Décisions de la Cour fédérale

Informations sur la décision

Contenu de la décision

Date : 20160823


Dossier : T-1694-14

Référence : 2016 CF 857

[TRADUCTION FRANÇAISE]

Ottawa (Ontario), le 23 août 2016

En présence de monsieur le juge Brown

ENTRE :

GILEAD SCIENCES, INC. ET
GILEAD SCIENCES CANADA, INC.

demanderesses

et

LE MINISTRE DE LA SANTÉ ET
APOTEX INC.

défendeurs

JUGEMENT PUBLIC ET MOTIFS

(Jugement et motifs confidentiels publiés le 21 juillet 2016)

I.                   Nature de l’affaire

[1]               Il s’agissait au départ d’une demande en vue d’obtenir une ordonnance en application de l’article 6 du Règlement sur les médicaments brevetés (avis de conformité), DORS/93-133, tel que modifié, DORS/98-166, DORS/99-379, DORS/06-242 (le « Règlement sur les MB(AC) »), interdisant au ministre de la Santé de délivrer un avis de conformité (AC) à l’égard d’un avis d’allégation (AA) envoyé par Apotex Inc. (Apotex ou la défenderesse) à Gilead Sciences Canada, Inc. (Gilead ou la demanderesse) daté du 19 juin 2014 concernant deux (2) brevets canadiens, à savoir les nos 2 261 619 (le brevet 619) et 2 298 059 (le brevet 059) et les comprimés pour administration par voie orale contenant du fumarate de ténofovir disoproxil (300 mg) (FTD). Le brevet 619 vise le médicament VIREAD®.

[2]               Cependant, par ordonnance datée du 8 mai 2015 (Sciences Canada c. Canada (Santé), 2015 CF 610), le juge Barnes a réglé les questions de validité du brevet 059 liées à l’avis de demande de Gilead. Je ne ferai pas davantage référence au brevet 059.

[3]               De plus, en guise de contexte, il y a une affaire connexe, à savoir le dossier de la Cour no T-1693-14, que j’ai entendue lors des mêmes séances que le présent dossier. Cette affaire connexe, tranchée en même temps que le cas en l’espèce, concerne le brevet canadien no 2 512 475 (le brevet 475) et le produit TRUVADA® de Gilead qui fait intervenir un médicament combiné composé de VIREAD®, visé par le brevet 619, et un autre médicament, à savoir l’emtricitabine ou FTC, également connu sous le nom de Coviracil. Dans l’affaire connexe, la juge Heneghan a conclu que le brevet 619 n’était pas admissible à l’inscription au registre des brevets et, par conséquent, inadmissible à l’inclusion dans l’instance : Gilead Sciences, Inc. c. Canada (Santé), 2016 CF 231; par conséquent, le brevet 619 a été radié du registre des brevets aux fins de ce dossier de cour. Le 4 mai 2016, la Cour d’appel fédérale a rejeté un appel : Gilead Sciences, Inc. c. Apotex Inc., 2016 CAF 140.

[4]               Il est entendu que mes conclusions concernant le brevet 619 s’appliquent également à la demande connexe T-1693-14. Les allégations et les éléments de preuve concernant le brevet 619 sont identiques dans les deux dossiers de la Cour.

[5]               Comme je l’ai indiqué, seul le brevet 619 est visé par la présente instance. Le brevet 619 vise VIREAD®, un promédicament utile dans le traitement et la prophylaxie du virus de l’immunodéficience humaine (VIH). En l’espèce, un promédicament est un composé conçu pour permettre à un autre médicament dont on connaît les avantages médicaux (appelé le médicament mère) de traverser la paroi intestinale, après quoi le promédicament est retransformé en son médicament mère dans le corps, où le médicament mère peut alors faire ce pour quoi il est conçu. Le but du promédicament est de surmonter un obstacle de biodisponibilité après l’administration par voie orale dans des circonstances où le médicament mère lui-même ne peut pas franchir la paroi intestinale du corps, c.-à-d. que sa biodisponibilité est faible ou médiocre lorsqu’il est administré par voie orale. VIREAD® est un promédicament, ténofovir disoproxil, sous forme de sel de fumarate, formant ensemble un fumarate de ténofovir disoproxil (FTD), qui permet au médicament mère, ténofovir ou PMPA, de traverser la paroi intestinale dans le corps d’un patient où le médicament mère peut faire ce pour quoi il est conçu. Le promédicament est également connu sous le nom de bis(POC)PMPA.

[6]               Dans le présent dossier de la Cour, le brevet 619 est examiné en fonction de ses caractéristiques propres. La revendication invoquée dans le brevet 619 est la revendication 32, qui décrit le produit chimique ténofovir disoproxil (TD) et ses sels, tautomères et solvates. La contrefaçon n’est pas en litige; Apotex reconnaît que son nouveau médicament proposé contrefera le brevet 619 si ce dernier est valide. Apotex mise plutôt sur l’invalidité, alléguant que le brevet 619 est invalide parce qu’il n’est pas nouveau (antériorité), qu’il est évident, qu’il est une sélection invalide au titre de brevet de sélection, et qu’il n’est pas utile (dénué d’utilité). À mon avis, après examen du droit et des éléments de preuve, je conclus selon la prépondérance des probabilités que les allégations dans l’AA d’Apotex ne sont pas fondées. Par conséquent, une ordonnance d’interdiction est rendue.

II.                Faits

A.                Avis d’allégation

[7]               L’AA daté du 19 juin 2014 allègue que le brevet 619 et le brevet 059 sont invalides pour divers motifs. Il y a 199 documents annexés à l’AA. Une ordonnance de protection est en place, ce qui explique pourquoi les motifs sont publiés dans la présente version confidentielle.

B.                 Le brevet 619

[8]               Le brevet 619 énonce ce qui suit aux passages pertinents :

CONTEXTE DE L’INVENTION [à la page 5]

[traduction] La présente invention a trait aux intermédiaires concernant les analogues de nucléotides de phosphométhoxy, en particulier les intermédiaires qui se prêtent à l’administration efficace par voie orale de tels analogues.

Comme tels, ces analogues et diverses technologies d’administration orale de ces composés et d’autres composés thérapeutiques sont connus. Voir WO 91/19721, WO 94/03467, WO 94/03466, WO 92/13869, brevets américains 5 208 221, 5 124 051, DE 41 38 584 Al, WO 94/10539, WO 94/10467, WO 96/18605, WO 95/07920, WO 95 79 /07919, WO 92/09611, WO 92/01698, WO 91/19721, WO 88/05438, EP 0 632 048, EP 0 481 214, EP 0 369 409, EP 0 269 947, brevets américains nos 3 524 846 et 5 386 030, Engel Chem. Rev. 77:349-367 1977, Farquhar et al., J. Pharm. Sci.72:324-325 1983, Starrett et al., Antiviral Res. 19:267-273 1992, Safadi et al., Pharmaceutical Research 10(9):1350-1355 1993, Sakamoto et al., Chem. Pharm. Bull. 32(6):2241-2248 1984, et Davidsen et al., J. Med. Chem. 37(26):4423-4429 1994.

Utilités : [à la page 35]

[traduction] Les composés de cette invention sont utiles dans le traitement ou la prophylaxie d’une ou de plusieurs infections virales chez l’homme ou les animaux, y compris les infections causées par des virus à ADN, des virus à ARN, des virus herpétiques. (CMV, HSV 1, 5 HSV 2, VZV, et autres similaires), des rétrovirus, des virus à ADN de l’hépatite (p. ex. HBV), des papillomavirus, des hantavirus, des adénovirus et le VIH. Parmi les autres infections à traiter à l’aide des composés, mentionnons d’autres infections rétrovirales de rongeurs et d’autres animaux. L’art antérieur définit la spécificité antivirale des analogues de nucléotides; la spécificité du médicament mère est partagée par les composés de cette invention.

Exemple 15 [à la page 56]

Biodisponibilité orale et carbonates de PMPA chez le chien beagle

Exemple 16

Activité antivirale de PMPA et carbonates de PMPA dans une culture tissulaire

Revendications [à la page 70]

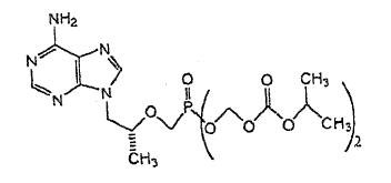
32. Un composé ayant la structure :

et ses sels, tautomères et solvates.

C.                 Témoins

(1)               Experts

(a)                Gilead

M. Franz Maag

[9]               M. Maag œuvre dans le domaine de la chimie organique depuis plus de 40 ans, plus particulièrement dans le domaine de la chimie thérapeutique et avec une expérience des agents antiviraux, des médicaments immunodépresseurs et des agents anti-VIH. Il a écrit des articles sur les promédicaments et la chimie des nucléosides, et il a apporté sa contribution à des chapitres pour un manuel sur les promédicaments. M. Maag est expert-conseil dans le domaine pharmaceutique et biotechnologique depuis 2010.

[10]           Dès 1996, M. Maag avait déjà accumulé 15 années d’expérience en tant que chercheur à divers postes au sein de Hoffman-Laroche et Syntex Discovery. En octobre 1994, il a été promu scientifique principal à l’institut de chimie organique au sein de Syntex Discovery Research à Palo Alto, en Californie, où il a dirigé un groupe de chimie thérapeutique dont les travaux portaient principalement sur de nouveaux agents analgésiques (c.-à-d. antidouleurs). M. Maag a aussi été chef d’équipe de projet pour le développement clinique d’un promédicament de l’agent antiviral ganciclovir, pour lequel il a été nommé inventeur désigné du brevet canadien no 2 154 721. Syntex Discovery Research a été rachetée par la suite et rebaptisée Roche Bioscience. En juin 1996, M. Maag a été promu au poste de chercheur scientifique principal à Roche Bioscience.

 M. Ronald Borchardt

[11]           M. Borchardt possède plus de 40 années d’expérience du milieu universitaire et du milieu de la recherche dans la conception et le développement de médicaments et de promédicaments. M. Borchardt a connu une carrière universitaire impressionnante puisqu’il a publié plus de 500 documents et 450 résumés de présentations, présidé le département des sciences pharmaceutiques de l’Université du Kansas, et reçu des prix et des diplômes honorifiques. Il a tout récemment édité un livre de 1 500 pages en deux volumes intitulé Pro-drugs: Challenges and Rewards, ouvrage pour lequel M. Maag est l’auteur de deux chapitres.

[12]           Dès 1996, M. Borchardt avait déjà acquis plus de 25 années d’expérience dans ce domaine. Il a obtenu un Ph. D. en chimie thérapeutique de l’Université du Kansas en 1970. Au cours de ses études à l’Université du Kansas, M. Borchardt a occupé divers postes d’enseignement dans les départements de chimie pharmaceutique (de 1983 à aujourd’hui), de biochimie (de 1971 à 1999) et de chimie thérapeutique (de 1981 à 1994). Pendant 15 ans, de 1983 à 1998, M. Borchardt a été président du département de chimie pharmaceutique de l’Université du Kansas. Depuis 2001, M. Borchardt est rédacteur en chef du Journal of Pharmaceutical Sciences. Cela n’a pas été contesté, et j’admets qu’il s’agit de la « revue officielle » de l’American Pharmacists Association et du Board of Pharmaceutical Sciences de la Fédération internationale pharmaceutique. M. Borchardt a aussi fait partie des comités consultatifs de rédaction de nombreuses autres revues du domaine des sciences pharmaceutiques, notamment : Journal of Drug Targeting (de 1992 à 2008), Pharmaceutical Research (de 1986 à 2005), Advanced Drug Delivery Reviews (de 1992 à 2004), Molecular Interventions (de 2000 à 2005), European Journal of Pharmaceutical Sciences (de 1998 à 2003), Journal of Peptide Research (de 1997 à 2001), AAPS (American Association of Pharmaceutical Scientists) Journal (de 1999 à 2001), Antiviral Research (de 1988 à 2000), et Journal of Medicinal Chemistry (de 1988 à 1993).

Dr Richard Elion

[13]           Le Dr Elion est un médecin de famille qui possède une expérience du traitement du VIH. Le Dr Elion a commencé à travailler avec des patients atteints du VIH/sida en 1984, et il a été le directeur médical de la Stuyvesant Polyclinic en 1985, lorsque la clinique est devenue le premier centre de santé communautaire de New York à offrir le dépistage du VIH. La pratique médicale du Dr Elion portait principalement sur le VIH/sida. Le Dr Elion a aussi été conseiller au sein divers conseils en matière de politiques sur le VIH/sida et il a été auteur et rédacteur de publications portant principalement sur le traitement du VIH/sida. Le Dr Elion est actuellement subventionné par Gilead dans des recherches cliniques liées à ses inhibiteurs de l’intégrase, et il a offert des services consultatifs médicaux pour Gilead dans le passé. Le Dr Elion a produit un témoignage sur le traitement du VIH/sida pendant les périodes visées et sur l’incidence clinique de VIREAD®.

(b)               Apotex

(i)                 M. Joseph Fortunak

[14]           M. Fortunak est professeur de chimie à l’Université Howard et occupe conjointement deux postes en sciences pharmaceutiques. M. Fortunak a travaillé pour SmithKline Beecham de 1983 à 1993, puis pour DuPont Pharmaceutical Company de1993 à 2000, et ensuite pour Abbott Labs de 2000 à 2004. Par exemple, M. Fortunak a travaillé à la mise au point de procédés manufacturiers commerciaux pour Efavirenz (Sustiva, un inhibiteur non nucléosidique de la transcriptase inverse) pour le traitement du VIH pendant qu’il travaillait au sein de DuPont Pharma (de 1993 à 2000), et l’emtricitabine (FTC ou Coviracil), également pour le traitement du VIH, pendant qu’il travaillait au sein d’Abbott Labs. M. Fortunak est devenu professeur de chimie en 2004. M. Fortunak a axé sa carrière universitaire sur des initiatives mettant en œuvre des procédés manufacturiers d’ingrédients pharmaceutiques actifs plus efficaces de façon à entraîner une plus grande accessibilité au traitement à l’échelle mondiale et à la durabilité environnementale.

(ii)               M. Andrea Brancale

[15]           M. Brancale a obtenu sa maîtrise en 1996; sa thèse portait sur la conception et la synthèse de nouveaux composés hétérocycliques, notamment des agents antivirus de l’immunodéficience humaine (VIH). Ses recherches dans le cadre de sa maîtrise comprenaient la fabrication de nouveaux agents anti-VIH et la réalisation d’essais de ces agents. Il a obtenu son doctorat en chimie thérapeutique en 2001, ses travaux ayant mené à l’invention d’un promédicament oral pour le traitement du zona et de la varicelle (virus). Au sein de GlaxoSmithKline, M. Brancale a travaillé à un projet visant à concevoir de nouveaux promédicaments d’analogues nucléosidiques à utiliser comme agents anti-VIH et anti-hépatite B après l’obtention de son doctorat. M. Brancale a été très actif dans le domaine de la conception et de la synthèse de nouveaux nucléosides et analogues nucléotidiques.

