

[354]       The approach to validity, assessing claims against the requirements of the Patent Act, without reference to principles of administrative law, has been the standard judicial practice for more than a hundred years.

 

[355]       It cannot be presumed that just two years after Free World Trust and Whirlpool, the Supreme Court of Canada sought to drastically modify the law with respect to invalidity in an implicit fashion with its decision in Wellcome (2002).  One would expect such a shift to be done clearly and in express terms.  The fact that the bulk of the jurisprudence since Wellcome (2002) has considered invalidity without resort to administrative law principles buttresses this conclusion. (See Laboratoires Servier, para. 225; M.K. Plastics Corp. v. Plasticair Inc., 2007 FC 574, 61 C.P.R. (4th) 1, para. 105.)

 

[356]       Although it is clear that in Wellcome (2002), the Court was dealing with an action of infringement and a defence of invalidity in its administrative law analysis, the Supreme Court references s. 42[126] (now s. 41) of the Patent Act, which deals with the right to appeal from a decision of the Commissioner to refuse the grant of a patent to the Federal Court.  The defence of invalidity and appeal from a refusal by the Commissioner to grant a patent implicates different actors (putative patentee v. alleged infringer) raising similar issues but in very different contexts.

 

[357]       Furthermore, despite having imported administrative law principles into the invalidity analysis, neither Wellcome (2002) and Monsanto Canada Inc. actually applies concepts such as the degree of deference owed to the decision of the Commissioner to grant the patents at issue. In fact, notwithstanding the above referenced paragraphs of these decisions, the term “reasonableness” is not even used in assessing invalidity.

 

[358]       A telling example of the unease created by those decisions can be found in Jay-Lor International Inc. v. Penta Farm Systems Ltd., 2007 FC 358, 59 C.P.R. (4th) 228, where Justice Snider was confronted with a patent infringement claim and defence of invalidity.  In discussing the issue of validity, Justice Snider stated:

Once a patent is issued, there is a presumption that, in the absence of evidence to the contrary, the patent is valid (Patent Act, s. 43(2)). The onus is thus on the Defendants to show that the Commissioner of Patents erred in allowing the patent (Monsanto Canada Inc. v. Schmeiser, 2004 SCC 34 at para. 24, [2004] 1 S.C.R. 902; Apotex Inc. v. Wellcome Foundation Ltd., 2002 SCC 77, [2002] 4 S.C.R. 153 at paras. 43-44, 21 C.P.R. (4th) 499). In this case, the Defendants argue that the patent is invalid because it was both obvious and anticipated. I will consider each of these arguments.

 

[para. 72]

 

Having made this observation, however, nowhere in her reasons does Justice Snider engage in anything resembling a reasonableness review akin to that which was set out in Dunsmuir v. New Brunswick, 2008 SCC 9, [2008] 1 S.C.R. 190 (Dunsmuir). In fact, the words “deference” and “reasonableness” (in an administrative law sense) appear nowhere in the decision, nor is there any reference (beyond the above quote) to the decision of the Commissioner to grant the patent at issue.[127]

 

[359]       Such an attitude is understandable for there are a number of reasons why an administrative law approach to invalidity is almost impossible to apply without further guidance from Canada’s highest Court.

 

[360]       In effect, it is unclear what would be the subject of this judicial review.  A decision by the Commissioner to grant a patent comes with no reasons, no explanation, and no context.  Indeed, a patent’s prosecution history cannot be reviewed in construing the claims of a patent (Merck & Co. (FCA), para. 53).

 

[361]       A reasonableness review involves determining whether a decision falls within a range of possible acceptable outcomes on the basis of the evidence before the original decision maker (Dunsmuir, para. 47).  If, as Wellcome (2002) suggests, the Commissioner’s decision to grant a patent is owed some matter of deference, how would a reviewing court assess reasonableness without access to the material considered by the decision-maker? Although the Supreme Court of Canada left the door open in Free World Trust (para. 67) as to whether prosecution history can be relevant for a purpose other than defining the scope of the grant of the monopoly, it has never been used for the purpose of deciphering the Commissioner’s reasons for granting a patent.

 

[362]       A court engaged in judicial review, regardless of the standard applied, is usually limited to only considering the evidence that was before the decision-maker (Gosselin v. Canada (Attorney General), 2006 FC 3, 289 F.T.R. 7, paras. 12-13).  This has not been the case when courts are engaged in examining allegations of invalidity, with respect to a patent.

 

[363]       There is no statutory requirement that the evidence before the Commissioner of Patents be provided to the Federal Court in the context of an infringement action.  Furthermore, nothing in s. 59 of the Patent Act limits a party challenging the validity of a patent to the evidence that was put before the Commissioner of Patents.

 

[364]       Parties challenging validity have always been free, subject to the applicable rules of evidence, to put forth any evidence that may serve to undermine the validity of a patent’s claims.  Standards of review are neither useful nor designed to address situations where the evidentiary record before the Court is different than the one before another decision-maker.

 

[365]       In the Harvard College (2000) decision, Chief Justice Isaac referred by analogy to appeals from decisions of the Registrar of Trade-Marks under s. 56 of the Trade-Marks Act, R.S.C. 1985, c. T-13. In such cases, standards of review only apply where there is no new evidence that could have affected the decision of the Registrar. If the Court concludes that there is such evidence, then the Court must exercise its discretion de novo. It should be noted that the Registrar of Trade-Marks must give reasons for his or her decision, which can then be the subject of an assessment by the Court.

 

[366]       To be certain, administrative law principles have been applied to certain decisions of the Commissioner of Patents (See e.g. Genencor International, Inc. v. Canada (Commissioner of Patents), 2008 FC 608, [2009] 1 F.C.R. 361 (reviewing a decision of the Commissioner on a re-examination under ss. 48.1 – 48.5 of the Patent Act); Pason Systems Corp. v. Canada (Commissioner of Patents), 2006 FC 753, [2007] 2 F.C.R. 269 (reviewing a decision of the Commissioner in respect of alleged clerical corrections under s. 8 of the Patent Act); and, Dow Chemical Co. v. Canada (Attorney General), 2007 FC 1236, 63 C.P.R. (4th) 89).

 

[367]       With respect of some of the decisions of the Commissioner, a statutory right of appeal to the Federal Court is provided (see s. 19.2, subs. 20(15) and s. 41 of the Patent Act).  However, where administrative law principles have been applied to decisions of the Commissioner of Patents, it has been in the context where these are amenable to judicial review and not pursuant to s. 59 and subs. 60(1) of the Patent Act.

 

[368]       It may very well be that the material effect or consequence of a finding of invalidity is that the Commissioner “erred” in granting a patent.  But, in the context of an action for infringement where a defence of invalidity is raised, that is not the essential point of departure: the claims stand alone to determine if the monopoly granted meets the test set out in the Act,  for example in respect of utility, novelty and inventiveness.

 

[369]       In sum, the importation of administrative law principles into the assessment of invalidity has not been thoroughly canvassed by appellate authorities and would constitute a significant departure from the Supreme Court of Canada’s well-established jurisprudence concerning pleas of invalidity.  Absent further clarification on how the concept of deference is to be integrated into the established invalidity analysis, the Court is reluctant to employ administrative law principles in its analytic framework in this regard.

 

[370]       Thus, in these proceedings, the merits of Apotex’s defence will be assessed on the basis that the defendant must establish on a balance of probabilities any fact which by virtue of the Patent Act or by law renders invalid the patents at issue, keeping in mind the applicable presumption as to their validity.

 

7. Inherency and Lack of Subject Matter

            7.1. Shionogi Patents

[371]       Apotex argues that the Commissioner of Patents did not force Shionogi to file divisional applications during the prosecution of these patents. It also submits that the Shionogi patents lack subject matter and that if there is anything novel and inventive in the

original application, it would be the overall synthetic pathway that was not claimed in any of the Shionogi patents under review.[128]

[372]       However, during the final argument, Apotex’s counsel made it clear that if the Court concluded that as in Consolboard Inc. v. MacMillan Bloedel (Saskatchewan) Ltd., [1981] 1 S.C.R. 504, 122 D.L.R. (3d) 203 (Consolboard (1981)), Shionogi was required by the Commissioner of Patents to divide this application, none of these divisional applications should be open to attack by reason only of the granting of the original patent, that is, for lack of subject matter for more than one patent (see Consolboard (1981), at pp. 536-537 of the S.C.R.).

 

[373]       That said, it is not disputed that Shionogi’s patent agent received an Examiner’s Report (also referred to as an “Office Action”) dated February 28, 1979, from the Patent Office where the Examiner indicated that:

The claims of this application are directed to four possible different subject matters as follows:

 

(1) Claims 1 to 10, 13 to16, 21 to 23, 38, 39 and 54 to 73.

(2) Claims 11, 12, 31 to 34 and 45 to 53.

(3) Claims 17 to 20 and 40 to 44, and

(4) Claims 24 to 30, 35 and 36.

 

 

 

Applicant must restrict his claims to a single subject matter under section 38 of the Act.

 

Amendment is required.

 

 

[374]       The exact wording of the Commissioner’s letter in Consolboard (1981) is not reproduced in the Supreme Court of Canada’s judgment. Apotex did bring to the Court’s attention that in the trial decision, Consolboard Inc. v. MacMillan Bloedel (Saskatchewan) Ltd. (1978), 39 C.P.R. (2d) 191, [1978] F.C.J. No. 305 (QL) (Consolboard (1978)), the said letter is described as follows:

The Commissioner of Patents took the view the application described and claimed more than one invention. He directed the applicant limit the claims to one invention only. Accordingly, on February 25, 1957, a divisional application was filed.

 

[para. 49]

 

 

[375]       It is not disputed that such description appears to support the view of Lilly’s expert, Mr. Murphy, that like in the above case, the filing of divisional applications here was made at the direction of the Commissioner of Patents. In his report, Mr. Murphy also notes, at para. 37, that “[u]pon filing of a divisional application, the application is checked in the Patent Office to ensure that it is entitled to divisional status.”[129] The expert concluded from his review of the relevant patent files that the Patent Office properly accepted the divisional status of these applications. (See also para. 40 of Mr. Murphy’s affidavit (E-20))

[376]       Apotex did not file any expert affidavits on this subject and relies solely on its cross-examination of Mr. Murphy. The Court has considered the said cross-examination[130] and finds that there is insufficient evidence to conclude that this case is distinguishable from the one before the Supreme Court of Canada in Consolboard (1981).

[377]       Beyond the issue of whether or not the Shionogi applications resulted from a proper divisional, there was some dispute between the parties as to what it means for a patent to “lack subject matter”[131]. Fox teaches that in a wider sense, the question of subject matter is directed to ascertaining whether a device or process “falls within those classes of things designed to be protected by the patent law.” (p. 15) This was the main issue faced by the Supreme Court of Canada, for example, in Harvard College. According to Lilly, this is the way it understood Apotex’s pleadings.

 

[378]       However, Fox also speaks of a more restrictive meaning which in sum directs the inquiry as to whether the production of the device or process “was obvious or involved the exercise of the inventive faculty. […] This enquiry, in the English cases usually discussed under the heading of obviousness, is directed to ascertaining whether […] its production was sufficiently important and worthy to entitle it to the grant of monopoly rights.” (pp. 15-16) In that context, the Courts sometimes loosely refer to lack of subject matter when what was claimed was not inventive[132] but the Court finds that this expression should now be avoided. Even though it may be correct, strictly speaking, to say that there is no patentable subject matter if there is no invention, it is better to address the following aspects of a patentable invention – novelty, inventiveness, utility – under more specific headings and to reserve “lack of subject matter” as the heading under which one deals with whether or not the invention falls between those classes of things designed to be protected by the patent law.

 

[379]       Certainly, the heading which one chooses to present one’s argument cannot change the fact that one cannot have “two kicks at the can”[133] by simply presenting its position under distinct headings. The Court has already reviewed the Apotex argument in respect of obviousness.[134] As indicated when discussing obviousness, the Court is satisfied that there is at least one valid (unobvious)[135] claim at issue in each patent that is infringed. Thus, in my opinion, there is no need to say more here.

            7.2. Lilly Patents

[380]       Apotex argues that the Lilly process patents lack “subject matter” as they claim nothing more than the inherent properties of a known compound. Also, as the usefulness of the kinetic complex in cephalosporin chemistry was disclosed in detail in the ‘007 patent (disclosure or specification only), there is no distinct “subject matter” supporting these process patents.

 

[381]       In respect of the first argument, having reviewed the case law submitted by Apotex,[136] the Court has no hesitation to conclude that it has no application whatsoever here. These cases were dealing with very different sets of facts.

[382]       Also, given that the only claim found valid in the ‘007 patent (claim 17) is a process claim, this argument appears to be moot.

 

[383]       The second point is also unsound. In effect, as explained earlier, although Apotex uses the expression “subject matter”, to refer to the inventiveness, what Apotex is really saying is that there is only one invention, the allegedly new kinetic compound, and, by claiming it in the ‘007 patent, Lilly was not entitled to the Lilly process patents. In short, it should have put all the claims in a single patent. As mentioned, it is clear that the discovery of the kinetic complex itself is not the invention in any of the process patents.

 

[384]       In any event, the Court agrees with Lilly that this sounds like a modified double patenting argument coupled with an improper divisional argument. In my view, it also calls into question longstanding Patent Office practices.[137]

 

[385]       I say “modified double patenting” because Apotex ought to know that the ‘007 patent application, which was filed on the same day as the applications for the process patents (presumed date of the invention claimed given the absence of evidence in respect of an earlier date), is not prior art that can be used to support an argument of double patenting (obviousness). The defendant also ought to know that, as indicated by the Supreme Court of Canada in Whirlpool and Sanofi, the inquiry of double patenting is directed to the claims and not to the disclosure of the various patents under review. Comparing the claims of all the Lilly patents, it is evident that they do not overlap (anticipation). It is also clear, in my opinion, based on the evidence before me, that the process covered by claim 17 in the ‘007 patent (the only valid claim) does not render the use of the kinetic complex in each of the reactions claimed in the Lilly process patent obvious, nor, as mentioned in discussing obviousness, does the fact that the kinetic complex can be used for any one such reaction make it obvious that it can be used for the other two, or in “one pot”.

 

[386]       There is uncontradicted expert evidence (Affidavit of Mr. Murphy (E-20)) to the effect that Lilly could not have included in a single patent, claim 17 (‘007 patent), a claim to a combination of steps and claims to the individual steps covered in the ‘725, ‘468 and ‘536 patents. This would have been contrary to the unity of invention rule as defined and described in the MOPOP. Thus to accept Apotex’s argument would mean that, because Lilly complied with this practice, instead of filing an application that would necessarily raise an objection and result in a request for amendment – the filing of divisional applications, its process patents can now be challenged on a basis that would not have otherwise been open to Apotex (Consolboard (1981)).

 

[387]       The Court notes that in Merck & Co. (FCA), the Federal Court of Appeal reviewed, albeit in a different context, the question of an improper divisional and its consequences at paras. 40-50, and noted that such a divisional would not necessarily result in the loss of patent rights. In fact, it found that the concept of double patenting provides for an adequate remedy in the event that more than one patent is issued for the same invention.

 

[388]       At trial, Apotex confirmed that it was not arguing that there was double patenting in this case.[138]

 

[389]       There is no good reason why there should be a different remedy against patents issued following the Patent Office practices than when there is an improper divisional as is examined in Merck (2006).

 

[390]       The valid claims of these patents do not overlap and as discussed under obviousness, there is at least one unobvious claim at issue in each of them.

 

8. Anticipation

8.1. The Legal Test

[391]       The law in respect of anticipation has been recently clarified by the Supreme Court of Canada in Sanofi, particularly at paras. 18 to 50.

 

[392]       In order to anticipate, a prior art document that is considered must meet both the requirements of disclosure and enablement. In that respect, the Supreme Court of Canada approved and endorsed the decision of the House of Lords in Synthon.

 

[393]       With respect to disclosure, Justice Rothstein made it clear that the prior art document must disclose subject matter which, if performed, would necessarily result in infringement of the patent being challenged.

 

[394]       That prior art document must be read by the person skilled in the art with an open mind, trying to understand what that prior art document meant. However, at this stage of the inquiry (disclosure), the skilled person is not allowed to conduct experimentation as there is no room for trial and error, the prior art is simply to be read for the purposes of understanding it. (see Sanofi at para. 25; Abbott Laboratories v. Canada (Minister of Health), 2008 FC 1359, 71 C.P.R. (4th) 237 (Abbott (2008)), para. 67).

 

[395]       The Court also understands that the law, as discussed in Beloit Canada Ltd. v. Valmet Oy (1986), 64 N.R. 287, 7 C.I.P.R. 205 (Beloit), General Tire and Free World Trust is still relevant on the issue of disclosure, but the Beloit test has been refined in respect of enablement (see Sanofi paras. 20-22 and 28).

 

[396]       Surprisingly, there was a controversy at trial as to what exactly the prior art document must disclose. Must it reveal all the advantages or the details as to how to best use the patented invention disclosed in the patent or should it only describe the claimed invention? If the latter, should the prior disclosure include only the essential elements of the claim at issue or all of the elements described in the said claim? The parties wrote detailed submissions on this particular issue. Although these were duly considered, there is no need for a lengthy review of the authorities cited therein.

 

[397]       As mentioned, the inquiry the Court must carry out seeks to determine whether or not the matter performed in the prior art would necessarily constitute infringement. Such inquiry is thus necessarily directed at the invention as claimed, and only to the essential elements of the claim, properly construed. In that respect, the Court notes that this also appears to be the understanding of Justice Hughes in Abbott (2008), at para. 76.

 

[398]       In line with its argument that the inquiry is directed to the patented invention only, Apotex also argued that once the patented invention (distinct from what is claimed) is disclosed in the prior art, all claims in the patent must fall for there is only one such invention and if it is not novel,[139] there should be no patent. This argument must also be rejected, not only because it is not in line with the inquiry at hand, but also because it leads to an absurd result. For example, if the broadest claim (such as claim 1) is invalid because it is too broad, having included a specific embodiment that has been made in the prior art,[140] the inventor would not be entitled to claim another aspect of the invention in a dependent claim which covers only a compound that has never been disclosed or made. This would render obsolete what has been described as “the art of claiming” (see Hayhurst) and is also contrary to the approach now mandated by subs. 27(5) of the Patent Act as amended.

 

            8.2. The ‘007 Patent

[399]       The Court is satisfied that Apotex has established on a balance of probabilities that when one carries out the process disclosed at p. 3053 (triphenoxy-dichlorides (b)) of Rydon (Example B) which expressly provides for reacting TPP with Cl in hexane (an anhydrous inert solvent) in equimolar proportions, one would necessarily make a compound within the formula described in claim 1 and would thus infringe. The process would also necessarily infringe claim 8 (a process claim), which does not provide for a particular order of addition of the Cl and the TPP.

 

[400]       By the end of the trial, this fact was no longer disputed by Lilly. It was admitted by Dr. Baldwin quite early in his testimony that the kinetic complex would necessarily have been formed when Rydon did this particular experiment.[141]

 

[401]       Whether one knew that the kinetic compound was formed or not is irrelevant, as is the fact that this compound would disappear if not stabilized or used quickly. This is a perfect analogy and direct application of the principles established and applied by the Federal Court of Appeal in Abbott (2006) [142] at para. 22 and Merrell Dow Pharmaceuticals Inc. mentioned above.

 

[402]       There was a debate as to whether or not the claims could be anticipated if the prior art did not clearly disclose the fact that the fastest forming compound of this reaction was a halogenating compound. As mentioned, I do not construe claim 1 as a “use claim”. But even if I were wrong in this regard, I would apply the principles stated and applied by my colleague Justice Hughes in Abbott (2008) at paras. 71-75, and conclude that claims 1 and 8 are nevertheless anticipated.

 

[403]       It is also relevant to further discuss what is disclosed in Coe and in Rydon in respect of halogenation. The Court finds that on the whole of the evidence (with particular consideration of the testimony of Dr. Baldwin), Apotex has not established that a compound covered by the claims of the ‘007 patent would necessarily participate in the halogenation process described in this prior art (particularly at p. 2285 of Coe and at p. 3049 of Rydon) if one were to follow the instructions given in those documents to prepare alkyl halides from the reaction of TPP, Cl and alcohol without solution (neat) and this even if the reaction was carried out in situ.

 

[404]       Despite this, the Court is also convinced that the kinetic complex formed using the process described in Rydon at p. 3053 (Example B), is as a matter of fact a halogenating compound.

 

[405]       The Court notes that in Abbott (2006), the claims under review also described the compound found to have been anticipated as an antibiotic. This was not viewed as sufficient to save the claim. This, I believe, is because the claims in Abbott (2006), like the claim here, are not “use” claims and the reference to halogen compounds or antibiotics is simply descriptive of the claimed compound.

 

[406]       The parties are agreed that if claims 1 and 8 are anticipated, the only other claim of the ‘007 patent which requires a determination is claim 17. I do not believe that Apotex disputes the fact that neither Coe nor Rydon disclose subject matter, which if performed, would infringe claim 17. In effect, it appears undisputable that one could not infringe that particular claim without using an aromatic or halogenated hydrocarbon solvent.

 

[407]       There is only one experiment in Rydon (at p. 3052) where chlorobenzene (an aromatic or halogenated hydrocarbon solvent) is used to carry out a reaction between Cl and TPP. However, in that experiment, the ratio of Cl to TPP was 1:2, and as such this process could not infringe the process described in claim 17, which requires the use of equivalent amounts of those two substances.

 

[408]       Apotex argued that the use of an aromatic of halogenated solvent is not inventive and that therefore, “there is no distinct patentable subject matter.” It may well be that this essential element of claim 17 is not inventive, but that inquiry is distinct from the one being carried out to determine if the invention as claimed therein is novel. I conclude that this claim is not anticipated by what is disclosed in Coe or Rydon.

 

            8.3. The Lilly Process Patents

[409]       In its memorandum on invalidity, at p. 57, Apotex appears to argue that the Lilly process patents were anticipated simply because the triaryl phosphite-halogen compound, which is one of the essential elements in all the claims in these patents, was not novel.[143] However, in its additional submissions dealing specifically with the implications of Sanofi, Apotex does not discuss at all these patents under the heading of anticipation. The Court understands from this that the argument that these process patents were anticipated has been abandoned.

 

[410]       In the event that this is not so, the Court has carefully reviewed all of the prior art cited in respect of the Lilly process patents as well as Apotex’s expert reports and finds that there is not one single prior art document that discloses all the essential elements of the claims at issue in these process patents. Thus, none of the subject matter disclosed in any one single document, if performed, would necessarily infringe these patents.

 

            8.4. The Shionogi Patents

[411]       Apotex has not argued that the Shionogi patents are not novel. It is acknowledged that the compound by process claims in three of those patents are indeed novel and that none of the processes described therein were ever carried out on the specific compounds described in the claims.

 

9. Obviousness

            9.1. The Legal Test

[412]       We are dealing with patents subject to the pre-October 1, 1989 version of the Patent Act, in which there was no express statutory test for obviousness. Rather, as noted by Justice Rothstein in Sanofi, this doctrine was developed by necessary implication based on the requirement for an “invention” as defined in s. 2 of the Patent Act.

 

[413]       In Sanofi, the Supreme Court of Canada reviewed the legal principles applicable to obviousness and took the opportunity to provide practical guidelines as to the approach that should be adopted in an obviousness inquiry. At para. 67, Justice Rothstein explains that:

It will be useful in an obviousness inquiry to follow the four-step approach first outlined by Oliver L.J. in Windsurfing International Inc. v. Tabur Marine (Great Britain) Ltd., [1985] R.P.C. 59 (C.A.). This approach should bring better structure to the obviousness inquiry and more objectivity and clarity to the analysis. The Windsurfing approach was recently updated by Jacob L.J. in Pozzoli SPA v. BDMO SA, [2007] F.S.R. 37, [2007] EWCA Civ 588, at para. 23:

 

In the result I would restate the Windsurfing questions thus:

 

(1)  (a) Identify the notional "person skilled in the art";

(b)  Identify the relevant common general knowledge of that person;

(2)  Identify the inventive concept of the claim in question or if that cannot readily be done, construe it;

(3)  Identify what, if any, differences exist between the matter cited as forming part of the "state of the art" and the inventive concept of the claim or the claim as construed;

(4)  Viewed without any knowledge of the alleged invention as claimed, do those differences constitute steps which would have been obvious to the person skilled in the art or do they require any degree of invention? […]

 

It will be at the fourth step of the Windsurfing/Pozzoli approach to obviousness that the issue of “obvious to try” will arise.

 

[Emphasis in the original.]

 

When there is some difficulty in identifying the inventive concept or step, the English Court of Appeal’s comments in Pozzoli SPA v. BDMO SA, [2007] EWCA Civ 588 are useful, particularly at paras. 19-21:

19. In some cases the parties cannot agree on what the concept is. If one is not careful such a disagreement can develop into an unnecessary satellite debate. In the end what matters is/are the difference(s) between what is claimed and the prior art. It is those differences which form the ‘step’ to be considered at stage (4). So if a disagreement about the inventive concept of a claim starts getting too involved, the sensible way to proceed is to forget it and simply to work on the features of the claim.

 

20. In other cases, however, one need not get into finer points of construction – even without them the concept is fairly apparent – in Windsurfing, for instance, it was the ‘free sail’ concept. In yet other cases it is not even practical to try to identify a concept – a chemical class claim would often be a good example of this.

 

21. There is one other point to note. Identification of the concept is not the place where one takes into account the prior art. You are not at this point asking what was new. Of course the claim may identify that which was old (often by a pre-characterising clause) and what the patentee thinks is new (if there is characterising clause) but that does not matter at this point.

 

[414]       In Sanofi, the Supreme Court of Canada also closed the debate as to whether the “obvious to try” test should be applied in Canada and if so, in what circumstances (generally paras. 62-66 and 68). The Court will be guided in that respect by the principles set out in paras. 69-71 of the decision, which are relevant when one reaches the fourth step of the obviousness inquiry.[144]

 

[415]       The Court has already discussed the concept of common general knowledge which is relevant to the construction of the claim as well as to the obviousness inquiry. A claim can be obvious based on common general knowledge alone or by a publication read by a posita in the light of the common general knowledge.

 

[416]       Before turning to the application of the law to the patents at issue, it is worth saying a few words about “mosaicing” as this illustrates what one needs to establish before the Court can consider together individual prior art publications that are not necessarily part of the common general knowledge.

 

[417]       In Terrell,[145] at 7-62, the authors note that:

The “mosaicing” of individual documents or prior uses is not permissible, unless it can be shown that the skilled person, confronted with a particular citation, would turn to some other citation to supplement the information provided by the first. Whether he would do so is a question of fact.

 

 

[418]       It is also worth reproducing Justice Hugh Laddie’s comment in Lilly ICOS LLC v. Pfizer Ltd. (2000), 59 BMLR 123 (Ch. Pat.), [2001] F.S.R. 16 at para. 66:

When any piece of prior art is considered for the purposes of an obviousness attack, the question asked is ‘what would the skilled addressee think and do on the basis of this disclosure’?’ He will consider the disclosure in the light of the common general knowledge and it may be that in some cases he will also think it obvious to supplement the disclosure by consulting other readily accessible publicly available information. This will be particularly likely where the pleaded prior art encourages him to do so because it expressly cross-refers to other material. However, I do not think it is limited to cases where there is an express cross-reference. For example, if a piece of prior art directs the skilled worker to use a member of a class of ingredients for a particular purpose and it would be obvious to him where and how to find details of members of that class, then he will do so and that act of pulling in other information is itself an obvious consequence of the disclosure in the prior art.

 

 

[419]       More recently, Justice David Kitchin, who was twice cited by the Supreme Court of Canada in Sanofi,[146] said, at paras. 83 and 84 of Scinopharm Taiwan Ltd v. Eli Lilly & Co., [2009] EWHC 631 (Pat.), [2009] All ER (D) 282 (Mar):[147]

83.  There is one other matter it is convenient to mention at this stage. Scinopharm's case depends, in part, upon reading various items of prior art together. It contends it is permissible to do this if they are in the same technical field. I do not agree. In my judgment it is only permissible to read two documents together if it is obvious to do so, as the Court of Appeal made clear in Smithkline Beecham v Apotex Europe [2005] FSR 23 at [96]:

 

"96. I think the Judge erred in principle here. The skilled man has his common general knowledge — the mental tools of his trade — but no more. The law of obviousness supposes that he can be given any individual piece of prior art and read it with that knowledge. The piece of prior art forms part of the "state of the art". What he cannot do is to just link one piece of prior art with another, unless so to do would itself be uninventive. No-one disputes what Lord Reid said in Technograph v Mills & Rockley [1972] RPC 346 at p. 355:

 

"In dealing with obviousness, unlike novelty, it is permissible to make a 'mosaic' out of the relevant documents, but it must be a mosaic which can be put together by an unimaginative man with no inventive capacity.""

 

84.  The question whether it is obvious to read two documents together is one to be considered in the light of the particular circumstances of each case. Relevant factors may include whether one document refers to the other or whether one or both documents would be found on a literature search of the kind the skilled person would routinely carry out before attempting to find a solution to the problem the patent addresses.

 

[420]       There was also some debate as to the use of post art, which warrants some comments.

 

[421]       It is evident that in certain specific circumstances, literature published after the filing date[148] can be considered as evidence of what was commonly known or what was part of the state of the art at the relevant time. For instance, the Sammes article,[149] which purports to review recent chemistry of the β-lactam antibiotics, though published after the relevant date, could be used to establish what a diligent search in the relevant field would have uncovered.[150] In effect, it expressly states that the literature discussed therein was selected from what was published up to the beginning of 1974[151] and was intended to complement recent books and reviews that were published well before the filing date (which were not all discussed by the experts)[152]. At the end of the trial, the parties were agreed that the literature referred therein would be part of the common general knowledge of the addressee of all the process patents.

 

[422]       Apotex argues that Tseng and Michalski can be used to show what the posita would have learned from reproducing the experiments set out in Rydon and in Coe, with the benefit of 31P NMR spectroscopy.

 

[423]       The Court agrees that this may constitute admissible evidence if introduced by an expert, but one must be careful not to cross the line and treat such art on the same footing as prior art. For example, one cannot simply assume that because there is no mention of the invention under review in the article, its author was unaware of such developments. Once a patent application is filed, inventors will often more freely discuss their findings with colleagues and friends outside of their institution and not necessarily in the context of public conferences. Thus, it may be very difficult to ascertain if indeed the author of a post art publication really did his work without knowledge of the invention. This was obviously one of the main considerations for setting the date of the invention as the relevant date for the obviousness inquiry in the pre-1989 era.[153]

 

[424]       Also, in the absence of evidence from or about the authors, how is the Court to know whether what they did was what a posita (objective test) would have done before the filing date? Were the authors super skilled? Were they inventive? Did they go beyond what would be routinely done by a posita? Did they have a special motivation to do the things they did? All this to say that the probative weight of this evidence will depend on the circumstances, particularly on the evidence of the expert using it and often on whether it is used simply to corroborate an opinion reached independently by an expert available for cross-examination by the other party.

 

[425]       The Court will now apply these principles to the patents under review.

 

 

 

            9.2. The ‘007 Patent (Claim 17)

[426]       Apotex submits that it has established that the kinetic complex would necessarily be produced using the method described in Rydon, reacting one to one equivalents of Cl and TPP.[154] Thus, a posita practising the method of the prior art or routine variations of it with the benefit of 31P NMR spectroscopy[155] would easily discover that it produces the so-called kinetic product.

 

[427]       Apotex adds that it would be more or less self-evident to a posita that aromatic or halogenated hydrocarbon solvents (such as methylene chloride or chlorobenzene) could successfully be used in such a process.

 

                        9.2.1. The Person Skilled in the Art

[428]       I shall use the definition of the posita found at para. 92.

 

                        9.2.2. Relevant Common General Knowledge

[429]       The Court is satisfied that it has been established that the posita would be familiar with the aromatic and hydrocarbon solvents discussed in claim 17, including methylene chloride and chlorobenzene. The posita would equally be aware of the properties of such solvents.[156]

 

[430]       A posita would also be familiar with 31P NMR spectroscopy and would have a working knowledge of how to use it to identify phosphorus compounds, if and when necessary.

 

[431]       Disproportionation is a general type of chemical process which would be known to the posita.

 

9.2.3. Rydon, Coe and Ramirez

[432]       It is clear that Rydon and Coe are part of the relevant prior art, for these publications are expressly acknowledged as such in the patent.[157] Lilly, however, contests that they form part of the posita’s common general knowledge because of the differences of opinion between the experts as to their meaning and exactly what they teach. The plaintiffs also argued that Apotex failed to provide any direct evidence in that respect. Given the admission contained in the patent, such debate is futile and it can have no impact on my conclusion regarding the obviousness inquiry.

 

[433]       Apotex and its experts spent much time explaining why they believe that what is called the thermodynamic product and described as a dihalide ((PhO)3PCl2) in the ‘007 patent is in fact, in their view, the monohalide ((PhO)4PCl) discussed in Rydon, while the kinetic compound would be the dihalide. Drs. Modro and Olah also explained how they understood the various reactions taking place including how, in their view, the thermodynamic product resulted from a disproportionation of the kinetic product.

 

[434]       For our purposes, determining the stoichiometry of the thermodynamic product is a debate that need not be settled, especially when one considers that Dr. McClelland did not appear to agree with the views of Drs. Modro, Chivers and Olah and testified during his cross-examination that in any event, the nature of the thermodynamic is still not well understood today. Dr. Chivers also acknowledged that two experts could read Rydon differently. In that respect, Dr. Baldwin wisely said that he did not really know the answer. For him, these publications were difficult to read and understand and there is no indication that the authors recognized the significance of “first formed intermediate”.

 

[435]       It is acknowledged by all that Rydon, Coe, Ramirez or any other publication that will be discussed in relation to the ‘007 patent, do not refer to, or even mention, disproportionation to explain the relationship between the monohalide and the dihalide described in Rydon. With respect to the various mechanisms at play, including the reaction between Cl and TPP, Dr. Hunter noted that one would need to do a Ph.D. on the subject to fully understand them.

 

[436]       For our purposes, it is sufficient to say that Rydon and Coe teach at least the following:[158]

 

  • The reaction between Cl and TPP is quite complex and some mechanisms are still regarded as obscure or not well understood. (Rydon, p. 3044)

 

  • Theoretically, [159] the system may contain as many as 45 species, most of which would be in equilibrium (covalent form/ionic form).[160] Depending on the conditions used for the reaction, including temperature, concentration and solvents, different species will be produced “while solubility will play a major role in determining the nature of the solid phase separating from solution.” (Rydon, p. 3045)

 

  • The authors reported on and tested nine crystalline solids, six of which were described in Coe as dihalides (see Rydon, p. 3043). Certain compounds prepared by the authors could not be prepared as purified specimens.[161]

 

  • Whatever their true nature or stoichiometry, Rydon indicates that:
    1. The reaction of Cl/TPP in a ratio of 1 to 2 in chlorobenzene produces tetraphenoxy-chloride – a monohalide[162] (p. 3052).
    2. The reaction of Cl/TPP in a ratio of 1 to 1 without solvent produces triphenoxy-dichloride – a dihalide. (p. 3053, Triphenoxy-dichlorides A)
    3. The reaction of Cl/TPP in a ratio of 1 to 1 in hexane produces triphenoxy-dichloride – a dihalide. (p. 3053, Example B)
    4. The reaction of Cl/TPP in a 1 to 1 ratio in acetonitrite produces triphenoxy-dichloride – a dihalide. (p. 3053, Triphenoxy-dichlorides C)

 

  • With respect to halogenation, Coe only tested the product(s) from the reaction of Cl and TPP without solvent.[163] Rydon notes that the “monohalides may have some advantages over the dihalides previously employed for the preparation of alkyl halides.”[164] (Footnote omitted, p. 3044)

 

[437]       I turn now to the article by Ramirez, who was described by Dr. Olah as a pioneer in 31P NMR spectroscopy. In that article, it appears that the authors were trying to obtain an authentic sample of pentaphenoxyphosphorane and analyze it. In that respect, they were following work that started in 1927 and was pursued by other authors in 1959. Apparently, these attempts produced mixtures of dichlorotriphenoxyphosphorane and other materials, leading the authors to reinvestigate the previously reported mechanisms in Rydon. Though they give few details about their experiments, the Court finds that one can reasonably[165] infer from the reference to the addition of Cl to TPP in hexane solution for the purpose of reinvestigating previously reported synthesis of a triphenylphosphite dichloride (dichlorotriphenoxyphosphorane)[166] that they followed the procedure of Example B on p. 3053 of Rydon, which is the only synthesis known in hexane in evidence before the Court. The authors dried the precipitate obtained and tried in vain to purify it (not part of procedure in Example B). They note that:

All that can be said about this substance is that, in CH2Cl2 solution, it gives only one signal in the 31P nmr spectrum. The chemical shift does not vary significantly in several solvents.

 

[p. 3509]

 

The said shift was at -22.8[167] and the authors attributed it to what was “regarded as dichlorotriphenoxyphosphorane”, which is the dihalide referred to in Rydon.[168]

 

9.2.4. The Inventive Concept

[438]       The inventive concept of claim 17 is that the reaction of equimolar amounts of triaryl phosphate and Cl or Br in a halogenated or aromatic hydrocarbon solvent produces an intermediate that is the faster forming product of the reaction: the so-called kinetic complex.

 

 

 

 

9.2.5. The Differences between the Common General Knowledge and the above-mentioned Publications and the Inventive Concept

[439]       In respect of equimolar quantities of Cl and TPP[169], the only solvent used in Rydon and Coe was hexane, which is not an aromatic or halogenated hydrocarbon solvent.

 

[440]       Although, as mentioned, it is evident that the reaction performed in Rydon and Ramirez produced a first formed intermediate, there is no recognition therein that the above-mentioned reaction produces such an intermediate or that such intermediate (first compound) will transform over time into a second compound (final compound).

 

9.2.6. Would These Differences be Obvious to the Person Skilled in the Art?

[441]       Apotex argues that the use of chlorobenzene or methylene chloride (aromatic or halogenated hydrocarbon solvent) was a worthwhile option and that it was self-evident that it ought to work, particularly to perform chemistry on cephalosporins.

 

[442]       According to the defendant, Rydon taught the use of chlorobenzene and the fact that the method used involved non-equivalent amounts of the reactants (a 2:1 ratio) is irrelevant. Choosing a particular solubilizing solvent is not inventive.

 

[443]       At first, the Court was sympathetic to this argument, but on a closer review of the evidence, the Court realized that it may well have been influenced by knowledge gained from the ‘007 patent. Hindsight is the one thing that is particularly important to avoid at this stage of the inquiry.

 

[444]       Uncharacteristically, Apotex’s oral and written arguments were extremely brief on this point (see para. 112 of their memorandum on validity; p. 7 of their representations on reply; and, paras. 60-62 of the submissions on the implications of Sanofi).

 

[445]       They rely essentially on their cross-examination of Dr. Baldwin, who said that one would know the solubility properties required for the use of solvents in cephalosporin chemistry. Also, Apotex’s counsel noted that in Ramirez, whatever product was in the sample used for the 31P NMR analysis was soluble in methylene chloride.

 

[446]       First, with respect to the skilled addressee’s knowledge of solvents suitable for cephalosporin chemistry, given the definition of the skilled addressee in the ‘007 patent, it is not clear how this evidence would be relevant. How and why would a posita, as defined, would come to use the kinetic product to perform chemistry on cephalosporins? Such use, according to the evidence of Dr. Baldwin, was inventive (see below discussion of Lilly process patents).

