Décisions de la Cour fédérale

Informations sur la décision

Contenu de la décision

Date : 20170321

Dossier : T-1100-15

Référence : 2017 CF 296

[TRADUCTION FRANÇAISE]

Ottawa (Ontario), le 21 mars 2017

En présence de monsieur le juge Manson

ENTRE :

BRISTOL-MYERS SQUIBB CANADA et BRISTOL-MYERS SQUIBB HOLDING IRELAND

demanderesses

 

et

APOTEX INC. ET LE MINISTRE DE LA SANTÉ

défendeurs

 

JUGEMENT ET MOTIFS

I Introduction et questions en litige 3

A. Questions en litige 4

B. Fardeau de la preuve 6

C. Résultats 6

II Résumé des faits 7

A. La leucémie myéloïde chronique (LMC) 7

B. Le traitement de la LMC au début des années 2000 8

C. L’émergence de la résistance à la thérapie à l’imatinib 9

III Les témoins experts des demanderesses 9

A. Le docteur Talpaz 9

B. Le docteur Marc P. Wentland 11

C. Le docteur Joel Barrish 11

D. Le docteur Francis Lee 12

E. Le docteur William L. Jorgensen 12

IV Les témoins experts de la défenderesse 13

A. Le docteur B. Douglas Smith 13

B. Le docteur E. Smithgall 14

V Le brevet 932 15

A. Le brevet 15

B. La date pertinente 19

C. Les personnes moyennement versées dans l’art 20

D. Les connaissances générales courantes au 15 avril 1999 21

(1) Préparation et mise à l’essai des composés dans les brevets de BMS 21

VI Validité du brevet 932 22

A. L’utilité 22

(1) Le droit applicable 22

(2) Discussion 25

(a) L’AA 932 27

(b) La promesse du brevet 28

(c) La prédiction valable d’utilité 34

(3) Conclusion relative à l’utilité 38

B. Le caractère suffisant 39

(1) Le droit applicable 39

(2) Discussion 42

VII Le brevet 898 42

A. Le brevet 42

B. La date pertinente 45

C. La personne moyennement versée dans l’ART 45

D. Les connaissances générales courantes au 23 mars 2003 45

(1) PTK de la famille des Src et LMC résistante à l’imatinib 46

(2) Conclusion relative aux connaissances générales courantes 52

E. L’art antérieur 53

(1) La demande fondée sur le PCT no WO/2000/062778 (la demande 778) 53

(2) La demande WO 03/013540 (la demande 540) 55

(3) Donato et al., Blood, 101: 690-698, 2003 56

(4) Stanglmaier et al., Leukemia, 17: 283-290, 2003 57

(5) Golas et al., Cancer Research, 63: 375-381, 2003 57

(6) Warmuth et al., Blood, 101: 664-672, 2003 58

(7) Wilson et al., Oncogene, 21: 8075-8088, 2002 58

VIII Validité du brevet 898 59

A. L’évidence 59

(1) Le droit applicable 59

(2) Discussion 60

(a) Revendication 1 : le traitement de la LMC 62

(b) La revendication 3 : le traitement de la LMC résistante à l’imatinib 68

(3) Conclusion concernant l’évidence 74

B. Double brevet 76

(1) Le droit applicable 76

(2) Discussion 77

IX Dépens 81

I Introduction et questions en litige

[1] Les demanderesses dans la présente instance sont Bristol-Myers Squibb Canada (BMS-Canada) et Bristol-Myers Squibb Holdings Ireland (BMS-Ireland) (collectivement, les demanderesses). BMS-Canada est un fabricant canadien de produits pharmaceutiques qui distribue et vend, notamment, le produit pharmaceutique nommé SPRYCELMD. BMS-Canada est une première personne selon la définition du Règlement sur les médicaments brevetés (avis de conformité), DORS/93-133, aux paragraphes 2(1) et 4 (1) (le Règlement AC). BMS-Ireland est titulaire des brevets canadiens nos 2 366 932 (le brevet 932) et 2 519 898 (le brevet 898).

[2] Aux fins de la présente demande, les brevets 932 et 898 (appelés collectivement les brevets BMS) concernent généralement le composé dasatinib, et ils ont été inscrits au registre des brevets à l’égard de SPRYCELMD, aux termes de l’article 4 du Règlement AC.

[3] La défenderesse, Apotex Inc., (la défenderesse) est un fabricant de produits pharmaceutiques génériques. Elle a déposé une présentation abrégée de drogue nouvelle (PADN) auprès du ministre de la Santé (le ministre) demandant un avis de conformité (AC) à l’endroit de APO-Dasatinib, citant SPRYCELMD comme produit de référence canadien. Elle a signifié des avis d’allégation (AA) à l’égard du brevet 932 et du brevet 898 (l’AA 932 et l’AA 898, respectivement), le 26 mai 2015.

[4] Les demanderesses ont entamé la présente demande d’interdiction, le 2 juillet 2015, sollicitant des ordonnances interdisant au ministre de délivrer des avis de conformité à Apotex relatifs au produit APO-Dasatinib jusqu’à l’expiration des brevets 932 et 898.

A. Questions en litige

[5] Les questions à trancher sont décrites dans l’AA 932 et l’AA 898 en ces termes :

Le brevet 932 :

  1. Les revendications 1 à 6 et 8 à 43 sont-elles dépourvues de pertinence du fait qu’elles ne renferment pas de revendication à l’égard de l’ingrédient médicinal, de la formulation, de la forme posologique, ou de l’utilisation approuvée de l’ingrédient médicinal?
  2. L’APO-Dasatinib constitue-t-il une contrefaçon du brevet 932?
  3. Le brevet 932 est-il invalide parce que :
    1. le mémoire descriptif du brevet est déficient;
    2. les revendications sont ambiguës;
    3. les revendications 1, et 7 à 43 sont plus larges que toute invention réalisée ou divulguée; ou
    4. l’utilité promise de l’invention n’a été ni démontrée, ni valablement prédite à la date pertinente?

Le brevet 898 :

  1. Les revendications 2, 4 à 26, et 28 sont-elles dépourvues de pertinence du fait qu’elles ne renferment pas de revendication à l’égard de l’ingrédient médicinal, de la formulation, de la forme posologique, ou de l’utilisation de l’ingrédient médicinal?
  2. L’APO-Dasatinib constitue-t-il une contrefaçon du brevet 898?
  3. Le brevet 898 est-il invalide parce que :
    1. les revendications sont ambiguës;
    2. les revendications 4, 5, 9, et 10 portent sur des éléments irrecevables;
    3. les revendications 1 à 18 sont plus larges que toute invention réalisée ou divulguée;
    4. le mémoire descriptif du brevet est déficient;
    5. l’utilité promise de l’invention revendiquée n’a été ni démontrée ni valablement prédite à la date du dépôt;
    6. l’invention revendiquée était évidente ou allait de soi;
    7. chaque revendication est comprise dans le brevet 932 (double brevet);
    8. l’invention revendiquée est prévue dans la publication de la demande fondée sur le Traité de coopération en matière de brevets (PCT) no WO 2000/052778 (la demande 778);
    9. le brevet 898 ne satisfait pas aux critères d’un brevet de sélection?

[6] À l’audience, les questions à trancher ont été restreintes aux questions précises de validité suivantes portant sur trois revendications, lesquelles, selon les demanderesses, sont valides et font l’objet d’une contrefaçon.

  1. La revendication 27 du brevet 932 est-elle invalide parce que :

  1. l’utilité promise de l’invention n’a été ni démontrée, ni valablement prédite à la date pertinente;

  2. la divulgation est-elle insuffisante?

  1. La revendication 1 ou la revendication 3 du brevet 898 est-elle invalide parce que :

  1. l’invention revendiquée était évidente ou allait de soi;

  2. l’invention divulguée est comprise dans le brevet 932 (double brevet)?

B. Fardeau de la preuve

[7] Il incombe aux demanderesses de s’acquitter de leur fardeau ultime d’établir selon la prépondérance des probabilités que toutes les allégations d’invalidité soulevées ne sont pas justifiées (Abbott Laboratories c Canada (Ministre de la Santé), 2007 CAF 153, aux paragraphes 9 à 10; Hoffman-La Roche Ltd c Apotex Inc, 2013 CF 718, aux paragraphes 58 à 61).

C. Résultats

[8] Les résultats de la présente action sont présentés ci-dessous :

  • A L’allégation de la défenderesse selon laquelle la revendication 27 du brevet 932 est invalide est justifiée parce que les demanderesses n’ont pas :

    1. établi que l’utilité promise de l’invention n’a été ni démontrée, ni valablement prédite à la date pertinente.

L’allégation d’insuffisance n’est pas justifiée.

  • B L’allégation de la défenderesse selon laquelle les revendications 1 et 3 du brevet 898 sont invalides est justifiée parce que les demanderesses n’ont pas :

    1. démontré que l’invention n’allait pas de soi; et

    2. démontré que les revendications 1 et 3 n’étaient pas invalides pour cause de « double brevet ».

II Résumé des faits

A. La leucémie myéloïde chronique (LMC)

[9] La LMC est un cancer qui affecte le sang, et qui représente de 15 à 20 % des leucémies chez les adultes. Dans le cas de la LMC, il y a une surproduction de globules blancs et de blastes dérivés de la lignée myéloïde dans la moelle osseuse et dans le sang.

[10] La LMC est le résultat de la translocation entre les chromosomes 9 et 22, établissant ce qu’il est convenu d’appeler le « chromosome Philadelphie ». La translocation donne lieu à une forme mutée du gène, connue sous le nom de BCR-ABL, qui n’est pas présent dans des cellules normales. Le gène BCR-ABL produit la protéine tyrosine kinase (PTK) Bcr-Abl.

[11] Les PTK constituent un groupe important et diversifié de protéines au sein des cellules qui effectuent la phosphorylation des résidus de l’acide aminé tyrosine sur les autres protéines au sein d’une cellule. Les PTK sont regroupées en « familles » selon la similitude structurelle entre les protéines. Les structures des PTK au sein d’une même famille sont similaires, alors que les structures des PTK au sein d’une famille distincte peuvent être très différentes.

[12] La phosphorylation de la tyrosine est couramment associée à plusieurs fonctions cellulaires différentes, notamment la division cellulaire et la survie cellulaire. La division cellulaire et la survie cellulaire régulées sont deux facteurs importants de l’homéostasie du système hématopoïétique, et des PTK anormales, comme les Bcr-Abl, lesquelles envoient constamment des signaux incitant la croissance, la division et la survie des cellules, peuvent causer la maladie.

[13] En ce qui a trait à la LMC, le BCR-ABL signale de façon anormale aux cellules de LMC de produire un nombre trop important de globules blancs qui ne meurent pas au rythme normal. Au fil du temps, ces globules s’accumulent dans la moelle osseuse et occupent trop d’espace pour permettre la croissance de globules rouges sains.

[14] La LMC comporte trois phases : 1) la phase chronique initiale; 2) la phase accélérée; et 3) la phase terminale, au cours desquelles la LMC s’est transformée en leucémie aiguë.

B. Le traitement de la LMC au début des années 2000

[15] En 2000, les deux traitements standards de la LMC étaient l’interféron (alpha- INF) et l’hydroxyurée. Les deux traitements entraînaient des effets secondaires graves, et ni l’un ni l’autre ne pouvait mener à la guérison de la LMC, ce qui ne pouvait être réalisé qu’au moyen d’une greffe de cellules souches. À l’époque, il était bien connu que le Bcr-Abl était le facteur principal de la LMC.

[16] En 2001, un médicament appelé imatinib (également connu sous le nom de GLEEVECMD, et par la désignation STI571) a été approuvé par la Food and Drug Administration des États-Unis en ce qui a trait au traitement de la LMC. Il est entendu que l’imatinib inhibe l’activité du Bcr-Abl en se fixant au domaine kinase et en inhibant sa capacité à effectuer la phosphorylation des résidus de tyrosine, désactivant essentiellement son signal non régulé. Par conséquent, la prolifération des cellules cancéreuses de la LMC est freinée et celles-ci finissent par mourir. Cependant, à l’instar de l’interféron et de l’hydroxyurée, l’imatinib ne mène pas à la guérison de la LMC.

C. L’émergence de la résistance à la thérapie à l’imatinib

[17] En 1999-2000, il était établi que certains patients avaient développé une résistance au traitement à l’imatinib. Souvent, chez ces patients, il y a mutation du Bcr-Abl à l’endroit où se fixe l’imatinib. L’imatinib n’aurait aucune incidence sur les cellules qui subissent une telle mutation, et la prolifération de celles-ci se poursuivrait, et à la longue, leur nombre serait supérieur au nombre de cellules qui ne possèdent pas le Bcr-Abl ayant subi la mutation. D’autres mécanismes de résistance étaient également connus, comme l’amplification du gène Bcr-Abl, dont le traitement nécessitait une forte dose d’imatinib.

[18] Le développement de la LMC résistante à l’imatinib a révélé qu’en matière de traitement de la LMC, il fallait trouver des approches thérapeutiques supplémentaires ou alternatives, ou les deux.

III Les témoins experts des demanderesses

A. Le docteur Talpaz

[19] Le Dr Talpaz est le professeur titulaire de la chaire Alexander J. Trotman de la recherche sur la leucémie à la University of Michigan. Il est également directeur associé de la recherche translationnelle au centre anticancéreux de la University of Michigan et professeur de médecine interne au département de médecine de la University of Michigan.

[20] Le Dr Talpaz a obtenu un diplôme de docteur en médecine de l’école de médecine Hadassah de l’Université hébraïque de Jérusalem, en Israël. Il a terminé sa résidence à l’hôpital Kaplan, et a obtenu une bourse d’études en thérapeutique du développement et immunologie au centre anticancéreux MD Anderson, à la University of Texas. Il s’est joint au corps professoral du centre anticancéreux MD Anderson de la University of Texas en 1981, et est devenu par la suite professeur titulaire et directeur du département de bio-immunothérapie. En 2006, il s’est joint au corps professoral de l’Université du Michigan.

[21] Le Dr Talpaz est l’auteur, ou l’un des auteurs, de plus de 450 articles de revues et de chapitres de manuel de cours portant sur la LMC. Il est membre de l’American Society of Haematology et est titulaire d’un certificat de spécialiste en médecine interne et en oncologie médicale. Il est un expert dans le domaine des hémopathies malignes, comme la LMC.

[22] Entre 2003 et 2006, le Dr Talpaz était l’un des deux principaux chercheurs internationaux responsables des essais cliniques de la phase I du dasatinib pour le compte de la Bristol-Myers Squibb Company (BMS) (Charles Sawyers de l’Université de la Californie à Los Angeles était le deuxième chercheur principal). La défenderesse souligne que le Dr Talpaz a omis de révéler 1) le fait qu’il avait bénéficié d’un financement de BMS à divers moments entre 2003 et 2016; et 2) le fait qu’il siège actuellement à des conseils consultatifs spéciaux de BMS. J’estime que cette allégation n’a aucune conséquence sur la présente procédure.

[23] Le Dr Talpaz est un expert en LMC et en développement de thérapies relatives à la LMC et à la LMC résistante à l’imatinib.

B. Le docteur Marc P. Wentland

[24] Le Dr Wentland est un professeur émérite au département de chimie et de biologie chimique au Renssalaer Polytechnic Institute, à Troy, dans l’État de New York (institut Renssalaer). Avant de devenir professeur émérite, il était professeur titulaire à l’institut Renssalaer.

[25] Le Dr Wentland a obtenu un baccalauréat ès sciences en chimie de la Central Connecticut State University, en 1966; et un doctorat (Ph. D.) en chimie organique de la Rice University, en 1970. De 1970 à 1994, il était à l’emploi du Sterling-Winthrop Research Institute (laquelle fait maintenant partie de Sanofi S.A.), ainsi que l’institut Renssalear. Il est l’auteur de plus de 70 articles de recherche examinés par les pairs et de cinq critiques de livres ou de chapitres de manuels. Il est également l’inventeur de 32 brevets des États-Unis.

[26] Le Dr Wentland est un expert en chimie médicale, surtout dans le domaine des relations structure-activité et de la caractérisation des composés thérapeutiques.

C. Le docteur Joel Barrish

[27] Le Dr Barrish est le vice-président en chimie de découverte chez BMS. Il est l’un des inventeurs désignés dans les brevets 932 et 898.

[28] Le Dr Barrish a obtenu un baccalauréat en chimie de la University of Pennsylvania, en 1979; et un doctorat (Ph. D.) en chimie organique de la Columbia University, en janvier 1983. Avant de se joindre à BMS, en 1988, il a travaillé comme scientifique chevronné chez Hoffman-Laroche. Durant son séjour chez BMS, il a dirigé des équipes sous lesquelles plus de 20 composés ont atteint l’étape du développement clinique, y compris SPRYCELMD.

