Federal Court Decisions

Decision Information

Decision Content

Date: 20140805


Docket: T-889-08

Citation: 2014 FC 773

Ottawa, Ontario, August 5, 2014

PRESENT:    The Honourable Mr. Justice Barnes

BETWEEN:

ESTATE OF A. GERARD BUOTE AND DAVID WHITE

 

Plaintiffs

and

HER MAJESTY THE QUEEN

Defendant

ORDER AND REASONS

[1]               This is a motion brought on consent under Federal Courts Rules, SOR/98-106, Rule 334.16 seeking to certify this action as a Class proceeding on behalf of 1056 disabled RCMP veterans. At the same time the parties have moved for the approval of a proposed settlement of the proceeding under Rule 334.29.

I.                   Background

[2]               The matters in issue in this proceeding are similar to those that were dealt with by the Court in Manuge v Canada, 2008 FC 624, [2008] FCJ No 787; 2012 FC 499, [2012] FCJ No 512; 2013 FC 341, [2013] FCJ No 363. In that proceeding a Class Certification Order was granted on behalf of several thousand disabled Canadian Forces (CF) veterans seeking to recover the offset of their Pension Act, RSC 1985, c P-6, benefits from income payable under the Canadian Forces Long Term Disability (LTD) policy. That Certification Order was ultimately upheld by the Supreme Court of Canada in Manuge v Canada, 2010 SCC 67, [2010], 3 SCR 672, and the case went forward as a Class proceeding. On an interlocutory motion brought by the parties I determined a disputed point of contractual interpretation in favour of the Class. Specifically, I found that the practice of deducting Pension Act disability payments from CF veterans’ LTD income was unlawful. That decision was not appealed and, after lengthy negotiations, a financial settlement was reached between the parties.

[3]               This action also concerns the lawfulness of the Defendant’s practise of offsetting Pension Act disability benefits from the income replacement benefits payable to disabled RCMP veterans under the RCMP LTD policy. It is noteworthy, however, that the contractual interpretation issue that arises in this case is different from the one that was resolved in the Manuge proceeding.

[4]               The RCMP LTD policy arguably has a stronger benefit offset clause than the CF LTD policy. In the case of the CF LTD policy the Pension Act offset was held not to be deductible, because the operative contractual clause only permitted the deduction of income benefits and not amounts payable as disability benefits. The RCMP LTD policy does not limit the offset of Pension Act benefits to income replacements but, instead, refers to “payments [received] under the Pension Act for an occupational disability... In the result, a significantly different issue of contractual interpretation arises in this case from the question that was answered in Manuge.

[5]               This matter was heard at Halifax on June 20, 2014. From the affidavit of Daniel Wallace it is apparent that the Preliminary Notice of the proposed settlement was sent by regular mail to all 1056 members of the proposed Class and, of those, 126 were returned as undeliverable. Counsel for the proposed Class also sent the Preliminary Notice to 160 members on their contact list. The Notice is also posted on the internet including the Veterans Affairs Canada website. I am satisfied that effective notice has been given to most of the members of the proposed Class and that the responses received are representative of the views of the Class. Of the 50 responses received as of June 5, 2014, only three expressed concern about the terms of settlement and no one expressed a concern about certification. When the matter was heard, several members of the proposed Class were in attendance but only the Plaintiff, David White, elected to make representations to the Court. He expressed strong support both for the terms of settlement and for the amount requested for legal fees and disbursements.

A.                Should this Action Be Certified As a Class Proceeding?

[6]               The parties propose the following Class definition:

All former members of the RCMP whose long-term disability benefits under Great West Life Assurance Company Group Policy Number 24892GM (“GWL-LTD Plan”) were reduced by the amount of their VAC Disability benefits received pursuant to the Pension Act.

[7]               This description of the Class appears to be inclusive of those who have an immediate financial interest in the proposed recovery of benefits.

[8]               For the reasons given previously in Manuge v Canada, 2008 FC 624, [2008] FCJ No 787, and, additionally, on the strength of the Defendant’s consent, it is appropriate to certify this action as a Class proceeding under Rule 334.16. All of the requirements of that Rule have been met. Furthermore, in the context of a motion to certify that coincides with a provisional settlement of the proceeding a rigorous approach to certification is unnecessary and unwarranted: see Gariepy v Shell Oil Company (2002), 117 ACWS (3d) 690, [2002] OJ No 4022 at para 27.