 

[447]       One would think that, if a solvent is obvious for any reason, it is sufficient to conclude the present inquiry in respect of this element of the inventive concept. Thus, Apotex did not need to show that the use of such solvents was obvious for this type of chemistry.

 

[448]       With respect to the second argument based on Ramirez, the Court notes that the actual reaction between Cl and TPP was carried out in hexane and that none of the experts testified that this publication taught them that the dihalide discussed in Rydon would be produced by carrying out the reaction in methylene chloride.

 

[449]       Apotex certainly did not explain how the Court should deal with the evidence of Dr. Modro, who commented on claim 17 in a manner that appears to contradict Apotex’s current argument that Rydon taught the use of chlorobenzene or an aromatic hydrocarbon solvent to prepare a dihalide. In effect, with full knowledge of what was disclosed in Ramirez and Tseng, Dr. Modro said, at paras. 76 and 77 of his report (A-13), that based on the statement found at p. 3044 of Rydon and the fact that the actual reaction carried out therein resulted in the formation a monohalide (tetraphenoxyphosphorus chloride), this art taught that the use of chlorobenzene does not produce the kinetic product claimed in the ‘007 patent.[170]

 

[450]       Having carefully examined the evidence and considered the motivation for as well as the details of how the inventors made their discovery, the Court concludes that Apotex has not established on a balance of probabilities that it would be more or less self-evident that the use of an aromatic or halogenated hydrocarbon solvent to carry out the reaction described in at p. 3053 of Rydon (Example B) ought to produce the same compound as when done in hexane, particularly that it would produce the dihalide described in Rydon.

 

[451]       In my view, this is sufficient to conclude that claim 17 is not obvious. For whether or not one could actually identify the compound formed through the use of 31P NMR spectroscopy is irrelevant if Rydon in fact taught away from the use of the claimed solvent.

 

[452]       However, as this matter may go further, it is worth reviewing the evidence in respect of what the posita would learn through the allegedly routine use of such technology. This is especially so considering that this evidence and my findings in this respect will be relevant to the inquiry into the obviousness of the Lilly process patents, particularly the aspect of the claimed invention relating to the stabilization of the kinetic product through the use of a tertiary base.

 

[453]       Obviously, Apotex’s first hurdle is to explain the conclusion in Ramirez, which contradicts their argument that one could quickly identify the first formed intermediate of the reaction simply by using the 31P NMR technology.[171]

 

[454]       For that purpose, they rely on the experiments carried out by Dr. Modro, as well as the experiments carried out in Tseng and Michalski.

 

[455]       To determine what weight should be attributed to such evidence (particularly the post art) the Court will quickly review how Apotex’s experts used this information.

 

[456]       Dr. Chivers concluded that a posita would be able to understand and identify the kinetic compound on the basis of the experiments done by Dr. Modro, who performed 31P NMR tests and analyzed the evolution of the spectral information about the products in solution over 23 hours (see A-18, paras. 29-32). Dr. Chivers only referred to Tseng and Michalski to support his view that the thermodynamic compound has the empirical formula of (PhO)4PCl (monohalide). Surprisingly, Dr. Chivers does not discuss the impact of Ramirez at all, even though it would have been part of the prior art available to the posita.[172]

 

[457]       Dr. Modro uses Tseng to confirm his view that: 1) the tetraphenoxyphosphorane (monochloride) is the thermodynamic product described in the ‘007 patent (by comparing the ppm shift obtained by Tseng and the ppm shift disclosed in the ‘007 patent for the thermodynamic product); and, 2) the equilibrium mechanism involved (ionic form versus covalent form which is quite distinct from the disproportionation mechanism discussed earlier). He refers to neither Michalski nor Ramirez.[173]

 

[458]       Dr. Olah is the only expert who refers to Ramirez. He affirms that based on the conclusion of Tseng and Michalski the authors of Ramirez were wrong. Dr. Olah does not explain why, without using the knowledge gained from the ‘007 patent,[174] it would be so evident that both Rydon and Ramirez were wrong in identifying the product of the experiment described at p. 3053 of Rydon (Example B) as a dihalide. As I said, in any event, the stoichiometry of the compounds is not particularly relevant here.

 

[459]       Dr. McClelland refers to the rapid equilibrium phenomenon which was disclosed in Rydon, further explained in Tseng and perfected in Michalski. This phenomenon explains, in his view, the difference in ppm shifts reported for the kinetic product. Again, this relates to the equilibrium between the ionic and the covalent form of the kinetic product, not to its transition to the thermodynamic form (disproportionation).

 

[460]       This evidence is not particularly helpful to determine if, through the use of this technology and by simply repeating the process set out in Rydon (Example B, p. 3053), one would have come to the conclusion that the reaction produces two products (a first, faster forming intermediate and a final product).

 

[461]       Dr. McClelland did say on cross-examination that reversing the order of addition of the reactants, as was done by Tseng, was a routine variation of Rydon’s method (Example B, at p. 3053). The Court accepts this evidence and notes that it is somewhat corroborated by Dr. Blaszczak’s evidence on discovery, when he discusses what was done by Mr. Fisher.[175]

 

[462]       However, there is no similar evidence in respect of the method and the temperature used by the authors of Michalski when they reacted the TPP with the halogen. This was clearly very different from the process disclosed in Rydon and there is no evidence that it was simply a variation that would routinely be carried out by a posita[176] before the date of filing. The Court is not prepared to assume that what was done in Michalski was what a posita would be expected to do if he simply wanted to identify the product formed by the Rydon method, as opposed to embarking on a full research project to elucidate the reaction mechanism of TPP and halogen.[177]

 

[463]       That said, there is no evidence that the method used (31P NMR) for the experiments performed in Ramirez was not in accordance with the practice of positas as of the filing date. In fact, there is no evidence that there was any accepted practice as to when a spectra should be taken – such as before or after attempts to purify a product or within a certain time of having prepared a product.

 

[464]       Certainly, there is no evidence that a posita would, as a matter of routine, take and analyze 31P NMR spectras of the product of the reaction over a period of 23 hours. In fact, this was not done in any of the publications before the Court.

 

[465]       As mentioned earlier, Dr. Modro did carry out this type of experiment on behalf of Apotex. These were done with full knowledge of the teachings of the ‘007 patent. The Court does not accept these experiments as proof of what a posita carrying out routine experimentation at the relevant time would have done.

 

[466]       In fact, it appears that, to attribute a particular ppm shift to a specific compound, one needs to know with some certainty what species is in the sample being tested.

 

[467]       Ramirez, having failed to obtain a purified specimen, tentatively attributed the shift of -22.8 (CH2Cl2) to the product that was “regarded as” dichlorotriphenoxyphosphorane (triphenoxy-dichlorides in Rydon). Meanwhile, Tseng said that the -22.5 ppm shift (in deuterated chloroform) he obtained from the reaction of Cl and TPP without solvent was “likely to be” that of tetraphenoxyphosphorane because it was similar to the shift reported for that substance by Nesterov in what Dr. Baldwin described as an obscure Russian publication. In fact, Dr. Baldwin said that this method was quite suspect. Tseng certainly came to a conclusion in this respect that runs contrary to the teaching of Rydon.

 

[468]       There is also no evidence that Ramirez or Tseng[178] discuss the disproportionation mechanism referred to by Drs. Modro and Olah. There is no indication that they clearly and easily understood what these two experts suggested was obvious.

 

[469]       In fact, it is telling that Tseng, who reported a shift of +7.7 ppm for the compound resulting from the reaction of equivalent amounts of TPP and Cl, attributed the other two shifts he obtained (one of which was the -22.5 ppm shift) to “impurities,” and not to a more stable form of the first compound he obtained.

 

[470]       With respect to motivation, although the work of Ramirez, Tseng and Michalski do support the view that there was an interest in identifying the compounds reported in Rydon, it is not clear that these authors were looking for a halogenating compound. None of their experiments are directed to halogenation or to the properties of the Rydon compounds as halogenating reagents. They more likely resemble those carried out by theoretical chemists interested in the mechanistical reaction of Cl and TPP reported in Coe and Rydon. That said, the Court is ready to assume a certain degree of motivation.

 

[471]       Sanofi teaches that in some circumstances, the means by which the inventor reached the invention may provide evidence in support of a particular conclusion on obviousness.

 

[472]       Such a review will indeed be useful when inquiring into the obviousness of the Lilly process patents. However, the path followed by the inventor does not shed much new light in respect of claim 17 of the ‘007 patent. It mostly corroborates Dr. Baldwin’s view that, contrary to theoretical chemists, practicing synthesis chemists are more interested in the reactivity of compounds than using techniques such as 31P NMR spectroscopy to characterize and identify compounds unless they are motivated to do so by reasons other than just looking for a halogenating compound.

 

[473]       In effect, it appears the inventors were not motivated to use 31P NMR spectroscopy to characterize the products of the reaction of TPP and Cl until they encountered a problem reproducing the experiment where they had successfully chlorinated the enol on which they were working.[179] Until then, they were satisfied to work with whatever product resulted from reacting equivalent amounts of TPP and Cl in the solvent in which they were working on their cephalosporin substrate. Thus, it is the discovery that in certain circumstances the reagent produced by the reaction worked while it was inactive in others, which led to an in-depth study of the products, their stability, method of formation and structure-activity relationship.

 

[474]       Moreover, the use of TPP and Cl was not a step undertaken on the basis of knowledge gained from Coe and Rydon. In effect, the idea to try phosphite as a possible reagent came to a Lilly chemist working in a different department[180] after a discussion with a graduate student at Harvard, who was working on a totally different project but had noted that phosphites were more reactive than phosphines in his hands.

 

[475]       In view of the foregoing, Apotex has not established that by practicing the method described in Example B, p. 3053 of Rydon with the benefit of 31P NMR spectroscopy, it would be more or less evident that the faster forming product of the reaction was an intermediate (of transient nature). It would thus not be more or less evident to the posita that it would be beneficial to stabilize this compound by using a tertiary base.[181]

 

            9.3. The Lilly Process Patents

                        9.3.1. Identify the Skilled Addressee

[476]       I shall use the definition of the posita found at para. 92.

 

                        9.3.2. The Relevant Common General Knowledge

[477]       The common general knowledge described in respect of the ‘007 patent would be available to the skilled addressee of the Lilly process patents.

 

[478]       The disclosures of these process patents make it very clear that the particular steps or chemistry intended to be performed, i.e. the cephalosporin sulfoxide reduction, the enol chlorination and the imino halide formation were known in the prior art but were performed using other reagents.

 

[479]       It was also known in 1978 that various phosphorus compounds (including PCl5) could reduce sulfoxides in general (as opposed to the more complex cephem cephalosporin sulfoxides under review).

 

[480]       There was a known reagent called the Vilsmeier reagent which was typically made by using PCl3 to transform dimethylformamide. It was also known that PCl5 as well as other compounds such as phosphine, oxalyl chloride and thionyl chloride could be used with dimethylformamide to generate the Vilsmeier reagent. The Vilsmeier reagent is a non phosphorus reagent.

 

[481]       In respect of cephalosporin synthesis, the posita generally knew how to change an OH at the 3-position to a Cl using the Vilsmeier reagent. It was known that this reagent could chlorinate an enol and reduce a sulfoxide. PCl5 could then be used as reagent to cleave the 7-amino side chain. However, PCl3 could not be used alone to perform such cleavage.

 

[482]       The Court is also satisfied that at the relevant time, the posita would naturally view non-cephalosporin publications with some caution. He or she would not simply accept chemical reactions or reagents used in other fields and on less complex molecules as being directly applicable.

 

[483]       With respect to sulfoxide reduction in particular, the natural caution described in Dr. Baldwin’s affidavit would be heightened by the fact that the literature reported that usual methods for reducing sulfoxides would not work with cephalosporins. Dr. Baldwin’s views in that respect are corroborated by a statement found in U.S. Patent No. 3,641,014.[182] This document indicates that:

 [t]here is a claim in the literature (J. Chem. Soc. (C), 1966, No. 13, p. 1142) that the usual methods for reducing sulfoxides will not reduce ∆3 –cephalosporin sulfoxides to the ∆3 –cephalosporin sulfides. We have corroborated this observation.

 

[p. 2, lines 47-51]

 

9.3.3. The Dreux Article and Other Prior Art

[484]       This article, entitled “Deoxygenation of Sulfoxides under Mild Conditions with a New Reducing Agent: 2-phenoxy-1, 3, 2-benzo-dioxaphosphole” by M. Dreux, Y. Leroux and Ph. Savignac, published in Synthesis, 1974 at 506 (TX-1601, Dreux) is referred to in Drabowicz’s “Deoxygenation of Sulfoxide. A Review.” published in Organic Preparations and Procedures Int., 1977 (TX-1602, Drabowicz).[183] There was some debate as to whether or not these would be part of the common general knowledge of the posita at the relevant time or even of the state of the art, given that they are not part of the cephalosporin or β-lactam literature.[184]

 

[485]       Having carefully considered the content of these publications, the Court need not deal with this particular issue further, given that even if they were part of the common general knowledge, it would have no impact whatsoever on the final determination of the issue of obviousness as the Court accepts Dr. Baldwin’s testimony regarding how it would be understood and used by the posita at the time.

 

[486]       As mentioned in Drabowicz, Dreux shows that dialkyl, alkyl, aryl and diaryl sulfoxides can be reduced with cyclic phospholane used with a catalytic amount of iodine.[185]

 

[487]       It is worth noting that Dreux specifically mentions that the cyclic phospholane “seems to be a better reducing agent than triphenyl phosphite, which according to the available data,[[186]] is itself an efficient reducing agent.” (p. 506)

 

[488]       With respect to Drabowicz,[187] it is acknowledged that the only method described therein that applied directly to penicillins or cephalosporins is found at p. 78. It refers to a then-recent publication by R.G. Micetich.[188] Although it appears at first sight that the reduction of the sulfoxide was done with a phosphorus pentasulfide-pyridine system, Dr. Baldwin explained during his cross-examination that the reduction of the sulfoxide in such a case was not done by the phosphorus compound, but by the sulfur. According to him, it was known that sulfur compounds of this valent state were good reducing agents for such sulfoxides. The phosphorus only acts as a way of conveying the sulfur to the sulfoxide.[189]

 

 

 

 

 

                        9.3.4. The Inventive Concept

[489]       The inventive concept in each of the claims at issue[190] was the use of the kinetic complex – the fastest forming intermediate of the reaction of equivalent amounts of triaryl phosphite and Cl or Br – to execute the steps described in these various patents, i.e. the cephalosporin sulfoxide reduction, enol chlorination and imino halide formation.

 

[490]       In addition to this, some of the claims of the ‘468 patent (for example, claim 20) and the ‘536 patent (for example, claim 14), include the use of a tertiary amine base (including pyridine) to stabilize the kinetic complex. Also, with respect to the claims of the ‘536 patent, the inventive concept includes the use of a halogen scavenger to dispose of the halogen released during the formation of the kinetic complex to allow the reduction to take place.

 

9.3.5. The Differences between the Prior Art Including Common General Knowledge and the Inventive Concept of the Claims

[491]       There is no disclosure that any compound resulting from the reaction of equivalent amounts of  TPP (or any other triaryl phosphite) and Cl or Br in a solvent – let alone the first formed intermediate compound[191] – is or would be useful in cephalosporin chemistry, including particularly cephalosporin enol halogenation.[192]

 

[492]       There is no disclosure in the prior art that a phosphorus containing reagent will halogenate a cephalosporin enol (the ‘725 patent), nor is there prior disclosure of the use of a pentavalent phosphorus reagent to effect sulfoxide reduction in cephalosporins (the ‘536 patent).

 

[493]       There is no prior disclosure of the use of the kinetic complex in sulfoxide reduction requiring concomitant use of a halogen scavenger.

 

[494]       There was no known or disclosed reagent that could perform all the steps described in the ‘536 patent – separately or in one pot (without the need to isolate).

 

[495]       There was no disclosure of the value of stabilizing or maintaining the first formed product of the above-mentioned reaction or of the means to do so, in order to facilitate their use in chemistry, including, in particular, cephalosporin chemistry.

 

9.3.6. Do these Differences Constitute Steps which would have been Obvious or Do they Require Any Degree of Invention?

[496]       It is here, according to Sanofi, that the “obvious to try” test might be appropriate. Apotex argues that, having regard to the type of reagent used to execute those transformations in the past, either in cephalosporin chemistry or in general organic chemistry, it would have been obvious to the posita to try the pentavalent phosphorus compound resulting from the reaction of TPP and Br or Cl disclosed in Rydon. It would have been more or less self-evident that it ought to work to perform the claimed chemical processes.

 

[497]       As noted by Dr. McClelland during one of his cross-examinations, generally, the less one knows about a reagent, the more difficult it is to predict if it can be used successfully in synthesis chemistry.[193]

 

[498]       Here again, the expert evidence adduced by Apotex to support its position in respect of the Lilly process patents has very little probative value, given that none of the experts who opined on these patents were qualified to discuss what a posita would have found obvious to try.

 

[499]       As noted previously when discussing Rydon, Coe, Ramirez and what one would learn through the use of 31P NMR spectroscopy, the Court is not persuaded that the posita would know that the first formed product of the reaction disclosed in Rydon is an intermediate that transforms over time. The stabilization of the kinetic complex through the use of a tertiary base could not be self-evident to a posita who did not first appreciate the transient nature of the first formed product of the reaction of TPP and Cl in the claimed solvent.

 

[500]       Dr. Modro, when discussing the ‘007 patent observed that Rydon expressly taught the contrary (see para. 24(3) of his affidavit, A-13). There is no evidence as to why one would know or find it evident to use the (first formed) kinetic complex instead of the thermodynamic compound (final compound).[194]

 

[501]       The Court has very carefully considered Dr. Baldwin’s cross-examination as Apotex’s counsel tried very hard to obtain some useful admissions from this key witness to support their position. In my view, Dr. Baldwin’s evidence was quite clear. None of the prior art (including the common general knowledge alone or considered with the prior art), would lead a posita to the use of the kinetic complex to effect any of the processes claimed in the Lilly process patents.

 

[502]       The Court was not persuaded by the expert evidence that either the thermodynamic or the kinetic product would be on the list of possible reagents to try.

 

[503]       The Court has assumed here that there was motivation to find an appropriate reagent to execute those steps given that there was vigorous research in the relevant field (β-lactam and cephalosporin chemistry) at the time.

 

[504]       Certainly, Lilly was particularly motivated to find such a reagent, given that it wanted to commercialize cefaclor.

 

[505]       As mentioned, despite this, Dr. Hatfield and his team (particularly his lab technician, Mr. Fisher),[195] who were actively trying to improve the Chauvette process (particularly the chlorination of the enol), after trying several potential candidates on what Dr. Blaszczak called their “laundry list”[196] over a period of approximately two years, felt the need to send a general request to all research chemists in the β-lactam group[197] at Lilly, seeking suggestions for reagents to be tried for the chlorination of the enol.

 

[506]       As noted earlier, Dr. Blaszczak (one of the inventors) conceived the idea of trying “phosphite” after a discussion with a Harvard graduate student who was experimenting with them in a completely different context. The idea did not come to him because of what was generally known or disclosed in the literature.[198]

 

[507]       When he mentioned it to Dr. Hatfield and Mr. Fisher, they were experimenting with triphenyl phosphine in carbon tetrachloride and triphenyl phosphine in chloride. This suggestion led them to change the phosphine in the reactions they were testing for a phosphite to see what would happen.[199]

 

[508]       Again, it is worth noting that the inventor of the ‘536 patent (sulfoxide reduction and the 3-step process) is not one of the inventors of the ‘468 and ‘725 patents. In effect, the inventors of the latter two patents did not appreciate that the kinetic complex could also be used to effect sulfoxide reduction. This is particularly significant when one considers that these inventors knew what the posita did not know at that time – that the kinetic complex could effect the enol halogenation and the imino halide formation. Clearly, they also did not appreciate that such reduction could only work in the presence of a halogen scavenger.

 

[509]       As mentioned, given that there was no other reagent known to be efficient enough to perform all three of these steps let alone in one pot, the Court is at a loss to understand how Apotex could say that the posita ought to expect that the said reagent would work to perform those three chemical reactions, that there is no synergistic result flowing from the possibility of carrying them all in one pot and that it was a mere aggregation of known steps. None of the experts contested the added value of being able to perform those three reactions in one pot. This evidently improved the cost and yields obtained. Even Dr. Hanessian referred to the kinetic complex as the “magic reagent.” This echoed the comments of Dr. Baldwin, who noted that he had many ways of listing new discoveries and this one was in the highest category; the one that he wishes he had thought of.[200]

 

[510]       What happened at Lilly in reality certainly supports Dr. Baldwin’s opinion. It points to a conclusion that: i) it was not obvious to try the product of the reaction of TPP and Cl, let alone the first formed intermediate; and, ii) it was not self-evident that such reagent would indeed be useful in one or more of the steps covered by the Lilly process patents.

 

[511]       In view of the foregoing, Apotex has failed to persuade the Court that the claims at issue were obvious.

 

            9.4. The Shionogi Patents

[512]       Apotex’s experts (Drs. Hanessian, Martin and McClelland) relied on various publications to opine that the chemistry disclosed in each of the Shionogi patents was well-known and obvious.

[513]       The Court acknowledges that the common general knowledge of organic chemists would be part of the common general knowledge of the posita. It is in that respect only that the evidence of Drs. McClelland and Martin was given weight. As noted earlier, because of their lack of expertise, or even  focus on β-lactams, these experts were not qualified to opine on how a posita would read the prior art or what common general knowledge (other than from his PhD formation in organic chemistry) he would possess. However, their evidence in respect of the common general knowledge of PhD in organic chemistry does not add anything to the evidence of Dr. Hanessian in that respect for he also included in his report the same general concepts.

[514]       Hence, the Court will only comment here on the prior art and common general knowledge relied upon by Dr. Hanessian. These would include the following:

                           i.            The ‘547 patent

a.             Ricardo Scartazzini & Hans Bickel, “Neue β-Lactam-Antibiotika. Über Derivate der 3-Hydroxy-7-amino-ceph-3-em-4-carbonsäure. Modifikationer van Antibiotika, 10 Meitteilung” (1974) 57 Helvetica Chimica Acta 1919 (TX-1587, Scartazzini).

b.            Robert R. Chauvette & Pamela A. Pennington, “Chemistry of Cephalosporin Antibiotics XXIX. 3-Halo- and 3-Methoxy-3-cephems” (1974) 96 Journal of the American Chemical Society 4986 (TX-1585, Chauvette).

c.             R.D.G. Cooper, & F.L. José, “Structural Studies on Penicillin Derivatives. IX. Synthesis of Thiazoline-Azetidinones” (1972) 94 Journal of the American Chemical Society 1021 (TX-1581, Cooper 2).

                         ii.            The ‘924 patent

a.             Robert Thornton Morrison & Robert Neilson Boyd, Organic Chemistry, 2nd ed., (Boston: Allyn and Bacon, 1966) at 667. (TX-1606).[201]

b.            “7-Alpha-Aminoacyl-3-Halogencephalosporine und Verfahren Zu Deren Herstellung”, German Patent App. No. 2408698, published September 5, 1974 (Chauvette application).

                        iii.            The ‘132 patent

a.             “Delta-2 Cephalosporin Compounds”, U.S. Patent No. 3637678, (13 January 1969) (TX-1583, Webber).

b.            Douglas O. Spry, “Synthesis of C-2—C-3-Tricyclic Cephalosporins” (1973) J.C.S. Chem. Comm. 671 (TX-1622, Spry).

 

 

                       iv.            The ‘026 patent

a.             R.B. Woodward et al., “The Total Synthesis of Cephalosporin C1” (1966) 88 Journal of the American Chemical Society 852 (TX-1578, Woodward).

b.            “Antibiotika”, German Patent App. No. 2400165, published July 18, 1974 (TX-1586, Cocker).

c.             W. Maas et al., “Mechanism of Enamine Reactions. IV. The Hydrolysis of Tertiary Enamines in Acidic Medium” (1959) 32 Journal of Organic Chemistry IIII 5089 (TX-1607).

 

                        9.4.1. The Person Skilled in the Art

[515]       The posita to whom these patents are addressed was described earlier (see para 75).

 

9.4.2. Common General Knowledge

[516]       The parties are agreed[202] that all the publications discussed in Sammes were part of the literature that would have been commonly known to, and generally accepted by, the posita at the relevant time. This means that most of the above-mentioned publications (Scartazzini, Chauvette, Cooper 2, Spry, Webber, Woodward), as well as others discussed by Dr. Barrett (such as R.D.G. Cooper, “Structural Studies on Penicillin Derivatives VIII. A Possible Model Biosynthetic Route to Penams and Cephems” (1972) 94 Journal of the American Chemical Society 1018 (TX-1581, Cooper 1)),[203] are part of the common general knowledge. However, the experts disagree as to what some of these publications taught the posita. This will be discussed later on.

 

[517]       β-lactams and cephalosporins were known to be polyfunctional and sensitive molecules that raised many issues relating to selectivity and reactivity.[204]

 

[518]       It was known to the posita that the most advantageous and economical method for producing a cephalosporin was to synthesize it from penicillin.

 

[519]       Such synthesis had been done for cephalexin, another cephalosporin antibiotic, which was a 3-methyl (CH3) analog of cefaclor. It was prepared using the Morin[205] arrangement or chemistry (conversion of a penicillin sulfoxide ester). This Morin arrangement, discovered in the mid 1960’s, was the commonly used method to open the 5-membered ring of the penicillin molecule to transform it into a 6-membered ring cephalosporin.

 

[520]       In the early 1970s, Dr. Cooper, building on the work of Dr. Morin, developed another method for opening the penicillin ring and made what has been referred to as the Cooper thiazoline compound.[206] However, at the relevant date, this compound, which is a penicillin derivative, had never been converted to a 6-membered ring cephalosporin.

 

[521]       The 3-hydroxy cephalosporin molecule, the target compound of the so-called Shionogi synthetic pathway,[207] had been disclosed in two then relatively recent publications, Chauvette and Scartazzini. At the time of these publications the patent on cefaclor (product by process) had not yet been published, the only known way of making this 3-hydroxy compound was to functionalize an existing cephalosporin structure. As of February, 1975 no one had made the 3-hydroxy compound from a penicillin molecule.

 

[522]       Ozonolysis, sulfonylations, aminations, allylic halogenations[208], acylations, hydrolysis and bonds forming through nucleophilic substitution were known chemical processes, commonly used in general organic chemistry in 1975.

 

[523]       Both Drs. Chauvette and Scartazzini used ozonolysis on a cephalosporin compound (a fully cyclicized 6-member ring structure) when they made the 3-hydroxy cephalosporin molecule described above.

 

[524]       In Cooper 1 at p. 1019, Dr. Cooper indicates that ring closure to a cephem from his thiazoline azetidinone would involve an oxidative cyclization. Consequently, he had investigated the oxidation of compound 4 (which is compound 7 in Cooper 2) under various conditions in an effort to chemically duplicate this biosynthetic postulate. He explicitly notes that “[t]he isopropenyl double bond of 4 is generally inert to electrophilic reagents, [[209]] it being recovered in high yield from reactions with bromine and permaleic acid.” He then went on to report on the isomerisation of the double bond of the Cooper thiazoline compound, followed by ozonolysis, which resulted in the formation of a new compound described therein.[210]

 

[525]       In Cooper 2, (the reference used by Dr. Hanessian), Drs. Cooper and José discussed other chemistry but refer to their earlier reported ozonolysis of the isomerized version of the Cooper thiazoline.

 

[526]       There is no evidence from Dr. Hanessian on how a posita would construe the comment found in Cooper 1 with respect to the isopropenyl double bond. There is in fact no evidence that this expert was even aware of, or remembered (assuming he had read it sometime before in his career), this comment given that the article he uses in his report was provided to him by Apotex’s counsel (see A-15, para 5(f)(3)).

 

[527]       Having carefully considered the extensive cross-examination of Dr. Barrett, the Court accepts Dr. Barrett’s views as to how a posita would understand Dr. Cooper’s comment in respect of the isopropenyl double bond. Among other things, the posita would understand that the reactivity of the thiazoline compound had far from normal reactivities associated with an alkene and was quite different from the reactivity profile of the product obtained from the isomerisation discussed in Cooper 2. [211]

 

[528]       It was also known that Dr. Spry used a 2-substituted cephem to generate novel tricyclic cephalosporins.[212] In that context, he performed allylic bromination of a cephem. It is to be noted, however, that at p. 672 of Spry, the author makes the following comments: “[a]ttempts to functionalize C-3’ further via the allylic bromination of (4) resulted in C-2 derivatization giving the C-2 bromo-derivative.” Again, the Court accepts Dr. Barrett’s evidence as to how this would be understood by a posita.

 

[529]       It was also known and generally accepted that, in the context of transforming a penicillin molecule into a cephalosporin, Dr. Webber performed an allylic bromination after migrating the double bond from ∆3 to ∆2. Dr. Webber worked on a compound with a methyl (CH3) at the 3-position.

 

[530]       Also part of the common general knowledge was the fact that in 1966, Dr. Woodward had opened a thiazolidine ring through hydrolysis in an acid.

 

[531]       Retrosynthesis[213] was used in 1975 as a general method for planning chemical synthesis in general organic chemistry. The Court accepts Dr. Barrett’s evidence that this was not commonly used in the field of cephalosporin chemistry and research related thereto at the relevant time.[214]

 

9.4.3. Contested Art

[532]       Lilly disputes the assertion that the three following publications would have been found by a diligent posita. It contends that these were not part of the common general knowledge and that no evidence was presented as to why they would be considered either alone or together by a posita, when faced with the problem solved in the Shionogi patents.

 

9.4.3.1. Cocker

[533]       This document is a German patent application, of which there was no available English translation at the relevant time.[215] However, it was established that a short English abstract (number 120652H) was published in volume 81 of the 1974 Chemical Abstracts.

 

[534]       Lilly notes that Cocker is not described in the Sammes review, despite the fact that it was published in July, 1974 with the abstract being published sometime in December, 1974. As the Sammes review refers to some patents, this could indeed indicate that this was not considered to be part of the relevant art; however, it may also be that it was simply not reviewed because of the language of the original and the fact that the English abstract was published at a date which was too close to the date on which the revised draft was submitted for publishing.

 

[535]       Also, Lilly submits that the compound described in Cocker is not a cephalosporin (it lacks the 4-carboxylic function) and one would thus have had to search all β-lactam references to locate it. There is little evidence that such an extensive search would be undertaken by a posita, especially considering that there was no motivation to carry out the reaction, given that the compound in the Shionogi patent on which it is carried out was not known. It was also not known that this could be useful in the overall Shionogi process.

 

[536]       As mentioned earlier, the lack of evidence on Apotex’s part as to how, and through what means, this document was found is troubling. However, the Court is prepared to consider that at least what was described in the abstract was part of the relevant state of the art. That said, it has not been established that this would be part of the common general knowledge.

 

[537]       The Court will consider that a posita reviewing Cocker would understand that its author performed a hydrolysis of a thiazoline ring in acidic conditions with the resulting compound being transformed into a cephem derivative through a nucleophilic substitution where the sulfur attacks the 3-membered oxirane (a different group than in the ‘026 patent) to form a new carbon sulfur bond.

 

9.4.3.2. Chauvette application

[538]       This is another German patent application that was allegedly published in September, 1974 with no English version being provided to the Court. Although Apotex tried to establish through cross-examination that an abstract could have been published in Chemical Abstracts, its failure to refer to such an abstract in the evidence of its experts raises a reasonable inference that it was not so-published at the relevant time.[216] It has not been established that it would be part of the common general knowledge. The Court also notes that Dr. Martin indicated in his cross-examination that he had not been able to find one of the two German patent applications he referred to. The Court will not consider the evidence based on this document as there is insufficient evidence that it would even have been available to the posita at the relevant time. In any event, having carefully examined this art and the conflicting expert evidence related thereto, the Court does not believe that consideration of this publication[217] would have altered the overall conclusion on the obviousness of the claims at issue in the ‘924 patent.

 

9.4.3.3. Kishi

[539]       On June 24-28, 1974 Dr. Kishi made a presentation at the 9th International Conference on the Chemistry of Natural Products in Ottawa, Canada and another at International Union of Pure and Applied Chemistry (IUPAC) conference on organic synthesis on August 26-30, 1974 in Louvain-la-Neuve, Belgium. A paper was later published in the Journal of the American Chemical Society in 1975 as well as in two IUPAC publications, also in 1975.[218] It was admitted by Dr. Martin, who was asked to find details of the presentation given at the conference, that the above mentioned publications could not have been found at the relevant time. The particular sections used by Apotex’s experts as a basis for their opinions are found well into the paper (drawings relating to the allylic bromination of compound 54 as well as the conversion of compounds 67 to 72).

[540]       All Apotex’s experts who commented on the Shionogi patents initially relied on the work of Dr. Yoshito Kishi described above to conclude that the claims of the ‘132 patent and the ‘026 patent were obvious.

[541]       When Dr. Hanessian testified, the paragraphs dealing with this art were deleted and he indicated that this deletion had no impact on his conclusion. Given that I have found the evidence of Drs. McClelland and Martin in respect of the Lilly process patents to be of little weight given their lack of experience in β-lactam or cephalosporin chemistry, it is almost superfluous to discuss this publication, which they alone discuss. Nevertheless, to avoid further debate I will simply comment as follows:

[542]       During his cross-examination, Dr. Martin admitted that ordinarily presenters did not read the paper that was later published. There is absolutely no evidence that the particular segments or reactions used by these experts to support their opinions were shown or mentioned by Dr. Kishi during his presentations.[219] None of Apotex’s experts attended those conferences or reviewed slides, (if any were actually used at the conferences) or other information.

[543]       In the circumstances, the Court is not satisfied that Apotex has established that the information used by its experts was indeed available to the public at the relevant time and should be considered for the purpose of assessing the obviousness of the Shionogi patents.

 

9.4.4. The Inventive Concept

[544]       Although it is very clear that the inventive concept is to be assessed in respect of each claim at issue for each patent under review, the Court is satisfied that the issues raised by Apotex can be properly addressed without a full description of the inventive concept of each of the claims. It suffices to describe the relevant elements of the inventive concept of most of the claims at issue in each patent. As mentioned, infringement of one valid claim is sufficient for Lilly to succeed in this action.

 

[545]       Apotex agreed that if there is any inventive concept in these patents (which it denied), it would be the overall synthetic pathway which is not claimed per se. However, even if it is clear from the disclosure[220] of each patent that the overall synthetic pathway, which enables the addressee of each patent to cyclicize a penicillin derivative compound (the Cooper thiazoline compound) into a 6-membered ring cephalosporin, where a hydroxyl is already in place at the 3-position, is included in the inventive concept of at least one claim at issue in each patent; it is not the only relevant element thereof.

 

[546]       In effect, the inventive concept of the claims at issue in the following patents also includes:

                           i.            The ‘547 patent

a.             The conversion of the Cooper thiazoline compound (an exomethylene compound) to new hydroxyl derivatives through ozonolysis.

                         ii.            The ‘924 patent

a.             That the new hydroxyl derivatives described therein can be activated (in claims 8 and 9, this is done by sulfonylation), that this process can be followed by amination (in claims 12 and 37, the amine is morpholino) to produce useful novel compounds.[221]

                        iii.            The ‘132 patent

a.             That the new compounds described therein can be halogenated to produce other new useful compounds.

                       iv.            The ‘026 patent

a.             That the new halogenated compounds described therein (still penicillin derivatives) can be deprotected (hydrolysis) to form an azetidinone enol (or its ketotautomer) and that the new compounds can be cyclicized to form a 3-hydroxy-3-cephem (or its ketotautomer), this enabling the production of the desired antibiotics referred to in the disclosure, which include cefaclor.

 

9.4.5. The Differences between the Prior Art and the Inventive Concept

9.4.5.1. The ‘547 Patent

[547]       There was no prior disclosure as to how the claimed reaction or process and the resulting compounds are useful in the synthesis of the desired 3-hydroxy cephalosporin.

 

[548]       There is no prior disclosure of the ozonolysis of the isopropenyl bond in the Cooper thiazoline, which is one of the main starting compounds of the Shionogi process.

 

9.4.5.2. The ‘924 Patent

[549]       With respect to the ‘924 patent, both the starting material and the final product of the claimed reaction were unknown.

 

[550]       There was no prior disclosure as to how the claimed transformation could be useful in the synthesis of 3-hydroxy cephalosporins.

 

[551]       There was no prior disclosure of a 2-step reaction involving sulfonylation of a hydroxyl group followed by amination of the sulfonylated product in penicillin derivative compounds (open ring structure).[222]

 

9.4.5.3. The ‘132 Patent

[552]       With respect to the ‘132 patent, there was no prior disclosure of the starting material or the final product of the claimed reaction.

 

[553]       There was no prior disclosure as to how the claimed reaction could be useful in the synthesis of 3-hydroxy cephalosporin.

 

9.4.5.4. The ‘026 Patent

[554]       With respect to the ‘026 patent, there was no disclosure of the starting material of the claimed reaction or the intermediate species formed after the first step.

 

[555]       There was no prior disclosure of the ring closure of a thiazoline to form a cephalosporin (a β-lactam having 4-carboxylic acid function); there was no prior disclosure of how the new starting compound could be converted to give a 3-hydroxy cephalosporin or a compound which could be converted to such a compound.

 

[556]       There was no prior disclosure of a 2-step reaction of a thiazoline having substituents similar to those used in the ‘026 patent or where an enamine is converted in situ to the desired functional group, that is hydroxy.

 

9.4.6. Are these Differences Inventive?

[557]       I will first deal with the inventiveness of at least one of the claims at issue in each patent, based on the idea of the overall Shionogi synthetic process described in the disclosure.[223] Apotex has not met its burden of establishing that this overall pathway was obvious. Dr. Hanessian, the only expert Apotex qualified to comment on what a posita would have known or would have found self-evident at the relevant time, did not opine at all on this point.[224] He simply looked at each individual step; never considering the global process per se. Dr. Martin (though he was not really qualified to discuss this issue) submits that the one “invention” in all these patents is the overall process. In the context of his report this can only mean that, in his opinion, this overall process was not something that a posita as a matter of fact would have known or have found a trivial variation of what was known.

 

[558]       Only Dr. McClelland[225], who, as mentioned earlier, outside of the present proceedings has no real experience, focus or particular interest with regard to β-lactam, let alone cephalosporin, chemistry, made the point in the two last paragraphs of his report (A-12, paras. 209-210) that the Shionogi pathway would have been self-evident if one used retrosynthesis.

 

[559]       As mentioned, the opinion of Dr. McClelland has no probative weight in order to establish that a posita would have used retrosynthesis for this purpose in 1975.

 

[560]       Furthermore, Dr. McClelland’s discussion of retrosynthesis is based on the premise that the posita would know that the process should go from the target 3-hydroxy compound (compound D) to the Cooper compound (compound B) in order to get to a penicillin, the desired starting compound (compound A). There is no doubt that the 3-hydroxy compound would be a self-evident target compound, if the problem to be solved was to find a way to make cefaclor from penicillin. Indeed, there was no way to make cefaclor without going through this specific intermediate.

 

[561]       However, here again, Dr. McClelland was not qualified to say that the Cooper compound (compound B) would be the obvious way to get from compound D to compound A. This is especially so when one considers that at that time, the only known method to make the 3-hydroxy compound was through the 3-methylene cephalosporin, a pathway which leads away from the Shionogi process and the use of the Cooper compound.

 

[562]       Dr. Barrett testified that, at the relevant time, it was more likely that the posita would start with, or go through, the Morin arrangement, which was the reliable method used for opening the penicillin ring to make a cephalosporin.