[29] Le Dr Barrish est un expert en développement de médicaments chez BMS.

D. Le docteur Francis Lee

[30] Le Dr Lee est le directeur de la pharmacologie relative aux tumeurs et des thérapeutiques expérimentales chez BMS. Il est l’un des inventeurs désignés du brevet 898.

[31] Le Dr Lee a obtenu un baccalauréat ès sciences en pharmacologie de la University of Leeds, en 1980; une maîtrise ès sciences (en radiobiologie) de la University of London, en 1981; et un doctorat (Ph. D.) de l’unité d’oncologie clinique et de radiothérapie du conseil de recherche médicale de la University of Cambridge, en 1985. Il a obtenu une bourse postdoctorale du centre anticancéreux de la University of Rochester, en 1987, et est devenu professeur adjoint à cette université. En 1992, le Dr Lee a commencé à travailler comme chercheur chez BMS.

[32] Le Dr Lee est un expert en développement de médicaments chez BMS.

E. Le docteur William L. Jorgensen

[33] Le Dr Jorgensen est un professeur titulaire de la chaire Sterling de la Yale University et il bénéficie de subventions accordées à des professeurs.

[34] Il a obtenu un B.A. en chimie de la Princeton University, en 1970; ainsi qu’un Ph. D. en physique chimique de la Harvard University, en 1975. Avant d’accepter son poste à Yale, en 1990, il était professeur au département de chimie de la Purdue University.

[35] Le Dr Jorgensen a été l’éditeur de plusieurs revues scientifiques. Il a publié plus de 400 articles évalués par les pairs. Il a reçu de nombreuses distinctions reconnaissant ses contributions dans le domaine de la chimie, plus particulièrement en chimie computationnelle.

[36] Le Dr Jorgensen est un expert dans l’élaboration et la mise en œuvre d’outils computationnels favorisant les découvertes de médicaments.

IV Les témoins experts de la défenderesse

A. Le docteur B. Douglas Smith

[37] Le Dr Smith est un professeur d’oncologie à l’école de médecine de la Johns Hopkins University, et est un membre actif du personnel du Sidney Kimmel Comprehensive Cancer Center à Johns Hopkins.

[38] Le Dr Smith a obtenu un B.A. en biologie du Lafayette College, en 1987 et un diplôme de docteur en médecine du Medical College of Pennsylvania, en 1992. Il a terminé un stage et une résidence en médecine à l’hôpital Memorial de Rochester, dans l’État de New York, entre 1992 et 1994. Il a été résident en chef en médecine à l’hôpital Strong Memorial en 1994-1995 et il a obtenu une bourse de recherche en oncologie de la Johns Hopkins University, en 1998. Depuis qu’il a obtenu sa bourse en oncologie, il a enseigné et travaillé à la Johns Hopkins University.

[39] Le Dr Smith a publié plus de 120 articles évalués par les pairs, et il a rédigé plus de 40 chapitres de livres ou d’éditoriaux. Il a été reconnu pour son enseignement, et il est membre de nombreux ordres professionnels.

[40] Le Dr Smith est un expert du traitement des patients atteints d’hémopathies malignes, et du traitement de patients atteints de leucémie myéloblastique aiguë, de la LMC, et du syndrome myélodysplastique.

B. Le docteur E. Smithgall

[41] Le Dr Smithgall est le professeur titulaire de la chaire William S. McEllroy et directeur du département de microbiologie et de génétique moléculaire à l’école de médecine de la University of Pittsburgh.

[42] Le Dr Smithgall a obtenu un baccalauréat en biochimie, en 1981; et un doctorat en pharmacologie de l’école de médecine de la University of Pittsburgh, en 1986. De 1986 à 1990, il a terminé une formation postdoctorale, d’abord, au département de pharmacologie, de l’école de médecine de la University of Pennsylvania et, par la suite, au laboratoire de chimie biologique du National Cancer Institute, National Institutes of Health. Avant de se joindre au corps professoral de l’école de médecine de la University of Pittsburgh, en 1998, il a été professeur adjoint à l’école de médecine de la Georgetown University, et par la suite à la University of Nebraska Medical Center.

[43] Le Dr Smithgall a publié plus de 130 articles examinés par les pairs et a rédigé 21 critiques ou chapitres de manuel. Il est un des inventeurs désignés de deux brevets américains, d’un brevet américain provisoire, et d’une demande fondée sur le PCT. Il est reconnu pour ses recherches, et il est membre de plusieurs sociétés professionnelles et scientifiques.

[44] Le Dr Smithgall est un expert en matière de structure et de fonction PTK, plus particulièrement en ce qui a trait à la famille des Src des PTK.

V Le brevet 932

A. Le brevet

[45] Le brevet 932 est une demande fondée sur le Traité de coopération en matière de brevets (PCT) intitulée « Inhibiteurs cycliques de la tyrosine kinase » dont la date de dépôt de demande internationale est le 12 avril 2000; la date de publication est le 26 octobre 2000; la date de son émission est le 25 août 2009. La date de priorité du brevet américain est le 15 avril 1999, et l’inscription nationale au Canada a eu lieu le 9 octobre 2001.

[46] Le brevet 932 concerne les composés cycliques et les sels de ces derniers, les méthodes relatives à l’utilisation de tels composés dans le traitement de troubles associés à la tyrosine kinase, comme les troubles immunologiques et oncologiques, et aux compositions pharmaceutiques contenant de tels composés.

[47] Dans le contexte de l’invention, il est indiqué ce qui suit

[traduction]

L’accroissement de l’activité des PTK était en cause dans diverses maladies à évolution chronique malignes et bénignes. De plus, les PTK jouent un rôle central dans le réglage des cellules du système immunitaire. Les inhibiteurs PTK peuvent avoir une incidence sur une grande diversité de troubles oncologiques et immunologiques. De tels troubles peuvent être améliorés au moyen d’une inhibition sélective d’une certaine PTK réceptrice ou non réceptrice, comme la Lck, ou en raison de l’homologie au sein des classes de PTK, par l’inhibition de plus d’une PTK par un inhibiteur.

[48] Dans le résumé de l’invention, il est indiqué ce qui suit

[traduction]

La présente invention est constituée de composés cycliques de la formule I présentée ci-dessous et des sels de ces derniers, aux fins d’utilisation comme inhibiteurs de la tyrosine kinase

où Q, Z, X1, X2, R1, R2, R3, R4, et R5 sont décrits en détail aux pages 3 à 8 du mémoire descriptif.

[49] Le brevet 932 décrit les exemples A jusqu’à E, et I jusqu’à XI, en ce qui a trait à la préparation des composés de formule I, et indique que [traduction] « les solvants, les températures, les pressions, et autres conditions de réaction peuvent facilement être choisis par une personne moyennement versée dans l’art ».

[50] Le brevet 932 contient une longue section d’utilité, qui est rédigée en partie ainsi :

[traduction]

Les composés de la présente invention sont des inhibiteurs de la tyrosine kinase, plus précisément les kinases de la famille des Src comme Lck, Fyn, Lyn, Src, Yes, Hck, Fgr, et Blk, et sont donc utiles dans le traitement, notamment la prévention et la thérapie, de troubles associés à la tyrosine kinase, comme les troubles immunologiques et oncologiques. Ces composés inhibent également la tyrosine kinase réceptrice, notamment, l’HER1 et l’HER2 et ils sont, par conséquent, utiles dans le traitement de troubles à évolution chronique comme le psoriasis et le cancer. La capacité de ces composés à inhiber l’HER1 et d’autres kinases réceptrices permettront également de les utiliser comme agents anti-angiogéniques pouvant servir à traiter des troubles comme le cancer et la rétinopathie diabétique. Les « troubles associés à la tyrosine kinase » sont ceux qui sont le résultat de l’activité anormale de la tyrosine kinase, et qui sont atténués par l’inhibition d’une ou de plusieurs enzymes.

[…]

L’utilisation des composés de la présente invention dans le traitement de troubles associés à la tyrosine kinase est illustrée, notamment, par le traitement d’une gamme de troubles comme : [une liste d’au moins 30 troubles, y compris le rejet d’un greffon; les maladies d’hypersensibilité causées par les lymphocytes T; la maladie d’Addison; et] les cancers, notamment les cancers où les kinases Lck ou d’autres kinases de la famille des Src sont activés ou amplifiés, comme une tumeur maligne et un thymone du colon, et les cancers où l’activité des kinases de la famille des Src favorise la croissance ou la survie d’une tumeur […]

Les composés de la formule I peuvent être administrés au moyen de toute méthode appropriée, soit à titre d’exemple, oralement, sous la forme de comprimés, capsules, granulés ou de poudre; en prise sublinguale; par voie buccale; par injection […]

Les composés de la présente invention peuvent être employés seuls ou en combinaison ou avec d’autres agents thérapeutiques appropriés et utiles dans le traitement de troubles associés à la tyrosine kinase, comme les inhibiteurs PTK autres que ceux visés par la présente invention, les anti-inflammatoires, les agents défavorables à l’évolution chronique, les immunodépresseurs, les agents anticancéreux et les agents cytotoxiques.

[…]

[51] Le brevet 932 présente cinq épreuves biologiques qui ont servi à tester les composés énumérés dans les demandes : 1) l’épreuve des enzymes utilisant Lck, Fyn, Lyn, Hck, Fgr, Src, Blk, ou Yes; 2) l’épreuve des enzymes utilisant HER1 ou HER2; 3) l’épreuve de la phosphorylation cellulaire de la tyrosine; 4) l’épreuve des cellules de calcium; et 5) les épreuves de la prolifération cellulaire. Il renferme également une liste de 580 composés exemplaires qui peuvent être créés à partir de la formule I. Cependant, il ne reste aucune liste de composés déterminés qui ont été testés en utilisant chacun des essais, ni aucune donnée en découlant.

[52] Il y a 43 revendications pour le brevet 932. Les parties ont convenu que seule la revendication indépendante 27 est visée dans la présente action.

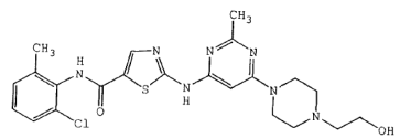
[53] La revendication 27 décrit ce qui suit :

[traduction]

Le composé

ou le sel de ce dernier.

[54] La revendication 35 comporte la même formule chimique divulguée dans la revendication 27, et il y est indiqué ce qui suit :

[traduction]

L’utilisation d’un composé ou des sels de ce dernier pour le traitement du cancer […]

[55] Les revendications 36 à 43 dépendent de la revendication 35, et les revendications 37 à 43 révèlent l’utilisation du composé chimique dans la revendication 35 en ce qui a trait au traitement du cancer de l’estomac, du cancer du sein, d’une tumeur maligne du côlon, du cancer colorectal, du cancer du poumon, du cancer bronchopulmonaire « non à petites cellules » et du cancer de l’ovaire.

B. La date pertinente

[56] La date pertinente pour évaluer si la communication était suffisante et si l’utilité avait été démontrée est la date de la revendication du brevet, laquelle, en l’espèce, est la date d’antériorité : le 15 avril 1999.

C. Les personnes moyennement versées dans l’art

[57] Les experts s’entendaient en général sur l’identité des personnes moyennement versées dans l’art en ce qui a trait aux brevets 932 et 898. Ils ont indiqué qu’il ne serait pas question d’une personne moyennement versée dans l’art représentée par une seule personne, mais qu’il s’agirait plutôt d’une équipe de personnes qualifiées, possédant les compétences requises pour lire et comprendre les brevets BMS.

[58] Le Dr Talpaz a indiqué que l’équipe compétente indépendante serait collectivement versée dans les domaines de la chimie thérapeutique, de la biochimie, de la pharmacologie, de la biologie, ainsi que de la médecine clinique. À son avis, l’équipe compétente serait notamment formée de médecins spécialistes ou ayant suivi une formation ou possédant de l’expérience eu égard à chacune des maladies visées dans les revendications.

[59] Le Dr Wentland devait présumer que les personnes moyennement versées dans l’art possédaient les particularités suivantes : être chimiste thérapeutique titulaire d’un diplôme d’études supérieures en chimie thérapeutique ou spécialiste de la chimie organique de synthèse, posséder de l’expérience en pharmacologie et en biochimie; qui travaille avec quelqu’un qui possède un diplôme d’études supérieures en biologie moléculaire ou en médecine, ayant suivi la formation et acquis de l’expérience dans le domaine de la transduction de signal cellulaire.

[60] De l’avis du Dr Smith, les destinataires qualifiés dont il est question formeraient une équipe constituée, notamment, de chimistes, qui produiraient les composés et les formules décrits au brevet; de biochimistes chevronnés en matière d’essais liés aux kinases; de pharmacologues, qui participeraient à l’évaluation des propriétés des composés; et de cliniciens qui participeraient à l’étude de leur utilisation dans le traitement des situations indiquées. Les biochimistes et les pharmacologues au sein de l’équipe auraient des antécédents ou de l’expérience en oncologie, de préférence en matière de LMC. Les cliniciens auraient reçu une formation spécialisée en oncologie, et possèderaient de l’expérience dans le traitement de cancers du sang, comme la LMC et d’autres formes de leucémie.

[61] Le Dr Smithgall était fondamentalement d’accord avec la définition de personne moyennement versée dans l’art avancée par le Dr Smith, ajoutant que les membres de l’équipe qui ne sont pas des cliniciens devraient avoir suivi une formation de haut niveau, vraisemblablement, de niveau doctoral et postdoctoral; Ils possèderaient également de l’expérience en ce qui a trait aux maladies visées par les brevets de BMS.

[62] Après avoir examiné la preuve dont est saisie la Cour, je conclus qu’en ce qui a trait aux brevets de BMS, les personnes moyennement versées dans l’art seraient une équipe de personnes compétentes – qui ont toutes une formation de deuxième cycle (p. ex., formation au niveau du doctorat et du postdoctorat); ou un doctorat en médecine, et spécialistes en oncologie ou en LMC – notamment, des chimistes, des biochimistes, des pharmacologues et des cliniciens.

D. Les connaissances générales courantes au 15 avril 1999

1) Préparation et mise à l’essai des composés dans les brevets de BMS

[63] Il était prévu dans les brevets de BMS que les personnes moyennement versées dans l’art seraient en mesure de sélectionner les solvants, les températures, les pressions, et autres conditions de réaction pour préparer les composés de la formule I. De plus, tous les experts s’entendaient pour dire que les personnes moyennement versées dans l’art sauraient comment effectuer des tests en vue d’une analyse du taux de dilution homéopathique des petits composés moléculaires contre les PTK. Ils s’entendaient également pour dire que les personnes moyennement versées dans l’art seraient en mesure d’exécuter ces épreuves dans un format hyperdense, et ainsi permettre la mise à l’essai de plusieurs composés, concentrations de composés, ou cibles d’enzyme simultanément.

VI Validité du brevet 932

A. L’utilité

1) Le droit applicable

[64] Une « invention » telle que définie à l’article 2 de la Loi sur les brevets, est « [t]oute réalisation, tout procédé, toute machine, fabrication ou composition de matières, ainsi que tout perfectionnement de l’un d’eux présentant le caractère de la “nouveauté et de l’utilité” ». Le Juge Binnie, dans l’arrêt Apotex Inc. c Wellcome Foundation Ltd., 2002 CSC 77, au paragraphe 46, [Wellcome AZT], a indiqué que l’inventeur doit « établir, au moyen d’une démonstration ou d’une prédiction valable, l’utilité de l’invention au moment de la demande de brevet ». Si le brevet est par la suite contesté et qu’il est conclu que « la prédiction n’était pas valable à la date de la demande ou si, indépendamment du caractère valable de la prédiction, “s’il y avait une preuve de l’inutilité d’une partie du domaine visé” », alors il sera conclu que le brevet est invalide (Wellcome AZT, précité, au paragraphe 56).

[65] La règle de la « prédiction valable » repose sur la prémisse établissant un équilibre entre l’intérêt public à ce que les inventions nouvelles et utiles soient divulguées rapidement, même avant qu’on en ait vérifié l’utilité par des essais, et l’intérêt public qu’il y a à éviter d’encombrer le domaine public de brevets inutiles et de consentir un monopole pour une désinformation (Wellcome AZT, au paragraphe 66). La population a droit à un enseignement solide et utile en contrepartie des droits conférés par un brevet à un inventeur (Wellcome AZT, aux paragraphes 69 et 83). Par conséquent, une prédiction valable n’est ni du domaine de la spéculation ni de celui de la conjecture, même si elle finissait par être confirmée (Wellcome AZT, au paragraphe 84).