B.                 Should the Proposed Settlement Be Approved?

[9]               In Manuge v Canada, 2013 FC 341 at paras 4-6, I discussed the general principles that apply to the settlement of a Class proceeding.  The following points apply equally here:

General Principles Applicable to Class Action Settlements

[4]        Court approval of a class action settlement is appropriate where, in the overall circumstances, it is deemed to be fair and reasonable and in the best interests of the class as a whole:  see Bodnar v The Cash Store Inc., 2010 BCSC 145 at para 17, [2010] BCJ No 192.  In Chateauneuf v Canada, 2006 FC 286 at para 7, [2006] FCJ No 363, Justice Danièle Tremblay-Lamer, described the general approach to the approval of a class settlement in this Court:

7          The Court with a class action settlement before it does not expect perfection, but rather that the settlement be reasonable, a good compromise between the two parties. The purpose of a settlement is to avoid the risks of a trial. Even if it is not perfect, the settlement may be in the best interests of those affected by it, particularly when the risks and the costs of a trial are considered. It is always necessary to consider that a proposed settlement represents the parties' desire to settle the matter out of court without any admission by either party regarding the facts or regarding the law.

[5]        It is not open to the reviewing Court to rewrite the substantive terms of a proposed settlement nor should the interests of individual class members be assessed in isolation from the interests of the entire class:  see Dabbs v Sun Life Assurance Co. of Canada, [1998] OJ No 1598 at paras 10-11, (available on QL). 

[6]        It will always be a particular concern of the Court that an arms-length settlement negotiated in good faith not be too readily rejected.  The parties are, after all, best placed to assess the risks and costs (financial and human) associated with taking complex class litigation to its conclusion.  The rejection of a multi-faceted settlement like the one negotiated here also carries the risk that the process of negotiation will unravel and the spirit of compromise will be lost. 

[10]           The settlement proposed by the parties for approval in this case is the culmination of months of negotiations.  It provides for the rebate to members of the Class of a substantial percentage of the Pension Act benefits that were deducted from their LTD income and it completely eliminates that offset going forward.  The parties estimate the value of the settlement to be about $70 million made up of $30.6 million for past-due amounts, $9.1 million for interest calculated to October 31, 2014 and $30.3 million representing the present value of benefits payable to LTD recipients in the future. 

[11]           The proposed amount payable to Class members for retroactive benefits constitutes 82% of their maximum best-case recovery.  The parties explain the 18% discount on the basis of their litigation risks including the Defendant’s concession that its limitation defence will be withdrawn. 

[12]           The amounts payable to Class members or to their immediate surviving dependants will include simple interest dating back to February 1, 1992 at rates of between 3% and 6% per year.  The payments are, of course, subject to income tax. 

[13]           A comprehensive and simplified approach to determining eligibility has been proposed including a right of appeal to an independent adjudicator. 

[14]           The Defendant has agreed to pay to Class legal counsel an administrative fee of $18.00 per member to cover the cost of distributing benefits.  The Defendant will also pay for the cost of engaging a professional monitor to ensure ongoing compliance with the terms of settlement. 

[15]           In return for the above benefits the Defendant and the Great West Life Assurance Company will be released and discharged from any further liability arising from the offset of Pension Act benefits as described above. 

[16]           In many respects the above terms of settlement are consistent with those that were approved in Manuge, above.  The full particulars of the settlement are described in the Order below. 

[17]           It is apparent to me that the vast majority of Class members approve of the terms of settlement.  That is to be expected because the proposed settlement is fair and reasonable.  For anyone who elects to pursue an individual recovery, there is a right to opt out of the Class settlement within 60 days of the issuance of this Order.  That step would, of course, entail the commencement of a personal legal action at considerable expense and risk and, in my view, would not be prudent.  Nevertheless, this is a full answer to the concerns expressed by a few members of the Class about the terms of settlement. 

[18]           I am satisfied that the terms of the proposed settlement are fair and reasonable and in the best interests of the Class as whole.  In particular, the proposed 18% discount on past-due benefits is readily justified by the litigation risks and by the value of other benefits obtained.  There was a very real risk that this action could be dismissed outright or, alternatively, that the Defendant’s limitations defence would substantially limit the amounts recoverable.  The further achievement of the elimination of the Pension Act offset into the future is also a significant benefit that justifies the modest reduction from past recoveries. 

[19]           For the foregoing reasons, the settlement as proposed is approved. 