 

[563]       That one could go through the exomethylene (compound 4 in W-17), to go back to compound A (which would include a penicillin sulfoxide) is corroborated by what Dr. Kukolja (another Lilly chemist) did when he discovered another process to make the 3-hydroxy from penicillin after 1975.

 

[564]       Retrosynthesis is a purely visual thought process which would have produced many possible pathways. Although the fact that very many options were open is obviously not in and of itself sufficient to conclude that an invention is not obvious. It is still an element to consider in the overall analysis. In his cross-examination, Dr. Hanessian agreed that all the pathways proposed by Dr. Barrett in his report were reasonable, even if some appear to have a better chance of success than others. Interestingly, he added that “[t]here may be even more.” [226]

 

[565]       Moreover, retrosynthesis does nothing more than provide a list of avenues to try. Execution, that is testing, is the next step. Thus, as noted in Sanofi, Apotex also had to establish that it would be more or less evident to the posita that the overall Shionogi pathway (assuming here that it would be part of the various retrosynthesis pathways one would have thought of) ought to work. The Defendant has simply not met its burden in this respect either, which is especially evident when one considers other factors relevant to the obviousness inquiry.

 

[566]       There is little doubt that there was a general motivation in the industry to find methods to make cephalosporins from penicillin. Lilly chemists were particularly motivated to find a synthetic pathway that would enable them to make cefaclor from penicillin.[227] As of February, 1975, Lilly had yet to find a way to efficiently produce its new antibiotic on a large scale.

 

[567]       Dr. Cooper, one of the most prominent chemists in the field of cephalosporins and the inventor of the compound used as starting material for the Shionogi process, testified that he tried in earnest to close the ring of this thiazoline but simply could not do it. Thus, the Cooper compound was at the bottom of the list when looking for a way to make cefaclor from penicillin.

 

[568]       Apotex argued that this evidence has little weight because Dr. Cooper’s job at Lilly was to find new compounds (he was on the β-lactam research team[228] as opposed to the process team). The defendant also suggested, based on Kukolja, that one could assume that the Lilly chemists were busy looking at other avenues.

 

[569]       Despite these arguments and an effort to challenge Dr. Cooper’s credibility in the course of his cross-examination, the Court finds his evidence credible. It only made good sense that he would try to find such a use for “his” compound. Although this evidence is not determinative per se, it certainly supports Dr. Barrett’s conclusion that the solution (overall pathway) proposed by Shionogi was not self-evident to the posita.

 

[570]       Although there is no evidence on which the Court could conclude that cefaclor was “the” priority at Lilly, it was certainly important enough for Lilly to go to Shionogi for help. Lilly was willing to pay for this research and to disclose its private information. Dr. Cooper met with Shionogi scientists; this provided him with another opportunity to turn his skilled mind to the problem. There is no evidence that the solution disclosed in the Shionogi patents became evident to him during that process.

 

[571]       In view of the foregoing, and having considered all the evidence presented, the Court concludes that the Shionogi synthetic pathway was not obvious.

 

[572]       It is not disputed that the compounds by process claims in the various Shionogi patents constitute an invention, only if their utility was disclosed in the patent. In that respect, the overall Shionogi process provides the inventiveness supporting at least one such claim in each patent (except the ‘026 patent which contains no such claim).[229] The case law is clear that in such a case, there is no need to claim the utility of the compounds in the claims.[230]

 

[573]       Here, the overall Shionogi process also provides inventiveness to at least one process claim at issue in each of the patents. The concept that an idea (overall synthetic pathway) can provide inventiveness to a claimed process or claimed product is not new. It is a basic tenet of patent law. (See Terrell, at paras. 7-8, on p. 276)[231] There is no legal requirement that it be included in the said claims.

 

[574]       That said, it is worth mentioning that in any event, Apotex has not met its burden of establishing that each individual step disclosed in the patent was obvious per se.

 

[575]       It is here that Dr. Barrett and Dr. Hanessian are at opposite ends. Dr. Hanessian’s approach is quite simple – Lilly referred to it as simplistic. Reduced to its most basic expression, Dr. Hanessian’s position can be summarized as follows: the chemical reactions claimed in the Shionogi patents were generally known in organic chemistry. They each had been used at least once on similar compounds without destroying the β-lactam molecule (although the yields may have been very low). Thus, a posita would expect them to successfully work on the compounds described in the patents at issue even those that had never been made before.

 

[576]       Dr. Barrett also acknowledges that these generic reactions (except maybe for one) were known and often used in general organic chemistry but he says that this would provide no comfort to the posita because of the delicate nature of the compounds at issue and the serious issues of selectivity they raised. Also, for Dr. Barrett to focus on some isolated examples which involved, according to him, compounds quite different from the ones at issue, ignores all the prior art references dealing with failures or unsatisfactory results obtained in other so-called similar compounds. Thus, in his view, it would not be plain nor self-evident at the relevant time to a posita that these reactions ought to work on penicillin derivatives, especially those that were not even known to exist.

 

[577]       As mentioned earlier, Dr. Hanessian was a credible witness but the weight of his evidence was diminished by the fact that his opinion only refers to publications given to him by Apotex’s counsel. There is no specific reference or mention in his opinion of any bias or beliefs held at the time by the posita. There is no reference to the well-known literature of the time which summarized the advances in the field like the articles of Dr. Flynn or Sammes.[232] In fact, there is no real evidence that he took into account any art outside that which was provided to him. It appears that he was given no specific instructions in this case against the use of hindsight and despite him mentioning that he had heard of the concept in a previous case, the Court is uncertain about his methodology. In cross-examination, when asked about the difficulty of transforming an exomethylene cephem at the relevant time, Dr. Hanessian that this involved a simple allylic bromination where everything has to do with its timing.[233] However, he had to acknowledge that there was nothing about this in the relevant literature and that it was fair to say that in 1975, there was no known method to do so.

 

[578]       On the other hand, Dr. Barrett was subjected to more than one long and skilful cross-examination and the weight of his evidence was diminished by the fact that some of the points made in his report were shown to have been somewhat overstated (see for example the evidence in respect of para. 115 of E-14). However, the weight of his evidence was still such that the Court could not conclude that there was a preponderance of evidence in favour of Apotex.[234]

 

[579]       This is especially true when one considers that the common general knowledge – Cooper 1, properly understood by the posita[235] – would lead away from the process claimed in the ‘547 patent. Although the Court acknowledges that this paper shows that the Cooper thiazoline was stable in the conditions described therein, the Court does not agree that this would have been the only concern for the skilled person. The Court is simply not persuaded by Apotex’s evidence that the posita would be motivated to try this process on the Cooper compound[236] and certainly not that the ozonolysis of this open-ring structure would be expected to work.

 

[580]       In respect of the ‘924 and the ‘132 patents, none of Apotex’s experts explained how one would be motivated to even try such a process given that all the compounds involved were not known. It is also difficult to accept the proposition that these chemical reactions would be expected to work on compounds that were not even known.

 

[581]       Apotex argued that the Court must assume that the posita knows of the overall Shionogi process so that it is placed in the same position as the inventor. I disagree. When considering obviousness, the posita is only assumed to possess common general knowledge and the public information disclosed in the prior art. The Shionogi process was not part of this. It was a solution only known to the inventors.

 

[582]       In respect of the ‘026 patent, after reviewing the evidence several times, the Court had to conclude that it was equally unconvinced by both sides. The Court is simply not persuaded that even if a posita had been motivated to carry out this process (which is doubtful given that the starting compound was not known) it would have been evident that it would succeed. Thus the party bearing the burden on this issue fails.

 

10. Lack of Utility – Sound Prediction – Inoperability

[583]       Apotex argues that several of the claims in the patents at issue are overbroad; they allegedly include claimed embodiments that are inoperable. Although the defendant argues in its memorandum that the patentee had to establish utility at the relevant time or that he could soundly predict that all the embodiments claimed would be useful, it is evident that, as with any other arguments presented to invalidate the patents, the burden of proof here is on the defendant.

[584]       With respect to sound prediction, the tripartite test to be applied was set out by the Supreme Court of Canada in Wellcome (2002), at para. 70. More particularly there must be: i) a factual basis for the prediction; ii) an articulable sound line of reasoning; and, iii) proper disclosure.

10.1. The Lilly Patents

[585]       In their affidavits, Drs. Modro and McClelland[237] stated that the ‘007 patent discloses and claims reaction conditions for the formation of a kinetic complex of the general formula where X is Cl or Br and Z is hydrogen, halo, C1-C4 alkyl or C1-C4 alkoxy.[238] As there are no restrictions on the position of the Z substituent on the benzene ring [ortho (-o-), meta (-meta-), or para (-p-)],[239] they say that some of the Z variants other than hydrogen, such as tri-p-chlorophenyl phosphite and Cl and tri-p-methoxyphenyl[240] phosphite and Cl and other similar members would be inactive, thus not work as claimed in the patent.

[586]       Given that many of the claims at issue are limited to Z = H,[241] such as claims 20, 21, 27, and 11 (the alternative based on claim 10) of the ‘536 patent, claims 16, 23, 26, 27 and 30 of the ‘725 patent, and claims 8, 17, 19 and 20 of the ‘468 patent, it was not clear at all how such argument could be determinative. The Court sought Apotex’s counsel’s views on this point and as appears from the transcript of November 11, 2008, after reflecting upon it for quite some time, the said counsel advised the Court that “it is really complex to try to discern if such argument could be determinative” and thus noted the Court should decide the issue.

[587]       In an abundance of caution, the Court has thus decided to review the evidence on this issue but this should not be taken as implying that such argument could be determinative in any way of the findings in respect of all the claims which were found to be infringed. In fact, I do not believe that it is.

[588]       Apotex’s experts’ views are not based on any experiment done by Dr. Modro[242] or anybody else on behalf of Apotex. Except in respect of variants at the ortho position,[243] these views are mostly based[244] on what was reported in TX-211, a 1978 progress report which states:

The complexes formed from triphenyl phosphite and tri-o-tolyl phosphite behave identically, but the compound from tri-p-chlorophenyl phosphite and chlorine is inactive. This suggests that even small electronic factors are very important in order to obtain the correct compound. These data prompted speculation that the ionic complex, (ArO)3P±Cl Cl¯, was in fact the active complex and therefore substitution on the aromatic ring that would stabilize the positive charge on phosphorus should in turn provide a more stable, active reagent. With this in mind tri-p-methoxyphenyl phosphite was prepared and reacted with chlorine in methylene chloride at -15º. However, the compound was just too reactive with chlorine, either because of decomposition or aromatic ring chlorination, such that the endpoint in complex formation was extremely difficult to determine. The complex that did form was active in both chlorination and cleavage but low yields were obtained. A more extensive series of phosphites and resulting complexes with chlorine will be prepared.

 

[Emphasis added pp. 7-8.]


[589]       As mentioned, TX-211 was introduced during the testimony of Dr. Blaszczak, who had read that report at the time it was circulated. Although he indicated that he had no reason to believe that the results reported therein were not accurate, it is clear that he was not

personally involved in the experiments discussed, particularly those at the passages referred to by Apotex’s experts.

[590]       The ‘007 patent, as well as the Lilly process patents, do contain examples where the tri-p-chlorophenyl phosphite and chlorine complex was used to perform chemistry on a cephalosporin substrate (see examples 9 and 10 in the ‘007 patent, example 48 in the ‘725 patent, example 27 in the ‘468 patent, and examples 72 and 89 in the ‘536 patent). There are also many examples where a kinetic complex formed from tri-p-methoxyphenyl phosphite was used to perform the claimed reaction (see examples 68, 75, 90, and 94 of the ‘536 patent, and example 7(G) of the ‘007 patent). The patent also contains examples where a Z substituent other than H is used on the ortho position (see example 7(F) of the ‘007 patent).

[591]       The weight of Apotex’s experts’ opinions were greatly diminished by way of cross-examination.[245] It became clear that, in respect of the para and meta substituents, Dr. Modro was expressing mere concerns as to the yields that would be obtained using some of these substituents rather than the fact that said compounds would be inactive. It also became clear that the said experts had no more reason to rely on what was reported in TX-211 than what was reported in the various patents. Dr. McClelland insinuated that he could not rely on the examples in the patents because he had not seen the actual lab notebooks concerning these experiments. However, it is clear that he had not seen any lab notes relating to the experiments reported in TX-211 either.

[592]       In his affidavit (E-19, paras. 57-59), Dr. Baldwin indicates that, based on the examples of the preparation and use of ortho and para derivatives, there was no reason to believe that meta-substituted compounds could not also be similarly prepared and used. He also noted that he would not be concerned about steric effects since only a single, relatively small (C4 alkyl or alkoxy) substituent is permitted.[246] The Court prefers the evidence of Dr. Baldwin who, although he had not seen any lab notebooks with respect to the examples, represents what a posita would have expected based on the data disclosed in the patents.

[593]       When Lilly attempted to introduce direct evidence of the work carried out in the patent in respect of example 9 of the ‘007 patent, Apotex objected to the evidence of Mr. Gardner on the basis that Lilly had refused to reply to questions relating to all the experiments disclosed in the patents based on Justice Hugessen’s decision in these proceedings dated August 9, 2000 reported in Eli Lilly (2000), particularly where he stated, at para. 4:

I equally accept the plaintiffs’ position with respect to the plea that there was no sound basis for prediction of utility of the claims or some of them as pleaded in the defence. Inutility as pleaded here is a form of overclaiming and, equally in my view, must be tested against an objective standard, namely do the claims go beyond what could have been predicted, thereby claiming more than what was invented; I accept that what was said by Mr. Justice MacGuigan in Merck v. Apotex:

 

... section 34 is not concerned with the sufficiency of the inventor’s knowledge. Rather, the issue is whether the information provided in the specification is sufficient to explain the functioning of the invention to a person skilled in the art. In other words, the analysis centres on what the inventor expressed in the specification, not on what the inventor knew.

 

[Footnote omitted; emphasis added.]

 

This description of the law was expressly confirmed by the Federal Court of Appeal in Eli Lilly (2001) where Justice Rothstein indicated that the Court was not persuaded of any error of law in his reasons.

 

[594]       In my view, there is no need to even rule on this objection for, after carefully reviewing the evidence, the Court is simply not satisfied that Apotex has met its burden of establishing on a balance of probability that any of the above mentioned compounds were inactive or that their ability to perform the claimed reactions could not be soundly predicted[247] based on the factual data (the examples) disclosed in the patents and the common general knowledge of the posita at the relevant time.[248]

[595]       The Court finds that there was no positive burden on Lilly to independently prove the experiments disclosed in its patents for Apotex abandoned its challenge of their accuracy

pursuant to s. 53 of the Patent Act. Obviously, the evidence of Mr. Gardner would have strengthened Lilly’s case but it does not improve Apotex’s.[249]

[596]       This leaves two further issues to be discussed – the orthomethoxy derivative and para. 111 of Dr. McClelland’s affidavit (A-12). [250]

[597]       Dr. McClelland indicates, at para. 111 of his affidavit (A-12) that, according to TX-211, the inventors knew that the triphenylphosphite-chlorine complex employed to perform sulfoxide reduction (‘536 patent), halogenation of the 3-OH to 3-Cl (‘725 patent), and the acylamino conversion (‘468 patent) must be formed at -10º Celsius or lower to work and must be used quickly. Nevertheless, the inventors claim the use of such complexes and included in their claims temperatures of up to 30º Celsius.

 

[598]       In the course of cross-examination, Dr. McClelland admitted that the passage cited in his report was in fact missing a part which is essential to understanding the passage relied upon in his report. In effect, at p. 7 of TX-211 it is indicated that:

The complex must be formed at -10º or lower and used as quickly as possible, since it becomes essentially inactive after standing at room temperature for several hours.



[599]       Dr. McClelland agreed that, read in context, this sentence means simply that the kinetic complex must be used before it transforms after sitting at room temperature for several hours.[251] Dr. McClelland acknowledged that it is clear that a kinetic complex can be formed at room temperature but still questioned how it would react with cephalosporins at such temperature. He noted that he didn’t know because there were no experiments, at least that he recalled. In fact, example 8(B), on p. 27 at the ‘007 patent used a kinetic complex at room temperature to perform imino-halide formation producing a yield of 85.4% (as compared to 91.6% at 10º to 15º Celsius).[252]

[600]       Turning to the last argument, here again, it is to be noted that Dr. Modro does not opine on whether, based on the experiment disclosed in the ‘007 patent (7(F) using tri-o-tolyl to transform a cephalosporin substrate) the inventor could have soundly predicted the usefulness of these other Z substituents at the ortho position.

 

[601]       Dr. Baldwin indicated in his report that in an earlier article (exhibit E-19 G), Dr. Gloede had clearly shown the formation of a kinetic complex.[253] Although this does not appear clearly from his affidavit as drafted, Dr. Modro said that the issue was more precisely whether the kinetic complex – an intermediate which by nature is unstable – would be able, for example, to chlorinate the enol before it reacted further with the chlorine as described in Gloede. There is no evidence before the Court that the allegedly competing reaction shown in Gloede (OZ = OCH3) was known to the inventor or to a posita at the relevant time.[254]

[602]       In respect of both of these issues the following comments of Justice MacKay in Wellcome (1991) are particularly apposite:

The Defendant raises doubt about the operability of certain of the reactions when particular reactants are utilized; however, there is no clear proof that any of the reactions will not proceed. That might have been demonstrated by attempting to carry out the claimed processes for particular reactions and documenting those which were found inoperable. I appreciate that there is no obligation on the Defendant to undertake any such experimental work to support a submission that processes claimed are inoperable, but the Defendant does have the onus of establishing invalidity of a registered patent. Despite doubts the Defendant raises I am not persuaded that the onus on the Defendant is met. I find that the Defendant has not established that any of the process claims are simply inoperable.



[603]       In this case the Court is not satisfied that Apotex has provided evidence of sufficient weight to support its allegation that the ‘007 patent or the Lilly process patents contain embodiments that are not useful or whose usefulness could not be soundly predicted by the inventor on the basis of the various experiments described in the patents and the relevant common general knowledge. They have simply not met their burden.

 

 

10.2. The Shionogi Patents

[604]       Apotex raises no issue under this heading with respect to the ‘547 patent. In respect of the ‘924 patent, Dr. McClelland raises certain issues with respect to some compounds in which both A and B or R are hydrogen atoms.[255] However, this is only relevant to claims 3, 8, 9, and 27. Thus, even if the Court were to accept Apotex’s point of view, this would not be sufficient to avoid the findings of infringement made in respect of the Kyong Bo process.[256]

[605]       In respect of the ‘132 patent, Drs. McClelland and Martin (see paras. 94-95 of the affidavit of Dr. Martin (A-17); para. 168 of the affidavit of Dr. McClelland (A-12)) testified about issues including “difficulties” that would be encountered with compounds covered by claims 15, 22, 29, and 34 when Y is hydroxy (OH). Also in respect of other claims, such as 1 and 2,[257] Apotex says that based on Drs. McClelland and Hanessian’s evidence,[258] it appears that, as of 1975, there was no reliable method that allowed for allylic fluorination

reactions to occur and no reagents were listed in the patent to assist the skilled person. Dr. McClelland also notes that there are no examples of halogen in the patents other than Br.

[606]       As noted above, the Kyong Bo process infringes claims 38, 58 and 15, the validity of which cannot be affected by these arguments.[259]

[607]       It is not clear why Apotex’s counsel insisted on arguing all of the above mentioned issues given that it was clear that certain claims at issue, which would obviously be infringed if their argument with respect to importation was not accepted, would not be affected by such arguments.

[608]       This brings us to the last patent, the ‘026 patent where all the claims at issue would be affected by the matters raised by Drs. Hanessian (para. 120-123 of A-15) and McClelland (paras. 199-200 of A-12). This is dealt with in a single paragraph of Apotex’s memorandum (para. 365) where it is summarized as follows:

[W]hen “Hal” is equal to fluorine, the cyclization reaction (step two of the claimed process) will not occur since fluorine is a poor leaving group in all substitution reactions.

 

[Footnote omitted.]

 

In that respect, both Drs. McClelland and Hanessian rely on Jerry March’s 1968 book Advanced Organic Chemistry provided to them by Apotex’s counsel.[260] During his testimony, Dr. Hanessian said that he himself had noted that the patent contained only examples with Br and few with Cl[261] but that there were no examples where iodine or fluorine were used.

[609]       Both experts confirmed that Apotex never tried fluorine in the many experiments performed by Dr. Modro or Dr. Chase. However, despite the lack of examples in respect of iodine and fluorine and the lack of detailed information about chlorine, Dr. McClelland indicated in the course of his cross-examination that one would expect no problems with Cl or iodine as a leaving group.[262]

[610]       Although Dr. McClelland[263] indicated that the cyclization through substitution discussed in step two of claim 1 was an easy reaction, Dr. Hanessian states in his affidavit that it requires a good leaving group. In fact, it is on that basis and that Dr. Hanessian concludes that fluorine, which is not a good leaving group, would not work. Dr. Hanessian does not discuss why the use of a catalizer would not assist cyclization in this case even if he found it doubtful that fluorine alone would be an appropriate leaving group for this type of reaction.

[611]       Dr. McClelland said “I can’t say unequivocally that it’s not going to work. I can say that it is not a reaction that a chemist would view as particularly facile.”[264] At para. 154-156 of his report (E-14), Dr. Barrett indicates that fluorine is not the worst leaving group provided for in the table referred to by Dr. McClelland. He also notes that, although a posita would not likely choose fluorine because of the inherent danger linked to the use of such halogen, – “[y]ou might destroy your co-workers. It’s a dangerous element” [265] – in his view

 

a cyclicized 3-hydroxy cephalosporin would be formed by the use of fluorine particularly where a catalyst is utilized.[266]

[612]       Having carefully considered all of the evidence, the Court is not satisfied that Apotex has established on a balance of probability that the use of fluorine in claim 1, particularly with the use of a catalizer[267] to assist cyclization, would not work or that such process could not be soundly predicted on the basis of the experiments described in the patent and the common general knowledge about fluorine as a leaving group.

10.3. Deficiency of Specification and Ambiguity

[613]       Under this heading, Apotex raises several complaints to support its argument that the disclosure of the ‘007 patent (the only patent to which this argument applies) is deficient and does not contain all the information necessary to enable the posita to practice and use the invention claimed. These complaints and all the evidence on which Apotex relies are fully described in its memorandum on validity at paras. 121-134.

[614]       As the Court has already indicated that the only valid claim left at issue at this stage is claim 17, these arguments will only be considered in respect of the invention claimed

therein, that is, the process to make the kinetic complex in an aromatic hydrocarbon or halogenated hydrocarbon solvent.

[615]       The applicable principles are well-known. Be it sufficient to say here that the then applicable s. 34 of the Patent Act provided that the specification (the disclosure and the claims) i) correctly and fully describe the invention, ii) set out clearly the various steps of the process claimed at claim 17 in full, clear, concise and exact terms so as to enable the posita to use the invention, and iii) distinctly claim the “thing” that the inventor regards as his invention.

[616]       The case law (including those cases cited by Apotex at para. 122) is clear that the patent must “disclose everything that is essential for the invention to function properly”.

[617]       In a nutshell, Apotex argues that the ‘007 patent fails to disclose the need i) to avoid excess TPP, ii) to make the kinetic complex or use it at -10 ºC, iii) to use the kinetic complex quickly, and iv) that it fails to give sufficient details about the particular species falling within the scope of the claims.[268]

[618]       During its final presentation, Apotex conceded that this line of defence is not a major argument. In fact, the Court is somewhat surprised that it was pursued given the paucity of the evidence supporting it and the fact that all the experts who tried to make the kinetic complex, following the instructions of the ‘007 patent, succeeded the very first time they

tried (such as Dr. Modro and Dr. Chase on behalf of Apotex) and had no difficulty differentiating the kinetic complex from the thermodynamic product.[269]

[619]       There is thus no need to say much more than that Apotex has failed to convince the Court that a posita armed with all the information contained in the ‘007 patent and its common general knowledge would not be able to use the process described at claim 17 successfully to make kinetic complexes. In other words, the evidence relied upon is simply insufficient to meet that burden.

[620]       For example, the passage of TX-220 relied upon to support the view that it was essential to instruct the posita not to use excess TPP was read out of context and without full consideration of the information actually disclosed in the ’007 patent. The passage reproduced in Tab 168 is from a paragraph starting with “[i]nitially”. It describes, as I mentioned it earlier, the discovery process. The inventors had difficulties reproducing their first successful experiment. In their attempts to reproduce it, they noted that the reagent having stood overnight at 0º C became inactive and that the addition of one equivalent of Cl to two equivalents of TPP also produced a product that was inert – could not be used to transform a cephalosporin substract. At that time, the inventors clearly had little understanding of the product(s) made by the reaction of TPP and Cl.

[621]       The examples 3, 4, 5 and 8 do not teach the use of excess TPP of the magnitude discussed in TX-220. In such experiments the two reactants are mixed together until a yellow colour, indicative of excess Cl persisted, which colour is then discharged by the addition of further TPP. This is in line with the preferred mode described at p. 11, line 30 to p. 12, line 7. The ‘007 patent makes it clear at p. 11, lines 23-27, that TPP itself reacts to some extent with its kinetic reaction product with Cl or Br effectively increasing the rate of conversion to the corresponding thermodynamic product (see also p. 6, lines 24-27).

[622]       Obviously one must never lose sight of the fact that claim 17 expressly covers the use of equivalent amounts of triaryl phosphite and Cl or Br and in one of its alternatives (claim 10) it covers wherein an excess of Cl is maintained during the reaction of the triaryl phosphite and Cl.[270] Clearly, a posita using a 2(TPP):1(Cl)[271] ratio or an excess of TPP of similar magnitude would not be practicing the invention.

[623]       With respect to the need to use the kinetic complex quickly and to make it or use it at -10º C or less, the Court has already reviewed, discussing the issue of utility, the passages of TX-211 relied upon by Apotex, and Dr. McClelland’s views in that respect.

[624]       On p. 5, line 24 of the disclosure, the posita is told that:

To maximize the production and stability of the kinetically controlled product, reaction conditions are selected so as to minimize the potential for thermodynamic equilibrium of the initial product of the reaction. Most simply conditions for kinetic control are achieved both by lowering the reaction temperature and the temperature of the kinetic product after it is formed, and by minimizing [the] time allowed for thermodynamic equilibrium, such as by utilizing the kinetic product in a subsequent reaction immediately after it has been prepared.

 

[Emphasis added.]

 

It is difficult to see how a posita would not fully understand how to practice the invention.

 

[625]       Finally, with respect to the need to further identify the kinetic complex by reference, for example, to a specific or more precise chemical formula. Given the construction adopted by the Court and the Court’s previous findings, the Court accepts Dr. Baldwin’s views on the matter. He was very clear that the specification easily provides sufficient chemical information to distinguish the kinetic complex from the latter formed product, that is, the thermodynamic product.[272] The Court certainly agrees with Lilly’s submissions that there is a preponderance of evidence that with knowledge of what is disclosed in the ‘007 patent, it is relatively simple to observe the conversion of the kinetic complex to the thermodynamic product using 31P NMR analysis.

 

11. Remedies and Costs

11.1. Disentitlement and Set-off

[626]       In its written submissions and at oral argument, Apotex argues that Lilly’s conduct in respect of the Shionogi patents should disentitle Lilly from any relief (equitable or otherwise) from its claim of infringement in respect of all the patents at issue. Apotex also argues that, even if its claims under the Competition Act, R.S.C. 1985, c. C-34, are time

barred, Lilly’s otherwise anticompetitive acts should excuse Apotex from liability for patent infringement under the doctrine of equitable set-off.

[627]       First, it is important to note that although the defence in the main action does include an allegation with respect to disentitlement, there is no allegation with respect to equitable set-off. Moreover, Apotex presented no evidence to establish a s. 45 offence in the main action. It did not agree with the plaintiffs (as was done with respect to some evidence filed by consent in the counterclaim to avoid repetition) that the evidence filed in the context of the counterclaim would be entered by consent in the main action.

[628]       When Lilly raised the absence of such allegation in the defence, Apotex argued that this was simply a procedural error which caused no prejudice to Lilly for they knew from the allegation at para. 112 of the counterclaim[273] that the defendant was seeking set-off.

[629]       That said, even if it were possible for the Court to import, as suggested, the evidence filed in the counterclaim, which includes evidence by Shionogi who is not a party to the main action, the Court is of the view that Apotex’s counterclaim is without merit because it is time-barred and Apotex failed to establish that it suffered a loss arising from the alleged anti-competitive conduct.

 

[630]       If Apotex’s competition claim cannot stand in the context of its counterclaim, it cannot stand as a defence to Lilly’s claim in the main action. 

 

[631]       However, in the event I have erred with respect to the merits of Apotex’s counterclaim, but am correct in respect of my conclusion that the competition counterclaim is time-barred, it may be open to Apotex to introduce its competition counterclaim as a defence to Lilly’s infringement action.  Defences raised under the doctrine of equitable set-off are not subject to the expiration of limitations periods (see Canada Trustco Mortgage Co. v. Pierce Estate; Pierce v. Canada Trustco Mortgage Co. (2005), 254 D.L.R. (4th) 79, 197 O.A.C. 369 (Trustco) at para. 4). No case law was provided on this point in respect of disentitlement.

 

[632]       The assertion of equitable set-off and disentitlement by Apotex seeks to weigh Lilly’s conduct vis-à-vis Shionogi against Lilly’s claims for infringement under the Patent Act.  For the reasons that follow, I am of the view that in this particular case, Apotex cannot invoke its allegations of anticompetitive behaviour to evade its liability for infringement through disentitlement or equitable set-off.

 

[633]       The nature of disentitlement was discussed by Justice Sharlow in Volkswagen Canada Inc. v. Access International Automotive Ltd., 2001 FCA 79, [2001] 3 F.C. 311, where she concluded that, in order for disentitlement to be operative a defendant must establish a link between "the alleged unlawful behaviour and the equitable remedy sought by the patent holder that could support an unclean hands defence." (at para. 25; emphasis added, see also Sanofi-Aventis Canada Inc. v. Apotex Inc., 2008 FCA 175, 66 C.P.R. (4th) 6, paras. 14-16) A similar conclusion was reached by Justice Hugessen in Procter & Gamble Co. v. Kimberley-Clark of Canada Ltd. (1990), 29 C.P.R. (3d) 545, [1990] F.C.J. No. 58 (QL) (F.C.A.):

For past conduct to be relevant to a refusal of equitable relief under the "clean hands" doctrine, relief to which the party would otherwise be entitled, such conduct must relate directly to the subject matter of the plaintiff's claim, in this case their patent.

 

[At 546; emphasis added.]

 

[634]       Justice Rothstein (as he then was), framed the relevant inquiry into disentitlement as follows:

It is apparent that it is not any alleged inappropriate conduct of a party that may be relevant in the consideration of whether or not to grant equitable relief. The inappropriate conduct must relate directly to the subject matter of the plaintiff's claim.

 

[Visx Inc. v. Nidek Co., (1994), 87 F.T.R. 96, 58 C.P.R. (3d) 51 (F.C.) (Visx), para. 5, emphasis added.]

 

[635]       Thus, the Court cannot agree with Apotex that the defence of disentitlement could be a total bar to the claim of Lilly given that its rights to sue for infringement are based on a statute and not solely on equity. In my view, it could only be considered in respect of Lilly’s right to elect as this is an equitable form of relief.

[636]       In contrast, equitable set-off constitutes a substantive defence to a claim, and would (if successful) vitiate any relief, equitable or otherwise, sought by a plaintiff (see Trustco paras. 43-46, citing Henriksens Rederi A/S v. PHZ Rolimpex, [1973] 3 All E.R. 589 (C.A.) (per Lord Justice Denning)).

 

[637]       The principles underlying equitable set-off, including relevant Canadian and English authorities, were canvassed by the Saskatchewan Court of Appeal in Saskatchewan Wheat Pool v. Feduk, 2003 SKCA 46, [2004] 2 W.W.R. 69:

The starting point is Holt v. Telford where Wilson J., for the Court, quoted a statement of the applicable principles for equitable set-off found in Coba Industries Ltd. v. Millie's Holdings (Canada) Ltd. et al:

1. The party relying on a set-off must show some equitable ground for being protected against his adversary's demands: Rawson et al v. Samuel (1841), Cr. & Ph. 161, 41 E.R. 451.

 

2. The equitable ground must go to the very root of the plaintiff's claim before a set-off will be allowed: British Anzani.

 

3. A cross-claim must be so clearly connected with the demand of the plaintiff that it would be manifestly unjust to allow the plaintiff to enforce payment without taking into consideration the cross-claim: Federal Commerce & Navigation Ltd.

 

4. The plaintiff's claim and the cross-claim need not arise out of the same contract: Bankes v. Jarvis, [1903] 1 K.B. 549; British Anzani.

 

5. Unliquidated claims are on the same footing as liquidated claims: the Newfoundland case.

 

[Footnotes omitted, emphasis added.]

 

[638]       The Saskatchewan Court of Appeal went on to cite Lord Justice Denning in Federal Commerce & Navigation Co. Ltd. v. Molena Alpha Inc., [1978] 3 All E.R. 1066 (C.A.) (Federal Commerce), aff'd on other grounds [1979] A.C. 757 (H.L.), where the following test was articulated in respect of claims of equitable set-off:

This question must be asked in each case as it arises for decision; and then, from case to case, we shall build up a series of precedents to guide those who come after us. But one thing is quite clear: it is not every cross-claim which can be deducted. It is only cross-claims that arise out of the same transaction or are closely connected with it. And it is only cross-claims which go directly to impeach the plaintiff's demands, that is, so closely connected with his demands that it would be manifestly unjust to allow him to enforce payment without taking into account the cross-claim.

 

[Emphasis added.]

 

(at 1078; see also Old Mac's Pty. Ltd. v. Cavallo Horse & Rider Inc., 2007 BCSC 726, 157 A.C.W.S. (3d) 944, para. 39; Cam-Net Communications v. Vancouver Telephone Co., 1999 BCCA 751, 182 D.L.R. (4th) 436, paras. 46-49).

 

[639]       While the scope of disentitlement and equitable set-off are different, both defences ask a common question which both Federal Commerce and Visx frame in similar ways: does the unacceptable or unlawful conduct of Lilly go to the root or otherwise serve to impeach its claim and in such circumstances should the liability of Apotex be excused.

 

[640]       There is no dispute in this litigation that Lilly is the owner of all eight patents at issue.  Nothing in the Patent Act prevents a patent holder from assigning their rights to another party.  While such an assignment can give rise to anti-competitive effects (see prior decision of the Federal Court of Appeal in this case on the summary judgment motions (2005 FCA 361, [2006] 2 F.C.R. 477), at para. 27), such an outcome does not otherwise impeach ownership rights in a patent.  Put plainly, the anticompetitive consequences of an assignment of patent rights do not in and of themselves undermine or undo a lawful assignment of patent rights. Obviously, they can have no effect on the ownership of the Lilly patents.

 

[641]       While Apotex’s allegations of anticompetitive behaviour against Lilly are related to the assignment of Shionogi’s patent rights, they do not in my view impeach Lilly’s title to any of these patents.

 

[642]       The Court is convinced that there is no relationship between the infringing acts of Apotex, which are the subject of the main action, and the alleged unlawful behaviour. Apotex would have infringed the Shionogi patents, whoever owned them. This will be explained in more detail in my reasons dealing with the counterclaim.

 

[643]       Even assuming that an anticompetitive act could go to the root of a patent infringement claim, I would decline in this case to exercise my discretion to allow Apotex access to the equitable set-off or disentitlement.  First, because of the evidentiary issue discussed earlier. Second, because, as mentioned, in my view, it is most likely that Apotex would have infringed the Shionogi patents regardless of who owned them and it would not be unjust in this case to impose on Apotex the payment of the damages arising from its illegal actions.

 

[644]       Thirdly, it cannot go unstated that the Patent Act and the Competition Act are distinct statutory regimes. What Apotex seeks to do vis-à-vis its disentitlement and equitable set-off claims is resurrect its time-barred claim under the Competition Act and give it new life in the context of a patent infringement action.  Such a result cannot be countenanced.  It could not have been Parliament’s intent in enacting the Competition Act that its “special remedies” provisions would serve as a defence to a patent infringement action or to otherwise interfere with the remedies flowing from a finding of infringement.

[645]       To reiterate, an assignment of patent rights may give rise to anti-competitive consequences.  However, to the extent they do so, such claims must be adjudicated within the confines of the Competition Act.  If judgment is obtained, it can then be set-off against any judgment dealing with infringement damages. To allow otherwise would allow for a fusion of two statutory regimes whose object and purpose are fundamentally distinct.

 

            11.2. Remedies

[646]       I will now examine the appropriate remedy. Lilly has requested the following:

  • An election between its damages or an accounting of Apotex’s profits
  • Exemplary/punitive damages
  • Pre and post judgment interest at a rate of 9% per year, compounded

 

[647]       With regard to the remedy of an accounting of profits, the Federal Court of Appeal has recently reiterated the well established principle that “a trial judge has complete discretion in deciding whether or not to grant this equitable remedy” (Merck & Co. (FCA)). It is equally well established that a successful plaintiff in a patent case does not automatically benefit from this remedy. In AlliedSignal Inc. v. Du Pont Canada Inc. (1995), 95 F.T.R. 320 n, 184 N.R. 113 (F.C.A.), Justice Alice Desjardins held that “the choice between the two remedies [damages or accounting of profits] cannot be left entirely to the successful plaintiff.” (para. 77)

[648]       In past cases, the right to elect has been denied for a variety of reasons; delay in bringing forward the action for infringement (Consolboard (1978)); “misconduct on the part of the patentee” and “the good faith of an infringer” (Beloit Canada Ltd. v. Valmet-Dominion Inc., [1997] 3 F.C. 497, 214 N.R. 85 (F.C.A.), paras. 111 and 119); and, where “the Plaintiffs essentially threw in the towel and left this action to proceed in a leisurely fashion” (Merck & Co. v. Apotex Inc., 2006 FC 524, 282 F.T.R. 161, (Merck & Co. (FC)) para. 229). Obviously, all of these cases are very fact specific and quite distinguishable from the present situation. Still, they are useful with respect to factors to be considered in the course of the exercise of this Court’s discretion.

 

[649]       Apotex submits that Lilly does not come before this Court with clean hands, given the evidence of its anti-competitive conduct in acquiring title to the Shionogi patents and in attempting to prevent generic entry into the market for dosage form cefaclor. Fundamentally, Apotex also argues that the right to elect should be denied as Lilly has not diligently prosecuted this action, which took nearly eleven years to come to trial and is inherently complex. Finally, Apotex submits that the fact that the type of infringement, that is by importation, should be considered by this Court and lead it to deny the right to elect.

[650]       Apotex argues forcefully against the awarding of the right to elect and advocated that damages be assessed only in accordance with a reasonable royalty. Then Apotex performs an intellectual volte-face to argue that should the Court refuse to limit damages to the equivalent of a reasonable royalty, then Lilly should only be entitled to an accounting of profits, which represents less than the amount of general damages which would be payable.

 

[651]       Although Apotex does not appear to make a distinction between the infringement of the Lilly and the Shionogi patents, the issue of royalties can only apply to the Shionogi patents. Also, a reasonable royalty is only acceptable as a measure of damages for sales made by the infringer that would not have been made by the plaintiff.[274] Although Lilly was not practicing the Shionogi patents per say, it had a product on the market, the sale of which was allegedly harmed by Apotex’s entry with an infringing product.