M. Andrew Owen

[16]           M. Owen est professeur au département de pharmacologie moléculaire et clinique de l’Université de Liverpool. M. Owen a obtenu sa maîtrise ès sciences en pharmacologie en 1998 et un doctorat en pharmacologie en 2002. M. Owen a concentré ses travaux sur la pharmacologie de base et clinique du VIH et du sida pendant près de 20 ans. M. Owen travaille actuellement au développement de la première nanomédecine orale visant à traiter le VIH/sida et il est hautement qualifié dans le domaine de la pharmacologie en traitement du VIH/sida.

[17]           M. Owen donne son opinion sur l’identité de la personne versée dans l’art, la divulgation du brevet 619 et s’il était antériorisé par la demande EP 214, l’état de la technique antérieure à la date pertinente, la promesse du brevet et si l’utilité a été établie ou a fait l’objet d’une prédiction valable au moment pertinent.

(2)               Témoins des faits

[18]           Gilead a présenté des affidavits de témoins des faits pour mettre en contexte l’histoire de l’invention de TD. Les témoins comprennent : M. William A. Lee, actuel vice-président principal de la recherche, et à la période visée, vice-président du développement des produits pharmaceutiques au sein de Gilead; M. Reza Oliyai, actuellement vice-président du développement des produits et des fournitures cliniques et chercheur scientifique de 1994 à 2004 au sein de Gilead; M. Valentino J. Stella, professeur à l’Université du Kansas, sa recherche portant principalement sur les promédicaments, la stabilité des médicaments, les biopharmaceutiques et les pharmacocinétiques et l’utilisation de nouvelles cyclodextrines et coinventeur du brevet 619; et M. Michael Hitchcock, actuel conseiller principal au sein de Gilead et membre de l’équipe de développement des promédicaments au sein de Bristol Myers Squibb (BMS) avant de se joindre à l’équipe de Gilead en 1993.

[19]           M. Hitchcock présente le travail déjà réalisé chez BMS à l’égard d’analogues phosphononucléosidiques (non pas PMPA), avant 1991, à la recherche d’une méthode d’administration biodisponible par voie orale d’un médicament contre le VIH. M. Lee donne ensuite la toile de fond de la transition de BMS à Gilead pour l’équipe de développement des promédicaments, y compris John Martin qui s’est joint à Gilead en tant que chef de recherche et développement en 1990 et qui était un des coinventeurs du bis(POM)PMEA.

[20]           M. Stella et M. Oliyai expliquent leur invention qui a mené au brevet 619. M. Oliyai a étudié sous la direction de M. Stella pour son doctorat en chimie pharmaceutique, qu’il a obtenu en 1993. Le laboratoire de M. Stella était l’un des rares laboratoires de promédicaments en existence au cours de la période visée. M. Oliyai a été engagé par Gilead en 1994, seulement une année après avoir terminé son doctorat; il travaille toujours pour cette entreprise. M. Oliyai a donné l’historique de l’invention du FTD, qui a mené au brevet 619, qui est étayé par les éléments de preuve de M. Stella.

a)Historique de l’invention

[21]           En donnant l’historique de l’invention de TD comme promédicament oral pour PMPA, j’admets les éléments de preuve des témoins de Gilead qui ont donné une preuve directe dont ils ont été personnellement témoins. Les événements décrits ci-dessous se sont déroulés il y a près de 20 ans. Je reconnais qu’ils ont un intérêt dans l’issue des présentes instances, mais le fait demeure qu’ils ont été des témoins des événements en question, qu’ils ont vécus. Leur témoignage relativement à ces aspects importants n’a pas été diminué en contre-interrogatoire et je conclus qu’il est crédible et fiable.

[22]           Au début des années 1980, une maladie mortelle est apparue, le syndrome d’immunodéficience acquise (sida), causé par un virus que l’on connaît maintenant sous le nom de virus de l’immunodéficience humaine (VIH). Le VIH est un rétrovirus. Le développement et la réplication du VIH comportent plusieurs étapes. Les étapes dans le cycle de vie du VIH offrent des points potentiels d’attaque pour limiter sa propagation, y compris les protéinases, les intégrases et la transcriptase inverse (RTase).

[23]           Dans la recherche d’un traitement pour le VIH, chaque point potentiel d’attaque peut être pris en considération. Cependant, interrompre l’activité de la RTase est très bénéfique, parce que cela empêche la réplication virale et empêche l’infection par le VIH de se répandre aux cellules saines.

[24]           Vers le milieu des années 1980, des chercheurs du Institute of Organic Chemistry and Biochemistry (institut de chimie organique et de biochimie) [ICOB] en Tchécoslovaquie, et de l’Institut Rega pour la recherche médicale (Rega) en Belgique, ont inventé une catégorie de composés que l’on connaît sous le nom d’analogues de nucléotides de phosphométhoxy acycliques (PNA) (que l’on appelle aussi des nucléotides de phosphonate) qui sont actifs contre les virus, en particulier le VIH, et qui pourraient servir d’inhibiteurs nucléotidiques de la transcriptase inverse (INTI).

[25]           [………………………………Expurgé.……………………………………………………………………………………………………………………………………………………………………………………..…..].

[26]           [……………………………….Expurgé……………………………………………….] Le témoin des faits de Gilead, M. Hitchcock, a collaboré avec MM. DeClercq et Balzarini de l’ICOB et de Rega. L’expert d’Apotex, M. Brancale, a reconnu qu’ils (ainsi que M. Stella, mentionné plus loin) étaient expérimentés, de renommée internationale et se distinguaient des autres parce qu’ils étaient brillants, inventifs et innovateurs.

[27]           Même si PMPA faisait partie d’une classe homologuée, BMS n’a pas choisi PMPA, parce qu’aucune donnée n’indiquait d’avantages par rapport à d’autres dans la même classe. [……………….Expurgé…………………….] [……………………………………..….Expurgé……………………………………………….] [……….Expurgé……………….]. En outre, en raison de leurs deux charges négatives, les PNA ne pouvaient pas être administrés de façon efficiente par voie orale, et étaient plutôt limités à l’administration par voie intraveineuse. Une solution de rechange exigerait la découverte d’un promédicament adéquat qui permettrait aux PNA d’être administrés par voie orale. L’administration par voie intraveineuse était coûteuse, en plus d’être difficile à exécuter au nombre croissant de personnes infectées par le VIH. Un promédicament était la solution.

[28]           [……………………………….Expurgé……………………………………………….] [………………………………..….Expurgé……………………………………….]. Selon un article rédigé en collaboration par M. Hitchcock, seulement une poignée de promédicaments PMEA (y compris bis(POM)PMEA) présentaient une biodisponibilité orale utile. BMS [……………Expurgé……………] [……………………….……………….Expurgé……………………………………………….] [………………….Expurgé…………………….] en 1991, et mettait fin à ses droits aux composés. [……………………. Expurgé…………………………………………………….] [……………………………….Expurgé……………………………………….….].

[29]           L’ICOB et Rega ont alors fait des démarches auprès d’autres sociétés pharmaceutiques qui possédaient cette catégorie de composés, à la recherche d’un nouveau partenaire. L’une de ces sociétés, Syntex, qui, connaissant la néphrotoxicité et le manque de biodisponibilité, a refusé d’obtenir une licence ou d’aller de l’avant avec les composés de l’ICOB/Rega.

[30]           [……………………………….Expurgé……………………………………………….] […Expurgé…] Gilead, une petite société en démarrage de Californie, fondée trois ans auparavant, a accepté ces licences pour mener ses propres recherches dans la classe PNA de composés et a obtenu une licence à l’égard des composés dans le but de découvrir un médicament antiviral oral commercialement viable.

[31]           Dans le but d’avancer un peu plus dans l’histoire de l’invention et pour mettre en contexte les événements qui ont suivi, Gilead a par la suite formulé le ténofovir disoproxil (TD) (connu aussi sous le nom de bis(POC)PMPA). Le TD est un promédicament oral de PMPA, et le composé inventif censément nouveau, utile en litige en l’instance. Le TD seul (sous sa forme de sel de fumarate, FTD) et combiné à d’autres médicaments, est un médicament important pour le traitement de l’infection par VIH-1, qui exige un enzyme connu sous le nom de transcriptase inverse (RTase) pour infecter avec succès les cellules cibles et empêcher leur réplication nocive. Le TD est un promédicament d’un composé que l’on appelle ténofovir (ou PMPA). Le sel de fumarate du TD est le FTD; le sel de fumarate se trouve dans la formulation du médicament pour en améliorer la stabilité.

[32]            Sans l’invention du TD revendiquée par Gilead comme étant le promédicament biodisponible administré par voie orale de PMPA, PMPA entre seulement dans le corps en quantité suffisante à des fins thérapeutiques lorsqu’il est administré par voie intraveineuse. Les parties sont d’accord pour dire que la biodisponibilité orale de PMPA était trop faible, c’est-à-dire, lorsque consommé par voie orale, il ne traversait pas la paroi intestinale dans le corps où PMPA est nécessaire pour agir chez le patient infecté. Comme on l’a indiqué, l’administration par intraveineuse de PMPA était difficile en raison du nombre croissant de personnes atteintes du VIH en Amérique du Nord et partout dans le monde. Un produit administré par voie orale, par exemple un comprimé, serait préférable étant donné qu’il serait beaucoup plus facile à administrer à un beaucoup plus grand nombre de patients. Le FTD est maintenant au cœur d’une thérapie antivirale pour les patients infectés par le VIH, ce que le département de la santé et des services sociaux des États-Unis a décrété être une thérapie antivirale privilégiée. Le TD est un membre de la classe de composés PNA.

[33]           Pour revenir à l’historique de l’invention, […………………Expurgé………………………] [………………………………….Expurgé…………………………………………………….] [……………………….Expurgé……………………………………………….] M. Hitchcock a quitté BMS pour se joindre à Gilead en partie en raison des analogues nucléotidiques de phosphonate (PNA) à l’égard desquels Gilead avait obtenu les licences. M. Hitchcock espérait que chez Gilead, les problèmes observés chez BMS pourraient être atténués, mais il savait que cela pourrait constituer un échec.

[34]           […………………………………..….Expurgé……………………………………………….].

[35]           Les PNA possèdent un groupe phosphonatique. L’activité antivirale pour ces composés, y compris PMPA, a d’abord été signalée au début des années 1990. Cependant, indépendamment de leur activité antivirale, ces composés PNA présentent une néphrotoxicité en plus d’une biodisponibilité orale médiocre. Leurs charges négatives empêchent l’absorption après l’administration orale de sorte qu’ils ne traversaient pas bien la paroi intestinale dans le système lymphatique.

[36]           [……………………………….Expurgé……………………………………………….] [……………………………….Expurgé……………………………………………….] Gilead [………………………….Expurgé……………………………………….]. Bien que cela ne fasse pas partie de l’histoire de l’invention, il est intéressant de signaler qu’en 1999, le Secrétariat américain aux produits alimentaires et pharmaceutiques (FDA) a refusé la demande de Gilead concernant des doses orales de 60 mg et 120 mg de bis(POM)PMEA, parce que ces doses, nécessaires pour le traitement du VIH, entraînaient une toxicité rénale, une déplétion en carnitine.

[37]           En cherchant une solution de rechange au PMEA, Gilead a constaté que les différences structurelles entre les composés produisaient des propriétés distinctes. Par exemple, une différence entre PMEA et PMPA est la présence du groupe méthyle (CH3) dans PMPA, qui crée un carbone chiral non présent dans PMEA. [……………………………….Expurgé……………………………………………….] […………………….Expurgé……………….].

[38]           [……………………………….Expurgé……………………………………………….] [……………….Expurgé……………………………………….] L’équipe de recherche de Gilead a reçu la consigne de trouver une solution de rechange à PMEA en 1994. On a choisi PMPA. L’équipe a par la suite reçu la tâche de trouver un promédicament adéquat pour PMPA. Le premier promédicament mis à l’essai et utilisé comme témoin était bis(POM)PMPA. On savait que la fraction POM augmentait la biodisponibilité orale, indépendamment de sa toxicité en raison de l’acide pivalique. L’acide pivalique entraîne des niveaux réduits de carnitine dans le corps, ce qui peut entraîner une faiblesse musculaire, des maladies cardiaques et d’autres conséquences indésirables, en particulier pour les personnes atteintes du VIH.

[39]           [……………………………….Expurgé……………………………………………….] [……………………………….Expurgé……………………………………….].

[40]           MM. Lee et Oliyai de Gilead ont présenté ce travail, y compris des exemples de promédicaments de PMPA que Gilead a mis à l’essai. Ils ont fourni des extraits des carnets de laboratoire, de notes internes, de rapports de recherche et de tableaux récapitulatifs de la synthèse ou de la mise à l’essai de promédicaments PMPA. [..Expurgé..] […………………………………..…….Expurgé……………………………………………….] […………………………………..…….Expurgé……………………………………………….] [………….Expurgé…………………………….].

[41]           Les scientifiques de Gilead ont constaté, comme l’a enseigné l’art antérieur, que l’approche des promédicaments n’est pas prévisible et qu’elle exige des essais empiriques.

[42]           Selon le brevet 619 et les témoins des faits, des composés plus prometteurs étaient mis à l’essai in vivo chez des chiens pour connaître la biodisponibilité orale.

[43]           [……………………………….Expurgé……………………………………………….] [Expurgé] L’équipe de direction de Gilead se composait de scientifiques accomplis, à savoir M. John Martin (un des inventeurs du bis(POM)PMEA alors qu’il était scientifique employé chez BMS, qui a été extrêmement actif dans le programme de recherche chez BMS, explorant les PNA obtenus par licence par l’ICOB/Rega, et, au moment pertinent, chef de la recherche et développement chez Gilead), M. William Lee (un déposant en l’espèce qui a obtenu une maîtrise ès sciences et un doctorat en chimie, a fait des travaux postdoctoraux en chimie physique à l’École polytechnique fédérale de Lausanne, en Suisse, et un deuxième travail postdoctoral en chimie biorganique à l’Université de Californie (Santa Barbara) et qui était vice-président du développement des produits pharmaceutiques au moment pertinent), et M. Norbert Bischofberger (chargé du groupe de recherche exploratoire au sein de Gilead au moment pertinent). […… ………………………………..….Expurgé…………… ……………………………….….] [………………………………..….Expurgé…………………………………………….….] [……………………………..…….Expurgé………………………………………….…….] [……………………………..…….Expurgé…………………………………………….….] [………………………………..….Expurgé………….]

[44]           Apotex critique cette décision comme étant un cas lié à la [traduction] « haute direction » ne touchant pas les scientifiques. Je considère les objections d’Apotex comme n’étant ni justes ni exactes. Premièrement, la direction de Gilead se composait de scientifiques accomplis. En outre, aucun des documents n’a traité des promédicaments carbonatiques d’analogues nucléotidiques de phosphonate ni divulgué quoi que ce soit à cet effet. En effet, un article publié en 1993 et rédigé par MM. Oliyai et Stella (tous les deux inventeurs du brevet 619) a démontré l’instabilité des composés contenant à la fois des carbonates et des phosphates. À mon avis, cette décision était une décision de gestion raisonnable en fonction de l’art antérieur disponible à ce moment-là.

