Federal Court Decisions

Decision Information

Decision Content

 

Federal Court

 

Cour fédérale

Date: 20120614

Docket: T-299-05

Citation: 2012 FC 748

Ottawa, Ontario, June 14, 2012

PRESENT:    The Honourable Mr. Justice Scott

 

 

BETWEEN:

 

CATHERINE LEUTHOLD

 

 

 

Plaintiff

 

and

 

 

 

CANADIAN BROADCASTING CORPORATION

and

JERRY MCINTOSH

 

 

 

Defendants

 

 

 

 

 

           REASONS FOR JUDGMENT AND JUDGMENT

 

I.          INTRODUCTION

 

[1]               Catherine Leuthold (Miss Leuthold), a professional photo journalist, is claiming an amount of $21, 554,954.25 against the defendants the Canadian Broadcasting Corporation [CBC] and Jerry Mc Intosh (the Defendants), for copyright infringement.

 

II.        FACTS

 

A.        The Parties

 

[2]               The Plaintiff, Miss Catherine Leuthold is a professional photo-journalist. On September 11, 2001 she was residing in New York City.

 

[3]               The Defendant, the CBC, is a corporation continued under the Broadcasting Act, SC 1991, c 11, [Broadcasting Act], carrying on business as a Canadian broadcaster with a principal place of business at 250 Front Street West, Toronto, Ontario, M5W 1E6.

 

[4]               The Defendant, Mr. Jerry Mc Intosh, was the Director of Independent Documentaries for News, Current Affairs and Newsworld referred to as CBC news and an employee of the CBC at the time of the alleged infringements.

 

B.        The Production and the Copyrighted Works

 

[5]               In the months that followed the terrorist attacks on the World Trade Center [WTC], a documentary film entitled “As the Towers Fell” (the Production), was commissioned by the CBC from Newsco Productions Inc. The Production was directed by Desmond Smith.

 

[6]               The Production was meant to portray how the attacks on the WTC unfolded through the eyes and reaction of journalists, cameramen and photographers who were on the scene on September 11, 2001.

 

[7]               The original plan called for a 30 minute Production. As shooting progressed the Production’s duration evolved from 30 to 60 minutes and then to 90 minutes. It also became obvious that Newsco was incapable of handling the work and the CBC had to assign staff to, amongst others, clear the rights and assist in the editing of the Production (see transcript, testimony of Jerry Mc Intosh, February 9, 2012, page 7, lines 10 to 25 and page 8, lines 1 to 3; transcript, testimony of Rose Torriero, February 8, 2012, page 139, lines 12 to 17; transcript, testimony of Kathy Markou, February 8, 2012, page 201, lines 17 to 25 and page 202, lines 1 to 5; and Joint Book of Documents, Newsco contracts, tabs 18 to 20 inclusively).

 

[8]               Four versions of the Production were actually made and presented at various times on both the CBC main network and the Newsworld channel (Newsworld) (Joint Book of Documents, volume II, exhibit D-9):

 

 

 

 

 

 

 

 

Date and time of

presentation

 

Time of

diffusion

 

Duration of

documentary

Starting airing

time of

photographs

Number of

seconds

photographs

are presented

 

Network

March 17, 2002

10:00 a.m.

60 min

N/A

18

Main

network

 

 

March 17, 2002

(Tape C)

 

 

7:00 p.m.

 

 

60 min

19:14:45

19:14:53

19:16:16

19:22:03

19:22:11

 

 

18

 

 

Newsworld

 

September 10, 2002

(Tape C, 1 of 2)

 

8:00 p.m.

 

90 min

20:21:08

20:21:15

20:24:10

20:25:28

 

18

Main

network and

Newsworld

 

 

September 11, 2002

(Tape A)

 

1:00 a.m.

 

90 min

01:21:07

01:21:13

01:24:09

01:25:26

 

18

 

Newsworld

 

September 7, 2003

(Tape C)

 

10:00 p.m.

 

120 min

22:28:12

22:28:19

22:31:14

22:32:31

 

18

 

Newsworld

 

September 8, 2003

(Tape A)

 

1:00 a.m.

 

120 min

01:29:06

01:29:12

01:32:07

01:33:25

 

18

 

Newsworld

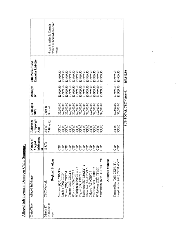
September 14, 2003

(Tape B)

12:00 p.m.

60

N/A

0

Newsworld

September 14, 2003

(Tape C)

7:00 p.m.

60 min

N/A

0

Newsworld

 

September 11, 2004

(Tape C)

 

10:00 p.m.

 

120 min

22:28:45

22:28:52

22:31:47

22:33:05

 

18

 

Newsworld

 

September 12, 2004

(Tape A)

 

1:00 a.m.

 

120 min

01:27:59

01:28:05

01:31:00

01:32:18

 

18

 

Newsworld

 

September 12, 2004

 

4:00 a.m.

 

120 min

 

N/A

 

18

 

Newsworld

 

[9]               Included in tapes A and C of the Production were a number of Stills Photographs (the Photographs) of the terrorist attacks on the WTC on September 11, 2001, taken by Miss Leuthold. Miss Leuthold also appears in the Production.

 

[10]           Miss Leuthold is the owner of the copyright in the Photographs.

 

[11]           At all material times, the Defendants were aware that copyright subsisted in the Photographs.

 

[12]           At all material times, the Defendants had no reason to believe that Miss Leuthold did not own the copyright in the Photographs.

 

C.        The Broadcasts of the Production and the Copyrighted Works

 

[13]           On March 19, 2002, Miss Leuthold sent a fax (the first license) permitting the CBC to incorporate her Photographs of the 9/11 events in the Production and to broadcast the said Photographs on Canadian television on the condition that they be used for the 9/11 Documentary only (see Joint Book of Documents, volume I, tab 8, page 357). It reads:

To: Douglas Arrowsmith

From: Catherine Leuthold

 

Douglas

 

Got your email

 

CBC may use my photographs of the WTC Disaster. Said Photographs used for 9.11 Documentary only. If the photographs are used for advertising said Documentary, I, the photographer must be financially compensated per prior mutual agreement.

 

Sincerely

 

“Catherine Leuthold”

 Signed

 

[14]           The parties disagree on the scope and conditions of this first License.

 

[15]           The Production was first broadcast on March 17, 2002, on the CBC Main Channel at 10:00 a.m. and the same day, on CBC’s specialty service Newsworld at 7:00 p.m.

 

[16]           CBC’s Newsworld is part of a programming undertaking which is wholly owned by the CBC. Its operations result in the communication of works, newscasts and documentaries or other subject matter to the Canadian public 24 hours continually.

 

[17]           In the ensuing days, employees of the CBC communicated with Miss Leuthold to obtain her signature on a waiver.

 

[18]           The waiver was not signed and on June 20, 2002, Rose Torriero, a CBC employee, sent an email to Miss Leuthold enquiring about the waiver (see Joint Book of Documents, volume I, tab 4, page 23).

 

[19]           Over the following months Miss Leuthold negotiated with different persons working at the CBC and Newsco (see Email chain, Joint Book of documents, volume I, tab 4, pages 10 to 91; transcript, testimony of Catherine Leuthold, February 6, 2012, pages 78 and 79; transcript, testimony of Rose Torriero, February 8, 2012, pages 117 and 118; and transcript, testimony of Kathy Markou, February 8, 2012, page 201, lines 23 to 25, and page 202, lines 1 to 5).

 

[20]           On September 5, 2002, Miss Leuthold, after a series of exchanges with Jerry McIntosh, Desmond Smith and Rose Torriero, reached an understanding whereby the CBC agreed to pay her the sum of $2,500.00 US for the usage of five photographs in a forthcoming broadcast.

 

[21]           On October 7, 2002, Miss Leuthold and the CBC signed the second License (the Stills License), which reflected the agreement reached on September 5, 2002, permitting the CBC to incorporate five photographs in the Production and to broadcast these on Canadian television for one broadcast on CBC’s Network & Regional TV stations, in return for compensation of $ 2,500.00 in US currency (see Joint Book of Documents, volume I, tab 2).

 

[22]           The Production was broadcast on September 10, 2002, on CBC’s Main Channel and on the same date on Newsworld at 8:00 p.m. (see Joint Book of Documents, volume II, exhibit D-9).

 

[23]           The Defendant, the CBC, transmitted the Production over its Newsworld cable channel on the dates and times and for the duration, that appear in the above referenced table (see Joint Book of Documents, volume II, exhibit D-9).

 

[24]           For each of the transmissions referred to in exhibit D-9, Newsworld transmitted the Production by telecommunication to all Canadian distribution undertakings that carried the Newsworld service on these respective dates.

 

[25]           The Defendants admit they had no authorization from Miss Leuthold for the six broadcasts on Newsworld referred to in exhibit D-9 but claim they were authorized to broadcast on Newsworld on March 17 and September 10, 2002.

 

[26]           The Defendants transmitted to all the Canadian distribution undertakings that have the right to carry the Newsworld service, the Production, which contained the Photographs belonging to Miss Leuthold; they, in turn, transmitted the Production to their respective subscribers.

 

[27]           Each transmission of the Production by the Defendant, the CBC, over its main channel was broadcasted in all Canadian time zones (5 in total), at their respective local time, directly or through the CBC’s affiliated stations.

 

III.       ISSUES

 

[28]           The parties have listed 6 issues to be determined by the Court:

1.                  Did the Defendants infringe the Plaintiff’s (Miss Leuthold’s) copyright on March 17, 2002, September 10 and 11, 2002, September 7 and 8, 2003 and September 11, and 12, 2004?

 

2.                  In respect of each CBC broadcast and Newsworld transmission, did each participating affiliated station and Broadcasting Distribution Undertaking [BDU], as the case may be, infringe the Plaintiff’s (Miss Leuthold’s) copyright each time the Production was communicated to the public?

 

3.                  If so, is the Defendant, the CBC, liable for such infringement by the affiliated stations and the BDUs?

 

4.                  If there was copyright infringement by the Defendants, the affiliated stations or the BDUs, what remedies should be awarded to the Plaintiff (Miss Leuthold) in terms of damages, profits, injunctive relief, and delivery up?

 

5.                  Is the Defendant Jerry McIntosh independently liable for any infringement of the Plaintiff’s (Miss Leuthold’s) copyright and, if so, what remedies should be awarded?

 

6.                  Regardless of the Court’s finding on liability, what measures of costs should be awarded given the conduct of the parties and outstanding offers to settle?

 

IV.       LEGISLATION

 

[29]           The applicable sections of the Broadcasting Act and the Copyright Act, RCS, 1985, c C-42, [the Copyright Act], are appended to this decision.

 

 

V.        ANALYSIS

 

1.         Did the Defendants infringe the Plaintiff’s (Miss Leuthold’s) copyright on March 17, 2002, September 10 and 11, 2002, September 7 and 8, 2003 and September 11, and 12, 2004?

 

A.        Miss Leuthold’s Position

 

[30]           Miss Leuthold claims that artistic work is defined in the Copyright Act, and it includes photographs. The Defendants have admitted that she holds the copyright on the Photographs. Pursuant to subsection 3(1) of the Copyright Act, Miss Leuthold asserts that she is the sole owner of the rights to reproduce the Photographs and publicly present them as part of any cinematographic work, to communicate them to the public by telecommunication, and to authorize any of the foregoing.

 

[31]           Miss Leuthold also relies on the definition of “telecommunication” that is found in the Copyright Act, which specifies that “any transmission of signs, signals, writing, images or sounds or intelligence of any nature by wire, radio, visual, optical or other electromagnetic system” is a telecommunication”.

 

[32]           Of particular importance, according to Miss Leuthold, is paragraph 2.4(1) (c) of the Copyright Act. That paragraph clearly states that “for the purposes of communication to the public by telecommunication, […] (c) where a person as part of (i) a network, within the meaning of the Broadcasting Act, whose operations result in the communication of works or other subject-matter to the public, or (ii) any programming undertaking whose operations result in the communication of works or other subject-matter to the public, transmits by telecommunication a work or other subject-matter that is communicated to the public by another person who is not a retransmitter of a signal within the meaning of subsection 31(1), the transmission and communication of that work or other subject-matter by those persons constitute a single communication to the public for which those persons are jointly and severally liable.”

 

[33]           Miss Leuthold claims that the Defendants reproduced the Photographs without her consent and in a manner that is not permitted by the Copyright Act. The Defendants publicly presented the Photographs, as part of a cinematographic work, communicated them to the public by telecommunication and authorized the foregoing without her consent.

 

[34]           Miss Leuthold underlines the fact that the CBC had completed several broadcasts of the Production prior to signing the Licenses, although both Licenses authorized only a single broadcast.

 

[35]           Pursuant to subsection 27(2) of the Copyright Act, it is an act of infringement for any person to:

(a) sell or rent out, (b) distribute to such an extent as to affect prejudicially the owner of the copyright, (c) by way of trade distribute, expose or offer for sale or rental, or exhibit in public, (d) possess for the purpose of doing anything referred to in paragraphs (a) to (c), or (e) import into Canada for the purpose of doing anything referred to in paragraphs (a) to (c), a copy of a work, sound recording or fixation of a performer’s performance or of a communication signal that the person knows or should have known infringes copyright or would infringe copyright if it had been made in Canada by the person who made it.

 

[36]           By reason of the aforesaid acts of the Defendants, Miss Leuthold claims to have suffered substantial damages, and would have continued to suffer damages if the Defendants had not ceased their infringing activities.

 

B.        Position of the Defendants

 

[37]           The Defendants admit that the CBC did infringe Miss Leuthold’s copyright in the Photographs but dispute the number of infringing communications to the public and the amount of damages claimed.

 

[38]           The Defendants contend that Miss Leuthold gave her permission to the CBC to use the Photographs for the initial broadcast of the Production on March 17, 2002. Said permission according to the Defendants, included Newsworld and all broadcasts in all time zones.

 

[39]           In September 2002, to commemorate the one-year anniversary of 9/11, the CBC did broadcast the Production.

 

[40]           On October 7, 2002, the Stills License which permitted the CBC’s use of the Photographs in the September 2002 broadcast on CBC’s Network and Regional TV stations was signed. It provided for the payment of $2,500.00 US to Miss Leuthold.

 

[41]           Another implicit term of this License, according to the Defendants, included the right to broadcast the Production in different time zones, being the time zones in which the various CBC Regional TV stations were located and on Newsworld.

 

[42]           Defendants further claim that the CBC’s conduct, throughout its relationship and dealings with Miss Leuthold, has been in accordance with accepted business practices and was by no means highhanded, reprehensible or oppressive.

 

[43]           Finally, the CBC alleges to have acted in good faith with respect to the exercise of its rights.

 

C.        Analysis

 

[44]           The parties hold different interpretations of the scope of the Licenses that govern their relationship. The Court must therefore determine the exact scope of the Licenses in order to properly assess the extent of the infringements, the damages and the compensation to which Miss Leuthold is entitled.

 

[45]           The Defendants submit that the March 17 and September 10, 2002 communications to the public, by means of broadcasts, were authorized under the two licenses that were executed and that Miss Leuthold was fairly compensated for these.

 

 

 

The March 17, 2002 Broadcast

 

[46]           Miss Leuthold is claiming damages for the March 17, 2002 broadcasts based on her interpretation of the first license. She claims that the license was restricted to one broadcast in one time zone, on the CBC’s main channel, which excluded regional stations, affiliates and Newsworld.

 

[47]           During her testimony she referred the Court to the email she forwarded to Desmond Smith after having received a draft waiver from Rose Torriero, a CBC employee entrusted to clear the rights she held in the Photographs. In that email she reminds Desmond Smith that this is not what she agreed to. That email is dated Monday March 25, 2002 (see transcript, testimony of Catherine Leuthold, February 6, 2012, page 79, line 11 to 25 and page 80, lines 1 to 25). She also referred the Court to Miss Torriero’s response dated March 25, 2002 and the subsequent exchanges of emails in which she specified one broadcast (see Email chain, Joint Book of documents, volume I, tab 4).

 

[48]           Miss Leuthold testified never to have been aware of the existence of the CBC’s distribution network (see transcript, testimony of Catherine Leuthold, page 90, lines 12 to 16). She cannot state for certain if she knew that the documentary had already aired when she was approached by the CBC in March of 2002 (see transcript, testimony of Catherine Leuthold, page 89, lines 2 to 25 and page 90, lines 1 to 10).

 

[49]           The Defendants affirm that Miss Leuthold gave her permission to use the Photographs for the initial broadcast of March 17, 2002. This, they claim, is apparent from the fax sent to Douglas Arrowsmith on March 19, 2002. They also claim that Miss Leuthold admitted that no compensation was due for the March 17, 2002 broadcast since she wrote in an email to Jerry Mc Intosh on September 4, 2002: “so you did get them for free the first go round, so its in your court” [emphasis added].

 

[50]           It is clear from the March 19 fax sent by Catherine Leuthold that the CBC‘s broadcast of March 17 was authorized by Catherine Leuthold, even though her permission was granted after the fact. As the Court reviews the term of that authorization there are no limits of any kind imposed upon the CBC except that “if the photographs are to be used for advertising said Documentary, I, the photographer must be financially compensated per prior mutual agreement.” The Court cannot accept terms that are not written, there is no financial compensation to be paid unless the photographs are used to advertise the Documentary. Since they were not used to advertise the Production, there is no payment owed to Miss Leuthold for the March 17, 2002 broadcast by the CBC.

 

[51]           Furthemore, the concept of a one-time use or one broadcast first appears in the March 25, 2002 email from Catherine Leuthold to Rose Torriero (see Joint Book of Documents, tab 4, page 16). It is impossible for the Court to accept that this condition applied to the March 17th broadcast since there is no evidence on the record to establish that this restriction limiting the rights of the Defendant, the CBC, to one broadcast was discussed or even mentioned prior to that date or to the March 19, 2012 authorization.

 

 

 

Is the March 17 Newsworld broadcast covered by the March 19, 2002 authorization?

 

[52]           Miss Leuthold testified that to her the CBC “was a regular network like NBC, CBS, you know just regular T.V.”; that Newsworld meant nothing to her at that time and that it was only much later that she understood what Newsworld meant (see transcript, testimony of Catherine Leuthold, February 6, 2012, page 92, lines 2 to 20). On the other hand, witnesses for the CBC testified that when clearing rights, the waivers or licenses always benefited Newsworld (see transcript, testimony of Rose Torriero, February 8, 2012, page 144, lines 1 to 18); and transcript, testimony of Kathy Markou, February 8, 2012, page 203, lines 6 to 25 and page 208, lines 6 to 21).