 

[652]       In such circumstances, the Court sees no good reason to limit Lilly’s damages to a reasonable royalty. Having considered and evaluated the circumstances of this case overall, the Court is satisfied that the proper exercise of its discretion is to afford Lilly the right to elect between an accounting of profits and damages. Should Lilly elect for damages, it should be clear that they will have to establish what sales were directly lost as a result of Apotex’s infringement.

 

[653]       With respect to the alleged anti-competitive conduct, as mentioned above, the Court does not believe that in this case such allegations are valid basis for denying Lilly the right to elect.

 

[654]       As for the alleged delay, while this action did indeed take nearly eleven years to get to trial, the Court is not of the opinion that this constitutes an excessive delay in the circumstances[275] and does not find elements of misbehaviour in the course of the conduct of the action by Lilly that would justify denying the remedy sought. It should also be noted that in this case, the last of the patents at issue expired on July 26, 2000. As such, any delay in getting the present action to trial after this date is somewhat irrelevant for the purposes of an accounting for profits as no infringing act occurred thereafter.[276]

 

[655]       In addition, Apotex was aware that Lilly and Shionogi opposed the issuance of an NOC for Apo-cefaclor as soon as 1993, date at which the PM (NOC) proceedings were instituted against it. As soon as Apotex entered the market, Lilly instituted an action for infringement.[277] While it was discontinued, the second action came shortly thereafter, in June, 1997. Apotex knew or ought to have known that Lilly would enforce its patent rights.

 

[656]       Rather, Apotex’s insistence that the Court deny Lilly the right to elect and limit damages to a reasonable royalty is consistent with its assertion that it has the right to infringe at the lowest possible cost. As will be reiterated in the reasons dismissing Apotex’s counterclaim, the Court cannot endorse such an approach.

 

            11.3. Exemplary/Punitive Damages

[657]       In Lubrizol Corp. v. Imperial Oil Ltd., [1996] 3 F.C. 40, 197 N.R. 241 the Federal Court of Appeal, citing the Supreme Court of Canada in Hill v. Church of Scientology of Toronto, [1995] 2 S.C.R. 1130, (1995), 24 O.R. (3d) 865, held that “the Court cannot decide whether exemplary damages are required until after it decides whether the general damages were insufficient for punishment and deterrent purposes. In other words, the Court must first assess the general damages.” (para. 36) Therefore, the Court cannot award punitive damages at this stage as the question of general damages has been bifurcated.

 

[658]       However, the Court may rationally determine if the circumstances here “warrant the addition of punishment to compensation in a civil action” (Whiten v. Pilot Insurance Co., 2002 SCC 18, [2002] 1 S.C.R. 595, para. 67 (Whiten)). In this case, the addition of punishment is not warranted and punitive damages will not be awarded, irrespective of the result arrived at concerning the quantification of damages or the amount of profits.

 

[659]       In crafting the appropriate remedy, Lord Diplock in Broome v. Cassell & Co., [1972] A.C. 1027 opined that Courts must strive to determine “how, in particular, an award would further one or other of the objectives of the law” (emphasis in the original, para. 71). The objectives of punitive damages have been established as “punishment (in the sense of retribution), deterrence of the wrongdoer and others, and denunciation” (Whiten, para. 68).

 

[660]       Given that punitive damages are used to attain these objectives when general damages are insufficient to do so, the conduct which attracts such an award must be rationally connected to the conduct for which compensation is awarded. Lilly bases its claim for punitive damages on Apotex’s conduct in the course of the prosecution of this action. This has nothing to do with the conduct for which compensation is awarded, which is infringement. Applying these principles, the Court concludes that this conduct is more properly dealt with in the context of an award for costs.

 

[661]       This position is consistent with that taken by Prothonotary Roza Aronovitch in a decision dealing with proposed amendments to Lilly’s statement of claim in 2003. At the time, Lilly sought to add allegations pertaining to Apotex’s conduct in prosecuting the action as a basis for its claim of punitive damages. Leave in this regard was denied as the conduct alleged in the amended plea, which is of the same nature than that which is advanced today, “is not conduct that can ground an award of punitive or exemplary damages.” (Eli Lilly and Co. v. Apotex Inc., 2003 FC 978, [2004] 1 F.C.R. 360, para. 14)

 

[662]       In support of this conclusion, Prothonotary Aronovitch explains that:

The underlying action, is on account of patent infringement. Apotex’s alleged failure to disclose relevant documents such as to needlessly prolong the prosecution of this action and cause the plaintiffs to incur expense, is not a means, aggravation or continuation, of the alleged infringement. Any delay and additional expense Lilly incurred in prosecuting the action can be compensated by an award of costs.

 

[para. 14]

 

[663]       There is some basis for arguing that since Apotex had full knowledge of all the facts and nonetheless chose to engage in conduct which infringed on Lilly’s patent rights, its conduct is in fact particularly egregious, warranting an award of punitive damages. However, this element has already been weighted in affording Lilly with the right to elect for an accounting of Apotex’s profits. Thus, the comments of the Supreme Court of Canada in Whiten to the effect that “it is rational to use punitive damages to relieve a wrongdoer of its profit where compensatory damages would amount to nothing more than a licence fee to earn greater profits through outrageous disregard of the legal or equitable rights of others” (para. 72) do not apply to the case at bar.

 

[664]       While the awarding of punitive damages to Lilly was contested on the merits by Apotex, it was also submitted that Lilly’s statement of claim did not adequately support its claim in this respect. In order to remedy this situation, Lilly sought leave to amend its statement of claim on December 19, 2008. Lilly’s motion raises concerns with regards to whether it constitutes a collateral attack on the 2003 decision of Prothonotary Aronovitch cited above. Despite this, the Court has examined the merits of Lilly’s claim for punitive damages without regard to the question as to whether or not such claim was properly pleaded. Given the Court’s conclusion on the merits in this respect, Lilly’s motion is entirely academic. The claim for punitive damages would fail irrespective of whether leave to amend was granted or not.

 

 

            11.4. Interest

[665]       When a cause of action arises outside of, or in more than one, province, subs. 36(2) of the Federal Courts Act, R.S.C. 1985, c. F-7, applies, giving jurisdiction to this Court to include an award of prejudgment interest, at a rate it considers reasonable in the circumstances, on a sum of money representing damages. Unless the Court is awarding interest pursuant to para. 36(4)(f) of the Federal Courts Act (such as interest awarded in equity) or exercising its admiralty jurisdiction,[278] Apotex’s position that pre-judgment interest awarded on an award for damages cannot be compounded is correct.

 

[666]       By operation of para. 36(4)(b) of the Federal Courts Act, interest cannot be awarded by virtue of subs. 36(2) on interest accruing under s. 36. This, the Courts have determined, precludes prejudgment compound interest from being awarded on damages (Merck & Co. (FCA)).

 

[667]       However, that is not to say that the reference which will deal with the quantification of damages or profits (depending on Lilly’s election) cannot award compounded pre-judgment interest (even at an elevated rate) as an element of compensation, provided it is adequately proven by Lilly. When so awarded, interest becomes part of a damage award and is not itself an award of interest.

 

[668]       In Bank of America Canada v. Mutual Trust Co., 2002 SCC 43, [2002] 2 S.C.R. 601 (Bank of America Canada), Justice John Major held that “[c]ompound interest is now commonplace. […] It is for reasons such as these that the common law now incorporates the economic reality of compound interest. The restrictions of the past should not be used today to separate the legal system from the world at large.” (para. 44)

 

[669]       Justice Major recognized that “the court has the jurisdiction to award compound interest under the court’s general equitable jurisdiction” (para. 42). This right is such as what is covered by para. 128(4)(g) of the Courts of Justice Act, R.S.O. 1990, c. C.43, the equivalent of para. 36(4)(f) of the Federal Courts Act, which is also mirrored at para. 2(2)(i) of Alberta’s Judgment Interest Act, R.S.A. 2000, c. J-1.

 

[670]       Bank of America Canada is a contract case and on that basis the Ontario Court of Appeal had concluded that equity did not apply and thus there was no interest payable “by a right other than under [s. 128]” and the prohibition of an award of interest on interest provided for at para. 128(4)(b) of the Courts of Justice Act[279] applied. However, the Supreme Court of Canada held that para. 128(4)(g) of the Courts of Justice Act does not exist purely to provide for the right to receive compound interest in equity. A common law right of interest can be an “other right” which avoids the application of the above-mentioned statutes. This decision has led the Courts to re-examine the issue of compound interest.

 

[671]       For example, the Alberta Court of Appeal in Alberta (Minister of Infrastructure) v. Nilsson, 2002 ABCA 283, 220 D.L.R. (4th) 474 concluded that “Bank of America mandates a common law availability where compound interest is necessary to compensate accurately for the proven damages.” (para. 185)[280] This is justified in its view as:

[N]otions of commercial fairness favoured an award of compound interest, as did the principle of restitutio in integrum. It recognized that if the plaintiffs were not awarded compound interest, they would suffer incompensable loss […]

 

[para. 183]

 

[672]       What is more, the reasoning of Bank of America Canada has even been applied in British Columbia, where the relevant legislation, the Court Order Interest Act, R.S.B.C. 1996, c. 79, s. 2, does not have a proviso for the exemption of the statute where interest is payable by virtue of an “other right”. For example, in Morriss v. British Columbia, 2007 BCCA 337, 281 D.L.R. (4th) 702, the British Columbia Court of Appeal held that “where compound interest is required to provide full compensation, an award of compound interest generally should not be discretionary. In that context, the plaintiff is entitled to compound interest as a matter of law.” (para. 37)

 

[673]       In the present circumstances, the Court is not in a position to evaluate whether or not Lilly is entitled to pre-judgment interest as part of its damages for, as mentioned, “any question as to damages suffered by [Lilly]” has been bifurcated pursuant to the November 29, 1999 order of Justice Hugessen.[281]  Thus, in the course of the reference, Lilly has the opportunity to attempt to establish that an award of compound interest is required to provide full compensation, as well as the appropriate rate of interest to achieve this aim. If this is established, the interest so payable is by a right other than under subs. 36(2) of the Federal Courts Act and para. 36(4)(f) of this Act would prevent the Court from awarding pre-judgment interest under its subs. 36(2).

 

[674]       There is not real doubt that pre-judgment interest can and should be awarded in this case but the Court is unable, for the reasons just explained, to determine which provision of the Federal Courts Act is applicable. Therefore, in order to ensure that a form of pre-judgment interest is awarded irrespective of the outcome of the reference, the Court will grant simple pre-judgment interest at the rate to be calculated separately for each year since the infringing activity began at the average annual bank rate established by the Bank of Canada as the minimum rate at which the Bank of Canada makes short-term advances to the banks listed in Schedule 1 of the Bank Act, R.S.C. 1985, c. B-1. However, this award is conditional upon the reference judge not awarding interest under para. 36(4)(f) of the Federal Courts Act.

 

[675]       As for the question of post-judgment interest, it is well established that the appropriate rate is 5%, not compounded, as established by s. 4 of the Interest Act, R.S.C. c. I-15 (Janssen-Ortho (2006), para. 166; Merck & Co. (FC), para. 241; and, Laboratoires Servier, para. 513).

 

11.5. Costs

[676]       Lilly made detailed representations seeking to establish that Apotex’s conduct in the course of this action warrants the grant of solicitor-client costs. Among these elements, Lilly cites the failure to provide proper documents relating to manufacturing processes, late discovery productions, wasteful experiments rendered necessary by Apotex’s failure to provide proper discovery, lack of notice for testing conducted by Apotex, deficient pleadings, lack of pre-trial cooperation, unnecessary duplication of expert’s evidence and especially the failure to disclose, even to the Court (Justice Hugessen), communications with Lupin concerning its manufacturing processes. The Court also notes that while hundreds of prior art references were initially mentioned, Apotex failed to include many of those which were relied upon by its own experts, forcing Apotex to seek leave to amend in the course of the trial.

 

[677]       In respect of the failure to disclose Lupin information and communications, Apotex has chosen not to present any evidence as to how it happened and why this failure was not or could not have been discovered earlier. It is difficult to imagine that the file would not have been closely revised in preparation for trial, regardless of whether the July 4, 2000 letter from Lupin was inadvertently filed by a clerk without bringing it to the attention of the lawyers concerned. No good explanation was given as to why the documents in possession of Mr. Singh, as well as the case of documents sent to Lilly mere weeks before the trial could not have been obtained in a timelier manner.

 

[678]       There is also no doubt that the pleadings, including the list of prior art, should have been revised before trial and that Apotex’s failure to produce translations of some of its prior art and to come to an agreement on a joint book of documents comprising most of the documents used at trial resulted in a loss of time and efforts by all involved, including the Court. Also, as mentioned earlier, Apotex has chosen to pursue many arguments which should, in my view, have been abandoned, at the very least during final arguments.

 

[679]       On the whole, and after considering Apotex’s arguments, the Court finds that Apotex acted in a way which unnecessarily lengthened the duration of the proceedings and there is no doubt that an elevated award of costs is appropriate here. However, the personal sanctions against counsel for Apotex sought by Lilly are not.

 

[680]       That said, how much more is the real question. While costs on a solicitor-client scale would be justified in respect of certain services directly related to the behaviour, for example the motions leading to the order of Justice Hugessen dated August 5, 2000 and the last minute examinations of the boxes of documents received shortly before trial, it would be excessive to simply grant the costs of the whole proceeding on this basis.

 

[681]       At this stage, there is simply not enough information before the Court to give detailed directions as to costs. For this reason, the Court will issue a more detailed order after giving an opportunity to the parties to make further submissions in respect of the amount of costs only. Lilly’s submissions should include a ballpark figure of costs assessed in accordance with the top of the scale of column V of Tariff B as well as solicitor-client costs for all the services related to the activities mentioned above.

 

[682]       In any event, the plaintiffs shall be entitled to assess costs of two counsel as well as reasonable expert witness fees and disbursements for the expert witnesses who testified at trial except for Dr. Gorenstein.

 

12. Apotex’s Counterclaim

[683]       On March 9, 2001, Apotex brought a counterclaim against Lilly, seeking damages pursuant to s. 36 of the Competition Act. On November 25, 2002, Apotex amended this counterclaim, adding Shionogi as a defendant. Apotex alleges that:

Shionogi knowingly conspired, combined, agreed, or arranged with Eli Lilly and Company, Eli Lilly Canada, Inc. (collectively, “Lilly”) or both, to allow Eli Lilly and Company to acquire the Canadian patents and patent rights granted to Shionogi under Canadian Letters Patent Nos. 1,095,026, 1,132,547, 1,136,132 and 1,144,924 (the “Shionogi Patents”) for the purpose, and with the result, of preventing or impeding other manufacturers from producing or acquiring cefaclor, and so prevent or impede competition in the Canadian market for cefaclor.[282]

 

Such conduct is alleged to be contrary to s. 45 of the Competition Act.

 

[684]       At trial, Apotex called 4 fact witnesses. The first of these witnesses was Dr. Sherman, who as mentioned is and was at the relevant time the Chairman of the Board and Chief Executive Officer of Apotex. He testified as to his knowledge of the Canadian pharmaceutical industry, Apotex’s practices and strategies generally as well as specifically in relation to cefaclor. He also testified about two meetings he allegedly had with representatives of Lilly Canada in July, 1994 and February, 1996. Dr. Sherman could not remember the name of the people he met except for that of Terry McCool. The parties to the counterclaim also agreed to include the transcript of Dr. Sherman’s testimony in the main action as part of the evidence in the counterclaim.[283]

 

[685]       Dr. Sherman’s testimony was supplemented by that of two other Apotex employees, Mr. Jack Kay and Mr. Gordon Fahner. Since 1995, Mr. Kay has been the President and Chief Operating Officer of Apotex, having previously held the position of Executive Vice-President. Mr. Fahner has been Apotex’s Vice-President of Finance since 2003, having held the position of Director of Finance at the relevant period.

 

[686]       Mr. Kay, like Dr. Sherman, testified as to his knowledge of the Canadian pharmaceutical industry generally as well as the competitive landscape for cefaclor particularly. He also testified about the meetings he had with Lilly Canada representatives. Mr. Fahner, meanwhile, testified as to accounting practices at Apotex, its financial systems as well as costing practices. The last point was the subject of an objection but it is not instrumental in any way to the points upon which this decision turns. Mr. Fahner also touched on Apotex’s rebate practices and the transcript of his testimony in the main action was also included as evidence in the counterclaim by consent of the parties.

 

[687]       The last fact witness called by Apotex was Mr. Barry Fishman, who is the President and Chief Executive Officer of Novopharm but was, from 1992 to 1997, Vice-President of Marketing at Lilly Canada. Mr. Fishman testified as to the marketing of cefaclor at Lilly as well as the agreement entered into by Lilly with Pharmascience. Many objections were formulated with regard to his testimony. The Court did not find any of his evidence determinative or even particularly relevant with regard to any of the issues dealt with in these reasons and thus these objections need not be considered further.

 

[688]       Lilly and Shionogi called 6 fact witnesses. The first Lilly witness was Mr. Thomas L. Pytinia, a former Lilly employee who started with the company in 1974. Among other things, Mr. Pytinia served as general counsel for Lilly’s pharmaceutical division between 1994 and 1998. From 1989 to 1994 he was counsel and secretary for Lilly International Corporation.

 

[689]       Mr. Pytinia’s testimony consisted of identifying documents from Lilly’s records, including the agreements of 1975 and 1995 between Lilly and Shionogi. Also, he testified as to the timing of negotiations between Shionogi and Lilly leading up to the assignment of the Shionogi patents and to his belief that prior to this assignment Lilly held an exclusive licence under these patents. He also testified as to the agreements entered into by Lilly with suppliers of bulk cefaclor, including confidentiality agreements, with respect to which he was involved in negotiations and draftings.

 

[690]       Shionogi’s first witness was Mr. Takayuki Wada, who testified with the help of an interpreter. Mr. Wada is a retired Shionogi employee, who worked there from 1955 to 1992. At retirement, he was a member of Shionogi’s patent department, having previously been a researcher within its research department up until 1965, when he was transferred to the patent department.

 

[691]       He testified as to his involvement with the research team working on the development of three halo cephalosporins from penicillin. He appears to have been a de facto leader of the group and as such he met with Shionogi scientists on a daily basis. He also stated that Shionogi became involved in this research as a result of a visit from Dr. Marvin Gorman of Lilly in July, 1974. He testified that the Shionogi scientists (not identified particularly) had conveyed the results of their research to Lilly with respect to the subject matter of the Shionogi process starting in November, 1974. He explained his understanding of the 1975 agreement that was circulated within the patent department at the relevant time. He also indicated that he was personally involved in the matter when the joint research project was terminated in 1976.

 

[692]       Objections were formulated with respect to this testimony, particularly in respect of matters where Mr. Wada was not personally involved such as the June, 1974 meeting and the alleged telephone conversation between the Shionogi and Lilly scientists. The Court agrees with Shionogi’s arguments as expressed in their submission dated October 28, 2008,[284] except in respect of the communication of their research results to Lilly. To determine whether more detailed reasons about this conclusion were necessary, the Court considered the issues on which this decision is based with and without the benefit of Mr. Wada’s testimony. As the result would remain unchanged, it is not necessary to comment further on the objection.

 

[693]       Mr. Wada, who drafted the Shionogi patent applications filed in Japan, also testified as to the patent filings both in Japan and abroad and the input provided by Lilly in this regard. Despite the fact that Apotex challenged Mr. Wada’s credibility based on the fact that he was still receiving a pension from Shionogi and had also acted as a consultant for Lilly in respect of Japanese patent filings after his retirement, the Court finds Dr. Wada to be a very credible witness.

 

[694]       Lilly’s next witness was Ms. Mary Anne Tucker, a former employee of Lilly (U.S.), now an attorney at Tucker Law Offices in Brownsburg, Indiana. Ms. Tucker started her career at Lilly in 1967 as a chemist. After obtaining her law degree, she worked as a tax attorney (1973) and then in the International Patent Group of Lilly’s patent law department beginning in or around 1976. She testified as to the communications that she had in the latter capacity with Dr. Kanazawa and Mr. Wada at Shionogi in the course of the cooperation between Lilly and Shionogi regarding the filing of the foreign patent applications for the 3-halo-cephem project. Although Ms. Tucker was directly involved in some of the correspondence filed in this respect, she had little independent recollection of these events.

 

[695]       Lilly then called Mr. Terry McCool,[285] director of corporate affairs at Lilly Canada since 1991. He testified as to the meetings he had with Mr. Kay when Lilly was attempting to deal with the impending loss of patent protection on a number of molecules (including cefaclor) by seeking partnership with generic drug companies in Canada. This testimony is in direct contradiction with that of Dr. Sherman given that Mr. McCool denied having ever met Dr. Sherman. On the other hand he acknowledged meeting with Mr. Kay and his recollections were more in line with the latter’s description of the events.

 

[696]       It is worth mentioning that the meetings between Apotex and Lilly, discussed by Mr. Kay and Mr. McCool, were first alluded to in the testimony of Dr. Sherman. Those facts were not pleaded and no discovery took place in that respect. Apotex argues that this was not necessary as the evidence of the meetings only served to establish Lilly’s intent to lessen competition. In the Court’s view, all relevant facts must be pleaded whatever they are meant to establish. In any event, and even if this evidence was admissible, in light of the contradictory evidence in this regard, including as to what exactly was said at this (or these) meetings, the Court would not have been prepared to draw any conclusion on this basis.

 

[697]       The second witness for Shionogi was Mr. Sachio Tokaji, the senior executive officer of the company. As for Mr. Wada, Mr. Tokaji was aided in his testimony by an interpreter. Mr. Tokaji joined Shionogi’s marketing department in 1970, moving to the accounting department in 1975 and rising through the ranks to eventually become a director of the company. In 2007, he was promoted to the position of executive officer before being appointed to his current position in April, 2008.

 

[698]       Mr. Tokaji had little personal knowledge of the relevant events. He testified as to Shionogi’s marketing of third-party products in Japan, particularly Lilly products, including cefaclor. He also offered evidence as to Shionogi products being sold through licensing arrangements, particularly with Lilly and Schering-Plough. Mr. Tokaji also explained the nature of Shionogi and Lilly’s long-standing relationship (one hundred years). Although his evidence adds very little to the evidence already included in A-29 and the admitted facts, his testimony was the subject of many objections from Apotex.

[699]       Again none of the contested evidence is determinative. To avoid any further debate the Court disregarded the evidence that was the subject of the objection particularly in respect of the factors which were considered by Shionogi in decisions concerning licensing (those were made by the board of directors of the company at the time when Mr. Tokaji was not involved).

 

[700]       In the course of the cross-examination of Mr. Tokaji, Apotex sought to introduce in evidence a series of correspondence between Lilly and Shionogi (TX-252 to 259) of which he had no personal knowledge. However, Mr. Tokaji was able to identify the names of the persons within Shionogi to whom these letters were circulated as well as various markings which represented departments within Shionogi which had received said letters (mostly translation of the Japanese characters).

 

[701]       The last witness for Lilly was Mr. Peter Stringer, who in 1994 was the Director of International Patents at Lilly (U.S.) in charge particularly of the enforcement of said patents outside of the U.S. Mr. Stringer indicated how and why it was at his request that the Canadian patent be included in a 1995 agreement. The sole purpose of his testimony was to shed light on the context of correspondence between Lilly and Shionogi just prior to the assignment which Apotex sought to enter as evidence in the course of the cross-examination of Mr. Tokaji (TX-252 to 259). This was the subject of an objection by both Lilly and Shionogi and Mr. Stringer’s evidence was heard under reserve pending the determination of these objections.

 

[702]       With regard to TX-252 to 259, the Court has come to the conclusion that these exhibits are not admissible in evidence. In arguing for their inclusion as evidence in these proceedings, Apotex relied on para. 69(2)(c) of the Competition Act:

(2) In any proceedings before the Tribunal or in any prosecution or proceedings before a court under or pursuant to this Act,

 

 

(c) a record proved to have been in the possession of a participant or on premises used or occupied by a participant or in the possession of an agent of a participant shall be admitted in evidence without further proof thereof and is prima facie proof

(i) that the participant had knowledge of the record and its contents,

(ii) that anything recorded in or by the record as having been done, said or agreed on by any participant or by an agent of a participant was done, said or agreed on as recorded and, where anything is recorded in or by the record as having been done, said or agreed on by an agent of a participant, that it was done, said or agreed on with the authority of that participant, and

(iii) that the record, where it appears to have been written by any participant or by an agent of a participant, was so written and, where it appears to have been written by an agent of a participant, that it was written with the authority of that participant.

(2) Dans toute procédure engagée devant le Tribunal ou dans toute poursuite ou procédure engagée devant un tribunal en vertu ou en application de la présente loi :

 

c) s’il est prouvé qu’un document a été en la possession d’un participant, ou dans un lieu utilisé ou occupé par un participant, ou en la possession d’un agent d’un participant, il fait foi sans autre preuve et atteste :

 

(i) que le participant connaissait le document et son contenu,

(ii) que toute chose inscrite dans le document ou par celui-ci enregistrée comme ayant été accomplie, dite ou convenue par un participant ou par l’agent d’un participant, l’a été ainsi que le document le mentionne, et, si une chose est inscrite dans le document ou par celui-ci enregistrée comme ayant été accomplie, dite ou convenue par l’agent d’un participant, qu’elle l’a été avec l’autorisation de ce participant,

(iii) que le document, s’il paraît avoir été écrit par un participant ou par l’agent d’un participant, l’a ainsi été, et, s’il paraît avoir été écrit par l’agent d’un participant, qu’il a été écrit avec l’autorisation de ce participant.

 

 

[703]       The Court is of the view that this provision only applies to evidence tendered in the course of a party’s case in chief. Here, Apotex sought to tender the evidence after having closed its case in chief and in the course of the cross-examination of a witness for Shionogi. Furthermore, the Court is not faced here with an evidentiary problem which causes injustice to Apotex. Rather, it is an evidentiary problem largely created by Apotex.

 

[704]       Indeed, these documents were known to Apotex well before it attempted to have them entered into evidence on September 22, 2008. The documents were a subject of examinations for discovery. Apotex and Shionogi had agreed as to read-ins of said discovery, which Apotex decided finally not to pursue. The documents could have been properly introduced in evidence in this fashion; Apotex chose not to. It is not as if Apotex was not aware, prior to the commencement of this trial, of the significance of these documents – the reports of its own experts refer to them. What is more, Apotex was offered the opportunity by the Court to re-open its case to allow for the proper introduction into evidence of these documents. This offer was declined.

 

[705]       Taking into account the totality of these circumstances, the Court finds the authorities cited by Apotex in support of its attempt to tender the documents to be readily distinguishable. The documents marked TX-252 to 259 are not admissible in evidence. This being said, the Court has examined the issues relevant to its determination of the counterclaim both with and without said evidence. Either way, the conclusions arrived at remain unchanged.

 

[706]       Turning now to the experts, Apotex called six expert witnesses and Lilly and Shionogi collectively called two experts witnesses.[286] Among the experts testifying on Apotex’s behalf, three of them, Aidan Hollis, Jeffrey Church and Thomas Ross, were economists (see details of their qualifications in Chart A). Although it is clear that these experts have experience in applying tests with respect to anti-competitive behaviour under the Competition Act, the latter two do not have any particular knowledge or expertise in respect of the pharmaceutical industry.

 

[707]       The first, Dr. Hollis, was tasked with defining the relevant market for bulk cefaclor in order to determine whether or not the assignment of the Shionogi patents to Lilly would have had an effect on Lilly’s market power. Dr. Church and Dr. Ross then sought to establish the competitive effects of the transfer of Shionogi’s patent rights to Lilly and the harm suffered by Apotex as a result of this transfer given its position as a bulk purchaser of cefaclor.

 

[708]        A part of the proposed qualification of Dr. Hollis, which included expertise in prescribing practices, elicited an objection. As the herein decision does not turn in any way on evidence of physician prescribing practices in Canada, this issue need not be decided.

 

[709]       Other experts testifying on Apotex’s behalf included Dr. Robert McClelland, a chemist; Mr. Stephen Cole, a chartered accountant and business valuator; and, Dr. Marvin Gans, a physician specialised in paediatrics. Dr. McClelland, who had testified in the main action, filed a report explaining the distinction between the Lilly and Shionogi patents and processes and as to whether or not, as of 2003, there existed other publicly known commercially viable processes that could be used to make bulk cefaclor. His testimony sought to establish one of the main, if not the most important, premises for the economists’ opinions, particularly those of Dr. Church,[287] which is that only two processes were known to exist for making cefaclor.

 

[710]       At first the Court was somewhat puzzled by Apotex’s position in the counterclaim given that in the main action it had adamantly defended its position that it used a non-infringing process. Dr. McClelland also indicated in cross-examination that he had reached the same conclusion when asked by Apotex to carry out the same research in the late 1990’s (1997 or 1998) and that, although not mandated by Apotex to do so, in 1985 anybody carrying out the same research would have probably come to the same conclusion.

 

[711]       Mr. Cole filed a report on how the damages of Apotex should be calculated and gave some indication as to the licensing rate that should have applied had Shionogi licensed Apotex for the use of its patented processes. Lilly objected to the qualification of Mr. Cole as an expert on the grounds that his opinion did not offer an estimate of damages, which is all an accountant may do in an expert report. Further, Lilly objected to Mr. Cole providing an opinion as to the setting of royalty rates, as Mr. Cole had no expertise in this regard. Indeed, the portion of Mr. Cole’s evidence dealing with royalty rates would have had very little weight, for the comparables he used were questionable and insufficient, and he has little expertise dealing with such matters. That said, the level of royalties was not an issue on which the Court reached a conclusion.

 

[712]       Finally, Dr. Gans offered evidence as to how physicians select the medicines they prescribe to patients, particularly antibiotic medication. This evidence was put forth by Apotex to contest the defendants by counterclaim’s position that the relevant market for the purpose of a s. 45 inquiry was that of dosage form antibiotics of the same class as cefaclor, as opposed to that of bulk cefaclor. Given the basis of my decision this question has not been considered at all; nor has Dr. Gans’ evidence.

 

[713]       Experts testifying on Lilly and Shionogi’s behalf included one economist, Dr. Iain Cockburn and a physician specialised in microbiology, Dr. Donald Low. Dr. Cockburn, who has more expertise than Apotex’s experts with respect to certain pharmaceutical products and licensing practices in the pharmaceutical industry, set out to provide an opinion on the impact of the 1995 Assignment Agreement between Lilly and Shionogi on competition and on Apotex particularly. Dr. Cockburn commented on the main reports of Apotex’s three experts on economics.

 

[714]       Dr. Low provided an opinion concerning antibiotics, particularly cefaclor and its related or competing products and their use in Canada in the treatment of bacterial infections. Once again this evidence was not relevant to the matters on which this decision stands.

 

[715]       The expert evidence was the subject of many objections. The Court will only comment on those that were relevant to the findings on which this decision turns.

 

[716]       In weighing this expert evidence, the Court applied the factors set out by the Supreme Court of Canada in R. v. Mohan, [1994] 2 S.C.R. 9, (1994), 114 D.L.R. (4th) 419 (Mohan). As explained by Justice John Sopinka, speaking for the Court, “[a]dmission of expert evidence depends on the application of the following criteria: (a) relevance; (b) necessity in assisting the trier of fact; (c) the absence of any exclusionary rule; (d) a properly qualified expert.” (para. 17) For example, the Court does not need expert evidence on issues such as the proper interpretation of the 1975 agreement based on an expert’s analysis of the circumstantial evidence. Nor were any of those expert economists qualified to opine on such matters.

 

[717]       Much of the “expert” evidence given by the economists was really no more than arguments presented in the form of expert evidence. The three economists testifying on behalf of Apotex seemed particularly anxious to ensure that this be the first case substantively putting into play the Intellectual Property Enforcement Guidelines recently developed by the Competition Bureau. For reasons that follow there will be no need in this case to comment on the appropriate test to be used in the course of a s. 45 analysis nor on said guidelines.

 

12.1. Relevant Statutory Provisions

[718]       The right of Apotex to seek a remedy before the Federal Court arises under s. 36 of the Competition Act, which reads as follows:

36. (1) Any person who has suffered loss or damage as a result of

 

(a) conduct that is contrary to any provision of Part VI, or

 

 

(b) the failure of any person to comply with an order of the Tribunal or another court under this Act, may, in any court of competent jurisdiction, sue for and recover from the person who engaged in the conduct or failed to comply with the order an amount equal to the loss or damage proved to have been suffered by him, together with any additional amount that the court may allow not exceeding the full cost to him of any investigation in connection with the matter and of proceedings under this section.

 


[…]

 

(3) For the purposes of any action under subsection (1), the Federal Court is a court of competent jurisdiction.

 

(4) No action may be brought under subsection (1),

(a) in the case of an action based on conduct that is contrary to any provision of Part VI, after two years from


 

(i) a day on which the conduct was engaged in, or

 

(ii) the day on which any criminal proceedings relating thereto were finally disposed of, whichever is the later;

36. (1) Toute personne qui a subi une perte ou des dommages par suite :

 

a) soit d’un comportement allant à l’encontre d’une disposition de la partie VI;

 

b) soit du défaut d’une personne d’obtempérer à une ordonnance rendue par le Tribunal ou un autre tribunal en vertu de la présente loi, peut, devant tout tribunal compétent, réclamer et recouvrer de la personne qui a eu un tel comportement ou n’a pas obtempéré à l’ordonnance une somme égale au montant de la perte ou des dommages qu’elle est reconnue avoir subis, ainsi que toute somme supplémentaire que le tribunal peut fixer et qui n’excède pas le coût total, pour elle, de toute enquête relativement à l’affaire et des procédures engagées en vertu du présent article.

 

[…]

 

(3) La Cour fédérale a compétence sur les actions prévues au paragraphe (1).

 

 

(4) Les actions visées au paragraphe (1) se prescrivent :

a) dans le cas de celles qui sont fondées sur un comportement qui va à l’encontre d’une disposition de la partie VI, dans les deux ans qui suivent la dernière des dates suivantes :

 

(i) soit la date du comportement en question,

 

(ii) soit la date où il est statué de façon définitive sur la poursuite;

 

[719]       The only other relevant provision of the Competition Act (particularly part VI) is s. 45 which reads as follows:

45. (1) Every one who conspires, combines, agrees or arranges with another person

 

 

 

 

 

 

 


(a) to limit unduly the facilities for transporting, producing, manufacturing, supplying, storing or dealing in any product,

 

 

(b) to prevent, limit or lessen, unduly, the manufacture or production of a product or to enhance unreasonably the price thereof,

 

(c) to prevent or lessen, unduly, competition in the production, manufacture, purchase, barter, sale, storage, rental, transportation or supply of a product, or in the price of insurance on persons or property, or

 

 

 

(d) to otherwise restrain or injure competition unduly, is guilty of an indictable offence and liable to imprisonment for a term not exceeding five years or to a fine not exceeding ten million dollars or to both.

45. (1) Commet un acte criminel et encourt un emprisonnement maximal de cinq ans et une amende maximale de dix millions de dollars, ou l’une de ces peines, quiconque complote, se coalise ou conclut un accord ou arrangement avec une autre personne :

 

a) soit pour limiter, indûment, les facilités de transport, de production, de fabrication, de fourniture, d’emmagasinage ou de négoce d’un produit quelconque;

 

b) soit pour empêcher, limiter ou réduire, indûment, la fabrication ou production d’un produit ou pour en élever déraisonnablement le prix;

 

c) soit pour empêcher ou réduire, indûment, la concurrence dans la production, la fabrication, l’achat, le troc, la vente, l’entreposage, la location, le transport ou la fourniture d’un produit, ou dans le prix d’assurances sur les personnes ou les biens;

 

d) soit, de toute autre façon, pour restreindre, indûment, la concurrence ou lui causer un préjudice indu.

 

12.2. The Framework of Inquiry into Apotex’s Counterclaim

[720]       Apotex’s counterclaim was the subject of summary judgment proceedings before trial, resulting in two decisions by the Federal Court of Appeal, which ultimately dismissed the motions for summary judgment.[288]   The main conclusions discussed by the Federal Court of Appeal in its reasons can be summarized as follows:

1.      An assignment of patent rights can implicate s. 45 of the Competition Act;

 

2.      The question of whether Apotex’s counterclaim is statute-barred was a matter for trial; and

3.      The issue of whether Apotex suffered damages under s. 36 of the Competition Act was a matter to be determined at trial;

4.      The assignment of the Shionogi patents to Lilly lessened competition, though whether such lessening was “undue” was a matter for trial;[289]

 

[721]       In arguing its counterclaim at trial, Apotex focused first and foremost on proving that the assignment of Shionogi’s process patents to Lilly constituted a violation of s. 45 of the Act. In response, Lilly and Shionogi contested this assertion and continued to assert that Lilly had an exclusive licence under the Shionogi patents under the terms of the 1975 research and development agreement between them. All of this is perhaps understandable given this passage of the reasons of the Federal Court of Appeal, delivered by Justice John Evans:

The question for trial is whether the lessening of competition resulting from the assignment is sufficiently significant as to be undue: see R. v. Nova Scotia Pharmaceutical Society, supra at 646 and following.[[290]]

 

[722]       As a consequence, and despite extensive evidence presented by Apotex as to elements establishing lessening of competition in itself, let alone undue lessening, a full day of argument was entertained by the Court on the impact of this decision. The dispute centered on whether a judgment totally dismissing a motion for summary judgment can nevertheless be dispositive in part of the issues to be determined at trial, especially when such determination is not part of the order.

 

[723]       Nevertheless, nothing in the Federal Court of Appeal’s decision suggests that determining whether or not Lilly and Shionogi’s conduct would unduly lessen competition is either the logical or natural starting point for assessing the merits of Apotex’s counterclaim.  In the Court’s view, assessing the s. 45 element of Apotex’s counterclaim first is neither desirable, logical, nor in keeping with the framework of the Competition Act.

 

[724]       The administration and enforcement of the Competition Act is the responsibility of the Commissioner of Competition (the Commissioner).[291] The Commissioner causes an inquiry to be made in relation to an alleged breach of s. 45 where: i) six persons apply for such an inquiry, based on the belief that such an offence has or is about to committed;[292] or, ii) the Commissioner has reason to believe the same.[293]

 

[725]       The right of action for recovery of damages provided for in s. 36 of the Competition Act is a special remedy, contained in a part so labelled. Inquiries into the actions of third parties in the context of applying the substantive provisions of the Act, which is usually the purview of the Commissioner, are thus to take place only in cases where it is clear that allegedly anti-competitive conduct has caused a person to suffer loss or damage. The purpose of s. 36 of the Act is not to encourage persons to take the place of the Commissioner and provoke inquiries into the conduct of others. Rather, its serves the purpose of providing a means of indemnification to victims of anti-competitive conduct.[294]

 

[726]       Hence, Apotex must first prove, in accordance with s. 36 of the Competition Act, that it has suffered loss or damage as a result of the conduct which it alleges to be in violation of s. 45 of the Act. If Apotex cannot do so, the Court has no reason, nor jurisdiction, to inquire as to whether or not Lilly and Shionogi have conspired to unduly lessen competition. As noted by Prothonotary Roza Aronovitch:

As a matter of law, proof of loss or damages is an essential element of the cause of action to fix civil liability for breaches of the Competition Act: Price v. Panasonic Canada Inc. (2002) 22 C.P.C. (5th) 379 at paras. 27-28; Culhane v. ATP Aero Training Products Inc., (2005), 39 C.P.C. (4th) 20 at paras. 1-2; and Eli Lilly and Co. v. Apotex (2004), 32 C.P.R. (4th) 195 at para. 6. The issues of liability and damages in respect of the conspiracy allegations are intertwined, and may not be severed. Absent proof of damages, therefore, Apotex cannot make out its civil liability claim under sections 36 and 45 of the Competition Act.[[295]]

 

[Emphasis added]

 

 

[727]       Thus, before assessing the merits of Apotex’s counterclaim, the Court must first be satisfied that the counterclaim is not time-barred. Then the Court will proceed to examine if Apotex has established that it has suffered a loss or damage, and whether any such injury flows from the alleged anticompetitive acts of Lilly and Shionogi. For the reasons that follow, the Court concludes not only that the counterclaim is time-barred but also that Apotex has not established either damage or causation.  As such, an analysis as to whether the 1995 assignment is contrary to s. 45 of the Competition Act is not required.