[45]           Vers la fin de l’année 1995 ou au début de l’année 1996, Gilead n’avait pas trouvé un promédicament PMPA adéquat deux ans après avoir obtenu la licence. [………………………………...Expurgé…………………..] [.Expurgé.].

[46]           Après avoir épuisé les options qu’elle avait recensées, Gilead a consulté le professeur Stella, de l’Université du Kansas, chimiste pharmaceutique et expert en promédicaments. Après avoir été informé des efforts déployés par Gilead au sujet des promédicaments, M. Stella a été surpris du grand nombre de médicaments PMPA potentiels que Gilead avait étudiés. [………………………………….Expurgé……………………………………….] […………………………….………………….Expurgé……………………………………….] [……………….Expurgé…………………………….]

[47]           Dans le but de fabriquer et de mettre à l’essai de nouveaux promédicaments contenant des carbonates, l’équipe de Gilead a dû mettre au point un nouveau procédé synthétique, ce qu’elle a fait. [……………………………….Expurgé……………………..] [……………………….Expurgé…………………………………………….] MM. Arimilli et Dougherty ont synthétisé d’autres promédicaments PMPA contenant des carbonates, qui ont ensuite été analysés.

[48]           [……………………………….Expurgé……………………………………………….] [..Expurgé..]. Le TD présentait une stabilité adéquate, ce que n’attendaient pas les inventeurs. Se fondant sur sa perméabilité cellulaire accrue, sa solubilité, son efficacité, sa stabilité, sa faible toxicité et sa biodisponibilité orale améliorée par rapport à PMPA, on a retenu le TD pour le développement et l’a breveté dans le brevet 619.

III.             Questions en litige

[49]           À mon avis, les questions en litige dans la présente demande sont les suivantes :

A.       Apotex s’est-elle acquitté de son fardeau relativement faible au sujet de ses allégations d’invalidité à l’égard du brevet 619 concernant la revendication 32 pour :

                                                                    i.            antériorité, si le brevet 619 est antériorisé par la demande de brevet européen 0 481 214 (« la demande EP 214 »), ou s’il s’agit d’un brevet de sélection invalide issu du genre de la demande EP 214, et, le cas échéant, si Gilead a établi selon la prépondérance des probabilités que ces allégations ne sont pas fondées;

                                                                  ii.            de toute évidence, si la revendication 32 est évidente, ou résulte d’un « essai allant de soi », comme il est indiqué dans l’arrêt Sanofi;

                                                                iii.            l’absence de prédiction valable ou d’utilité démontrée par rapport à la promesse du brevet 619.

[50]           Il est bien établi en droit qu’Apotex, pour avoir gain de cause, doit d’abord donner une apparence de vraisemblance à chacune des allégations dans son AC. Si Apotex y parvient, il incombera à Gilead de démontrer selon la prépondérance des probabilités que les allégations d’invalidité d’Apotex ne sont pas fondées.

[51]           Je suis d’avis que Gilead a démontré selon la prépondérance des probabilités que les allégations d’antériorité, d’évidence et d’inutilité ne sont pas fondées :

IV.             Analyse

A.                Questions préliminaires

(1)               Dates pertinentes

[52]           Les dates pertinentes de l’examen du bien-fondé des diverses allégations d’invalidité sont les suivantes :

A.       Interprétation du brevet : date de publication – 5 février 1998

B.        Antériorité/nouveauté : un an avant la date de dépôt de la demande canadienne – 26 juillet 1996

C.        Évidence (état de la technique) : date de la revendication (date de priorité) – 26 juillet 1996

D.       Utilité : date de dépôt de la demande canadienne – 25 juillet 1997

(2)               Dissimulation d’information aux experts

[53]           Les parties ont débattu de la question de la [traduction] « dissimulation d’information » aux experts; Apotex me demande d’évaluer le poids de chaque témoignage d’expert relativement à la méthode à laquelle les avocats ont eu recours pour solliciter l’opinion de l’expert.

[54]           Je fais les mêmes commentaires en l’espèce que ceux que j’ai formulés dans l’affaire connexe T-1693-14, mais par souci de commodité, je reprends ici mon analyse.

[55]           Les parties ont choisi différentes méthodes pour recueillir de l’information auprès de leurs experts pour leurs affidavits respectifs. Alors que l’avocat de Gilead a fourni le cadre législatif à ses experts tôt, notamment les critères juridiques applicables à l’antériorité, à l’évidence et à l’utilité, Apotex affirme qu’elle ne l’a fait qu’une fois que les experts ont tiré leurs propres conclusions à propos de questions comme celle de la promesse du brevet, de l’interprétation des revendications et de l’art antérieur.

[56]           Apotex affirme que la dissimulation d’information aux experts a été reconnue par la Cour comme méthode privilégiée pour rassembler la preuve d’experts et elle cite la décision AstraZeneca Canada Inc. c. Apotex inc., 2014 CF 638, sous la plume du juge Rennie, au paragraphe 321; la décision Teva Canada Innovation c. Apotex Inc., 2014 CF 1070, sous la plume de la juge Gleason, aux paragraphes 94 à 96; la décision Takeda Canada Inc. c. Apotex Inc., 2015 CF 570, sous la plume du juge O’Reilly, aux paragraphes 27 et 29; et la décision Allergan Inc. c. Apotex Inc., 2016 CF 344, sous la plume du juge Zinn, au paragraphe 13. Pour ces motifs, elle a demandé à la Cour d’accorder plus de poids aux opinions de ses experts au moment d’aborder ces questions et les conclusions des témoins experts. À mon avis l’aveuglement d’un témoin est un critère, entre autres probablement, touchant à la valeur probante, mais qui ne touche pas l’admissibilité.

[57]           Allant à l’encontre des allégations d’Apotex selon lesquelles on devrait accorder moins de poids aux témoignages d’experts de Gilead parce que les experts n’ont pas fait l’objet d’un aveuglement, Gilead affirme que la majorité des experts d’Apotex n’a pas mené ses propres recherches pour examiner l’art antérieur, qui selon moi était en effet largement le cas. Au lieu de cela, les experts d’Apotex ont reçu la totalité ou la quasi-totalité des documents pertinents pour leurs opinions relatives à l’art antérieur et la personne versée dans l’art de la part de l’avocat d’Apotex. Gilead affirme que cela diminue le poids que je devrais accorder à la preuve d’expert d’Apotex, essentiellement parce que les témoins d’Apotex ne disent pas ce qu’était l’art antérieur ou qui était la personne versée dans l’art, mais n’ont fait en réalité que donner leur avis sur ce qu’était, selon ce que leur avait dit l’avocat d’Apotex, l’état de la technique antérieure et les connaissances d’une personne versée dans l’art.

[58]           La Cour doit peser la preuve qui lui est présentée. Au sujet de la question de la dissimulation, je suis d’accord avec la juge Gleason (tel était alors son titre) dans la décision Eli Lilly Canada Inc. c. Apotex Inc, 2015 CF 875, au paragraphe 166 :

Quant à l’allégation concernant l’absence de [traduction] « dissimulation », Apotex tente d’appliquer l’arrêt Teva et la décision AstraZeneca en dehors de leur contexte. Dans ces affaires, les experts pour lesquels il a été établi que la crédibilité laissait à désirer avaient interprété les brevets en tenant compte de la contrefaçon, et avaient pu fonder leurs opinions sur les renseignements figurant dans l’AA du fabricant de produits génériques. Dans l’arrêt Teva, cela avait mené à une interprétation particulièrement tortueuse. Dans l’arrêt Teva et la décision AstraZeneca, l’approche adoptée a été jugée nuisible à la crédibilité des experts, car elle a abouti à une opinion erronée axée sur les résultats. Aucun de ces précédents ne peut étayer la position qu’Apotex cherche à défendre en l’espèce, à savoir que lorsqu’une partie et pas l’autre dissimule des renseignements à ses experts, la preuve de celle qui a dissimulé les renseignements doit être privilégiée. Les deux précédents cités doivent plutôt se limiter aux faits auxquels ils se rapportaient.

Et voir dans le même sens l’approche adoptée par le juge Locke dans sa décision récente Shire Canada Inc. c. Apotex Inc., 2016 CF 382, aux paragraphes 42 à 48.

[59]           De manière plus générale, l’appréciation du témoignage d’expert est une question de fait. Après avoir examiné le droit applicable, et comme l’avocat d’Apotex l’a fait remarquer si candidement à l’audition, l’aveuglement est une question de pertinence, de fiabilité et de poids, et elle n’est pas une question de principe. Je suis d’accord.

[60]           Pour les motifs invoqués, je préfère le témoignage d’experts sur certaines questions, et d’autres témoignages d’experts sur d’autres questions, en tenant compte des arguments soulevés par les deux parties et évaluant le poids qu’il convient d’accorder au témoignage d’expert.

a)Adhésion déférente de la Cour : décisions du juge Barnes.

[61]           Les parties ne sont pas d’accord quant à la mesure dans laquelle la Cour doit se fonder sur la décision antérieure du juge Barnes dans Gilead Sciences, Inc. c. Canada (Santé), 2013 CF 1270 (Teva). Dans la décision Teva, le juge Barnes a fait des constatations de fait par rapport au même brevet dont je suis saisi, sur la question de l’antériorité du TD par la demande EP 214.

[62]           La question de savoir si les conclusions relatives aux allégations d’invalidité dans des instances relatives à des AC prévalent sur des décisions ultérieures en matière d’AC a déjà été prise en considération. La Cour d’appel fédérale dans Apotex Inc. c. Allergan Inc., 2012 CAF 308, a conclu que seules les questions de droit peuvent prévaloir par déférence horizontale, et même dans ce contexte, on pourrait s’écarter des conclusions sur des questions de droit si une cour ultérieure avait raison de le faire :

[49]      Eu égard à ce qui précède, il n’était pas loisible au juge de la Cour fédérale de prononcer une ordonnance d’interdiction afin que la Cour d’appel examine ses réserves au sujet de l’application de la doctrine de la courtoisie judiciaire et du concept de l’abus de procédure. Comme je l’ai signalé plus haut, les parties avaient le droit de faire régler au fond le différend qui les opposait et le juge de la Cour fédérale a manqué à son devoir en prononçant un jugement qui allait à l’encontre des conclusions qu’il a tirées quant au fond.

[50]      Au‑delà de cette question, la doctrine de la courtoisie judiciaire ne joue pas en matière de conclusions de fait. La conclusion selon laquelle l’invention est évidente parce que la solution proposée allait de soi est une conclusion de fait (671905 Alberta Inc. c. Q’max Solutions Inc., 2003 CAF 241, paragraphe 48; Laboratoires Servier c. Apotex Inc., 2009 CAF 222, paragraphe 67 (Servier); Apotex Inc. c. Wellcome Foundation Ltd., [2001] 1 C.F. 495, paragraphe 61 (C.A.), conf. par 2002 CSC 77, [2002] 4 R.C.S. 153). En revanche, pour interpréter un brevet afin de déterminer l’idée originale lorsqu’il n’est pas facile de saisir celle‑ci à partir de la revendication elle‑même, il faut examiner l’ensemble du brevet (Sanofi, paragraphe 77), ce qui donne lieu à une question de droit (Western Electric Co. c. Baldwin International Radio of Canada Ltd., [1934] R.C.S. 570, p. 572 et 573 (C.S.C.); Weatherford Canada Ltd. c. Corlac Inc., 2011 CAF 228, [2011] A.C.F. no 1090, paragraphe 24 – et les décisions mentionnées dans ces extraits). En conséquence, à moins de pouvoir démontrer que l’interprétation que le juge Crampton avait donnée au brevet pour déterminer l’idée originale était erronée ou que des éléments de preuve distincts dont il a été saisi appelaient une conclusion différente, il aurait été préférable que le juge de la Cour fédérale s’en tienne à la conclusion tirée par le juge Crampton.

[63]           Selon ce raisonnement, je ne suis pas lié par la décision du juge Barnes dans la décision Teva. Je n’estime pas non plus devoir faire preuve de déférence, sauf dans le contexte limité de l’interprétation du brevet ou d’une autre question de droit. Cela dit, et à titre informatif, je fais observer que le juge Barnes dans la décision Teva, avec différentes parties et des différences dans les éléments de preuve, a aussi ordonné une interdiction au sujet du brevet 619.

B.                 Interprétation des revendications

[64]           L’interprétation des revendications est une question de droit que la Cour doit trancher. Les experts peuvent donner une orientation. La revendication doit être interprétée en fonction de la revendication telle qu’une personne moyennement versée dans l’art (personne versée dans l’art) interpréterait le brevet pour le comprendre.

(1)               Personne versée dans l’art

[65]           Un brevet est traité selon cette notion de la personne versée dans l’art, qui est censée être « dépourvue d’imagination et d’esprit inventif, posséder néanmoins un degré moyen de compétence et de connaissances accessoires au domaine dont relève le brevet […] et faire preuve d’une diligence raisonnable pour se tenir au courant des progrès dans ce domaine » AstraZeneca Canada Inc. c. Apotex inc., 2014 CF 638, au paragraphe 51 (citant Merck & Co., Inc. c. Pharmascience Inc., 2010 CF 510, aux paragraphes 34 à 40), conf. par 2015 CAF 158. Le libellé « dépourvue d’imagination et d’esprit inventif » est tiré de l’arrêt Beloit Canada Ltée c. Valmet OY, [1986] A.C.F. no 87 (QL) (C.A.) [Beloit], où la Cour d’appel fédérale renvoie au [traduction] « technicien versé dans son art, mais dépourvu d’imagination », et à l’arrêt Apotex Inc c. Sanofi-Synthelabo Canada Inc, 2008 CSC 61, au paragraphe 81, où la Cour suprême renvoie au caractère inventif comme étant étranger à la personne versée dans l’art dans l’analyse de l’évidence. À mon avis, la Cour fédérale a retenu ces notions lors de son interprétation du technicien versé dans l’art en droit des brevets : décision AstraZeneca Canada Inc. c. Apotex inc., 2014 CF 638, au paragraphe 51 (le juge Rennie, tel était alors son titre) (citant la décision Merck & Co., Inc. c. Pharmascience Inc., 2010 CF 510, aux paragraphes 34 à 40 (le juge Hughes)), conf. par 2015 CAF 158 (la juge Dawson).

[66]           Il est constant que la personne versée dans l’art est une personne ou une équipe de personnes possédant un diplôme avancé (maîtrise ès sciences ou doctorat) en chimie thérapeutique, organique ou pharmaceutique qui œuvre dans le processus de découverte de médicaments, et qui a une connaissance professionnelle des activités de recherche sur les antiviraux, y compris l’activité antivirale des analogues de nucléotidiques de phosphonométhoxy. Cependant, les experts de Gilead, MM. Borchardt et Maag ne sont pas d’accord avec les experts d’Apotex selon qui la personne versée dans l’art comprend : i) une personne ayant de l’expertise en matière de promédicaments (même si la personne versée dans l’art avait été au courant des efforts dans le domaine des promédicaments, et M. Borchardt a dit que l’inclusion d’un membre de l’équipe ayant de l’expertise en matière de promédicaments ne le ferait pas changer d’avis de toute façon); et ii) un clinicien au courant des thérapies de traitement des infections virales.