[66] Le niveau de divulgation requis aux termes de la règle de la prédiction valable doit être apprécié en fonction des connaissances dont une personne moyennement versée dans l’art aurait pour étayer cette prédiction et aussi en fonction de la compréhension que cette personne moyennement versée dans l’art se ferait du raisonnement logique conduisant à établir l’utilité de l’invention (Bell Helicopter Textron Canada Limitée c Eurocopter, société par actions simplifiée, 2013 CAF 219, au paragraphe 152 [Eurocopter]). Lorsque la prédiction valable « repose sur des données qui ne font pas partie des connaissances générales courantes, il se peut fort bien que la divulgation dans le mémoire descriptif soit exigée pour étayer une prédiction valable » (Eurocopter, précité, au paragraphe 153).

[67] La prévisibilité d’un résultat donné dépendra de la preuve, et le caractère valable de la prédiction est une question de fait (Wellcome AZT, au paragraphe 71). Finalement, dans l’arrêt Wellcome AZT, au paragraphe 70, le juge Binnie a établi trois exigences pour s’assurer d’une prédiction valable :

  • 1) [...] La prédiction doit avoir un fondement factuel.

  • 2) [À] la date de la demande de brevet, l’inventeur doit avoir un raisonnement clair et « valable » qui permette d’inférer du fondement factuel le résultat souhaité.

  • 3) [I]l doit y avoir divulgation suffisante. En général, il n’est pas nécessaire que l’inventeur fournisse une explication théorique de la raison pour laquelle l’invention fonctionne.

[68] Une prédiction valable exige une inférence prima facie raisonnable de l’utilité (Eli Lilly Canada Inc c Novopharm Limited, 2010 CAF 197, au paragraphe 85). Il incombe à l’inventeur de s’acquitter de l’obligation de divulguer le fondement factuel et le raisonnement, lesquels permettent de relier le fondement factuel du brevet et son utilité prédite, dans le mémoire descriptif du brevet, puisque c’est lui ou elle qui bénéficiera du monopole (Apotex Inc c Pfizer Canada Inc, 2011 CAF 236, aux paragraphes 44 et 52).

[69] Il n’est pas nécessaire que l’inventeur explique l’utilité de son invention dans le brevet, mais s’il le fait, il est tenu de respecter sa promesse (Sanofi-Aventis c Apotex Inc, 2013 CAF 186, au paragraphe 48 [Sanofi Plavix]). Si l’inventeur ne promet pas explicitement de résultats précis, le critère relatif à l’utilité est celui de la « moindre parcelle » d’utilité, par contre, s’il promet explicitement un résultat précis, l’utilité sera évaluée suivant les termes de cette promesse explicite (Sanofi Plavix, précité, au paragraphe 49). Un inventeur peut néanmoins promettre plus que ce qu’exige la Loi sur les brevets, et rendre ainsi invalide son brevet qui serait par ailleurs valide (Sanofi Plavix, au paragraphe 54).

[70] La question de savoir si le brevet contient une promesse explicite en est une d’interprétation par la Cour (Sanofi Plavix, au paragraphe 50). Pour établir le contenu d’une promesse, la Cour ne doit pas fonder son opinion sur l’inférence, elle doit plutôt être à la recherche d’une promesse claire et sans équivoque dans le libellé explicite du mémoire descriptif (Sanofi Plavix, au paragraphe 66; Eli Lilly Canada Inc. c Corporation de soins de la santé Hospira, 2016 CF 47, au paragraphe 41). Lorsqu’il sera raisonnable de comprendre que le brevet ne contient pas une telle promesse, le brevet sera interprété en faveur du titulaire du brevet (Apotex Inc c Pfizer Canada Inc, 2014 CAF 250, aux paragraphes 66 à 67).

[71] Pour conclure, il est bien établi en droit que certaines promesses peuvent être interprétées comme imposant des exigences générales en matière d’utilité à chacune des revendications d’un brevet, tandis que d’autres promesses peuvent viser uniquement un sous-ensemble de revendications, et que l’absence d’utilité doit être évaluée une revendication à la fois (Astrazeneca Canada Inc c Apotex Inc, 2015 CAF 158, aux paragraphes 4 à 5).

2) Discussion

[72] Les demanderesses soutiennent qu’il n’existe aucune promesse explicite dans le brevet 932 et que, par conséquent, la norme à appliquer pour établir l’utilité est celle de la « moindre parcelle » d’utilité. Elles soutiennent que l’utilité relative au brevet 932 se limite simplement à dire que les composés divulgués sont les inhibiteurs PTK. Elles soutiennent en outre qu’il y a absence de promesse non équivoque voulant que tous les composés, notamment, le dasatinib, inhibent les PTK de la famille des Src et les PTK réceptrices, y compris l’HER1 et l’HER2.

[73] Pour interpréter équitablement le brevet 932, selon les demanderesses, il faudrait ne pas accepter l’existence d’une promesse générale d’utilité thérapeutique s’appliquant à la revendication 27. Elles soutiennent que toute utilité thérapeutique touche uniquement aux réalisations précises de l’invention, lesquelles sont liées aux revendications particulières divulguant l’usage pour le traitement d’une maladie (p. ex., les revendications 35 à 43).

[74] Les demanderesses soutiennent également que le défendeur ne peut se fier sur le témoignage du Dr Smithgall parce que l’approche interprétative de ce dernier en vue d’établir l’existence ou non d’une promesse était viciée. Plus précisément, elles indiquent que le Dr Smithgall avait eu la directive d’aborder toutes les affirmations contenues dans le brevet comme des promesses, et de ne pas prendre compte des revendications lorsqu’il établissait quelles promesses avaient été faites.

[75] Les demanderesses indiquent que l’utilité relative au brevet 27 a été démontrée (p. ex., le dasatinib) à la date de dépôt du brevet 932, parce qu’il a été démontré que le dasatinib inhibait la Lck et la Yes des PTK. Qui plus est, advenant l’existence d’une promesse explicite voulant que le dasatinib inhibe les PTK de la famille des Src et l’HER1 ou l’HER2, ou les deux, ce qu’elles nient, par ailleurs elles soutiennent que l’inhibition de l’HER1 et l’HER2 a valablement été prédite à la date de dépôt sur le fondement des similitudes structurelles des inhibiteurs.

[76] Enfin, les demanderesses font valoir que la défenderesse ne peut plus revenir sur la position prise dans l’AA 932 selon laquelle la personne versée dans l’art [traduction] « ne saurait pas si chacun des composés individuels de l’invention était visé par la promesse selon laquelle ils étaient des inhibiteurs de tous les PTK ou de certains PTK précis […], de tous les troubles associés aux PTK ou à seulement certains troubles associés aux PTK ». C’est-à-dire, que puisque le demandeur concède dans l’AA 932 que la personne moyennement versée dans l’art ne saurait pas ce qui est visé par la promesse, il ne peut y avoir de promesse explicite.

a) L’AA 932

[77] La question de savoir s’il existe une promesse dans le brevet est une question d’interprétation par la Cour. Cependant, le processus relatif à l’avis de conformité (AC) est tel que l’AA doit soulever toutes les observations de nature juridique ou factuelle sur lesquelles la partie qui rédige l’AA s’appuiera, et introduira par la suite de nouveaux éléments factuels, et de nouvelles observations sont inappropriées (Bayer Inc c Cobalt Pharmaceuticals Co, 2013 CF 1061, au paragraphe 37, conf. par 2015 CAF 116; Aventis Pharma Inc c Mayne Pharma (Canada Inc), 2005 CAF 50, au paragraphe 25).

[78] La défenderesse rejette l’affirmation selon laquelle, en raison de l’AA 932, il ne lui est pas permis de défendre la position voulant que le brevet 932 contienne une promesse explicite d’utilité du brevet fondée sur le passage de l’AA 932 sur lequel s’étaient fiées les demanderesses et que ledit passage devrait être interprété dans le contexte d’un argument « à titre subsidiaire ».

[79] La défenderesse indique qu’il est clairement précisé dans l’AA 932 qu’elle a allégué, en ce qui a trait au résultat du composé divulgué dans la revendication 27 du brevet 932, que les inventeurs avaient fait les affirmations sans équivoque ci-dessous :

  • 1) [traduction] inhibe les PTK, plus précisément les kinases de la famille des Src, et est ainsi utile dans le traitement, notamment, la prévention et la thérapie, de troubles associés à la PTK comme les troubles immunologiques et oncologiques; et

  • 2) inhibe également la tyrosine kinase réceptrice, notamment, l’HER1 et l’HER2 et il est, par conséquent, utile dans le traitement de troubles à évolution chronique comme le psoriasis et le cancer.

[80] Je suis d’accord. Le passage de la page 56 de l’AA 932 sur lequel se sont appuyées les demanderesses démontre que la défenderesse soulève un argument subsidiaire, lequel fait valoir que la Cour a accepté leurs arguments de l’imprécision et de l’ambiguïté (qui n’étaient plus des questions en litige au moment où l’appel a été entendu) :

[traduction]

Pour les raisons mentionnées ci-dessus eu égard à l’imprécision et à l’ambiguïté, la personne versée dans l’art qui interprète le brevet 932 ne saurait pas si chacun des composés individuels de l’invention était visé par la promesse selon laquelle ils étaient des inhibiteurs de tous les PTK ou de certains PTK précis. De même, la personne versée dans l’art qui interprète le brevet 932 ne saurait pas si chacun des composés individuels de l’invention était visé par la promesse selon laquelle ils étaient des inhibiteurs de tous les troubles associés aux PTK ou de seulement certains troubles associés aux PTK. Comme il a été mentionné ci-dessus, si l’intention des inventeurs avait été que chaque composé de l’invention visé par la promesse soit d’inhiber une seule PTK ou un seul groupe de PTK, ou d’être utile dans le traitement d’un seul trouble associé à la PTK ou d’un groupe de troubles associés à la PTK, ces renseignements n’ont pas été communiqués dans le brevet 932.

b) La promesse du brevet

[81] Les demanderesses soutiennent qu’il n’existe aucune promesse générale selon laquelle les composés inhibent toutes les PTK et toute la tyrosine kinase réceptrice parce qu’une personne moyennement versée dans l’art estimerait qu’une telle conclusion serait scientifiquement absurde. De même, elles soutiennent qu’il n’existe aucune promesse selon laquelle les composés inhibent certaines PTK non réceptrices (p. ex., la famille Src) et certaines tyrosines kinases réceptrices (p. ex., HER1 et HER2). Les demanderesses soutiennent également qu’étant donné que le brevet 932 comporte des revendications qui sont séparées en revendications visant les composés, en revendications d’utilisation et en revendications visant les compositions pharmaceutiques, il ne peut y avoir de promesse générale d’utilité thérapeutique. En outre, elles soutiennent que [traduction] « la possibilité que les composés aient une utilité thérapeutique est divulguée explicitement dans le brevet 932 où celle-ci est qualifiée d’accessoire à leur utilité en tant qu’inhibiteurs de PTK ».

[82] Dans l’AA 932, la défenderesse indique que l’utilité promise de l’objet de la revendication visée par le brevet 932 pourrait être interprétée de manière à inclure l’utilisation thérapeutique (AA 932, au paragraphe 54) :

[traduction]

[…] que les composés de l’invention sont des inhibiteurs de PTK, et que puisqu’ils sont des inhibiteurs de PTK, les composés de l’invention seront utiles au traitement de troubles associés à la PTK comme les troubles immunologiques et oncologiques.

[…] la capacité des composés de l’invention à inhiber la tyrosine kinase, notamment, l’HER1 et l’HER2 et, par conséquent, être utiles dans le traitement de troubles à évolution chronique comme le psoriasis et le cancer, et, eu égard à la capacité du composé à inhiber l’HER1, à être utile dans le traitement de troubles angiogéniques comme le cancer et la rétinopathie diabétique.

[83] Contrairement aux prétentions des demanderesses, le mémoire descriptif renvoie clairement à des éléments étayant l’opinion selon laquelle il existe une promesse générale d’utilité : le domaine de l’invention, et la section de l’utilité.

[84] Dans le résumé de l’invention, il est indiqué ce qui suit :

[traduction]

La présente invention concerne les composés cycliques et les sels de ces derniers, les méthodes relatives à l’utilisation de tels composés dans le traitement de troubles associés à la tyrosine kinase, comme les troubles immunologiques et oncologiques, et aux compositions pharmaceutiques contenant de tels composés.

[85] La section de l’utilité contient les déclarations présentées ci-dessous :

[traduction]

Les composés de la présente invention sont des inhibiteurs de la tyrosine kinase, plus précisément les kinases de la famille des Src comme Lck, Fyn, Lyn, Src, Yes, Hck, Fgr, et Blk, et sont donc utiles dans le traitement, notamment la prévention et la thérapie, de troubles associés à la tyrosine kinase, comme les troubles immunologiques et oncologiques.

Ces composés inhibent également la tyrosine kinase réceptrice, notamment, l’HER1 et l’HER2 et ils sont, par conséquent, utiles dans le traitement de troubles à évolution chronique comme le psoriasis et le cancer. La capacité de ces composés à inhiber l’HER1 et d’autres kinases réceptrices permettront également de les utiliser comme agents anti-angiogéniques pouvant servir à traiter des troubles comme le cancer et la rétinopathie diabétique.

[…]

La présente invention offre donc des méthodes relatives au traitement de troubles associés à la tyrosine kinase, qui consistent en l’étape de l’administration à une personne qui nécessite au moins un composé de formule I en quantité efficace pour celle-ci.

[…]

L’utilisation des composés de la présente invention dans le traitement de troubles associés à la tyrosine kinase, est illustrée, sans s’y limiter, par le traitement d’une gamme de troubles comme : [une liste de troubles, y compris les cancers lorsque les kinases de la famille des Src sont activées ou amplifiées].

[…]

Dans une réalisation particulière, les composés de la présente invention sont utiles pour le traitement des troubles mentionnés en exemple ci-dessus, indépendamment de leur étiologie […]

[86] Le Dr Smithgall a déclaré que la compréhension qu’une personne moyennement versée dans l’art se ferait de la promesse générale du brevet 932 consisterait à dire 1) qu’il s’agit d’inhibiteurs de la tyrosine kinase, plus précisément des kinases de la famille des Src; 2) qu’il s’agit d’inhibiteurs de la tyrosine kinase réceptrice, notamment, l’HER1 et l’HER2; et 3) qu’ils sont utiles pour traiter les troubles associés à la tyrosine kinase, ou utiles comme agents anti-angiogéniques.

[87] En contre-interrogatoire, le Dr Smithgall a avoué n’avoir reçu aucune directive quant à l’interprétation à donner au brevet 932 et au moyen d’évaluer légalement l’utilité. Les demanderesses soutiennent que le témoignage du Dr Smithgall n’est pas fiable. La défenderesse soutient que, bien que ses directives au Dr Smithgall concernant le droit portant sur l’utilité n’aient pas été complètes, elle lui avait demandé d’établir si le brevet 932 avait fait des [traduction] « affirmations explicites et sans équivoque (p. ex., des promesses) quant aux résultats de l’action des composés des revendications 7 et 27 ». L’opinion du Dr Smithgall relative à la promesse du brevet est demeurée constante tout au long du contre-interrogatoire.

[88] Selon l’opinion exprimée par le Dr Jorgensen, l’interprétation de la promesse par le Dr Smithgall était inexacte, parce que la personne moyennement versée dans l’art estimerait qu’il était scientifiquement absurde de croire qu’un composé inhiberait toutes les PTK et les inhibiteurs de la tyrosine kinase réceptrice. Il indique que suivant l’interprétation du brevet 932 par la personne moyennement versée dans l’art, celle-ci conclurait que le composé inhibant au moins une PTK ou une tyrosine kinas réceptrice était le seul résultat attendu. Le Dr Smithgall a convenu que la personne moyennement versée dans l’art ne s’attendrait pas à ce que chaque composé inhibe toutes les PTK. Néanmoins, il a soutenu que selon son interprétation de la promesse, chaque composé inhiberait les PTK de la famille des Src et l’HER1 ou l’HER2, et une personne moyennement versée dans l’art estimerait que cette promesse était scientifiquement raisonnable.

[89] Le Dr Jorgensen a également déclaré que, puisque les essais divulgués dans le brevet 932 se limitent aux essais in vitro, l’utilité thérapeutique ne fait pas l’objet d’une promesse. De plus, il s’est penché principalement sur les déclarations contenant les mots [traduction] « en cause » et [traduction] « peut » dans l’historique de l’invention, suggérant que selon l’interprétation par la personne fictive versée dans l’art, l’utilisation thérapeutique faisait l’objet d’une promesse générale en raison de ces déclarations.

[90] Toutefois, la compréhension par le Dr Jorgensen des indications découlant des essais ne concorde pas avec la réalité selon laquelle la preuve de l’utilité n’a pas à être divulguée dans le brevet. Réagissant à une affirmation semblable dans la décision Astrazeneca Canada Inc c Apotex, 2014 CF 638, aux paragraphes 127 à 130, le juge Donald Rennie a déclaré que ce type d’approche à l’égard de la promesse du brevet, reflétée par le raisonnement du Dr Jorgensen, est tautologique, irait à l’encontre des objectifs du droit des brevets, et aurait pour effet pervers d’encourager les brevetés à « surpromettre ». Je suis du même avis.