[20]           Counsel for the Class propose to deduct legal fees from the retroactive refunds payable to members in the amount of 8% and a further deduction of 0.064% is sought to reimburse counsel for out-of-pocket expenses.  Inasmuch as there is no workable method to collect legal fees from refunds payable into the distant future, this represents a feasible approach to the issue. 

[21]           The 8% deduction for legal fees from retroactive refunds is consistent with the approach the Court took in Manuge, above.  Indeed, in Manuge the total value of the settlement was substantially greater than this one.  Generally speaking, in very large or megafund settlements, the greater the amount recovered the lower the percentage that will be justified for legal fees.  Notwithstanding the substantially lower amount recovered in this case on behalf of the Class, counsel propose a legal fee recovery that is consistent with the amount approved in Manuge

[22]           In Manuge v Canada, 2013 FC 341, I described the factors that should be applied to the assessment of legal fees in a Class proceeding as follows:

[28]      At the heart of the application of Rule 334.4 is the requirement that legal fees payable to class counsel be fair and reasonable:  see Parsons et al v Canadian Red Cross Society et al, 49 OR (3d) 281, [2000] OJ No 2374 [Parsons et al].  In determining what is fair and reasonable the Court must look at a number of factors including the results achieved, the extent of the risk assumed by class counsel, the amount of professional time actually incurred, the causal link between the legal effort and the results obtained, the quality of the representation, the complexity of the issues raised by the litigation, the character and importance of the litigation, the likelihood that individual claims would have been litigated in any event, the views expressed by the class, the existence of a fee agreement and the fees approved in comparable cases.  Some authorities have also recognized a broader public interest in controlling the fees payable to the legal profession:  see Endean v Canadian Red Cross Society, 2000 BCSC 971, at para 73, 2000 BCJ No 1254 [Endean].

[23]           There is no serious opposition to the proposed fees.  Class counsel assumed considerable risk by taking this case on and have worked hard and ably to obtain a generous recovery on behalf of the Class.  They are entitled to a reasonable recovery for their efforts particularly where the impact of legal fees on the recoveries payable to members will not be disproportionate. 

[24]           For the foregoing reasons the proposed legal fees and disbursements recovery is approved. 


ORDER

THIS COURT ORDERS that:

[1]               This action shall be certified as a class proceeding.

[2]               David White shall be appointed as the representative Plaintiff.

[3]               The definition of the Class shall be:

All former members of the Royal Canadian Mounted Police whose long-term disability benefits under Great West Life Assurance Company Group Policy Number 24892GM (“GWL-LTD Plan”) were reduced by the amount of their Veterans Affairs Canada disability benefits received pursuant to the Pension Act from October 1, 1975 to the date of this Order.

[4]               The nature of the claim be stated as follows:

a.                   Subsection A & B of the Amount Payable section of the GWL-LTD Plan reduces the monthly long-term disability benefit otherwise payable by “the monthly amount of any periodic payments he receives under the Pension Act for an occupational disability which occurred while he was on duty” (“Pension Act Offset”).

b.                  The Class submits that the Pension Act Offset:

i.                    is unlawful;

ii.                  is ultra vires the legislative authority of the Defendant;

iii.                unlawfully assigns, charges, attaches, anticipates, commutes, or gives as security the VAC Disability Benefits paid or payable to the Plaintiffs and the Class contrary to Section 30 of the Pension Act, RSC 1985, c P-6;

iv.                its purpose and effect infringes the equality rights of the Plaintiff and Class under section 15(1) of the Canadian Charter of Rights and Freedoms (the "Charter") to live free from discrimination that cannot be saved under section 1 of the Charter;

v.                  nullifies the purpose for which the long term disability insurance coverage was issued and is contrary to the reasonable expectations of the parties;

vi.                breaches the fiduciary duties owed by the Defendant to the Plaintiffs and the Class as disabled former members of the Royal Canadian Mounted Police involuntarily terminated from services; and/or

vii.              has been implemented and maintained by the Defendant in bad faith.