 

[53]           The Court weighs the evidence adduced as follows: Newsworld is included in the first license because Miss Leuthold did not impose any restrictions when she retroactively granted permission on March 19, 2002.

 

[54]           The same reasoning applies with respect to time zones and CBC affiliates and regional stations in regards to the scope of the first license.

 

The September 10 broadcasts and the Stills License

 

[55]           The Defendants submit that the reproduction of the Photographs that appear in the September 10, 2002 broadcasts were covered by the Stills License.

 

[56]           The Court must determine the scope of the reproduction rights that were granted by Miss Leuthold when she executed the Stills License in October 2002. That determination calls for a simultaneous examination of certain provisions of the Copyright Act and the terms of the License between the parties.

 

[57]           For the interpretation of that License, the Court must turn to subsection 13(4) of the Copyright Act, which provides that:

13 (4) The owner of the copyright in any work may assign the right, either wholly or partially, and either generally or subject to limitations relating to territory, medium or sector of the market or other limitations relating to the scope of the assignment, and either for the whole term of the copyright or for any other part thereof, and may grant any interest in the right by licence, but no assignment or grant is valid unless it is in writing signed by the owner of the right in respect of which the assignment or grant is made, or by the owner’s duly authorized agent.

 

[58]           Miss Leuthold granted the Defendants the right to reproduce the Photographs in the Production. By executing the License, which was transmitted and drafted in part by the CBC, Miss Leuthold did not grant any interest to the Defendants in her copyright. She gave the Defendants the right to make one broadcast of the Production, which included her Photographs. The meaning of the term “one broadcast”, in the Stills License, is ambiguous, and the parties differ on its significance.

 

[59]           The Court believes that it is important to reproduce the relevant paragraphs of the License.

                                    Stills License

 

The Canadian Broadcasting Corporation (hereinafter referred to as the “CBC” wishes to include the 5 photographs of 911 created by Catherine J. Leuthold (hereinafter referred to as the “Stills” in the CBC Documentary “As the Towers Fell” (hereinafter referred to as the “Production”).

 

Catherine J. Leuthold, 300 East 70th Street, New York, N.Y. 10021, (hereinafter referred to as “Licensor”) hereby grants to CBC the non-exclusive and limited right to incorporate the Stills in the Production. CBC shall have the right (but not the obligation) to broadcast the Stills on Canadian television for one broadcast on CBC’s Network & Regional TV stations which it did on the anniversary of 9.11.02 [the remarks in bold were added by Miss Leuthold in her handwriting]

 

In consideration of the rights conferred herein, CBC agrees to pay Licensor a total fee of $2500.00US (two thousand and five hundred dollars in American currency), such fee payable upon full execution of both copies of this license.

 

Licensor is not a registered Canadian company for the Goods & Services Tax; therefore GST will not be paid in addition to the amount specified herein.

 

Licensor is the sole party entitled of the copyright and ownership of the Stills licensed herein and incorporated into the Production.

 

CBC shall be the sole copyright holder in the Production and in this capacity shall have the right to edit the Production as is required to accommodate broadcast.

 

Licensor warrants that it is fully empowered to grant the rights herein granted, and that there is no contract with any other person firm, or corporation which could in any way interfere with CBC’s rights under this Licence. Licensor further warrants and represents that it has obtained and/or retained all consents and rights, including copyright, necessary to license the rights specified herein to CBC, without any limitations or restrictions under the one-time usage fee

[the remarks in bold were added by Miss Leuthold in her handwriting]

 

Licensor shall indemnify CBC and hold it harmless from and against any and all loss, damages or expenses, including legal fees and disbursements which CBC may suffer or incur as a result of any claim, action or proceeding arising from a breach of any of the warranties or representations made by the Licensor in this Licence.

 

This Licence embodies the entire agreement between the parties with regard to the matters dealt with herein and no understandings or agreements, oral or written, exist between the parties except as herein expressly set out. No modifications of this Licence shall be valid without the written consent of the parties hereto.

 

This Licence shall be governed by the laws of the Province of Ontario and of Canada and the parties hereto attorn to the exclusive jurisdiction of the courts of said province and country.

 

Acceptance of the terms and conditions of this Licence shall be attested to by the signatures of the parties of this Licence, and shall constitute a binding agreement between them.

 

Canadian Broadcasting Corporation:

 

 

“Kathy Markou”______________________

Kathy Markou, Manager of Program Rights

Business Affairs

 

Date:  Oct 7/02

 

Licensor:

 

“Catherine Leuthold”

Catherine Leuthold

 

Preliminary motion

 

[60]           The Court must first deal with the motion presented by the Defendants to deny recognition of Mr. Jay Thompson to testify as an expert on behalf of Miss Leuthold. The Defendants, after a thorough cross-examination of Mr. Thompson, claim that he has no expertise in the clearing of rights existing pursuant to the Copyright Act but has expertise on the regulatory environment. According to the Defendants, the issue being the interpretation of a License granted under the Copyright Act, the expertise of Mr. Thompson cannot assist the Court in the interpretation of the Stills License because it is not relevant. Miss Leuthold, on the other hand, claims that Mr. Thompson’s knowledge of the regulatory environment can assist the Court in determining what the terms used in the License generally mean in the industry.

 

[61]           The Court allowed Mr. Thompson to testify subject to ruling on the Defendant’s motion in this judgment. Having weighed the arguments of both parties the Court recognizes Mr. Thompson as an expert qualified to assist the Court in the interpretation of the meaning “to broadcast the Stills on Canadian television for one broadcast on the CBC’s Network and Regional TV stations” because his knowledge of the licensing of broadcasters can possibly have some relevance in the final interpretation of the disputed phrase in the Stills License.

 

What is the meaning of one broadcast?

 

[62]           Miss Leuthold claims that one broadcast essentially means one transmission in one time zone which started in Atlantic Canada (see transcript, final arguments, February 13, 2012, page 21, lines 18 to 25 and page 22). Therefore only the six regional stations located in Atlantic Canada were entitled to broadcast the Production, one time under the authorized “one time usage” as defined by Miss Leuthold.

 

[63]           Her interpretation is fundamentally based on her claim that she always insisted on one time usage in all the contracts she signed related to all her photographic work.

 

[64]           According to the Defendants, the phrase “to broadcast the Stills on Canadian television for one broadcast on the CBC’s Network and Regional stations” is more encompassing and it includes all the CBC affiliates in all time zones and Newsworld.

 

[65]           Defendants argue that it was impossible for Miss Leuthold to exclude Newsworld since she admitted not having known of its existence when she negotiated the Stills License (see transcript, testimony of Catherine Leuthold, February 6, 2012, page 168, lines 2 to 10).

 

[66]           They also contend that it was irrelevant to Miss Leuthold whether the Production was broadcasted over the air or by cable because she testified not having such preoccupation at the time she negotiated the Stills License, but only in 2003 when she negotiated terms for a broadcast on channel 5 in New York (see transcript, testimony of Catherine Leuthold, February 6, 2012, page 163, lines 12 to 23).

 

[67]           Miss Leuthold alleges that the Stills License covered one broadcast, for one time only, on the CBC network, which does not include the CBC Newsworld and the CBC’s affiliated stations.

 

[68]           It is recognized that “other than in specific situations, which are subject to imperative provisions found in other statutes . . . there is a complete freedom [for the parties] to conclude any form of agreement, subject only to the general principles of the Act, as well as respect of fundamental rights and freedoms and public order” (see Normand Tamaro, The 2012 Annotated Copyright Act, Toronto, Carswell, 2012, at page 412 [Tamaro Annotated Copyright Act]). To put it in context, parties had complete freedom to negotiate the terms of the Stills License.

 

[69]           The Ontario Court of Appeal held in SimEx Inc v IMAX Corp, [2005] OJ No 5389, at para 23, that:

[23] To summarize, while the court strives to interpret a contract in a manner consistent with the intent of the parties, the parties are presumed to have intended the legal consequences of their words. The court will consider the context or factual matrix in which the contract was drafted, including commercial reasonableness, to understand what the parties intended. The court will not adopt an interpretation that is "clearly" commercially absurd. The court must also consider the contract as a whole. The various provisions "should be read, not as standing alone, but in light of the agreement as a whole and other provisions thereof": Scanlon v Castlepoint Development Corp (1992), 99 D.L.R. (4th) 153 (Ont CA) at 179. Where the contract is unambiguous, extrinsic evidence is inadmissible…

 

Analysis time zones

 

[70]           The Court rejects Miss Leuthold’s interpretation that one broadcast in only one time zone is allowed by the Stills License because there is no specific term to that effect in the Stills License and more importantly, Miss Leuthold’s own expert stated that each regional station broadcasts in its respective time zone (see transcript, testimony of Jay Thompson, February 7, 2012, page 160, lines 24 and 25 page 161, lines 1 to 18).

 

[71]           Miss Leuthold has failed to adduce any evidence to support her interpretation that only one time zone is covered by the Stills License. Two other witnesses also stated that it was common understanding in the industry that a Canadian broadcast, when it relates to a Canadian network, includes all time zones (see transcript, testimony of Rose Torriero, February 8, 2012, page 136, lines 1to 4; transcript, testimony of Kathy Markou, February 8, 2012, page 188, lines 8 to 23).

 

Is Newsworld covered by the Stills License?

 

[72]           Mr. Jay Thompson prepared an expert report for Miss Leuthold to provide his opinion with respect to the interpretation of the sentence “to broadcast the Stills on Canadian television for one broadcast on CBC’s Network and Regional TV stations” in the Stills License. Mr. Thompson also opined on whether the reference to the CBC’s Network could reasonably be interpreted to include the CBC specialty television programming service Newsworld.

 

[73]           Mr. Thompson found that different categories of broadcasting services are regulated in different ways and are subject to different regulatory privileges and that the CBC must use the appropriate terminology according to the widely-accepted and understood regulatory meaning.

 

[74]           In Mr. Thompson’s view, “the CBC is licensed by the CRTC to operate, amongst other broadcasting services, both English and French language television networks as well as various specialty programming undertakings such as CBC Newsworld. Specialty programming undertakings are not “networks” and, unless the term “Network” is used in their branded name, it would be wrong, inaccurate and confusing from a legal standpoint to refer to them as such” (see Mr. Jay Thompson’s Expert Report, Tab 5 of the Trial record at page 121, paragraph 7).

 

[75]           Newsworld is included in the definition of Specialty Programming Undertakings (SPU) which is defined as “an undertaking for the transmission of programs, either directly by radio waves or other means of telecommunications or indirectly through a distribution undertaking, for reception by the public by means of broadcasting receiving apparatus” (see Mr. Jay Thompson’s Expert Report, Tab 5 of the Trial record at page 121). In other words, the SPU are more like program originators and they are issued programming undertaking licenses. Consequently, he finds that Newsworld is not a network or part of the CBC’s network.

 

[76]           It is clear, from Mr. Thompson’s perspective, that “the CBC Television Network – which the Stills Licence refers to as “CBC’s Network” – is a separate and distinct entity from CBC Newsworld, and that the latter is not included as part of the former” (see Mr. Jay Thompson’s Expert Report, tab 5 of the trial record, page 122 at paragraph 12).

 

[77]           The sentence, in the Stills License, “to broadcast the Stills on Canadian television for one broadcast on CBC’s Network and Regional TV stations” would mean that Newsworld as a Specialty Programming Undertaking [SPU] is not included in the License and therefore, would have infringed the Plaintiff’s copyright in the Stills for the 2002, 2003 and 2004 broadcasts.

 

[78]           In a decision dated January 6, 2000, the CRTC wrote, in paragraph 3, that:

. . .

Though their operations are based on commercial revenues and subscriber fees rather than primarily on public funding, and though Newsworld and RDI report to the Commission as distinct and separately licensed entities, there exists a healthy symbiosis between core and specialty services on both the French and English sides of the CBC. They cooperate and share personnel and equipment in an effort to maximize every production dollar available for the benefit of their viewers (see CRTC 2000-3 decision, expert Jay Thompson’s Book of Authorities, volume I, tab 10).

 

[79]           RDI and Newsworld also keep separate accounting “to ensure that specialty services funded largely through subscriber fees, are not underwritten by the CBC’s parliamentary grants; tax dollars intended to fund the over-the-air radio and television services. This rationale is still valid and the Commission has re-imposed these conditions” (see CRTC 2000-3 decision, expert Jay Thompson’s Book of Authorities, volume I, tab 10, paragraph 25).

 

[80]           Even though the License does not prohibit Newsworld from sharing its content with the main services, the CRTC clearly distinguishes Newsworld and the CBC from each other as they are subject to different regulations. The sharing of resources does not mean that the CRTC considers the CBC and Newsworld as one entity. The CRTC, in its decision, underlined that “in the conditions of licence imposed herein, the Commission clarifies that while RDI and Newsworld may simulcast each other's programming, they may not simultaneously broadcast regular programming with other CBC services regardless of whether or not the programming is originated by them or by another CBC service” (CRTC 2000-3 decision, expert Jay Thompson’s Book of Authorities, volume I, tab 10at paragraph 35). This, according to Mr. Thompson, shows that Newsworld, as a SPU, is completely different from the CBC main-channel, and its content must be differentiated.

 

[81]           The Court notes that the prohibition applies only to a simultaneous broadcasting of regular programming with other CBC services. Even if the September 10 broadcasts aired at 8:00 pm the Court notes that they were not regular programming as evidenced in D-9.

 

[82]           The Defendants, on their part, rely on the testimony of Rose Torriero, Kathy Markou and Jane Ward to substantiate their claim that Newsworld is covered by the Stills License (see transcript, testimony of Rose Torriero, February 8, 2012, page 135, lines 1 to 18; transcript, testimony of Kathy Markou, February 8, 2012, page 187, lines 9 to 21; and transcript, Janice Ward, February 7, 2012, page 65, lines 19 to 25 and page 66, line 1).

 

[83]           The parties have produced three (3) copies of contracts between the CBC and Newsco for the production of the documentary film on the 9/11 events (see Joint Book of Documents, volume II, tabs 18-20). The document produced under tab 19 indicates that Newsworld was part of the agreement and that Desmond Smith, the producer and Newsco’s representative, knew that Newsworld would necessarily be entitled to broadcast the Production. In the course of his negotiations with Miss Leuthold and subsequent interventions on her behalf, was Miss Leuthold apprised of the fact that Newsworld would broadcast the production? There is no evidence to that effect save one email.

 

[84]           Desmond Smith sent an email to Miss Leuthold on the 2nd day of September 2002, prior to the agreement reached by Miss Leuthold with the CBC on September 5th, and wrote the following: “the 85 minute, commercial free program entitled “As the Towers Fell: Minute by Minute with the Journalists” will be broadcast in Canada on September 8th on the CBC Network at 8 p.m. and will be seen in the USA wherever Newsworld International is carried” [emphasis added] (see Joint Book of documents, volume I, tab 4, page 33). It appears, from that email, that Miss Leuthold would have been informed at least minimally of some form of Newsworld involvement and did not take any steps to exclude Newsworld.

 

[85]           The program aired on September 10 based on an email sent by Miss Leuthold to Rose Torriero on September 5, 2002. It reads:

Subject: re New York Photos.

Ok Rose that’s fine just make sure its one time usage and my credit is under each picture and its not for World Wide right. Thanks for your kind words and I appreciate it please send me info who to Bill and where to fax it to.

Catherine Leuthold

 

[86]           The exact terms of the Still License were not finalized until October 2, 2002 and then signed by Kathy Markou on October 7, 2002.

 

[87]           Counsel for Miss Leuthold argues that, in this case, the Stills License should be interpreted in her favor based on the contra proferentem doctrine because the contract was drafted by the CBC.  He alleges that the onus was on the corporation to clearly indicate the scope of the License since Miss Leuthold is the weaker party. According to Miss Leuthold, that license clearly meant one usage, one transmission that was all. It was CBC’s choice to make better use or not of that one transmission. It chose to use it on the main channel in Atlantic Canada according to Miss Leuthold. Therefore all other transmissions were excluded from the License and infringed on her rights.

 

[88]           Counsel for the Defendants respond that the evidence adduced clearly shows that the intent of the parties prior to the broadcast was quite broad and that, in essence, it can be summed up as: “One time usage for Canadian broadcast”. More importantly, three witnesses testified that Newsworld was always included when rights were cleared by the CBC (see transcript, testimony of Rose Torriero, February 8, 2012, page 134, lines 22 to 25 and page 135, lines 1 to 18; transcript, testimony of Kathy Markou, February 8, 2012, page 187, lines 9 to 21; and transcript, testimony of Janice Ward, February 7, 2012, page 65, lines 19 to 25 and page 66, line 1).

 

[89]           The Court concludes that Newsworld is included in the expression for “One broadcast on CBC’s Network & Regional TV stations” for the following reasons:

 

·                    Firstly, the evidence adduced by the Defendants clearly establishes that when clearing rights, the CBC always included Newsworld.

 

·                     Secondly, the only evidence to the contrary came from Mr. Thompson who based his opinion on the distinction the CRTC makes between the CBC and Newsworld. To this Court, that distinction may be correct, from a strict regulatory perspective, but it cannot apply to the clearing of rights. In fact, Mr. Thompson admitted in his testimony that in the industry, Newsworld is sometimes referred to as a Network, though inappropriately from a regulatory perspective. This admission contradicts in part his conclusion (see transcript, testimony of Jay Thompson, February 7, 2012, page 186, lines 14 to 25 and page 187, lines 1 to 23).

 

·                     It is trite law that when interpreting an ambiguous provision in a contract the Court may turn to industry usage. In this case, the evidence as to industry usage clearly favors the Defendants. Furthermore, in considering what is commercially sensible, the Court cannot accept Miss Leuthold’s interpretation whereby the CBC would have agreed to terms that ran against their normal usage, that is to exclude Newsworld and affiliated stations.

 

·                     Thirdly, Ms. Leuthold is asking this Court to apply the contra proferentem doctrine and construe the language employed in the stills License against its underwriter, the CBC. However, “resort is to be had to this rule only when all other rules of construction fail to enable the Court of construction to ascertain the meaning of a document” (see Reliance Petroleum Limited v Canadian General Insurance Company, [1956] SCR 936 at page 953; Consolitated Bathurst Export v Mutual Boiler and Machinery Insurance Co, [1980] 1 SCR 888; Progressive Homes Ltd v Lombard General Insurance Co. of Canada, 2010 SCC 33 [Progressive]). In Progressive, the Supreme Court of Canada made the following remarks:

[23] Where the language of the insurance policy is ambiguous, the courts rely on general rules of contract construction (Consolidated-Bathurst, at pp. 900-902). For example, courts should prefer interpretations that are consistent with the reasonable expectations of the parties (Gibbens, at para. 26; Scalera, at para. 71; Consolidated-Bathurst, at p. 901), so long as such an interpretation can be supported by the text of the policy. Courts should avoid interpretations that would give rise to an unrealistic result or that would not have been in the contemplation of the parties at the time the policy was concluded (Scalera, at para. 71; Consolidated-Bathurst, at p. 901). Courts should also strive to ensure that similar insurance policies are construed consistently (Gibbens, at para. 27). These rules of construction are applied to resolve ambiguity. They do not operate to create ambiguity where there is none in the first place.