 

12.3. Is Apotex’s Counterclaim Time-Barred?

[728]       As no criminal proceedings have been brought in relation to Lilly and Shionogi’s alleged anti-competitive behaviour, subpara. 36(4)(a)(i) of the Competition Act is operative.  As such, the Court must determine what constitutes the last day on which conduct alleged to be contrary to s. 45 of the Competition Act was engaged in (Transamerica Life Insurance Co. of Canada v. Canada Life Assurance Co. (1995), 25 O.R. (3d) 106, 41 C.P.C. (3d) 75 (On. Ct. (Gen. Div.)), para. 23).

 

[729]       Lilly and Shionogi both rely on the decision of Justice Judith Snider in Laboratoires Servier where she held that “when we come to the limitation set out in s. 36(4), the provision refers to the day on which the agreement or conspiracy was entered into.” (para. 482). Thus, given that Lilly and Shionogi entered into an agreement for the assignment of patent rights on April 27, 1995, the applicable limitation period expired in 1997.[296]

 

[730]       Even if the discoverability principle, which Lilly and Shionogi argue does not apply to subs. 36(4) of the Competition Act, were applied in the present case, Apotex was aware of the assignment no later than 1997, at which point the agreement was pleaded in Lilly’s statement of claim. Therefore, the limitation period cannot have expired any later than 1999.[297]

 

[731]       Apotex counters that the Court must consider the elements of the offence proscribed by subs. 45(1) of the Competition Act when interpreting its subs. 36(4), an exercise which Justice Snider failed to embark upon in Laboratoires Servier and which leads to the conclusion “that the two year limitation period will run, at the earliest, from conduct flowing from the agreement which constitutes an undue lessening of competition.”[298]

 

[732]       In Apotex’s view, the limitation period should run only from the moment when “Apotex was provided notice that every alternate process that Apotex had employed was asserted by Lilly to be infringing.”[299] This, in its view, occurred only in January, 2001, when Lilly amended its statement of claim to add allegations of infringement of the Lilly patents with regards to bulk cefaclor obtained from Lupin.[300]

 

[733]       Alternatively, Apotex submits that subs. 36(4) of the Competition Act contemplates ongoing conduct. For Apotex, “Lilly’s impugned conduct continues to occur on every day thereafter that Lilly asserted against Apotex patent rights obtained pursuant to the agreement between Shionogi and Lilly and when competition was unduly lessened thereby.”[301] As Lilly continues to assert rights under the Shionogi patents in the main action, the conduct contrary to s. 45 of the Competition Act is ongoing to this day and thus the limitation period has not expired.

 

[734]       This position was explained by Justice Evans in the context of the Federal Court of Appeal’s second decision concerning a motion for summary judgment in respect of Apotex’s counterclaim:

Apotex’s case is that the assignment must be seen in its context: its enhancement of Lilly’s market power, that is, Lilly’s additional ability to act independently of the market by virtue of its ownership of the patents for all known, commercially viable processes for manufacturing cefaclor. On this view, the conspiracy continued as long as the assignment had competition-lessening effect. Because of the evidential questions to be resolved, this is not the kind of issue on which it would be appropriate to grant summary judgment.[[302]]

 

 

[735]       The assertion that anti-competitive conduct and its effects continue beyond the filing of a statement of claim in an action for infringement and until such time as the Court renders judgment in such action simply does not merit further comment.

 

[736]       This being said, the Court is prepared to accept that conduct contrary to Part VI of the Competition Act may “be an isolated incident or can be ongoing”,[303] depending on which offence is in play in the circumstances.  However, in the Court’s view, ongoing conduct can only be qualified as ongoing for the purposes of subs. 36(4) so long as it continues to constitute an offence under Part VI of the Competition Act.

 

[737]       Thus, crucial to the determination of the applicable limitation period is the question of what conduct may form the basis of the offence which is complained of by Apotex, in this case the offence of conspiracy to unduly lessen competition provided for in s. 45 of the Competition Act.

 

[738]       In R. v. Nova Scotia Pharmaceutical Society, [1992] 2 S.C.R. 606, (1992), 93 D.L.R. (4th) 36 (Nova Scotia Pharmaceutical Society), Justice Charles Gonthier, writing for the Court, held that an offence under the predecessor to s. 45 of the Competition Act (para. 32(1)(c) of the Combines Investigation Act, R.S.C. 1970, c. C-23) comprised two material elements:

(1)        an agreement entered into by the accused (“Every one who conspires, combines, agrees or arranges with another person”); and

(2)        an undue prevention or lessening of competition flowing from this agreement (“to prevent, or lessen, unduly, competition in the production, manufacture, purchase, barter, sale, storage, rental, transportation or supply of a product, or in the price of insurance upon persons or property…”).[[304]]

 

[739]       The inquiry that must be conducted to ascertain whether the elements of the offence are met is twofold: (i) market structure, “to ascertain the degree of market power of the parties to the agreement”;[305] and, (ii) behaviour of the firms. Given that for the purposes of determining the starting point of the limitation period the Court is concerned with conduct, it is the latter element which is of interest here.

 

[740]       The question of behaviour, however, is not examined from the standpoint of what effects an agreement actually has, but rather what, at the time at which it is entered into, is its object and what are the likely effects of that object on competition. As Justice Gonthier explains, “[t]he object of the agreement is without doubt the most important behavioural element of the inquiry”.[306]

 

[741]       Justice Gonthier approvingly cites an earlier decision of the Ontario High Court, R. v. Northern Electric Co., [1955] 3 D.L.R. 449, in which Chief Justice James McRuer held that:

[i]n considering whether the agreement or conspiracy comes within the statute, one does not judge the unlawfulness by what was done pursuant to the agreement (although this may be evidence of the agreement) but, as I have said, one examines the nature and scope of the agreement as proved and decides whether that agreement, if carried into effect, would prejudice the public interest in free competition to a degree that in fact would be undue. To paraphrase what was said by Duff C.J.C. in the Container Materials case, [1942], 1 D.L.R. 529, S.C.R. 147, 77 Can.C.C. 129, and to adapt the language of Kerwin J., one examines the agreement arrived at, no matter whether anything was done under it or not, and determines as a question of fact upon a common sense view the direct object of the arrangement complained of and determines whether that object, if put into effect, would result in an undue prevention or lessening of competition. Persons or corporations might well enter into an unlawful agreement which by reason of enforced circumstances they could not carry out; it would nevertheless be an indictable offence.

 

[Emphasis added, p. 469-470]

 

 

[742]       Chief Justice McRuer relies on the decision of the Supreme Court of Canada in R. v. Container Materials Ltd., [1942] S.C.R. 147,  [1942] 1 D.L.R. 529, where Justice Kerwin held that:

[o]nce an agreement is arrived at, whether anything be done to carry it out or not, the matter must be looked at in each case as a question of fact to be determined by the tribunal of fact upon a common sense view as to the direct object of the arrangement complained of. The evidence in these cases of what was done is merely better evidence of that object than would exist where no act in furtherance of the common design had been committed.

 

 [Emphasis added, p. 159.]

 

[743]       These cases stand for the proposition that the conduct does not include anything subsequent to the actual conclusion of the agreement, which in this case is nothing other than the assignment concluded by Lilly and Shionogi on April 27, 1995. Effects may be examined for the purposes of determining whether or not this agreement was likely to unduly lessen competition, but it does not extend the period during which such conduct occurred. The strongest evidence of this is that, even if no subsequent actions had been taken pursuant to an agreement, the act of entering into it would still constitute an offence if the other requirements were met.

 

[744]       The Supreme Court of Canada’s decision in R v. Aetna Insurance Co., [1978] 1 S.C.R. 731, (1977), 75 D.L.R. (3d) 332 (Aetna) does not contradict this. Writing for the majority, Justice Roland Ritchie held that the burden that fell upon the crown was to prove “that that conspiracy, combination, agreement or arrangement if it were carried into effect would prevent or lessen competition unduly” (emphasis in the original, p. 748).

 

[745]       The question therefore is not whether the conspiracy indeed had this effect but rather only whether or not this conspiracy would have this effect. Behaviour subsequent to the agreement is of no relevance in determining whether there has been an offence and thus cannot be of any relevance for the purposes of limitations under subs. 36(4) of the Competition Act.

 

[746]       The dissenting reasons of Chief Justice Bora Laskin in Aetna make this point in a perhaps more forceful fashion:

[the trial judge] asserted that in order to determine whether the offence charged against the appellants had been committed he was obliged to determine “whether or not there has been any undue lessening of competition”. This ignores the fact that the charge is one of conspiracy. It is not an ingredient of the offence that proof must be made that competition was in fact lessened unduly. Even assuming (although the judge nowhere says so) that proof of an actual lessening of competition might provide support for a finding that there was a conspiracy to that end and that it was directed to an undue lessening, the absence of any proof of actual lessening of competition, let alone of an undue lessening, does not conclude the matter against the Crown.

 

[Emphasis added, p. 739.]

 

 

[747]       Thus, for the purposes of evaluating the limitation period under subs. 36(4), the Court need not be concerned with the effects of any alleged conspiracy. This approach was recently adopted by the Supreme Court of British Columbia in  No. 1 Collision Repair & Painting (1982) Ltd. v. Insurance Corporation of British Columbia (1998), 4 C.C.L.I. (3d) 135, 78 A.C.W.S. (3d) 834, where Justice Alexander Henderson held that “[a] claim for damages under s. 45 of the Competition Act must be brought within two years from the day upon which the conduct was engaged in: Competition Act, supra, s. 36(4)(a)(i). The conspiracy alleged here was at an end by April 1, 1993.”[307]

 

[748]       The significance of this is ascertained by examining the facts underlying this decision. April 1, 1993 was the date upon which the defendant, the Insurance Corporation of British Columbia, altered a procedure in a way which was fatal to the plaintiff’s business. All of the anti-competitive effects complained of by the plaintiff occurred after this date. Nevertheless, the point from which the limitation period was to be calculated was deemed to be April 1, 1993, and this again, despite the fact that no anti-competitive effects had yet been felt by the plaintiff.

 

[749]       There is absolutely no evidence that suggests that Shionogi took part in any decision with regard to the enforcement of its patents in the present proceedings. Apotex does not allege any actions on Shionogi’s part following the assignment which could be properly described as forming the basis for an allegation of a conspiracy.

 

[750]       The Court is satisfied that, in this case, the relevant conduct took place on April 27, 1995.  Even assuming arguendo that the concept of discoverability was to operate in the context of subs. 36(4) of the Competition Act, Apotex was aware of the assignment (the conduct) no later than 1997 and the limitation period would have thus expired well before it instituted its counterclaim.

 

[751]       Even if I were wrong, as noted earlier, Apotex has raised only one discoverability issue here. It is that it did not know that Lilly asserted every alternate process employed by Apotex to be infringing until Lilly filed its amended statement of claim. Apotex has filed no evidence as to how it construed the amendments made in January, 2001 and how they had come to the vague conclusion referred to in their submission.[308] It is apparent from the correspondence of Ms. Fouillade with Lupin that Apotex had on its own come to the conclusion in September, 1997 that the Lupin process described in the Health Canada material infringed the Lilly patents. How could Apotex doubt at that time that Lilly would enforce its patents? Is that not the very reason why they tried to develop a non-infringing process with Lupin?

 

[752]       If the argument is meant to refer to the third process (“contract process”), there is no mention of that process in the amended statement of claim. Moreover, the argument is surprising, given that Lilly’s position has always been that there were only two methods[309] actually used by Apotex’s suppliers to make cefaclor. Lilly never alleged or asserted that the “contract process” was infringing. Apotex has thus not established that it could only have discovered the relevant elements of the offence in January, 2001.

 

[753]       As mentioned in my reasons in the main action, Apotex argued that time limitations do not affect its right to claim equitable set-off against Lilly’s claim for infringement damages. The Court agrees with Lilly that equitable set-off is a defence; it cannot be raised in the context of a counter-claim. I have already dealt with this defence to the main action and need not say anything further here.

 

12.4. Apotex’s Claim for Damages

[754]       In its Reply to demand for particulars, dated December 10, 2002, Apotex pleaded that:

[t]he injuries sustained by Apotex as a consequence of the Plaintiffs’ anti-competitive activity include (a) any monetary liability in respect of the Shionogi Patents, (b) the difference between cost to Apotex of acquiring bulk cefaclor in the absence of Lilly’s anti-competitive actions, and the costs it actually incurred, (c) the litigation costs incurred in this proceeding, and in the proceeding under the Patented Medicines (Notice of Compliance) Regulations in respect of the Shionogi Patents, and (d) the lost profits associated with the delay in entering the Canadian and international market for finished dosage forms of cefaclor.

 

[755]       Very late in the course of the trial, Apotex sought and obtained leave to amend these pleadings with respect to item (a), in order to add any monetary liability in respect of the Lilly patents. [310] At trial, Apotex did not pursue its claim for the litigation costs incurred in the proceeding under the PM (NOC) Regulations, nor with respect to the claim under item (d), given that it is an admitted fact that Apotex faced no such delay.[311]

 

[756]       Pursuant to the bifurcation order of Justice Hughes dated May 8, 2007, Apotex is not required to quantify its loss with respect to potential infringement liability. As mentioned in the judgment on the main action, such liability is to be quantified at a later stage. Apotex must nonetheless prove its entitlement to a set-off against Lilly’s claim of infringement as well as its actual loss with respect to the other heads of damages claimed.

 

12.5. The Applicable Evidentiary Standard

[757]       Apotex argues that assessing damages and causation requires application of an evidentiary standard that assigns probabilities of occurrence to all events which “are not merely speculative”[312] and for which only the sum of the probabilities assigned to each need cross the balance of probabilities threshold of more than 50%.

 

[758]       This, Apotex argues, is necessary because the determination of causality and quantification of loss requires a comparison between occurrences in the actual world and a hypothetical “but for world”. For Apotex, this “but for world” encompasses a number of scenarios in which the Shionogi patents have not been assigned to Lilly.[313]

 

[759]       In support of its position, Apotex relies on the decision of the Supreme Court of Canada in Athey v. Leonati, [1996] 3 S.C.R. 458, [1996] S.C.J. No. 102 (QL) (Athey), where Justice Major, at para. 27 of the judgment of the Court, held that:

[h]ypothetical events (such as how the plaintiff’s life would have proceeded without the tortious injury) or future events need not be proven on a balance of probabilities. Instead, they are simply given weight according to their relative likelihood

 

[760]       The above-mentioned passage, however, arose in the context of the Court examining adjustments for contingencies, which are future uncertain consequences of a tortious act. The Supreme Court of Canada expressly held that this approach was limited to the evaluation of potential future or hypothetical events for the purpose of assessing quantum of damages.

 

[761]       None of the losses complained of by Apotex are potential or hypothetical events in that sense. First, infringement liability has been assessed in the main action and the fact that the quantum will be assessed at a future date does not render this a future and uncertain development. Second, the cost differential for bulk cefaclor concerns only purchases made in the past, more precisely from November, 1996 to October, 1998. As explained by Justice Major in Athey, past events “cannot be addressed in terms of probabilities” (para. 30). As such, this passage cannot apply to Apotex’s alleged injuries, for which there is no relevant future event.

 

[762]       Instead of standing for the proposition that the Court should apply a relaxed evidentiary standard, Athey stands for the proposition that the well-settled “but for” test is applicable to evaluating causation.  In this action, Apotex must prove using the normal civil standard, that “but for” the assignment of the Shionogi Patents to Lilly, it would have avoided the claimed losses (regardless of quantum).

 

[763]       There is an alternative, but it is not what Apotex argues that the Court should apply here. It is the “material contribution” test, defined in Athey as where the plaintiff must show, again on a balance of probabilities, that an act was a contributing factor, outside the de minimis range, to an injury. Although this is the most relaxed standard of proof for causation which is recognized at law, its application is limited to very particular circumstances.

 

[764]       As explained by Chief Justice McLachlin, speaking for the Court in Resurfice Corp. v. Hanke, 2007 SCC 7, [2007] 1 S.C.R. 333 (Resurfice Corp.), its application is only open to plaintiffs for which it is impossible, due to factors that are outside their control, to prove causation by way of the “but for” test. Further:

it must be clear that the defendant breached a duty of care owed to the plaintiff, thereby exposing the plaintiff to an unreasonable risk of injury, and the plaintiff must have suffered that form of injury.[[314]]

 

[765]       As Chief Justice McLachlin concludes, its application is exceptional, and is limited to cases where “it would offend basic notions of fairness and justice to deny liability by applying a “but for” approach.” (para. 25)

 

[766]       Such special circumstances are not present here. The impossibility of proving the required elements for the application of s. 36 of the Competition Act  has not been established by Apotex, who bears the burden of doing so (Barker v. Montfort Hospital, 2007 ONCA 282, (2007), 278 D.L.R. (4th) 215, para. 53). Again, Apotex has not argued that this should be applied here.

 

[767]       Further, as will be discussed below, the fundamental evidentiary problem (see Bowes v. Edmonton (City), 2007 ABCA 347, (2007), 42 M.P.L.R. (4th) 192, para. 235) in this case concerns Apotex’s conduct in the “but for world”, which, even if it constitutes an impossibility, is clearly not one outside Apotex’s control.

 

[768]       Relying on Schwarzkopf v. McLaughlin, 2008 BCSC 730, (2008), 168 A.C.W.S. (3d) 787, Ticketnet Corp. v. Air Canada (1997), 154 D.L.R. (4th) 271, 105 O.A.C. 87 and Les Laboratoires Servier v. Apotex Inc., [2008] EWHC 2347 (Ch), Apotex argues “that if the nature of the harm results in it being hard to prove, that should not redound to the detriment of the harmed party. The court has to do the best it can, with what it has, to come to the findings.”[315]

 

[769]       By relying on these cases, Apotex is putting the cart before the horse. These cases all deal exclusively with assessment of damages, causation having already been established. They grapple with the question of assessing the level of compensation required to restore the plaintiff to the position it would have been in the “but for world”. The Court here is concerned with a different question, which is the impact of the assignment on Apotex’s position, in order to determine whether such restorative action is even warranted. These authorities do not assist the Court in the present circumstances.

 

[770]       Therefore, the Court will apply the normal test for causation, keeping in mind the comments on the breadth of the burden to be satisfied as articulated by Justice Major in Athey:[316]

Causation need not be determined by scientific precision; as Lord Salmon stated in Alphacell Ltd. v. Woodward, [1972] 2 All E.R. 475, at p. 490, and as was quoted by Sopinka J. at p. 328, it is “essentially a practical question of fact which can best be answered ordinary common sense”.

 

            12.6. Background

[771]       As noted above, Apotex’s arguments in respect of causation focus on a comparison between the actual conduct of the parties, and a “but for world” as encompassed in a number of hypothetical scenarios, in all of which Shionogi has not assigned its patents rights to Lilly.  In order to assess these various “but for world” scenarios, the Court will first look at the actions of the parties in the actual world which are relevant to these scenarios (as opposed to damages or the s. 45 offence proper).

 

[772]       As early as 1986, Apotex appears to have had an interest in producing the drug cefaclor.  In March, 1986, Apotex applied for a compulsory licence with respect to three Lilly Canadian patents, ‘537; ‘532; and ‘725.[317] The ‘725 patent is one of the four Lilly patents that was still in force at the date of the assignment.[318] As such, it forms part of what Apotex alleges as Lilly’s post-assignment monopoly over production processes for bulk cefaclor.

 

[773]       In 1988, Apotex is granted a compulsory licence, the terms of which provide for a royalty of 4% of the net selling price to be paid by Apotex to Lilly.[319] In granting the licence, the then Commissioner of Patents specifically references an objection by Lilly to the granting of the licence, as Apotex did not request the inclusion of patents which Lilly deemed essential for the manufacture of the drug cefaclor, particularly, but presumably not limited to, the ‘536 patent, another of the four Lilly patents which comprised Lilly’s alleged monopoly.

 

[774]       This objection is dealt with by the Commissioner of Patents with reference to arguments advanced by Apotex.  According to Apotex, the other patents were not essential for the manufacture of cefaclor, which implied that Apotex was content with the patents that it had chosen in its licence application. What is intriguing from this fact is that Apotex, in 1986, had the opportunity to request a compulsory licence for all four of the Lilly patents at issue in this case.

 

[775]       Apotex specifically chose to obtain a licence that did not include all of Lilly’s patents related to the production of bulk cefaclor.[320]  It did so notwithstanding Lilly’s objection. Had it done so, the assignment of the Shionogi patents would have had absolutely no effect on Apotex’s ability to lawfully obtain bulk cefaclor for formulation and eventual sale in the form of Apo-cefaclor, at least until it served notice of termination of this licence on December 6, 1996.[321]

 

[776]       In May, 1993, Apotex served on Lilly a Notice of Allegation (NOA) pursuant to s. 5 of the PM (NOC) Regulations in which it alleged that it would not infringe any of the patents listed in the Form IV Patent List submitted by Lilly as Apotex: (i) held a compulsory licence with respect to certain patents listed; and, (ii) it would not infringe the others by making, constructing, using or selling cefaclor capsules or oral suspensions as these patents contain no claim for cefaclor itself nor for its use.[322] It is important to note that in this Form IV Patent List,[323] referred to by Apotex in its NOA, Lilly had listed the Shionogi patents that were assigned to Lilly in 1995.

 

[777]       Following this NOA, Lilly and Shionogi instituted proceedings against Apotex seeking an order prohibiting the Minister of National Health and Welfare from issuing Notices of Compliance (NOC) to Apotex in connection with a variety of cefaclor capsules and oral suspension dosages until the expiration of both the Lilly and Shionogi process patents (the PM (NOC) proceedings).[324]

 

[778]       The PM (NOC) application was dismissed by Justice Sandra Simpson on September 12, 1995 (Eli Lilly and Co. v. Apotex Inc. (1995), 101 F.T.R. 33, 63 C.P.R. (3d) 245).[325] In essence, the application was dismissed because the listing of the process patents in the Form IV Patent List was not in accordance with s. 2 of the Regulations as they do not contain claims for a medicine or a new use for a medicine.

 

[779]       In the course of the PM (NOC) proceedings, Lilly and Shionogi asserted,[326] relying on expert evidence,[327] that it was not possible for Apotex to manufacture cefaclor without infringing the patents that had been listed in Lilly’s Form IV Patent List and for which Apotex did not hold a compulsory licence. At para. 9 of her decision, Justice Simpson notes that this evidence is uncontradicted and that as such it is “reasonable to infer that Apotex plans to infringe the Patents by copying Lilly’s production methodology” and that if this did transpire “it [would] be open to Lilly to seek remedies for infringement at common law.”

 

[780]       On April 27, 1995, just prior to the determination of Lilly and Shionogi’s application for a prohibition order, Lilly and Shionogi concluded the assignment of Shionogi’s process patents to Lilly, along with a concurrent licence-back in favour of Shionogi.[328]

 

[781]       In light of the decision of Justice Simpson and its confirmation by the Federal Court of Appeal, Harry B. Radomski, counsel for Apotex, indicated in an affidavit that, as of late 1996, it was expected that Apotex would obtain an NOC with respect to cefaclor and advised that it would have to be prepared to face an infringement action brought by Lilly should it enter the market.[329]

 

[782]       At some point in time between the institution of these proceedings and its final resolution, somebody at Lilly met with representatives of Apotex[330] to extend the offer of entering into a relationship in respect of cefaclor as well as other products. Although the terms and conditions are not clear, this would probably have been an arrangement similar to the one Lilly entered into with Pharmascience on June 30, 1995, which concerned the distribution by Pharmascience of Lilly-manufactured dosage form cefaclor.[331] It should be noted that another agreement entered into by Lilly with a Canadian generic drug manufacturer is in evidence, this time with Novopharm on June 22, 1998 and relating to the supply of bulk cefaclor.[332]

 

[783]       On December 6, 1996, Dr. Sherman wrote to Lilly to provide the required three-months notice of termination of its compulsory licence.[333]

 

[784]       Kyong Bo had represented to Apotex, by way of letter dated December 16, 1996 addressed to its intermediary, Pacific High Tech Canada, that its process for manufacturing bulk cefaclor did not use the teachings of Canadian patents ‘611, ‘536 and ‘725, all of which belonged to Lilly.[334] This letter is seemingly a result of investigations carried out by Apotex starting, at the latest, in December, 1996 into the processes used by its suppliers of bulk cefaclor and whether said processes infringed the Lilly or Shionogi patents.[335]

 

[785]       On January 17, 1997, Apotex obtained its NOC[336] and promptly began selling dosage-form cefaclor on the Canadian market. Apotex was not delayed in any way by the assignment in its entry into the market. Apotex had received, from a variety of suppliers, experimental quantities of bulk cefaclor as early as March, 1991.[337] In addition, it had already received two shipments of commercial quantities of bulk cefaclor from Kyong Bo.[338]

 

[786]       As predicted, Lilly quickly commenced an infringement action.  Its first action was launched on January 23, 1997 but was subsequently discontinued.[339]  The present action was commenced on June 18, 1997. In both actions, Lilly alleged infringement of the Shionogi patents.[340] The latter action specifically referred to the Kyong Bo process.[341]

 

[787]       In May, 1997, Apotex began sourcing commercial quantities of bulk cefaclor from another supplier, Lupin.[342] The evidence before the Court indicates that shortly thereafter, in July, 1997, Apotex began inquiring with Lupin as to the processes used to manufacture bulk cefaclor delivered to Apotex.[343] As mentioned earlier, based on Lupin’s responses to these inquiries, Brigitte Fouillade, Apotex’s legal counsel for intellectual property, appears to have come to the conclusion, by September, 1997, that the process employed by Lupin infringed the Lilly patents.[344]

 

[788]       Accordingly, discussions began between Apotex and Lupin with the aim of modifying the process employed by Lupin to avoid infringement of the Lilly patents. Ms. Fouillade suggested that Lupin employ the teachings of a series of expired patents.[345] Lupin agreed that this was indeed feasible, and had in some respects already been done on an experimental scale, but would result in lower yields and thus bulk cefaclor produced in this fashion would be more expensive.[346]

 

[789]       By October 1997, a new process had been worked out by Lupin and Apotex and, accepting that it would be more costly, Apotex asked Glopec, the intermediary between Apotex and Lupin, to provide a price estimate for bulk cefaclor made according to this process.[347] A supply agreement regarding the use of this new process was concluded between Apotex and Lupin in March, 1998.[348]

 

[790]       By October, 1997, at the latest, Apotex appears to have made additional inquiries as to the process employed by Kyong Bo to produce bulk cefaclor delivered to Apotex, particularly in respect of the Shionogi patents. In response, Kyong Bo represented that it employed the Shionogi process, technology which it acquired from Shionogi in 1992 for the production of HCA, an intermediate which is used to produce Ceftibuten, another drug. Kyong Bo also represented that its rights to use the Shionogi process had not been affected by the assignment.[349]

 

[791]       Apotex requested that Kyong Bo provide evidence of the authorization to use the Shionogi patents,[350] which Kyong Bo was not able to provide.[351] Apotex, who had not received supply from Kyong Bo since September, 1997, never again sourced bulk cefaclor from Kyong Bo.[352]

 

[792]       It is an admitted fact that Apotex, aside from its compulsory licence application in the 1980’s, never sought any form of licence for bulk cefaclor from either Shionogi or Lilly, nor has it ever requested its suppliers to do so.[353] Shionogi never licensed any non-Lilly entity for the use of its patents for the production of bulk cefaclor before 1995.[354]

 

12.7. Apotex’s “But For” Scenarios with Respect to Causation

[793]       Against this factual background, Apotex asserts six possible scenarios in a “but for world” where Shionogi did not assign its patents to Lilly:

1.      Apotex is licensed, directly or indirectly, by Shionogi;

2.      Apotex is licensed, directly or indirectly, by Lilly;

3.      Apotex practises the Shionogi patents, without a licence, and is not sued for infringement;

 

4.      Apotex practises the Shionogi patents, without a licence,  and is sued for infringement;

 

5.      Apotex practises the Lilly patents, without a licence, and is sued for infringement;

 

6.      Apotex practises the Lilly patents, without a licence, and is not sued for infringement

 

[794]       Apotex argues that scenarios 1 and 2 together would have been most likely in a “but for world”.[355] The other four options, while possible, would not therefore, in Apotex’s view, cross the “but for” threshold. Finally, Apotex argues that scenarios 3 and 4 were more likely than scenarios 5 and 6, the latter being the least likely.[356] At the outset, the Court finds that the need for so many scenarios, which each have various sub-scenarios, is indicative of the degree of speculation required to find that Apotex has been harmed by the assignment.

 

[795]       Before getting into the actual assessment of these proposed scenarios, it is important to note that one must exercise caution when presented with expert evidence based on assumptions provided by counsel and first ensure that these have been fully established independently and that general economic theories are applicable to the factual scenario at bar. One such general theory relied upon by Apotex’s expert is that firms will normally not reject opportunities to make profits.

[796]       The assumptions upon which Apotex’s experts rely can be challenged on at least three counts. First, they assume that Apotex would be seeking a licensed source of bulk cefaclor before taking any risk of entering the market with infringing material. For reasons that will be explained, based on the evidence presented by Apotex’s own Chief Executive Officer, this is not a correct assumption in this case.

[797]       Second, with respect to the applicability of general economic theory, Mr. Kay made it clear that Apotex’s general corporate policy was to shun what is commonly referred to as “authorized generics” agreements. In the course of his cross-examination Mr. Kay was

asked whether this attitude would prevail no matter how much profit could be had and his answer was “[m]ore likely than not”.[357]

[798]       Thirdly, Dr. Church made it clear, and this also appears from the written reports of Apotex’s experts, that a fundamental assumption was that there were only two publicly known legal sources for bulk cefaclor and that all players, including potential buyers (i.e. generic manufacturers) would be aware of that fact.[358] Again such an assumption doesn’t appear to be borne out by the actual facts. Indeed, Dr. Sherman testified that, despite the fact that Apotex was arguably best informed of the situation in the marketplace given its early involvement in attempting to come to market and the obstacles it had faced in this attempt,[359] he didn’t know that he needed a licence and was not looking for licensed supply or even inquiring about which process was being used by its supplier initially.

[799]       The Court also notes that Apotex’s expert’s own evaluation of the duopoly price in the “but for world”[360] includes an assumption that the $1,500.00 paid by Apotex was the price of potentially non-infringing bulk cefaclor. It would thus be a third source of legal supply which on its face appears to be contrary to the assumption described by these experts. It certainly contradicts the basic premise which Dr. Church indicated as being necessary to his opinion.

 

[800]       It also appears that the experts were not made aware of the fact that Apotex also argued in the main action that Lilly itself knew of the existence of a third viable process given that it had included it in its own NDS file.[361] It is also important to note that, despite Dr. McClelland’s opinion in the present counterclaim, once Apotex’s own in-house counsel had concluded that the cefaclor they were buying was indeed infringing, Apotex was able to source non-infringing cefaclor within a few months.

 

[801]       Even so, as will be explained, the Court does not agree with Apotex’s evaluation of the likelihood of occurrence of the proposed scenarios. The evidence does not support that it is more likely than not that Apotex would have been licensed by either Shionogi or Lilly in the “but for world”. Nor does the evidence support the assertion that scenario 3, Apotex practising the Shionogi process without being sued, is the next most likely scenario. These scenarios are nothing more than mere possibilities; they do not amount, even taken together, to a real or substantial possibility.

 

[802]       At best, the evidence supports a conclusion that an amalgam of scenarios 4 and 5, which is to say that Apotex, in the “but for world”, would have practised both the Shionogi and Lilly processes and would have been sued by both companies. Furthermore, the Court agrees with Apotex that scenario 6 on its own is so unlikely that it does not merit examination.[362]

 

 

12.7.1. Scenarios 1 and 2: Apotex Obtains a Licence from Shionogi or Lilly

[803]       Scenarios 1 and 2 are simply two alternatives under a single hypothesis, which is that Apotex would have been licensed in some way in the “but for world”. Dr. Church testified that, “[i]n the absence of the transfer of patent rights, there would have been competition between Lilly and Shionogi, or more accurately its licensee, to supply bulk cefaclor into Canada.”[363]

 

[804]       Dr. Thomas Ross also opines that such competition would occur because, following the expiry of the Canadian patent covering the compound cefaclor, in August, 1994, “Shionogi would have had a strong financial incentive to licence another firm to use its patents to produce bulk cefaclor for the Canadian market.”[364] In response to Shionogi’s entry into this market, Lilly would also proceed with licensing, resulting in profit-maximizing behaviour by each of these players whom “would find it profitable to licence/supply all licensees who request a licence.”[365]

 

[805]       Dr. Cockburn disagreed with the competitive licensing scenario advanced by Apotex’s experts, countering that, even if one assumed that Shionogi would have licensed a third party, which was not admitted,[366] “Shionogi and Lilly would have powerful incentives

 

to limit the number of competitors in the finished dosage form market. […] [T]hey would have licensed or supplied at most one generic each.”[367] In such a scenario, it is uncertain that Apotex would be one of the two beneficiaries of such a licence.

 

[806]       While contesting this position, Apotex’s experts counter that, should Shionogi and Lilly each have licensed only one generic in the “but for world”, Apotex would have been the most likely recipient of such a licence:

As the leading distributor of generics, Apotex would easily have been the most attractive partner for Shionogi to licence. Consequently, even if Shionogi restricted itself to a single licence, it could easily have been to supply Apotex.[[368]]

 

 

[807]       It should be noted that neither Dr. Ross nor Dr. Church have any expertise with regard to Japanese firms in general and had very limited information as to Shionogi’s business practices in particular. In addition, no evidence was presented to the effect that anyone was interested in offering Shionogi any such financial incentive. Presumably Shionogi would not offer licences unless there was a demand for them.

[808]       In that respect Dr. Sherman, who can be expected to know a lot more about the industry and this particular market than expert economists unfamiliar with the pharmaceutical industry, testified that cefaclor was a less competitive drug than others “because Novopharm would be the only other one with the capability to make it in Canada”.[369] Also, it was not a major product.[370] There is no evidence that Novopharm was interested in making this product at any time prior to the conclusion of its licensing and supply agreement with Lilly in 1998.

 

[809]       Further, as explained by Dr. Sherman, companies such as Pharmascience would not be in the market for bulk cefaclor for want of manufacturing capacity. If Pharmascience had been interested in any way to this drug, they would have needed a supplier of dosage form cefaclor.[371]

 

[810]       Dr. Sherman certainly indicates that, had Apotex not entered the market, it may well have been that, regardless of the patent situation,[372] no other generic would have been interested in manufacturing dosage form cefaclor. In the circumstances, one cannot simply assume that what Lilly did to counteract the “illegal” entry of Apotex in the market for dosage form cefaclor is a simple reflection of what it would have done had there been competition from Shionogi in the bulk cefaclor market.

 

[811]       In effect, Lilly’s active marketing and their willingness to enter into authorized generic agreements for several drugs (cefaclor being only one of them) may well explain delayed entry of other generics into the market. It appears that Apotex’s experts never considered these issues as they did not even seem to have been aware of these facts and certainly did not acknowledge in their reports that there was limited capacity to manufacture or even interest in offering that drug for sale in Canada.

 

[812]       That said, there are two major reasons why the Court cannot conclude that these scenarios are anything other than a mere possibility: (i) Shionogi’s belief that it was bound by an exclusive licence arrangement with Lilly; and, (ii) the fact that Apotex was not seeking to obtain a lawful source of supply.

 

[813]       In assessing the evidence in respect of Shionogi’s beliefs, the Court does not need the assistance of an expert for a trier of fact is obviously capable of evaluating the relevant circumstantial evidence.[373] (Mohan) It must also be noted that Dr. Church, for example, offers such an evaluation which is based on selective information and as such is incomplete in any event.

 

[814]       Shionogi says that it would not have licensed anyone in the “but for world” because it is a brand-name drug company which has no history of licensing generic drug manufacturers, be it directly or indirectly. Shionogi has never directly carried out any business outside of Japan, let alone Canada, and there is no evidence that at any time it received a request for licence or that it licensed anyone for the use of its patented process to manufacture bulk cefaclor. Moreover, Shionogi points to its 100 year old relationship with Lilly which it would not wish to jeopardize for the sake of licensing its process patents.

 

[815]       These are indeed reasons that could well lead the Court to conclude that it is unlikely that Shionogi would have licensed anyone in the “but for world” unless it was actively solicited and offered significant financial incentive to do so.[374]

 

[816]       What is of greater significance here is the fact that Dr. Hollis acknowledged that it would indeed be difficult for Shionogi to licence anyone even if it had a mere belief that it was already bound by an exclusive licence agreement with Lilly.[375]

 

[817]       At this stage and for the purpose of assessing the likelihood of the present scenario, it is not necessary to settle the debate between the parties as to how one should construe the 1975 agreement. The Court’s analysis focuses on the subjective state of mind of Shionogi in the “but for world”. Once again, Shionogi’s beliefs in the actual world can be used to inform what such belief would have been in the “but for world”.

 

[818]       The Court carefully examined all of the admissible evidence put forth by the parties to establish the facts they rely upon in their arguments.[376] There are many such facts, and it is not useful to list them all here. It is sufficient to say that in the actual world, there is evidence that Shionogi held such a belief and acted upon it within months of the signature of the agreement.

 

[819]       In effect, Dr. Kanazawa, who personally negotiated the 1975 agreement on behalf of Shionogi, wrote to Lilly, asking them where the patent applications regarding the “3-Halocephem Project” should be filed. Apotex, when asked by the Court how this could mean anything other than that Shionogi believed that Lilly had rights in respect of these patents, suggested that Lilly’s advice could have been sought simply because of its longstanding relationship with Shionogi and Lilly’s expertise in this area. The evidence of Dr. Wada, which the Court accepts as credible and who was particularly knowledgeable in that respect, having personally drafted the letter signed by Dr. Kanazawa, does not support Apotex’s views that it would have been Shionogi’s general practice to seek such advice.

 

[820]       It is also quite significant that Shionogi actually went to court on the basis of that belief. In its letter to Gowlings LLP, dated June 22, 1993,[377] authorizing the latter to act on its behalf in the PM (NOC) proceedings in respect of the Shionogi patents listed on Lilly’s Form IV patent list, Shionogi mentions that the patents at issue were “licensed to Eli Lilly & Co. in respect of intermediates to cefaclor”.[378]

 

[821]       In an abundance of caution, although the Court has ruled that TX-251 to 259 are not in evidence, the Court has considered their impact and whether they would have lead the Court to conclude differently with respect to Shionogi’s belief. The Court is satisfied that this is simply not so.

 

[822]       There is no good reason to conclude that in the “but for world” Shionogi’s belief would have been any different than the belief it held in the actual world. Presumably the only thing that would be different is that there would have been no correspondence between Lilly and Shionogi in respect of the potential assignment.