[5]               The relief sought by the Class is as follows:

a.                   A declaration that the Pension Act Offset is unlawful;

b.                  A declaration that the Pension Act Offset is ultra vires the legislative authority of the Defendant;

c.                   A declaration that the benefits paid and/or payable to the Plaintiffs and the Class pursuant to the Pension Act have been unlawfully "assigned, charged, attached, anticipated, commuted or given as security" by the Defendant contrary to section 30 of the Pension Act as a result of the Pension Act Offset;

d.                  A declaration that the purpose and effect of the Pension Act Offset deprives the Plaintiffs and the Class of their equality rights under section 15(1) of the Charter to live free from discrimination that cannot be saved under section 1 of the Charter;

e.                   A declaration that the Defendant has breached the fiduciary duties owed to the Plaintiffs and the Class as former servants and members of the Royal Canadian Mounted Police terminated as a result of injuries sustained during the course of their service and suffering resulting disabilities;

f.                   A declaration that the Defendant has acted in bad faith in the implementation of the Pension Act Offset and its impact on the Plaintiffs and the Class as former servants and members of the Royal Canadian Mounted Police terminated as a result of injuries sustained during the course of their service and suffering resulting disabilities;

g.                  An Order pursuant to section 24 of the Charter that the Pension Act Offset be expunged;

h.                  An Order pursuant to section 24 of the Charter that the Plaintiffs and the Class be reimbursed in an amount equal to the amount of long term benefits deducted pursuant to the Pension Act Offset from the amount of long term disability benefits otherwise payable to the Plaintiffs and the Class;

i.                    In the alternative, special damages in an amount equal to the amount of benefits payable to the Plaintiffs and the Class unlawfully and wrongfully deducted pursuant to the Pension Act Offset from the amount of long term disability benefits otherwise payable to the Plaintiffs and the Class;

j.                    A declaration that the Pension Act Offset is severed from the remainder of the GWL-LTD Plan and declared void as it is illegal, in breach of the Charter and/or contrary to public policy;

k.                  A declaration that the Defendant’s interpretation and application of the Pension Act Offset is null and void as it nullifies the purpose for which the insurance coverage was sold and paid for by the Plaintiffs and the Class and is contrary to the reasonable expectations of the parties;

l.                    Liability and general damages for:

i.                    Discrimination;

ii.                  Breach of fiduciary duties;

iii.                Bad faith; and

iv.                Mental distress.

m.                Punitive, exemplary and aggravated damages;

n.                  Interest pursuant to the Federal Courts Act, RSC 1985, c F-7, and the Crown Liability and Proceedings Act, RSC 1985, c C-5;

o.                  Costs of this action on a solicitor-and-client basis;

p.                  Costs of this motion on a solicitor-and-client basis; and

q.                  Such further relief as this honourable Court may deem just.

[6]               The following questions be certified as common issues:

a.                   Is the Pension Act Offset unlawful?

b.                  Is the Pension Act Offset ultra vires the legislative authority of the Defendant?

c.                   Are the benefits paid to the Class pursuant to the Pension Act unlawfully “assigned, charged, attached, anticipated, commuted or given as security” by the Defendant contrary to Section 30 of the Pension Act as a result of the application of the Pension Act Offset?

d.                  Does the Pension Act Offset infringe the equality rights of the Class under s.15(1) of the Charter including their rights under section 15(1) to live free from discrimination in a manner that cannot be saved under Section 1 of the Charter?

e.                   Has the Defendant breached the fiduciary duties owed to the Class by implementing the Pension Act Offset?

f.                   Has the Defendant acted in bad faith in the implementation of the Pension Act Offset?

g.                  Is the Class entitled to relief under Section 24 of the Charter and what relief should be granted?

h.                  Whether the Pension Act Offset should be declared null and void and a breach of contract because it was contrary to the Charter, illegal and/or contrary to public policy?

i.                    Whether the Plaintiffs and the Class should receive damages for breach of contract, including damages for mental distress?

j.                    Whether the Defendant’s interpretation of the Pension Act Offset should be declared null and void as it nullifies the insurance purpose of the Policy?

k.                  Are special damages payable by the Defendant?

l.                    Is the Defendant liable for general damages for discrimination, breach of fiduciary duties and bad faith?

m.                What, if any, aggregate award is appropriate under Rule 334 of the Federal Courts Rules?

n.                  Does the conduct of the Defendant justify an award of punitive damages, and what is an appropriate amount of punitive damages?

o.                  Is interest payable to the Class pursuant to the Federal Courts Act?

p.                  Should the costs of this action be awarded to the Class and, if so, on what basis?

[7]               The opt out date for any class members shall be 60 days from the date that the Defendant, through Morneau Shepell, distributes the appropriate Notice to the last known address on file for the Class Members (“Opt Out Period”). An Opt Out may be withdrawn before the end of the Opt Out Period.