[67]           À mon avis, la personne versée dans l’art comprend une personne ou une équipe de personnes possédant un diplôme avancé en chimie pharmaceutique ou dans un domaine connexe et qui possède une connaissance ou une expérience des activités de recherche sur les antiviraux, y compris l’activité antivirale des analogues de nucléotidiques de phosphonométhoxy, ainsi qu’une certaine expérience et connaissance des promédicaments. Je suis d’accord avec les experts de Gilead selon qui la personne versée dans l’art ne doit pas nécessairement posséder une expérience liée au traitement clinique du VIH, en particulier parce que le brevet ne serait pas utile pour un médecin traitant, mais seulement pour le chimiste qui fabrique le promédicament. À cet égard, je fais observer que le brevet renvoie aux promédicaments et que la revendication en litige (revendication 32) est une formulation chimique qui ne comprend pas d’information comprenant une dose prescrite (posologie) ou d’autres renseignements qui seraient nécessaires à un médecin traitant. Bien que les experts de Gilead aient fait observer que la personne versée dans l’art à l’époque n’aurait pas besoin d’expertise en matière de promédicaments, à mon avis une certaine expérience et des connaissances des promédicaments font partie de l’ensemble des habiletés de la personne versée dans l’art. Je tire cette conclusion parce que le brevet porte précisément sur les promédicaments. Le brevet n’est vraiment pertinent que pour ceux cherchent à inventer ou à fabriquer des promédicaments dans le traitement des infections virales énumérées dans le brevet.

[68]           À cet égard, je renvoie aussi aux éléments de preuve des témoins de Gilead parce que, au moment de l’invention en 1996, ces témoins experts, M. Borchardt et M. Maag, avaient chacun travaillé comme scientifique chimique ou chercheur pendant déjà au moins quinze ans. M. Maag avait une connaissance personnelle de l’art antérieur et de ce qu’une personne versée dans l’art saurait ou ne saurait pas, y compris dans le domaine des promédicaments. À l’inverse, les experts d’Apotex présentaient cumulativement moins d’expérience en recherche dans le domaine de la chimie à l’époque. J’ai admis les opinions des témoins d’Apotex à cet égard; je ne suis pas d’accord pour dire que les experts, qui témoignent sur l’état de l’art antérieur et les connaissances d’une personne versée dans l’art il y a près de vingt ans, doivent avoir été actifs dans ces domaines à ce moment-là. Cependant, quand on tient compte des personnes qui ont été des scientifiques actifs et qui avaient deux décennies d’expérience il y a vingt ans, je préfère les éléments de preuve de Gilead par rapport à ceux d’Apotex.

(2)               Conclusion de l’interprétation de la revendication

[69]           La seule revendication à l’égard du brevet 619 est la revendication 32, qui énonce ce qui suit :

[traduction] 32. Un composé ayant la structure :

et ses sels, tautomères et solvates.

[70]           À mon avis, la personne versée dans l’art, et les parties et leurs experts en conviennent, considérerait la revendication comme étant le composé ténofovir disoproxil divulgué et ses sels, tautomères et solvates, tel qu’il est décrit dans la revendication 32; voilà la bonne interprétation de la revendication 32.

C.                 Antériorité

[71]           La définition d’« invention » à l’article 2 de la Loi sur les brevets exige que l’invention présente le caractère de la « nouveauté », ce qui fait intervenir le critère de l’antériorité auquel il est fait référence à l’article 28.2 de la Loi sur les brevets, dont chacun est énoncé ci-dessous :

2 Sauf disposition contraire, les définitions qui suivent s’appliquent à la présente loi.

2 In this Act, except as otherwise provided,

(…)

(…)

invention Toute réalisation, tout procédé, toute machine, fabrication ou composition de matières, ainsi que tout perfectionnement de l’un d’eux, présentant le caractère de la nouveauté et de l’utilité. (invention)

invention means any new and useful art, process, machine, manufacture or composition of matter, or any new and useful improvement in any art, process, machine, manufacture or composition of matter; (invention)

28.2 (1) L’objet que définit la revendication d’une demande de brevet ne doit pas :

28.2 (1) The subject-matter defined by a claim in an application for a patent in Canada (the “pending application”) must not have been disclosed

a) plus d’un an avant la date de dépôt de celle-ci, avoir fait, de la part du demandeur ou d’un tiers ayant obtenu de lui l’information à cet égard de façon directe ou autrement, l’objet d’une communication qui l’a rendu accessible au public au Canada ou ailleurs; (…)

[original non souligné]

(a) more than one year before the filing date by the applicant, or by a person who obtained knowledge, directly or indirectly, from the applicant, in such a manner that the subject-matter became available to the public in Canada or elsewhere; (…)

[emphasis added]

[72]           La Cour suprême du Canada dans l’arrêt Apotex Inc. c. Sanofi-Synthelabo Canada Inc., 2008 CSC 61, aux paragraphes 18 à 37 [Sanofi], a confirmé que l’antériorité consiste en un document disponible publiquement divulguant le contenu du brevet en question, de telle sorte que le brevet porterait atteinte à une divulgation antérieure lorsqu’elle est faite, et deuxièmement que la divulgation antérieure doive permettre à la personne versée dans l’art de fabriquer l’invention comme elle est revendiquée :

[20] Après renvoi au par. 27(1) de la Loi, le juge de première instance opine qu’il y a antériorité « [lorsque] l’invention exacte a déjà été faite et a été divulguée au public » (par. 55). Il cite un extrait de l’arrêt Free World Trust c. _lectro Sant_ Inc., [2000] 2 R.C.S. 1024, 2000 CSC 66, où notre Cour approuve le critère de l’antériorité énoncé dans l’arrêt Beloit Canada Ltée c. Valmet OY, [1986] A.C.F. no 87 (QL) (C.A.), par. 30 :

Il faut en effet pouvoir s’en remettre à une seule publication antérieure et y trouver tous les renseignements nécessaires, en pratique, à la production de l’invention revendiquée sans l’exercice de quelque génie inventif. Les instructions contenues dans la publication antérieure doivent être d’une clarté telle qu’une personne au fait de l’art qui en prend connaissance et s’y conforme arrivera infailliblement à l’invention revendiquée. [Souligné par le juge de première instance.]

[21] Le juge signale que dans l’arrêt General Tire & Rubber Co. c. Firestone Tyre & Rubber Co., [1972] R.P.C. 457, la Cour d’appel d’Angleterre a dit ce qui suit à la p. 486 :

[traduction] Si, par contre, la publication antérieure renferme des instructions qui sont susceptibles d’être exécutées de façon à contrevenir à la revendication du breveté, mais qui seraient à tout le moins aussi susceptibles d’être exécutées de façon à ne pas y contrevenir, la revendication du breveté ne se heurterait pas à une antériorité, bien qu’elle puisse être jugée non valide pour cause d’évidence. Pour constituer une antériorité opposable à la revendication du breveté, la publication antérieure doit contenir des instructions claires et non équivoques permettant d’obtenir ce que le breveté prétend avoir inventé... [Souligné par le juge de première instance.]

Il précise ensuite qu’au par. 26 de l’arrêt Free World, notre Cour a approuvé l’extrait suivant de l’arrêt General Tire :

[traduction] Aussi clair qu’il soit, un poteau indicateur placé sur la voie menant à l’invention du breveté ne suffit pas. Il faut prouver clairement que l’inventeur préalable a pris possession de la destination précise en y laissant sa marque avant le breveté. [p. 486]

[22] Les tribunaux canadiens ont adhéré sans réserve au critère de l’antériorité défini dans les arrêts Beloit et General Tire : Free World, par. 26. Lorsqu’il affirme ce qui suit au par. 57, il est clair que le juge Shore s’appuie sur le critère énoncé dans l’arrêt Beloit pour appliquer le droit aux faits de l’espèce :

La Cour doit, en se fondant sur le droit applicable, décider si une personne versée dans l’art a reçu des instructions d’une clarté telle que, lorsqu’elle prend connaissance du brevet ’875 (ou de ses équivalents américains ou français) et s’y conforme, elle arrivera infailliblement à un composé ou à une composition pharmaceutique visé par les revendications du brevet ’777 (c.-à-d. le bisulfate de clopidogrel).

c)         Jurisprudence britannique récente

[23] Pour les motifs qui suivent et au vu de la jurisprudence récente, j’estime respectueusement que le juge de première instance a exagéré la rigueur du critère de l’antériorité en considérant que l’« invention exacte » devait déjà avoir été faite et avoir été rendue publique.

[24] En 2005, dans l’arrêt Synthon de la Chambre des lords, lord Hoffmann a apporté quelques précisions supplémentaires sur le critère de l’antériorité et sur son interprétation depuis l’arrêt General Tire. Le fait qu’il a qualifié d’inattaquable le passage cité des motifs de lord Westbury dans Hills c. Evans (1862), 31 L.J. Ch. (N.S.) 457, p. 463, indique clairement que son analyse ne tient pas à quelque modification du droit anglais découlant de l’adoption de la Patents Act 1977 (R.U.), 1977, ch. 37, non plus qu’à la ratification de la Convention sur la délivrance de brevets européens, 1065 R.T.N.U. 199 (entrée en vigueur le 7 octobre 1977) par le Royaume‑Uni. Il établit une distinction entre deux exigences en la matière qui, jusqu’alors, ne faisaient pas expressément l’objet d’un examen distinct, à savoir la divulgation antérieure et le caractère réalisable.

[25] [En 2005, dans l’arrêt Synthon de la Chambre des lords, lord Hoffmann] explique que suivant l’exigence de la divulgation antérieure, le brevet antérieur doit divulguer ce qui, une fois réalisé, contreferait nécessairement le brevet (par. 22) :

[traduction] Si je puis me permettre de résumer ce qui découle de ces deux énoncés fort connus [tirés de General Tire et de Hills c. Evans], l’objet de l’antériorité alléguée doit divulguer ce qui, une fois réalisé, contreferait le brevet. [...] Il s’ensuit que, peu importe que cela aurait sauté ou non aux yeux de quiconque au moment considéré, lorsque ce qui est décrit dans la divulgation antérieure est réalisable et une fois réalisé, contreferait nécessairement le brevet, la condition de la divulgation antérieure est remplie.

En ce qui concerne la divulgation, la personne versée dans l’art [traduction] « est censée tenter de comprendre ce que l’auteur de la description [dans le brevet antérieur] a voulu dire » (par. 32). À cette étape, les essais successifs sont exclus. La personne versée dans l’art se contente de lire le brevet antérieur pour en comprendre la teneur.

[26] Lorsque l’exigence de la divulgation est remplie, le second élément établissant l’antériorité est le « caractère réalisable », à savoir la possibilité qu’une personne versée dans l’art ait pu réaliser l’invention (par. 26).

[73]           Gilead n’a soulevé aucune observation à l’encontre des allégations du caractère réalisable d’Apotex. J’estime que les allégations du caractère réalisable d’Apotex sont vraisemblables. À moins que je conclue selon la prépondérance des probabilités que l’allégation de divulgation relative à la divulgation d’Apotex n’est pas fondée, c.-à-d. que l’objet du brevet 619 n’a pas été divulgué dans la demande EP 214, je suis tenu de conclure en faveur d’Apotex en ce qui concerne l’antériorité. Pour les motifs qui suivent, les arguments d’Apotex relativement à l’invalidité en fonction de l’antériorité ne sont pas fondés.

(1)               Divulgation

[74]           Comme il est indiqué dans l’arrêt Sanofi, pour qu’il y ait divulgation du brevet 619, la demande EP 214 doit avoir divulgué tous les renseignements nécessaires à la personne versée dans l’art sans génie inventif pour réaliser l’invention revendiquée, lorsque l’invention revendiquée contrefait nécessairement la divulgation antérieure. Et, comme il est indiqué au paragraphe 25 de l’arrêt Sanofi, « En ce qui concerne la divulgation, la personne versée dans l’art [traduction] “est censée tenter de comprendre ce que l’auteur de la description [dans le brevet antérieur] a voulu dire” […]. À cette étape, les essais successifs sont exclus. La personne versée dans l’art se contente de lire le brevet antérieur pour en comprendre la teneur ».

[75]           Les experts des parties présentent des éléments de preuve contradictoires pour guider la Cour dans sa compréhension de la portée de la divulgation dans la demande EP 214. Tous les experts s’entendent quant à la portée du brevet de genre, jusqu’au substituant R4. Cela signifie que les experts ne s’entendent pas sur précisément l’invention revendiquée dans le cas du brevet 619 : la fraction du groupe carbonate du promédicament TD. Voici ce qui suit illustre le point de désaccord :

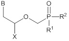
A. Genre convenu des composés de la demande EP 214 :

B. Composantes possibles convenues de la demande EP 214 :

C. Composition décrite de R4 selon les experts d’Apotex et contestée par les experts de Gilead :

[76]           Le libellé de la demande EP 214 énonce à la partie pertinente :

[À la page 703, l. 1-5 :]

R4 représente un groupe ester physiologiquement hydrolysable tel que CH2C(O)NR52, CH2C(O)OR5, CH2OC(O)R5, CH(R5)OC(O)R5 (R, S, ou RS stéréochimie), CH2C(R5)2 CH2OH, ou CH2OR5; R4 peut aussi être R5’ à condition que R4 et R5’ ne soient pas simultanément alkyles;

R5 représente alkyle, aryle ou arylalkyle C1 à C20 qui peut être substitué ou non substitué par des substituants indépendamment choisis du groupe formé d’hydroxy, d’oxygène, d’azote et d’halogène;

[...]

[à la page 705 l. 22 à 28 :]

Le terme [traduction] « C1 à C20 alkyle » tel qu’il est utilisé dans les présentes et dans les revendications (à moins d’indication contraire dans le contexte) signifie un groupe hydrocarbure à chaîne saturée ou non saturée, droite ou ramifiée ayant 1 à 20 atomes de carbone tel que le méthyle, l’éthyle, le propyle, l’isopropyle, le butyle, l’isobutyle, le t-butyle, etc. Sauf indication contraire en l’espèce et dans les revendications, l’expression « non substitué ou substitué » doit s’entendre comme le groupe hydrocarbure à l’intérieur d’un atome, élément ou groupe est considéré avoir remplacé un atome d’hydrogène, les groupes d’alkyles dits substitués sont de préférence substitués par un membre choisi dans le groupe formé d’hydroxy, d’oxygène, d’azote et d’halogène.

[...]

[À la page 731 l. 46 à 51]

R4 représente un groupe ester physiologiquement hydrolysable tel que CH2C(O)NR52, CH2C(O)OR5, CH2OC(O)R5, CH(R5)OC(O)R5 (R, S, ou RS stéréochimie), CH2 C(R5)2CH2 OH, ou CH2OR5; R4 peut aussi être R5’ à condition que R4 et R5’ ne soient pas simultanément alkyles;

R5 représente alkyle, aryle ou arylalkyle C1 à C20 qui peut être non substitué ou substitué par des substituants indépendamment choisis du groupe formé d’hydroxy, d’oxygène, d’azote et d’halogène; […].