[91] Qui plus est, l’attention particulière accordée par le Dr Jorgensen aux énoncés de l’historique de l’invention indique qu’il n’a pas pris en compte l’ensemble du mémoire descriptif lors de son examen de la promesse de l’invention. En contre-interrogatoire, le Dr Jorgensen a expliqué qu’il estimait que les personnes qui préparaient les brevets au début des années 2000 employaient couramment des formulations comme [traduction] « sont par conséquent utiles » pour indiquer [traduction] « qu’on espérait que ces composés s’avèrent utiles dans le traitement d’une maladie ». Par conséquent, je préfère le témoignage du Dr Smithgall et je conviens que son interprétation en ce qui a trait aux récepteurs qu’un composé quelconque inhiberait est raisonnable considérant le texte du mémoire descriptif.

[92] De plus, selon mon interprétation de l’ensemble du mémoire descriptif, je conclus que la présente affaire peut être distinguée d’autres décisions où il a été conclu que chaque genre distinct de revendication correspondait à des utilités promises différentes, de sorte que les utilités thérapeutiques s’appliquaient à certaines revendications, mais ne s’appliquaient pas à d’autres.

[93] À titre d’exemple, dans la décision Apotex Inc c Novartis AG, 2013 CF 141 [décision Apotex Imatinib], la juge Judith Snider était appelée à interpréter la promesse d’un brevet selon laquelle il était divulgué que les composés en question inhiberaient les protéines kinases PKC, PDGF-R, ou ABL et « peuvent être utilisés, par exemple, » comme médicaments antitumoraux. D’une manière analogue au brevet 932, les revendications du brevet de la décision Apotex Imatinib sont séparées en revendications visant les composés, en revendications d’utilisation, en revendications de procédé, et en revendications de médicaments.

[94] La juge Snider a conclu que les mots « peuvent être utilisés » signifiaient qu’il existait simplement une possibilité, démontrée ou prévue, que les composés soient utilisés à des fins thérapeutiques (Apotex Imatinib, précitée, aux paragraphes 139 à 151). Par conséquent, les fins thérapeutiques ne faisaient pas partie de la promesse générale du brevet, il s’agissait plutôt d’une promesse associée aux revendications d’utilisation, laquelle indiquait explicitement que les composés pouvaient être utilisés aux fins de traitement de l’athérosclérose et de chimiothérapie de tumeurs (Apotex Imatinib, aux paragraphes 177 à 180).

[95] Dans le brevet 932, les mots utilisés dans le mémoire descriptif ne sont pas aussi ambigus que dans le brevet de la décision Apotex Imatinib (p. ex., « peuvent être utilisés »). À plusieurs occasions, dans la section de l’utilité, les inventeurs ont indiqué que les composés « sont » utiles dans le traitement d’une maladie. Par conséquent, je conclus qu’il existe une promesse générale du brevet en ce qui a trait à l’utilité thérapeutique pour combattre les troubles associés à la PTK, en plus des utilités thérapeutiques précisément divulguées dans les revendications d’utilisation.

[96] Pour conclure, l’interprétation des demanderesses eu égard à l’utilité du brevet 932 selon laquelle celui-ci contiendrait des utilités première et secondaire n’a été appuyée par aucun élément de preuve, et elle est inexacte puisqu’elle est fondée sur une interprétation atténuée du brevet, qui donne lieu à des utilités premières et secondaires,

[97] Pour ces motifs, je conclus à l’existence d’une utilité promise du brevet 932, laquelle est précisée en ces termes :

  • 1) [traduction] Eu égard à toutes les revendications, il est exprimé dans la promesse que les composés inhiberont les PTK de la famille des Src et d’HER1/HER2, et auront un effet thérapeutique utile dans le traitement d’un trouble associé à la PTK ou seront utiles comme agents anti-angiogéniques.

  • 2) En ce qui a trait aux revendications 35 à 43, il est promis que le dasatinib sera utile pour traiter le cancer, ou le type de cancer précisé.

c) La prédiction valable d’utilité

[98] Personne ne conteste le fait que les inventeurs n’ont pas démontré l’utilité promise à la date de dépôt du brevet 932. De plus, la défenderesse soutient que si la promesse générale d’utilité du brevet 932 comprenait, notamment, la promesse selon laquelle les composés seraient utiles au traitement de troubles associés à la PTK, cette dernière utilité n’avait pas été valablement prédite dans le brevet 932. Les demanderesses n’ont produit aucune preuve permettant de contester cette allégation. Néanmoins, elles soutiennent que, si la Cour devait conclure que la promesse générale d’utilité consiste à dire que chaque composé démontré dans le brevet 932 inhiberait les PTK de la famille des Src et de l’HER1 ou l’HER2 (c.-à-d., il n’existe aucune utilité thérapeutique générale), alors, l’utilité du dasatinib était valablement prédite.

[99] Puisque j’ai conclu que la promesse générale d’utilité comprenait notamment une promesse selon laquelle les composés seraient utiles au traitement de troubles associés à la PTK ou comme agents anti-angiogéniques, et que les demanderesses ne contestent pas l’allégation d’absence de prédiction valable en ce qui a trait à l’utilité thérapeutique du dasatinib, l’allégation de la défenderesse, eu égard à l’inutilité, est justifiée. Néanmoins, si j’avais tort de conclure à l’existence d’une promesse générale d’utilité thérapeutique, et que, par conséquent, la promesse générale d’utilité précise uniquement que les composés du brevet 932 inhiberont les PTK de la famille des Src et d’HER1ou d’HER2, je conclurais tout de même que l’allégation de la défenderesse, eu égard à l’inutilité, est justifiée pour les motifs présentés ci-dessous.

[100] Les demanderesses soutiennent que les inventeurs ont démontré que le dasatinib pourrait inhiber les PTK de la famille des Src au moyen d’essais contre la Lck et la Yes, et pourrait avoir valablement prédit que le dasatinib inhiberait également l’HER1 et l’HER2, en raison des similitudes structurelles entre le dasatinib et les autres inhibiteurs d’HER1 et d’HER2.

[101] Le Dr Smithgall a indiqué qu’à la date pertinente, bien qu’une personne moyennement versée dans l’art aurait pu raisonnablement s’attendre qu’un composé qui inhibe une kinase de la famille des Src inhiberait les autres kinases de la famille des Src, il n’était pas raisonnable de croire qu’il en découlerait également une inhibition de l’HER1 et de l’HER2, et vice versa. Il a expliqué que les domaines de kinase des kinases de la famille des Src sont tous semblables au plan structurel, comme l’HER1 et l’HER2 sont par ailleurs semblables, cependant, les kinases de la famille des Src et celles de l’HER1 et l’HER2 sont, et il était connu qu’elles l’étaient à ce moment-là, différentes au plan structurel.

[102] Le Dr Jorgensen a convenu qu’il existe des différences structurelles entre les kinases de la famille des Src et celles de l’HER1 et l’HER2. Cependant, il a déclaré qu’une personne moyennement versée dans l’art s’attendrait raisonnablement que la dasatinib offre dans une certaine mesure une inhibition contre l’HER1 et l’HER2, sur le fondement des données relatives à la relation structure-activité qui peuvent être tirées des autres inhibiteurs de l’HER1 et de l’HER2, dont certaines sont divulguées dans la revendication 7.

[103] Il a précisé, notamment, que l’inhibition de l’HER1 et de l’HER2 est gérée par l’interaction du groupe de chloromethylphenyl sur le composé, ce qui se produit en ce qui a trait au dasatinib. Il a également affirmé que les substituants chimiques qui rendent le dasatinib différent des autres composés qui inhibaient l’HER1 et l’HER2 sont des solvants exposés, et que, par conséquent, ils ne sont pas pertinents aux fins de fixation et d’inhibition. Cette hypothèse a été vérifiée par les scientifiques de BMS, notamment, le Dr Barrish et le Dr Lee, qui ont publié un mémoire, en 2004, démontrant que le dasatinib avait inhibé l’HER1 et l’HER2. Par conséquent, à son avis, il existait une prédiction valable de l’utilité, concordant avec la promesse générale du brevet 932.

[104] Le Dr Smithgall était en désaccord avec le Dr Jorgensen pour trois raisons :

  • 1) [traduction] il y a une différence entre une certaine inhibition et une inhibition utile à des fins thérapeutiques, et la personne moyennement versée dans l’art ne serait pas en mesure de prévoir qu’il y avait une inhibition utile de l’HER1 et de l’HER2;

  • 2) les données montrent que les différences entre les substituants de possibles solvants exposés créent respectivement des différences à une échelle de sept fois et de quatorze fois l’activité inhibitrice (HER1 et HER2, respectivement), et la personne moyennement versée dans l’art ne saurait pas si le dasatinib se situerait à l’intérieur de cette fourchette, et si oui, où exactement; et

  • 3) la question de savoir si le dasatinib contient des substituants de solvants exposés, lesquels n’interagissent pas avec l’HER1 et l’HER2, n’est qu’une théorie avancée par le Dr Jorgensen et, même si elle s’avérait exacte, rien n’indique que cette théorie avait été avancée par les inventeurs à la date pertinente.

[105] En contre-interrogatoire, le Dr Smithgall a avoué que la différence entre une certaine inhibition et une inhibition utile était liée à la réponse à la question de savoir si les composés utilisés serviraient à créer un médicament pratique pour les humains, et non s’il y avait inhibition. Ainsi, ses deux premières objections à l’égard des conclusions tirées par le Dr Jorgensen ne sont pas pertinentes à l’analyse de l’utilité. Toutefois, sa troisième objection est pertinente à l’analyse de la prédiction valable.

[106] Selon les éléments de preuve produits par les experts, il est difficile de conclure qu’à la date pertinente, les inventeurs avaient observé que tous les composés inhibiteurs de l’HER1 et de l’HER2 contenaient le groupe commun de chloromethylphenyl. Par conséquent, les demanderesses n’ont pas démontré que les inventeurs s’appuyaient sur un fondement factuel pour croire que le dasatinib inhiberait l’HER1 ou l’HER2, ou les deux.

[107] De plus, comme l’a énoncé le Dr Smithgall, rien dans le brevet n’indique que les inventeurs estimaient que certains substituants étaient des solvants exposés lors de l’interaction avec l’HER1 ou l’HER2, ou les deux, ce qui pouvait les inciter à énoncer la théorie selon laquelle les différences entre le dasatinib et les autres composés qui contribuent à fixation avec l’HER1 et l’HER2, étaient non pertinentes. Par conséquent, il n’existait aucun raisonnement clair et valable qui leur aurait permis d’inférer que le dasatinib inhiberait l’HER1 ou l’HER2, ou les deux.

[108] Par conséquent, je conclus que les demanderesses n’ont pas prouvé que les inventeurs disposaient, à la date pertinente, d’un fondement factuel et d’un raisonnement clair et valable leur permettant de conclure que le dasatinib inhiberait l’HER1 ou l’HER2, ou les deux, et du moins, il n’y a eu aucune divulgation en ce qui a trait au fondement factuel et au raisonnement clair et valable.

[109] Par conséquent, je conclus que selon la prépondérance des probabilités, les inventeurs n’avaient pas valablement prédit que le dasatinib inhiberait l’HER1 et l’HER2, en plus des PTK de la famille des Src.

3) Conclusion relative à l’utilité

[110] Bref, en ce qui a trait à cette question, je conclus que les allégations d’inutilité soulevées par la défenderesse sont justifiées. Il existe dans le brevet 932 une promesse générale selon laquelle le dasatinib (revendication 27) :

  • 1) [traduction] inhibera les PTK de la famille des Src;

  • 2) inhibera l’HER1 et l’HER2;

  • 3) sera utile pour traiter les troubles associés à la PTK ou comme agent anti-angiogénique.

[111] Les demanderesses possédaient les données pour montrer que le dasatinib inhiberait les PTK de la famille des Src, mais elles n’avaient pas les données pour montrer que le dasatinib inhiberait l’HER1 ou l’HER2, ou les deux, et qu’il serait utile pour traiter les troubles associés à la PTK ou comme agent anti-angiogénique. De plus, les demanderesses n’ont pas prouvé l’existence d’un fondement factuel et d’un raisonnement clair et valable leur permettant de prédire que le dasatinib inhiberait l’HER1 ou l’HER2, ou les deux, et qu’il serait utile pour traiter les troubles associés à la PTK ou comme agent anti-angiogénique.

[112] Par conséquent, les demanderesses ne se sont pas acquittées du fardeau qui leur incombait de montrer que l’ensemble de la promesse générale d’utilité avait été démontrée, ou valablement prédite, à la date pertinente, eu égard à la revendication 27, en ce qui a trait au brevet 932.

B. Le caractère suffisant

1) Le droit applicable

[113] La « négociation du brevet » qui sous-tend le système de brevets est reflétée dans la Loi sur les brevets. Les exigences de divulgation relatives au mémoire descriptif se trouvent au paragraphe 27(3) :

(3) Le mémoire descriptif doit :

a) décrire d’une façon exacte et complète l’invention et son application ou exploitation, tel que les a conçues son inventeur;

b) exposer clairement les diverses phases d’un procédé, ou le mode de construction, de confection, de composition ou d’utilisation d’une machine, d’un objet manufacturé ou d’un composé de matières, dans des termes complets, clairs, concis et exacts qui permettent à toute personne versée dans l’art ou la science dont relève l’invention, ou dans l’art ou la science qui s’en rapproche le plus, de confectionner, construire, composer ou utiliser l’invention;

c) s’il s’agit d’une machine, en explique le principe et la meilleure manière dont son inventeur en a conçu l’application;

d) s’il s’agit d’un procédé, expliquer la suite nécessaire, le cas échéant, des diverses phases du procédé, de façon à distinguer l’invention d’autres inventions;

[114] Dans l’arrêt Consolboard Inc. c MacMillan Bloedel (Sask.) Ltd., [1981] 1 RCS 504, à la page 520 [arrêt Consolboard], le juge Dickson, s’exprimant au nom de la Cour suprême du Canada, a discuté des éléments que doit contenir le mémoire descriptif pour satisfaire aux exigences de divulgation :

Essentiellement, ce qui doit figurer dans le mémoire descriptif (qui comprend à la fois la divulgation, c.-à -d., la partie descriptive de la demande de brevet, et les revendications) c’est une description de l’invention et de la façon de la produire ou de la construire, à laquelle s’ajoutent une ou plusieurs revendications qui exposent les aspects nouveaux pour lesquels le demandeur demande un droit exclusif. Le mémoire descriptif doit définir la portée exacte et précise de la propriété et du privilège exclusifs revendiqués [..]

Il faut considérer l’ensemble de la divulgation et des revendications pour déterminer la nature de l’invention et son mode de fonctionnement […] sans être ni indulgent ni dur, mais plutôt en cherchant une interprétation qui soit raisonnable et équitable à la fois pour le titulaire du brevet et pour le public.

[115] Dans l’arrêt Teva Canada Ltd c Pfizer Canada, 2012 CSC 60, au paragraphe 50 [Teva Sildenafil], le juge Lebel, résumant le raisonnement du juge Dickson, a indiqué que « la nature de l’invention doit y être exposée et […] il faut examiner le mémoire en entier, revendications comprises, pour établir la nature de l’invention et déterminer si la divulgation est suffisante ».

[116] Chaque brevet ne peut contenir qu’une seule invention, mais il ne peut être tenu pour invalide du seul fait qu’il a été accordé pour plus d’une invention. (Loi sur les brevets, paragraphe 36 (1)). Par conséquent, il n’y a pas lieu de voir systématiquement une invention distincte dans chacune des revendications (Teva Sildenafil, précité, au paragraphe 60). Lorsqu’il s’agit d’une invention liée à une série de composés, l’idée originale est la série de composés relatifs à l’utilisation divulguée par le mémoire descriptif (Teva Sildenafil, au paragraphe 66).

[117] Dans l’arrêt de la Cour suprême Pioneer Hi-Bred Ltd. c Canada (Commissaire des brevets), [1989] 1 RCS 1623, à la page 1638, le juge Lamer a réitéré que « la description […] doit permettre à une personne versée dans l’art ou le domaine de l’invention de la construire à partir des seules instructions contenues dans la divulgation ». Lorsqu’il s’agit de revendications pharmaceutiques présentées en cascade, la divulgation dans le mémoire descriptif et les revendications doit « permettre au public “d’utiliser l’invention avec le même succès que l’inventeur, à l’époque de la demande” », il ne suffit pas qu’elle « oblige le lecteur versé dans l’art à entreprendre un projet de recherche mineur pour déterminer quelle revendication constitue la véritable invention » (Teva Sildenafil, au paragraphe 74).