 

[24] When these rules of construction fail to resolve the ambiguity, courts will construe the policy contra proferentem - against the insurer (Gibbens, at para. 25; Scalera, at para. 70; Consolidated-Bathurst, at pp. 899-901). One corollary of the contra proferentem rule is that coverage provisions are interpreted broadly, and exclusion clauses narrowly (Jesuit Fathers, at para. 28).

 

[90]           The rules of construction in this case can reasonably be supported to give the License its proper interpretation based on the industry usage.

 

[91]           The Court therefore concludes that the Stills License included Newsworld and the right to broadcast in all time zones to affiliates and regional television stations. Consequently, the September 10, 2002, broadcasts did not infringe on Miss Leuthold’s copyright.

 

2.         In respect of each CBC broadcast and Newsworld transmission, did each participating affiliated station and BDUs, as the case may be, infringe Plaintiff’s (Miss Leuthold’s) copyright each time the Production was communicated to the public?

 

[92]           The Defendants admit that the CBC did broadcast the Production on Newsworld without authorization, on September 11, 2002, at 1:00 a.m., September 7, 2003, at 10:00 p.m., September 8th 2003, at 1:00 a.m., September 11, 2004, at 10:00p.m., September 12, 2004, at 1:00 a.m. and September 12, 2004, at 4:00 a.m. and that it is jointly and severally liable with the BDUs for these infringements. At trial, Counsel for the CBC made the following statements:

Me LEBLANC: --- je veux que la position soit claire que la solidarité -- les BDU  -- ce que je vous dis là c’est que nous sommes solidaires avec les BDU; d’accord? Alors, pour cette communication unique.

 

LA COUR: Pour ces communications uniques?

 

Me LEBLANC: Les six ou huit.

 

LA COUR: Oui, oui.

 

Me LEBLANC: Tout à fait.

 

LA COUR: C’est ce que j’avais compris ---

 

Me LEBLANC: Absolument.

                 

LA COUR: --- dans votre position.

                 

Me LEBLANC: Absolument. Donc, on est solidaires de quoi?  Bien, on est solidaires des dommages causés à Madame Leuthold.  Quels sont ces dommages-là?  La valeur de la licence.  Je reviens à la jurisprudence.

 

Comment ensuite on va se répartir entre les BDU et Radio-Canada?  Ça, ça nous regarde.  Vous avez un contrat -- un contrat type qui est déposé, ça dit que c’est Radio-Canada, dans le contrat, qui va prendre en charge …

 

Mais là, je ne parle pas de la Loi, je parle du contrat. 

 

Mais, nous, on est solidaires avec les BDU pour ces six communications et ce qu’on doit se poser comme question c’est, donc, d’accord on est solidaires des dommages de Madame Leuthold, pas de 700/800/300 communications techniques pour arriver au téléviseur du Canadien (see transcript, representations by Me Leblanc, February 14, 2012, pages 76 et 77).

 

[93]           Miss Leuthold, on the other hand, claims that each transmission by the BDUs constitutes a separate communication to the public that must be compensated.

 

[94]           The Court will deal with this issue in its answer to the fourth question.

 

3.         Is the Defendant, the CBC, liable for such infringement by the affiliated stations and the BDUs?

 

[95]           The Defendants acknowledged their joint and several liabilities with the BDUs (see transcript, representations by Me Leblanc, February 14, 2012, pages 76 and 77).

 

[96]           Newsworld’s signal retransmitted by the BDUs infringed Plaintiff’s copyright in the photographs.

 

[97]           At trial, Counsel for the CBC argued that:

Le BDU est le radiodiffuseur, est solidairement responsable de la communication au public. C’est pour cela que le producteur indépendant -- ou, dans ce cas ici, Radio-Canada -- libère les droits et libère les droits pour la communication au public jusqu’aux téléspectateurs.

 

Sinon, regardez la situation: Pour 2,500$, Radio-Canada peut diffuser sur ‘main channel’ qui -- et vous avez la pièce aussi dans le ‘Joint Book’ -- a beaucoup plus de cotes d’écoute au Canada que Newsworld.  Mais si Radio-Canada veut diffuser sur Newsworld le même documentaire, il faudrait que la Cour conclut que la licence librement négociée aurait été plus de 2.8$ millions parce que c’est ce qu’on vous dit: Pour différer une diffusion câblée au Canada, dans le cas de Radio-Canada, on vous dit qu’il y a -- je prends ‘732’ mais le chiffre peut varier […]

 

[…]

il faut donc --  Maître O’Connor vous amène à dire: Il faut donc négocier une licence avec chacun de ce[s] BDU là, ce qui fait que pour diffuser sur le câble -- et je vous soumets qu’en ce moment, toutes les stations qui diffusent sur le câble -- c’est la même technologie; c’est les mêmes BDU; ça peut varier dans le nombre -- devraient donc payer des sommes avoisinant, je présume, les 2.8 millions pour une diffusion à travers le Canada.

 

C’est un résultat incongru et c’est un résultat incongru parce qu’il part d’une fausse prémisse.  C’est-à-dire on va déterminer -- on va compenser en vertu des actes de contrefaçon sans se préoccuper de ce que vaut vraiment l’œuvre […]

 

[…]

 

Ce n’est pas abstrait.  On n’ajoute pas des dommages à chaque fois qu’on peut prouver qu’il y a eu, dans ce cas-ci, une communication additionnelle.  Une communication publique, d’accord; c’est pour ça qu’on dit six ou huit, mais dans le chemin pour s’y rendre, là les BDU n’influencent pas parce que sinon, ça viendrait justement -- ça mènerait justement, je le dis avec beaucoup d’égard, à une situation qui serait inéquitable, qui ferait en sorte que, justement, les chiffres qui ont été avancés devant vous seraient des chiffres possibles pour une compensation (see transcript, representations by Me Leblanc, February 14, 2012, pages 16, 17 and 25).

 

[98]           Defendants argue that they have infringed Miss Leuthold’s copyright on no more than 6 separate occasions. They refer to the definition of “broadcasting” and “meaning of other means of telecommunications” and allege that a broadcast is a transmission from the broadcaster to the Canadian public. For a production to be transmitted to the public, a number of BDUs will retransmit the broadcaster’s signal to a certain number of Canadian subscribers. The Defendants submit that the process of retransmission to the public is technology neutral under the definition of “meaning of other means of telecommunication”. According to them, this definition exists in the Broadcasting Act for the purpose of avoiding an infringement that would emanate from the technical retransmission of a distribution undertaking.

 

[99]           On the other hand, Miss Leuthold wants to be compensated for each transmission on the basis of the value of her five photographs. However, the Defendants contend that her claim runs counter to the general principle of the Copyright Act.

 

[100]       The Court’s answer to the third question is the following: the Defendant, the CBC, is liable jointly and severally with the BDUs but only for the six communications to the public that infringed on Miss Lethold’s copyright.

 

[101]       In order for the Court to assess the issue of damages, it must first determine on what basis to award the damages claimed by Miss Leuthold.

 

4.         If there was copyright infringement by the Defendants, the affiliated stations or the BDUs, what remedies should be awarded to the Plaintiff (Miss Leuthold) in terms of damages, profits, injunctive relief, and delivery up?

 

A.        Miss Leuthold’s position

 

[102]       Miss Leuthold’s position is summed up in the following document that was tabled by her counsel.

 

 

 

 

 

 

 

 

 

 

 

[103]       Miss Leuthold relies on the definitions found in paragraphs 2.4(1) (c) and 3(1) (f) of the Copyright Act.

 

[104]       She also applies the definitions of broadcasting, broadcasting undertaking, distribution undertaking and network found in the Broadcasting Act.

 

[105]       In essence, her position is that each transmission should be compensated, whether it was aired by the CBC on the main channel or by a regional station or an affiliate or by a BDU relaying a signal received from Newsworld. Since each transmission by a BDU constitutes an infringement, she is therefore claiming $2,500.00 US or the equivalent in Canadian dollars at the exchange rate applicable at the time. In September 2003, the number of distribution undertakings stood at approximately 712, and in 2004 they were about 807 distribution undertakings (see Joint Book of Documents, volume II, pages 518 to 564). Therefore, each unauthorized transmission on Newsworld is assessed at $2,439,846.00 in 2003 and $2,623,355.25 in 2004. The damages for the broadcast on the main channel inclusive of regional stations and affiliates and taking into consideration the time zones are evaluated at $146,002.50 for the network, as defined by Miss Leuthold.

 

[106]       Miss Leuthold is also claiming $92,998.00 as her prorated share of Newsworld revenues generated during the period of the unauthorized broadcasts. In delimiting that amount the total length of each Production aired was taken into consideration. The September 2003 broadcast lasted 2 hours. Therefore, the amount claimed is based on the revenues for the total month derived from cable subscribers, divided by the total hours of broadcasting and the number of days in the month.

 

[107]       Miss Leuthold also asserts that her contribution was more significant than any other participant on the Production since she was paid $2,500.00 US for one play whereas the BBC only received $20,000.00 for a worldwide license for five years. She argues that the total Production constitutes an infringement and not just the 18 seconds where the Photographs appear because she comments the Photographs during the Production and her appearance is significant.

 

[108]       Miss Leuthold is also asking the Court for bifurcation or an accounting of profits.

 

[109]       At trial her counsel amended Miss Leuthold’s position with respect to punitive and exemplary damages. Miss Leuthold desisted from her claim of $15, 000.00 for punitive damages but maintained her claim of $25,000.00 strictly for exemplary damages from defendant, the CBC, and $10,000.00 from Mr. Jerry Mc Intosh, based on their alleged callous behavior and the fact that it aired the Production on several occasions despite the limited rights granted under the Stills License.

 

B.        Defendants’ position

 

[110]       The Defendants rely on the expert testimony of Elizabeth Klink. Mrs. Klink was recognized by the Court as an expert on the valuation of Stills. In order to assign a value to the Photographs she contacted the top three international photographic archive collections, Corbis Images, Getty Images and Associated Press. She negotiated Worldwide Rights directly with all three for photographs.  She also dealt directly with the Canadian representative of Corbis. Her conclusion was that each Photograph had an average value of $300.00 US in 2002 for use worldwide all media in perpetuity (see Trial Records, tab 4, page 113).

 

[111]       Citing Hutton v Canadian Broadcating Corp. (CBC) (1989), 29 CPR (3d) 398 at pages 450-451 confirmed by (1992) 41 CPR (3d) 45 (CA Alta) [Hutton c Canadian Broadcasting Corp], the Defendants claim that damages should be assessed on the basis of the amount that the defendant, the CBC, would have paid for the broadcasting rights. They further argue that, since it was customary for the plaintiff to grant licenses, then, the best measure of damages is the value of a license that would have been freely negotiated by the parties. Miss Leuthold at the time was selling the Photographs for $500.00 US each. They then refer to the Corbis site claiming that three of Miss Leuthold’s Photographs can be obtained with unlimited worldwide rights for $350.00 Canadian per image (see Trial Records, Elizabeth Klink expert report, tab 4, page 108).

 

[112]       The Defendants also underline the importance of determining the value of compensation that should be awarded for the infringements not on the number of technical infringements that occurred but, on the six times Canadians were provided access to the Photographs because the two licenses negotiated, specifically entailed that all Canadians could view the Photographs.

 

[113]       It is also the Defendants’ position that to compensate Miss Leuthold on the basis of the number of technical infringements is contrary to the definitions found in the Broadcasting Act where a broadcast is a transmission to the public independently of the apparatus used.

 

[114]       Finally the Defendants claim that the proper amount to which Miss Leuthold is entitled is $875.00 US for Canadian broadcast rights based on Mrs. Klink’s testimony.

 

Objections

 

[115]       In the course of Mrs. Klink’s testimony, the Court took under advisement two objections from counsel representing the plaintiff, Miss Leuthold. The objections pertained to the admissibility of testimony by Mrs. Klink that contradicted statements made by Miss Leuthold with respect to the number of photographers that actually took pictures on 9/11 and the value of photographs in a more limited market such as Canada, for a shorter time frame than the assessment included in her report.

 

[116]       The Court rejects both objections raised by plaintiff, Miss Leuthold, because an expert witness can testify to varying parameters that influence the value of goods she was asked to appraise and can also rebut evidence introduced by another witness inasmuch as her testimony is based on personal knowledge, which was the case in this instance.

 

C.        Analysis

 

            Damages

 

[117]       Under subsection 34(1) of the Copyright Act, “where copyright has been infringed, the owner of the copyright is, subject to this Act, entitled to all remedies by way of injunction, damages, accounts, delivery up and otherwise that are or may be conferred by law for the infringement of a right”.

 

[118]       The Court has identified two questions that must be answered in order to properly compensate Miss Leuthold for the infringements of her copyright.

 

Compensation for each infringement or each communication to the public and basis for compensation.

 

[119]       The parties disagree on the number of infringements that need to be compensated. This Court has determined that the licenses covered the transmissions of March 17, 2002 and September 10, 2002, on both the CBC network inclusive of affiliates and regional stations in all time zones and Newsworld.

 

1.         At issue is the entitlement to compensation for each individual communication by a BDU or should the compensation be based on each overall communication to the public?

 

[120]       Miss Leuthold takes the position that the Copyright Act provides for compensation for each separate act of infringement. Her counsel, citing from Tamaro Annoted Copyright Act, page 726, acknowledged that a basis for compensation as held in various cases and more particularly the case of Webb & Knapp v Edmonton (City) (1970), 44 Fox, where “the Court referred to an English decision, Meikle v Maufe, [1941] 3 All ER 144, where it was held that for breach of copyright, specifically of architectural works, the starting point in assessing damages was the sum which might have been charged for a licence to use the copyright. From there, the surrounding circumstances should be taken into account as with the infringement of any proprietary right”.

 

[121]       Counsels for the Defendants have also acknowledged that the amount paid for a license is a valid starting point. They cited Hutton c Canadian Broadcasting Corp and Video Box Enterprises Inc v Peng, 2004 FC 482, but they insist that, in the present case at issue are only six communications to the public and not the number of communications from each BDU.

 

[122]       In support of their position they claim that if the Court was to consider the technical means used this would be counter to the Copyright Act because compensation would vary not on the number of occasions the public saw the Production but on the means used to communicate the Production.

 

[123]       Defendants also allege that the theory developed by Miss Leuthold to the effect that each transmission by a BDU constitutes an infringement is contrary to the definitions in the Broadcasting Act.

 

[124]       Miss Leuthold, on the other hand, claims that each BDU should have negotiated a license with her. The amount of that license constitutes in her view a starting point. The Court should also consider a deterrent to discourage others from contravening her rights.

 

[125]       According to Miss Leuthold’s counsel, if a distribution undertaking had approached Catherine Leuthold in isolation to obtain a license to communicate her Photographs to the public, the cost would have been $500.00 US per photograph. The value of a license is $2,500.00 US independently of the number of subscribers held by that BDU whether it would be 1000 or 1,2 million.

 

[126]       Miss Leuthold recognizes that the numbers derived from such a formula are impressive but according to her, the issue is solely that each infringement must be compensated. If Miss Leuthold had been paid a license fee for every infringement then, that total amount constitutes the appropriate compensation. Since the compensation is based on a license fee after the fact, the Court should not consider volume discounts or the fact that ultimately the CBC will be responsible for the total amount.

 

[127]       The Court rejects Miss Leuthold’s position that damages should be awarded on the basis that each broadcasting undertaking should have negotiated a license which had a value of at least $2,500.00 US.

 

[128]       The Copyright Act is meant to properly compensate the owner of a copyright if his rights are infringed. In the present case the rights of Miss Leuthold were infringed. On six separate occasions her Photographs were viewed by Canadians for a duration of 18 seconds without her authorization. The Court will compensate Miss Leuthold for every one of the six communications to the Canadian public, but it cannot accept the principle that compensation must be awarded on the basis of each technical act of infringement because applying such a method runs counter to our reading of the Broadcasting Act with the Copyright Act. To this Court subparagraph 2.4(1) (c) (ii) of the Copyright Act must be read in conjunction with the definition of broadcast in the Broadcasting Act. The important factor to consider is the number of occasions the infringing broadcasts could be seen by the public. In this instance there were six separate occasions lasting 18 seconds each where the Canadian public who subscribe to cable could see the Photographs on Newsworld. The technical means used to relay the infringing work has no bearing on the amount of compensation owed to Miss Leuthold save for the revenues derived from the infringing broadcast. What is important in this Court’s opinion is to adequately compensate a copyright owner for the damage suffered. The number of potential viewers bears some significance in terms of the value to be assigned to a license.

 

[129]       Miss Leuthold’s position also runs counter to the initial intent of the parties when they freely negotiated the licenses. It is clear that when Miss Leuthold negotiated the licenses, the technical means used by the Defendants to communicate her Photographs were never a consideration (see transcript, testimony of Catherine Leuthold, February 6, 2012, page 90, lines 10 to 16; page 91, lines 12 to 25; and page 92, lines 1 to 20).

 

[130]       By analogy, should Miss Leuthold have opted for statutory compensation pursuant to subsection 38.1(3) of the Copyright Act, her compensation would have been limited. The relevant provision states that:

38.1(3) where

(a) there is more than one work or other subject-matter in a single medium and

 

b) the awarding of even the minimum amount referred to in subsection (1) or (2) would result in a total award that, in the court’s opinion , is grossly out of proportion to the infringement,

 

The court may award, with respect to each work or other subject matter, such lower amount than $500 or 200$, as the case may be, as the court considers just.

 

[131]       More importantly the jurisprudence holds that “even if the evidence to support a calculation on the above-mentioned basis is not available, damages will nevertheless be awarded based on the evidence available and drawing reasonable inferences, using common-sense. Copyright is said to be a property that is a wasting asset. When copyright infringement is established and actual loss or specific damages cannot be proven but, nevertheless, it is shown that damages resulted directly from the infringement, damages will be granted at large and "may be dealt with broadly and as a matter of common sense, without professing to be minutely accurate"” (Intellectual Property Disputes: Resolutions & remedies, Vol 2, Ronald E. Dimock, « Monetary Relief – Damages by Me François Grenier, Carswell, 2003, Toronto, at page 17-16; Prism Hospital Software v Hospital Medical Records Institute,[1994] BCJ No 1906 at para 665).