[77]           Les experts sont en désaccord quant à la substitution de l’oxygène dans le groupe R5 étant donné le R4 choisi. Gilead soutient que les carbonates, qui sont créés par la substitution supposée, sont connus comme un groupe précis, que l’on appelle des « carbonates ». Étant donné que la demande EP 214 ne désigne pas ou ne divulgue pas précisément le groupe carbonate par son nom, Gilead dit que la demande EP 214 ne divulgue pas le ténofovir disoproxil et n’aurait pas été comprise comme le faisant. En outre, les experts de Gilead affirment catégoriquement qu’il ne serait pas possible d’avoir la substitution de l’oxygène sur le sous-groupe R5, comme l’expliquent les experts d’Apotex. Cette conclusion se fonde sur la demande EP 214 qui divulgue une substitution des chaînes d’alkyle, d’aryle ou d’arylalkyle de R5, au lieu du carbone de carbonyle de R4.

[78]           Apotex n’est pas d’accord avec les conclusions des experts de Gilead relativement à la faisabilité de la substitution de l’oxygène, déclarant que les conclusions se fondaient sur la fausse prémisse que le groupe R5 doit pouvoir se détacher indépendamment du groupe R4 (Apotex a fait référence à ceci comme étant la [traduction] « théorie de l’ester hydrolysable »). Apotex fait observer cette théorie sous-jacente fautive rend les conclusions de M. Borchardt et de M. Maag invalides dans leur intégralité.

[79]           À mon avis, même si la [traduction] « théorie de l’ester hydrolysable » peut être fautive à certains égards (même si, en réalité, elle a été correctement appliquée à divers scénarios), je ne suis pas d’accord avec Apotex pour dire que cela suffit à miner l’intégralité des conclusions de M. Borchardt et de M. Maag quant à la question de la divulgation en litige. Ces experts sont des universitaires et des chimistes réputés et expérimentés; tous les deux possèdent une vaste expertise en matière de compositions chimiques et, bien entendu, relativement à la nomenclature chimique. J’admets les éléments de preuve fournis par les experts de Gilead lorsqu’ils affirment que la personne versée dans l’art comprendrait l’absence du groupe « carbonate » dans les explications relatives aux substituants R4 et R5 et dans les exemples de la demande EP 214, pour signifier précisément cela, à savoir qu’aucun carbonate n’est inclus dans le groupe substituant de la combinaison R4/R5. Entre les deux, je préfère retenir les éléments de preuve de M. Borchardt et de M. Maag de Gilead plutôt que les éléments de preuve des experts d’Apotex en me fondant non seulement sur leur expérience considérablement plus longue, mais aussi sur leur connaissance des questions en 1996. Ce n’est pas qu’ils doivent avoir été dans le domaine du développement de médicaments en 1996, mais c’est plutôt les connaissances et l’expérience plus considérables des experts de Gilead qui m’amènent à préférer retenir leurs éléments de preuve. Je constate en particulier l’expérience exhaustive de M. Borchardt en chimie, même il y a 20 ans. Je remarque aussi que les témoins de Gilead sont demeurés inébranlables durant le contre-interrogatoire à cet égard, malgré les efforts vigoureux déployés par Apotex pour faire avancer sa théorie de l’affaire. M. Borchardt a déclaré sans équivoque ce qui suit dans sa réponse à l’avocat d’Apotex : [traduction] « [une] personne versée dans l’art n’aurait pas lu R5 comme une substitution entre le carbonyle et le substituant d’alkyle ». J’admets ses éléments de preuve.

[80]           Il est également vrai, comme l’allègue Gilead, que la demande EP 214 ne divulgue absolument pas directement les carbonates dans ses explications relatives aux composés de genre. Fait important, j’interprète le brevet 619 comme divulguant précisément les groupes substituants menant à la formation de carbonates dans le cas du promédicament de carbonate divulgué, ténofovir disoproxil. Cela est conforme à l’opinion des experts de Gilead sur l’interprétation du brevet.

[81]           Fait important, M. Borchardt a expliqué que la personne versée dans l’art n’aurait pas compris que la demande EP 214 comprenait des carbonates, étant donné l’absence manifeste de carbone de toute divulgation explicite, y compris l’absence totale de carbonates des explications et exemples fournis dans la demande EP 214. Les multiples autres composés ou sous-groupes divulgués et illustrés donnaient amplement l’occasion à la partie qui divulgue de mentionner les carbonates, si l’on avait effectivement voulu inclure les carbonates dans la divulgation. Je conclus que ce n’était nullement l’intention.

[82]           Pour qu’il y ait divulgation, le critère Beloit, confirmé par la Cour suprême du Canada dans l’arrêt Free World Trust c. Électro Santé Inc., 2000 CSC 66, et admis dans Sanofi, indique que les instructions contenues dans la publication antérieure doivent être d’une clarté telle qu’une personne au fait de l’art qui en prend connaissance et s’y conforme arrivera infailliblement à l’invention revendiquée. Dans Beloit Canada Ltd. c. Valmet OY (1986), 8 C.P.R. (3d) 289 (C.A.F.), le juge Hugessen, à la page 297, a dit :

Il est donc difficile de satisfaire au critère applicable en matière d’antériorité :

Il faut en effet pouvoir s’en remettre à une seule publication antérieure et y trouver tous les renseignements nécessaires, en pratique, à la production de l’invention revendiquée sans l’exercice de quelque génie inventif. Les instructions contenues dans la publication antérieure doivent être d’une clarté telle qu’une personne au fait de l’art qui en prend connaissance et s’y conforme arrivera infailliblement à l’invention revendiquée.

[83]           J’admets les éléments de preuve de M. Borchardt selon lesquels la demande EP 214 ne divulgue pas une substitution possible d’oxygène sur le carbone de carbonyle, mais plutôt sur les groupes d’alkyle, d’aryle ou d’arylalkyle. Cette conclusion m’amène à conclure qu’il n’y a aucune instruction claire à suivre qui amènerait infailliblement la personne versée dans l’art au ténofovir disoproxil. Je fais remarquer que M. Maag appuie la conclusion de M. Borchardt. Selon M. Maag, même si la demande EP 214 pouvait englober une substitution d’un atome d’oxygène sur R5, cette substitution n’indique pas clairement qu’elle pourrait se faire sur le groupe carbonyle. On se serait attendu à une divulgation aussi claire s’il avait été l’intention d’inclure le groupe carbonate dans la demande EP 214.

[84]           Je conclus que les éléments de preuve de M. Borchardt et de M. Maag sur cette question sont convaincants, et je suis d’accord pour dire que la demande EP 214 ne divulgue pas le groupe carbonate. Sur ce point, les éléments de preuve de M. Fortunak et de M. Brancale étaient moins convaincants parce qu’ils ont fourni un point de vue davantage rétrospectif de la divulgation de la demande EP 214. Le droit des brevets et le Règlement sur les MB(AC) sont censés offrir un monopole dans une portée clairement délimitée. En l’absence d’une divulgation suffisamment claire, les éléments de preuve d’Apotex étaient à mon avis alambiqués, pour ne pas dire dénaturés, pour parvenir à sa conclusion. Étant donné le contenu prévu de la divulgation de la demande EP 214 vu sous l’angle d’une personne versée dans l’art, je ne peux pas être d’accord avec les experts d’Apotex sur cette question. Je conclus que le brevet 619 ne pouvait pas contrefaire la demande EP 214 sans une divulgation plus directe et précise du groupe carbonate dans le substituant R5.

[85]           Par conséquent, même si Apotex a donné une apparence de vraisemblance relativement à son allégation d’invalidité, je conclus que Gilead a démontré selon la prépondérance des probabilités que l’allégation d’Apotex selon laquelle la demande EP 214 divulguait le brevet 619 n’est pas fondée.

(2)               Caractère réalisable

[86]           Parce que je conclus qu’il n’y a pas eu divulgation de ténofovir disoproxil dans la demande EP 214, je n’ai pas besoin de traiter de la question du caractère réalisable. En outre, Gilead n’a pas attaqué l’argument d’antériorité d’Apotex au sujet du caractère réalisable et a fondé cette partie de son affaire sur l’aspect de divulgation de l’antériorité. Par conséquent, je ne discuterai pas davantage de la question du caractère réalisable.

(3)               Brevet de sélection

[87]           Apotex a également soutenu que le brevet 619 est un brevet de sélection invalide du genre divulgué dans la demande EP 214. Par contre, Gilead a établi à mon avis selon la prépondérance des probabilités que cette allégation n’est pas fondée.

[88]           Comme dans l’arrêt Sanofi, si j’avais conclu que la demande EP 214 concernait une catégorie englobant ténofovir disoproxil, ce que je n’ai pas fait et que je ne pouvais pas faire selon les éléments de preuve et le droit, cette demande concernerait alors un brevet de sélection. Les brevets de sélection sont invalides, sauf lorsqu’ils présentent un avantage particulier non divulgué en soi dans le brevet de genre.

[89]           Dans l’arrêt Sanofi, la Cour suprême du Canada a conclu que lors du choix d’un composé d’une grande catégorie, il n’y aura pas divulgation lorsque le brevet de genre ne divulgue pas l’avantage particulier du composé choisi sur d’autres membres du genre :

[31] Le paragraphe 27(1) de la Loi dispose qu’un brevet ne peut être délivré que pour une invention qui n’était pas « connue ou utilisée » ni « décrite » dans un brevet ou une publication plus de deux ans avant la demande. Se prononçant dans le contexte des brevets de genre et de sélection, lord Wilberforce a dit ce qui suit dans l’arrêt E. I. Du Pont de Nemours & Co. (Witsiepe’s) Application, [1982] F.S.R. 303 (H.L.), p. 311 :

[traduction] C’est l’absence de découverte des avantages particuliers, ainsi que la non‑réalisation, qui permettent à ces personnes de faire une invention liée à un élément de la catégorie.

Le composé réalisé pour les besoins du brevet de sélection n’a été que valablement prédit lors de l’obtention du brevet de genre. Il n’avait pas été réalisé et ses avantages particuliers n’étaient pas connus. C’est pourquoi on ne saurait refuser un brevet à celui qui, le premier, réalise le composé et découvre ses avantages particuliers.

[32] Pour ce qui est de la divulgation au sens de l’arrêt Synthon, « l’absence de découverte des avantages particuliers » dont fait mention lord Wilberforce dans l’arrêt Witsiepe’s s’entend de la non‑divulgation dans le brevet de genre des avantages particuliers de l’invention visée par le brevet de sélection. Dès lors, les avantages particuliers de l’objet du brevet de sélection par rapport à l’objet du brevet de genre n’ont pas été découverts, de sorte qu’il n’y a pas d’antériorité. À cette étape, la personne versée dans l’art lit le mémoire descriptif du brevet antérieur pour déterminer s’il divulgue les avantages particuliers de l’invention subséquente. Les essais successifs ne sont pas admis. Lorsque la lecture du brevet de genre ne permet pas de connaître les avantages particuliers de l’invention visée par le brevet de sélection, celui‑ci n’est pas antériorisé par le brevet de genre.

[90]           En l’espèce, même si la demande EP 214 inclut TD, ce qui n’est pas le cas selon ma conclusion, je conclurais quand même que TD présentait des avantages particuliers par rapport à d’autres membres du genre revendiqué qui n’avaient pas été divulgués, de sorte qu’il n’y a pas eu de communication des avantages particuliers du brevet de sélection comparativement au genre revendiqué dans la demande EP 214 avant l’invention de ténofovir disoproxil par Gilead. Plus particulièrement, le brevet 619 divulgue à l’exemple 15 et à l’exemple 16 qu’il présente une biodisponibilité orale précise comparativement à d’autres promédicaments de carbonate. De plus, ces exemples illustrent la sélectivité et l’efficacité du promédicament connexe comparativement à d’autres promédicaments de carbonate de PMPA. Ils suffisent pour conclure que le composé choisi possède des avantages particuliers pour l’administration efficace par voie orale du composé mère, PMPA, par opposition à d’autres. En outre, les notes de laboratoire de Gilead et les références à l’art antérieur indiquent qu’aucun promédicament PMEA ne donnait des résultats semblables à l’époque pertinente, alors que PMEA avait été le PNA qui avait fait l’objet des plus grandes recherches pour le développement d’un promédicament de la catégorie.

[91]           Par conséquent, je conclus, si la demande EP 214 avait divulgué bis(POC)PMPA (ce qu’elle n’a pas fait), que le brevet 619 est un brevet de sélection valide et s’est avéré un outil efficace dans l’arsenal pour la lutte contre le VIH, où il a choisi ce médicament mère particulier et des fractions appropriées d’une liste des plus longues afin de trouver un promédicament qui, par opposition aux autres, mettaient à l’essai et illustraient les promédicaments de la demande EP 214. Je conclus que selon la prépondérance des probabilités, l’allégation de brevet de sélection invalide d’Apotex n’est pas fondée.

D.                Évidence

[92]           L’article 28.3 de la Loi sur les brevets dispose que pour délivrer un brevet, l’objet ne doit pas être évident pour une personne versée dans l’art :

28.3 L’objet que définit la revendication d’une demande de brevet ne doit pas, à la date de la revendication, être évident pour une personne versée dans l’art ou la science dont relève l’objet, eu égard à toute communication :

28.3 The subject-matter defined by a claim in an application for a patent in Canada must be subject-matter that would not have been obvious on the claim date to a person skilled in the art or science to which it pertains, having regard to

a) qui a été faite, plus d’un an avant la date de dépôt de la demande, par le demandeur ou un tiers ayant obtenu de lui l’information à cet égard de façon directe ou autrement, de manière telle qu’elle est devenue accessible au public au Canada ou ailleurs;

(a) information disclosed more than one year before the filing date by the applicant, or by a person who obtained knowledge, directly or indirectly, from the applicant in such a manner that the information became available to the public in Canada or elsewhere; and

b) qui a été faite par toute autre personne avant la date de la revendication de manière telle qu’elle est devenue accessible au public au Canada ou ailleurs.

[original non souligné]

(b) information disclosed before the claim date by a person not mentioned in paragraph (a) in such a manner that the information became available to the public in Canada or elsewhere.

[emphasis added]

[93]           Si une invention revendiquée dans un brevet est évidente, le brevet relatif à l’invention est invalide. Dans l’arrêt Sanofi, la Cour suprême du Canada énonce une démarche à quatre volets pour l’examen relatif à l’évidence, la question de l’« essai allant de soi » se posant à la quatrième étape :

[65] Dans l’arrêt Saint-Gobain PAM SA c. Fusion Provida Ltd., [2005] EWCA Civ 177 (BAILII), le lord juge Jacob a dit ce qui suit au par. 35 :

[traduction] La seule inclusion possible de quelque chose dans un programme de recherche dans l’optique d’en apprendre davantage et de faire une découverte ne suffit pas. S’il en allait autrement, peu d’inventions seraient brevetables. L’éventualité d’une protection ne justifierait la recherche que dans des domaines n’offrant aucune chance de découverte. La notion d’« essai allant de soi » ne s’applique vraiment que lorsqu’il est plus ou moins évident que l’essai sera fructueux.

Dans l’arrêt General Tire, le lord juge Sachs dit à la p. 497 :

Après tout, la locution « aller de soi » est très usitée et il ne nous paraît pas nécessaire d’étoffer la principale définition du dictionnaire, à savoir quelque chose de « très clair ».