[118] Bien que la personne moyennement versée dans l’art sache que lorsqu’un brevet contient des revendications présentées en cascade, « c’est habituellement le composé individuel revendiqué en dernier qui constitue le composé utile », les revendications de composés non fonctionnels sont simplement réputées être invalides aux yeux de la Cour (Teva Sildenafil, au paragraphe 80).

2) Discussion

[119] L’argument d’insuffisance est avancé à titre subsidiaire par la défenderesse et est fonction d’une conclusion par la Cour d’absence d’une promesse générale d’utilité dans le brevet 932. Comme il en a été question ci-dessus, j’ai conclu à l’absence d’une promesse générale en ce qui a trait aux revendications, y compris la revendication 27. Par conséquent, j’estime qu’il n’y a pas lieu d’examiner en détail les allégations de la défenderesse relatives à la suffisance.

[120] Toutefois, si je n’avais pas tranché la question de l’utilité ci-dessus, et étant donné les connaissances générales courantes à la date donnée et la nature de l’analyse requise pour établir quelles PTK ont été inhibées par le dasatinib (c.-à-d., les analyses qui ont été divulguées par le mémoire descriptif) – je conclurais que le mémoire descriptif du brevet 932 est suffisant.

VII Le brevet 898

A. Le brevet

[121] Le brevet 898 est une demande fondée sur le PCT intitulée « Administration par voie orale d’inhibiteurs cycliques de la tyrosine kinase » dont la date de dépôt de demande internationale est le 23 mars 2004; la date de publication est le 7 octobre 2004; la date de son émission est le 10 juillet 2012. La date de priorité du brevet américain est le 24 mars 2003, et l’inscription nationale au Canada a eu lieu le 1er septembre 2005.

[122] Le brevet 898 concerne les composés cycliques et les sels de ces derniers, les méthodes relatives à l’utilisation de tels composés dans le traitement de troubles associés à la PTK, comme les troubles immunologiques et oncologiques, et les compositions pharmaceutiques contenant de tels composés.

[123] Dans le contexte de l’invention, il est indiqué ce qui suit :

[traduction]

L’accroissement de l’activité des PTK était en cause dans diverses maladies à évolution chronique malignes et bénignes. De plus, les PTK jouent un rôle central dans le réglage des cellules du système immunitaire. Les inhibiteurs PTK peuvent avoir une incidence sur une grande diversité de troubles oncologiques et immunologiques. De tels troubles peuvent être améliorés au moyen d’une inhibition sélective d’une certaine PTK réceptrice ou non réceptrice, comme la Lck, ou en raison de l’homologie au sein des classes de PTK, par l’inhibition de plus d’une PTK par un inhibiteur.

[124] Les sections du résumé de l’invention et des méthodes de préparation sont essentiellement les mêmes que celles du brevet 932. À l’instar du brevet 932, le brevet 898 contient une longue section d’utilité, qui est essentiellement la même que celle du brevet 932; les différences étant, notamment :

[traduction]

Les composés de la présente invention sont utiles pour le traitement des cancers comme la leucémie myéloïde chronique (LMC), la tumeur du stroma gastro-intestinal (TSGI), le cancer du poumon à petites cellules (CPPC), le cancer du poumon non à petites cellules (CPNPC), le cancer de l’ovaire, le mélanome, la mastocytose, les tumeurs de cellules germinales, la leucémie myéloblastique aiguë (LMA), les sarcomes pédiatriques, le cancer du sein, le cancer colorectal, le cancer du pancréas, le cancer de la prostate, et les autres cancers connus pour être associés à la tyrosine kinase, comme, à titre d’exemple, SRC, BCR-Abl et c-KIT. Les composés de la présente invention sont également utiles pour le traitement des cancers qui sont sensibles et résistants aux agents chimiothérapeutiques qui ont pour cibles la BCR-Abl et la c-KIT, comme, à titre d’exemple, GleevecMD (STI-571).

[125] Le brevet 898 contient les mêmes composés de l’exemple 580 qui sont énumérés dans la liste du brevet 932.

[126] Le brevet 898 contient 30 revendications, et les parties ont convenu que les revendications 1 et 3 – lesquelles révèlent l’utilisation du dasatinib pour le traitement de la LMC et de la LMC résistante à l’imatinib, respectivement – sont les seules revendications en cause dans cette action.

Revendication 1 :

Consommation par voie orale du composé de formule IV, ou le sel de ce dernier, pour traiter un cancer :

Lorsque le cancer est une leucémie myéloïde chronique (LMC).

La revendication 2 :

Consommation par voie orale en vue de la fabrication d’un médicament pour le traitement du cancer de […]

[Même composé chimique divulgué dans la revendication 1]

où le cancer est une leucémie myéloïde chronique.

La revendication 3 :

L’utilisation de la revendication 1 ou 2, selon laquelle la leucémie myéloïde chronique (LMC) résiste au STI-571.

B. La date pertinente

[127] La date pertinente pour déterminer si le brevet 898 est évident est la date d’antériorité : le 24 mars 2003.

C. La personne moyennement versée dans l’ART

[128] Comme il a été précédemment discuté, la personne moyennement versée dans l’art en ce qui a trait au brevet 898 serait la même que dans le cas du brevet 932.

D. Les connaissances générales courantes au 23 mars 2003

[129] La juge Johanne Gauthier, dans l’arrêt Eli Lilly & Co. c Apotex Inc., 2009 CF 991, conf. par 2010 CAF 240, au paragraphe 97, a énoncé ce qui suit à l’égard des connaissances générales courantes :

  • Les connaissances générales courantes se distinguent de ce que le droit des brevets considère comme des connaissances publiques. Les connaissances publiques sont théoriques et englobent chacun des mémoires descriptifs publiés, bien qu’il soit peu vraisemblable qu’il soit consulté, quelle que soit la langue dans laquelle il est rédigé. Par ailleurs, les connaissances générales courantes sont dérivées d’une conception rationnelle de ce qui serait en fait connu par une personne adéquatement versée dans l’art, qui existerait réellement et qui ferait bien son travail.

  • Les connaissances générales courantes englobent les mémoires descriptifs qui sont bien connus de ceux qui sont versés dans l’art. Dans certains secteurs d’activités, la preuve peut indiquer que tous les mémoires descriptifs de brevets font partie des connaissances pertinentes.

  • Les connaissances générales courantes n’incluent pas forcément des documents scientifiques, peu importe le tirage ou le lectorat d’un article en particulier. La divulgation dans un article scientifique devient une connaissance générale courante lorsqu’elle est connue de manière générale et acceptée sans hésitation par la majorité de ceux qui pratiquent l’art en question.

  • Ne constitue pas une connaissance générale courante un élément qui a fait l’objet d’un écrit, mais qui n’a jamais, dans les faits, été utilisé dans un art en particulier.

1) PTK de la famille des Src et LMC résistante à l’imatinib

[130] Le Dr Talpaz a indiqué que la personne moyennement versée dans l’art saurait que l’imatinib (GLEEVECMD) était le traitement de pointe contre la LMC, en 2003, et que les patients développaient une résistance à son égard. À la date pertinente, la résistance à l’imatinib était une préoccupation majeure, et le besoin d’une thérapie pouvant traiter la LMC résistante à l’imatinib et les efforts déployés en ce sens étaient considérables.

[131] Une personne moyennement versée dans l’art saurait que l’imatinib n’est pas classé comme un inhibiteur de kinases de la famille des Src, et que la Bcr-Abl, qu’il inhibe, par ailleurs, n’est pas une membre de la famille des Src. De plus, une personne moyennement versée dans l’art comprendrait qu’un composé dont l’inhibition d’une PTK donnée aurait été démontrée n’inhiberait pas nécessairement les PTK qui appartiennent à une autre famille, et que le seul moyen de savoir quelles PTK seraient inhibées serait d’effectuer des essais. La personne moyennement versée dans l’art comprendrait que le code de l’imatinib était STI-571, et que le STI-571 inhibe également plusieurs autres kinases, notamment, c-KIT et PDGF-R.

[132] Le Dr Talpaz a également exprimé l’avis que les seuls inhibiteurs de PTK dont l’utilité pour traiter la LMC avait été démontrée, à la date pertinente, étaient les inhibiteurs de Bcr-Abl, et que la recherche dans les PTK en vue de trouver un traitement de la LMC était concentrée essentiellement sur l’inhibition de Bcr-Abl en raison de son rapport direct avec la LMC. Il a affirmé que la personne moyennement versée dans l’art aurait attribué l’effet du SKI-606 et du PP1, deux inhibiteurs de PTK mentionnés dans les AA d’Apotex, sur les tumeurs de LMC à leur capacité à inhiber la Bcr-Abl, plutôt qu’à leur capacité à inhiber les kinases de la famille des Src. Il a également exprimé l’opinion selon laquelle une personne moyennement versée dans l’art aurait su que les essais cliniques menés sur des sujets humains étaient nécessaires afin d’établir si des composés étaient administrables par voie orale, plus particulièrement en ce qui concerne la LMC, dont les cellules ont une relation complexe avec leur environnement cellulaire.

[133] Le Dr Talpaz a également affirmé qu’avant le 24 mars 2003, il avait été suggéré, comme hypothèse, que certaines PTK de la famille des Src étaient amplifiées dans le cas de la LMC, et que l’inhibition de ces PTK peut jouer un rôle dans le traitement de la LMC et de la LMC résistante à l’imatinib. Il a indiqué qu’[traduction] « à ce jour, il n’a toujours pas été démontré qu’un inhibiteur de PTK non-BCR-Abl était efficace dans le traitement de la LMC ». Il a également indiqué être de l’avis que la plupart des groupes de recherche, notamment celui du Dr Charles Sawyers, concentraient leurs efforts sur les mécanismes de résistance qui dépendaient du Bcr-Abl. Toutefois, il a avoué dans son affidavit, qu’à l’époque, les chercheurs avaient proposé qu’une certaine résistance puisse être liée à la fixation de l’imatinib à une autre protéine, ou une surabondance de certaines kinases de la famille des Src, comme la Lyn et l’Hck.

[134] L’art antérieur démontre, en fait, que son équipe de recherche avait avancé l’hypothèse que les kinases de la famille des Src étaient un facteur de résistance à l’imatinib. Toutefois, il a affirmé que cette hypothèse était [traduction] « extrêmement controversée à l’époque » et que le rôle des kinases de la famille des Src ne faisait l’objet d’aucun consensus au sein de la collectivité scientifique. De plus, il a indiqué que [traduction] « toute thérapie potentielle fondée sur ces hypothèses n’aurait pas été évidente en ce qui a trait au traitement par la voie orale de la LMC ou de la LMC résistante à GLEEVECMD à la date pertinente ».

[135] Le Dr Talpaz a également exprimé l’avis que les documents portant sur le rôle possible des kinases de la famille des Src abordent avec prudence le sujet de ces PTK dans la LMC. Dans ces documents, les propos sont formulés avec des termes tels que présentés ci-dessous :

[traduction]

[…] les résultats présentés dans le document donnent à penser que la résistance à GLEEVECMD est causée par des mécanismes autres que la BCR-Abl et que l’inhibition ciblée de la kinase de la famille de la Src, et de la LYN, peut permettre d’échapper à la résistance à GLEEVECMD, mais qu’il fallait poursuivre les études à cet égard […]

Nous sommes pleinement conscients que nos données n’ont pas officiellement démontré que l’inhibition des kinases Src représentait la seule et principale raison pouvant expliquer les effets biologiques observés qui ne sont pas liés à l’Abl.

[…] il faut poursuivre les travaux afin d’aborder le rôle joué par les kinases Src dans la progression in vivo de la LMC et des effets de l’inhibition de la Src sur la signalisation de la Bcr-Abl et de l’activité oncogénique dans un modèle animal complet de la LMC.

[136] Il a conclu qu’à la date pertinente, la personne moyennement versée dans l’art ne se serait pas attendue à ce qu’un inhibiteur de kinase de la famille des Src soit efficace pour le traitement de la LMC ou de la LMC résistante à l’imatinib.

[137] Le Dr Smith a souscrit à l’avis du Dr Talpaz selon lequel l’existence d’une résistance à l’imatinib faisait partie des connaissances générales courantes. Néanmoins, à son avis, il était connu que la résistance à l’imatinib se manifestait par l’entremise d’autres mécanismes qu’uniquement par les mutations de Bcr-Abl, notamment, par les voies secondaires dont on soupçonnait qu’elles jouent un rôle dans la LMC. Ces voies comprenaient, notamment, la voie de la Src ou de la Lyn, ainsi que les voies de la Jak et de la Stat.

[138] Il a indiqué que la personne moyennement versée dans l’art saurait que la Src faisait partie de la voie Bcr-Abl. Il n’était pas d’accord avec le Dr Talpaz, selon qui, la position voulant que les kinases de la famille des Src jouent un rôle important dans le développement du cancer et dans la résistance à l’imatinib n’est qu’une théorie. Le Dr Smith a mené une recherche PubMed (c.-à-d., une recherche sur les sciences de la vie menée à partir d’une banque de données largement utilisée) et il a constaté que 87 articles portaient sur la relation entre les PTK Bcr-Abl et la Scr. De ce nombre, il a choisi 11 articles qui avaient une certaine valeur pour un scientifique ou un clinicien travaillant dans le domaine de la LMC résistante à l’imatinib. Il a exprimé l’opinion selon laquelle la personne moyennement versée dans l’art aurait été au courant de l’existence de ces documents. De ces 11 documents, cinq auraient été de l’art antérieur à l’AA 898.

[139] Le Dr Smith a en outre affirmé que bien que le Dr Talpaz ait raison de dire qu’aucun essai clinique portant sur les inhibiteurs de la kinase de la famille des Src n’avait été mené sur des sujets humains, à la date pertinente, cela ne signifie pas pour autant que le rôle des kinases de la famille des Src dans le traitement de la LMC n’avait pas été établi. Selon l’opinion exprimée par le Dr Smith, le Dr Talpaz avait tort d’affirmer qu’il était de connaissances générales courantes que l’utilisation d’inhibiteurs de PTK de la famille des Src était controversé, et qu’il était considéré que ce type de recherche connaissait moins de succès.

[140] En contre-interrogatoire, le Dr Smith a avoué, qu’à cette époque, plusieurs types de recherches faisaient l’objet d’attention, dont quelques-unes étaient raisonnablement avancées en ce qui concerne la découverte d’un traitement thérapeutique. Toutefois, il a déclaré qu’il serait inexact d’affirmer que les recherches de ce type étaient mieux connues que la recherche portant sur l’utilisation des inhibiteurs de la kinase de la famille des Src pour traiter la LMC.

[141] Il était également en désaccord avec l’interprétation que le Dr Talpaz se faisait du texte des ouvrages scientifiques portant sur les kinases de la famille des Src et la LMC résistante à l’imatinib. Il a soutenu qu’il serait de connaissance générale courante que les termes « donnent à penser », « peut », ou le fait de laisser entendre qu’il « fallait poursuivre les travaux », sont des expressions courantes du domaine scientifique qui ne peuvent être interprétées comme des signes d’incertitude de la part des auteurs au sujet des résultats de leurs recherches, ni que ces derniers se montrent particulièrement prudents à cet égard. Il a indiqué qu’il est connu et compris par tous les auteurs dont les travaux sont publiés que les revues évaluées par les pairs ne permettent généralement pas la publication de travaux contenant des déclarations qui laissent croire que les résultats tels qu’ils les interprètent sont des faits.

[142] Le Dr Smithgall a indiqué qu’à son avis, il était connu, au milieu des années 1990, que la Bcr-Abl n’agissait pas seule comme facteur principal de la LMC, et qu’il y avait eu un [traduction] « intérêt sans précédent » dans l’utilisation des inhibiteurs de kinases de la famille des Src dans le traitement de la LMC et d’autres cancers. Il a soutenu qu’il était, au début des années 2000, de connaissances générales courantes que les Bcr-Abl recrutaient des membres de la famille des Src, plus particulièrement, la Lyn et l’Hck, accentuant le signal de la prolifération cellulaire qui est transmis par la Bcr-Abl et accélérant le développement de la LMC.

[143] Il a souscrit à l’avis du Dr Talpaz selon lequel une personne moyennement versée dans l’art aurait su qu’une cause fréquente de la résistance à l’imatinib est la mutation de Bcr-Abl; néanmoins, il ne partageait pas son avis selon lequel les scientifiques accordaient principalement leur attention à ce mécanisme de résistance. Il a indiqué qu’à la date pertinente, les scientifiques avaient commencé à cibler les kinases auxiliaires qui font partie de la voie Bcr-Abl. À titre d’exemple, son laboratoire avait exploré les PTK de la famille des Src comme cibles subsidiaires pour traiter la LMC.