[8]               The Defendant agrees to the following terms on the basis that such agreement is made without admission of liability in regard to any claim made by the Plaintiff Class.

[9]               As at the end of the month immediately following the month in which this order is made, the Defendant shall cease decreasing the Class Members’ ongoing long-term disability (“LTD”) payments under the GWL-LTD Plan by the amount of the Members’ Pension Act disability benefits (“the Pension Act Offset.”)

[10]           The Defendant, through Great West Life Assurance Company (“Great West”),  shall calculate an amount known as the “Principal Refund” on behalf of each Class Member according to the following formula:

82 % multiplied by z

z = the aggregate of all amounts offset from the individual Class Member’s LTD benefits on account of Pension Act benefits.

[11]           The Defendant will pay simple interest on the Principal Refund, calculated as follows:

a.                   No interest shall be payable for the period prior to February 1, 1992.

b.                  6% per year from February 1, 1992 to December 31, 1995;

c.                   5% per year from January 1, 1996 to December 31, 2008; and

d.                  3% per year from January 1, 2009 to the date the amount is paid to McInnes Cooper in trust.

(collectively, the “Interest Amount.”)

[12]           The Principal Refund and the Interest Amount shall collectively be referred to as the “Refund.”

[13]           Subject to paragraphs 18 and 19, within six months of this Order, the Defendant, through Great West, shall remit to McInnes Cooper in trust on behalf of each Class Member the Refund reduced by the following amounts:

a.                   any amount owing by the Class Member to Great West (the “Overpayment Recovery”); and

b.                  any statutorily required tax withholding. Class Members may claim this withholding as a credit for tax paid as provided under the Income Tax Act, RSC 1985, c 1 (5th Supp).

[14]           The Defendant, through Great West, will issue all required T4 and T4A, and where applicable, T1198 tax forms to Class Members and the Canada Revenue Agency (“CRA”).

[15]           The Defendant, through Great West, shall provide to Class Counsel the following information for each Class Member:  the amount of the Principal Refund, the Interest Amount, the amount of any Overpayment Recovery and the amount of any tax withholding.

[16]           The Defendant, through Great West, shall provide Class Counsel with the Defendant’s information as to the Class Members’ last known address and telephone number.

[17]           The Defendant, through Great West, shall, for the purpose of determining the eligibility for ongoing LTD benefits:

a.                   treat Class Members as having been disabled pursuant to the GWL-LTD Plan for the first 24 months from their discharge;

b.                  treat those in regard to whom offsets for Pension Act disability benefits have reduced their LTD benefits to zero, (Zero Sum Members) as having been disabled pursuant to the GWL-LTD Plan for the period of time when they:

(i)                 qualified for an Exceptional Incapacity Allowance provided for in section 72 of the Pension Act, RSC 1985, c P-6, if the qualifying disability arose while they were insured for the purposes of long-term disability benefits under  the GWL-LTD Plan; or

(ii)               qualified under subsection 42(2) of the Canada Pension Plan, RSC 1985, c C-8, if the qualifying disability arose while they were insured for the purposes of long-term disability benefits under the GWL-LTD Plan.

[18]           Subject to the acceptance of disability by the Defendant, through Great West as a result of paragraph 17, and subject to the requirement of financial eligibility, the Defendant shall assess disability and if applicable the Refund amount for class members from information available to the Defendant and Great West from:

a.                   their own files;

b.                  the files of the entities referred to in the Sharing Order attached as Annex A to this Order.;

c.                   in conjunction with 17 a & b, additional medical information that may be requested from a treating physician/doctor/clinic etc. and additional financial information, as per Annex B which information shall be requested as soon as Great West determines that additional information is necessary;

d.                  class members shall have six months to respond to any request for information, unless an extension is obtained on application to the Court.

[19]           The Defendant, through Great West Life, shall remit to McInnes Cooper in trust the Refund amount on behalf of each class member within six months of receiving additional medical and/or financial information required by paragraph 18(c).

[20]           Great West will provide Class Counsel with monthly reports with a list of persons for whom there are information requests that have been outstanding for more than a month pursuant to paragraph 18(c).