 

What constitutes an appropriate compensation taking into consideration the facts and evidence adduced in this instance? 

 

[132]       The Court must first underline the fact that in Canada, copyright “is a creature of statute and the rights and remedies it provides are exhaustive” (see Théberge v Galerie d'Art du Petit Champlain inc, [2002] 2 SCR 336, 2002 SCC 34, at para 5; Bishop v Stevens, [1990] 2 SCR 467, at page 477; Compo Co v Blue Crest Music Inc, [1980] 1 SCR 357, at page 373).

 

[133]       It may, in certain instances, be more difficult to assess damages resulting from copyright infringement. In his 2012 annotated Copyright Act, at page 727, Normand Tamaro makes a jurisprudential review of the general principal regarding quantum and quotes from a judgment rendered by the Superior Court of Québec:

[36] Dans Webb & Knapp v City of Edmonton [(1970), 44 Fox Pat C 141 (SCC)] la Cour Suprême a reconnu que le droit d’auteur présente parfois un problème d’évaluation quant à la détermination du préjudice pécuniaire subi par le titulaire des droits, et se réfère à un arrêt anglais [Meihle c Maufe, [1941] 3 All E R 144] où le tribunal a statué que dans des cas de contrefaçon de plans d’une œuvre architecturale, il faut se demander ce qu’il en aurait coûté pour obtenir une licence pour utiliser les droits d’auteur de la manière dont ils ont été utilisés . . .

 

[37] Il est souvent dit qu’en matière de droit d’auteur, les tribunaux n’ont pas besoin de déterminer les pertes et dommages avec précision ; c’est plutôt une matière relevant du sens commun. En l’espèce, le Tribunal exercera son pouvoir discrétionnaire pour fixer les dommages payables . . .  (see Corp. de développement immobilier Intersite c Immobilière Versant III inc, 2007 QCCS 4428 at paras 36-37).

 

[134]       Another general principle that applies can be stated as follows “the Copyright Act does not permit the person who has infringed the copyright of the owner to escape a condemnation for damages merely because they are impossible or difficult to prove. Damages can be granted for breach of the Copyright Act without the necessity to prove them and if damages are difficult to assess or cannot be evaluated "… the tribunal must do the best it can, although it may be that the amount awarded will really be a matter of guesswork"” (see U & R Tax Services Ltd v H & R Block Canada Inc (1995), 62 CPR (3d) 257 (Fed TD) at para 46).

 

[135]       Furthermore, it has been recognized that material damages such as profits derived from the publication of infringing work, are generally difficult to assess. Nevertheless, in copyright matters they need not be proven. The copyright owner is justified in assuring the protection of the property protected by the copyright. “The determination of damages [can be], to a large extent, […] a rough and ready one” (see Slumber-Magic Adjustable Bed Co v Sleep-King Adjustable Bed Co. (1984), 3 CPR (3d) 81 (BCSC) at para 30).

 

[136]       An important factor that warrants consideration in the present case is the basis on which the Court can assess the material damages. The discussions between the parties on the cost of a license can be used as an element to consider in deriving the amount to which Miss Leuthold is entitled. This “constitute[s] a basis for determining the compensatory damages” (see Normand Tamaro, The 2012 Annotated Copyright Act, at page 732; see also Construction Denis Desjardins inc v Jeanson, 2010 QCCA 1287; Eros - Équipe de recherche opérationnelle en santé inc v Conseillers en gestion et infromatique C.G.I. inc, 2004 FC 178 (FC) [Eros]).

 

[137]       The damages may also be assessed on the basis of the loss of profits in the various commercial markets in which the work could have been shown (see École de conduite Tecnic Aubé inc v 1509 8858 Quebec Inc (1986), 12 CIPR 284 (Que SC); see also the particular case of an infringement in respect of the publication of eight photographs in Parker v Key Porter Books Ltd (2005), 40 CPR (4th) 80 (SCJ)). 

 

[138]       Fundamentally, the Court‘s discretion is broad but its assessment of damages must be based on common sense. “Any reasonable method can be used to calculate the damages that the plaintiff has suffered” (Ysolde Gendreau et David Vaver, "Canada", in International Copyright Law and Practice, vol 1, LexisNexis, 1988, at CAN-113).

 

[139]       Both parties have submitted that the discussions surrounding the licenses are a valid starting point to assess the amount of compensation owed to Miss Leuthold. The Court agrees. Evidence was adduced by Miss Leuthold that rights to use her photographs commanded a price ranging from $185.00 to as much as $10, 000.00 (see Joint Book of Document, volume II, tab 22, exhibit P-22). In each instance Miss Leuthold insisted on proper credits and limited usage (see transcript, testimony of Catherine Leuthold, February 6, 2012, page 101, lines 8 to 25 and page 102, lines 1 to 17).

 

[140]       The Defendants dispute the limited usage Miss Leuthold claims to have negotiated in all instances, based on the expert report produced by Mrs. Elizabeth Klink that concluded that worldwide rights for all media in perpetuity were valued at $500.00 US per Photograph. The report also asserted that Corbis, who has represented Miss Leuthold since 2003, could grant worldwide rights all media in perpetuity. This was denied by Miss Leuthold who testified that in her case, the rights granted were always limited commercial use notwithstanding the language appearing on the Corbis website or the standard Corbis agency agreement (see transcript, testimony of Catherine Leuthold, February 6, 2012, page 185, lines 13 to 25; page 186, lines 1 to 7 and page 187, lines 2 to 7).

 

[141]       It is clear to the Court that Miss Leuthold’s Photographs are valuable in that they generate a certain amount of income annually. Miss Leuthold did not present any evidence as to what percentage of her annual income is derived from the sale of rights to reproduce the Photographs; she had no obligation to that effect under the Copyright Act. The $2,500.00 US paid by the Defendant, the CBC, is a valid basis from which to start. That fee was based on a limited usage.

 

[142]       The Court accepts Miss Leuthold’s position that she always negotiated limits to the rights granted. It is obvious that by limiting the rights granted, Miss Leuthold maintains a limited access to her work hence protecting its commercial value.

 

[143]       Mrs. Klink states that she would not pay more than $500.00 US per photo unlimited worldwide right all media (Joint Trial Record, tab 4, page 113). While the Court takes into consideration that opinion, it must also determine what is an adequate compensation based on all the evidence adduced. When cross-examined by counsel for Miss Leuthold, Mrs. Klink acknowledged that she was not aware that Miss Leuthold had sold some Photographs to People Magazine, Le Monde, Newsweek for amounts ranging from $2,300.00 to $10,000.00 in 2001 but did confirm that the Photographs decreased in value further you are from the event (see transcript, testimony of Mrs. Klink, February 8, 2012, pages 80 and 81).

 

[144]       The Court assesses the damages at $3,200.00 US for each of the six unauthorized communication to the public on the basis that Miss Leuthold could have negotiated a higher license fee than the initial $2,500.00 in view of the repeated usage. The Court is also taking into consideration the amount received by Miss Leuthold for publication of her photographs in Der Spiegel and Le Monde. Though these are publications with a more limited distribution, the images can be viewed by more people for a longer length of time.

 

Proof of profits

 

[145]       Subsection 35(2) of the Copyright Act provides that:

In proving profits,

 

(a)               the plaintiff shall be required to prove only receipts or revenues derived from the infringement; and

 

(b)               the defendant shall be required to prove every element of cost that the defendant claims.

 

[146]       “The Copyright Act provides for a specific system of accounting at s 35(2), setting out the parameters within which the profits referred to in s 35(1) are calculated” (see Normand Tamaro, The 2012 Annotated Copyright Act, at page 756).

 

[147]       In this case the Court will not grant an accounting of profits for the following reason: there exists no causal link between the fee paid by Newsworld subscribers and the six unauthorized communications to the public that infringed on Miss Leuthold’s rights.

 

[148]       The Court will only grant an accounting of profits where it finds a direct link between the infringements and the profits of the infringer. In the present case, there is no evidence on the record linking the revenues of Newsworld to the six unauthorized communications to the public. Newsworld revenues did not increase as a result of the six communications to the public (see transcript, testimony of Janice Ward, February 7, 2012, page 56, lines 1 to 25 and page 57, lines 1 to 15) (Joint Book of documents, volume II, tab 10, page 517 A).

 

[149]       The evidence adduced on the revenues of Newsworld is the basis for the Defendants claim of $ 92,998.00 for the eight infringements alleged based on a prorated share of these revenues. The Court has concluded that only six unauthorized communications to the public infringed Miss Leuthold’s rights. If  we apply the formula used by Miss Leuthold but limit it to the actual length of time, the Photographs appeared on Newsworld during the months of September 2003 and 2004, which is18 seconds rather than the full length of the Production, the amount payable for a pro-rata share of revenues is $66.00 for 2003 and $102.73 for 2004.

 

[150]       The Court grants these amounts because the revenues of Newsworld, though not linked to the infringement, are nonetheless generated from continuous programming airing on a 24 hour basis. The Photographs appearing in the Production occupied air time for 18 seconds. Miss Leuthold should be compensated as such.

 

[151]       At page 356, Volume I of the Joint Book of Documents, the Defendants have produced a summary of the publicity revenues generated from all the communications to the public. These publicity revenues totalize $6,960.00. The Defendants claim that these include revenues from two communications that did not include Miss Leuthold’s Photographs. Consequently, an amount of $2,604.00 must be deducted, leaving a balance$4,356.00. If we consider that the Production cost at least $70,000.00 to produce, there are no profits to be apportioned in this instance and hence, no valid reason to order an accounting of profits (see Joint Book of documents, volume II, tabs 18 and 19).

 

 

Punitive and exemplary damages

 

[152]       Miss Leuthold has modified her claim with respect to punitive and exemplary damages. She desisted from her claim of $15,000.00 for punitive damages but maintained her claim of $25,000.00 strictly for exemplary damages from Defendant, the CBC, and $10,000.00 from Jerry Mc Intosh, based on their alleged callous behavior and the fact that they aired the Production on several occasions despite the limited rights granted by the Stills License.

 

[153]       The Court underlines that, while they are often confused, there is a distinction between punitive and exemplary damages (see Jelin Investments Ltd v Signtech Inc (1990), 34 CPR (3d) 171 (Fed TD)). Exemplary damages go beyond full compensation of the Plaintiff and include a sum to penalize the Defendant. Punitive damages can be defined, on the other hand, as the granting of a more generous amount for an award of actual damages rather than a more moderate amount because of the reprehensible conduct of the Defendant.

Punitive damages are awarded against a defendant in exceptional cases for "malicious, oppressive and high-handed" misconduct that "offends the court's sense of decency": Hill v. Church of Scientology of Toronto, [1995] 2 SCR 1130, at para 196. The test thus limits the award to misconduct that represents a marked departure from ordinary standards of decent behaviour. Because their objective is to punish the defendant rather than compensate a plaintiff (whose just compensation will already have been assessed) […] (see Whiten v Pilot Insurance Co, 2002 SCC 18 at para 36 [Whiten]).

 

[154]       The Supreme Court also wrote that “In Vorvis, . . .  this Court held that punitive damages are recoverable in such cases provided the defendant's conduct said to give rise to the claim is itself "an actionable wrong" (p. 1106). The scope to be given this expression is the threshold question in this case, i.e., is a breach of an insurer's duty to act in good faith an actionable wrong independent of the loss claim under the fire insurance policy?” (see Whiten at para 78)

 

[155]       The Supreme Court adds:

The more reprehensible the conduct, the higher the rational limits to the potential award. The need for denunciation is aggravated where, as in this case, the conduct is persisted in over a lengthy period of time (two years to trial) without any rational justification, and despite the defendant's awareness of the hardship it knew it was inflicting (indeed, the respondent anticipated that the greater the hardship to the appellant, the lower the settlement she would ultimately be forced to accept) (see Whiten at para 112).

 

[156]       Exemplary damages are only awarded with the objective “of punishment and deterrence” (see Quebec (Public Curator) v Syndicat national des employés de l’hôpital St-Ferdinand, [1996] SCJ No 90).

 

[157]       Miss Leuthold’s counsel referred the Court to extracts from Normand Tamaro’s Annoted Copyright Act, at page 739, where the Author makes the point that “where the defendant’s actions constituted a callous disregard for the rights of the plaintiff”. He argued that in this instance, the conduct of Jerry McIntosh and the CBC does constitute such callous disregard for the rights of Miss Leuthold.

 

[158]       The Defendants respond that exemplary damages are only awarded where the copyright was infringed intentionally. They rely on Eros, cited above, where the Court stated that a plaintiff is only allowed exemplary damages where fraud or a malicious intent are proven. Again citing Hutton c Canadian Broadcasting Corp., the Defendants claim that it stands for the principle that exemplary damages are only granted in the presence of an outright counterfeiting coupled with the breach of an interim injunction such as in Pro Arts Inc v Campus Crafts Holdings Ltd (1980), 110 DLR (3d) 366. In sum, Defendants allege that such circumstances do not exist in the present case.

 

[159]       The evidence on the record does not lead to the granting of exemplary damages against the CBC or Jerry Mc Intosh. It is clear that the six unauthorized communications to the public resulted from an honest mistake which Mr. McIntosh admitted quite candidly in his testimony (see transcript, testimony of Jerry Mc Intosh, February 9, 2012, page 17, lines 24 and 25; page 18, lines 1 to 16; page 23, lines 6 to 25 and page 24, lines 1 to 7).

 

[160]       There is no evidence on the record that can lead the Court to award exemplary damages.

 

Injunction relief

 

[161]       There is no necessity to grant Miss Leuthold the injunction relief sought. CBC ceased to broadcast the Production in 2005. The injunction would have no effect whatsoever (see De Montigny c Cousineau, [1950] SCR 297 at page 304; Durand and Cie v Patrie Publishing Co, [1960] SCR 649 at page 658) There is no probability of a repetition of the particular act complained of (see Canadian Performing Right Society Ltd v Canadian National Exhibition Association, [1934] OR 610 (HC)).

 

 

 

Delivery-up

 

[162]       The Plaintiff is entitled to delivery-up according to subsection 34(1) of the Copyright Act. It is useful to repeat the following passage from Canada  v James Lorimer & Co, [1984] 1 FC 1065, at page 1073, on the issue of delivery-up:

It likewise follows that, where the infringing work is found to include any substantial part of a work in which copyright subsists, the copyright owner is to be deemed owner of all copies of the infringing work and all production plates and is prima facie entitled to the assistance of the Court in gaining possession of them. The onus is on the infringer to establish grounds upon which the Court may properly exercise its discretion against granting such relief.... Those grounds must lie in the conduct of the copyright owner, not in the conduct or motives of the infringer.

 

[163]       Subsection 38(1) of the Copyright Act governs the right for the Plaintiff to recover all infringing material in possession of the Defendants. It is the infringer’s burden to establish a reason why this Court should refuse this measure. This reason cannot be based on the infringer’s behavior or motives (CBC’s practice concerning its logger tapes and archives). In the present case delivery-up is ordered.

 

5.         Is the Defendant, Jerry Mc Intosh, independently liable for any infringement of the Plaintiff’s (Miss Leuthold’s) copyright and, if so, what remedies should be awarded?

 

 

 

 

A.        Miss Leuthold’s position

 

[164]       The Defendant, Jerry Mc Intosh, is the Director of Documentaries for CBC News. According to Miss Leuthold, Mr. Mc Intosh infringed her copyright in the Photographs by permitting eight unauthorized viewing of the Production by the Canadian public.

 

B.        Position of the Defendants

 

[165]       The Defendants submit that there is no evidence of any infringement or authorization of infringement by Mr. Mc Intosh, either in his personal capacity or in his professional capacity. The allegations against him are frivolous, scandalous and vexatious.

 

C.        Analysis

 

[166]       In the joint book of documents, the Defendants reproduced Mr. McIntosh’s job description. That description entails to “[direct] and oversee all news and current affairs documentary programming  and program development activities in order to attain the objectives of the English Television Network and CBC Newsworld and fulfill public expectations and corporate obligations” (see Joint Book of Documents, volume I, tab 8, page 339).

 

[167]       A director of CBC Documentary Unit also “directs and oversees the production of documentary programming…” (see Joint Book of Documents, volume I, tab 8, page 340) or News, current Affairs and Newsworld.

 

[168]       The Court underlines the following passages from Mr. McIntosh’s testimony:

A.        I’m embarrassed by the mistake. I take responsibility for it. But I believe it was an honest mistake.

 

We knew that Ms. Leuthold did not want her images in the documentary and I instructed a version be created without them and I felt comfortable and confident that that version was going to air on subsequent transmissions and I was shocked in 2004 to discover that we have aired the wrong tape. Physically somebody had gone to the library of hundreds of videotapes, pulled the wrong one. That’s what happened.

 

It’s embarrassing. I’m not proud of it. But I admitted that to Ms. Leuthold in an email I sent to her and said let’s straighten it out and we’ll compensate you.

 

Q.        The first time you learned of that mistake, you just said 2004, can you be more specific? When did you learn, the first time that - - -

 

A.        It’s a long time ago, so I don’t remember precisely. It could have been an email from Catherine saying “What’s up?”, you know, “What’s going on? How come my images are on CBC?” That’s possible. It could have been possible that she called somebody else and they called me or - - -

 

Q.        Okay.

 

You’ve been director or director of documentary for how long - - or at that time you would have been for how long, in 2004?

 

A.        I’d gone through a number of different kind of subtle changes in the job description, taking on additional responsibility, but for approximately 10 years.

 

Q.        And up until you left the CBC in 2006, did that situation ever happen to you?

 

A.        No. This is the first time I’ve ever encountered it.

 

Q.        How many documentaries would you have been responsible for over the course of your duties?

 

A.        Hundreds - - hundreds of documentaries.

 

Q.        Have you ever been sued yourself or, to your knowledge, the CBC, for infringement of copyright in stills or video footage?

 

A.        No. No.

 

. . .

 

THE WITNESS:  From my point of view, this – - this e-mail was me reaching the conclusion that we were not going to be able to get the unlimited rights to broadcast Ms. Leuthold’s images.

 

She was intent on holding as to one - -  one play only and that I was satisfied with that for the one plan in September of 2002 and that, in subsequent transmissions, we were going to air a documentary that contained none of her images.