[144] Le Dr Smithgall se disait d’accord avec le Dr Smith, selon qui il était de connaissances courantes, qu’en mars 2003, les inhibiteurs de PTK de la famille des Src utilisés en combinaison avec les inhibiteurs de Bcr-Abl, pouvaient être utilisés pour traiter la LMC, bien qu’aucun traitement n’ait été établi en essai clinique mené sur des sujets humains. Il était également d’accord avec le Dr Smith selon qui le ciblage de PTK de la famille des Src n’était pas contesté, et un élément dont la personne moyennement versée dans l’art aurait été au courant, à la date pertinente.

[145] Il n’était pas d’accord avec le Dr Talpaz selon qui les recherches sur les rôles d’autres PTK dans la LMC étaient critiquées à l’époque. Il a indiqué qu’il avait été un participant actif dans le domaine de la recherche et qu’il ne se souvenait pas de l’existence d’une telle critique. Le Dr Smithgall a également exprimé l’opinion selon laquelle il était de connaissances courantes, qu’en mars 2003, plusieurs inhibiteurs de PTK Src avaient inhibé la Bcr-Abl. De plus, le Dr Smithgall a indiqué qu’il aurait été de connaissances générales courantes que des inhibiteurs doubles de PTK de la famille des Src et de Bcr-Abl pouvaient tuer certaines cellules de LMC résistantes à l’imatinib.

[146] Le Dr Smithgall a également effectué une recherche PubMed visant à trouver des articles spécialisés au sujet desquels une personne moyennement versée dans l’art aurait estimé qu’il s’agissait d’art antérieur. Il en a énuméré une liste de 13 documents portant sur l’interaction entre la Bcr-Abl et les kinases de la famille des Src, dont cinq auraient été de l’art antérieur à l’AA 898. En fin de compte, il s’est dit en accord avec le Dr Smith selon qui une personne moyennement versée dans l’art aurait su que le vocabulaire prudent employé dans les documents scientifiques à l’époque était affaire courante et qu’une personne moyennement versée dans l’art aurait attaché plus d’importance aux résultats présentés qu’aux mots utilisés dans le document.

2) Conclusion relative aux connaissances générales courantes

[147] J’estime, à partir de la preuve d’expert, que les connaissances générales courantes de la personne moyennement versée dans l’art en ce qui a trait au brevet 898 comprenaient, notamment, la connaissance des éléments présentés ci-dessous :

  • 1) [traduction] la relation structurelle entre différentes PTK, plus particulièrement, la Bcr-Abl et les kinases de la famille des Src;

  • 2) les causes moléculaires de la LMC, et les mécanismes qui provoquent une LMC résistante à l’imatinib;

  • 3) la façon dont les kinases de la famille des Src interagissent avec la voie Bcr-Abl;

  • 4) l’existence d’inhibiteurs doubles de Src ou de Bcr-Abl; et

  • 5) les voies de recherche courantes envisagées en vue de développer des traitements de la LMC résistante à l’imatinib, au sein de la collectivité scientifique, notamment, l’utilisation des inhibiteurs de la kinase de la famille des Src comme cibles supplémentaires ou subsidiaires pour traiter la LMC.

E. L’art antérieur

[148] La défenderesse désigne sept documents clés qui, soutient-elle, constituent l’art antérieur lors de l’examen du caractère évident du brevet 898.

1) La demande fondée sur le PCT no WO/2000/062778 (la demande 778)

[149] La demande 778 est la demande fondée sur le PCT à l’origine du brevet 932. Sa date de dépôt de demande internationale est le 12 avril 2000, et sa date de publication, le 26 octobre 2000. Elle est intitulée « [i]nhibiteurs cycliques de la tyrosine kinase », et elle décrit une famille de composés, notamment, 580 composés expressément présentés, dont il a été démontré qu’ils étaient des inhibiteurs de PTK, plus particulièrement, de PTK de la famille des Src. La demande 778 indique que les composés inhibiteurs de Lck, ou d’autres membres de la famille des Src, sont utiles dans le traitement de cancers, où les PTK de la famille des Src sont amplifiés et où l’activité des kinases de la famille des Src favorise la croissance ou la survie d’une tumeur.

[150] Il est précisé dans la demande 778 que [traduction] « [l]es composés de la présente invention sont des inhibiteurs de la tyrosine kinase, plus précisément les kinases de la famille des Src comme la Lck, la Fyn, la Lyn, la Src, la Yes, l’Hck, la Fgr, et la Blk », et sont donc « utiles dans le traitement, notamment, la prévention et la thérapie, de troubles associés à la tyrosine kinase, comme les troubles immunologiques et oncologiques ».

[151] Les demanderesses font valoir que l’interprétation de la défenderesse n’a pas démontré que la personne moyennement versée dans l’art pouvait bénéficier d’un accès public à la demande 778 à la date pertinente. Enfin, la défenderesse soutient que la date de demande internationale de publication de la demande 778 est le 26 octobre 2000 et que le public y aurait eu accès avant le 24 mars 2003. Je suis du même avis.

[152] Les demanderesses contestent également l’utilisation comme art antérieur de la demande 778 parce que la défenderesse n’a pas démontré qu’une personne moyennement versée dans l’art aurait réussi à la trouver. En fait, les Drs Smith et Smithgall ont admis, en contre-interrogatoire, qu’ils n’avaient effectué aucune recherche dans les ouvrages portant sur les brevets et qu’ils n’étaient pas conscients de l’existence de la demande 778 avant que débute la présente action.

[153] Néanmoins, la défenderesse insiste pour dire qu’une personne moyennement versée dans l’art aurait réussi à trouver la demande 778 en consultant les brevets dans la banque de données pertinentes, et que le fait que leurs experts n’aient pas eux-mêmes effectué une recherche visant la demande 778 n’a aucune importance.

[154] La Cour d’appel fédérale a conclu que l’art antérieur permettant de juger de l’évidence se limite aux éléments que la personne moyennement versée dans l’art « serait à même de trouver en procédant à des recherches raisonnablement diligentes » (E Mishan & Sons Inc c Supertek Canada Inc, 2015 CAF 163). Par conséquent, la défenderesse n’est pas uniquement limitée à l’art antérieur trouvé par ses experts. De plus, bien qu’il puisse s’agir d’une pratique exemplaire en matière de sollicitation de l’avis d’experts portant sur l’art antérieur ou sur les connaissances générales courantes de leur demander d’effectuer les recherches nécessaires, la procédure à suivre pour obtenir la délivrance d’un AC peut contraindre une défenderesse, qui, par ailleurs, doit s’assurer que tous les faits qu’ils appuieront au procès sont contenus dans l’AA; par conséquent, une défenderesse aura vraisemblablement étudié l’art antérieur avant d’embaucher des experts.

[155] En l’espèce, puisque la demande 778 est devenue le brevet 932, lequel prévoit explicitement qu’il divulgue les composés pour traiter les troubles associés à la PTK comme les troubles oncologiques, je conclus, selon la prépondérance des probabilités, qu’une personne moyennement versée dans l’art qui effectue une recherche pertinente de la base de données relative aux brevets aurait trouvé cette demande de brevet et estimé qu’il s’agissait d’art antérieur.

2) La demande WO 03/013540 (la demande 540)

[156] La demande 540 est intitulée [traduction] « [l]’utilisation d’inhibiteurs C-SRC seuls ou en combinaison avec le STI571 pour le traitement de la leucémie ». La demande internationale de publication de la demande est le 20 février 2003, et le Dr Talpaz est désigné comme l’un des inventeurs.

[157] La demande 540 décrit l’utilisation d’inhibiteurs de c-Src (p. ex., inhibiteurs cellulaires de la kinase Src) seuls ou en combinaison avec l’imatinib dans le traitement de la leucémie. Les inventeurs déclarent qu’ils ont trouvé que les composés inhibiteurs de c-Src, ou d’autres kinases de la famille des Src, étaient efficaces dans le traitement de la leucémie, surtout en ce qui a trait à la LMC, et que l’utilisation de ces composés en combinaison avec l’imatinib avait des effets plus considérables que n’importe quel composé seul. La demande 540 précise également que la LMC résistante à l’imatinib peut être traitée par un composé inhibiteur de c-Src, seul ou en combinaison avec l’imatinib.

[158] Les demanderesses soulèvent les mêmes arguments à l’encontre de l’inclusion de la demande 540 dans l’art antérieur que ceux qu’elles ont soulevés dans la demande 778.

[159] La demande 540 désigne explicitement la STI-571 (imatinib) et la leucémie dans son titre, et la date de sa demande internationale de publication est antérieure à la date pertinente. Par conséquent, je conclus, selon la prépondérance des probabilités, qu’une personne moyennement versée dans l’art qui effectue une recherche pertinente de la base de données relative aux brevets trouverait la demande 540. Par conséquent, l’art antérieur relatif au brevet 898 est valide.

3) Donato et al., Blood, 101: 690-698, 2003

[160] L’article de Donato et al. a été publié en janvier 2003, et le Dr Talpaz est un des coauteurs. Dans cet article, une lignée cellulaire de LMC résistante à l’imatinib avait été préparée, dans laquelle la résistance à l’imatinib n’était pas causée par une Bcr-Abl ayant subi la mutation, ce qui laisse croire que la Bcr-Abl n’était plus l’agent de prolifération cellulaire et de la survie cellulaire. Il a été établi que la raison justifiant la résistance à l’imatinib était l’amplification des kinases de la famille des Src, Hck et Lyn. Les auteurs de l’article ont également trouvé que chez certains patients, la LMC résistante à l’imatinib était causée par un mécanisme similaire. Ils ont conclu que la résistance à l’imatinib pouvait être partiellement causée par l’amplification d’autres PTK. Cette conclusion a établi la Lyn et l’Hck comme cibles des inhibiteurs de PTK dans le traitement de la LMC résistante à l’imatinib.

4) Stanglmaier et al., Leukemia, 17: 283-290, 2003

[161] L’article de Stanglmaier et al. a été publié en février 2003. Cet article décrit l’interaction entre la Bcr-Ab et la kinase Hck de la famille des Src, et il y est démontré que l’Hck joue un rôle dans l’évolution cellulaire chronique de la Bcr-Abl. Cette conclusion confirme celle qui a été tirée dans Lionberger et al,, Journal of Biological Chemistry, 275: 18581-18585, 2000.

5) Golas et al., Cancer Research, 63: 375-381, 2003

[162] L’article de Golas et al. a été publié en janvier 2003. Il décrit le SKI-606, lequel est un inhibiteur de PTK double de la Src et de l’Abl. Les auteurs démontrent que le SKI-606 était capable d’inhiber la croissance de cellules de LMC dans des cultures cellulaires et dans un modèle de souris, après qu’il leur eut été administré par voie orale. Les auteurs ont conclu que l’inhibition simultanée des voies de Bcr-Abl et de Src pouvait offrir des avantages thérapeutiques considérables aux patients.

6) Warmuth et al., Blood, 101: 664-672, 2003

[163] L’article de Warmuth et al. a été publié en janvier 2003. Cet article démontre que des composés dont l’activité est double à l’encontre de la Src et de la Bcr-Abl sont actifs contre les cellules qui ont démontré divers mutants résistants à l’imatinib. Les auteurs ont conclu que les inhibiteurs à double spécificité peuvent jouer un rôle dans le traitement des leucémies, comme la LMC résistante à l’imatinib.

7) Wilson et al., Oncogene, 21: 8075-8088, 2002

[164] L’article de Wilson et al. a été publié en novembre 2002, et le Dr Smithgall est l’un des coauteurs. Les résultats de cette étude ont démontré qu’il était possible d’arrêter l’évolution cellulaire chronique des cellules de LMC en ciblant les kinases de Src sans également inhiber la Bcr-Abl. Cet article a également démontré que les kinases de Src sont des cibles subsidiaires à la Bcr-Abl visant une pharmacothérapie relative à la LMC, plus particulièrement dans les cas de patients atteints d’une LMC résistante à l’imatinib.

VIII Validité du brevet 898

A. L’évidence

1) Le droit applicable

[165] Le juge Rothstein a énoncé le critère à quatre volets en matière d’examen relatif à l’évidence dans l’arrêt Sanofi-Synthelabo Canada Inc c Apotex Inc., 2008 CSC 61, au paragraphe 67 [Sanofi-Synthelabo] :

  • Identifier la « personne versée dans l’art » et déterminer les connaissances générales courantes pertinentes de cette personne;

  • Définir l’idée originale de la revendication en cause, au besoin par voie d’interprétation;

  • Recenser les différences, s’il en est, entre ce qui ferait partie de « l’état de la technique » et l’idée originale qui sous-tend la revendication ou son interprétation;

  • Abstraction faite de toute connaissance de l’invention revendiquée, se demander si ces différences constituent des étapes évidentes pour la personne versée dans l’art ou dénotent quelque inventivité.

[166] Dans les domaines où les progrès se réalisent souvent par l’expérimentation, le quatrième volet des critères en matière d’examen relatifs à l’évidence peut être formulé autrement de manière à se demander si ces expériences [traduction] « allaient de soi », en utilisant la liste non exhaustive ci-dessous de facteurs (Sanofi-Synthelabo, précité, au paragraphe 69) :

  • Est‑il plus ou moins évident que l’essai sera fructueux? Existe‑t‑il un nombre déterminé de solutions prévisibles connues des personnes versées dans l’art?

  • Quels efforts — leur nature et leur ampleur — sont requis pour réaliser l’invention? Les essais sont-ils courants ou l’expérimentation est-elle longue et ardue de telle sorte que les essais ne peuvent être qualifiés de courants?

  • L’art antérieur fournit-elle [sic] un motif de rechercher la solution au problème qui sous-tend le brevet?

[167] La Cour doit s’assurer que la référence citée relativement au critère de l’évidence émane d’un technicien versé dans son art, qui ne possède toutefois aucune étincelle d’esprit inventif ou d’imagination (Beloit Canada Ltd v Valmet OY (1986), 8 CPR (3d) 289, au paragraphe 294). Le critère pour établir l’évidence est difficile à satisfaire, parce qu’il est nécessaire de démontrer que la personne versée dans l’art serait parvenue directement et sans difficulté à l’invention (Sanofi-Synthelabo, aux paragraphes 71 et 85). Néanmoins, l’existence de plusieurs voies pour parvenir à une invention supposée ne signifie pas que celle-ci ne soit pas évidente (Shire Biochem Inc c Canada, 2008 CF 538, au paragraphe 80).

[168] Enfin, dans son examen relatif à l’évidence, la Cour doit se rappeler la mise en garde contre les séductions de la sagesse rétrospective (Bridgeview Manufacturing Inc. c 931409 Alberta Ltd. (Central Alberta Hay Centre), 2010 CAF 188, au paragraphe 50).

2) Discussion

[169] Comme il a été discuté précédemment, j’ai défini la personne moyennement versée dans l’art et les connaissances générales courantes pertinentes. De plus, les parties ont convenu que les idées originales liées aux revendications 1 et 3 du brevet 898 sont l’utilisation par voie orale du dasatinib pour le traitement de la LMC, et l’utilisation par voie orale du dasatinib pour le traitement de la LMC résistante à l’imatinib, respectivement. Ainsi, pour justifier leur allégation portant sur l’évidence, la défenderesse doit démontrer que toute différence entre l’état de la technique et l’invention était évidente ou allait de soi.

[170] Les demanderesses prétendent que les idées originales représentaient des progrès considérables dans le domaine du traitement contre la LMC, et que ce traitement était le premier qui réglait le problème de la résistance à l’imatinib. Les demanderesses indiquent également que l’utilisation d’inhibiteurs de PTK de la famille des Src en vue du traitement de la LMC ou le traitement de la LMC résistante à l’imatinib, ou les deux, n’était pas la voie de recherche la plus évidente, puisque le traitement de la LMC avec les inhibiteurs de PTK de la famille des Src n’était qu’une possibilité. Elles font valoir que la défenderesse a dirigé ses experts vers des PTK de la famille des Src comme solutions.

[171] En outre, les demanderesses soutiennent qu’il n’était pas évident que le dasatinib deviendrait un traitement par voie orale efficace à l’époque, parce que personne ne savait que le dasatinib serait 1) un inhibiteur de PTK de la famille des Src et un inhibiteur suffisamment puissant relatif aux PTK appropriés; et 2) qu’il aurait les propriétés physiologiques requises pour produire des effets de traitement à l’égard des patients atteints d’une LMC ou d’une LMC résistante à l’imatinib, lorsqu’il est administré par voie orale. Plus particulièrement, les demanderesses soutiennent que sans une « validation clinique de principe », les étapes entre l’art antérieur et l’invention 898 ne peuvent être évidentes ni n’aller de soi.

[172] Elles affirment que les scientifiques de BMS ont travaillé de façon assidue, pendant plusieurs années, effectuant, notamment, une étude clinique chez les patients résistants ou intolérants à l’imatinib, pour découvrir que le dasatinib fonctionnerait comme traitement par voie orale. Enfin, elles mentionnent que le fait que la demanderesse avait dû effectuer une compilation de cinq articles scientifiques, la demande 778, et la demande 540, afin d’étayer son argumentation relative à l’évidence démontre que l’invention était non évidente.