Dans Intellectual Property Law, le professeur Vaver convient de ce sens (p. 136). J’estime que la notion d’« essai allant de soi » n’est applicable que lorsqu’il est très clair ou, pour reprendre les termes employés par le lord juge Jacob, qu’il est plus ou moins évident, que l’essai sera fructueux.

[66] Pour conclure qu’une invention résulte d’un « essai allant de soi », le tribunal doit être convaincu selon la prépondérance des probabilités qu’il allait plus ou moins de soi de tenter d’arriver à l’invention. La seule possibilité d’obtenir quelque chose ne suffit pas.

[67] Lors de l’examen relatif à l’évidence, il y a lieu de suivre la démarche à quatre volets d’abord énoncée par le lord juge Oliver dans l’arrêt Windsurfing International Inc. c. Tabur Marine (Great Britain) Ltd., [1985] R.P.C. 59 (C.A.). La démarche devrait assurer davantage de rationalité, d’objectivité et de clarté. Le lord juge Jacob l’a récemment reformulée dans l’arrêt Pozzoli SPA c. BDMO SA, [2007] F.S.R. 37 (p. 872), [2007] EWCA Civ 588, par. 23 :

[traduction] Par conséquent, je reformulerais comme suit la démarche préconisée dans l’arrêt Windsurfing :

(1)        a)         Identifier la « personne versée dans l’art »;

b)         Déterminer les connaissances générales courantes pertinentes de cette personne;

(2)        Définir l’idée originale de la revendication en cause, au besoin par voie d’interprétation;

(3)        Recenser les différences, s’il en est, entre ce qui ferait partie de « l’état de la technique » et l’idée originale qui sous‑tend la revendication ou son interprétation;

(4)        Abstraction faite de toute connaissance de l’invention revendiquée, ces différences constituent‑elles des étapes évidentes pour la personne versée dans l’art ou dénotent‑elles quelconque inventivité? [Je souligne.]

La question de l’« essai allant de soi » se pose à la quatrième étape de la démarche établie dans les arrêts Windsurfing et Pozzoli pour statuer sur l’évidence.

i.          Dans quels cas la notion d’« essai allant de soi » est‑elle pertinente?

[68] Dans les domaines d’activité où les progrès sont souvent le fruit de l’expérimentation, le recours à la notion d’« essai allant de soi » pourrait être indiqué. Dans ces domaines, de nombreuses variables interdépendantes peuvent se prêter à l’expérimentation. Par exemple, certaines inventions du secteur pharmaceutique pourraient justifier son application étant donné l’existence possible de nombreuses compositions chimiques semblables pouvant donner lieu à des réponses biologiques différentes et être porteuses de progrès thérapeutiques notables.

ii.         « Essai allant de soi » : éléments à considérer

[69] Lorsque l’application du critère de l’« essai allant de soi » est justifiée, les éléments énumérés ci‑après doivent être pris en compte à la quatrième étape de l’examen de l’évidence. Tout comme ceux pertinents pour l’antériorité, ils ne sont pas exhaustifs et s’appliquent selon la preuve offerte dans le cas considéré.

1.         Est-il plus ou moins évident que l’essai sera fructueux? Existe-t-il un nombre déterminé de solutions prévisibles connues des personnes versées dans l’art?

2.         Quels efforts – leur nature et leur ampleur – sont requis pour réaliser l’invention? Les essais sont-ils courants ou l’expérimentation est-elle longue et ardue de telle sorte que les essais ne peuvent être qualifiés de courants?

3.         L’art antérieur fournit-elle [sic] un motif de rechercher la solution au problème qui sous-tend le brevet?

[70] Les mesures concrètes ayant mené à l’invention peuvent constituer un autre facteur important. Il est vrai que l’évidence tient en grande partie à la manière dont l’homme de métier aurait agi à la lumière de l’art antérieur. Mais on ne saurait pour autant écarter l’historique de l’invention, spécialement lorsque les connaissances des personnes qui sont à l’origine de la découverte sont au moins égales à celles de la personne versée dans l’art.

[94]           Je propose de réaliser l’analyse relative à l’évidence conformément à l’arrêt Sanofi.

(1)               Personne versée dans l’art et ses connaissances

[95]           Premièrement, j’ai défini la personne versée dans l’art comme étant une personne ou une équipe de personnes possédant un diplôme avancé en chimie thérapeutique ou dans un domaine connexe et possédant une connaissance ou l’expérience des activités de recherche sur les antiviraux, y compris l’activité antivirale des analogues nucléotidiques phosphonométhoxy, ainsi qu’une certaine expérience et connaissance des promédicaments.

(2)               Idée originale

[96]           L’idée originale est différente de la promesse du brevet. Bien que la promesse du brevet soit mesurée dans le contexte de l’utilité, l’idée originale a trait à l’examen relatif à l’évidence dans le cas du brevet 619. En l’espèce, les parties soutiennent que l’idée originale est l’ajout de la fraction bis(POC) à PMPA. La promesse d’une administration efficace par voie orale ne fait pas partie de cette idée originale. C’est ce qui ressort de l’état de la technique, qui a clairement énoncé l’utilité des promédicaments dans l’administration efficace par voie orale d’analogues phosphononucléotidiques (PNA) dans le traitement et la prophylaxie d’infections virales.

(3)               Différences entre « l’état de la technique » et l’idée originale

[97]           L’« état de la technique » à la date pertinente contenait les éléments suivants, dont la personne versée dans l’art aurait été au courant :

                                                        i.            le bis(POM)PMEA avait été mis à l’essai et avait démontré une biodisponibilité orale accrue comparativement à son composé mère, même s’il avait aussi des problèmes de toxicité d’acide pivalique de la fraction POM;

                                                      ii.            il était connu que PMPA était efficace comme substance pure pour le traitement de certaines infections virales, notamment le VIH, par administration par voie intraveineuse;

                                                    iii.            les fractions de carbonate n’ont pas été souvent attachées à un groupe phosphate et mises à l’essai. Le rapport de M. Safadi, M. Oliyai et M. Stella, Phosphorylmethyl Carbamates and Carbonates- Novel Water- Soluble Prodrugs for Amines and Hindered Alcohols (1993) 10:9 Pharm. Res. 1350, cité par MM. Borchardt et Maag, indiquait que ce groupe de fractions serait chimiquement instable;

                                                    iv.            le bis(POM)PMPA avait été mis à l’essai dans la première expérience de Gilead avec PMPA et avait présenté des résultats semblables à ceux de bis(POM)PMEA, c.-à-d. biodisponibilité orale accrue avec des problèmes de toxicité d’acide pivalique non souhaitables;

                                                      v.            on savait que les promédicaments se comportaient de façon imprévisible dans le corps et nécessitaient de très nombreux essais consécutifs pour en déterminer l’efficacité; les profractions fructueuses pour un composé mère constituaient de piètres prédicateurs de réussite pour un autre composé mère;

                                                    vi.            les promédicaments présentaient une solution connue, quoique toujours fortuite, pour accroître la biodisponibilité orale de médicaments efficaces ayant une piètre biodisponibilité orale.

[98]           Apotex soutient que l’état de la technique comprenait la connaissance de la façon dont les problèmes de toxicité de la fraction POM avaient été résolus dans un autre domaine, à savoir celui des antibiotiques. En effet, l’ampicilline, un antibiotique, avait, pendant la période visée, déjà été fabriquée sous forme de promédicament, la bacampicilline, pour résoudre son problème de faible biodiversité orale. En outre, dans le domaine des antibiotiques, une fraction POM présentant des problèmes de toxicité d’acide pivalique avait été remplacée par une fraction POC afin d’assurer une administration efficace et moins toxique par voie orale de cet antibiotique.

[99]           Cependant, à mon avis, la personne versée dans l’art dépourvue d’imagination et d’esprit inventif ne serait pas parvenue directement à la solution fournie par le domaine des antibiotiques dans ses expériences, en particulier en raison des expériences démontrant l’instabilité chimique des fractions de carbonate dans le cas des médicaments mères semblables à PMPA et étant donné les résultats hautement imprévisibles lors d’une combinaison de fractions à divers médicaments mères. Il aurait fallu l’étincelle inventive pour tirer une inférence du domaine des antibiotiques alors que des personnes versées dans l’art travaillant avec des promédicaments seraient au fait de la nature hautement imprévisible de la fabrication d’un promédicament et alors qu’il est incontesté que les essais successifs forment la base d’une grande partie des recherches sur les promédicaments.

[100]       Pour parvenir à l’idée originale du bis(POC)PMPA pour une administration efficace par voie orale du médicament mère PMPA, les inventeurs ont dû procéder à des sélections raisonnées et, à mon avis, inventives pour essayer diverses fractions sur PMPA. [………………Expurgé………………………………………] [……………….Expurgé………..……………………………….] un point sur lequel Apotex a insisté – à mon avis, l’état de la technique était tel que les promédicaments de carbonate pour cette famille de composés n’étaient pas chimiquement stables. Cela a amené l’équipe de recherche, y compris les scientifiques très accomplis à la direction de Gilead, à orienter les efforts de Gilead initialement vers d’autres fractions pour les PNA mis à l’essai […..…….Expurgé……….]. Tel était l’état de la technique comme le font valoir les éléments de preuve de Gilead que j’admets, encore une fois.

[101]       L’idée originale avait d’abord été tentée après avoir retenu les services de M. Stella comme expert-conseil au sein de Gilead. M. Stella, l’un des quelques experts en promédicaments à l’époque [Expurgé]  [……………………………….Expurgé……………………………………………….] [……………………………….Expurgé……………………………………………….] […………….Expurgé…………………….] a fabriqué plusieurs promédicaments de carbonate, dont bis(POC)PMPA (ou TD, le nouveau promédicament fructueux pour l’administration orale de PMPA revendiquée dans ce brevet).

(4)               Abstraction faite de toute connaissance de l’invention revendiquée, ces différences constituent‑elles des étapes évidentes pour la personne versée dans l’art ou dénotent‑elles quelconque inventivité? L’invention était-elle un « essai allant de soi »?

[102]       Apotex soutient que très peu séparait l’état de la technique de l’idée originale, de sorte que la fraction bis(POC) aurait découlé de l’essai allant de soi. Apotex soutient que les carbonates auraient présenté une solution évidente, [………….……Expurgé………………] [……………………………………….Expurgé……………………………………………….] [……………………………………………... …………………………………………Expurgé………………………………………………………………………………………………………………………………………………………………………………....]. En outre, Apotex allègue qu’une fois après avoir fait l’essai des carbonates comme sous-groupe, la personne versée dans l’art aurait su qu’il fallait essayer des fractions de carbonate avec le plus petit nombre de carbones, mais avec plus d’un carbone. Apotex allègue que la personne versée dans l’art aurait commencé avec une fraction de carbonate comptant deux ou trois carbones. Le résultat aurait été que la personne versée dans l’art aurait fait des promédicaments à trois carbonates de PMPA, l’un d’eux étant bis(POC)PMPA. Apotex est même allée jusqu’à soutenir que TD aurait été inventé grâce à la deuxième, à la troisième ou à la quatrième molécule que Gilead a essayée. Je remarque que bis(POC) a fait l’objet d’un essai plus tôt après le début des recherches avec des fractions de carbonate, ce qui était à prévoir comme l’allègue Apotex. Respectueusement, je ne suis pas d’accord pour dire que les recherches avec des fractions de carbonate manquaient d’inventivité pour les motifs mentionnés.

[103]       Dans l’arrêt Sanofi, la Cour suprême a dit que le critère de l’« essai allant de soi » pouvait être approprié dans les cas où il y avait de nombreuses compositions chimiques semblables pouvant donner lieu à des réponses biologiques différentes et être porteuses de progrès thérapeutiques notables. Les principes énoncés dans l’arrêt Sanofi indiquent que l’analyse de la cour de l’« essai allant de soi » doit prendre en considération les facteurs suivants : [paragraphe 69]

1.         Est-il plus ou moins évident que l’essai sera fructueux? Existe-t-il un nombre déterminé de solutions prévisibles connues des personnes versées dans l’art?

2.         Quels efforts – leur nature et leur ampleur – sont requis pour réaliser l’invention? Les essais sont-ils courants ou l’expérimentation est-elle longue et ardue de telle sorte que les essais ne peuvent être qualifiés de courants?

3.         L’art antérieur fournit-elle [sic] un motif de rechercher la solution au problème qui sous-tend le brevet?

[104]       Lisant le brevet 619 dans la perspective de la personne versée dans l’art dépourvue d’imagination, je ne peux pas conclure que le sous-groupe des carbonates n’était pas inventif et satisfaisait au critère de l’évidence ou à celui « de l’essai allant de soi ».

[105]       La littérature sur les promédicaments concernant les PNA pour des antiviraux allait dans le sens opposé – elle indiquait une instabilité chimique pour les carbonates. […………………....Expurgé…………………………..] il en était de même des autres voies de recherche. À mon avis, lorsque les chercheurs de Gilead ont proposé les carbonates, ils ne traduisaient pas le point de vue d’une personne versée dans l’art dépourvue d’imagination et non inventive qui avait identifié les carbonates comme une solution qui [traduction] « sera fructueuse ». À mon avis, l’équipe de recherche de Gilead à l’époque agissait sur la foi d’une étincelle inventive et s’attendait à une période d’essais successifs avant d’atteindre son objectif. Aucun élément de preuve n’indique que l’équipe inventive de Gilead se trouvait dans la position de la personne versée dans l’art présentée plus haut; je ne peux pas conclure qu’elle traduisait les points de vue de la personne versée dans l’art dépourvue d’imagination et non inventive en énonçant cette thèse. La décision d’opter pour d’autres voies de recherche, apparemment plus prometteuses, ne constituait qu’une partie du procédé inventif pour ce projet de développement de promédicaments. Il n’aurait pas été plus ou moins évident pour la personne versée dans l’art à l’époque que le sous-groupe de carbonates serait fructueux sur PMPA; au contraire, l’art antérieur indiquait qu’il ne le serait pas.

[106]       À cet égard, je m’inquiète du fait que M. Fortunak, le témoin d’Apotex, a présenté un affidavit qu’il a reconnu contenir deux fausses déclarations importantes. Premièrement, il a déclaré dans son affidavit que [traduction] « la démarche du promédicament à double ester avait été utilisée avec succès pour améliorer la biodisponibilité orale des composés nucléotidiques acycliques PMEA et PMPA ». Cependant, en contre-interrogatoire, il a été reconnu que la référence à PMPA était incorrecte. Deuxièmement, M. Fortunak a déclaré dans son affidavit : [traduction] « les deux types de profractions à double ester illustrés dans l’art antérieur à utiliser dans le cas de composés avec le groupe phosphonate pour améliorer la biodisponibilité orale étaient ceux qui contenaient des esters et des carbonates ». Cependant, et également en contre-interrogatoire, M. Fortunak a reconnu que la référence aux carbonates n’était pas véridique.