 

And I regretted that, at the time because I would have preferred to have the images but that wasn’t to be so we said: Okay, let’s move on. We’ll remove the images and that’ll be it.

 

Q.        And you’ve testified to the 60-minute version that was prepared without her stills. You also testified that there was a 90-minute version that included the stills.

 

Why were her stills not taken out of that 90-minute version?

 

A.        I don’t have the answer to that. I don’t know that.

 

I issued instructions to remove her - - her images from the documentary. It appears that in one case, the 60-minute case, they were removed. The 90-minute tape, obviously, was not corrected and, inadvertently, was transmitted.

(see transcript, testimony of Mr. Mc Intosh, February 9, 2012, page 18, lines 1 to 25, page 19, lines 1 to 23, page 23, lines 5 to 25 and page 24, lines 1 to 7)

 

[169]       In authorizing the broadcast, Mr. McIntosh infringed Plaintiff’s copyright in the Photographs.

 

[170]       However, he is not liable for this infringement because the CBC is held responsible for the misconduct of its employees. Vicarious liability is “a theory that holds one person responsible for the misconduct of another because of the relationship between them. Although the categories of relationships in law that attract vicarious liability are neither exhaustively defined nor closed, the most common one to give rise to vicarious liability is the relationship between master and servant, now more commonly called employer and employee” (see 671122 Ontario Ltd v Sagaz Industries Canada Inc, 2001 SCC 59 at para 25 [Sagaz]). More specifically, the master’s tort theory “posits that the employer is vicariously liable for the acts of his employee because the acts are regarded as being authorized by him so that in law the acts of the employee are the acts of the employer” (see Sagaz at para 28).

 

[171]       Mr. McIntosh is not personally liable because it is clear from the evidence on the record that the unauthorized communications to the Canadian public were not the resultant of a deliberate act or the result of gross negligence.

 

6.         Regardless of the Court’s finding on liability, what measures of costs should be awarded given the conduct of the parties and outstanding offers to settle?

 

[172]       Rules 419 to 421 of the Federal Courts Rules, SOR-98-106 [the Rules], deal with offers to settle. They complement Rules 400(3) and 409 which allow the Court and the assessment officers to take into account of written offers to settle in assessing cost.

 

[173]       Rule 420 of the Federal Court Rules prescribes costs consequences where a party obtains a judgment less favorable than a written offer to settle made by opposing party.

 

[174]       The Court will permit the parties to present their respective position with respect to cost at a special hearing to be set after the parties have received this judgment.

 

Motion to amend

 

[175]       Counsel for Miss Leuthold presented a motion to amend his pleadings so that any amount awarded to Miss Leuthold in respect of an unauthorized communication to the public be based on the US dollar exchange rate applicable on the date of that communication to the public.

 

[176]       Counsel for the Defendants opposed that amendment on grounds that the pleadings were closed and that Miss Leuthold has failed to properly introduce evidence to the applicable exchange rate on the dates of the unauthorized communications to the public.

 

[177]       The Court rejects the amendment because it is contrary to Rule 75(2) of the Federal Court Rules. That Rule clearly states that amendments are not allowed during a hearing unless the purpose is to make the document accord with the issues at the hearing which is not the case in this instance, as the applicable exchange rate on the dates of the unauthorized communications to the public was never properly introduced in evidence.

 


 

JUDGMENT

THIS COURT

1.                  ALLOWS the Plaintiff’s action;

 

2.                  DECLARES that:

i)          copyright subsist in the Photographs as defined in this judgment

 

ii)         the plaintiff is the rightful owner of the copyright in the Photographs; and

 

iii)        the copyright has been infringed by the Defendant, the Canadian Broadcasting Corporation, on six occasions that is on September 11, 2002, September 7, 2003, September 8, 2003, September 11, 2004, September 12, 2004 at 1:00 am and September 12, 2004, at 4:00 am, for which the Defendant, the Canadian Broadcasting Corporation, is jointly and severally liable with each broadcasting distribution undertaking that retransmitted the Photographs;

 

3.         CONDEMNS the Defendant, the Canadian Broadcasting Corporation, jointly and severally with each BDU, to pay total damages of $3,200.00 US dollars for each of the six unauthorized communications of the Photographs to the public, for a total of $19,200.00 US dollars;

 

4.         CONDEMNS the Canadian Broadcasting Corporation to pay an amount of $168.74 Canadian, plus interest, as such part of the revenue received by Newsworld from the unauthorized communication of the Photographs to the public on the dates above mentioned;

 

5.         ORDERS the defendant, the Canadian Broadcasting Corporation, to deliver up to the Plaintiff all copies of films, videos, disks or other tangible media containing the Photographs save for one copy of the final version of the Production to be retained by Defendant, the CBC, for archival purposes only;

 

6.         ORDERS the Defendant, the Canadian Broadcasting Corporation to erase all copies of the Photographs from all purely electronic media, and to provide to the Plaintiff, within fourteen days of judgment herein, an affidavit from an officer of the Defendant, the Canadian Broadcasting Corporation, that this order has been fully executed; and

 

7.         RESERVES its decision as to costs until the Court has heard the representation of the parties at a special hearing to be set in the weeks following receipt of this judgment.

 

 

"André F.J. Scott"

Judge


ANNEX

 

 

Sections 2 and 3(2) of the Broadcasting Act, SC 1991, c 11 read as follows:

 

L’article et le paragraphe 3(2) de la Loi sur la radiodiffusion, SC 1991, c 11 se lit comme suit:

 

 
Definitions
 
Définitions
 

 (1) In this Act,

 

“broadcasting”

« radiodiffusion »

 

“broadcasting” means any transmission of programs, whether or not encrypted, by radio waves or other means of telecommunication for reception by the public by means of broadcasting receiving apparatus, but does not include any such transmission of programs that is made solely for performance or display in a public place;

 

“broadcasting receiving apparatus”

« récepteur »

 

“broadcasting receiving apparatus” means a device, or combination of devices, intended for or capable of being used for the reception of broadcasting;

 

“broadcasting undertaking”

« entreprise de radiodiffusion »

 

“broadcasting undertaking” includes a distribution undertaking, a programming undertaking and a network;

 

“Commission”

« Conseil »

 

“Commission” means the Canadian Radio-television and Telecommunications Commission established by the Canadian Radio-television and Telecommunications Commission Act;

 

“Corporation”

« Société »

 

“Corporation” means the Canadian Broadcasting Corporation continued by section 36;

 

“distribution undertaking”

« entreprise de distribution »

 

“distribution undertaking” means an undertaking for the reception of broadcasting and the retransmission thereof by radio waves or other means of telecommunication to more than one permanent or temporary residence or dwelling unit or to another such undertaking;

 

“encrypted”

« encodage »

 

“encrypted” means treated electronically or otherwise for the purpose of preventing intelligible reception;

 

“licence”

« licence »

 

“licence” means a licence to carry on a broadcasting undertaking issued by the Commission under this Act;

 

“Minister”

« ministre »

 

“Minister” means such member of the Queen’s Privy Council for Canada as is designated by the Governor in Council as the Minister for the purposes of this Act;

 

“network”

« réseau »

 

“network” includes any operation where control over all or any part of the programs or program schedules of one or more broadcasting undertakings is delegated to another undertaking or person;

 

“program”

« émission »

 

“program” means sounds or visual images, or a combination of sounds and visual images, that are intended to inform, enlighten or entertain, but does not include visual images, whether or not combined with sounds, that consist predominantly of alphanumeric text;

 

“programming undertaking”

« entreprise de programmation »

 

“programming undertaking” means an undertaking for the transmission of programs, either directly by radio waves or other means of telecommunication or indirectly through a distribution undertaking, for reception by the public by means of broadcasting receiving apparatus;

 

“radio waves”

« ondes radioélectriques »

 

“radio waves” means electromagnetic waves of frequencies lower than 3 000 GHz that are propagated in space without artificial guide;

 

“temporary network operation”

« exploitation temporaire d’un réseau »

 

“temporary network operation” means a network operation with respect to a particular program or a series of programs that extends over a period not exceeding sixty days.

 

 

 

 

 

 

 

 

 

 

 

 

Meaning of “other means of telecommunication”
 

(2) For the purposes of this Act, “other means of telecommunication” means any wire, cable, radio, optical or other electromagnetic system, or any similar technical system.

 

 

 

 

Interpretation
 

(3) This Act shall be construed and applied in a manner that is consistent with the freedom of expression and journalistic, creative and programming independence enjoyed by broadcasting undertakings.

 

2. (1) Les définitions qui suivent s’appliquent à la présente loi.

 

« Conseil »

“Commission”

 

« Conseil » Le Conseil institué par la Loi sur le Conseil de la radiodiffusion et des télécommunications canadiennes.

 

« émission »

“program”

 

« émission » Les sons ou les images — ou leur combinaison — destinés à informer ou divertir, à l’exception des images, muettes ou non, consistant essentiellement en des lettres ou des chiffres.

 

« encodage »

“encrypted”

 

« encodage » Traitement électronique ou autre visant à empêcher la réception en clair.

 

« entreprise de distribution »

“distribution undertaking”

« entreprise de distribution »

 

Entreprise de réception de radiodiffusion pour retransmission, à l’aide d’ondes radioélectriques ou d’un autre moyen de télécommunication, en vue de sa réception dans plusieurs résidences permanentes ou temporaires ou locaux d’habitation, ou en vue de sa réception par une autre entreprise semblable.

 

« entreprise de programmation »

“programming undertaking”

 

« entreprise de programmation » Entreprise de transmission d’émissions soit directement à l’aide d’ondes radioélectriques ou d’un autre moyen de télécommunication, soit par l’intermédiaire d’une entreprise de distribution, en vue de leur réception par le public à l’aide d’un récepteur.

 

« entreprise de radiodiffusion »

“broadcasting undertaking”

 

« entreprise de radiodiffusion »

S’entend notamment d’une entreprise de distribution ou de programmation, ou d’un réseau.

 

«exploitation temporaire d’un réseau»

“temporary network operation”

 

« exploitation temporaire d’un réseau » Exploitation d’un réseau en vue d’une certaine émission ou série d’émissions couvrant une période maximale de soixante jours.

 

« licence »

“licence”

 

« licence » Licence d’exploitation d’une entreprise de radiodiffusion, délivrée par le Conseil aux termes de la présente loi.

 

« ministre »

“Minister”

 

« ministre » Le membre du Conseil privé de la Reine pour le Canada chargé par le gouverneur en conseil de l’application de la présente loi.

 

« ondes radioélectriques »

“radio waves”

 

« ondes radioélectriques » Ondes électromagnétiques de fréquences inférieures à 3 000 GHz transmises dans l’espace sans guide artificiel.

 

« radiodiffusion »

“broadcasting”

 

« radiodiffusion » Transmission, à l’aide d’ondes radioélectriques ou de tout autre moyen de télécommunication, d’émissions encodées ou non et destinées à être reçues par le public à l’aide d’un récepteur, à l’exception de celle qui est destinée à la présentation dans un lieu public seulement.

 

« récepteur »

“broadcasting receiving apparatus”

 

« récepteur » Appareil ou ensemble d’appareils conçu pour la réception de radiodiffusion ou pouvant servir à cette fin.

 

« réseau »

“network”

 

« réseau » Est assimilée à un réseau toute exploitation où le contrôle de tout ou partie des émissions ou de la programmation d’une ou plusieurs entreprises de radiodiffusion est délégué à une autre entreprise ou personne.

 

« Société »

“Corporation”

 

« Société » La Société Radio-Canada, visée à l’article 36.

 

 

Moyen de telecommunication

 

 

(2) Pour l’application de la présente loi, sont inclus dans les moyens de télécommunication les systèmes électromagnétiques — notamment les fils, les câbles et les systèmes radio ou optiques — , ainsi que les autres procédés techniques semblables.

 

Interprétation

 

(3) L’interprétation et l’application de la présente loi doivent se faire de manière compatible avec la liberté d’expression et l’indépendance, en matière de journalisme, de création et de programmation, dont jouissent les entreprises de radiodiffusion.

 

Broadcasting Policy for Canada

 

Politique canadienne de radiodiffusion

 

Declaration

 

Déclaration

 

 (1) It is hereby declared as the broadcasting policy for Canada that

 

 

(a) the Canadian broadcasting system shall be effectively owned and controlled by Canadians;

 

 

(b) the Canadian broadcasting system, operating primarily in the English and French languages and comprising public, private and community elements, makes use of radio frequencies that are public property and provides, through its programming, a public service essential to the maintenance and enhancement of national identity and cultural sovereignty;

 

 

 

 

(c) English and French language broadcasting, while sharing common aspects, operate under different conditions and may have different requirements;

 

 

 

(d) the Canadian broadcasting system should

 

(i) serve to safeguard, enrich and strengthen the cultural, political, social and economic fabric of Canada,

 

 

 

(ii) encourage the development of Canadian expression by providing a wide range of programming that reflects Canadian attitudes, opinions, ideas, values and artistic creativity, by displaying Canadian talent in entertainment programming and by offering information and analysis concerning Canada and other countries from a Canadian point of view,

 

 

 

 

 

 

(iii) through its programming and the employment opportunities arising out of its operations, serve the needs and interests, and reflect the circumstances and aspirations, of Canadian men, women and children, including equal rights, the linguistic duality and multicultural and multiracial nature of Canadian society and the special place of aboriginal peoples within that society, and

 

 

 

 

 

 

(iv) be readily adaptable to scientific and technological change;

 

 

(e) each element of the Canadian broadcasting system shall contribute in an appropriate manner to the creation and presentation of Canadian programming;

 

 

(f) each broadcasting undertaking shall make maximum use, and in no case less than predominant use, of Canadian creative and other resources in the creation and presentation of programming, unless the nature of the service provided by the undertaking, such as specialized content or format or the use of languages other than French and English, renders that use impracticable, in which case the undertaking shall make the greatest practicable use of those resources;

 

 

 

 

 

 

 

 

(g) the programming originated by broadcasting undertakings should be of high standard;

 

(h) all persons who are licensed to carry on broadcasting undertakings have a responsibility for the programs they broadcast;

 

(i) the programming provided by the Canadian broadcasting system should

 

 

(i) be varied and comprehensive, providing a balance of information, enlightenment and entertainment for men, women and children of all ages, interests and tastes,

 

 

 

(ii) be drawn from local, regional, national and international sources,

 

 

(iii) include educational and community programs,

 

(iv) provide a reasonable opportunity for the public to be exposed to the expression of differing views on matters of public concern, and

 

 

 

(v) include a significant contribution from the Canadian independent production sector;

 

(j) educational programming, particularly where provided through the facilities of an independent educational authority, is an integral part of the Canadian broadcasting system;

 

 

(k) a range of broadcasting services in English and in French shall be extended to all Canadians as resources become available;

 

 

 

(l) the Canadian Broadcasting Corporation, as the national public broadcaster, should provide radio and television services incorporating a wide range of programming that informs, enlightens and entertains;

 

(m) the programming provided by the Corporation should

 

(i) be predominantly and distinctively Canadian,

 

(ii) reflect Canada and its regions to national and regional audiences, while serving the special needs of those regions,

 

 

 

 

(iii) actively contribute to the flow and exchange of cultural expression,

 

 

 

(iv) be in English and in French, reflecting the different needs and circumstances of each official language community, including the particular needs and circumstances of English and French linguistic minorities,

 

 

(v) strive to be of equivalent quality in English and in French,

 

 

(vi) contribute to shared national consciousness and identity,

 

 

(vii) be made available throughout Canada by the most appropriate and efficient means and as resources become available for the purpose, and

 

 

(viii) reflect the multicultural and multiracial nature of Canada;

 

 

(n) where any conflict arises between the objectives of the Corporation set out in paragraphs (l) and (m) and the interests of any other broadcasting undertaking of the Canadian broadcasting system, it shall be resolved in the public interest, and where the public interest would be equally served by resolving the conflict in favour of either, it shall be resolved in favour of the objectives set out in paragraphs (l) and (m);

 

(o) programming that reflects the aboriginal cultures of Canada should be provided within the Canadian broadcasting system as resources become available for the purpose;

 

 

(p) programming accessible by disabled persons should be provided within the Canadian broadcasting system as resources become available for the purpose;

 

 

(q) without limiting any obligation of a broadcasting undertaking to provide the programming contemplated by paragraph (i), alternative television programming services in English and in French should be provided where necessary to ensure that the full range of programming contemplated by that paragraph is made available through the Canadian broadcasting system;

 

 

(r) the programming provided by alternative television programming services should

 

(i) be innovative and be complementary to the programming provided for mass audiences,

 

(ii) cater to tastes and interests not adequately provided for by the programming provided for mass audiences, and include programming devoted to culture and the arts,

 

 

 

(iii) reflect Canada’s regions and multicultural nature,

 

 

 

(iv) as far as possible, be acquired rather than produced by those services, and

 

 

(v) be made available throughout Canada by the most cost-efficient means;

 

 

(s) private networks and programming undertakings should, to an extent consistent with the financial and other resources available to them,

 

(i) contribute significantly to the creation and presentation of Canadian programming, and

 

(ii) be responsive to the evolving demands of the public; and

 

 

(t) distribution undertakings

 

(i) should give priority to the carriage of Canadian programming services and, in particular, to the carriage of local Canadian stations,

 

 

 

(ii) should provide efficient delivery of programming at affordable rates, using the most effective technologies available at reasonable cost,

 

 

 

(iii) should, where programming services are supplied to them by broadcasting undertakings pursuant to contractual arrangements, provide reasonable terms for the carriage, packaging and retailing of those programming services, and

 

 

 

(iv) may, where the Commission considers it appropriate, originate programming, including local programming, on such terms as are conducive to the achievement of the objectives of the broadcasting policy set out in this subsection, and in particular provide access for underserved linguistic and cultural minority communities.

 

 

 

 

Further declaration
 

(2) It is further declared that the Canadian broadcasting system constitutes a single system and that the objectives of the broadcasting policy set out in subsection (1) can best be achieved by providing for the regulation and supervision of the Canadian broadcasting system by a single independent public authority.