 

[823]       Although this is more relevant to other scenarios that will be discussed later on, the Court is also convinced that this belief was held by Lilly in the actual world. The evidence in that respect is particularly strong.[379]

 

[824]       The Court also considered whether or not Apotex would have accepted a licence if one were available. In effect, Lilly and Shionogi argued that the evidence shows that in any event, Apotex was not interested in obtaining licensed supply. The Court shares this view.

 

[825]       In effect, it is worth noting that Apotex’s experts never inquired with Apotex as to its past licensing practices. As noted earlier, they have simply assumed that Apotex would seek such a licence if it was available from Shionogi.

 

[826]       Apotex’s experts also tried to explain the fact that they had not considered that Shionogi had not licensed any non-Lilly entity, including Apotex, before it assigned its patents in 1995, by arguing that the cefaclor patent itself was a barrier to entry.[380] Obviously, they failed to consider that Apotex held a compulsory licence under the ‘536 patent, the patent on the compound cefaclor, from 1988. That is to say that for roughly six years prior to the expiry of this patent, Apotex could have sought to obtain licensed supply of bulk cefaclor from Shionogi, or even Lilly for that matter, but never did so.

 

[827]       Apotex did not present any evidence that outside of the compulsory licence system, it ever sought a licence in respect of process patents that might apply to a product it wished to commercialise in the Canadian market.[381] Additionally, there is no evidence that Apotex was even genuinely concerned with obtaining lawful supply with respect to bulk cefaclor.

 

[828]       It is true that Apotex made inquiries of its various suppliers to determine whether these suppliers were making use of processes patented in Canada.[382] However, there is little evidence as to discussions with Kyong Bo aside from a letter dated December 16, 1996 addressed to Pacific High Tech Canada (a Kyong Bo agent), which discloses Apotex’s concerns about infringing the Lilly patents, and the correspondence of October, 1997, exchanged in the context of defending the infringement suit already instituted by Lilly. That in December, 1996 Apotex would only inquire with Kyong Bo as to infringement of the Lilly patents is surprising given that Apotex knew of the Shionogi patents and the fact that Lilly was asserting rights under them since 1993, when the PM (NOC) proceedings were commenced.

 

[829]       Be that as it may, when Apotex chose Kyong Bo as its supplier, its choice was not predicated on Kyong Bo’s use of the Shionogi process.  As Dr. Sherman testified, Apotex made this choice “not because we were specifically looking for material made by Shionogi’s process.”[383]

 

[830]       Nor was it made on the belief that Kyong Bo had a licence:

THE COURT: Did you choose that supplier because it had a licence?

 

[DR. SHERMAN]: No.

 

[…]

 

THE COURT: […] Were you looking for a manufacturer that had a licence?

 

[DR. SHERMAN]: No.

 

[…]

 

[W]e were not looking for a manufacturer with a licence. At the time we were simply looking for sources that could supply. We did not know that one was needed.[384]  At the time we were simply looking for sources that could supply.  This particular source appeared to be a good supplier and was offering material and told us that they had an arrangement with Shionogi, but it is not because we were specifically looking for material made by Shionogi's process.[385]

 

[831]       The Court notes that Dr. Sherman’s recollection about having been told that they had an arrangement with Shionogi appears to be slightly out of synch. In effect, the correspondence and Dr. Sherman’s own previous testimony indicates that such representations were made much later, that is in October, 1997. As soon as it was further investigated by Mrs. Fouillade, at the request of Dr. Sherman, it was quickly realized that this was not so.

 

[832]       In any event, the approach that would have been taken by Apotex at the time is described by Dr. Sherman, when he testified on discovery that “[t]he most likely scenario would be that we simply would have used the [Shionogi] processes without any royalty at all or any discussion.”[386] While this was not as eloquently repeated by Dr. Sherman at trial, it was not contradicted. In fact, Dr. Sherman testified that:

to the extent that there were other patentees with other processes, there would generally not be a need to deal with them, because one would expect they would not be enforced in Canada or would be available for licensing.[387]

 

[Emphasis added]

Again this defies the fact that, independently of the assignment, Lilly was asserting rights under these patents, which is a fact which Dr. Sherman should have been aware of.

 

[833]       In any event, it appears that Apotex was not prepared to pay much for such a licence. Dr. Sherman explained that if Shionogi would have tried to charge Apotex more than a few percent, Apotex would have resisted, sending the parties to litigation:[388]

if they wanted to enforce the patent to try and get a higher royalty, they would have been faced with the prospect of litigation with us and perhaps having their patents invalidated at litigation, and it wouldn’t have been worth very much to them under those circumstances.[[389]]

 

[834]       This evidence suggests that for Apotex, obtaining a licence for bulk cefaclor was an option of last resort. At trial, Dr. Sherman testified that “[i]f and when it became necessary, we could get a license, if that were appropriate.”[390] This evidence is simply not sufficient for the Court to conclude that “but for” the assignment of the Shionogi patents, Apotex would have sought licensed supply.

 

12.7.2. Scenario 3: Apotex Practises the Shionogi Process and is not sued

[835]       This scenario poses a number of evidentiary difficulties.  First, and most obvious, Apotex’s conduct demonstrates that it was willing to obtain bulk cefaclor without regard to the method used to produce it. As noted above, the decision to source Kyong Bo was not dependent on the fact that it was practising a particular method. In addition, there is little evidence before the Court as to what led Apotex to begin sourcing bulk cefaclor from Lupin in May, 1997 other than because they had likely been approached by Lupin.[391]

 

[836]       It is clear that Apotex inquired about Lupin’s process in July, 1997, at which point it had already received at least three shipments of bulk cefaclor. The Court cannot conclude that Apotex believed Lupin to be using the Shionogi process or again that such facts had become important or relevant in Apotex’s mind.

 

[837]       The Court does not find it credible that, absent the assignment, Apotex would have made a conscious effort to source only bulk cefaclor made using the Shionogi process. The evidence supports the conclusion that Apotex was interested in supply, not supply manufactured using a particular process.

 

[838]       Had the Court concluded differently in this respect, this scenario would still not be deemed more likely than not as the Court is not convinced that the evidence supports Apotex’s claim that the exclusive use of the Shionogi process would not attract an action for infringement.

 

[839]       Specifically, there is absolutely no evidence or explanation offered to support the proposition that, in the “but for world”, enforcement of Shionogi’s patent rights would have not proceeded in precisely the same fashion as it did in the course of the PM (NOC) proceedings. As mentioned, the evidence is overwhelming that Lilly believed (again, rightly or wrongly) that it had an exclusive licence to the patents at issue and no good reason was offered to assert that Shionogi would be any less of a willing partner in their enforcement. The Court can only conclude that in the “but for world”, Apotex would have also faced an action for infringement, the only difference being that this action would be brought by both Lilly and Shionogi, just as with the PM (NOC) proceedings.

 

12.7.3. Scenarios 4 and 5: Apotex Practises the Shionogi and Lilly Processes and is Sued by Shionogi and Lilly

 

[840]       As explained above, the Court cannot conclude that in the “but for world” it would be likely that Apotex would have sourced bulk cefaclor manufactured using only one process, be it Shionogi’s or Lilly’s. Thus, scenarios four or five cannot represent what would have occurred in the “but for world” as they are premised on Apotex practising only one of the processes.

 

[841]       Most likely is a “but for world” where Apotex practised both the Shionogi and Lilly processes to varying degrees, exactly as what has transpired in the actual world. Apotex has admitted that it is very unlikely that in the “but for world” Lilly would not seek to enforce its patent rights. As explained above, there is no evidence that would lead the Court to conclude that such an action would not be conducted in the same fashion as the PM (NOC) proceedings with regard to infringement of the Shionogi patents.

 

 

12.8. Is there a loss resulting from the assignment under the most likely “but for world” scenario?

[842]       Based on the foregoing, the only difference between the actual world and the only likely “but for world” scenario is that Shionogi is also a party to the action for infringement. Apotex’s submissions in respect of its loss in such a scenario (see scenarios 4 and 5 in Chart B) are not particularly clear.[392] When read together with paras 282 and 283 of its memorandum, it appears that Apotex alleges:

i) That should the Court set the “but for” price for bulk cefaclor at anything less than US$1,500.00[393], it paid more for its bulk cefaclor in the actual world than in the “but for world”; and,

ii) That its potential liabilities as a result of infringement are greater in the actual world than in the “but for world”;

For the reasons that follow, the Court cannot conclude that Apotex suffered any damage as a result of this assignment.

 

[843]       Before looking specifically at the evidence relied upon by Apotex to support the above allegations, it is important to look at what Apotex’s experts had to say in cross-examination about potential losses in a scenario where Apotex did not seek or obtain a licence in the “but for world” from Shionogi (directly or indirectly).

 

[844]       First, Dr. Church said “[…] what I would agree with is that [if] you can establish that in the “but for” world, Apotex would not have received supply from either Shionogi or from Lilly then Apotex would not have been harmed.”[394]

 

[845]       This was also the view of Dr. Ross:

[Counsel for Lilly]: You will agree with me that if it chose another company to license and not Apotex then there would have been no impact on Apotex as a result of the 1995 agreement?

 

[Dr. Ross]: I think that is right. Let us just be clear. Absent the ’95 agreement, they would have licensed someone else?

 

[Counsel for Lilly]: Right.

 

[Dr. Ross]: Now you bring in the ’95 agreement so there is nobody licensed, what is the effect of Apotex. That is correct.

 

[Counsel for Lilly]: So you agree there would have been no impact on Apotex?

 

[Dr. Ross]: Right.[[395]]

 

 

[846]       As for Mr. Cole, he was asked to assume that the Court found that there was anti-competitive conduct and that Apotex had infringed and as such was liable to pay damages. He was then asked to consider the scenario where this Court also held that in the “but for world”, Apotex would not enter into a licensing agreement. In his view, “under that logic or that assumption, there would be no damages, I think. There would be no damages. […] That is a fair assumption.”[396]

 

[847]       Despite this evidence, Apotex nonetheless maintains that it has suffered a loss measured against scenarios 4 and 5, where it is evident that it would not be a licensee of either Shionogi or Lilly.

 

[848]       The court will first examine whether or not Apotex has established a loss in respect of the costs paid for the bulk cefaclor, given that, in accordance with Justice Hughes’ judgment referred to earlier, the Court must be in a position to quantify Apotex’s loss in that respect.

 

12.9. Increased Cost of Legal Bulk Cefaclor

[849]       The Court is not satisfied that Apotex has established by any standard that it would have contracted for its bulk cefaclor in the “but for world” at any price less than it paid in the actual world. In effect the price it paid for infringing material (all but the cefaclor produced by Lupin in 1998) could not be affected by the prices for legal bulk cefaclor whatever they may have been in the “but for world”. The Court understands that it is exactly for that reason that Apotex’s experts made the admissions referred to above and concluded that Apotex suffered no loss in said context.

 

[850]       The Court knows that in any event even if the price of the legal bulk cefaclor in the “but for world” was relevant here, Apotex has failed to provide the Court with sufficient evidence to conclude that it has suffered a loss.

 

[851]       Apotex’s experts only address the issue of price differential between the monopoly price[397] and the duopoly price in the “but for world”. It appears that they were never asked to precisely determine if there was a difference between the actual price paid and the duopoly price in the “but for world” for they appear content with a mere range of possible prices for legal bulk cefaclor in the “but for world”: US$ 860.00 to US$ 1,500.00.[398]

 

[852]       While in reply to the testimony of Dr. Cockburn, Dr. Church and Dr. Hollis submitted that the price of US$ 1,150.00 charged by Lilly to Novopharm could be a more precise estimate, they did not renege on their initial proposition. During oral argument, Apotex’s counsel suggested that the Court should adopt the price of $1,150.00 which is very near the mid-range used by its own experts. The Court is not satisfied that it should do so. Apotex had the burden of establishing its loss; it could have easily asked its experts to do so. Considering their testimony, one can reasonably infer that it did not do so because, according to the experts, Apotex would not have suffered any loss.

 

12.10. Infringement Liability

[853]       Apotex argues[399] that allowing Lilly to retain damages that it could only recover by virtue of rights that were unlawfully obtained would amount to an unjust enrichment or unjustified benefit. However, it is crucial to remember that, pursuant to s. 36, the inquiry is directed to the actual damage suffered by the plaintiff, who can only recover “an amount equal to the loss or damage proved to have been suffered by him.”[400]

 

[854]       In respect of the Shionogi patents, Apotex says that in the “but for world” it would only be liable to pay damages that would be “no greater than a reasonable royalty rate.”[401] Apotex also argues that in respect of the Lilly patents, although they were not the subject of the assignment, its potential liability would still have been less in the “but for world” given that Lilly would have faced competition from Shionogi. Thus, the lost profit Lilly would be claiming would be less.[402]

 

12.10.1. The Lilly Patents

[855]       Little evidence was presented to support Apotex’s argument aside from a single page from a single report of a single expert, Dr. Church,[403] which is barely answered by Shionogi and Lilly. Therein, Dr. Church offers a formula, [pmp]qA, wherein pm “is the price Lilly lost as a monopolist”;[404] p “is the price Lilly would have charged for bulk cefaclor had there been competition”;[405] and, qA is Apotex’s quantity of sales (dosage form).

 

[856]       When asked by the Court to explain the relevance of this formula and how it could be used, Dr. Church volunteered what the Court has come to realize are some very serious limitations to his approach:

[The Court]: So you are telling me you could have calculated this precisely but you didn’t because you weren’t asked.

 

[Dr. Church]: No, I was not asked and I couldn’t – you know, perhaps I might have been able to calculate these things, but you know, it was not part of the remit. It was just what I was asked to do is come up with a framework.

[The Court]: Why do you say “might”? It is just, you know, you might? How will I do it if you say you might?

 

[Dr. Church]: My lady, I apologize. I mean, I wasn’t asked to do that.

 

[The Court]: Okay, that is fine. So your answer is you haven’t, you could have or you might have been able to do it, but you weren’t asked.

 

[Dr. Church]: Right, right. I mean, what I have is a framework to show that they could have been damaged.[[406]]

 

[Emphasis added]

 

 

[857]       First, the Court finds this to be a particularly obscure part of the evidence of this expert and Apotex made no effort whatsoever to explain para. 283 of its memorandum. It appears to be predicated on an assumption that Lilly’s profit on bulk cefaclor is relevant to the quantification of the infringement damages in the main action.

 

[858]       Second, as mentioned earlier, this framework is inconsistent with positions taken at trial by Dr. Church himself as well as other Apotex experts. It therefore cannot have been intended to apply in the only plausible “but for world” scenario here, which does not involve any licensing by Shionogi.

 

[859]       In any event, Dr. Church’s proposed framework only serves the purpose of establishing that Apotex could have been harmed, not that it was in fact the case. Even though the assessment of the quantum was bifurcated, Apotex still had the burden of establishing that it did suffer damages, not simply that it “could” have suffered damages. Apotex has done nothing more than offer speculation to the Court in that respect.

 

[860]       The Court is not ready to reach any conclusion based on this evidence.

 

12.10.2. The Shionogi Patents

[861]       In the “but for world” Shionogi and Lilly would be co-plaintiffs and they would advance, like they did in the actual world, that Lilly is licensed or at the very least has rights under the patentee, pursuant to subs. 55(1) of the Patent Act.

 

[862]       The Court has not been persuaded that there is even a real or substantial possibility that Shionogi, in such a scenario, would agree to settle for the low royalty fee alluded to by Dr. Sherman in his testimony and this in the eventuality that Apotex deemed it appropriate to present such an offer.[407]

 

[863]       This means that the only argument left is the same one that was raised in the actual world against Lilly. That is, Apotex should only pay a reasonable royalty because the Shionogi patents were not used or commercialized in Canada.[408] It was rejected despite a thoroughly developed presentation.

 

[864]       Presumably, although this was not argued, for Apotex, it has more strength in the “but for world” because Lilly would have had to establish that it indeed had rights under the patentee.

 

[865]       This brings us back to the 1975 agreement and the relationship between the two plaintiffs in a “but for world” and requires that the Court speculate as to what decision a Court would render in the “but for world”.

 

[866]       I say “speculate” because, had there not been an assignment, the evidence before the Court would probably be very different. For example, there would likely not exist any correspondence between Lilly and Shionogi in respect of a possible assignment.[409] Shionogi could well have been involved in the U.S. proceedings with Lilly and there could even be a judgment dealing with the issue. There would also likely be little evidence, if any, with respect to agreement(s) entered into by Shionogi and Lilly with third parties, as in the “but for world” Apotex would probably not have been entitled to make inquiries in that respect.[410]

 

[867]       Although this also calls for speculation, one could assume that the Court in the “but for world” would have the benefit of an evidentiary record similar to the one in the main action but adding elements of the counterclaim. For example, there would also be evidence in the “but for world” that Dr. Gorman of Lilly sought Shionogi’s help in developing “a method to economically synthesize the 3-halo cephalosporin,”[411] in June, 1974 and that prior to the presumed date of invention (February, 1975) Dr. Cooper met with Shionogi’s research team to give them details of Lilly’s research including details of the so-called Cooper thiazoline compound which is a starting material for the Shionogi process.

 

[868]       The Court in the “but for world” would apply the general principles discussed in the main reasons, including the following comments of Justice Rothstein in Apotex (2000), at para. 99:

It is perhaps not uncalled for to observe that this is not a case in which the alleged licensee is alone in advancing its claim for patent infringement. Here, the patentee is also before the Court as a co-plaintiff supporting the claim of GWI. It is difficult to conceive of what more is necessary to prove the existence of a licence than to have the licensor and licensee both attesting to the validity of the licence.

 

[869]       In the context of such an infringement action it is, in my view, as likely as not that the Court would conclude that Lilly does indeed have rights under the patentee.

 

[870]       Thus, even if the Court was entitled to speculate as much as Apotex suggests it should, the Court has not been persuaded that Apotex would not be exposed to exactly the same conclusions that were reached in the main action.

 

[871]       Moreover, even if one were to assume that Lilly had no such rights, Shionogi could very well be entitled to an accounting of profits from Apotex. In such a case, the measure of restitution is the defendant’s gain, rather than the plaintiff’s loss (Monsanto Canada Inc. v. Rivett, 2009 FC 317, [2009] F.C.J. No. 410 (QL) , para. 21 (Monsanto Canada Inc. v. Rivett) and Bayer Aktiengesellschaft v. Apotex Inc. (2001), 10 C.P.R. (4th) 151 (Ont. S.C.J.); aff’d (2002), 16 C.P.R. (4th) 417 (Ont. C.A., where the Court rejected Apotex’s argument that the wronged party should not be unjustly enriched by awarding it a sum in excess of its actual loss).

 

[872]       As noted by Justice Russel Zinn in Monsanto Canada Inc. v. Rivett, if this option was not open to Shionogi “it would be too easy for a defendant to say “Catch me if you can.” If caught, the defendant would be required to pay the sum he would have paid to use the patent in any event. When not caught, he is left with a windfall”. (para. 23) When one considers Dr. Sherman’s evidence, this reasoning rings particularly true in the case at hand.

 

[873]       Furthermore, Apotex has not provided any evidence whatsoever indicating that the profits it would have had to disgorge would likely be less than the damages which could be awarded to Lilly had it elected to seek damages instead of an accounting of profits.

 

[874]       In sum, even if the Court was satisfied that any part of Apotex’s infringement liability is the result of the assignment which will now be discussed, Apotex has not met its burden of establishing that its infringement liability in the “but for world” would likely be different than in the actual world.

 

[875]       The Court now turns to Shionogi and Lilly’s argument that Apotex is seeking to “have its cake and eat it too”. In addition, they submit that to recognize the type of argument put forth here by Apotex would amount to providing it with an insurance policy covering its acts of infringement. This, according to Lilly and Shionogi, would be unconscionable given that such liability is in fact the result of Apotex’s decision to infringe rather than the result of the assignment of the patents. In reply,[412] Apotex notes that these concerns fail to take into account the fact that Apotex only had to enter the market at risk because of the unlawful arrangement between Shionogi and Lilly. The Court does not accept this last statement.

 

[876]       Indeed, the evidence established that Apotex made a business decision to purchase its bulk cefaclor without inquiring into whether or not it infringed any patent it knew, or ought to have known, was being asserted by Lilly and Shionogi as relevant to the manufacture of bulk cefaclor. This decision was not based on the fact that the Shionogi process would be less costly to infringe. Had Apotex turned its mind to this, given that the Shionogi patents were on Lilly’s patent list, it could only have concluded that it was likely that Lilly would assert rights in respect of those patents.

 

[877]       Thus, even if Apotex had established a loss in respect of its infringement liability, the Court would not have been persuaded that it arose as a result of the assignment.[413]

 

[878]       Finally, one must not lose sight of the fact that the Competition Act was adopted to protect the public interest. Its goal is not to protect the rights of those who choose to act in a manner contrary to the law. What Apotex argues here is that it has the right to infringe at the lowest possible cost.

 

[879]       It was made very clear when the Court, trying to clarify Apotex’s position, solicited its view on the following hypothetical scenario: what if a patentee, a small company with little means to enforce its patents, decides to sell at fair-market value its patent to a bigger company whose policy is to strictly enforce its patents. Would Apotex say that it suffered a loss because it is now exposed to being sued for infringement? To this, counsel for Apotex responded that “the answer would be yes”.[414]

 

[880]       This simply cannot be right.

 

[881]       After careful consideration, I have come to the conclusion that it would be inappropriate to comment on the other issues raised in this case, particularly whether or not there was a violation of s. 45 of the Competition Act. This raises some important novel questions that should not be answered by way of obiter comments.[415]

 

12.11. Costs

[882]       Lilly and Shionogi made extensive representations to support their claim for solicitor-client costs in this case. Having considered all the arguments and the factors set out in Rule 400, the Court has concluded that this is not a case where solicitor-client costs are warranted. It is clear, however, that certain circumstances referred to in the above mentioned representations warrant an award of costs beyond what is normally provided for. Thus, costs of all services rendered prior to trial will be assessed on the basis of the top of the scale of Column III of Tariff B while services rendered after the trial started will be assessed on the basis of the top of the scale of Column IV of the said Tariff.

[883]       The defendants by counterclaim are entitled to assess costs of two counsel as well as reasonable expert witness fees and disbursements for the expert witnesses who testified at trial.


JUDGMENT

 

For the Reasons set out herein, following the trial of this action, this Court adjudges and declares as follows:

  1. At least one valid claim in each of the following patents:
    1. Canadian Letters Patent No. 1,133,007;
    2. Canadian Letters Patent No. 1,146,536;
    3. Canadian Letters Patent No. 1,133,468 ;
    4. Canadian Letters Patent No. 1,150,725;
    5. Canadian Letters Patent No. 1,095,026;
    6. Canadian Letters Patent No. 1,132,547;
    7. Canadian Letters Patent No. 1,136,132;
    8. Canadian Letters Patent No. 1,144,924;

have been infringed by the defendant, Apotex Inc. by their importation, manufacture, export, sale and offers for sale of cefaclor in Canada;

  1. The plaintiffs are entitled to elect either an accounting of profits of the defendant or all damages sustained by reason of sales directly lost as a result of the infringement by the defendant of the above-mentioned claims of the Lilly patents (‘007, ‘536, ‘468, ‘725 patents) or Shionogi patents (‘026, ‘547, ‘132, ‘924 patents). Such damages will be assessed by reference preceded by discovery if requested;

  2. The defendant shall be entitled to deduct up to a maximum of 187 kilos of bulk cefaclor pursuant to subs. 55.2(1) of the Patent Act. The exact quantity to be assessed by reference in accordance with my reasons;

  3. The plaintiffs are entitled to pre-judgment interest on the award of damages (if elected), not compounded, at a rate to be calculated separately for each year since infringing activity began at the average annual bank rate established by the Bank of Canada as the minimum rate at which it makes short-term advances to the banks listed in Schedule 1 of the Bank Act, R.S.C. 1985, c. B-1. However, such award is conditional upon the reference judge not awarding interest under paragraph 36(4)(f) of the Federal Courts Act;

  4. In the event that the plaintiffs elect an accounting of profits, interest shall be determined by the reference judge;

  5. The plaintiffs are entitled to post-judgment interest, not compounded, at the rate of five percent (5%) per annum, as established by s. 4 of the Interest Act, R.S.C. c. I-15. This interest shall commence upon the final assessment of the monetary damage amount or profits amount, until then pre-judgment interest shall prevail;

 

 

 

  1. The plaintiffs are entitled to their costs which will be the subject of a distinct order. The parties shall within thirty (30) days hereof make submissions as to the amount of said costs in the manner set out in my reasons;

  2. The defendant’s counterclaim is hereby dismissed, with costs to be assessed in accordance with my reasons.

 

 

“Johanne Gauthier”

Judge

 


CHART “A”

 

Infringement

 

 

 

 

 

 

Name

Subject Matter

Date

Exhibit number

Terms of qualification

Brief Bio Note

1

Anthony G.M. Barrett

Lilly infringement in chief – Kyong Bo process

October 19, 2007

E-1

Expert in chemistry, organic chemistry, in particular beta-lactam chemistry including cephalosporins and penicillins; chemistry research techniques, organic and medicinal compound synthesis, manufacturing, manipulation and antibiotic mechanisms and activity; experimental and analytical chemistry testing, techniques and interpretation, including analysis and interpretation and chemical compound properties, compound and structure analysis and identification.

Dr. Anthony Barrett is Professor of organic chemistry and synthetic chemistry at Imperial College of Science, Technology and Medicine (UK). He obtained his PhD in 1975. Over the course of his career, he has also taught at Northwestern University and Colorado State. He was named a Fellow of the Royal Society (UK) in 2003. He is a specialist in the synthesis of beta-lactams and has studied penicillins and cephalosporins since the 1970’s. He has published extensively in this field over three decades. He is the author of over 330 publications.

2

Marvin Miller

Lilly infringement in chief – Lupin process (experiments)

October 8, 2007

E-2

Expert in: 1) chemistry, organic chemistry, medicinal chemistry, in particular beta-lactam chemistry including cephalosporins and penicillins; 2) chemistry research techniques, organic and medicinal compound synthesis, manufacturing, manipulation and antibiotic mechanisms and activity; 3) experimental and analytical chemistry testing, techniques and interpretation, including NMR, IR and LC/MS, analysis and interpretation and chemical compound properties, compound and structure analysis and identification.

Professor and former Chair of the Department of Chemistry and Biochemistry at the University of Notre Dame, Indiana. PhD in bio-organic chemistry, Cornell University, 1976. Post-doctoral research at UC Berkeley. Extensive experience in the organic chemistry and synthesis of beta-lactams. Has been Editor for a variety of research journals. Author or co-author of over 225 peer-reviewed publications. 

3

Marvin Miller

Lilly infringement in chief – Lupin process

October 19, 2007

E-3

See above.

See above.

4

Garrett Moraski

Lilly infringement in chief – Lupin process –experiments (Testing)

October 19, 2007

E-4

Expert in experimental and analytical chemistry research techniques, practices, instruments and documentation, and NMR and IR analysis.

Hold a B.Sc in chemistry (1997) from the University of Notre Dame. He is currently Research Technician and Lab Manager in the laboratory of Dr. Miller at the University of Notre Dame. Four years experience as a research assistant at Pfizer and several more years as a researcher at a pharmaceutical start-up. Has actively participated in Dr. Miller’s research activities and been listed as co-author in several peer-reviewed publications.

5

Brian Hunter

Lilly infringement in chief – Lupin process – P NMR and IR spectra data regarding kinetic complex

October 22, 2007

E-5

A chemist with a focus on the utilization of nuclear magnetic resonance and infrared spectroscopy to study molecular behaviour in a variety of systems.

Emeritus professor of chemistry and chemical engineering at Queen’s University, Kingston. Ret’d 2001. PhD obtained from University of Western Ontario, 1969. National Research Council Fellow at University College in London 1969-1971. Research and teaching specialty in the utilization of nuclear magnetic resonance (NMR) spectroscopy, including phosphorous NMR, to study molecular behavior. Has provided advice in the interpretation of NMR spectra across all fields of chemistry. Author of a textbook entitled Modern NMR Spectroscopy: a Guide for Chemists (2nd ed. 1993).

6

Jack Baldwin

Lilly infringement in chief – Lupin process

 

October 19, 2007

E-6

Expert in: 1) chemistry, organic chemistry, medicinal chemistry, in particular beta-lactam chemistry including cephalosporins and penicillins; 2) chemistry research techniques, organic and medicinal compound synthesis, in particular beta-lactam synthesis, manufacturing, manipulation and antibiotic mechanisms and activity; 3) experimental techniques and interpretation as used by chemists in this field in the course of their work.

Sir Baldwin is Professor of Chemistry at Oxford University (ret’d. 2005) and was Professor of Chemistry at the Massachusetts Institute of Technology from 1972-1978. He obtained his PhD from Imperial College in 1964. He has been a Fellow of the Royal Society since 1978, and was recognized for contribution to chemistry with a Knighthood in 1997. Throughout his distinguished career he has been particularly interested in the synthesis of beta-lactam antibiotics, especially penicillins and cephalosporins, and is familiar with industrial work in this area.

7

Diane Azzarello

Lilly infringement in chief – Health Canada regulatory requirements

October 19, 2007

E-7

Expert in regulatory affairs, including preparation and filing of new drug submissions and any other matter covered within her report.

Ms. Azzarello is an Ontario-licensed pharmacist with over two decades experience in the pharmaceutical industry in clinical research, sales, and regulatory affairs. She is a past Director of regulatory affairs for Upjohn Canada, and has acted since 1996 as President of Market Access Strategic Regulatory Services Inc., a consultancy, where she advises innovator and generic companies on the filing of drug submissions with Health Canada.

8

Garrett C. Moraski

Lilly infringement reply – testing of February 21, 2008 in response to Dr. Cowley and Dr. McClelland (Under reserve of a general objection)

February 28, 2008

E-8

See above.

See above.

9

Garrett C. Moraski

Lilly infringement reply – Dr. Hunter and Miller testing. Completed by new exhibit E-9a on June 20, 2008

January 18, 2008

E-9

See above.

See above.

10

Garrett C. Moraski

Lilly infringement reply – Re Dr. Chase testing

April 19, 2008

E-10

See above.

See above.


 

11

David Gorenstein

Lilly infringement reply – Lupin process (Under reserve of a general objection)

March 19, 2008

E-11

Expert with respect to the development and application of NMR spectroscopy to biological systems, and an expert chemist who has carried out extensive research in the chemistry of phosphorous compounds and organophosphorous chemistry.

Dr. Gorenstein is Associate Dean of Research at the School of Medicine of the University of Texas. He is also a Professor in the Departments of Biochemistry and Molecular Biology, and Neurosciences and Cell Biology. His research interests include the development and application of NMR spectroscopy to biological systems (including 31P NMR), and he is Director of the Gulf Coast Consortium in Magnetic Resonance, an NMR facility shared by several regional universities and Dow Chemical. For nearly two decades he has served as editor of the journal published by the International Society of Magnetic Resonance and also edits on online NMR textbook. He is the author of over 245 publications including a 1984 article entitled “Phosphorous-31 NMR Principles and Applications,” and has extensive teaching and training experience in NMR spectroscopy. He has also conducted extensive research into the chemistry of phosphorous compounds over the past 40 years.


 

12

Anthony G.M. Barrett

Lilly sur-reply – infringement – Lupin process – (by leave but under reserve of objection – with respect to certain paragraphs)

June 15, 2008

E-15

See above.

See above.

13

Brian K. Hunter

Lilly reply – infringement Lilly patents – reply to McClelland report of January 18, 2008 and Cowley report of January 17, 2008 (Under reserve of objection: see TX-343 to TX-344)

March 20, 2008

E-17

See above.

See above.

14

Brian K. Hunter

Lilly supplemental reply – infringement – Apotex April 2008 testing at University of Toronto (Dr. Chase)

April 20, 2008

E-16

See above.

See above.


 

15

Tomasz A. Modro

Apotex infringement responding – P NMR spectra testing in South Africa

May 7, 2008

A-6

An expert in organic chemistry of phosphorous, sulfur and silicon, as well as in the area of physical organic chemistry, and an expert in carrying out experimental reactions involving the chemistry of phosphorous.

Dr. Tomasz Modro received his PhD in Organophosphorous Chemistry in 1962 from the Polish Academy of Sciences and his Habilitation from the University of Lodz in 1969. In 1974, he joined the Department of Chemistry of the University of Toronto, as Lecturer and later Assistant Professor. In 1979, he joined the Department of Chemistry at the University of Cape Town and in 1987 he joined the University of Pretoria as Professor of Chemistry and Director of the Centre for Heteroatom Chemistry, where he has been Professor Emeritus since 2002.
Dr. Modro specializes in the area of heteroatom chemistry involving the organic chemistry of phosphorous, sulfur and silicon, and the synthesis and use of novel organophosphorous compounds in chemical transformations. He has been recognized as an international leader in his field by the National Research Foundation (
South Africa) and is a member of both the Royal Society (South Africa) and the South African Academy of Sciences. He has published over 210 papers.


 

16

Preston Allen Chase

Apotex infringement responding - Testing at the University of Toronto

April 11 and 17, 2008

TX-1626 C, D, E, F, G, H.

An expert in organophosphorous chemistry, the chemistry of reactions involving organic compounds.

Dr. Chase is a Research Associate at the University of Toronto. He received PhD in April 2003 from the University of Calgary and is past NSERC fellowship holder. After obtaining his PhD, he undertook post-doctoral research at the University of Utrecht (Netherlands). From 2006 to 2008, he has been at the University of Windsor, where he focuses on chemistry related to his PhD work as well as phosphorous and nitrogen chemistry. He has extensive experience carrying out reactions involving organophosphorous compounds and has published a number of papers dealing with such compounds.

17

Robert A. McClelland

Apotex infringement responding – Lupin process

January 18, 2008

TX-1764

Expert in physical, organic, biological and medicinal chemistry including the synthesis properties and use of organophosphorus compounds in chemical reactions.

Dr. McClelland is Professor Emeritus at the University of Toronto. He obtained his PhD in chemistry from the University of Toronto in 1969 and has been a faculty member there since 1973. His research activities are in the areas of physical organic, biological and medicinal chemistry. He is a Fellow of the Royal Society (Canada) and has received awards from the Canadian Society for Chemistry for his work in organic chemistry.


 

18

Robert A. McClelland

Apotex infringement responding – Testing at the University of Toronto

May 6, 2008

TX-1765

See above.

See above.

19

Alan H. Cowley

Apotex infringement responding – ‘007 patent and addressee of ‘536 patent

January 17, 2008

A-9

Research chemist with expertise in the preparation, structures and patterns of reactivity of compounds of the non-metallic elements, phosphorous chemistry and the use and evaluation of 31P NMR spectroscopy.

Dr. Cowley is a Fellow of the Royal Society (UK) and occupies the Robert J. Welch Chair in Chemistry at the University of Texas at Austin. He was awarded a PhD in inorganic chemistry from the University of Manchester, UK, in 1958. He joined the faculty at the University of Texas (Austin) in 1962 and was made full professor in 1970. His major research interests have been the preparation, structure and patterns of reactivity of compounds of the non-metallic elements, with a focus on phosphorous chemistry.

20

Stephen Hanessian

Apotex infringement responding – General comments

January 22, 2008

A-10

Expert in organic, bio-organic and medicinal chemistry, including specifically the chemistry of synthetic penicillins and beta-lactam antibiotic compounds and the development of synthetic chemical processes.

Dr. Stephen Hanessian is the McConnell Professor of Chemistry at the University of Montreal, where he joined the Faculty in 1969, and has been since 2000 Adjunct Professor in Chemistry and Chemical Biology at the University of California, Irvine, where he directs a graduate program in pharmaceutical sciences and medicinal chemistry.
Dr. Hanessian’s research interests are in the total synthesis of natural products, including the synthesis of amonoglycoside antibiotics and synthetic penicillins, as well as medicinal chemistry, drug design and the development of new synthetic methods.  He has published over 465 papers in these fields. His contributions have been recognized by a Fellowship in the Royal Society (Canada) and membership in the Order of
Canada.

21

Stephen Hanessian

Apotex responding to E-15 – (by leave) -infringement – Lupin processes

July 2, 2008

A-20

See above.

See above.

22

Sue E. Wehner

Apotex infringement responding – Health Canada regulatory requirements

January 22, 2008

A-11

Expert in pharmaceutical regulatory affairs, including the preparation and filing of new drug submissions; the evaluation of drug master files; and the regulatory practices and procedures, guidelines, policies and requirements of Health Canada regarding pharmaceutical practice.

Ms. Wehner is the founder and President of Med-Script Associates, a consultancy specializing in regulatory affairs in Canada, the US, and Europe, as well as R&D in product development and clinical and bioequivalence studies. She has over 30 years experience in this area and has filed new and abbreviated drug submissions for many drugs.

 

Validity

 

 

 

 

 

23

Robert A. McClelland

Apotex in chief – validity

October 19, 2007

A-12

See above.

See above.


 

24

Tomasz A. Modro

Apotex in chief – validity of ‘007 patent

October 19, 2007

A-13

See above.

See above.

25

Tomasz A. Modro

Apotex in chief – validity – affidavit concerning testing (TX-1774 A to M, L and M being under reserve of objection)

June 2, 2008

A-14

See above.

See above.

26

Stephen Hanessian

Apotex in chief – validity – Shionogi patents

October 19, 2007

A-15

See above.

See above.

27

Stephen F. Martin

Apotex in chief – validity – Shionogi patents

October 19, 2007

A-17

Expert in synthetic organic chemistry, heterocyclic chemistry and bio-organic chemistry, including specifically the design and development of synthetic models and their application to the synthesis of heterocyclic compounds including lactams and the total synthesis of complex natural products.

Dr. Martin is the M. June and J. Virgil Waggoner regents Chair of Chemistry at the University of Texas at Austin, where he has been on faculty since 1974. He is also Adjunct Professor at the University of Texas School of Medicine. He obtained a PhD from Princeton University in 1972, where he specialized in heterocyclic chemistry. Over the course of his career Dr. Martin has been extensively engaged in the design and development of synthetic methods and their application to the synthesis of heterocyclic compounds and the total synthesis of natural products. He is the author of over 250 publications in the fields of synthetic organic chemistry and heterocyclic chemistry, some of which deal with lactams (not including β-lactam) and pre-date 1975.

28

Tristram Chivers

Apotex in chief – validity – Lilly ‘007 patent

October 19, 2007

A-18

Expert in inorganic synthetic chemistry, particularly the chemistry involving the elements sulfur and phosphorous, and in the use of 31P NMR spectroscopic techniques.

Dr. Chivers obtained his PhD in chemistry from the University of Durham (UK) in 1964 and has been a faculty member in the Department of Chemistry, University of Calgary, since 1969. His research has focused on inorganic chemistry, particularly as it involves the elements sulfur, selenium, tellurium, boron, and phosphorous. He is the author of over 300 journal articles. His work has been recognized through various awards and he was made a Fellow of the Royal Society (Canada) in 1991.

29

George Andrew Olah

Apotex in chief – invalidity of Lilly ‘536 and ‘007 patents

October 18, 2007

A-19

Expert in the area of organic and organosulfur chemistry as well as the area of physical organic chemistry including the synthesis of novel ionic organic compounds and their use in other chemical transformations, as well as hydrocarbon chemistry and synthetic reagents and methods.

Dr. Olah is Director of the Loker Hydrocarbon Research Institute and Distinguished Professor of Organic Chemistry at the University of Southern California, Los Angeles, where he has been a faculty member since 1977. He obtained his PhD in chemistry from the Technical University in Budapest (1949) and is a past head of the Department of Organic Chemistry at the Institute of the Hungarian Academy of Sciences, past Professor at the Western Reserve University (now Case Western). He was also a research scientist with Dow for 7 years.  His research activities are in the areas of organic and organosulfur chemistry and the synthesis of novel ionic organic compounds and their use in other chemical transformations, as well as hydrocarbon chemistry and synthetic reagents and methods. He has published over 1300 peer-reviewed articles and is a member of numerous learned societies. He was awarded a Nobel Prize in 1994 for his work on positively charged compounds of carbons.