[107]       Je n’estime pas que ces déclarations erronées aient été incluses par accident ou par erreur. Elles sont tout simplement trop importantes pour être accidentelles compte tenu du différend dont la Cour est saisie. Elles ont été insérées de toute évidence par le rédacteur de l’affidavit de M. Fortunak – par M. Fortunak lui-même ou par d’autres – qui pensait ou espérait (à tort) que ces déclarations étaient véridiques. Il est important de souligner que ces fausses déclarations importantes sont restées dans l’affidavit de M. Fortunak après plusieurs révisions et toute la préparation qui a eu lieu jusqu’à la contestation juridique importante dont nous sommes témoins. Ces fausses déclarations jettent un doute sur ses éléments de preuve et renforcent ma conclusion selon laquelle ses éléments de preuve ont moins de valeur de façon générale que ceux des experts de Gilead relativement aux points divergents; par conséquent, et à ces égards, je dois accorder et j’accorde effectivement plus de crédibilité aux éléments de preuve de Gilead relativement à la question de l’évidence.

[108]       Je suis d’accord avec Apotex pour dire qu’une fois choisie, la catégorie des promédicaments de carbonate pour PMPA se limitait à un nombre mathématiquement fini de solutions potentielles prévisibles déterminées. Cependant, je remarque que PMPA était non seulement un médicament de rechange pour PMEA dans le projet de recherche, mais que c’était aussi le cas de PMPDAP. En outre, il y avait d’autres sous-groupes plus évidents que l’on aurait pu mettre à l’essai, et de nombreux autres qui l’ont été, selon la littérature, ainsi que des efforts de recherche concernant PMEA et PMPA, avant de faire l’essai du sous-groupe de carbonates, une fraction promédicament présentant des problèmes d’instabilité signalés. Il n’était pas évident qu’un sous-groupe de carbonates serait fructueux.

[109]       Bien qu’Apotex ait tourné en dérision l’équipe de Gilead pour avoir cherché les mauvais renseignements au mauvais endroit, à mon humble avis, les efforts de recherche de Gilead pour trouver un médicament convenant faisaient tout simplement partie d’un procédé inventif long et normal, compte tenu de l’état de la technique à l’époque. Une fois les expériences amorcées avec PMPA en 1994, il s’est écoulé moins de trois ans avant que bis(POC)PMPA soit inscrit dans l’objet du brevet 619 en 1996, à peu près au même moment où les expériences menées sur le PNA de rechange, PMEA […Expurgé…], ce qui n’a pas donné lieu à une solution qui convenait.

[110]       De par leur nature, les essais de promédicaments sont prolongés en ce sens que leur chimie, leur comportement et leur sélectivité à l’intérieur du corps ne sont pas facilement prévisibles. Les essais successifs constituent la norme. En raison de cette nature imprévisible, les experts doivent prendre des décisions fondées sur la probabilité de réussite tôt dans leurs efforts de mise à l’essai, en fonction des renseignements disponibles au moment pertinent. Je conclus que pour parvenir à l’idée originale de bis(POC)PMPA, le processus a été relativement long et ardu, et que sa sélection nécessitait un degré d’inventivité qu’une personne versée dans l’art dépourvue d’imagination et d’inventivité n’aurait pas eu. En outre, les essais à réaliser n’avaient absolument rien d’ordinaire.

[111]       Je conclus qu’il existait une solide motivation financière et médicale pour trouver une prophylaxie et un traitement du VIH à ce moment-là, alors que l’infection était relativement nouvelle et que les options en matière de traitement étaient difficiles et limitées dans leur efficacité. De plus, il existait une motivation pour trouver un promédicament chimiquement stable, biodisponible et efficace, qui n’aurait pas les mêmes problèmes de toxicité que l’on avait connus avec la fraction bis(POM). La nécessité d’un traitement pour les autres infections virales énumérées dans le brevet 619 donnait aussi suffisamment de motivation aux innovateurs pharmaceutiques pour inventer des médicaments dont l’administration par voie orale est efficace. Cependant, la présence d’une motivation aussi forte pour inventer un médicament ayant les propriétés que l’on connaît maintenant au FTD ne rend pas comme tel l’invention évidente ou résultant d’essai allait de soi en vertu du critère énoncé dans l’arrêt Sanofi.

[112]       À mon avis, la découverte du promédicament bis(POC)PMPA n’était pas évidente et ne résultait pas d’un essai allant de soi; elle a nécessité un degré d’inventivité et n’aurait pas été évidente pour la personne versée dans l’art dépourvue d’imagination et d’esprit inventif. Je suis d’avis que Gilead a démontré selon la prépondérance des probabilités que les allégations relatives à l’essai allant de soi et à l’évidence d’Apotex ne sont pas fondées.

E.                 Utilité

[113]       L’utilité est requise pour qu’une invention soit brevetable : Loi sur les brevets à l’article 2 :

invention Toute réalisation, tout procédé, toute machine, fabrication ou composition de matières, ainsi que tout perfectionnement de l’un d’eux, présentant le caractère de la nouveauté et de l’utilité. (invention)

[original non souligné]

invention means any new and useful art, process, machine, manufacture or composition of matter, or any new and useful improvement in any art, process, machine, manufacture or composition of matter; (invention)

[emphasis added

[114]       Dans l’arrêt Eli Lilly Canada inc. c. Novopharm Limited, 2010 CAF 197, la juge Layden-Stevenson explique que l’utilité doit soit être démontrée ou prédite valablement à la date du dépôt. Lorsque les spécifications établissent une promesse explicite, l’utilité sera mesurée en regard de cette promesse :

[74]      L’article 2 de la Loi exige que l’objet d’un brevet présente le caractère de la nouveauté et de l’utilité. Le principe général veut que, à la date pertinente (la date du dépôt), l’utilité de l’invention doit avoir été démontrée ou avoir fait l’objet d’une prédiction valable. Une preuve autre que celle exposée dans le mémoire descriptif peut être nécessaire et elle le sera normalement.

[75]      Pour établir l’absence d’utilité, la partie soupçonnée de contrefaçon doit démontrer [TRADUCTION] « que l’invention ne fonctionnera pas, dans le sens qu’elle ne produira rien du tout ou, dans un sens plus général, qu’elle ne fera pas ce que le mémoire descriptif prédit qu’elle fera » : Consolboard Inc. c. MacMillan Bloedel (Sask.) Ltd., [1981] 1 R.C.S. 504 (Consolboard).

[76]      Lorsque le mémoire descriptif ne promet pas un résultat précis, aucun degré particulier d’utilité n’est requis; la « moindre parcelle » d’utilité suffira. Toutefois, lorsque le mémoire descriptif exprime clairement une promesse, l’utilité sera appréciée en fonction de cette promesse : Consolboard, Pfizer Canada Inc. c. Canada (Ministre de la Santé) et Ranbaxy Laboratories Inc., [2009] 1 R.C.F. 253, 2008 CAF 108 (Ranbaxy). La question est de savoir si l’invention fait ce que le brevet promet qu’elle fera.

[115]       Ce raisonnement a également été examiné dans l’arrêt Teva Canada Ltée c. Pfizer Canada Inc., 2012 CSC 60, suivant la décision de la Cour suprême du Canada dans l’arrêt Apotex Inc. c. Wellcome Foundation Ltd., 2002 CSC 77 (AZT) :

[38]      Comme le signalent les juridictions inférieures, pour satisfaire à la condition d’utilité prévue à l’art. 2, il suffit que l’invention exposée fasse ce qu’elle est censée faire selon le brevet, c’est‑à‑dire qu’elle tienne promesse : voir aussi S. J. Perry et T. A. Currier, Canadian Patent Law (2012), §7.11. Le brevet 446 affirme que les composés revendiqués, dont le sildénafil, sont utiles dans le traitement de la DÉ. Au moment du dépôt de la demande, le sildénafil pouvait servir au traitement de la DÉ. C’est tout ce qui est exigé. L’omission de Pfizer de révéler que le composé mis à l’essai est le sildénafil intéresse la divulgation de l’invention, et non celle de son utilité.

[39]      L’exigence que l’invention soit utile au moment de la revendication ou du dépôt va dans le sens des remarques de notre Cour dans l’arrêt AZT, par. 56 :

Lorsque la nouvelle utilisation est l’élément essentiel de l’invention, l’utilité requise pour qu’il y ait brevetabilité (art. 2) doit, dès la date de priorité, être démontrée ou encore constituer une prédiction valable fondée sur l’information et l’expertise alors disponibles. Si un brevet qu’on a tenté d’étayer par une prédiction valable est par la suite contesté, la contestation réussira si [...] la prédiction n’était pas valable à la date de la demande ou si, indépendamment du caractère valable de la prédiction, « [i]l y a preuve de l’inutilité d’une partie du domaine visé ». [Italiques dans l’original; je souligne.]

1)      Promesse du brevet 619

[116]       Pour déterminer si le brevet 619 a une utilité qui est soit démontrée, soit valablement prédite, je dois d’abord déterminer la promesse du brevet 619. Le juge Rennie (tel était son titre alors) dans sa décision AstraZeneca Canada Inc. c. Apotex inc., 2014 CF 638, explique qu’il existe une différence entre les objectifs et les résultats qu’un brevet promet qui se produira au moment d’interpréter l’utilité promise pour le brevet; les promesses sont explicites et décrivent les résultats garantis ou anticipés par le brevet (selon que la promesse est démontrée ou valablement prédite), alors que les objectifs s’attachent simplement aux usages potentiels du brevet :

[115]    Il existe une différence entre les objectifs que le brevet espère atteindre, et les résultats qu’il promet. Dans AstraZeneca Canada Inc. c Mylan Pharmaceuticals ULC, 2011 CF 1023 [Mylan Arimidex], je faisais remarquer que « ce ne sont pas toutes les déclarations que l’on trouve dans un brevet au sujet des avantages qui peuvent être considérées comme une promesse » (au paragraphe 139). Cette distinction entre les objectifs et les promesses a été confirmée par la Cour d’appel fédérale (voir, p. ex. Apotex Inc. c SanofiAventis, 2013 CAF 186, au paragraphe 67 [SanofiAventis Plavix]).

[116]    Différencier les objectifs des promesses est affaire de description. Ainsi, avant de déterminer si la mention dans le brevet 653 d’un profil thérapeutique amélioré correspond à un objectif ou à une promesse, il convient de distinguer ces deux notions dans l’abstrait.

[117]    L’objectif décrit simplement « un avantage que l’on espère que l’invention comportera » (Mylan Arimidex, au paragraphe 139). Ainsi, dans Mylan Arimidex, j’ai conclu qu’une clause concernant l’objet et commençant par la phrase « [l]a présente invention a pour objet particulier de » ne présentait qu’un objectif que le brevet espérait atteindre plutôt qu’une promesse de résultat. De même, dans l’arrêt SanofiAventis Plavix, aux paragraphes 55 à 67, le juge Pelletier a estimé que l’inférence d’une promesse d’utilité thérapeutique fondée sur des renvois indirects à l’utilisation du médicament chez les humains (p. ex., mentions de maladies et de posologies susceptibles de correspondre à un usage chez les humains) était insuffisante pour établir l’existence d’une promesse et suggérait simplement des usages potentiels. En somme, les promesses sont explicites et décrivent les résultats garantis ou anticipés par le brevet (selon que la promesse est démontrée ou valablement prédite), alors que les objectifs s’attachent simplement aux usages potentiels du brevet.

(Souligné dans l’original.)

[117]       Dans Mylan Pharmaceuticals ULC c. Pfizer Canada Inc., 2012 CAF 103, la Cour d’appel fédérale a conclu que de façon générale la promesse du brevet sera interprétée avec l’aide d’experts dans le contexte du brevet dans son ensemble, et du point de vue de la personne versée dans l’art, déclarant au paragraphe 48 :

[…] bien qu’en principe, l’interprétation du brevet exige que l’on recoure à une preuve d’expert étant donné que la promesse doit être bien définie, dans le contexte du brevet dans son ensemble, du point de vue de la personne versée dans l’art, par rapport à l’état d’avancement de la science et aux données disponibles au moment du dépôt du brevet (Eli Lilly Canada Inc. c. Novopharm Limited, 2010 CAF 197, 85 C.P.R. (4th) 413, au paragraphe 80).

[118]       Dans la décision Astrazeneca Canada Inc. c. Mylan Pharmaceuticals ULC, 2011 CF 1023, le juge Rennie a affirmé que l’interprétation de la promesse d’un brevet est une question de droit qui relève exclusivement de la compétence de la province de la Cour :

[90]      L’interprétation de la promesse du brevet est une question de droit qui relève exclusivement de la compétence de la Cour (GlaxoSmithKline rosiglitazone, précité, au paragraphe 86). Les tribunaux doivent être prudents lorsqu’ils s’en remettent au témoignage des experts pour interpréter les promesses d’un brevet. Dans la décision Pfizer donepezil, précitée, au paragraphe 224, le juge Roger Hughes insiste sur la nécessité de bien distinguer les rôles en présence :

Ces exemples, qui ne sont nullement les seuls qu’on pourrait citer, montrent le danger qu’il y a, s’agissant de l’interprétation des brevets, à demander aux experts de s’écarter de leur spécialité pour entrer dans le domaine du débat judiciaire. Il est très tentant pour l’avocat d’essayer de faire dire à l’expert ce qu’il n’a pas dit, puis de presser le tribunal d’accepter ce discours d’emprunt comme une aide de l’expert dans l’interprétation du brevet en question.

[119]       Les parties ne s’entendent pas sur la définition de la promesse du brevet. Bien que Gilead soutienne que la seule promesse du brevet 619 est d’offrir une administration orale efficace du composé mère (ténofovir), Apotex fait valoir que le brevet 619 promet aussi d’être un traitement efficace, entre autres, du VIH.

[120]       À l’appui de l’argument d’Apotex selon lequel l’efficacité du traitement du VIH est promise, je suis d’accord pour dire que l’efficacité de TD contre le VIH est mentionnée à plusieurs reprises dans le brevet 619. Je remarque également que Gilead a même mené des expériences sur la sélectivité et les concentrations efficaces de TD comparativement à PMPA seul pour ce qui est des infections par VIH, et avec d’autres promédicaments de carbonates de PMPA mis à l’essai. Les résultats sont présentés au tableau 2 de l’exemple 16 du brevet 619.

[121]       Cependant, PMPA était connu dans l’art antérieur pour être un INTI utile lorsqu’il est administré par intraveineuse dans le traitement du VIH. Tous les experts s’entendent pour dire que PMPA était un composé connu possédant une activité antivirale. Le problème était que PMPA devait être administré par intraveineuse, parce qu’il possédait une piètre biodisponibilité orale au moment de l’invention revendiquée. M. Maag explique même que ténofovir racémique (ou un mélange également composé sous les formes lévogyres et dextrogyres) a été divulgué dans la demande EP 0 206 459, à titre de composé autonome (sans promédicament).

[122]       À mon avis, il y a des différences entre les objectifs et les promesses du brevet 619. Dans le brevet 619, l’objectif était d’améliorer le traitement ou la prophylaxie pour le VIH, entre autres infections virales chez les animaux et les humains, par utilité promise d’une biodisponibilité orale efficace du médicament mère, PMPA.

