Federal Court Decisions

Decision Information

Decision Content

 

Federal Court

 

Cour fédérale


 

Date: 20110630

Docket: T-1008-10

Citation: 2011 FC 810

Ottawa, Ontario, June 30, 2011

PRESENT:     THE CHIEF JUSTICE

 

BETWEEN:

 

 

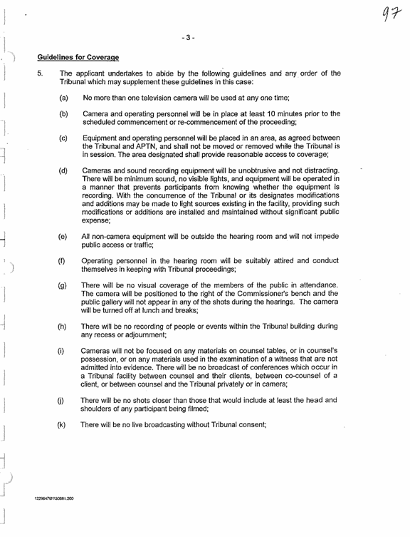
ABORIGINAL PEOPLES TELEVISION NETWORK

 

 

 

Applicant

 

and

 

 

 

CANADIAN HUMAN RIGHTS COMMISSION, ATTORNEY GENERAL OF CANADA (REPRESENTING THE MINISTER OF THE DEPARTMENT OF INDIAN AFFAIRS AND NORTHERN DEVELOPMENT CANADA), FIRST NATIONS CHILD AND FAMILY CARING SOCIETY OF CANADA, ASSEMBLY OF FIRST NATIONS, CHIEFS OF ONTARIO AND AMNESTY INTERNATIONAL

 

 

 

Respondents

 

 

 

 

 

REASONS FOR JUDGMENT AND JUDGMENT

 

[1]               The applicant, Aboriginal Peoples Television Network (APTN), seeks judicial review of the refusal by the Canadian Human Rights Tribunal (the tribunal) to allow APTN television camera access to its proceedings.

Background

[2]               The Assembly of First Nations and the First Nations Child and Family Caring Society (the Caring Society) filed a human rights complaint alleging that the inequitable funding of child welfare services on First Nations reserves amounted to discrimination on the basis of race and national ethnic origin, contrary to section 5 of the Canadian Human Rights Act, RSC 1985, c H-6 (the complaint).

 

[3]               The uniqueness and importance of this case are highlighted in the affidavit of a member of the Opaskwayak Cree Nation, who is a single mother residing some 600 kilometres north of Winnipeg. In describing the plight of aboriginal children under welfare protection, she states:

From the day I entered child protection, the inadequate funding of the services provided to me affected every aspect of my life. The injustices I experienced while under welfare protection continue to affect me in a way that is impossible for me to convey. I believe that viewing the proceedings will help validate the feelings of injustice I have experienced all of my life. It is important for me to know that these injustices are not being ignored as they have been in the past. It is also important for me to know that my story and those of other First Nations children is being heard. I am hopeful that if our stories are heard, things will change for First Nations children. I believe there can be a brighter future for them. [emphasis added]

 

[4]               According to the tribunal’s rules of procedure, the hearing of this complaint will be open to the public. Members of the media will be allowed to attend, take notes and report on the hearing. According to the tribunal’s decision, tape recorders and video cameras are not allowed in the hearing room.

 

[5]               APTN is the only television network in Canada that focuses specifically on aboriginal issues. APTN requested permission from the tribunal to film the complaint proceedings, including opening and closing statements, testimony of witnesses, questions, objections, and arguments.

 

[6]               The tribunal denied the APTN request for camera access.   

 

The decision under review

[7]               In its reasons, the tribunal touches on the aboriginal community’s interest in being able to observe the proceedings, the significant barriers which would make it difficult or impossible for most members of this widely dispersed community to travel to Ottawa for the hearing and the impact the outcome of the proceedings will have, on aboriginal peoples in particular.

 

[8]               The tribunal also considered the factors identified against granting camera access and broadcasting. Specifically, the tribunal noted the possibility that the media will broadcast selective excerpts which offer an incomplete portrayal of a witness’ testimony. This would risk undermining the integrity of the tribunal process. Also, in the tribunal’s view, broadcasting proceedings would undermine the efficacy of witness exclusion orders, and would compromise the privacy interests of participants in the hearing. Finally, again in the opinion of the tribunal, cameras might introduce an element of distraction detrimental to the fairness of the hearing.

 

[9]               Immediately following this cursory analysis, the tribunal concludes as follows (at paragraph 37 of her decision):

It is my firm opinion, after due consideration of the submissions of the parties, that nothing less than the exclusion of cameras from the hearing room will suffice to ensure that the publicity generated by these proceedings does not undermine its integrity. (Emphasis added.)

 

 

Is the decision reasonable?