 

3. (1) Il est déclaré que, dans le cadre de la politique canadienne de radiodiffusion :

 

a) le système canadien de radiodiffusion doit être, effectivement, la propriété des Canadiens et sous leur contrôle;

 

b) le système canadien de radiodiffusion, composé d’éléments publics, privés et communautaires, utilise des fréquences qui sont du domaine public et offre, par sa programmation essentiellement en français et en anglais, un service public essentiel pour le maintien et la valorisation de l’identité nationale et de la souveraineté culturelle;

 

c) les radiodiffusions de langues française et anglaise, malgré certains points communs, diffèrent quant à leurs conditions d’exploitation et, éventuellement, quant à leurs besoins;

 

d) le système canadien de radiodiffusion devrait :

 

(i) servir à sauvegarder, enrichir et renforcer la structure culturelle, politique, sociale et économique du Canada,

 

(ii) favoriser l’épanouissement de l’expression canadienne en proposant une très large programmation qui traduise des attitudes, des opinions, des idées, des valeurs et une créativité artistique canadiennes, qui mette en valeur des divertissements faisant appel à des artistes canadiens et qui fournisse de l’information et de l’analyse concernant le Canada et l’étranger considérés d’un point de vue canadien,

 

(iii) par sa programmation et par les chances que son fonctionnement offre en matière d’emploi, répondre aux besoins et aux intérêts, et refléter la condition et les aspirations, des hommes, des femmes et des enfants canadiens, notamment l’égalité sur le plan des droits, la dualité linguistique et le caractère multiculturel et multiracial de la société canadienne ainsi que la place particulière qu’y occupent les peuples autochtones,

 

(iv) demeurer aisément adaptable aux progrès scientifiques et techniques;

 

e) tous les éléments du système doivent contribuer, de la manière qui convient, à la création et la présentation d’une programmation canadienne;

 

f) toutes les entreprises de radiodiffusion sont tenues de faire appel au maximum, et dans tous les cas au moins de manière prédominante, aux ressources — créatrices et autres — canadiennes pour la création et la présentation de leur programmation à moins qu’une telle pratique ne s’avère difficilement réalisable en raison de la nature du service — notamment, son contenu ou format spécialisé ou l’utilisation qui y est faite de langues autres que le français ou l’anglais — qu’elles fournissent, auquel cas elles devront faire appel aux ressources en question dans toute la mesure du possible;

 

g) la programmation offerte par les entreprises de radiodiffusion devrait être de haute qualité;

 

h) les titulaires de licences d’exploitation d’entreprises de radiodiffusion assument la responsabilité de leurs émissions;

 

i) la programmation offerte par le système canadien de radiodiffusion devrait à la fois :

 

(i) être variée et aussi large que possible en offrant à l’intention des hommes, femmes et enfants de tous âges, intérêts et goûts une programmation équilibrée qui renseigne, éclaire et divertit,

 

(ii) puiser aux sources locales, régionales, nationales et internationales,

 

(iii) renfermer des émissions éducatives et ommunautaires,

 

(iv) dans la mesure du possible, offrir au public l’occasion de prendre connaissance d’opinions divergentes sur des sujets qui l’intéressent,

 

(v) faire appel de façon notable aux producteurs canadiens indépendants;

 

j) la programmation éducative, notamment celle qui est fournie au moyen d’installations d’un organisme éducatif indépendant, fait partie intégrante du système canadien de radiodiffusion;

 

k) une gamme de services de radiodiffusion en français et en anglais doit être progressivement offerte à tous les Canadiens, au fur et à mesure de la disponibilité des moyens;

 

l) la Société Radio-Canada, à titre de radiodiffuseur public national, devrait offrir des services de radio et de télévision qui comportent une très large programmation qui renseigne, éclaire et divertit;

 

m) la programmation de la Société devrait à la fois :

 

(i) être principalement et typiquement canadienne,

 

(ii) refléter la globalité canadienne et rendre compte de la diversité régionale du pays, tant au plan national qu’au niveau régional, tout en répondant aux besoins particuliers des régions,

 

(iii) contribuer activement à l’expression culturelle et à l’échange des diverses formes qu’elle peut prendre,

 

(iv) être offerte en français et en anglais, de manière à refléter la situation et les besoins particuliers des deux collectivités de langue officielle, y compris ceux des minorités de l’une ou l’autre langue,

 

(v) chercher à être de qualité équivalente en français et en anglais,

 

(vi) contribuer au partage d’une conscience et d’une identité nationales,

 

(vii) être offerte partout au Canada de la manière la plus adéquate et efficace, au fur et à mesure de la disponibilité des moyens,

 

(viii) refléter le caractère multiculturel et multiracial du Canada;

 

n) les conflits entre les objectifs de la Société énumérés aux alinéas l) et m) et les intérêts de toute autre entreprise de radiodiffusion du système canadien de radiodiffusion doivent être résolus dans le sens de l’intérêt public ou, si l’intérêt public est également assuré, en faveur des objectifs énumérés aux alinéas l) et m);

 

o) le système canadien de radiodiffusion devrait offrir une programmation qui reflète les cultures autochtones du Canada, au fur et à mesure de la disponibilité des moyens;

 

p) le système devrait offrir une programmation adaptée aux besoins des personnes atteintes d’une déficience, au fur et à mesure de la disponibilité des moyens;

 

q) sans qu’il soit porté atteinte à l’obligation qu’ont les entreprises de radiodiffusion de fournir la programmation visée à l’alinéa i), des services de programmation télévisée complémentaires, en anglais et en français, devraient au besoin être offerts afin que le système canadien de radiodiffusion puisse se conformer à cet alinéa;

 

r) la programmation offerte par ces services devrait à la fois :

 

 

(i) être innovatrice et compléter celle qui est offerte au grand public,

 

(ii) répondre aux intérêts et goûts de ceux que la programmation offerte au grand public laisse insatisfaits et comprendre des émissions consacrées aux arts et à la culture,

 

(iii) refléter le caractère multiculturel du Canada et rendre compte de sa diversité régionale,

 

(iv) comporter, autant que possible, des acquisitions plutôt que des productions propres,

 

(v) être offerte partout au Canada de la manière la plus rentable, compte tenu de la qualité;

 

s) les réseaux et les entreprises de programmation privés devraient, dans la mesure où leurs ressources financières et autres le leur permettent, contribuer de façon notable à la création et à la présentation d’une programmation canadienne tout en demeurant réceptifs à l’évolution de la demande du public;

 

 

t) les entreprises de distribution :

 

(i) devraient donner priorité à la fourniture des services de programmation canadienne, et ce en particulier par les stations locales canadiennes,

 

(ii) devraient assurer efficacement, à l’aide des techniques les plus efficientes, la fourniture de la programmation à des tarifs abordables,

 

(iii) devraient offrir des conditions acceptables relativement à la fourniture, la combinaison et la vente des services de programmation qui leur sont fournis, aux termes d’un contrat, par les entreprises de radiodiffusion,

 

(iv) peuvent, si le Conseil le juge opportun, créer une programmation — locale ou autre — de nature à favoriser la réalisation des objectifs de la politique canadienne de radiodiffusion, et en particulier à permettre aux minorités linguistiques et culturelles mal desservies d’avoir accès aux services de radiodiffusion.

 

Déclaration

 

(2) Il est déclaré en outre que le système canadien de radiodiffusion constitue un système unique et que la meilleure façon d’atteindre les objectifs de la politique canadienne de radiodiffusion consiste à confier la réglementation et la surveillance du système canadien de radiodiffusion à un seul organisme public autonome.

 

 

 

Sections 2, 3, subsection 13(4), section 27 and subsections 34(1) and 35(2) of the Copyright Act, RSC, 1985, c C-42, read as follows:

 
Les articles 2, 3, le paragraphe 13(4), l’article 27 et les paragraphes 34(1) et 35(2) de la Loi sur le droit d’auteur RSC, 1985, c C-42 se lisent comme suit:
 
 
Definitions
 
Définitions
 

 In this Act,

 

“architectural work”

« oeuvre architecturale »

 

“architectural work” means any building or structure or any model of a building or structure;

 

“architectural work of art”

“architectural work of art”[Repealed, 1993, c. 44, s. 53]

 

“artistic work”

« oeuvre artistique »

 

“artistic work” includes paintings, drawings, maps, charts, plans, photographs, engravings, sculptures, works of artistic craftsmanship, architectural works, and compilations of artistic works;

 

“Berne Convention country”

« pays partie à la Convention de Berne »

 

“Berne Convention country” means a country that is a party to the Convention for the Protection of Literary and Artistic Works concluded at Berne on September 9, 1886, or any one of its revisions, including the Paris Act of 1971;

 

“Board”

« Commission »

 

“Board” means the Copyright Board established by subsection 66(1);

 

“book”

« livre »

 

“book” means a volume or a part or division of a volume, in printed form, but does not include

 

(a) a pamphlet,

 

(b) a newspaper, review, magazine or other periodical,

 

(c) a map, chart, plan or sheet music where the map, chart, plan or sheet music is separately published, and

 

(d) an instruction or repair manual that accompanies a product or that is supplied as an accessory to a service;

 

“broadcaster”

« radiodiffuseur »

 

“broadcaster” means a body that, in the course of operating a broadcasting undertaking, broadcasts a communication signal in accordance with the law of the country in which the broadcasting undertaking is carried on, but excludes a body whose primary activity in relation to communication signals is their retransmission;

 

“choreographic work”

« oeuvre chorégraphique »

 

“choreographic work” includes any work of choreography, whether or not it has any story line;

 

“cinematograph”

 

“cinematograph”[Repealed, 1997, c. 24, s. 1]

 

“cinematographic work”

« oeuvre cinématographique »

 

“cinematographic work” includes any work expressed by any process analogous to cinematography, whether or not accompanied by a soundtrack;

 

“collective society”

« société de gestion »

 

“collective society” means a society, association or corporation that carries on the business of collective administration of copyright or of the remuneration right conferred by section 19 or 81 for the benefit of those who, by assignment, grant of licence, appointment of it as their agent or otherwise, authorize it to act on their behalf in relation to that collective administration, and

 

(a) operates a licensing scheme, applicable in relation to a repertoire of works, performer’s performances, sound recordings or communication signals of more than one author, performer, sound recording maker or broadcaster, pursuant to which the society, association or corporation sets out classes of uses that it agrees to authorize under this Act, and the royalties and terms and conditions on which it agrees to authorize those classes of uses, or

 

(b) carries on the business of collecting and distributing royalties or levies payable pursuant to this Act;

 

“collective work”

« recueil »

 

“collective work” means

(a) an encyclopaedia, dictionary, year book or similar work,

 

(b) a newspaper, review, magazine or similar periodical, and

 

(c) any work written in distinct parts by different authors, or in which works or parts of works of different authors are incorporated;

 

“commercially available”

« accessible sur le marché »

 

“commercially available” means, in relation to a work or other subject-matter,

 

(a) available on the Canadian market within a reasonable time and for a reasonable price and may be located with reasonable effort, or

 

(b) for which a licence to reproduce, perform in public or communicate to the public by telecommunication is available from a collective society within a reasonable time and for a reasonable price and may be located with reasonable effort;

 

“communication signal”

« signal de communication »

 

“communication signal” means radio waves transmitted through space without any artificial guide, for reception by the public;

 

“compilation”

« compilation »

 

“compilation” means

 

(a) a work resulting from the selection or arrangement of literary, dramatic, musical or artistic works or of parts thereof, or

 

(b) a work resulting from the selection or arrangement of data;

 

“computer program”

« programme d’ordinateur »

 

“computer program” means a set of instructions or statements, expressed, fixed, embodied or stored in any manner, that is to be used directly or indirectly in a computer in order to bring about a specific result;

 

“copyright”

« droit d’auteur »

 

“copyright” means the rights described in

 

(a) section 3, in the case of a work,

 

(b) sections 15 and 26, in the case of a performer’s performance,

 

(c) section 18, in the case of a sound recording, or

 

(d) section 21, in the case of a communication signal;

 

“country”

« pays »

 

“country” includes any territory;

 

“defendant”

Version anglaise seulement

 

“defendant” includes a respondent to an application;

 

“delivery”

“delivery”[Repealed, 1997, c. 24, s. 1]

 

“dramatic work”

« oeuvre dramatique »

 

“dramatic work” includes

 

(a) any piece for recitation, choreographic work or mime, the scenic arrangement or acting form of which is fixed in writing or otherwise,

 

(b) any cinematographic work, and

 

(c) any compilation of dramatic works;

 

“educational institution”

« établissement d’enseignement »

 

“educational institution” means

 

(a) a non-profit institution licensed or recognized by or under an Act of Parliament or the legislature of a province to provide pre-school, elementary, secondary or post-secondary education,

 

(b) a non-profit institution that is directed or controlled by a board of education regulated by or under an Act of the legislature of a province and that provides continuing, professional or vocational education or training,

 

(c) a department or agency of any order of government, or any non-profit body, that controls or supervises education or training referred to in paragraph (a) or (b), or

 

(d) any other non-profit institution prescribed by regulation;

 

“engravings”

« gravure »

 

“engravings” includes etchings, lithographs, woodcuts, prints and other similar works, not being photographs;

 

“every original literary, dramatic, musical and artistic work”

« toute oeuvre littéraire, dramatique, musicale ou artistique originale »

 

“every original literary, dramatic, musical and artistic work” includes every original production in the literary, scientific or artistic domain, whatever may be the mode or form of its expression, such as compilations, books, pamphlets and other writings, lectures, dramatic or dramatico-musical works, musical works, translations, illustrations, sketches and plastic works relative to geography, topography, architecture or science;

 

“exclusive distributor”

« distributeur exclusif »

 

“exclusive distributor” means, in relation to a book, a person who

 

(a) has, before or after the coming into force of this definition, been appointed in writing, by the owner or exclusive licensee of the copyright in the book in Canada, as

 

(i) the only distributor of the book in Canada or any part of Canada, or

 

(ii) the only distributor of the book in Canada or any part of Canada in respect of a particular sector of the market, and

 

(b) meets the criteria established by regulations made under section 2.6,

 

and, for greater certainty, if there are no regulations made under section 2.6, then no person qualifies under this definition as an “exclusive distributor”;

 

“Her Majesty’s Realms and Territories”

“Her Majesty’s Realms and Territories”[Repealed, 1997, c. 24, s. 1]

 

“infringing”

« contrefaçon »

 

“infringing” means

 

(a) in relation to a work in which copyright subsists, any copy, including any colourable imitation, made or dealt with in contravention of this Act,

 

(b) in relation to a performer’s performance in respect of which copyright subsists, any fixation or copy of a fixation of it made or dealt with in contravention of this Act,

 

(c) in relation to a sound recording in respect of which copyright subsists, any copy of it made or dealt with in contravention of this Act, or

 

(d) in relation to a communication signal in respect of which copyright subsists, any fixation or copy of a fixation of it made or dealt with in contravention of this Act.

 

The definition includes a copy that is imported in the circumstances set out in paragraph 27(2)(e) and section 27.1 but does not otherwise include a copy made with the consent of the owner of the copyright in the country where the copy was made;

 

“lecture”

« conférence »

 

“lecture” includes address, speech and sermon;

 

“legal representatives”

« représentants légaux »

 

“legal representatives” includes heirs, executors, administrators, successors and assigns, or agents or attorneys who are thereunto duly authorized in writing;

 

“library, archive or museum”

«bibliothèque, musée ou service d’archives»

 

“library, archive or museum” means

 

(a) an institution, whether or not incorporated, that is not established or conducted for profit or that does not form a part of, or is not administered or directly or indirectly controlled by, a body that is established or conducted for profit, in which is held and maintained a collection of documents and other materials that is open to the public or to researchers, or

 

(b) any other non-profit institution prescribed by regulation;

 

“literary work”

« oeuvre littéraire »

 

“literary work” includes tables, computer programs, and compilations of literary works;

 

“maker”

« producteur »

 

“maker” means

 

(a) in relation to a cinematographic work, the person by whom the arrangements necessary for the making of the work are undertaken, or

 

(b) in relation to a sound recording, the person by whom the arrangements necessary for the first fixation of the sounds are undertaken;

 

“Minister”

« ministre »

 

“Minister”, except in section 44.1, means the Minister of Industry;

 

“moral rights”

« droits moraux »

 

“moral rights” means the rights described in subsection 14.1(1);

 

“musical work”

« oeuvre musicale »

 

“musical work” means any work of music or musical composition, with or without words, and includes any compilation thereof;

 

“perceptual disability”

« déficience perceptuelle »

 

“perceptual disability” means a disability that prevents or inhibits a person from reading or hearing a literary, musical, dramatic or artistic work in its original format, and includes such a disability resulting from

 

(a) severe or total impairment of sight or hearing or the inability to focus or move one’s eyes,

 

(b) the inability to hold or manipulate a book, or

 

(c) an impairment relating to comprehension;

 

“performance”

« représentation » ou « exécution »

 

“performance” means any acoustic or visual representation of a work, performer’s performance, sound recording or communication signal, including a representation made by means of any mechanical instrument, radio receiving set or television receiving set;

 

“performer’s performance”

« prestation »

 

“performer’s performance” means any of the following when done by a performer:

 

(a) a performance of an artistic work, dramatic work or musical work, whether or not the work was previously fixed in any material form, and whether or not the work’s term of copyright protection under this Act has expired,

 

(b) a recitation or reading of a literary work, whether or not the work’s term of copyright protection under this Act has expired, or

 

(c) an improvisation of a dramatic work, musical work or literary work, whether or not the improvised work is based on a pre-existing work;

 

“photograph”

« photographie »

 

“photograph” includes photo-lithograph and any work expressed by any process analogous to photography;

 

“plaintiff”

Version anglaise seulement

 

“plaintiff” includes an applicant;

 

“plate”

« planche »

 

“plate” includes

 

(a) any stereotype or other plate, stone, block, mould, matrix, transfer or negative used or intended to be used for printing or reproducing copies of any work, and

 

(b) any matrix or other appliance used or intended to be used for making or reproducing sound recordings, performer’s performances or communication signals;

 

“premises”

« locaux »

 

“premises” means, in relation to an educational institution, a place where education or training referred to in the definition “educational institution” is provided, controlled or supervised by the educational institution;

 

“receiving device”

“receiving device”[Repealed, 1993, c. 44, s. 79]

 

“Rome Convention country”

« pays partie à la Convention de Rome »

 

“Rome Convention country” means a country that is a party to the International Convention for the Protection of Performers, Producers of Phonograms and Broadcasting Organisations, done at Rome on October 26, 1961;

 

“sculpture”

« sculpture »

 

“sculpture” includes a cast or model;

 

“sound recording”

« enregistrement sonore »

 

“sound recording” means a recording, fixed in any material form, consisting of sounds, whether or not of a performance of a work, but excludes any soundtrack of a cinematographic work where it accompanies the cinematographic work;

 

“telecommunication”

« télécommunication »

 

“telecommunication” means any transmission of signs, signals, writing, images or sounds or intelligence of any nature by wire, radio, visual, optical or other electromagnetic system;

 

“treaty country”

« pays signataire »

 

“treaty country” means a Berne Convention country, UCC country or WTO Member;

“UCC country”

 

« pays partie à la Convention universelle »

 

“UCC country” means a country that is a party to the Universal Copyright Convention, adopted on September 6, 1952 in Geneva, Switzerland, or to that Convention as revised in Paris, France on July 24, 1971;

 

“work”

« oeuvre »

 

“work” includes the title thereof when such title is original and distinctive;

 

“work of joint authorship”

« oeuvre créée en collaboration »

 

“work of joint authorship” means a work produced by the collaboration of two or more authors in which the contribution of one author is not distinct from the contribution of the other author or authors;

“work of sculpture”

 

“work of sculpture”[Repealed, 1997, c. 24, s. 1]

 

“WTO Member”

« membre de l’OMC »

 

“WTO Member” means a Member of the World Trade Organization as defined in subsection 2(1) of the World Trade Organization Agreement Implementation Act.