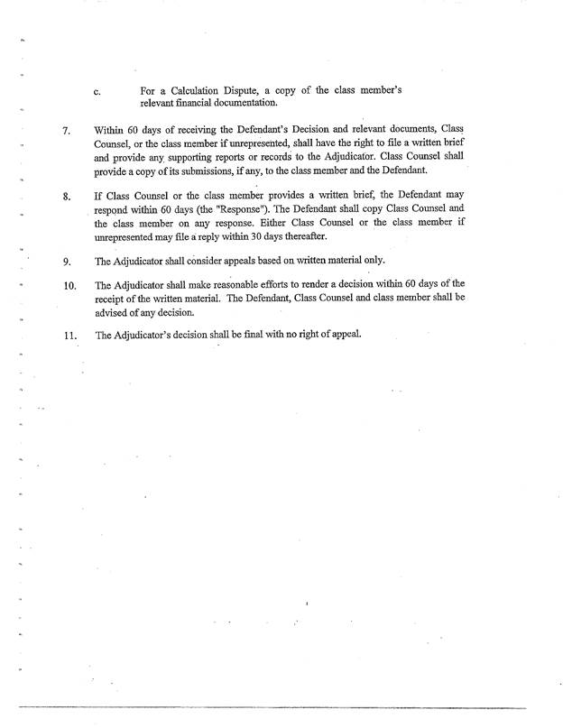
[21]           If a dispute arises about whether a Zero Sum Member, including those described in paragraph 18, was disabled (the "Disability Dispute,") that Zero Sum Member shall have 90 days to appeal that finding to the adjudicator (the “Disability Appeal”) according to the Appeal Protocol attached as Annex C.  Class Members who were previously assessed under the GWL-LTD Plan as not totally disabled may, if they declare they did not appeal that determination on the basis of the application of the Offset, appeal to the Adjudicator also. Great West, prior to this appeal to the Adjudicator, may reconsider whether the Class Member is totally disabled upon request and if the Class Member declares they did not appeal that determination on the basis of the application of the Offset.

[22]           If there is a dispute about the calculation of the Refund (the “Calculation Dispute,”) the Class Member shall have 30 days after receipt of the Refund to advise the Adjudicator of the dispute (the “Calculation Appeal,”) along with any supporting reports or records according to the Appeal Protocol attached as Annex C.

[23]           The decision of the Adjudicator on any Disability Dispute or Calculation Dispute shall be final, with no right of appeal. The Adjudicator’s decision shall be in accordance with the terms of the GWL-LTD Plan. The Adjudicator shall have the right to recommend rules and protocols to the Defendant and Class Counsel, and if necessary to seek direction from the Court on notice to the Defendant and Class Counsel.

[24]           The Defendant shall retain her usual rights under GWL-LTD Plan  in relation to the provision of or requests for medical or financial evidence for future payments other than the Refund.

[25]           Class Members who are deceased at the date of this order shall be entitled to payments payable to the date of death, which payments shall be made only and directly to living persons in the following priority:

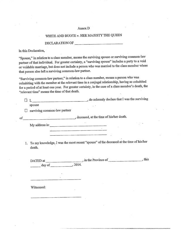
a.                   All of the payments shall be paid to the surviving “Spouse” or “Common Law Partner” of the deceased member. 

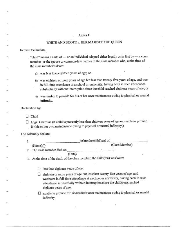
b.                  If there is no surviving Spouse or Common Law Partner of the deceased member, all payments shall be divided equally and paid to the “Children.”

c.                   If there is no surviving “Spouse”, surviving “Common Law Partner”, or surviving “Child” as defined in Annex D or E hereto at the time of the member’s death, no payments shall be payable by the Defendant.

[26]           If a Class Member dies after the date of this order, but before they receive their Refund, the Refund will be paid to that Class Member’s estate.

[27]           Prospective claimants of payments in respect of deceased Class Members under paragraph 25 shall be required to execute a declaration in the form of Annex D to this Order for Spouses/Common Law Partners or Annex E to this Order for Children.

[28]           Her Majesty the Queen in right of Canada, her heirs, successors, and assigns, Great West, the Department of Public Safety and Emergency Preparedness, the Royal Canadian Mounted Police, the Treasury Board of Canada and Class Counsel, including but not limited to McInnes Cooper and Branch MacMaster shall be held harmless from any and all claims, suits, actions, causes of action, or demands whatsoever by reason of or resulting from a payment to a spouse, common law partner, dependent child or estate pursuant to this Order.