[10]           I have concluded that the tribunal’s decision was made without regard to the material before it. In particular, the member does not mention, let alone deal with the applicant’s detailed Request and Submission of October 22, 2009, to obtain television footage of the proceedings. This Request and Submission (the APTN proposal) is attached to these reasons as Annex “A”. Accordingly, the outcome reached by the tribunal is unreasonable when measured against the available record.

 

[11]           Under the heading Guidelines for Coverage, the APTN proposal suggested some 15 operating guidelines concerning the television coverage. The guidelines covered issues from the positioning of the television equipment to suitable attire for the APTN filming crew. The APTN proposal also set out the purpose of the television coverage, and stated that APTN “commits to work with the tribunal to establish guidelines that respect the dignity and integrity of the tribunal’s proceedings”. The APTN proposal was necessarily subject to the approval of the tribunal.

 

[12]           It was open to the tribunal, through its counsel, to engage in a discussion with the APTN concerning its proposal. There is no evidence before this Court that this was done.

 

[13]           The tribunal’s decision does not refer to this proposal, or provide any reasons why these guidelines were inadequate to manage any of the potential negative impacts of filming. The tribunal failed to provide reasons why a total ban on broadcasting was necessary.

 

[14]           There was little affidavit evidence before the tribunal regarding any of the potential negative impacts of filming the proceedings. The Attorney General provided one affidavit from a Litigation Case Manager with the Department of Indian Affairs and Northern Development. Her affidavit stated that the government’s witnesses had all “expressed concern” about their testimony being videoed and televised. Their primary concern was that if their testimony was taken out of context, it would portray them in a negative light and damage their working relationships with First Nations persons and agencies. None of the proposed witnesses expressed concern that their testimony would be affected by the presence of a camera, or otherwise expressed any concerns relating to the fairness of the hearing. None of the potential witnesses were named, and no evidence was provided directly from them regarding their concerns.

 

[15]           The tribunal’s three primary concerns with camera access – risk of selective editing, impact on possible exclusion orders, and impacts on witnesses – have been considered in the case law. These concerns are discussed in detail in R v Pilarinos, 2001 BCSC 1332, R v Fleet (1994), 137 NSR (2d) 156 (SC), and Andreen v Dairy Producers Co-operative Ltd. (No. 2) (1994), 22 CHRR D/80. Pilarinos concerned an application for expanded media coverage of the trial of a former Premier of British Columbia who was charged with fraud on the government and breach of trust by a public officer. Fleet concerned an application to broadcast the trial of an accused charged with murder, where camera access was denied. Andreen is a decision of the Saskatchewan Human Rights Commission allowing camera access to an inquiry into complaints of sexual harassment, on certain conditions.

 

[16]           The tribunal failed to consider whether the concerns over camera access raised in these cases are applicable to the facts in this case. For example, there was no evidence that exclusion orders had been issued or were contemplated, or that this issue could not be dealt with if and when it arose.

 

[17]           Similarly, there was no evidence before the tribunal that the privacy interests at stake in the case at bar were similar to the privacy interests at stake in Pilarinos, Fleet, and Andreen. In Andreen, the privacy concern was that “there is a distinction between disclosing potentially intimate details of one’s life in a hearing room where the public attend, on the one hand, and having those disclosures broadcast throughout the province, and perhaps throughout the country, over a television network, on the other hand” (para. 14) [emphasis added].

 

[18]            The evidence before the tribunal was that the human rights complaint would not require personal information about a complainant or respondent to be disclosed. None of the proposed witnesses were survivors of the child welfare system. No personal respondents were named in the complaint. The government witnesses would be testifying about policies and decisions made regarding the provision of child welfare services. Information about these policies and decisions is already publicly available through several reports, including a National Policy Review (2000) prepared by the Assembly of First Nations and First Nations child and family service agency representatives in partnership with the Department of Indian Affairs and Northern Development, a 2008 Report from the Auditor General of Canada, a 2009 Report of the Standing Committee on Public Accounts, and the 2008 Canadian Incidence Study on Reported Child Abuse Neglect. The evidence before the tribunal was that the testimony and submissions would focus on widely known public policies.

 

[19]           The interests of people living on reserve in observing the proceedings at issue are more direct than those of the general public in observing a criminal trial. The proceedings will decide whether large numbers of geographically dispersed people have experienced discrimination. The proceedings directly implicate the human rights of APTN’s intended audience.

 

[20]           By failing to consider the unique facts of this case, the tribunal’s decision was made without regard to the material before it. The decision falls short of the standard of justification, transparency and intelligibility required by Dunsmuir v New Brunswick, 2008 SCC 9.

 

Mootness

[21]           On March 14, 2011, after the Court had taken this proceeding under reserve, the tribunal granted the motion brought by the Attorney General of Canada that the issues raised in the complaint of the First Nations Child and Family Caring Society of Canada (and the Assembly of First Nations) were beyond the tribunal’s jurisdiction (the jurisdictional motion). The tribunal’s decision is reported at 2011 CRHT 4.