 

Compilations
 

 (1) A compilation containing two or more of the categories of literary, dramatic, musical or artistic works shall be deemed to be a compilation of the category making up the most substantial part of the compilation.

 

Idem
 

(2) The mere fact that a work is included in a compilation does not increase, decrease or otherwise affect the protection conferred by this Act in respect of the copyright in the work or the moral rights in respect of the work.

 

Definition of “maker”

 

 For greater certainty, the arrangements referred to in paragraph (b) of the definition “maker” in section 2, as that term is used in section 19 and in the definition “eligible maker” in section 79, include arrangements for entering into contracts with performers, financial arrangements and technical arrangements required for the first fixation of the sounds for a sound recording.

 

Definition of “publication”

 

 (1) For the purposes of this Act, “publication” means

 

(a) in relation to works,

 

(i) making copies of a work available to the public,

 

(ii) the construction of an architectural work, and

 

(iii) the incorporation of an artistic work into an architectural work, and

 

(b) in relation to sound recordings, making copies of a sound recording available to the public,

 

but does not include

 

(c) the performance in public, or the communication to the public by telecommunication, of a literary, dramatic, musical or artistic work or a sound recording, or

 

(d) the exhibition in public of an artistic work.

 

Issue of photographs and engravings
 

(2) For the purpose of subsection (1), the issue of photographs and engravings of sculptures and architectural works is not deemed to be publication of those works.

 

Where no consent of copyright owner
 

(3) For the purposes of this Act, other than in respect of infringement of copyright, a work or other subject-matter is not deemed to be published or performed in public or communicated to the public by telecommunication if that act is done without the consent of the owner of the copyright.

 

Unpublished works
 

(4) Where, in the case of an unpublished work, the making of the work is extended over a considerable period, the conditions of this Act conferring copyright are deemed to have been complied with if the author was, during any substantial part of that period, a subject or citizen of, or a person ordinarily resident in, a country to which this Act extends.

 

Telecommunication
 

 A person who communicates a work or other subject-matter to the public by telecommunication does not by that act alone perform it in public, nor by that act alone is deemed to authorize its performance in public.

 

Communication to the public by telecommunication
 

 (1) For the purposes of communication to the public by telecommunication,

 

(a) persons who occupy apartments, hotel rooms or dwelling units situated in the same building are part of the public, and a communication intended to be received exclusively by such persons is a communication to the public;

 

(b) a person whose only act in respect of the communication of a work or other subject-matter to the public consists of providing the means of telecommunication necessary for another person to so communicate the work or other subject-matter does not communicate that work or other subject-matter to the public; and

 

(c) where a person, as part of

 

(i) a network, within the meaning of the Broadcasting Act, whose operations result in the communication of works or other subject-matter to the public, or

 

(ii) any programming undertaking whose operations result in the communication of works or other subject-matter to the public,

 

transmits by telecommunication a work or other subject-matter that is communicated to the public by another person who is not a retransmitter of a signal within the meaning of subsection 31(1), the transmission and communication of that work or other subject-matter by those persons constitute a single communication to the public for which those persons are jointly and severally liable.

 

Regulations
 

(2) The Governor in Council may make regulations defining “programming undertaking” for the purpose of paragraph (1)(c).

 

Exception
 

(3) A work is not communicated in the manner described in paragraph (1)(c) or 3(1)(f) where a signal carrying the work is retransmitted to a person who is a retransmitter within the meaning of subsection 31(1).

 

What constitutes rental
 

 (1) For the purposes of paragraphs 3(1)(h) and (i), 15(1)(c) and 18(1)(c), an arrangement, whatever its form, constitutes a rental of a computer program or sound recording if, and only if,

 

(a) it is in substance a rental, having regard to all the circumstances; and

 

(b) it is entered into with motive of gain in relation to the overall operations of the person who rents out the computer program or sound recording, as the case may be.

 

Motive of gain
 

(2) For the purpose of paragraph (1)(b), a person who rents out a computer program or sound recording with the intention of recovering no more than the costs, including overhead, associated with the rental operations does not by that act alone have a motive of gain in relation to the rental operations.

 

Exclusive distributor
 

 The Governor in Council may make regulations establishing distribution criteria for the purpose of paragraph (b) of the definition “exclusive distributor” in section 2.

 

Exclusive licence
 

 For the purposes of this Act, an exclusive licence is an authorization to do any act that is subject to copyright to the exclusion of all others including the copyright owner, whether the authorization is granted by the owner or an exclusive licensee claiming under the owner.

 

2. Les définitions qui suivent s’appliquent à la présente loi.

 

« accessible sur le marché »

“commercially available”

 

« accessible sur le marché » S’entend, en ce qui concerne une oeuvre ou de tout autre objet du droit d’auteur

 

a) qu’il est possible de se procurer, au Canada, à un prix et dans un délai raisonnables, et de trouver moyennant des efforts raisonnables;

 

b) pour lequel il est possible d’obtenir, à un prix et dans un délai raisonnables et moyennant des efforts raisonnables, une licence octroyée par une société de gestion pour la reproduction, l’exécution en public ou la communication au public par télécommunication, selon le cas.

 

« appareil récepteur »

 

« appareil récepteur »[Abrogée, 1993, ch. 44, art. 79]

 

« artiste interprète »

 

« artiste interprète »[Abrogée, 1997, ch. 24, art. 1]

 

« artiste-interprète »

French version only

 

« artiste-interprète » Tout artiste-interprète ou exécutant.

 

« bibliothèque, musée ou service d’archives »

“library, archive or museum”

 

« bibliothèque, musée ou service d’archives » S’entend :

 

a) d’un établissement doté ou non de la personnalité morale qui :

 

(i) d’une part, n’est pas constitué ou administré pour réaliser des profits, ni ne fait partie d’un organisme constitué ou administré pour réaliser des profits, ni n’est administré ou contrôlé directement ou indirectement par un tel organisme,

 

(ii) d’autre part, rassemble et gère des collections de documents ou d’objets qui sont accessibles au public ou aux chercheurs;

 

b) de tout autre établissement à but non lucratif visé par règlement.

 

« Commission »

“Board”

 

« Commission » La Commission du droit d’auteur constituée au titre du paragraphe 66(1).

 

« compilation »

“compilation”

 

« compilation » Les oeuvres résultant du choix ou de l’arrangement de tout ou partie d’oeuvres littéraires, dramatiques, musicales ou artistiques ou de données.

 

« conférence »

“lecture”

 

« conférence » Sont assimilés à une conférence les allocutions, discours et sermons.

 

« contrefaçon »

“infringing”

 

« contrefaçon »

 

a) À l’égard d’une oeuvre sur laquelle existe un droit d’auteur, toute reproduction, y compris l’imitation déguisée, qui a été faite contrairement à la présente loi ou qui a fait l’objet d’un acte contraire à la présente loi;

 

b) à l’égard d’une prestation sur laquelle existe un droit d’auteur, toute fixation ou reproduction de celle-ci qui a été faite contrairement à la présente loi ou qui a fait l’objet d’un acte contraire à la présente loi;

 

c) à l’égard d’un enregistrement sonore sur lequel existe un droit d’auteur, toute reproduction de celle-ci qui a été faite contrairement à la présente loi ou qui a fait l’objet d’un acte contraire à la présente loi;

 

d) à l’égard d’un signal de communication sur lequel existe un droit d’auteur, toute fixation ou reproduction de la fixation qui a été faite contrairement à la présente loi ou qui a fait l’objet d’un acte contraire à la présente loi.

 

La présente définition exclut la reproduction — autre que celle visée par l’alinéa 27(2)e) et l’article 27.1 — faite avec le consentement du titulaire du droit d’auteur dans le pays de production.

 

« débit »

 

« débit »[Abrogée, 1997, ch. 24, art. 1]

 

« déficience perceptuelle »

“perceptual disability”

 

« déficience perceptuelle » Déficience qui empêche la lecture ou l’écoute d’une oeuvre littéraire, dramatique, musicale ou artistique sur le support original ou la rend difficile, en raison notamment :

 

a) de la privation en tout ou en grande partie du sens de l’ouïe ou de la vue ou de l’incapacité d’orienter le regard;

 

b) de l’incapacité de tenir ou de manipuler un livre;

 

c) d’une insuffisance relative à la compréhension.

 

« distributeur exclusif »

“exclusive distributor”

 

« distributeur exclusif » S’entend, en ce qui concerne un livre, de toute personne qui remplit les conditions suivantes :

 

a) le titulaire du droit d’auteur sur le livre au Canada ou le titulaire d’une licence exclusive au Canada s’y rapportant lui a accordé, avant ou après l’entrée en vigueur de la présente définition, par écrit, la qualité d’unique distributeur pour tout ou partie du Canada ou d’unique distributeur pour un secteur du marché pour tout ou partie du Canada;

 

b) elle répond aux critères fixés par règlement pris en vertu de l’article 2.6.

 

Il est entendu qu’une personne ne peut être distributeur exclusif au sens de la présente définition si aucun règlement n’est pris en vertu de l’article 2.6.

 

« droit d’auteur »

“copyright”

 

« droit d’auteur » S’entend du droit visé :

 

a) dans le cas d’une oeuvre, à l’article 3;

 

b) dans le cas d’une prestation, aux articles 15 et 26;

 

c) dans le cas d’un enregistrement sonore, à l’article 18;

 

d) dans le cas d’un signal de communication, à l’article 21.

 

« droits moraux »

“moral rights”

 

« droits moraux » Les droits visés au paragraphe 14.1(1).

 

« enregistrement sonore »

“sound recording”

 

« enregistrement sonore » Enregistrement constitué de sons provenant ou non de l’exécution d’une oeuvre et fixés sur un support matériel quelconque; est exclue de la présente définition la bande sonore d’une oeuvre cinématographique lorsqu’elle accompagne celle-ci.

 

« établissement d’enseignement »

“educational institution”

 

« établissement d’enseignement » :

 

a) Établissement sans but lucratif agréé aux termes des lois fédérales ou provinciales pour dispenser de l’enseignement aux niveaux préscolaire, élémentaire, secondaire ou postsecondaire, ou reconnu comme tel;

 

b) établissement sans but lucratif placé sous l’autorité d’un conseil scolaire régi par une loi provinciale et qui dispense des cours d’éducation ou de formation permanente, technique ou professionnelle;

 

c) ministère ou organisme, quel que soit l’ordre de gouvernement, ou entité sans but lucratif qui exerce une autorité sur l’enseignement et la formation visés aux alinéas a) et b);

 

d) tout autre établissement sans but lucratif visé par règlement.

 

« gravure »

“engravings”

 

« gravure » Sont assimilées à une gravure les gravures à l’eau-forte, les lithographies, les gravures sur bois, les estampes et autres oeuvres similaires, à l’exclusion des photographies.

 

« livre »

“book”

 

« livre » Tout volume ou toute partie ou division d’un volume présentés sous forme imprimée, à l’exclusion :

 

a) des brochures;

 

b) des journaux, revues, magazines et autres périodiques;

 

c) des feuilles de musique, cartes,

graphiques ou plans, s’ils sont publiés séparément;

 

d) des manuels d’instruction ou d’entretien qui accompagnent un produit ou sont fournis avec des services.

 

« locaux »

“premises”

 

« locaux » S’il s’agit d’un établissement d’enseignement, lieux où celui-ci dispense l’enseignement ou la formation visés à la définition de ce terme ou exerce son autorité sur eux.

 

« membre de l’OMC »

“WTO Member”

 

« membre de l’OMC » Membre de l’Organisation mondiale du commerce au sens du paragraphe 2(1) de la Loi de mise en oeuvre de l’Accord sur l’Organisation mondiale du commerce.

 

« ministre »

“Minister”

 

« ministre » Sauf à l’article 44.1, le ministre de l’Industrie.

 

« oeuvre »

“work”

 

« oeuvre » Est assimilé à une oeuvre le titre de l’oeuvre lorsque celui-ci est original et distinctif.

 

« oeuvre architecturale »

“architectural work”

 

« oeuvre architecturale » Tout bâtiment ou édifice ou tout modèle ou maquette de bâtiment ou d’édifice.

 

« oeuvre artistique »

“artistic work”

 

« oeuvre artistique » Sont compris parmi les oeuvres artistiques les peintures, dessins, sculptures, oeuvres architecturales, gravures ou photographies, les oeuvres artistiques dues à des artisans ainsi que les graphiques, cartes, plans et compilations d’oeuvres artistiques.

 

« oeuvre chorégraphique »

“choreographic work”

 

« oeuvre chorégraphique » S’entend de toute chorégraphie, que l’oeuvre ait ou non un sujet.

 

« oeuvre cinématographique »

“cinematographic work”

 

« oeuvre cinématographique » Y est assimilée toute oeuvre exprimée par un procédé analogue à la cinématographie, qu’elle soit accompagnée ou non d’une bande sonore.

 

« oeuvre créée en collaboration »

“work of joint authorship”

 

« oeuvre créée en collaboration » Oeuvre exécutée par la collaboration de deux ou plusieurs auteurs, et dans laquelle la part créée par l’un n’est pas distincte de celle créée par l’autre ou les autres.

 

« oeuvre d’art architecturale »

 

« oeuvre d’art architecturale »[Abrogée, 1993, ch. 44, art. 53]

 

« oeuvre de sculpture »

« oeuvre de sculpture »[Abrogée, 1997, ch. 24, art. 1]

 

« oeuvre dramatique »

“dramatic work”

 

« oeuvre dramatique » Y sont assimilées les pièces pouvant être récitées, les oeuvres chorégraphiques ou les pantomimes dont l’arrangement scénique ou la mise en scène est fixé par écrit ou autrement, les oeuvres cinématographiques et les compilations d’oeuvres dramatiques.

 

« oeuvre littéraire »

“literary work”

 

« oeuvre littéraire » Y sont assimilés les tableaux, les programmes d’ordinateur et les compilations d’oeuvres littéraires.

 

« oeuvre musicale »

“musical work”

 

« oeuvre musicale » Toute oeuvre ou toute composition musicale — avec ou sans paroles — et toute compilation de celles-ci.

 

« pays »

“country”

 

« pays » S’entend notamment d’un territoire.

 

« pays partie à la Convention de Berne »

“Berne Convention country”

 

« pays partie à la Convention de Berne » Pays partie à la Convention pour la protection des oeuvres littéraires et artistiques, conclue à Berne le 9 septembre 1886, ou à l’une de ses versions révisées, notamment celle de l’Acte de Paris de 1971.

 

« pays partie à la Convention de Rome »

“Rome Convention country”

 

« pays partie à la Convention de Rome » Pays partie à la Convention internationale sur la protection des artistes interprètes ou exécutants, des producteurs d’enregistrements sonores et des organismes de radiodiffusion, conclue à Rome le 26 octobre 1961.

 

« pays partie à la Convention universelle »

“UCC country”

 

« pays partie à la Convention universelle » Pays partie à la Convention universelle sur le droit d’auteur, adoptée à Genève (Suisse) le 6 septembre 1952, ou dans sa version révisée à Paris (France) le 24 juillet 1971.

 

« pays signataire »

“treaty country”

 

« pays signataire » Pays partie à la Convention de Berne ou à la Convention universelle ou membre de l’OMC.

 

« photographie »

“photograph”

 

« photographie » Y sont assimilées les photolithographies et toute oeuvre exprimée par un procédé analogue à la photographie.

 

« planche »

“plate”

 

« planche » Sont assimilés à une planche toute planche stéréotypée ou autre, pierre, matrice, transposition et épreuve négative, et tout moule ou cliché, destinés à l’impression ou à la reproduction d’exemplaires d’une oeuvre, ainsi que toute matrice ou autre pièce destinées à la fabrication ou à la reproduction d’enregistrements sonores, de prestations ou de signaux de communication, selon le cas.

 

« prestation »

“performer’s performance”

 

« prestation » Selon le cas, que l’oeuvre soit encore protégée ou non et qu’elle soit déjà fixée sous une forme matérielle quelconque ou non :

 

a) l’exécution ou la représentation d’une oeuvre artistique, dramatique ou musicale par un artiste-interprète;

 

b) la récitation ou la lecture d’une oeuvre littéraire par celui-ci;

 

c) une improvisation dramatique, musicale ou littéraire par celui-ci, inspirée ou non d’une oeuvre préexistante.

 

« producteur »

“maker”

 

« producteur » La personne qui effectue les opérations nécessaires à la confection d’une oeuvre cinématographique, ou à la première fixation de sons dans le cas d’un enregistrement sonore.

 

« programme d’ordinateur »

“computer program”

 

« programme d’ordinateur » Ensemble d’instructions ou d’énoncés destiné, quelle que soit la façon dont ils sont exprimés, fixés, incorporés ou emmagasinés, à être utilisé directement ou indirectement dans un ordinateur en vue d’un résultat particulier.

 

« radiodiffuseur »

“broadcaster”

 

« radiodiffuseur » Organisme qui, dans le cadre de l’exploitation d’une entreprise de radiodiffusion, émet un signal de communication en conformité avec les lois du pays où il exploite cette entreprise; est exclu de la présente définition l’organisme dont l’activité principale, liée au signal de communication, est la retransmission de celui-ci.

 

« recueil »

“collective work”

« recueil »

 

a) Les encyclopédies, dictionnaires, annuaires ou oeuvres analogues;

 

b) les journaux, revues, magazines ou autres publications périodiques;

 

c) toute oeuvre composée, en parties distinctes, par différents auteurs ou dans laquelle sont incorporées des oeuvres ou parties d’oeuvres d’auteurs différents.

 

« représentants légaux »

“legal representatives”

 

« représentants légaux » Sont compris parmi les représentants légaux les héritiers, exécuteurs testamentaires, administrateurs, successeurs et ayants droit, ou les agents ou fondés de pouvoir régulièrement constitués par mandat écrit.