30

Anthony G.M. Barrett

Lilly responding – validity – Shionogi patents

January 21, 2008

E-14

See above.

See above.

31

Brian K. Hunter

Lilly responding – validity of Lilly patents – reply to Drs. Modro, McClelland, Olah and Chivers

January 21, 2008

E-18

See above.

See above.

32

Jack Baldwin

Lilly responding – validity of Lilly patents

January 18, 2008

E-19

See above.

See above.


 

33

Kevin P. Murphy

Lilly responding – validity of Lilly and Shionogi patents – improper divisional allegation

January 21, 2008

E-20

Expert in Canadian patent prosecution, in particular chemical, pharmaceutical and materials science patents, and the analysis of contents of Canadian patents, patent applications, and file histories, in particular chemical, pharmaceutical and material science patents as well as in the practice, procedures, rules and requirements of the Canadian patent office, including the Manual of Patent Office Practice.

Mr. Murphy is a patent agent and senior partner with the firm Ogilvy Renault in Montreal. He became a registered Canadian and United States patent agent in 1972. Prior to that he was a patent agent in the UK, where he obtained a B.Sc. in chemistry (1968) from the University of Southampton. He has prosecuted thousands of Canadian patent application through the Canadian Patent Office and specializes in chemical, pharmaceutical, and materials sciences patents.

 

Competition

 

 

 

 

 

34

Aidan Michael Hollis

Apotex in chief – competition market

December 7, 2007

A-22

Expert in microeconomics, and the economics of competition law and policy, with particular expertise in the structure and economics of pharmaceutical markets and the Canadian pharmaceutical industry, drug pricing, prescribing practices (under objection), and the competitive effects associated with drug genericization.

Dr. Hollis is an Associate Professor of Economic at the University of Calgary. He obtained his PhD in Economics from the University of Toronto in 1996. He is a Research Fellow of the Institute for Advanced Policy Research and has been a Research Fellow of the Institute of Health Economics. Dr. Hollis has previously held the T.D MacDonald Chair in industrial economics at the Competition Bureau, from 2003 to 2004. His major research interest is the economics of pharmaceutical markets. He has also published articles on pharmaceutical market and has acted as referee for many journals. He has consulted in the pharmaceutical industry mainly with respect to issues in Canada.

35

Robert A. McClelland

Apotex in chief – Existence of other commercially viable processes to make cefaclor

December 14, 2007

A-23

See above.

See above.

36

Jeffrey Church

Apotex in chief – Effect of the transfer of Shionogi’s patent rights to Lilly

April 19, 2008

A-24

Expert in microeconomics, industrial organization, strategic competition, network economics, and entry deterrence, with particular expertise in the economics of competition law and policy, including the interaction of competition law and intellectual property rights, and has studied the economics of various markets.

Dr. Church is currently a Professor in the Department of Economics and the Institute for Advanced Policy Research at the University of Calgary. He obtained his PhD from University of California, Berkeley in 1989. Dr. Church has previously held the T.D MacDonald Chair in industrial economics at the Competition Bureau, from 1995 to 1996. He participated, as one of the three external drafters, to the drafting of the Intellectual Property Enforcement Guidelines. His research interests are focused on industrial organization, economics of regulation and competition policy. Since its incorporation in 1992, he is also president of Church Economic Consultants Ltd., a firm which provides economic consulting services.


 

37

Stephen Cole

Apotex in chief – Determination of recoverable damages

December 14, 2007

A-25

Expert in business valuation and forensic accountancy, with particular expertise in the computation and quantification of damages associated with the assertion of intellectual property rights under reserve of an objection given that he has no experience with regards to royalty rates, which equates to the fact that he has no experience with the assertion of intellectual property rights, and that while the expert is qualified as an accountant to estimate damages, as he does not provide an estimate in this report he is not qualified to give any opinions.

Dr. Cole is the principal of Cole Valuation Partners Limited, a Toronto-based firm practicing exclusively in the following fields: business valuation, financial damage quantification, investigative and forensic accounting as well as transfer pricing. He has a BA from the University of Toronto. He became a Chartered Accountant in 1975 and a Chartered Business Valuator in 1979. He is a Fellow of the Canadian Institute of Chartered Accountants since 1996 and a Fellow of the Canadian Institute of Chartered Business Valuators since 2000. He also co-authored two publications on damages calculations and accounting of profits calculations in Intellectual Property cases and acted as lecturer at professional organizations.

38

Marvin Gans

Apotex in chief – Prescribing practices of physicians

December 13, 2007

A-26

Physician and educator with extensive experience in the treatment of pediatric patients with infectious diseases, and clinical prescribing practices.

Dr. Gans is a professor of pediatrics at the University of Toronto and practices pediatrics in private practice. He obtained his medical degree from the University of Toronto in 1963 and was admitted to the Royal College of Physicians as a specialist in pediatrics in 1969. He has been an active staff and attending staff physician to the infectious disease unit (1969-1997), had a major part time appointment to the department of pediatrics (1997-2005) and was Director of Post-graduate medical education at the department of pediatrics (2005-2006) at the Hospital for Sick Children of Toronto. He was a consultant pediatrician from 1969-1997. He authored or co-authored six publications on subjects relating to: infant development, parents reactions to children’s illness, child advocacy and parenting.

39

Thomas Ross

Apotex in chief – Effect of the transfer of Shionogi’s patent rights to Lilly

December 14, 2007

A-27

Expert in microeconomics, industrial organization, the economics of competition law and policy, and the evaluation and assessment of the economic harm associated with various price-fixing activities.

Dr. Ross is the Associate Dean (Research) and UPS Foundation Professor of Regulation and Competition Policy at the Sauder School of Business of the University of British Columbia. He obtained his PhD in Economics from the University of Pennsylvania in 1981.  Dr. Ross has previously held the T.D MacDonald Chair in industrial economics at the Competition Bureau, from 1990 to 1991. He has published over 70 papers.

40

Aidan Michael Hollis

Apotex reply – Reply to affidavits of Dr. Cockburn of February 27, 2008, Dr. Low of February 28, 2008

March 28, 2008

A-30

See above.

See above.


 

41

Jeffrey Church

Apotex reply – Reply to affidavits of Dr. Cockburn of February 27, 2008

March 31, 2008

A-31

See above.

See above.

42

Donald E. Low

Lilly and Shionogi responding – Use of antibiotics

February 28, 2008

S-1

Expert medical doctor with particular expertise in relation to the use of antibiotics including cefaclor.

Dr. Low is Microbiologist-in-chief at Mount Sinai Hospital in Toronto. He is also Head of the Department of Laboratory Medicine and Pathobiology and teaches at the Department of Medical Genetics and Microbiology of the University of Toronto. He obtained his medical degree from the University of Manitoba in 1972. He is a fellow of the Royal College of Physicians and Surgeons of Canada and a fellow of the American Academy of Microbiology. He is the author or co-author of over 400 publications and contributed to over 700 presentations worldwide.

43

Iain Cockburn

Lilly and Shionogi responding – Impact of the 1995 Assignment between Lilly and Shionogi

February 27, 2008

E-22

Expert in economics, with a particular focus on the economics of pharmaceutical and health sciences; of intellectual property including licensing and partnering, and the competition issues related thereto as well as the economics of technological change.

Dr. Cockburn is Professor of Finance and Economics at the School of Management of the Boston University. He obtained his PhD in Economics from Harvard University in 1990. His research interests include economics of technical change, competitive strategy, industrial organization, pharmaceutical and health economics and applied econometrics. He has been a co-editor or referee for academic journals in economics and management. He acted as an expert in 25 cases before various courts in Canada in United States. He published over 25 articles and contributed to over 15 edited volumes.

 


CHART “B”

 


 

 

 

 

 

 


 

 

 

 

 

 


 

 


 



FEDERAL COURT

SOLICITORS OF RECORD

 

DOCKET:                                          T-1321-97

 

STYLE OF CAUSE:                          ELI LILLY AND COMPANY and ELI LILLY CANADA INC. v. APOTEX INC. AND BETWEEN: APOTEX INC. v. ELI LILLY AND COMPANY and ELI LILLY CANADA INC. and SHIONOGI & CO. LTD.

 

PLACE OF HEARING:                    Ottawa, Ontario

 

DATE OF HEARING:                      The trial started on April 21, 2008 and continued, with various interruptions, until November 13, 2008 with final representations being heard on December 9, 2008.

 

REASONS FOR JUDGMENT:       GAUTHIER J.

 

DATED:                                             October 1, 2009

 

APPEARANCES:

 

Mr. Anthony Creber

Mr. Patrick Smith

Mr. John Norman

Mr. William Vanveen

Ms. Isabel Raasch

FOR THE PLAINTIFFS

(DEFENDANTS BY COUNTERCLAIM)

Mr. Harry Radomski

Mr. David Scrimger

Mr. Miles Hastie

Mr. Sandon Shogilev

Mr. Ben Hackett

Ms. Belle Van

FOR THE DEFENDANT

(PLAINTIFF BY COUNTERCLAIM)

Mr. Steven Garland

Mr. Timothy Stevenson

Mr. Colin Ingram

Mr. A. David Morreau

FOR THE DEFENDANT BY COUNTERCLAIM

 

SOLICITORS OF RECORD:

 

Gowling Lafleur Henderson LLP

Barristers & Solicitors

FOR THE PLAINTIFFS

(DEFENDANTS BY COUNTERCLAIM)

Goodmans LLP

Barristers & Solicitors

FOR THE DEFENDANT

(PLAINTIFF BY COUNTERCLAIM)

Smart & Biggar

Barristers & Solicitors

FOR THE DEFENDANT BY COUNTERCLAIM

 



[1] See facts agreed to by the parties, LRTA # 21(a).

[2] Ibid., LRTA # 1 and 51.

[3] Ibid., LRTA # 9 and 50.

[4] The application was dismissed because the patents did not meet the criteria set out in the PM (NOC) regulations applicable at that time.

[5] Having considered all the evidence and the case law submitted, including all the prior art, the Court was guided by the comments of the Supreme Court of Canada in R. v. R.E.M., 2008 SCC 51, [2008] S.C.R. 3, particularly at para. 43.

[6] And then the 3-chloro-3-cephem compound in the case of the Lilly process patents.

[7] See Facts agreed to by the parties, LRTA # 81.

[8] Transcript of April 21, 2008 contains a typographical error at p. 179, line 2.

[9] That said, this issue is not relevant to the present findings.

[10] See Eli Lilly and Co. v. Apotex Inc. (2000), 8 C.P.R. (4th) 413, 99 A.C.W.S. (3d) 319 (Eli Lilly (2000)), aff’d, 2001 FCA 141, 12 C.P.R. (4th) 127 (Eli Lilly (2001)). Request made by Apotex after these decisions were issued should have been the subject of a motion to obtain an answer if there were valid reasons to argue that there was no res judicata.

[11] In this case there is no evidence that those responsible for such testing at Apotex were aware of the fact that Lupin allegedly changed its process in 1998 or at any other time.

[12] At this point, it must be said that the parties used different versions of the transcripts in their submissions. Also, the Court initially worked using the electronic version of the revised transcripts until it was found that as these were not in PDF format pagination was not reliable. In footnotes to these reasons I refer to the paper version of the revised transcript but there may still be some inaccuracies. See Cross-examination of Dr. Sherman, May 6, 2008, p. 157 line 2 to p. 158, line 1; cross-examination of Dr. Sherman, September 3, 2008, p. 90, line 24 to p. 91, line 17, p. 95, lines 3-12, and p. 96, line 5 to p. 97, line 16.

[13] It should be noted that this should not be described as complete files given that Singh indicated that he did not archive or keep his files intact.

[14] Chart A also includes under the heading Competition the eight expert reports filed in the counterclaim.

[15] In reply, Lilly also presented the evidence of Dr. Gorenstein but as will be discussed later on, this expert evidence was not considered by the Court.

[16] The paragraphs objected to in E-17 (see TX-343; TX-344) were not considered by the Court at all. Simply to avoid any further collateral debate on this issue, the Court found that this evidence was not necessary to make the findings relevant to the issues to be determined.

[17] A. Spaggiari, L.C. Blaszczak & F. Prati, “Low-Temperature Deacylation of N-Monosubstituated Amides” (2004) 6 Organic Letters 3885.

[18] This appears to be in direct contradiction with the description of the addressee of the ‘007 patent adopted by Apotex in their memorandum. But given that neither Apotex nor Lilly raised this issue in respect of both experts maybe because of their particular knowledge of phosphorus compounds, the Court gave some weight to their evidence.

[19] Although the Court is not persuaded that either expert qualified as posita in the 1970s, they certainly qualified shortly thereafter. Also, Dr. Barrett was working, as of 1976, under the supervision of a posita – Sir Derek Barton – and he studied cephalosporin chemistry earlier in the 1970s (see examination of Dr. Barrett, April 22, 2009, p. 15, lines 18-23 and p. 19, lines 1-19).

[20] Cross-examination of Dr. Olah, June 24, 2008, p. 92, line 18 to p. 93, line 1. Unlike Dr. McClelland and Dr. Chivers, Dr. Olah does not say in his report that a difference of more than one ppm means different kinetic complexes.

[21] Given the very special circumstances surrounding the filing of the two reports of Drs. Hanessian and Barrett (A-20 and E-15, respectively), the weight of the evidence of those two experts in respect of issues within their expertise, has not been diminished by the fact that they accepted to opine on matters on which it is not clear they had the necessary expertise (manufacturing practices).

[22] Here it appears that nobody at Apotex verified if any such changes were necessary despite the fact that Apotex knew that Lupin was bound to change its process by contract.

[23] Apotex did not explain how this would make any sense in respect of the Lilly patents, simply stating that Lilly and Lilly Canada “muffed up” when they made this amendment and must suffer the consequences.

[24] See Whirlpool at para. 45, and Free World Trust at para. 31(e).

[25] 4th ed. (Toronto: Carswell, 1969) at 219.

[26] See, among other things, Affidavit of Dr. Hanessian (A-10; A-15), para. 7; Affidavit of Dr. Martin (A-17), para. 12; Apotex’s memorandum on infringement, para. 172.

[27] See transcript of April 28, 2008, p. 231 line 23 to p. 232 line 4. Although Dr. Baldwin made these comments while discussing the Lilly process patents, they obviously apply more generally.

[28] For Dr. Olah, see A-19, para. 8 and for Dr. McClelland, see A-12, para. 7. See also Dr. Chivers (A-18) at para. 6.

[29] See Apotex memorandum on infringement at para. 120.

[30] In Generics (UK) Ltd. v. Daiichi Pharmaceutical Co. Ltd. & another, [2009] EWCA Civ 646 (Daiichi), at paras. 23-28, the Court of Appeal of England and Wales also felt the need to review the law as to the common general knowledge of the posita.

[31] No explanation was given for this, even if the Court had expressed its keen interest in hearing his version of the events that will be discussed when reviewing the evidence in respect of infringement of the Lupin material and voir dire.

[32] Who only had expertise in lactams, not β-lactams.

[33] In the case of claims 4 and 13, specifically the TPP.

[34] In the case of claim 4, Cl only.

[35] In the case of claim 17, specifically an aromatic or halogenated hydrocarbon solvent.

[36] Although Apotex focused its argument only on the 31P NMR shift given for this kinetically controlled product in methylene chloride (CH2Cl2), its position should in theory apply to all the other characteristics (except half-life) found in table 1 for the kinetically controlled product and included claim 6.

[37] See claim 1.

[38] This prior art is in evidence here, the proper citations (and exhibit numbers) being D.G. Coe, S.R. Landauer & H.N. Rydon, “The Organic Chemistry of Phosphorous. Part II.* The Action of Triphenyl Phosphite Dihalides on Alcohols: Two Further New Methods for the Preparation of Alkyl Halides.” (1954) J. Chem. Soc. 2281 (TX-1562, hereinafter “Coe”) and H.N. Rydon & B.L. Tonge, “The Organic Chemistry of Phosphorus. Part III.* The Nature of the Compounds of Triaryl Phosphites and the Halogens.” (1956) J. Chem. Soc. 3043 (TX-1564, hereinafter “Rydon”).

[39] The evidence does not establish that the person skilled in the art would understand the general formula with a ● or this reference to a cationic character to mean that the formula limits the nature of the chemical bonding between the triaryl phosphite and the halogens in any particular way or that it limits itself to a particular covalent form or ionic form or a particular equilibrium mixture, if any.

[40] See para. 10 of Affidavit of Dr. Baldwin (E-19).

[41] See the note at the bottom of Table 1, p. 8 of the ‘007 patent. In the patent and in some of the prior art, such as the articles by Ramirez (F. Ramirez, A.J. Bigler & C.P. Smith, "Pentaphenoxyphosphorane" (1968) 90 J. Am. Chem. Soc. 3507 (TX-1596)), Tseng (Chien K. Tseng, “Reinvestigation of Diahalotriphenoxyphosphoranes” (1979), 44 J. Org. Chem. 2793 (TX-1764C)) and Michalski (Jan Michalski, Marek Pakulski & Aleksandra Skowroński, “Reaction of Triphenyl Phosphite with Elemental Bromine and Chlorine” (1980) 45 J. Org. Chem. 3122 (TX-1764D)), the authors used an old convention and refer to -3.7 or -7 or -4.5 and +22. Since then, the convention has changed and in this judgment the figure of +3.7 and -22 ppm will be used throughout the evidence presented to the Court.

[42] Dr. McClelland testified that he was surprised that the 31P NMR shift was the same and felt this to be inconsistent (Examination of Dr. McClelland, May 27, 2008, p. 123, line 18 to p. 124, line 17), see also the affidavit of Dr. Chivers (A-18), para. 22).

[43] Once again Table 1, p. 8 of the patent refers to +22.7 ppm but, as noted above, this convention was changed and the new convention is adopted in these reasons.

[44] Because the unstable or transient nature of the claimed compound is already conveyed by the reference to the kinetically controlled product, which is defined as the fastest forming compound of the reaction, as well as the ● in the formulas included in various claims, there is no mention of the half-life in any of these claims.

[45] See William L. Hayhurst, Q.C., “The Art of Claiming and Reading a Claim” in Gordon F. Henderson et al., eds., Patent Laws of Canada (Scarborough: Carswell, 1994) 177 (Hayhurst).

[46] Having particularly reviewed and weighed the evidence singled out by Apotex in the footnotes of their memorandum and during their oral arguments, the Court notes, among other things, that not all of this evidence can be given weight or can even be considered for the purpose of construction. Certainly, explanations as to the subjective understanding of the inventor are not relevant. This is particularly so when the Court is not even satisfied that the quotes referred to (see exhibit A-16 – extracts of Blaszczak discovery) are properly used or understood.

[47] Although this is a somewhat surprising statement, see cross-examination of Dr. McClelland, May 12, 2008, p. 149, lines 14-18, this passage was specifically referred to in Lilly’s closing arguments and no request for amendment was made in that respect. It corroborates the statement in the disclosure that this is a term of the art.

[48] Cross-examination of Dr. McClelland, May 12, 2008, p. 158, lines 4-8.

[49] As did Apotex’s counsel in their cross-examination of Lilly’s experts. Dr. McClelland agreed that chemical shift values at +6 ppm indicates the presence of the kinetically controlled product claimed in claim 1. It is interesting that in his affidavit on validity (A-12), Dr. McClelland states at para. 38, “[t]he negative signal at -6.3 ppm is clearly due to the unstable “kinetic product” claimed as being a novel compound in the ‘007 patent. The peaks at +22 to +23 that grow in as this unstable compound reacts are clearly the thermodynamic product.” In that respect, he appears to have absolutely no difficulty understanding claim 1 and applying it to a kinetic complex, which is not characterized by a signal at +3.7 ppm.

[50] See p. 5, lines 1 and 2: “are used synonymously and likewise are to be distinguished from those triaryl phosphite dihalides of the prior art”.

[51] See also examination in-chief of Dr. McClelland, May 8, 2008, p. 174, line 25 to p. 176 line 18.

[52] See ‘007 patent p. 2, line 25 to p. 3, line 14; p. 4, lines 20-28; p. 7, lines 18-21; and, p. 9, lines 1-5.

[53] His affidavit, E-11, and all evidence relating thereto have not been considered.

[54] It is clear from the evidence of Dr. McClelland that in fact a small difference of about 5% in the amount of covalent versus ionic species in the equilibrium represented by the weighted average given by the 31P NMR would explain the distinction between a +3.7 ppm reading and a +7 or +8 ppm reading.

[55] Were it not for the (●) in the general formula and the reference to kinetically controlled products, these words, per se, could apply to the thermodynamic compounds or the so-called prior art triaryl phosphite dihalides.

[56] Although still included in the final version of the statement of defence, during the trial Apotex abandoned the argument it had initially raised in respect of the filing of improper divisional applications. It would certainly be good practice to amend pleadings before trial to ensure that they truly reflect each party’s position.

[57] It appears that all these inventors were part of Lilly’s β-lactam research group.

[58] Also referred to later in these reasons as “one pot”.

[59] This is the one pot (one reaction) process where the kinetic complex is used to sequentially modify the groups at positions 1, 3, and 7 of the cephalosporin system (see Affidavit of Dr. Baldwin (E-6), paras. 64-68).

[60] The parties did not present any arguments in respect of the construction of claims 18 and 34, particularly as to whether or not the specific characteristics described therein would be essential elements of those claims. The Court does not have to make a determination in that respect, given that the Court only needs to find that one of the claims is infringed for Lilly to succeed. For reasons that will be explained later on, the Court is satisfied that other claims were infringed, there is thus no need to discuss claims 18 and 34 any further.

[61] The expression “improved processes” is used here in the sense of s. 2 of the Patent Act where “invention” is defined. It is not referring to an “improvement” of a patented process dealt with at s. 32 of the Act.

[62] It appears, however, that Dr. Hanessian failed to realize this even after having examined the patents (cross-examination of Dr. Hanessian, May 15, 2008, p. 76 line 25 to p. 84 line 13).

[63] Also Apotex did not raise any issue with respect to the sufficiency of the disclosure.

[64] It should be noted that this is likely a rough translation of the Japanese application.

[65] Other parts of this common disclosure in effect concern only one of the patents: p. 8, lines 5-15 (‘026); p. 9, line 21 (‘026); p. 10, lines 19-20 (‘026); p. 14, lines 25-29 (‘026); p. 15, lines 15-17 (‘547); p. 15, lines 17-19 (‘924); p. 15, line 23 to p. 18, line 6 (‘132); p. 18, line 7 to p. 23, line 11 (‘026); p. 23, line 21 to p. 35, line 12 (‘547); p. 35, line 13 to p. 47, line 7 (‘132); p. 51, line 1 to p. 66, line 26 (‘026); p. 67 (‘026); and, p. 69, line 24 to p. 76 (‘547).

[66] Both the process and compound by process claims include several variants.

[67] Certificate of correction was issued to add the dotted line representing the thiazoline.

[68] Figures A and B represent the same compound, which are in equilibrium between the enol and keto forms.

[69] Again, C and D represent the same compound or an equilibrium mixture of the two.

[70] This was confirmed by Dr. Barrett on cross-examination, June 19, 2008, p. 61, lines 9-22.

[71] Ibid., p. 61, line 9 to p. 62, line 10.

[72] It is clear that the acids used to cyclicize include the Lewis acids which will remove R substituents other than H described in the disclosure before proceeding to cyclicize the compounds.

[73] Inasmuch as para. 1 does not expressly refer to the opening of the thiazoline ring when present by the aqueous acid used to treat the enamine, there was no need to refer to the removal of any remaining thiol substituent other than H prior to cyclization through the use of appropriate acid. In my view, both would be understood by the posita, especially given the explicit reference to same in the disclosure.

[74] See correspondence from counsel for Lilly dated November 18, 2008 and its reply from counsel for Apotex dated November 25, 2008; argument in chief of counsel for Apotex, October 31, 2008, p. 161, line 2-19; p. 179, line 22 to p. 180, line 3; argument in reply of counsel for Apotex, November 4, 2008, p. 69, line 5 to p. 70, line 5.

[75] According to s. 78.2 of the Patent Act, it appears that the version of its s. 55.1 amended by s. 193 of the North American Free Trade Agreement Implementation Act, S.C. 1993, c. 44 is applicable to patents issued before 1989.

[76] See Facts agreed to by the parties, LRTA # 44(e).

[77] See para. 239 of Apotex's memorandum on infringement; the Court does not agree that SmithKline Beecham Pharma Inc. v. Apotex Inc. (2001), 267 N.R. 101, 10 C.P.R. (4th) 338 (F.C.A.), at para. 33 or Pfizer Canada Inc. v. Apotex Inc., 2003 FC 1428, 245 F.T.R. 243, at para. 15, stand for this proposition.

[78] See Lilly memorandum, para. 102.

[79] Request to admit LRTA # 115, Trial Record, Tab 24, p. 34.

[80] See TX-1671 and TX-1654.

[81] The Court disregarded the evidence based on the Ladas & Parry letter (June 12, 1996) which was not entered in evidence. Thus, I have decided not to make any conclusions with respect to claim 6 which deals with specific halogen scavengers having a six-ring carbon atoms such as cyclohexene.

[82] An experiment by Dr. Modro also confirms that the thermodynamic product could not perform these reactions.

[83] See also Dr. Miller’s report (E-3).

[84] Lilly’s motion included a request for the production of a better and further affidavit including documentation regarding the processes by which Apotex’s cefaclor was manufactured but it appears that this request was abandoned upon Apotex’s undertaking to look for whatever additional documentation within its power, possession and control fell in certain categories described in the Order.

[85] At one such session, Ivor Hughes was present.

[86] In fact, Lupin’s counsel was present at the hearing on July 5, 2000.

[87] It appears that Lupin did not keep its manufacturing data for more than two years after the production of the material.

[88] Some papers were recovered and an attempt was made to reconstruct part of those files.

[89] Despite the Court urging that they file evidence to explain the non-filing of the letter, Apotex’s counsel only provided a verbal explanation – a secretary in the counsel office filed the letter thinking that it had been seen by the lawyers concerned. Unfortunately, Mr. Sarkis, from Ivor Hughes office, was deleted from Apotex’s list of witnesses.

[90] Although it is clear that the manufacturing plant documentation was destroyed, it has not been established to my satisfaction that there was no relevant documents in the files of the R&D department.

[91] For this reason, the Court did not consider the portions of E-15 dealing with the viability of Process “E” (objection 61A granted)

[92] Two reagents for two-pot process instead of three reagents and a three-pot process.

[93] Given that it started from Pen V.

[94] Given the exculpatory nature of the schematic outline attached to the July 4, 2000 letter, Lilly proposed an explanation that the Court cannot accept for it is purely speculative.

[95] Request to admit LRTA # 84, Trial Record, Tab 24, p. 33.

[96] Cross-examination of Dr. Hanessian, May 15, 2008, p. 163, line 1 to p. 164, line 8.

[97] In addition to the presumption of good faith, Kyong Bo was legally obliged to disclose the process it used to produce the cefaclor sold in Canada and had to update its file in that respect whenever changes were to be made.

[98] Lilly objected to this evidence on the basis that it constitutes double hearsay and, although Ms. Fouillade is deceased, there is no evidence that a person with personal knowledge from Kyong Bo, such as Seung-Ho An, could not testify.

[99] Although it would not be sufficient in law to prove that Apotex believed that Kyong Bo had a licence, the Court is not satisfied that Apotex has even established that much.

[100] See Facts agreed to by the parties, ARTA # 295. All the parties confirmed that these agreed facts applied to both the main action and the counterclaim.

[101] More than 30 pages were devoted to this argument in Apotex’s memorandum and it was the one argument on which Apotex’s counsel spent the most time in its oral argument.

[102] It also applies to the Lilly patents but as discussed in respect of those patents, Apotex also vigorously contested that its supplier used the patented processes abroad.

[103] The first English case where a Court found that a defendant had infringed an English patent covering a process for making an intermediate compound (ortho-toluene-sulpho-chloride) when it imported and sold in England a final product (saccharin) manufactured abroad.  See also Beecham Group Ltd. v. Bristol Laboratories Ltd., [1978] RPC 153, [1977] F.S.R. 215 at p. 184, where Lord Justice Patrick Russell, on behalf of the English Court of Appeal, said “[i]n our judgment, this extension of the principles laid down in Elmslie v. Boursier and Von Heyden v. Neustadt was sound and correct. (We should however mention in passing that the reference to ortho-toluene-sulpho-chloride being “contained in” saccharin at p. 319, line 3, is a loose phrase, in that, after the further chemical reaction, it did not have a separate existence in terms of its chemical structure, as Buckley, J. plainly appreciated.)”

[104] To this effect, Apotex cites Brown v. Duchesme, 60 U.S. 183, 15 L. Ed. 595 (1856); Dowagiac Mfg. Co. v. Minnesota Moline Plow Co., 235 U.S. 641, 35 S. Ct. 221 (1915); Deepsouth Packing Co. v. Laitram Corp., 406 U.S. 518, 92 S. Ct. 1700 (1972); and, Microsoft Corp. v. AT&T Corp., 550 U.S. 437, 127 S. Ct. 1746 (2007).

[105] 5 October 1973, subs. 64(2).

[106] Process Patent Amendment Act, 35 U.S.C. § 271(g).

[107] See footnote 11 of Apotex’s memorandum on infringement.

[108] See para. 104 and following of Apotex’s memorandum on infringement. The Court notes that Apotex did try to intervene in the appeal of Justice Snider’s decision, however, their motion was dismissed and the appeal was ultimately abandoned.

[109] Apotex suggests that this has in fact never occurred and that there is a need for a thorough analysis.

[110] In this decision, it is interesting to note that Lord Atkinson, while concurring with the majority, wrote separate reasons with respect to whether to construe the exclusive right or privilege of the patentee in a process patent, as to include the exclusive right to sell articles made by others situated elsewhere. This entails that the arguments now proposed by Apotex were considered by the Lordships before they rendered their majority decision confirming the Court of Appeal.

[111] The example referred to at trial was the use of a hammer made according to a patented process for the assembly of a railway car could be found to be infringing. In Pfizer, Justice Snider referred to the use of patented scissors to cut the cloth of an Italian suit imported into Canada.

[112] The grant and prohibition is summarized by Lord Diplock as follows: “The grant is of “full power, sole privilege and authority” to “make, use, exercise and vend the said invention within our United Kingdom…” and to “have and enjoy the whole profit and advantage from time to time accruing by reason of the said invention.” The corresponding prohibition is the observation of the grant. It is expressed to be imposed “that the patentee may have and enjoy the sole use and exercise and the full benefit of the invention…”; and commands all Her Majesty’s subjects in the United Kingdom “that they do not at any time … either directly or indirectly make use of or put in practice the said invention nor in anywise imitate the same.”” (p.198).

[113] This was very clearly interpreted by Justice Noël in American Cyanamid Co. c. Charles E. Frosst & Co., [1965] 2 Ex.C.R. 355, 47 C.P.R. 215 (American Cyanamid Co.), at para. 40, as meaning that the sale of a product made in accordance with a patented process would infringe a process patent even though the patent contained no claim to the product.

[114] It should be noted that among all the judges confronted with these issues, President Jackett appears to have been the most sympathetic to arguments similar to those raised by Apotex in respect of territoriality and the limited monopoly granted by a process claim.

[115] This was the only product covered by a Canadian patent. But, by the time it was imported into Canada, it had been transformed into tetracycline.

[116] See paras. 55-57.

[117] Annex 1C of the Marrakesh Agreement Establishing the World Trade Organization, 15 April 1994.

[118] Given that Kyong Bo infringed at least one claim in each of the Shionogi patents, the Court will simply use the expression “Shionogi process” to refer to all these infringed claims in each of the patents.

[119] Here again the Court will use the expression “the Lilly process” given that the Lupin process infringes all of the Lilly process patents including particularly the ‘536 patent (triple combination). It is important to note here that although the Court is satisfied that claim 17 of the ‘007 patent was infringed, this finding is not very relevant here given that the infringement of the process patents per se is sufficient. In fact, infringement of the ‘536 patent would be sufficient to support the Court’s reasoning here.

[120] Both the Kyong Bo and Lupin processes have been described by the experts in a variety of depictions, more or less grouping various chemical reactions. For example, see, for the Kyong Bo process, TX-129, the closed portion of Kyong Bo’s DMF, versus the one in the Kyong Bo process chart (W-18).

[121] To make the cefaclor shipped to Apotex as of June, 1998.

[122] Using either the prices of $840 and $1250 per kg or the disputed invoice prices of $1070 versus $1500 per kg (see TX-1671; TX-1759; TX-1050; TX-1062; TX-1082; TX-1105; TX-1123; TX-1126; TX-1131; TX-1134; TX-1137; TX-1144; TX-1151; TX-1156; TX-1161; TX-1166; TX-1171; TX-1180; TX-1193).

[123] Such as samples to pharmacists or doctors.

[124] The Court is not satisfied that the details of the quantities were sufficiently explored during the trial for it to make a final determination in this respect.

[125] See also Monsanto Canada Inc., where the Supreme Court of Canada held: “Monsanto’s patent has already been issued, and the onus is thus on Schmeiser to show that the Commissioner erred in allowing the patent: Apotex Inc. v. Wellcome Foundation Ltd., [2002] 4 S.C.R. 153, 2002 SCC 77, at paras. 42-44. He has failed to discharge that onus. We therefore conclude that the patent is valid.” (para. 24)

[126] It is worth mentioning that none of the parties in Wellcome (2002) presented any arguments on this issue. On the other hand, the standard of review applicable to an appeal under s. 42 was the subject of debate in Harvard College (2002). It was an issue on which the majority of the Federal Court of Appeal and the dissenting Chief Justice Julius Isaac disagreed. (Harvard College v. Canada (Commissioner of Patents) [2000] 4 F.C. 528, 223 F.T.R. 320, (Harvard College (2000)) see paras. 43-63; paras. 179-186). The decision of the Supreme Court of Canada in that case was issued on the same day as its decision in Wellcome (2002). This could explain the Court’s comments in the latter case.

[127] More recently, in Sanofi-Aventis Canada Inc. v. Apotex Inc., 2009 FC 676, at paras. 75-76, Justice Snider noted that the burden on defendants such as Apotex in infringement cases “is not one that can easily be defined by judicial review standards” and that “[f]or the most part, the decision of the Commissioner is simply not relevant to the determination before [her].”

 

[128] In respect of Dr. McClelland’s views that there exists a disconnect between the various patents, as mentioned, there is no need to discuss it in any detail. I note, however, that the Court is satisfied that the target compounds of the ‘547 patent can be used as starting compounds for the ‘924 patent, which is not disputed.  The Court is also satisfied that the target compounds of claims 31 and 37 (claims 4 and 12 cover the first step) of the ‘924 patent can be used as starting compounds for the process in the ‘132 patent. The compounds of claim 58 (made using the process of claim 38) of the ‘132 patent can be used as starting compounds to carry out the reactions covered in the ‘026 patent, which, as mentioned, lead to 3-hydroxy-3-cephem.

[129] See Canada (Commissioner of Patents) v. Farbwerke Hoechst Aktien-Gesellschaft Vormals Meister Lucius & Bruning, [1964] S.C.R. 49 (Farbwerke) where indeed the Commissioner’s decision refusing the filing of divisional applications was the subject of the appeal.

[130] Although Shionogi could have chosen to claim all of the steps in a single application and restrict itself to one patent only, it is evident that it would not have been able to claim the compounds produced by processes that it claims in its divisional applications or to include dependent claims covering each of the steps. It would have been left with a limited monopoly that could easily be designed around. As always, this is the difficult choice that all applicants face when filing amendments required by the Manual of Patent Office Practice (MOPOD) (see Ch. 10 of its 1979 version, discussed in Mr. Murphy’s affidavit (E-20), at paras. 11-22).

[131] See correspondence from counsel for Lilly dated November 18, 2008 and its reply from counsel for Apotex dated November 25, 2008.

[132] As noted, there was no specific statutory provision dealing with obviousness in the old act and Courts used the definition of “invention” to add inventiveness as a requirement to qualify as an invention.

[133] Albeit in a different context, see Laboratoires Servier v. Apotex Inc., 2009 FCA 222, [2009] F.C.J. No. 821 (QL) (Servier (2009)) at para. 69.

[134] In my view, Consolboard (1981) teaches that patents resulting from the forced filing of divisional applications cannot be challenged on the basis of double patenting. This may explain why Apotex abandoned its allegations of double patenting.

[135] No case law was cited to support the principle that two inventions are identical simply because they derive their inventiveness from the same idea.

[136] Riello Canada, Inc. v Lambert (1986), 3 F.T.R. 23, 8 C.I.P.R. 286; Scott Paper Co. v. Minnesota Mining and Manufacturing Co. (1981), 53 C.P.R. (2d) 26, [1981] F.C.J. No. 5 (QL) (T.D.); and, Pfizer Canada Inc. v. Apotex Inc., 2005 FC 1421, 282 F.T.R. 8.

[137] For example, Rule 60(1) of the Patent Regulations (as in force at the time) provided that a patent that does not contain a claim broader in scope than any other claim in the application was deemed to be directed at more than one invention.

[138] Opening statement on validity of counsel for Apotex, June 2, 2008, p. 32 lines 18-22; p. 33 lines 14-23 (Lilly patents); p. 41 lines 14-16 (Shionogi patents).

[139] In Merrell Dow Pharmaceuticals Inc., even though there was only one invention, it is evident that the Court was prepared to invalidate the product claims but not the process claims. The Court even granted a certain delay to the applicant to amend its process claims to take into account what it had decided in respect of the product claims. See also the comments in Servier (2009) at para. 63.

[140] Claim 1 includes all triaryl phosphites mixed with Br or Cl while the prior art document on which Apotex relies only deals with triphenyl phosphite and Cl.

[141] Examination-in-chief of Dr. Baldwin, June 25, 2008, p. 28, line 19 to p. 29, line 1.

[142] As in Abbott (2006), stabilization or maintenance of the compound in solution is not an essential element of any of the claims of the ‘007 patent.

[143] Again, this appears to be based on the notion that the inquiry in respect of anticipation is directed to the patented invention or inventive concept as opposed to what is covered by the claims at issue.

[144] See also Pfizer Canada Inc. v. Apotex Inc., 2008 FCA 8, 72 C.P.R. (4th) 141 at para. 29.

[145] This oft-cited publication was expressly referred to by Justice Ian Binnie in Free World Trust to define common general knowledge at para. 44.

[146] For his review of the law of enablement in Webber v. Vestas-Celtic Wind Technology Ltd., [2007] EWHC 2636 (Pat.) and for having been affirmed by the Court of Appeal of England and Wales, particularly with regard to the “obvious to try” test in Generics (U.K.) Ltd. and others v. H. Lundbeck Als, [2008] EWCA Civ. 311, 101 BMLR 52.

[147] See also the Court of Appeal of England and Wales’ comments in Daiichi (at paras. 26-28).

[148] In the pre-October 1, 1989 Act, the key date for obviousness was the date of the invention, which in the absence of evidence establishing an earlier date was presumed to be the priority filing date, if any, or the filing date.

[149] Peter G. Sammes, “Recent Chemistry of the β-Lactam Antibiotics” (1976) 76 Chemical Reviews 113 (TX-194).

[150] Obviously, that does not mean that anything not found in Sammes would necessarily be excluded from the common general knowledge or from the state of the art.