 

[22]           The tribunal’s dismissal of the complaint raised the issue of the mootness of this application for judicial review concerning camera access to the tribunal’s proceeding. An understanding of the timelines in the proceedings both before the tribunal and this Court is useful to situate the mootness issue.

 

[23]           On June 2 and 3, 2010, the jurisdictional motion was argued before the tribunal. Written submissions were subsequently filed.

 

[24]           On June 25, 2010, APTN initiated this application for judicial review challenging the tribunal’s refusal to allow camera access to its hearings. On November 4, 2010, after its application for judicial review had been perfected, APTN filed a requisition for hearing.

 

[25]           Prior to scheduling the hearing, the Court used case management to obtain from the parties more information on the status of the jurisdictional motion before the tribunal. The goal was to avoid, if possible, the duplication of judicial resources. The Court was advised that the tribunal decision concerning the jurisdictional motion continued to be under reserve.

 

[26]           On February 1, 2011, the hearing of the APTN application for judicial review was scheduled for March 7, 2011. In fact, the hearing lasted two days.

 

[27]           As noted earlier, on March 14, 2011, the tribunal granted the relief sought in the jurisdictional motion and dismissed the complaint for lack of jurisdiction.

 

[28]           The Attorney General of Canada contested the APTN application for camera access to the tribunal proceedings both before the tribunal and in this Court.

[29]           After consideration of the parties’ submissions concerning mootness and, in particular, the principles of Borowski v Canada (Attorney General), [1989] 1 SCR 342, I have concluded in the exercise of my discretion that this application for judicial review should be determined now. In my view, there remains a live controversy between the parties, at least until the application for judicial review of the tribunal decision concerning the jurisdictional motion has been finally resolved.

 

[30]           APTN, supported by the Caring Society and the Commission, argued that the tribunal erred by concluding that denying camera access to the proceedings did not constitute an unjustifiable breach of section 2(b) of the Canadian Charter of Rights and Freedoms. I find it unnecessary to decide the Charter issue at this time: Tremblay v Daigle, [1989] 2 SCR 530 at para. 77.

 

[31]           Accordingly, the APTN application for judicial review of the tribunal’s ruling not to allow camera access to its hearing concerning the complaint will be granted. Because the tribunal has ruled that it has no jurisdiction to consider the underlying complaint, the matter of re-determination of its decision not to grant camera access should be deferred until the judicial determination concerning the jurisdictional issue has been definitively resolved.

 

 


JUDGMENT

 

            THIS COURT’S JUDGMENT is that

1.                  This application for judicial review is granted;

2.                  The decision of the Canadian Human Rights Tribunal, dated May 28, 2010, is set aside. Re-determination of the matter by a different member is deferred until the judicial determination concerning the jurisdictional issue has been definitely resolved.

 

                                                                                                                   “Allan Lutfy”

Chief Justice


ANNEX “A”

 

 

 

 

 

 

 

 

 

 

 

 

 

 

 

 

 


FEDERAL COURT

 

SOLICITORS OF RECORD

 

DOCKET:                                          T-1008-10

 

STYLE OF CAUSE:                          ABORIGINAL PEOPLES TELEVISION NETWORK v CHRC ET AL

 

PLACE OF HEARING:                    Ottawa, Ontario

 

DATE OF HEARING:                      March 9, 2011

 

REASONS FOR JUDGMENT:       LUTFY C.J.

 

DATED:                                             June 30, 2011

 

APPEARANCES:

 

Mr. Bob Sokalski

 

FOR THE APPLICANT

 

Mr. Jonathan Tarlton &

Ms. Rosemarie Schipizky

FOR THE RESPONDENT, THE ATTORNEY GENERAL OF CANADA

 

Mr. Daniel Poulin &

Ms. Samar Musallam

FOR THE RESPONDENT, CANADIAN HUMAN RIGHTS COMMISSION

 

Ms. Anne Lévesque

FOR THE RESPONDENT, FIRST NATIONS CHILD AND FAMILY CARING SOCIETY OF CANADA

 

SOLICITORS OF RECORD:

 

Hill Sokalski Vioncent Walsh Trippier LLP

Winnipeg Manitoba

FOR THE APPLICANT

Myles J, Kirvan

Deputy Attorney General of Canada

Halifax, Nova Scotia

FOR THE RESPONDENT, THE ATTORNEY GENERAL OF CANADA

Canadian Human Rights Commission

Ottawa, Ontario

FOR THE RESPONDENT, CANADIAN HUMAN RIGHTS COMMISSION

 

Champ & Associates

Ottawa, Ontario

FOR THE RESPONDENT, FIRST NATIONS CHILD AND FAMILY CARING SOCIETY OF CANADA

 

 You are being directed to the most recent version of the statute which may not be the version considered at the time of the judgment.