[173] Les deux parties s’entendent pour dire qu’il n’était pas évident, à la date pertinente, que le dasatinib deviendrait un traitement par voie orale efficace de la LMC ou de la LMC résistante à l’imatinib, ou des deux. Néanmoins, la défenderesse soutient qu’il eût été évident qu’un clinicien ou un scientifique tente d’améliorer les thérapies existantes relatives à la LMC en administrant un inhibiteur de PTK de la famille des Src. De plus, la défenderesse soutient que, puisqu’il avait été établi dans la demande 778 que le dasatinib était un inhibiteur de PTK pouvant être utilisé pour combattre les maladies associées à la PTK, plus particulièrement le cancer, il eût été évident de vouloir essayer le dasatinib.

a) Revendication 1 : le traitement de la LMC

[174] Il est expliqué, à la fois dans la demande 778 et dans la demande 540, que les inhibiteurs des kinases de la famille des Src peuvent être utilisés pour traiter les cancers associés à la PTK.

[175] La demande 778 révèle que les composés expliqués (y compris le dasatinib) [traduction] « inhibent la tyrosine kinase, plus précisément les kinases de la famille des Src […] » et, que, par conséquent, ils sont utiles au traitement de troubles associés à la PTK, lesquels sont le résultat de l’activité anormale de la tyrosine kinase, et (ou) sont atténués par l’inhibition d’une PTK ou de plus d’une d’entre elles. Il en découle également que les composés révélés peuvent être administrés par n’importe quelle méthode acceptable, notamment par voie orale. De même, la demande 540 révèle une méthode de traitement, par voie orale, de la leucémie, y compris la LMC, chez les humains, soit l’administration d’au moins un composé inhibiteur de la PTK de c-Src.

[176] Le Dr Smithgall a déclaré que la personne moyennement versée dans l’art savait en tout instant que la LMC était un trouble associé à la tyrosine kinase, qu’il a, par ailleurs, décrit en contre-interrogatoire comme [traduction] « toute entité morbide où un enzyme ou un membre de la famille des enzymes de la tyrosine kinase, serait déréglé ou constitutivement actif, en faisant ainsi des cibles potentielles de l’inhibition ». Les Drs Smith et Smithgall ont indiqué qu’au début des années 2000, certains laboratoires étaient activement engagés dans la recherche relative à l’utilisation des inhibiteurs de la kinase de la famille des Src dans le traitement de la LMC. Ces laboratoires, y compris ceux qui ont publié les documents qui constituent l’art antérieur relatif au brevet 898, possédaient des données précliniques établissant que l’inhibition de PTK de la famille des Src aurait pour effet d’inhiber l’évolution cellulaire chronique dans les modèles de LMC. Par conséquent, contrairement à la prétention du Dr Talpaz, selon laquelle la demande 540 proposait une piste de réflexion contestée, le Dr Smithgall a indiqué que les déclarations dans la demande 540 ont renforcé l’attente de la personne moyennement versée dans l’art voulant qu’un inhibiteur de PTK de la famille des Src, comme le dasatinib, puisse être utilisé comme traitement de la LMC.

[177] La question de savoir si la demande 778 expliquait l’administration du dasatinib par voie orale ou si elle en soulevait simplement la possibilité a été grandement contestée. À la section intitulée « Utilité de la demande 778 », les inventeurs divulguent les éléments présentés ci-dessous :

[traduction]

La présente invention permet également d’obtenir des préparations pharmaceutiques contenant au moins un des composés de la formule I pouvant agir comme traitement d’un trouble associé à la tyrosine kinase en quantité conséquemment efficace, ainsi qu’un véhicule ou un diluant acceptable au plan pharmaceutique. Les présentions relatives à cette invention peuvent comprendre d’autres agents thérapeutiques, comme il est précisé ci-dessous, et elles peuvent être préparées en employant des véhicules ou diluants solides ou liquides conventionnels, à titre d’exemple, ainsi qu’un adjuvant médicamenteux selon le type qui convient à la méthode voulue pour administrer le médicament (par exemple, excipients, agglutinants, agents de conservation, stabilisants, saveurs, etc.) conformément à des techniques bien connues dans le domaine des formulations pharmaceutiques.

Les composés de la formule I peuvent être administrés au moyen de toute méthode appropriée, soit à titre d’exemple, oralement, sous forme de comprimés, capsules, granulés ou de poudre; en prise sublinguale; par voie buccale; par injection […]

On entend par présentation exemplaire relative aux médicaments administrés par voie buccale, notamment les suspensions, lesquelles pourraient contenir, par exemple […] et des comprimés à libération progressive qui pourraient contenir par exemple […] Les composés actuels peuvent également être administrés par la cavité orale, par prise sublinguale ou par voie buccale, ou par les deux […]

[Je souligne.]

[178] Les Drs Smith et Smithgall étaient d’avis que la demande 778 expliquait l’administration par voie orale des composés de la formule I. Ils ont affirmé qu’une personne moyennement versée dans l’art aurait lu la demande 778 et la demande 540, et aurait compris que les inventeurs avaient obtenu certaines données pour étayer leurs positions. En contre-interrogatoire, le Dr Smith a indiqué qu’il n’avait pas totalement compris les étapes chronologiques de l’établissement de rapports relatifs aux données et de la présentation et du partage de celles-ci dans un contexte de brevets, et qu’il estimait qu’un titulaire d’un brevet aurait en sa possession des données qui n’ont pas été soulevées dans les documents de référence visant à appuyer les revendications du brevet. Le Dr Smithgall a reconnu, en contre-interrogatoire, qu’il avait compris que certains composés de la demande 778, et non leur totalité, auraient été administrables par voie orale, parce qu’un traitement administré par voie orale ne convient pas à certaines affections, comme le psoriasis, dont le traitement est expliqué dans la demande 778.

[179] Le Dr Talpaz, l’un des inventeurs de la revendication 540, a déclaré qu’en ce qui a trait au traitement par la voie orale, il eût été impossible d’anticiper la moindre chance de succès, en raison de la pharmacocinétique et des facteurs de l’hôte pertinents à la LMC. Il a soutenu que la personne moyennement versée dans l’art n’aurait pu, à partir de l’art antérieur, tirer aucun renseignement relatif aux propriétés in vivo concernant l’un ou l’autre des composés divulgués dans la demande 540 ou le dasatinib, notamment, à savoir comment ou si ces composés entreraient dans les cellules de LMC. Par conséquent, il était d’avis qu’il aurait fallu effectuer des recherches cliniques considérables pour réaliser l’invention.

[180] Néanmoins, lors du contre-interrogatoire portant sur la demande 540, le Dr Talpaz a reconnu que, suivant l’interprétation que se ferait la personne moyennement versée dans l’art des déclarations dans le brevet, cette personne estimerait que le titulaire du brevet aurait démontré que les déclarations du brevet étaient exactes ou qu’elles offraient un fondement à partir duquel il était possible d’en déduire l’exactitude. Bien qu’il ait hésité quant au niveau de preuve que le titulaire devrait avoir en sa possession selon l’estimation de la personne moyennement versée dans l’art, afin d’étayer la déduction de cette dernière, et qu’il se soit arrêté sur la signification de certains mots (p. ex., administré par voie orale), il a reconnu qu’un lecteur versé dans l’art se fierait aux déclarations du titulaire du brevet et estimerait que celles-ci s’appuient sur un fondement factuel.

[181] Bien que je sois d’accord avec le Dr Talpaz selon qui l’efficacité de l’administration par voie orale ne pouvait être prédite avant que ne soient effectués des essais cliniques, j’estime que cet élément ne permet pas de trancher la question de savoir si oui ou non l’invention constituait un « essai allant de soi ». La première question portant sur l’analyse visant l’essai allant de soi soulève le point de savoir s’il est plus ou moins évident qu’une approche doive fonctionner, une question qui, par ailleurs, s’apparente à celle de la prédiction valable de l’analyse de l’utilité. Plusieurs brevets, y compris le brevet 898, ont été accordés en l’absence de données cliniques à la date de la revendication. S’il est possible de prédire l’utilité d’une invention à partir de données précliniques, le corolaire logique qui en découle serait que la personne moyennement versée dans l’art, n’ayant accès qu’aux renseignements précliniques, pourrait conclure qu’il s’agit d’une invention qui va de soi, et dans ce cas, considérant les connaissances générales courantes, conclure également qu’il allait de soi de vouloir utiliser le dasatinib par voie orale pour traiter la LMC.

[182] De plus, malgré le fait que les demanderesses soutiennent que de nombreuses recherches ont dû être réalisées pour mener à la création d’un traitement par voie orale utilisant le dasatinib, le brevet 898 ne révèle aucune explication relative à l’administration par voie orale supérieure à l’explication fournie dans la demande 778. Le brevet 898 ne divulgue également aucun renseignement relatif à la biodisponibilité du dasatinib. Par conséquent, le brevet 898 et le brevet 778 reposent sur la même description de l’invention.

[183] Conformément à l’alinéa 27(3)a) de la Loi sur les brevets, le mémoire descriptif d’un brevet doit décrire de façon exacte et complète l’invention et son application ou exploitation, telles que les a conçues son inventeur. Si l’utilisation par voie orale du dasatinib est décrite d’une façon exacte et complète dans le brevet 898, il s’ensuit alors que l’utilisation par voie orale des composés de formule I (y compris le dasatinib) était également divulguée dans la demande 778. Personne ne conteste le fait que le titulaire du brevet est lié par ses déclarations, comme en ce qui a trait à ce qui forme l’état de la technique (voir par exemple, Merck & Co Inc c Pharmascience Inc, 2010 CF 510, au paragraphe 8; Eli Lilly Canada Inc c Novopharm Limitée, 2007 CF 596, au paragraphe 142; Whirlpool Corp c Camco Inc (1997), 76 CPR (3d), 150, à la page 186, conf. par 2000 CSC 67).

[184] Par conséquent, sur le fondement de l’art antérieur, une personne moyennement versée dans l’art à un moment pertinent aurait su que le dasatinib était un inhibiteur de PTK de la famille des Src qui avait une valeur thérapeutique et qu’il pouvait être administré par voie orale, et que les inhibiteurs de PTK de la famille des Src – plus particulièrement les inhibiteurs de c-Src, de Lyn, et de Hck – pouvaient être utilisés pour traiter la LMC. De plus, le Dr Smithgall a déclaré qu’il existe suffisamment de similitudes dans la structure des PTK de la famille des Src pour qu’un composé qui inhibe un membre de la famille inhibe d’autres kinases de la famille des Src. Cette preuve n’a été contestée ni par le Dr Jorgensen ni par le Dr Talpaz. Ainsi, la personne moyennement versée dans l’art pourrait tenir pour acquis que le dasatinib inhiberait les PTK de c-Src, ainsi que d’autres PTK de la famille des Src concernées, en se fondant sur la demande 778.

[185] Les demanderesses n’ont présenté aucun élément de preuve étayant que les recherches qu’elles avaient effectuées en vue de trouver l’invention relative à la revendication 1 (c.-à-d., l’administration, par voie orale, du dasatinib pour traiter la LMC) aient été laborieuses ou excessives. Le public aurait eu accès à des lignées cellulaires et à des modèles de souris de la LMC, et aucun expert n’a laissé entendre que le travail préclinique, lequel avait été effectué avant la date pertinente, avait été tout sauf du travail courant. De plus, le brevet 898 montre, et le Dr Talpaz abondait dans le même sens en contre-interrogatoire, que le dasatinib n’avait pas à subir de modification chimique pour être un traitement thérapeutique viable. Le Dr Smithgall a indiqué qu’à son avis, la personne moyennement versée dans l’art n’aurait pas besoin de faire preuve d’ingéniosité inventive pour utiliser les renseignements de la demande 778 et tout art antérieur pour conclure qu’il allait de soi de vouloir tenter de traiter la LMC par voie orale au moyen du dasatinib. Enfin, comme il a été mentionné ci-dessus, BMS n’avait entamé aucun travail d’essai clinique à la date de priorité du brevet 898.

[186] Pour conclure le sujet de la revendication 1, m’appuyant sur la preuve présentée par les experts, j’estime que l’allégation de la défenderesse, voulant que la revendication soit évidente, est justifiée.

b) La revendication 3 : le traitement de la LMC résistante à l’imatinib

[187] Au début de l’année 2003, le fait que la résistance à l’imatinib devenait un grave problème dans la gestion de la LMC faisait partie des connaissances générales courantes. Par conséquent, on s’intéressait grandement à la recherche de traitements alternatifs pouvant être utilisés chez les patients ayant développé une résistance à l’imatinib.

[188] En contre-interrogatoire, le Dr Smith a expliqué que plusieurs approches relatives au traitement de la LMC résistante à l’imatinib étaient explorées dans les milieux scientifique et médical, notamment, inhiber la farnésyl transférase, augmenter la dose d’imatinib, trouver d’autres inhibiteurs de Bcr-Abl, et inhiber des PTK de la famille des Src. Néanmoins, selon les résumés détaillés présentés par les Drs Smith et Smithgall en ce qui a trait à leurs recherches de l’art antérieur, j’estime que la défenderesse n’a dirigé aucun expert vers l’art antérieur dans lesquelles était discuté le rôle des PTK de la famille des Src dans la LMC résistante à l’imatinib.

[189] Le Dr Smith a déclaré que de ces approches, la voie de la Src était l’une des voies les plus intéressantes et encourageantes pour s’attaquer à la résistance à l’imatinib, et que les autres approches ne jouissaient aucunement d’une telle « renommée scientifique », depuis 2003. Il a expliqué que les kinases de la famille des Src font partie de la voie des Bcr-Abl; et qu’il était connu, au moment pertinent, que le ciblage de la voie Bcr-Abl était un moyen efficace pour inhiber la prolifération cellulaire dans le cadre d’études sur la LMC résistante à l’imatinib.

[190] Le Dr Talpaz a affirmé que le rôle des PTK de la famille des Src dans la LMC n’était que simple conjecture depuis mars 2003, et il a laissé entendre qu’une personne moyennement versée dans l’art n’aurait pas imaginé qu’il allait de soi de vouloir tenter des essais sur les inhibiteurs de PTK de la famille des Src. Néanmoins, l’art antérieur démontre que les cliniciens et scientifiques voulaient savoir quels seraient les effets des activités des PTK de la famille des Src sur les cellules de LMC et de LMC résistante à l’imatinib. Qui plus est, l’art antérieur montre que ces cliniciens et scientifiques étaient convaincus, qu’à la date pertinente, les PTK de la famille des Src, plus particulièrement, la Lyn et l’Hck, étaient des cibles thérapeutiques potentielles de la LMC et de la LMC résistantes à l’imatinib.

[191] Le Dr Talpaz a insisté pour dire que les explications dans la demande 540 n’étaient qu’une divulgation d’un potentiel théorique. Quoi qu’il en soit, elles auraient incité la personne moyennement versée dans l’art à continuer les enquêtes eu égard à l’inhibition de la kinase de la famille des Src, et l’auraient menée à croire à l’existence de plus de données que ce qui avait été publié en vue d’étayer le lien entre l’inhibition de la kinase de la famille des Src et le traitement de la LMC. Le Dr Talpaz ne peut maintenant rejeter les déclarations qui avaient été faites dans la demande 540. La Cour n’entreprendra pas de rédiger une nouvelle version de l’art antérieur dans le but de confirmer le brevet, peu importe si des éléments de preuve qui ont subséquemment été présentés démontrent que des déclarations faites dans ces brevets antérieurs n’étaient possiblement pas justifiées.

[192] Comme il a été discuté précédemment, les Drs Smith et Smithgall étaient d’avis qu’une personne moyennement versée dans l’art aurait cru que la demande 540 expliquait que les composés inhibiteurs des kinases de la famille des Src étaient efficaces dans le traitement de la LMC, ajoutant ainsi du poids à la direction scientifique expliquée par l’autre art antérieur. De fait, le Dr Lee a admis en contre-interrogatoire, que c’était les liens entre les PTK de la famille des Src et la LMC, lesquels avaient été révélés dans les documents, qui avaient suscité son intérêt à l’égard des essais sur les inhibiteurs de PTK de la famille des Src, plus particulièrement, le dasatinib, dans les lignées cellulaires résistantes au dasatinib. Dans son mémoire envoyé à BMS demandant que le dasatinib soit considéré aux fins d’essais cliniques, daté de juillet 2002, le Dr Lee a écrit ce qui suit :

[traduction]

Le fondement mécaniste de la capacité du [dasatinib] à vaincre la résistance au GleevecMD n’est pas bien compris. Des rapports récents laissant entendre que l’activation de deux membres de la famille des Src (Lyn, et Hck) peut être en partie responsable de la résistance au GleevecMD chez les patients atteints de LMC appuient le potentiel du [dasatinib] dans la gestion de cette maladie.