[123]       À la lecture du brevet 619, je remarque que l’accent n’est pas mis sur la fabrication du composant antiviral actif du composé, PMPA, mais plutôt sur la fabrication de ce composé oralement accessible pour un être vivant. À cet égard, le tableau 2 concerne PMPA dans tous les cas, et ne modifie la fraction que pour déterminer les différences dans la sélectivité et l’efficacité des différents promédicaments. On a recours à un promédicament pour permettre à un médicament de parvenir à sa cible plus efficacement lorsque des obstacles chimiques empêchent un médicament d’atteindre l’endroit dans le corps où il doit travailler : l’administration par voie orale réussie de PMPA exigeait qu’il soit effectivement [traduction] « transporté » au travers de la paroi intestinale par un promédicament qui se séparait alors et disparaissait dans le médicament mère. Lorsque le promédicament ne se séparait pas au bon moment ou de la bonne façon, par exemple, l’efficacité du médicament mère était perdue et le promédicament était réputé ne pas fournir un mécanisme efficace pour l’administration par voie orale du composé mère, PMPA.

[124]       En examinant le brevet 619 avec l’aide des experts de Gilead et d’Apotex, je conclus que la promesse du brevet est une administration par voie orale efficace du composé mère par l’entremise de son promédicament, qui comporte une fraction carbonate précise, produisant bis(POC)PMPA ou ténofovir disoproxil.

2)      Utilité mesurée en fonction de la promesse du brevet 619

[125]       Ayant interprété la promesse du brevet 619, je passe maintenant à l’analyse de la question de savoir si l’utilité était démontrée ou prédite valablement au moment du dépôt du brevet 619. Même si une utilisation ultérieure de ténofovir disoproxil montre une administration réussie par voie orale de PMPA chez les humains infectés, je dois déterminer si, au moment du dépôt, à savoir le 25 juillet 1997, l’administration par voie orale efficace était démontrée ou valablement prédite. L’utilité peut être démontrée ou valablement prédite selon les éléments de preuve se trouvant dans le brevet ou à l’extérieur de celui-ci à la date pertinente. Gilead s’appuie uniquement sur l’utilité démontrée, ne donnant aucune observation de prédiction valable.

[126]       La Cour d’appel fédérale a décrit les exigences liées à cette analyse de l’utilité dans Apotex Inc c. Pfizer Canada Inc, 2014 CAF 250, au paragraphe 64, où il est indiqué que relativement au seuil à franchir pour établir l’utilité, « la moindre parcelle d’utilité » suffit :

Les tribunaux reconnaissent cependant depuis longtemps que les exigences minimales en matière d’utilité au sens de la Loi sont assez souples. Premièrement, il n’est pas nécessaire que l’inventeur expose l’utilité de l’invention dans le brevet [...]. Tout ce qu’exigent les tribunaux, lorsque l’inventeur doit prouver l’utilité de son invention, est que celui‑ci puisse établir que l’utilité était démontrée ou valablement prédite au moment de la date de dépôt du brevet [...]. Deuxièmement, le seuil à franchir pour établir l’utilité est en général peu élevé, puisqu’on dit que « la moindre parcelle d’utilité » suffit.

[127]       Je remarque aussi que le juge Rennie a confirmé dans la décision Astrazeneca Canada Inc c. Mylan Pharmaceuticals ULC, 2011 CF 1023, au paragraphe 168, que « [p]our démontrer l’utilité, il suffit que les résultats des tests [traduction] “donnent fortement à penser” que l’invention est utile et qu’aucune autre explication logique n’est envisageable en ce qui concerne les résultats des tests ».

[128]       Mesurant l’utilité en fonction de la promesse de biodisponibilité orale, et faisant concorder les éléments de preuve de tous les experts, je fais observer que les éléments de preuve sont limités en l’occurrence aux notes de laboratoire, exemple 15 et exemple 16.

[129]       Pour trouver l’administration par voie orale efficace ou la biodisponibilité orale, de ténofovir disoproxil, une personne versée dans l’art chercherait naturellement à comparer la biodisponibilité orale du promédicament à celle de son médicament mère, PMPA. À cet égard, je suis d’accord avec Apotex pour dire que l’exemple 15 ne donne pas de renseignements quant à la biodisponibilité orale de PMPA. Cependant, en ne tenant pas compte du brevet 619, je constate que le médicament mère PMPA était réputé avoir une faible biodisponibilité orale. [……….Expurgé…………] […………………………..…….Expurgé…………………………….………………….] trouve que la biodisponibilité orale indiquée à l’exemple 15 est [Expurgé] le chiffre disponible de cette donnée) (35,8±14,7 %). Même en prenant le résultat le moins favorable en fonction de chaque marge d’erreur, bis(POC)PMPA montre toujours une meilleure biodisponibilité orale que son médicament mère, PMPA (c.-à-d. que 35,8±14,7 % est à son plus bas niveau, soit 21,1 %, ce qui est quand même supérieur [….Expurgé….] de sorte que le delta sur les résultats les moins favorables indique une nette amélioration de la biodisponibilité). Je remarque que les protocoles pour évaluer la biodisponibilité orale peuvent avoir été différents entre les expériences. De plus, les animaux sur lesquels les tests ont été effectués ne sont pas clairement identiques pour les deux tests. […………………….………….Expurgé……………..………….] même si seulement les essais sur les chiens beagle sont déclarés dans le brevet 619.

[130]       MM. Borchardt et Maag sont d’avis que d’après leur expérience, que j’admets, il n’est pas possible d’obtenir une approbation de financement pour des essais in vivo chez des humains si un brevet n’est pas en vigueur. Même si certaines administrations peuvent imposer des contraintes différentes aux essais, comme le soutient M. Owen, j’accorde plus de poids aux témoignages des experts de Gilead en raison de leur longue expérience des brevets dans le pays où ténofovir disoproxil a été inventé. Plus précisément, MM. Borchardt et Maag avaient l’expérience de la recherche en chimie, du dépôt de brevets et de programmes de développement de médicaments avec des inventeurs au moment pertinent.

[131]       À mon avis, les données de l’exemple 15 indiquent clairement que l’invention est utile et qu’aucune autre explication logique n’est envisageable en ce qui concerne les résultats des tests; elles montrent que bis(POC)PMPA aura amélioré la biodisponibilité orale comparativement au PMPA mère; il aura aussi une biodisponibilité orale efficace (plus de 20 % de la quantité administrée, si elle est administrée par injection par voie intraveineuse de PMPA pur).

[132]       L’exemple 16 dans le brevet 619 constitue un élément de preuve supplémentaire qui démontre que, grâce à son administration par voie orale, l’activité de PMPA demeure efficace contre le VIH; le VIH est l’une des infections pour lesquelles il avait déjà été démontré que PMPA présente un effet prophylactique. Les renseignements du tableau 2 sont utiles pour Gilead afin de lui permettre de choisir le promédicament parmi les promédicaments de carbonate mis à l’essai pour une biodisponibilité orale efficace. En raison des comportements hautement imprévisibles des promédicaments mis à l’essai, en déterminant quel promédicament était un antiviral particulièrement efficace, il aurait été important de vérifier, comme l’a fait Gilead, si PMPA était toujours efficace une fois sous forme de promédicament. Plus particulièrement, Gilead a soutenu qu’en construisant une fraction promédicament, les inventeurs devaient s’assurer que la composition chimique du promédicament se séparerait au bon endroit sur le composé. Les essais dans une culture tissulaire (in vitro) démontrent clairement l’utilité de l’invention; le promédicament conserverait l’efficacité du composé PMPA une fois qu’il se retrouve dans un être humain (in vivo). À mon avis, aucune autre explication logique n’est envisageable en ce qui concerne les résultats.

[133]       Je conclus que ces faits démontrent l’utilité du brevet 619 pour ce qui est de sa promesse, c.-à-d. qu’il a plus d’une « moindre parcelle d’utilité », et je le fais selon la prépondérance des probabilités.

[134]       Apotex a soulevé des questions au sujet des divulgations des essais menés dans le brevet 619. Apotex soutient que les expériences sur des chiens beagle à l’exemple 15 ne constituent pas un solide prédicateur ou démonstrateur de biodisponibilité orale chez les humains. Apotex soutient également que la biodisponibilité orale dans l’exemple 15 ne compare pas les données avec la biodisponibilité orale du composé mère, PMPA. Même si je suis d’accord pour dire que les essais de l’exemple 15 sont effectués sur des chiens beagle, et que PMPA dans sa forme autonome ne fait pas partie des essais, je conclus que les éléments de preuve de Gilead suffisent à établir son fardeau.

[135]       Pour établir l’utilité, je ne suis pas lié seulement par le contenu du brevet 619; la Cour peut, et doit, faire d’autres recherches pour déterminer si l’utilité de la promesse a été établie. Premièrement, Gilead établit que la faible biodisponibilité orale de PMPA mère a été démontrée dans l’art antérieur tout comme [Expurgé] Apotex a reconnu que la biodisponibilité de PMPA était faible. Gilead a établi que des essais sur des animaux plus petits, comme des chiens beagle, suffisent dans la pratique à démontrer la biodisponibilité orale du promédicament comme le promet le brevet 619. Gilead présente aussi les données des études de stabilité in vitro dans le brevet réalisées avec une culture tissulaire humaine. Ces études démontrent que le promédicament avait une bonne stabilité dans l’intestin et le plasma, et une piètre stabilité dans le foie. Ces résultats sont parfaits pour établir la promesse d’administration efficace de PMPA lorsqu’il est ingéré par voie orale. Il n’en faut pas plus pour obtenir un brevet qui permettrait alors le financement interne pour des essais in vivo chez les humains, et en l’espèce il indique que l’utilité a été démontrée. Finalement, la déclaration de biodisponibilité orale de 20 % du brevet 619 comparativement à l’administration par intraveineuse du composé mère suffit à conclure qu’il y a biodisponibilité orale efficace.

[136]       En appréciant les éléments de preuve dont je suis saisi, je conclus selon la prépondérance des probabilités que les allégations d’inutilité d’Apotex ne sont pas fondées.

V.                Conclusions

[137]       Par conséquent, la demande doit être accueillie, et il est interdit au ministre de délivrer un avis de conformité à Apotex relativement à son avis d’allégation jusqu’à l’expiration du brevet 619 le 25 juillet 2017, le tout avec dépens payables par Apotex à Gilead.

VI.             Dépens

[138]       Les parties se sont entendues sur des dépens, dont l’entente est exposée dans le jugement de la Cour à l’annexe « A » – Entente relative aux dépens. La Cour apprécie la coopération des avocats à cet égard.

VII)          Motifs confidentiels

[139]       Les présents motifs contiennent des renseignements assujettis à une ordonnance de non-divulgation et sont par conséquent désignés comme étant confidentiels. Les parties disposeront de 20 jours pour se consulter et pour informer la Cour, s’il y a lieu, des parties qu’elles souhaitent censurer, à défaut de quoi les présents motifs seront rendus publics et versés au dossier public. Remarque : la phrase précédente faisait partie des motifs confidentiels; les présents motifs contiennent les suppressions demandées par la demanderesse et sont maintenant rendus publics.


JUGEMENT

LA COUR REND LE JUGEMENT SUIVANT :

1.      La demande est accueillie.

2.      Il est interdit au ministre de la Santé de délivrer un avis de conformité à Apotex relativement à son avis d’allégation dans la présente affaire daté du 19 juin 2014, jusqu’à l’expiration du brevet canadien no 2 261 619.

3.      Apotex paiera à Gilead ses dépens pour la présente demande conformément à l’annexe « A » – Entente relative aux dépens, qui figure en annexe.

4.      Les parties disposeront de 20 jours pour se consulter et pour informer la Cour, s’il y a lieu, des parties des présents jugement et motifs qu’elles souhaitent censurer, à défaut de quoi les présents motifs seront rendus publics et versés au dossier public. Remarque : cette partie du jugement a été incluse aux motifs confidentiels, mais les parties ayant été entendues, elle est maintenant périmée; voir le paragraphe 139.

« Henry S. Brown »

Juge


Annexe « A » –Entente relative aux dépens

1.                  La partie ayant obtenu gain de cause se verra adjuger les dépens conformément aux directives suivantes, à condition que les directives suivantes ne modifient ou ne remplacent aucunement toutes ordonnances ou directives existantes relatives aux dépens pour des requêtes ou des mesures particulières avant l’audition de la présente demande :

a)                  les dépens devront être taxés selon le milieu de la colonne IV du tarif B;

b)                  aucuns dépens ne sont recouvrables dans le cas des avocats internes, des assistants judiciaires, des étudiants et du personnel de soutien;

c)                  les dépens ne sont recouvrables que dans le cas des experts ayant fourni des affidavits ou des rapports ayant été déposés lors de l’instance (les « experts admissibles »);

d)                 le taux horaire des experts admissibles ne doit pas dépasser celui des avocats principaux;

e)                  les honoraires versés aux experts admissibles pour les heures n’ayant pas été consacrées à la préparation de leur propre affidavit/rapport ou de leur contre-interrogatoire ne sont recouvrables que s’il est établi qu’il était raisonnable et nécessaire d’offrir une assistance technique à l’avocat;

f)                   les honoraires d’avocat seront évalués de la manière suivante :

                                            i.                        un avocat principal et un avocat adjoint à l’audience;

                                          ii.                        un avocat principal et un avocat adjoint menant les contre-interrogatoires;

                                        iii.                        un avocat principal défendant lors des contre‑interrogatoires;

g)                  les frais de déplacement et de logement seront évalués sur la base des tarifs aériens en classe économique et du coût de chambres individuelles;

h)                  les coûts de photocopie seront évalués à raison de 0,25 $ par page, et le nombre de copies recouvrables sera limité à la quantité raisonnable et nécessaire.


COUR FÉDÉRALE

AVOCATS INSCRITS AU DOSSIER


DOSSIER :

T-1694-14

INTITULÉ :

GILEAD SCIENCES, INC. ET AL. c. LE MINISTRE DE LA SANTÉ ET APOTEX INC.

LIEU DE L’AUDIENCE :

Toronto (Ontario)

DATE DE L’AUDIENCE :

Les 11, 12, 13 et 14 avril 2016

JUGEMENT PUBLIC ET MOTIFS :

LE JUGE BROWN

DATE DES MOTIFS :

Le 23 août 2016

COMPARUTIONS :

Patrick Kierans

Brian Daley

Louisa Pontrelli

Brian J. Capogrosso

Nisha Anand

Pour les demanderesses

GILEAD SCIENCES, INC. et

GILEAD SCIENCES CANADA, INC.

- Néant -

POUR LE DÉFENDEUR

LE MINISTRE DE LA SANTÉ

Belle Van

Andrew Brodkin

Dino Clarizio

POUR LA DÉFENDERESSE

APOTEX INC.

AVOCATS INSCRITS AU DOSSIER :

Norton Rose Fulbright Canada S.E.N.C.R.L., s.r.l.

Avocats

Montréal (Québec)

Pour les demanderesses

GILEAD SCIENCES, INC. et

GILEAD SCIENCES CANADA, INC.

William F. Pentney

Sous-procureur général du Canada

Toronto (Ontario)

POUR LE DÉFENDEUR

LE MINISTRE DE LA SANTÉ

Goodmans LLP

Avocats

Toronto (Ontario)

POUR LA DÉFENDERESSE

APOTEX INC.

 

 Vous allez être redirigé vers la version la plus récente de la loi, qui peut ne pas être la version considérée au moment où le jugement a été rendu.