[151] However, an addendum was added. It is clear that the article now refers to publications in 1974, with some even dated 1975, presumably published before the revised manuscript was received on January 28, 1975.

[152] This included Edwin H. Flynn, ed., Cephalosporins and Penicillins; Chemistry and Biology, (New York: Academic Press, 1972), although some chapters were attached to Dr. Barrett’s report (E-14) (see also TX-196).

[153] Again, the filing date (including that of the priority application, if any) is just a presumed date of the invention in the absence of evidence to the contrary.

[154] One must remember that a claim can be anticipated but not obvious. See for example SmithKline Beecham Pharma Inc. v. Apotex Inc., 2001 FC 770, [2001] 4 F.C. 518, aff’d 2002 FCA 216, [2003] 1 F.C. 118 (C.A.) particularly at para. 22 of the FCA.

[155] Lilly noted that it was not clear that experimentation was allowed in this context. The Court need not address this issue here given the findings made on the overall issue.

[156] As the posita does not have to have any particular knowledge of β-lactam or cephalosporin chemistry, the Court does not accept that such person would know which solvents are suitable for chemistry on cephalosporin substrates (see also cross-examination of Dr. Olah, June 24, 2008, p. 205 line 1 - p. 206 line 17).

[157] Shire, at para. 24: “[t]he patent begins by acknowledging that certain things are already known and constitute, in patent language, prior art. Such an acknowledgement by the patentee is considered a binding admission as to prior art […].”

[158] The Court will include here all information that could be relevant not only to the ‘007 patent but to the Lilly process patents in order to review these publications only once.

[159] Dr. Olah noted however that this was speculative and was never established. Cross-examination of Dr. Olah, June 24, 2008, p. 142, lines 9-15.

[160] For example, “the covalent triphenoxy dihalide may be expected to be in equilibrium with all or any of the six possible ionic forms.” (Rydon, p. 3045)

[161] None of the experts who tested the reaction of TPP and Cl succeeded in crystallizing pure specimens of the kinetic complex. The ‘007 patent indicates that the kinetic complex could not be isolated.

[162] The method used by the authors to mix Cl and TPP in all their experiments was to slowly pass Cl gas through TPP (bubbling through).

[163] One experiment was performed in situ, diluting TPP in alcohol.

[164] According to Dr. Modro, this teaching is contrary to what is taught in the ‘007 patent.

[165] See Dr. Hunter report (E-18) at para. 33 where he says that this is how he understood Ramirez. The Court did consider his cross-examination on June 23, pp. 198-200 on this point. See also the cross-examination of Dr. Chivers, June 11, 2008, p. 97 to p. 98, line 4.

[166] Apotex did not point to any experiment in Richard Anschütz & William O. Emery, “Ueber die Einwirkung von Phosphortichlorid auf Salicylsäure und auf Phenol” (1889) 253 Annalen der Chemie 105, which is cited (in German only) where Cl and TPP are mixed in a hexane solution. The Court infers from this that there was no such experiment.

[167] Following the new convention.

[168] A form of triphenylphosphite dichloride, cross-examination of Dr. Hunter, June 23, 2008, at p. 203, lines 11-15. Cross-examination of Dr. Chivers, June 11, 2008, p. 96, line 17 to p. 97, line 1.

[169] The order of addition is not relevant to claim 17, although for the purpose of enablement, one can gather from the disclosure that the preferred method is to add TPP to Cl.

[170] The Court notes that Dr. Chivers’ original report was amended to address Lilly’s objection about duplicate evidence. In particular, paras. 49 and 50, which were to the same effect as those Dr. Modro referred to above were deleted. Dr. Chivers had apparently reached that conclusion with full knowledge of Tseng and Michalski’s work.

[171] As mentioned, the Court did not accept Apotex’s proposed construction that all claims were limited to a complex exhibiting a +3.7 ppm shift. However, the Court did not understand that this argument applied only if the ppm shift of the kinetic complex was an essential element of the claim properly construed.

[172] Again, this shows that this expert did not carry out research in that respect and simply acted on the basis of documents provided to him (listed at para. 3(d) of his affidavit). There is no explanation for why Apotex did not give him that publication which was obviously available to Dr. Olah.

[173] Again, these were not among the publications provided to him by Apotex’s counsel.

[174] There is no indication that Dr. Olah was told not to use such knowledge.

[175] A-21, tab 33, p. 124 and tab 35, p. 147.

[176] Dr. Chivers was careful to describe the work in Michalski as simply being “similar” to the Rydon process.

[177] See other publications which also bear Dr. Michalski’s name, listed in footnotes 3a) and b) of TX-1764D. It is also somewhat surprising that Dr. Modro did not refer to Dr. Michalski’s work considering that they worked closely and published together earlier in the former’s career.

[178] The authors confirmed Rydon’s views with respect to equilibria (ionic versus covalent forms) of species involved in the reaction.

[179] See Lilly Process Research and Development Division Progress Report (TX-211), p. 7; and L.D. Hatfield et al. “Application of Phosphorus-Halogen Compounds in Cleavage of the 7-Amide Group of Cephalosporins” in G.I. Gregory, ed., Recent advances in the chemistry of β-Lactam Antibiotics (London: The Royal Society of Chemistry, 1980) 109 at 118 (TX-221, also reproduced in a different form in TX-220).

[180] In 1976, a general request for help and suggestions of possible reagents to try was sent by Dr. Hatfield’s team (see A-21, tab 21, p. 97).

[181] As mentioned, these findings are relevant to the next inquiry in respect of the Lilly process patents.

[182] “Reduction of 3 Cephalosporin Sulfoxides”, (3 October 1968) (TX-1584). A patent discussed in the disclosure of the ‘536 patent, expressly relied upon by Apotex’s experts and which, according to the defendant, forms part of the common general knowledge.

[183] The only two other phosphites mentioned in this review are TPP (used alone), which was found to reduce the dimethyl sulfoxides at elevated temperatures and chlorophospholane.

[184] Although Drabowicz is cited in “Cephalosporin Reduction Process”, U.S. Patent No. 4223133 (1 February 1979) (TX-1783A), it is not clear if this was art which was cited by the examiner or the inventor as there is no reference to this publication in the disclosure of this patent per se.

[185] One crystal.

[186] This was established by E.H. Amonodo-Neizer, et al. in an article published in 1965 (J. Chem. Soc.) 4296, where the reduction was done at an elevated temperature. Dr. Baldwin testified that a posita would be quite weary of heating cephalosporin sulfoxide.

[187] TX-1783A.

[188] (1976) Tetrahedron Lett. 971.

[189] Cross-examination of Dr. Baldwin, June 25, 2009, p. 218, line 16; p. 219, line 7.

[190] Rather than going through each claim individually, the Court describes the general inventive concept of the claims in the process patents. It is well understood that the exercise should normally be carried out for each claim at issue but the Court is satisfied having done the exercise that the results here would be the same.

[191] Dr. Modro’s experiments confirmed that the thermodynamic compound or final product of this reaction cannot perform the three steps covered in the ‘536 patent. The disclosure of the patents also makes it clear that the thermodynamic cannot perform the other reactions set out in the ‘725 and the ‘468 patents.

[192] Coe and Rydon only discuss halogenation of simple alcohols.

[193] Although this comment appears to apply to general organic chemistry (Dr. McClelland has no experience in β-lactam chemistry), it is still relevant.

[194] Dr. Modro’s own experiment confirmed that the thermodynamic cannot be used instead of the kinetic complex in the cephalosporin chemistry described in the process patents.

[195] These scientists were very experienced in the chemistry of cephalosporins. (A-21, tab 6, p. 149, lines 1 and 2.)

[196] See A-21, tab 32.

[197] See A-21, tab 21, p. 97 and A-16, tab 4.

[198] See A-21, tab 19, p. 91.

[199] See A-21, tab 80; TX-211, TX-220 and TX-221.

[200] Cross-examination of Dr. Baldwin, April 28, 2008, p. 219, lines 12-15.

[201] This is only relevant to the choice of base employed in the claimed reaction. As this is not controversial, it will not be discussed further.

[202] As per their final written submissions.

[203] See affidavit of Dr. Barrett (E-14), paras. 42-51 and 116.

[204] See examination-in-chief of Dr. Barrett, April 22, 2008, p. 42, line 19 to p. 43, line 24; cross-examination of Dr. Barrett, June 18, 2008, p. 71, lines 18-20; cross-examination of Dr. Barrett, June 17, 2008, p. 50, lines 3-12; affidavit of Dr. Barrett (E-14), paras. 27, 29 and 40.

[205] Dr. Morin, like Dr. Cooper, was a research chemist at Lilly.

[206] See patent, TX-147.

[207] Common disclosure p. 2.

[208] Allylic bromination is a specific type of allylic halogenation.

[209] Ozone is a electrophilic agent.

[210] Dr. Barrett indicated that this compound was not suitable for the type of chemistry described in the Shionogi process. It could only be used to make a compound that did not require a side chain.

[211] See cross-examination of Dr. Barrett, June 18, 2008, p. 54, lines 8-13.

[212] See Sammes, p. 143.

[213] It is generally agreed that retrosynthesis means moving backward from the desired molecule by sequentially breaking key bonds and/or changing functionality in a stepwise process that ultimately leads to the desired precursor molecule.

[214] Apotex objected to this evidence on the basis that it constituted hearsay. The Court rejects this for it is exactly what expert evidence, in this context, seeks to provide. In any event, if Dr. Barrett’s views were not considered, the Court would be left with a void as there would be insufficient evidence for me to conclude that retrosynthesis was commonly used by the posita in this context. Dr. McClelland’s views were given no weight in that respect.

[215] Apotex did not provide a translation of this document or of the two other German publications its experts relied upon. Obviously, this is contrary to the rules of the Court and to an express direction given at one of the trial management conferences. The weight of the experts’ opinion based on those documents is diminished by the fact that the Court could not properly review the documents. The English documents used by Dr. Barrett are not the same as the German ones.

[216] From the evidence presented, it appears that there could be a delay of 5 months, if not more, between the publication of an application for a patent and its reporting in Chemical Abstracts, depending on the amount of material to be abstracted in the given period.

[217] Dr. Chauvette reacted a 3-hydroxy cephem (the target compound of the overall synthetic process) with a sulfonyl Cl and then used a fluoride salt to effect a substitution to form a 3 fluoro cephem.

[218] See TX-1610 and TX-1611 which were filed under reserve of an objection. These documents are both inadmissible.

[219] The content of footnote 22 in TX-1609 is hearsay. Its content is contrary to the practice described by Dr. Martin and his own belief as to whether Dr. Kishi reads his lectures. The Court is not persuaded that this paper was read in its entirety at any of these conferences.

[220] See Servier (2009) (at para. 58) which confirms that the Court can refer to the disclosure to determine the inventive concept when same is not readily discernable from the claims.

[221] The usefulness or utility of the new compounds referred to in all the Shionogi patents, including compounds A, B, C, and D of the ‘026 patent is not contested, except for certain substituents that will be discussed in a distinct section.

[222] If one had to consider the Chauvette application, for reasons given when discussing Dr. Hanessian’s evidence, the Court prefers Dr. Barrett’s evidence that the 3-hydroxy cephem would not be considered by the posita as a compound that would give relevant information about the reactivity of the Shionogi starting compounds (open ring structure).

[223] It is not disputed that said disclosure gives sufficient detail to enable the posita to use each claimed step in the context of this overall pathway. See also footnote 128.

[224] During his cross-examination, he simply acknowledged that if one of his graduate students came up with such a scheme he would deserve a raise (June 19, 2008, p. 152). In fact, his answer at p. 129, lines 5-12 (June 19, 2008) that “if someone skilled in the art were given the final compound and the starting material and was said devise a synthetic method, it’s not unreasonable or unlikely that amongst many approaches that this [the Shionogi process] could perhaps be one of the approaches that a person could come up with”, appears to seriously weaken, if not directly contradict, Apotex’s position.

[225] Interestingly even if it presumably relates to his field of expertise, Dr. McClelland admitted that he was not aware of any of the Lilly patents (or the kinetic complex) before getting involved in a litigation for Apotex sometime in 1996/1997.

[226] Cross-examination of Dr. Hanessian, June 19, 2008, p. 145, line 21 to p. 146, line 5; The Court notes that there is no evidence as to the obviousness or expectation of success of all these reasonable approaches which presumably all involved known chemical reactions. What if, following Dr. Hanessian’s reasoning, they were thus all trivial variations but only one did work?

[227] This is evident from the fact, among other things, that Dr. Kukolja continued to search for a solution even after Shionogi had developed its process at Lilly’s request and expense.

[228] As was Dr. Blaszczak.

[229] See footnote 128.

[230] See Canada (Commissioner of Patents) v. Ciba Ltd., [1959] S.C.R. 378 where the reasoning applied to product claims was applied to process claims. In the same manner, a compound that was not made, although it was disclosed as part of a class, can be subsequently claimed if the patent discloses in its regard a certain advantage over the other members of the class. Such advantage need not be claimed in order for it to support the inventiveness of what is actually claimed (Sanofi, para. 31).

[231] That very same principle was applied in a modified way in Shell Oil (at pp. 550-552 of the S.C.R.). In that case, the only reason for which the use had to be included in the claim was that the compound per se was not novel; had its use not been claimed, it would have been anticipated.

[232] In contrast, see for example the answer given by Dr. Barrett in his cross-examination on June 18, 2008, p. 28, line 9 to p. 29, line 4.

[233] Cross-examination, June 5, 2008, p. 244, line 4 to p. 245, line 6.

[234] I truly believe that the use of hot tubbing would have been particularly useful here.

[235] The Court accepts here the views of Dr. Barrett.

[236] As opposed to the isomerized compound described in Cooper 2.

[237] Dr. McClelland’s argument also appears to apply to the Lilly process patents but, as mentioned earlier, little weight, if any, was given to this portion of his evidence. The Court also agrees with Lilly that this argument was not properly pleaded in the defence in respect of the Lilly process patents. See para. 61 of his affidavit (A-12), when he refers to the quantities of reactants or the reaction conditions under which they are combined. In this context, it is evident that what Dr. McClelland is referring to is the nature of the reactant not what he refers to in para. 61. However, his para. 62 which deals with sound prediction i.e. for the compounds which are not the subject of examples in the patent the wording of 62 is wide enough to encompass this argument.

[238] With respect to Dr. Modro’s opinion, one must note that the ‘007 patent in addition to the examples discussed earlier, contains examples in respect of all the Z variants – Z = H, see examples 1, 2, 3, 4, 6, 7A-E; Halo, see examples 9 and 10; Chloro, C1-C4 alkyl, see examples 5 and 7F; C1-C4 alkoxy, see example 7G.

[239] According to Dr. Modro, those substituents could introduce new effects because of their close proximity to the reaction centre. They could “block the reaction centre, slow down the reaction, or even trigger some completely new reactions.” (examination-in-chief of Dr. Modro, June 4, 2008, p. 89, line 20 to p. 90, line 4)

[240] The Z equals OCH3 in para position.

[241] See para. 275 of Lilly’s memorandum on validity. From this it seems that the validity of claim 17 of the ‘007 patent could be impacted.

[242] Even if, since 2001, Dr. Modro did perform about 60 experiments in respect of those patents.

[243] In that respect, Dr. Modro particularly referred to an article from Dr. Gloede published in 1994 (J. Gloede, “Halogenation of ortho-Substituted Aryl Phosphites” (1994) 64 Russian Journal of General Chemistry 1203, TX-1592 (Gloede))

[244] Dr. Modro said that he had concerns that were confirmed by what was reported in TX-211. Amazingly he did not mention the experiments disclosed in the ‘007 patent that directly deal with many of those substituents.

[245] For Dr. McClelland, see June 9, 2008, p. 78-91. For Dr. Modro, see June 5, 2008, p. 80, line 10 to p. 89, line 24.

[246] Although Dr. Baldwin acknowledged that the tert-butoxy and tert-butyl groups would be the bulkier substituent and that the bulkier the group, the more likely its steric effect. He did not change his view that this was a relatively small substituent.

[247] Although Drs. Modro and McClelland questioned the operability of some of the compounds, they never directly addressed the issue of whether or not, at the relevant time, on the basis of the examples found in the patents, the inventors could objectively predict the utility of all the meta, para, and ortho Z substituents claimed in the patents.

[248] It is worth noting that throughout these proceedings, Apotex argues that the higher yields provided by the preferred compounds were not to be considered by the Court as these higher yields were not claimed. The defendant cannot here state that the compounds were inoperable if they provided yields lower than the preferred embodiments.

[249] The evidence provided by Apotex’s experts may have been sufficient to put an allegation of invalidity in play in the context of an NOC proceeding but it is certainly not sufficient to meet the burden of proving on a preponderance of evidence that these compounds were not useful or that their usefulness could not be soundly predicted. Many of the cases referred to by Apotex were decisions made in the context of NOC proceedings.

[250] The argument with respect to the reversed order of addition will not be dealt with given that the Court has found that the kinetic complex would form using the process described in Coe and Rydon and Dr. McClelland indicated during his cross-examination that this would simply reduce the yields and would not make the compound inactive.

[251] See cross-examination of Dr. McClelland, June 9, 2008, p. 108, line 20 to p. 109, line 1.

[252] Dr. McClelland has agreed that there is no reason to believe that the kinetic complex cannot be prepared at room temperature. This was further corroborated by the evidence of Mr. Moraski who introduced experiments performed where the kinetic complex was actually prepared at room temperature and 0º Celsius. (Examination-in-chief of Mr. Moraski, June 20, 2008, p. 16, line 24 to p. 18, line 5; E-9)

[253] In any event, Dr. Modro admitted during his cross-examination that the formation of a kinetic complex was not the issue as it would necessarily form. In para. 70 of his affidavit (A-13), he only deals with the final product (the thermodynamic).

[254] Dr. Baldwin noted that considering the data disclosed in Gloede without testing, one could not say for certain which reaction would happen first but this presumes that one knows that this further reaction takes place. (See examination-in-chief of Dr. Baldwin, June 25, 2008, p. 14, line 6 to p. 15, line 18)

[255] See paras. 354-358 of Apotex memorandum on validity; paras. 151-153 of Dr. McClelland’s affidavit (A-12).

[256] As noted during the examination of Dr. Barrett, there is no issue with respect to the argument when thiazoline is in place such as in claims 4, 10, 12, 31, 35, and 37. See also cross-examination of Dr. McClelland, June 9, 2008, p. 177, line 20 to p. 178, line 20.

[257] Apotex, in its memorandum on invalidity, at para. 363, refers to claims 22 and 34 but there appears to be no evidence from their experts in relation to these two claims.

[258] Affidavit of Dr. McClelland (A-12), paras. 167-170; affidavit of Dr. Hanessian (A-15), para. 94.

[259] See cross-examination of Dr. McClelland, June 9, 2008, p. 211, lines 5-11; p. 219, line 13 to p. 220, line 5.

[260] Jerry March, Advanced Organic Chemistry: Reactions, Mechanisms, and Structure (New York: McGraw-Hill, 1968) at 294 (TX-1618).

[261] Cross-examination of Dr. Hanessian, June 19, 2008, p. 141, lines 1-9.

[262] Cross-examination of Dr. McClelland, June 10, 2008, p. 37, lines 6-22.

[263] Ibid., p. 38, lines 6-12.

[264] Cross-examination of Dr. McClelland, June 10, 2008, p. 39, lines 17-20.

[265] Cross-examination of Dr. Barrett, June 18, 2008, p. 322, lines 7-8.

[266] The Court understands here that normally only persons having specialized knowledge of fluorine would use such product. Such persons would know how to manipulate the product to avoid its inherent danger.

[267] See claim 1 as well as the disclosure, p. 20, line 21 to p. 21, line 8.

[268] It is not clear if this last issue is now moot given that only one process claim remains.

[269] Considering the construction adopted by the Court, this is the only differentiation that remains relevant.

[270] As mentioned earlier, the one alternative in claim 17 referring to claim 10 is to be considered a stand-alone claim which could not be affected, in any event, by the argument advanced.

[271] In Rydon, which is discussed in the disclosure, the authors report that such a 2:1 ratio will only produce a monochloride.

[272] See paras. 18-21 of E-19.

[273] Para. 112(b) reads as follows: “The Defendant, Plaintiff by Counterclaim therefore claims: […] b) damages pursuant to section 36 of the Competition Act to be paid to Apotex and/or in the alternative to be set-off against any award of damages awarded against Apotex;”

[274] See AlliedSignal Inc. v. Du Pont Canada Inc. (1998), 142 F.T.R. 241, 78 C.P.R. (3d) 129, at paras. 21 and 24.

[275] This matter proceeded twice before the Federal Court of Appeal on summary judgment motions as well as once with regard to an appeal of an order of a Prothonotary.

[276] In fact, two of the Lilly patents expired after all of the Shionogi patents had expired.

[277] see TX-686.

[278] See subs. 36(7) of the Federal Courts Act.

[279] The equivalent of para. 36(4)(b) of the Federal Courts Act, para. 2(2)(b) of the Judgment Interest Act and subs. 2(c) of the Court Order Interest Act.

[280] See also Sands Motor Hotel Ltd. v. Edmonton (City), 2005 ABCA 402, 376 A.R. 365, paras. 31-32.

[281] See its para. 1(b).

[282] Apotex’s second fresh as amended statement of defence and counterclaim, para. 110

[283] This agreement was consigned in a letter addressed to the Court from counsel for Apotex, dated October 22, 2008.

[284] Among other things, those present at the meeting in June, 1974 were deceased and this fact was conveyed to Mr. Wada contemporaneously and in the course of his employment.

[285] Because of the late disclosure of the allegation of meetings between Lilly and Apotex, and the fact that no other participant was clearly identified, Lilly was not in a position to call witnesses other than Mr. McCool to rebut Apotex’s evidence in this regard (i.e. the testimony of Dr. Sherman and Mr. Kay).

[286] Apotex agreed that Shionogi would not have to call its own expert economists and could rely on Dr. Cockburn even if this expert was originally appointed only by Lilly. This had the impact of shortening the trial.

[287] See transcript of October 6, 2008, p. 183, line 18 to p. 184, line 3.

[288] 2003 FC 1171, (2003), 28 C.P.R. (4th) 37, reversed on appeal (2004 FCA 232, (2004), 240 D.L.R. (4th) 679) and sent back before the Federal Court: 2004 FC 1445, [2005] 2 F.C.R. 225, decision again reversed on appeal (2005 FCA 361, [2006] 2 F.C.R. 477).

[289] This was in fact held to have been a finding of Justice James Hugessen in the decision being appealed to the Federal Court of Appeal (2004 FC 1445, [2005] 2 F.C.R. 225, para. 22) that was presumed by the Court of Appeal to have been made in light of both the 1995 and 1975 agreements, despite the comments of Justice Hugessen to the effect that there was both conflict and lack of clarity in the evidence as to the forseeability and reach of the 1975 agreement which could only be resolved after a full trial (2004 FC 1445, [2005] 2 F.C.R. 225, para. 25)

[290] 2005 FCA 361, [2006] 2 F.C.R. 477, para. 39.

[291] Competition Act, para. 7(1)(a).

[292] Ibid., paras. 9(1)(c) and 10(1)(a).

[293] Ibid., c. 10(1)(b)(iii); In this case it is under the latter provision that an investigation could have been prompted following a complaint which was filed by Apotex in September, 2002. In addition, one of the experts testifying on Apotex’s behalf, Dr. Church, contacted the Competition Bureau following the first decision of Justice Hugessen on the summary judgment motions to alert them of this decision which he felt was inconsistent with the positions expressed by the Competition Bureau in its Intellectual Property Enforcement Guidelines (Cross-examination of Dr. Church, September 9, 2008, p. 73, line 3 to p. 77, line 12). The Commissioner did not cause such an inquiry to be made in this regard.

[294] This is in addition to other remedies available to such a plaintiff at common law and which are subject to different time limitations. It is important to be reminded that for proceedings conducted under the Competition Act, somewhat exceptional tools are provided for under that Act (see subs. 69(2)). The central role of the Commissioner is also demonstrated by the fact that the 2-year limitation under s. 36 will only start to run the day original proceedings are finally disposed of when such proceedings are instituted.

[295] Eli Lilly and Co. et al. v. Apotex Inc. (December 21, 2006), Ottawa T-1321-97 (F.C.); confirmed on appeal, 2007 FC 367, (2007), 156 A.C.W.S. (3d) 807; The Court notes that in addition to the cases cited by Prothonotary Aronovitch, this same principle was re-affirmed by two more recent cases: Harmegnies v. Toyota Canada, 2007 QCCS 539, J.E. 2007-842 (affirmed on appeal, 2008 QCCA 380, J.E. 2008-584), paras. 38; 50-51 and A.P.I. Alarm Inc. v. D’Arterio, [2009] O.J. No. 1599 (QL) (On. Sup. Ct.), para. 20.

[296] Written submission of Eli Lilly and Company and Eli Lilly Canada, Inc. (Competition Phase), paras. 292, 295-297; memorandum of argument of the defendant by counterclaim, Shionogi & Co. Ltd. (Re: Competition), paras. 118; 121-124.

[297] Ibid., Lilly paras. 298-303, Shionogi paras. 125-130.

[298] Memorandum of argument of the defendant, Apotex Inc. (Re : Competition), para. 302.

[299] Ibid., para. 306.

[300] Lilly amended statement of claim, January 11, 2001, para. 28.

[301] Memorandum of argument of the defendant, Apotex Inc. (Re: Competition), para. 313.

[302] 2005 FCA 361, [2006] 2 F.C.R. 477, para. 52.

[303] See 351694 Ontario Ltd. v. Paccar of Canada Ltd., 2004 FC 1565, (2004), 264 F.T.R. 12, para. 18.

[304] Nova Scotia Pharmaceutical Society, para. 72.

[305] Ibid., para. 99.

[306] Ibid., para. 106.

[307] Varied on appeal but not on this point as it was not pursued by the appellant, 2000 BCCA 463, (2000), B.C.A.C 1.

[308] Memorandum of argument of the defendant, Apotex Inc. (Re: Competition) para. 306.

[309] Lilly’s information as to the process actually used by Lupin was based on the closed portion of the Health Canada file it had received pursuant to an order of Justice Hugessen.

[310] See ruling contained in the transcript of the hearing held December 9, 2008.

[311] See Facts admitted to by the parties, LRTA # 82.

[312] Memorandum of argument of the defendant, Apotex Inc. (Re: Competition), para. 155.

[313] Ibid., para. 273.

[314] Resurfice Corp., at para. 25

[315] Oral submissions of counsel for Apotex, November 6, 2008, p. 20 lines 14-18.

[316] At para. 16.

[317] See Facts agreed to by the parties, LRTA # 150 and SRTA # 15(a); TX-265.

[318] Ibid., LRTA # 51.

[319] Ibid., LRTA # 151, SRTA 15(b); TX-266.

[320] Dr. Sherman testified that this choice was probably made by Apotex’s counsel at the time. (Cross-examination of Dr. Sherman, May 6, 2008 p. 125, lines 11-20) In the cross-examination of Dr. McClelland, Lilly pursued a line of questioning which could explain this decision (Cross-examination of Dr. McClelland, September 8, 2008, p. 52, line 18 to p. 53, line 19).

[321] See Facts agreed to by the parties, LRTA # 155, SRTA 15(c); TX-267.

[322] Ibid., SRTA # 17(b); TX-241.

[323] Ibid., LRTA 156; TX-118.

[324] Ibid., SRTA # 19(a); LRTA 160; TX-645; TX-246; TX-247.

[325] Ibid., SRTA # 19(c); confirmed on appeal, (1996), 199 N.R. 4, 68 C.P.R. (3d) 126.

[326] The applicant in these proceedings was Eli Lilly Canada Inc. Eli Lilly and Company and Shionogi & Co. Ltd, the owners of the Lilly and Shionogi patents, were joined to the proceedings pursuant to subs. 6(4) of the Regulations, having previously consented to the inclusion of their patents on the Form IV patent lists filed by Eli Lilly Canada Inc. pursuant to subs. 4(1) of the Regulations.

[327] See Facts agreed to by the parties, SRTA # 19(b); TX-644, Affidavit of Thomas L. Emmick sworn June 17, 1993.

[328] Ibid., ARTA # 220, LRTA # 205, SRTA # 48; TX-227 and TX-228.

[329] See Affidavit of Harry B. Radomski, sworn November 13, 2003 (TX-641), para. 4.

[330] Although there is a controversy as to whether or not Dr. Sherman ever met with Mr. McCool, it is uncontradicted that at least one such meeting took place between Mr. McCool and Mr. Kay.           

[331] See TX-1684.

[332] See TX-261.

[333] The Court notes that Dr. Sherman testified that presumably it is assurances from Kyong Bo that it did not use the Lilly process that prompted Apotex to terminate the compulsory licence. (Cross-examination of Dr. Sherman, May 6, 2008, p. 132, line 22 to p. 133, line 12) However, the only evidence the Court has as to these assurances are contained in the letter from Pacific High Tech Canada, which is dated 10 days later than the notice of termination of the compulsory licence (see next para.).

[334] See TX-662; Facts agreed to by the parties, LRTA # 1; TX-334.

[335] See Facts agreed to by the parties, SRTA # 83(a) and (b).

[336] Ibid., LRTA 46; TX-119.

[337]Ibid, LRTA # 82; TX-651.

[338] Ibid., LRTA # 83, SRTA # 31; TX-1759.

[339] See TX-686.

[340] See Facts agreed to by the parties, SRTA # 70(a) and (c).

[341] See Statement of Claim dated June 18, 1997, para. 26.

[342] See Facts agreed to by the parties, LRTA # 83, SRTA # 31; TX-1759.

[343] See Glopec-16; Glopec-17.

[344] See Glopec-20.

[345] Ibid.; Glopec-23.

[346] See Glopec-22; Glopec-25.

[347] See TX-679.

[348] See TX-1656; While the agreement is silent on pricing, Apotex appears to have paid US$ 1 500 per kilogram of bulk cefaclor manufactured under it (see TX-1759), versus US$ 860 – 1 150 earlier. The cost for the bulk cefaclor contained in a 500 mg dose sold amounts, in the Court’s calculation, to US$ 0.75, compared with US$ 0.43 when the price was US$ 860 per kilogram. Such a dose would be sold in Canada by Apotex at a price of approximately CAN$ 1.50 (or between US$ 1.12 and US$ 0.97, calculated using the highest and lowest average monthly exchange rates posted for the November, 1996 to October, 1998 period) and distribution costs at Apotex represent 2 to 3 % of sales (Examination of Dr. Sherman, September 3, 2008, p. 40 lines 22-23; Re-examination of Mr. Fahner, September 3, 2008, p. 247 lines 8-9).

[349] See TX-662.

[350] See TX-663.

[351] See TX-664.

[352] See TX-1759.

[353] See Facts agreed to by the parties, LRTA # 93, 94, 95, 96, 100, 101, 103, 104, 108; SRTA # 72, 73, 74(b), 74(f), 75(a), 75(c), 76(a), 77(a).

[354] Ibid., ARTA 295.

[355] Submissions of Counsel for Apotex, November 6, 2008, p. 39 lines 5-12.

[356] Ibid., p. 39 line 14 – p. 40 line 21.

[357] Cross-examination of Mr. Kay, September 3, 2008, p. 214 line 4.

[358] See transcript of October 6, 2008, p. 183, line 12 to p. 184, line 3.

[359] Such as the PMNOC proceeding and the opinion of Mr. Radomski that an infringement suit would be imminent upon market entry.

[360] A price reflecting competition between Lilly and Shionogi in the bulk cefaclor market.

[361] See memorandum of the defendant Apotex Inc. (Re: infringement), para. 453.

[362] Submissions of Counsel for Apotex, November 6, 2008, p. 36 lines 20-23; p. 40 lines 12-14.

[363] Report-in-chief of Dr. Church. dated December 14, 2007 (Exhibit JC-2 of his affidavit of April 19, 2008 (A-24)), p. 29.

[364] Affidavit-in-chief of Dr. Ross, sworn December 14, 2007 (A-27), para. 34.

[365] Reply report of Dr. Church, dated March 28, 2008 (Exhibit JC-1 of his affidavit of March 31, 2008 (A-31)), para. 52); see also Affidavit-in-chief of Dr. Ross, Ibid., para. 34.

[366] It should be noted that the assignment concerns only Shionogi’s Canadian and U.S. patents (TX-228), while the evidence shows that patent applications were filed in other jurisdictions (see TX-233; Examination in chief of Mr. Takayuki Wada, September 15, 2008, p. 192, line 14 to p. 193, line 7), the Court has not been presented any evidence pertaining to Shionogi’s licensing behaviour in jurisdictions unaffected by the assignment.

[367] Responding affidavit of Dr. Cockburn, sworn February 27, 2008 (E-22), para. 111.

[368] Reply report of Dr. Church, dated March 28, 2008 (Exhibit JC-1 of his affidavit of March 31, 2008 (A-31)), para. 49; see also Affidavit-in-chief of Dr. Ross, sworn December 14, 2007 (A-27), para. 59.

[369] Re-examination of Dr. Sherman, September 3, 2008, p. 166 lines 19-22; see also Cross-examination of Dr. Sherman, September 3, 2008, p. 133 lines 17-25.

[370] The demand for dosage form cefaclor, by the time generic entry occurred, was in decline.

[371] This is not the market that Apotex experts thought was relevant nor is it the basis of their opinion.

[372] In his view, “[t]he patents were irrelevant.” (Cross-examination of Dr. Sherman, September 3, 2008 p. 134 line 7).

[373] In the same manner, even if the experts had the necessary expertise, which is contested, no such expert evidence is necessary to construe the decision of the Federal Court of Appeal in these proceedings or the 1975 agreement.

[374] One must not forget that their business for selling dosage cefaclor in Japan was worth approximately US$ 900 million annually.

[375] Cross-examination of Dr. Hollis, September 5, 2008, p. 95 lines 14-21.

[376] See memorandum of argument of the defendant, Apotex Inc. (Re: competition) paras. 242-269; written submission of Eli Lilly and Company and Eli Lilly Canada Inc. (competition phase) paras. 117-126; memorandum of argument of the defendant by counterclaim, Shionogi & Co. Ltd. paras. 25-43.

[377] TX-244.

[378] Ibid.

[379] See, for example, the examination of Mr. Pytynia, September 15, 2008, p. 17, lines 14-17; TX-237, 238, 240.

[380] Thereafter Dr. Ross simply assumed that Shionogi immediately pursued the opportunity offered by Lilly to assign its patents. If one accepts the assumption that Shionogi would be eager to commercialize its patents, it would have made good sense for Shionogi to start planning or to take steps before the expiration of the cefaclor patent and certainly immediately upon its expiration. In fact, Lilly approached Shionogi only several months later.

[381] Obviously, this comment applies to patents owned by parties other than the originator or innovator, who was on the Canadian market with a competing product, given that, “[t]he corporate policy at Apotex was not in favour of licensing in branded generics because our success was predicated on our ability to develop all of these generics independently.” (Examination of Jack Kay, September 3, 2008, p. 183 lines 8-12)

[382] See Facts agreed to by the parties, SRTA # 83(a) and (b).

[383] Examination of Dr. Sherman, September 3, 2008, p. 30 lines 6-8. This despite Dr. Sherman’s professed preference for a process whose patent holder is not the originator: “if there were patents in the hands of other people, such as Shionogi, which is often the case, and they were not the originator in Canada, if we wanted to use material made by that process, it would stand to reason that either they would have no reason to object or they would be glad to licence it” (Examination of Dr. Sherman, September 3, 2008, p. 32 lines 7-13).

[384] It is worth mentioning that Dr. Church, when asked to explain why and if it was truly important for his opinion that there would be only two known commercial processes, made it clear that it was crucial in the scenario he assumed as a basis for his opinion that all buyers of cefaclor know that there were only two commercially viable processes to make bulk cefaclor. (See Transcript of October 6, 2008, p. 183, line 18 to p. 184, line 2.)

[385] Examination of Dr. Sherman, September 3, 2008, p. 29 line 5 – p. 30 line 8.

[386] Discovery of Dr. Sherman, July 11, 2006, p. 342 line 24 - p. 343 line 1.

[387] Cross-examination of Dr. Sherman, September 3, 2008, p. 67, lines 18-23.

[388] This seems to diminish the value of Dr. Ross’s theory as to Shionogi’s financial incentives to licence companies like Apotex. It is certainly clear that Dr. Ross did not consider this.

[389] Discovery of Dr. Sherman, July 11, 2006, p. 343 lines 7-11.

[390] Examination of Dr. Sherman, September 3, 2008, p. 33 lines 20-21.

[391] Along with many other suppliers whom had also submitted samples to Apotex (see Facts agreed to by the parties, LRTA #82).

[392] Counsel for Apotex, November 6, 2008 p. 114, line 15 to p. 134, line 6.

[393] See the tables at para. 294 of Apotex’s memorandum.

[394] Cross-examination of Dr. Church, September 9, 2008, p. 149, lines 17-21.

[395] Cross-examination of Dr. Ross, September 11, 2008, p. 160, lines 6-19.

[396] Cross-examination of Mr. Cole, September 10, 2008, p. 111 lines 15-25.

[397] A price Apotex never had to pay given that it bought infringing bulk cefaclor until 1998 at which time the legal bulk cefaclor was obtained from a third source (Lupin).

[398] Examination of Dr. Church, September 9, 2008, p. 31, lines 4-7; cross-examination of Dr. Church, September 9, 2008, p. 160, lines 7-8 and p. 232, lines 22-24.

[399] See memorandum of argument of the defendant, Apotex Inc. (Re: Competition), para. 287.

[400] Other common law remedies exist where unjust enrichment may be more relevant.

[401] Ibid., para. 282.

[402] This would obviously only apply if Lilly elected to seek damages based on its own profits instead of seeking an accounting of Apotex’s profits.

[403] Report-in-chief of Dr. Church, December 14, 2007 (Exhibit JC-2 of his affidavit of April 19, 2008 (A-24)), p. 31.

[404] Ibid.

[405] Ibid.

[406] Cross-examination of Dr. Church, September 9, 2008, p. 215, line 18 to p. 216, line 12.

[407] The Court infers from Dr. Sherman’s qualified statement in that respect that Apotex would make an assessment at that stage.

[408] Memorandum of argument of the defendant, Apotex Inc. (Re: competition), para. 282.

[409] Such as the correspondence Apotex sought to have admitted as evidence (TX-252 to 259).

[410] There would be no counterclaim under the Competition Act in the “but for world”.

[411] Examination of Mr. Wada, September 15, 2008, p. 165, lines 17-18.

[412] Memorandum of argument of the defendant, Apotex Inc. (Re: competition), para. 287.

[413] In fact, albeit in a different context, Apotex’s decision is analogous to what was characterized by Justice Goff in Koch Marine Inc. v. D’Amica Societa di Navigazione A.R.L. ( The “Elena D’Amico”), [1980] 1 Lloyd’s L.R. 75 (Q.B. Comm. Div.) as a decision which results in the rupture of the causal link between a breach and a loss: “an independent decision, independent of the breach, made by the buyer on his assessment of the market. It is perfectly true that his decision is made in the context of a pre-existing breach of contract by the seller, in the sense that the breach of contract provided the occasion upon which the buyer makes his market judgment; but even if there had been no breach at all it would have still been possible for the buyer to have made the same decision.” (emphasis added, p. 89).

[414] Transcript of November 13, 2008, p. 201 line 19-20.

[415] The Court will keep all the material necessary to determine these issues until the rights of appeal have been exhausted in order to stand ready to determine them should it become necessary to do so.

 You are being directed to the most recent version of the statute which may not be the version considered at the time of the judgment.