 

« représentation »

« représentation », « exécution » ou « audition »[Abrogée, 1997, ch. 24, art. 1]

 

« représentation » ou « exécution »

“performance”

 

« représentation » ou « exécution » Toute exécution sonore ou toute représentation visuelle d’une oeuvre, d’une prestation, d’un enregistrement sonore ou d’un signal de communication, selon le cas, y compris l’exécution ou la représentation à l’aide d’un instrument mécanique, d’un appareil récepteur de radio ou d’un appareil récepteur de télévision.

 

« royaumes et territoires de Sa Majesté »

 

« royaumes et territoires de Sa Majesté »[Abrogée, 1997, ch. 24, art. 1]

 

« sculpture »

“sculpture”

 

« sculpture » Y sont assimilés les moules et les modèles.

 

« signal de communication »

“communication signal”

 

« signal de communication » Ondes radioélectriques diffusées dans l’espace sans guide artificiel, aux fins de réception par le public.

 

« société de gestion »

“collective society”

 

« société de gestion » Association, société ou personne morale autorisée — notamment par voie de cession, licence ou mandat — à se livrer à la gestion collective du droit d’auteur ou du droit à rémunération conféré par les articles 19 ou 81 pour l’exercice des activités suivantes :

 

a) l’administration d’un système d’octroi de licences portant sur un répertoire d’oeuvres, de prestations, d’enregistrements sonores ou de signaux de communication de plusieurs auteurs, artistes-interprètes, producteurs d’enregistrements sonores ou radiodiffuseurs et en vertu duquel elle établit les catégories d’utilisation qu’elle autorise au titre de la présente loi ainsi que les redevances et modalités afférentes;

 

b) la perception et la répartition des redevances payables aux termes de la présente loi.

 

« télécommunication »

“telecommunication”

 

« télécommunication » Vise toute transmission de signes, signaux, écrits, images, sons ou renseignements de toute nature par fil, radio, procédé visuel ou optique, ou autre système électromagnétique.

 

« toute oeuvre littéraire, dramatique, musicale ou artistique originale »

“every original literary, dramatic, musical and artistic work”

 

« toute oeuvre littéraire, dramatique, musicale ou artistique originale » S’entend de toute production originale du domaine littéraire, scientifique ou artistique quels qu’en soient le mode ou la forme d’expression, tels les compilations, livres, brochures et autres écrits, les conférences, les oeuvres dramatiques ou dramatico-musicales, les oeuvres musicales, les traductions, les illustrations, les croquis et les ouvrages plastiques relatifs à la géographie, à la topographie, à l’architecture ou aux sciences.

 

Compilations

 

2.1 (1) La compilation d’oeuvres de catégories diverses est réputée constituer une compilation de la catégorie représentant la partie la plus importante.

Idem

 

(2) L’incorporation d’une oeuvre dans une compilation ne modifie pas la protection conférée par la présente loi à l’oeuvre au titre du droit d’auteur ou des droits moraux.

 

Définition de «  producteur »

 

2.11 Il est entendu que pour l’application de l’article 19 et de la définition de « producteur admissible » à l’article 79, les opérations nécessaires visées à la définition de « producteur » à l’article 2 s’entendent des opérations liées à la conclusion des contrats avec les artistes-interprètes, au financement et aux services techniques nécessaires à la première fixation de sons dans le cas d’un enregistrement sonore.

 

Définition de « publication »

 

2.2 (1) Pour l’application de la présente loi, « publication » s’entend :

 

a) à l’égard d’une oeuvre, de la mise à la disposition du public d’exemplaires de l’oeuvre, de l’édification d’une oeuvre architecturale ou de l’incorporation d’une oeuvre artistique à celle-ci;

 

b) à l’égard d’un enregistrement sonore, de la mise à la disposition du public d’exemplaires de celui-ci.

 

Sont exclues de la publication la représentation ou l’exécution en public d’une oeuvre littéraire, dramatique, musicale ou artistique ou d’un enregistrement sonore, leur communication au public par télécommunication ou l’exposition en public d’une oeuvre artistique.

 

Édition de photographies et de gravures

 

(2) Pour l’application du paragraphe (1), l’édition de photographies et de gravures de sculptures et d’oeuvres architecturales n’est pas réputée être une publication de ces oeuvres.

 

Absence de consentement du titulaire du droit d’auteur

 

(3) Pour l’application de la présente loi — sauf relativement à la violation du droit d’auteur —, une oeuvre ou un autre objet du droit d’auteur n’est pas réputé publié, représenté en public ou communiqué au public par télécommunication si le consentement du titulaire du droit d’auteur n’a pas été obtenu.

 

Oeuvre non publiée

 

(4) Quand, dans le cas d’une oeuvre non publiée, la création de l’oeuvre s’étend sur une période considérable, les conditions de la présente loi conférant le droit d’auteur sont réputées observées si l’auteur, pendant une partie importante de cette période, était sujet, citoyen ou résident habituel d’un pays visé par la présente loi.

 

Télécommunication

 

2.3 Quiconque communique au public par télécommunication une oeuvre ou un autre objet du droit d’auteur ne les exécute ni ne les représente en public de ce fait, ni n’est réputé, du seul fait de cette communication, autoriser une telle exécution ou représentation en public.

 

Communication au public par telecommunication

 

2.4 (1) Les règles qui suivent s’appliquent dans les cas de communication au public par télécommunication :

 

a) font partie du public les personnes qui occupent les locaux d’un même immeuble d’habitation, tel un appartement ou une chambre d’hôtel, et la communication qui leur est exclusivement destinée est une communication au public;

 

b) n’effectue pas une communication au public la personne qui ne fait que fournir à un tiers les moyens de télécommunication nécessaires pour que celui-ci l’effectue;

 

c) toute transmission par une personne par télécommunication, communiquée au public par une autre — sauf le retransmetteur d’un signal, au sens du paragraphe 31(1) — constitue une communication unique au public, ces personnes étant en l’occurrence solidaires, dès lors qu’elle s’effectue par suite de l’exploitation même d’un réseau au sens de la Loi sur la radiodiffusion ou d’une entreprise de programmation.

 

Règlement

 

(2) Le gouverneur en conseil peut, par règlement, définir « entreprise de programmation » pour l’application de l’alinéa (1) c).

 

Restriction

 

(3) La retransmission d’un signal à un retransmetteur au sens du paragraphe 31(1) n’est pas visée par les alinéas (1) c) et 3(1) f).

 

Location

 

2.5 (1) Pour l’application des alinéas 3(1)h) et i), 15(1)c) et 18(1)c), équivaut à une location l’accord — quelle qu’en soit la forme et compte tenu des circonstances — qui en a la nature et qui est conclu avec l’intention de faire un gain dans le cadre des activités générales du loueur de programme d’ordinateur ou d’enregistrement sonore, selon le cas.

 

Intention du loueur

 

(2) Il n’y a toutefois pas intention de faire un gain lorsque le loueur n’a que l’intention de recouvrer les coûts — frais généraux compris — afférents à la location.

 

Distributeur exclusive

 

2.6 Le gouverneur en conseil peut, par règlement, fixer les critères de distribution pour l’application de la définition de « distributeur exclusif » figurant à l’article 2.

 

Licence exclusive

 

2.7 Pour l’application de la présente loi, une licence exclusive est l’autorisation accordée au licencié d’accomplir un acte visé par un droit d’auteur de façon exclusive, qu’elle soit accordée par le titulaire du droit d’auteur ou par une personne déjà titulaire d’une licence exclusive; l’exclusion vise tous les titulaires.

 

Copyright in works
 

 (1) For the purposes of this Act, “copyright”, in relation to a work, means the sole right to produce or reproduce the work or any substantial part thereof in any material form whatever, to perform the work or any substantial part thereof in public or, if the work is unpublished, to publish the work or any substantial part thereof, and includes the sole right

 

 

 

 

(a) to produce, reproduce, perform or publish any translation of the work,

 

 

(b) in the case of a dramatic work, to convert it into a novel or other non-dramatic work,

 

 

(c) in the case of a novel or other non-dramatic work, or of an artistic work, to convert it into a dramatic work, by way of performance in public or otherwise,

 

 

 

 

 

(d) in the case of a literary, dramatic or musical work, to make any sound recording, cinematograph film or other contrivance by means of which the work may be mechanically reproduced or performed,

 

 

 

 

(e) in the case of any literary, dramatic, musical or artistic work, to reproduce, adapt and publicly present the work as a cinematographic work,

 

 

 

(f) in the case of any literary, dramatic, musical or artistic work, to communicate the work to the public by telecommunication,

 

(g) to present at a public exhibition, for a purpose other than sale or hire, an artistic work created after June 7, 1988, other than a map, chart or plan,

 

 

 

 

 

(h) in the case of a computer program that can be reproduced in the ordinary course of its use, other than by a reproduction during its execution in conjunction with a machine, device or computer, to rent out the computer program, and

 

 

 

(i) in the case of a musical work, to rent out a sound recording in which the work is embodied,

 

and to authorize any such acts.

 

 

 

Simultaneous fixing
 

(1.1) A work that is communicated in the manner described in paragraph (1)(f) is fixed even if it is fixed simultaneously with its communication.

 

Droit d’auteur sur l’oeuvre

 

3. (1) Le droit d’auteur sur l’oeuvre comporte le droit exclusif de produire ou reproduire la totalité ou une partie importante de l’oeuvre, sous une forme matérielle quelconque, d’en exécuter ou d’en représenter la totalité ou une partie importante en public et, si l’oeuvre n’est pas publiée, d’en publier la totalité ou une partie importante; ce droit comporte, en outre, le droit exclusif :

 

a) de produire, reproduire, représenter ou publier une traduction de l’oeuvre;

 

b) s’il s’agit d’une oeuvre dramatique, de la transformer en un roman ou en une autre oeuvre non dramatique;

 

c) s’il s’agit d’un roman ou d’une autre oeuvre non dramatique, ou d’une oeuvre artistique, de transformer cette oeuvre en une oeuvre dramatique, par voie de représentation publique ou autrement;

 

d) s’il s’agit d’une oeuvre littéraire, dramatique ou musicale, d’en faire un enregistrement sonore, film cinématographique ou autre support, à l’aide desquels l’oeuvre peut être reproduite, représentée ou exécutée mécaniquement;

 

e) s’il s’agit d’une oeuvre littéraire, dramatique, musicale ou artistique, de reproduire, d’adapter et de présenter publiquement l’oeuvre en tant qu’oeuvre cinématographique;

 

f) de communiquer au public, par télécommunication, une oeuvre littéraire, dramatique, musicale ou artistique;

 

g) de présenter au public lors d’une exposition, à des fins autres que la vente ou la location, une oeuvre artistique — autre qu’une carte géographique ou marine, un plan ou un graphique — créée après le 7 juin 1988;

 

h) de louer un programme d’ordinateur qui peut être reproduit dans le cadre normal de son utilisation, sauf la reproduction effectuée pendant son exécution avec un ordinateur ou autre machine ou appareil;

 

i) s’il s’agit d’une oeuvre musicale, d’en louer tout enregistrement sonore.

 

Est inclus dans la présente définition le droit exclusif d’autoriser ces actes.

 

Fixation

 

(1.1) Dans le cadre d’une communication effectuée au titre de l’alinéa (1)f), une oeuvre est fixée même si sa fixation se fait au moment de sa communication.

 

Ownership of Copyright

 
Possession du droit d’auteur

 

 (4) The owner of the copyright in any work may assign the right, either wholly or partially, and either generally or subject to limitations relating to territory, medium or sector of the market or other limitations relating to the scope of the assignment, and either for the whole term of the copyright or for any other part thereof, and may grant any interest in the right by licence, but no assignment or grant is valid unless it is in writing signed by the owner of the right in respect of which the assignment or grant is made, or by the owner’s duly authorized agent.

 

13. (4) Le titulaire du droit d’auteur sur une oeuvre peut céder ce droit, en totalité ou en partie, d’une façon générale ou avec des restrictions relatives au territoire, au support matériel, au secteur du marché ou à la portée de la cession, pour la durée complète ou partielle de la protection; il peut également concéder, par une licence, un intérêt quelconque dans ce droit; mais la cession ou la concession n’est valable que si elle est rédigée par écrit et signée par le titulaire du droit qui en fait l’objet, ou par son agent dûment autorisé.

 

Infringement generally

 
Règle générale

 

27. (1) It is an infringement of copyright for any person to do, without the consent of the owner of the copyright, anything that by this Act only the owner of the copyright has the right to do.

 

 

Secondary infringement

 

(2) It is an infringement of copyright for any person to

 

 

 

 

 

 

 

 

 

 

 

 

 

 

(a) sell or rent out,

 

(b) distribute to such an extent as to affect prejudicially the owner of the copyright,

 

 

(c) by way of trade distribute, expose or offer for sale or rental, or exhibit in public,

 

 

(d) possess for the purpose of doing anything referred to in paragraphs (a) to (c), or

 

(e) import into Canada for the purpose of doing anything referred to in paragraphs (a) to (c),

 

a copy of a work, sound recording or fixation of a performer’s performance or of a communication signal that the person knows or should have known infringes copyright or would infringe copyright if it had been made in Canada by the person who made it.

 

Knowledge of importer

 

(3) In determining whether there is an infringement under subsection (2) in the case of an activity referred to in any of paragraphs (2)(a) to (d) in relation to a copy that was imported in the circumstances referred to in paragraph (2)(e), it is irrelevant whether the importer knew or should have known that the importation of the copy infringed copyright.

 

 

 

Plates

 

(4) It is an infringement of copyright for any person to make or possess a plate that has been specifically designed or adapted for the purpose of making infringing copies of a work or other subject-matter.

 

 

 

Public performance for profit

 

(5) It is an infringement of copyright for any person, for profit, to permit a theatre or other place of entertainment to be used for the performance in public of a work or other subject-matter without the consent of the owner of the copyright unless that person was not aware, and had no reasonable ground for suspecting, that the performance would be an infringement of copyright.

 

27. (1) Constitue une violation du droit d’auteur l’accomplissement, sans le consentement du titulaire de ce droit, d’un acte qu’en vertu de la présente loi seul ce titulaire a la faculté d’accomplir.

 

Violation à une étape ultérieure

 

(2) Constitue une violation du droit d’auteur l’accomplissement de tout acte ci-après en ce qui a trait à l’exemplaire d’une oeuvre, d’une fixation d’une prestation, d’un enregistrement sonore ou d’une fixation d’un signal de communication alors que la personne qui accomplit l’acte sait ou devrait savoir que la production de l’exemplaire constitue une violation de ce droit, ou en constituerait une si l’exemplaire avait été produit au Canada par la personne qui l’a produit :

 

a) la vente ou la location;

 

b) la mise en circulation de façon à porter préjudice au titulaire du droit d’auteur;

 

c) la mise en circulation, la mise ou l’offre en vente ou en location, ou l’exposition en public, dans un but commercial;

 

d) la possession en vue de l’un ou l’autre des actes visés aux alinéas a) à c);

 

e) l’importation au Canada en vue de l’un ou l’autre des actes visés aux alinéas a) à c).

 

 

 

 

 

 

 

 

Précision

 

(3) Lorsqu’il s’agit de décider si les actes visés aux alinéas (2)a) à d), dans les cas où ils se rapportent à un exemplaire importé dans les conditions visées à l’alinéa (2)e), constituent des violations du droit d’auteur, le fait que l’importateur savait ou aurait dû savoir que l’importation de l’exemplaire constituait une violation n’est pas pertinent.

 

Planches

 

(4) Constitue une violation du droit d’auteur la confection d’une planche conçue ou adaptée précisément pour la contrefaçon d’une oeuvre ou de tout autre objet du droit d’auteur, ou le fait de l’avoir en sa possession.

 

Représentation dans un but de profit

 

(5) Constitue une violation du droit d’auteur le fait, dans un but de profit, de permettre l’utilisation d’un théâtre ou d’un autre lieu de divertissement pour l’exécution en public d’une oeuvre ou de tout autre objet du droit d’auteur sans le consentement du titulaire du droit d’auteur, à moins que la personne qui permet cette utilisation n’ait ignoré et n’ait eu aucun motif raisonnable de soupçonner que l’exécution constituerait une violation du droit d’auteur.

 

Presumptions respecting copyright and ownership

 

Droit d’auteur

 

34.1 (1) In any proceedings for infringement of copyright in which the defendant puts in issue either the existence of the copyright or the title of the plaintiff thereto,

 

(a) copyright shall be presumed, unless the contrary is proved, to subsist in the work, performer’s performance, sound recording or communication signal, as the case may be; and

 

(b) the author, performer, maker or broadcaster, as the case may be, shall, unless the contrary is proved, be presumed to be the owner of the copyright.

 

34. (1) En cas de violation d’un droit d’auteur, le titulaire du droit est admis, sous réserve des autres dispositions de la présente loi, à exercer tous les recours — en vue notamment d’une injonction, de dommages-intérêts, d’une reddition de compte ou d’une remise — que la loi accorde ou peut accorder pour la violation d’un droit.

 

Liability for infringement

 

Violation du droit d’auteur : responsabilité

 

35. (2) In proving profits,

 

(a) the plaintiff shall be required to prove only receipts or revenues derived from the infringement; and

 

(b) the defendant shall be required to prove every element of cost that the defendant claims.

 

35. (2) Dans la détermination des profits, le demandeur n’est tenu d’établir que ceux provenant de la violation et le défendeur doit prouver chaque élément du coût qu’il allègue.

 

 


FEDERAL COURT

 

SOLICITORS OF RECORD

 

 

DOCKET:                                         T-299-05

 

STYLE OF CAUSE:                        CATHERINE LEUTHOLD

                                                            v

                                                            CANADIAN BROADCASTING

                                                            CORPORATION

                                                            and

                                                            JERRY MCINTOSH

 

PLACE OF HEARING:                  Montreal, Quebec

 

DATE OF HEARING:                    February 6, 7 8, 9, 13 and 14, 2012

 

REASONS FOR JUDGMENT

AND JUDGMENT:                         SCOTT J.

 

DATED:                                            June 14, 2012

 

 

 

APPEARANCES:

 

Daniel O'Connor

 

FOR THE PLAINTIFF

 

Christian Leblanc

FOR THE RESPONDENTS

 

 

SOLICITORS OF RECORD:

 

Daniel O'Connor, Avocats

Pointe-Claire, Québec

 

FOR THE PLAINTIFF

Myles J. Kirvan

Deputy Attorney General of Canada

Montréal, Québec

FOR THE RESPONDENTS

 

 

 You are being directed to the most recent version of the statute which may not be the version considered at the time of the judgment.