[29]           Deloitte shall be appointed as Monitor to review, monitor and report quarterly on the progress of the Defendant's compliance with paragraphs 8-25 until such time as the Court directs.

[30]           Laura Bruneau shall be appointed as Adjudicator.

[31]           The Monitor and the Adjudicator’s accounts shall be paid by the Defendant, with any dispute on these accounts or the scope of their work to be resolved by the Court.

[32]           Class members are deemed to provide a release in favour of the Defendant and Great West in the following form:

IN CONSIDERATION of the Defendant’s agreement to the terms of this Order, each Class Member DOES HEREBY RELEASE and forever discharge Great West Life Assurance Company, the Defendant and their officers, directors, employees, agents, parent, subsidiaries, affiliates, predecessors, successors, heirs, and assigns, jointly and severally, from any and all losses, damages, debts, liabilities, costs, claims, suits, actions, causes of action, and demands whatsoever which the Class Member ever had, now has, or which the Class Member or his or her heirs, executors, successors or assigns may at any time in the future have against the Defendant by reason of or resulting from the Offset including all claims raised or capable of being raised in this action.

[33]           Class Members will be provided notice in the form attached as Annex “F” (the “Notice”) and in the manner set out below :

a.                   Class Counsel shall instruct Morneau Shepell to distribute the Notice to the last known address on Great West’s file for the Class Members within 10 days of the issuance of this Order;

b.                  The Notice will be published on Class Counsel’s website, and a link to same shall be placed on the front page of the Veterans Affairs Canada’s, the RCMP’s and Great West’s websites within 10 days of the issuance of this Order;

c.                   The Notice shall be emailed by Class Counsel to Class Members of whom they are aware within 10 days of the issuance of this Order;

d.                  The parties will issue a joint press release in respect of the Notice within 10 days of the issuance of this Order;

e.                   The Defendant will pay the costs of providing Notice, except for the cost of publishing the Notice on Class Counsel’s website and delivering the emails to known Class Members;

f.                   The Defendant will advise Class Counsel of any Notice returned to sender, and Class Counsel will be entitled to take any further steps to locate this individual at their own expense; and

g.                  The Opt Out form shall be as attached in Annex “G”.

[34]           From the amount payable under paragraph 13, Class Counsel shall be entitled to deduct:

a.                   an amount equal to 8% of the Refund and the cancellation of debts owing by the Class Member to Great West for its legal fees.

b.                  an amount equal to 0.064% of the Refund and the cancellation of debts owing by the Class Member to Great West for its disbursements.

c.                   the statutorily required GST, HST and applicable provincial sales tax from the Refund and remit that amount to the Canada Revenue Agency or applicable provincial agency.

[35]           At the same time that the payment referred to in paragraph 13 is made, the Defendant shall pay McInnes Cooper $18 for each Class Member paid with regard to McInnes Cooper’s administrative expenses. The Defendant shall also reimburse McInnes Cooper within 30 days of receiving an invoice for the cost of sending out the cheques by registered mail.

[36]           Class Counsel shall not charge any legal fees or disbursements on any increased or new monthly payments that are payable for periods after the date the Offset ceases.

[37]           Application No. T-479-09 shall be discontinued without costs to any party.

[38]           The Court retains general supervisory jurisdiction over this action as well as any issues arising that may be brought forward to the Court on application of any party.


[39]           This Order is made on a without costs basis.

"R.L. Barnes"

Judge






















FEDERAL COURT

SOLICITORS OF RECORD


DOCKET:

T-889-08

 

STYLE OF CAUSE:

ESTATE OF A.GERARD BUOTE AND DAVID WHITE V HER MAJESTY THE QUEEN

 

PLACE OF HEARING:

Halifax, NS

 

DATE OF HEARING:

June 20, 2014

 

order AND REASONS:

barnes j.

 

DATED:

August 5, 2014

 

APPEARANCES:

Ward Branch

Peter Driscoll

Daniel Wallace

 

For The Applicant

 

Paul Vickery

Travis Henderson

Lori Rasmussen

 

For The Respondent

 

SOLICITORS OF RECORD:

Branch MacMaster

Halifax, NS

and

McInnes Cooper

Halifax, NS

 

For The Applicant

 

William F. Pentney

Deputy Attorney General of Canada

Ottawa, ON

and

Halifax, NS

For The Respondent

 

 

 You are being directed to the most recent version of the statute which may not be the version considered at the time of the judgment.