[…]

À l’heure actuelle, aucun inhibiteur de Src n’est commercialisé et, par conséquent, l’utilité d’un tel agent dans le traitement des malignités chez les humains n’a toujours pas été établie. Toutefois, l’importance de la protéine kinase de la famille des Src dans l’étiologie de plusieurs formes de cancer chez les humains est bien établie.

[193] Au moment de la rédaction du mémoire, la preuve révèle que le Dr Lee possédait des données précliniques démontrant l’aspect curatif du dasatinib sur une lignée cellulaire résistante au dasatinib et sur la LMC dans un modèle de souris, ainsi que des données sur la biodisponibilité et la toxicité chez plusieurs modèles animaux. Dans son affidavit, le Dr Lee a décrit son processus de création de lignées cellulaires résistantes au dasatinib; cependant, il n’y a aucune description d’études sur la biodisponibilité ou la toxicité. L’art antérieur démontre que la méthode de fabrication de lignées cellulaires résistantes au dasatinib faisait partie des connaissances générales courantes. De plus, je déduis de l’absence de commentaire du Dr Lee, en ce qui a trait aux expériences sur la biodisponibilité et à la toxicité, qu’il s’agissait d’analyses de routine qui ne nécessitaient aucune démarche inventive.

[194] Le Dr Lee et son équipe ont été autorisés à organiser des essais cliniques de la phase I, lesquels ont débuté aux mois de novembre 2003. Cette autorisation témoigne du niveau de confiance suffisamment élevé de BMS à l’égard de l’utilisation du dasatinib, fondée sur les données précliniques, pour investir beaucoup d’argent dans des essais cliniques, et elle donne à entendre que les demanderesses estimaient qu’il allait plus ou moins de soi que les résultats en vaudraient la peine.

[195] Le Dr Talpaz a indiqué qu’il était d’avis qu’une personne qui n’aurait pas un niveau de connaissance aussi élevé que le Dr Lee à l’égard du dasatinib n’aurait pas choisi de procéder à des essais sur le dasatinib plutôt que sur d’autres inhibiteurs de PTK de la famille des Src dont l’existence avait été divulguée dans les ouvrages scientifiques. En contre-interrogatoire, le Dr Smith a avoué qu’il existait d’autres inhibiteurs de PTK de la famille des Src dont on estimait qu’ils puissent représenter une percée dans le traitement de la LMC, comme le PP1 et le SKI-606; toutefois, il a soutenu que le dasatinib aurait suscité de l’intérêt.

[196] Le fait qu’il existe plusieurs voies évidentes pour parvenir à une invention ne rend pas nécessairement une invention ou toutes les inventions non évidentes. Cette affirmation est d’autant plus exacte lorsqu’on considère les méthodes utilisées par les scientifiques lors des essais de sélection des composés afin d’établir le potentiel de leur activité thérapeutique. Le Dr Lee a expliqué que les essais sur les composés sont effectués selon une méthode à haut débit, laquelle favorise la sélection de centaines de composés parmi plusieurs lignées cellulaires ou PTK aux fins d’analyse de leur activité sur des plaques à 96 cupules. De plus, selon les renseignements obtenus des experts, rien ne permettait de conclure à l’existence de l’art antérieur qui aurait eu un effet dissuasif en ce qui a trait à l’utilisation du dasatinib pour traiter la LMC ou la LMC résistante à l’imatinib. Par conséquent, je ne partage pas l’avis voulant que l’utilisation du dasatinib pour traiter la LMC ou la LMC résistante à l’imatinib ne fût pas évidente, simplement en m’appuyant sur le fait que d’autres composés candidats étaient étudiés dans les ouvrages scientifiques.

[197] Le Dr Talpaz a déclaré qu’il n’a pas été démontré qu’un inhibiteur qui inhibe les PTK de la famille des Src, et aucun autre PTK, est efficace pour le traitement de la LMC ou de la LMC résistante à l’imatinib. De plus, le Dr Lee a expliqué que son équipe avait, depuis, trouvé que le dasatinib est un traitement de la LMC et de LMC résistante à l’imatinib, parce qu’il inhibe la Bcr-Abl, en plus des PTK de la famille des Src. En contre-interrogatoire, le Dr Smithgall a convenu qu’il était exact de dire qu’il n’avait pas été démontré qu’un inhibiteur qui bloquait uniquement les PTK de la famille des Src, et aucun autre, n’était utile dans le traitement de la LMC ou de la LMC résistante à l’imatinib. Néanmoins, il a soutenu qu’il n’en demeurait pas moins qu’une personne moyennement versée dans l’art, à la date pertinente, aurait cru que les inhibiteurs de PTK de la famille des Src étaient des composés candidats qui devraient fonctionner dans le traitement de la LMC et de LMC résistantes à l’imatinib.

[198] De plus, les Drs Smith et Smithgall ont affirmé qu’il allait de soi de vouloir utiliser le dasatinib à l’égard de la LMC et de la LMC résistante à l’imatinib. Ils ont expliqué que le traitement de la LMC résistante à l’imatinib avec des inhibiteurs de PTK de la famille des Src était évident parce que l’inhibiteur ciblerait une autre kinase de la voie de Src, ce qui est un mécanisme distinct de l’inhibition de Bcr-Abl par l’imatinib, permettant ainsi le traitement de la LMC et de la LMC résistante à l’imatinib au moyen du même mécanisme alternatif.

[199] Enfin, comme il a été discuté en ce qui a trait à la revendication 1, l’utilisation par voie orale d’inhibiteurs de PTK de la famille des Src, en particulier le dasatinib, a été expliquée dans la publication antérieure. Par conséquent, m’appuyant sur la preuve présentée par les experts, j’estime que l’allégation de la défenderesse, voulant que la revendication 3 soit invalide pour des motifs d’évidence, est justifiée.

3) Conclusion concernant l’évidence

[200] Pour conclure la question de l’évidence, j’estime qu’en mars 2003, une personne moyennement versée dans l’art aurait compris les éléments présentés ci-dessous :

  • 1) [traduction] De nombreuses études in vitro et in vivo avaient démontré un lien entre les PTK de la famille des Src, plus particulièrement la Src, la Lyn et l’Hck, – et la LMC, au point où l’inhibition de la PTK de la famille des Src était l’une des voies les plus intéressantes et encourageantes pour s’attaquer au traitement de la LMC et à la résistance à l’imatinib.

  • 2) Des travaux in vivo, et au moins précliniques, avaient été effectués et démontraient que les inhibiteurs c-SRC, utilisés seuls ou en combinaison avec l’imatinib, pouvaient être un traitement de la LMC et de la LMC résistante à l’imatinib.

  • 3) Il existait des données démontrant que les composés de formule I, divulgués dans la demande 778 et incluant le dasatinib, convenaient à une administration par voie orale contre des troubles associés à la PTK.

[201] L’invention dont il est question dans les revendications 1 et 3 du brevet 898 est l’utilisation par voie orale du dasatinib pour le traitement de la LMC et de la LMC résistante à l’imatinib, respectivement. Il ne fait aucun doute qu’à la période pertinente, le milieu de la recherche sur la LMC était considérablement motivé à trouver une thérapie alternative comme traitement de la LMC et de LMC résistante à l’imatinib. Considérant l’état de la technique avant le 24 mars 2003, je conclus que l’allégation de la défenderesse, selon laquelle il allait plus ou moins de soi que le traitement de la LMC et de la LMC résistante à l’imatinib par le dasatinib donne des résultats positifs, est justifiée. J’estime également que l’allégation de la défenderesse selon laquelle la nature du travail requis pour réaliser l’invention était routinière est justifiée.

[202] Par conséquent, je conclus que l’allégation d’invalidité fondée sur l’évidence soulevée par la défenderesse est justifiée à la fois en ce qui a trait à la revendication 1 et à la revendication 3.

B. Double brevet

1) Le droit applicable

[203] Il est précisé au paragraphe 36(1) de la Loi sur les brevets que « [un] brevet ne peut être accordé que pour une seule invention, mais dans une instance ou autre procédure, un brevet ne peut être tenu pour invalide du seul fait qu’il a été accordé pour plus d’une invention ». Le marché conclu à l’égard d’un brevet est dans l’intérêt du titulaire du brevet et du public « seulement si le titulaire du brevet acquiert une protection réelle en échange de la divulgation de son invention et que, de son côté, le public ne lui accorde pas un monopole excédant la période légale de [20] ans à partir de la date de délivrance du brevet » (Whirlpool Corp c Camco Inc, 2000 CSC 67, au paragraphe 37 [Whirlpool]).

[204] Il y a un double brevet lorsque deux brevets sont délivrés au même inventeur, et que le brevet ultérieur contient des revendications identiques à celles du premier (Whirlpool, précité, au paragraphe 63). Pour établir si une situation de double brevet s’est produite, la Cour doit comparer les revendications, plutôt que les divulgations, des deux brevets et établir si les brevets sont 1) « identiques ou s’ils coïncident »; ou 2) évidents, de sorte que les revendications du deuxième brevet ne visent « un élément brevetable distinct » de celui du brevet délivré précédemment (Whirlpool, aux paragraphes 63 à 66).

[205] Un second brevet ne saurait être justifié que si les revendications font preuve de nouveauté ou d’ingéniosité par rapport au premier brevet (Whirlpool, au paragraphe 67). Récemment, le juge Pelletier, s’exprimant au nom de la Cour d’appel fédérale, a indiqué que la date à utiliser lors d’une analyse portant sur le double brevet relatif à une évidence est une question qui n’a toujours pas été tranchée, et qu’il existait possiblement d’autres cadres d’analyse, lesquels ne dépendent aucunement d’une date de référence, pour aborder le double brevet (Apotex c Eli Lilly, 2016 CAF 267, aux paragraphes 38 à 40 [Apotex Tadalafil CAF]) :

De plus, la question de la date de comparaison à utiliser dans des affaires de double brevet n’avait pas été examinée dans la jurisprudence de la Cour suprême ni dans la doctrine. Il serait donc pour le moins étonnant que le juge Binnie ait voulu trancher implicitement une question nouvelle […] je ne peux que conclure que la réticence du juge Binnie sur ce point était délibérée et qu’il n’avait nullement l’intention de trancher cette question précise.

[…]

Le fait que cette question n’avait encore jamais été soulevée sous cette forme pourrait être une indication qu’il pourrait y avoir d’autres façons de l’examiner. Il se pourrait que la Cour, après avoir interprété les revendications de chacun des brevets avec l’aide de personnes versées dans l’art, se contente de comparer les revendications et de déterminer si les revendications du brevet le plus récent comprennent des éléments brevetables distincts de celles des brevets antérieurs à la lumière de la compréhension acquise lors de l’interprétation des brevets. […] à l’avenir, les parties ne devraient pas avoir l’impression d’être obligées d’utiliser le cadre choisi par les parties dans ces affaires.

2) Discussion

[206] À l’audience, les parties ont convenu que si je devais conclure que les allégations d’invalidité fondée sur l’évidence soulevées par la défenderesse sont justifiées en ce qui a trait à la revendication 1 du brevet 898, alors les allégations de double brevet relatif à une évidence visant la même revendication, soulevées par la défenderesse, seraient également justifiées. Par conséquent, la seule revendication en cause qui est liée au double brevet est la revendication 3.

[207] La question de savoir quelle date devrait être pertinente à l’analyse sur le double brevet a fait l’objet d’une importante argumentation : la date de la revendication du premier brevet (premier dépôt), la date de priorité du deuxième brevet (deuxième priorité), ou la date de publication du deuxième brevet (deuxième publication). Si la date pertinente est la date du premier dépôt, alors la revendication 3 ne serait pas invalide en raison du double brevet relatif à une évidence, parce que la LMC résistante à l’imatinib n’était pas bien connue, le 15 avril 1999. Toutefois, si la date pertinente est soit la date de deuxième priorité, soit la date de la deuxième publication, alors ma conclusion voulant que soit justifiée l’allégation de la défenderesse selon laquelle la revendication 3 est évidente signifie que la revendication 3 est invalide pour cause de double brevet relatif à une évidence.

[208] Les demanderesses soutiennent, qu’en l’absence d’une directive claire, autant de la part de la Cour d’appel fédérale que de la Cour suprême du Canada, il convient à la Cour de rendre une décision allant dans le même sens que celle rendue par le juge Yves de Montigny, dans Eli Lilly Canada Inc c Mylan Pharmaceuticals ULC, 2015 CF 17 [Mylan], laquelle a été confirmée en appel (Mylan c Eli Lilly, 2016 CAF 119 [Mylan CAF]) sans que la Cour d’appel fédérale se prononce sur la question de savoir laquelle, entre la date du premier dépôt et la date de deuxième priorité, est la date appropriée pour faire l’analyse du double brevet relatif à une évidence.

[209] La défenderesse soutient qu’en raison de l’effet malveillant du double brevet – qui consiste à obliger le public à endurer pour une durée prolongée un monopole sur une invention – la date appropriée pour faire l’analyse du double brevet relatif à une évidence devrait être la date de la deuxième publication. La défenderesse affirme que cette date est la première à laquelle le titulaire du brevet peut faire respecter son deuxième brevet et à laquelle le public est menacé d’être tenu responsable de contrefaire le brevet. À titre subsidiaire, la défenderesse soutient que la date du deuxième dépôt est la date appropriée pour faire l’analyse du double brevet relatif à une évidence.

[210] Dans la décision Mylan, le juge de Montigny a déclaré que l’utilisation de la date de priorité du second brevet ferait en sorte que l’analyse du double brevet relatif à une évidence se métamorphoserait en une pure analyse de l’évidence, et que les exigences de l’article 28.3 de la Loi sur les brevets en ce qui a trait au temps seraient ainsi contournées. Le juge a laissé entendre qu’il serait inapproprié de « lire dans les revendications du premier brevet plus que ce que la personne versée dans l’art aurait compris à la date de revendication au moment de comparer les revendications du second brevet à celles du premier brevet » (Mylan, au paragraphe 134).

[211] Dans l’arrêt Mylan CAF, au paragraphe 47, le juge Rennie n’a pas explicitement souscrit au choix du juge de Montigny quant à la date de priorité du premier brevet, mais il s’est dit « convaincu que la date de publication du deuxième brevet (la dernière date) n’est pas la bonne date à utiliser ». Cependant, le juge Pelletier, s’exprimant au nom d’une formation de la Cour d’appel fédérale spécialement constituée pour trancher la question de savoir si l’arrêt Mylan CAF allait dans le même sens que la décision de la Cour suprême du Canada dans l’arrêt Whirlpool, a statué ce qui suit (Apotex Tadalafil CAF, au paragraphe 39) :

Pour ces motifs, je ne suis pas d’accord pour dire que l’arrêt Whirlpool a déterminé que la date à utiliser pour comparer les revendications de deux brevets en cause dans une affaire de double brevet est la date de publication du brevet le plus récent. La question reste donc entière.

[212] Considérant les faits de cette affaire, le juge Pelletier a estimé qu’il n’y avait pas de raison justifiant que la Cour d’appel fédérale s’éloigne de la conclusion rendue en ce qui a trait à la question du double brevet dans l’arrêt Mylan CAF, mais il a refusé de confirmer l’exclusion par le juge Rennie, de la date de la deuxième publication (Apotex Tadalafil CAF, au paragraphe 41). Par conséquent, l’état actuel du droit, concernant la date appropriée ayant trait à l’analyse du double brevet relatif à une évidence, ne permet pas de trancher la question.

[213] À la lumière des commentaires explicites formulés par le juge Rennie à savoir si la date de la deuxième publication est appropriée, je conclus que les principales observations exprimées par la défenderesse à cet égard, bien qu’elles soient convaincantes en fonction des principes qui sous-tendent le double brevet relatif à une évidence, ne peuvent lui donner gain de cause. Toutefois, je note que le juge Pelletier a proposé un autre cadre d’analyse du double brevet relatif à une évidence qui semble, en fait, placer la date de l’analyse à la date de la deuxième publication, puisque l’interprétation de la revendication doit se faire à la date de publication de chaque brevet (Apotex Tadalafil CAF, au paragraphe 40) :

Il se pourrait que la Cour, après avoir interprété les revendications de chacun des brevets avec l’aide de personnes versées dans l’art, se contente de comparer les revendications et de déterminer si les revendications du brevet le plus récent comprennent des éléments brevetables distincts de celles des brevets antérieurs à la lumière de la compréhension acquise lors de l’interprétation des brevets.

[214] Lors de l’analyse du double brevet relatif à une évidence, le renouvellement à perpétuité inadmissible porte sur l’ajout au premier brevet de fanfreluches qui ne comportent aucun aspect inventif. Évaluer si les revendications des deux brevets comprenant des éléments brevetables distincts à cette date antérieure auraient pour effet d’exclure les modifications, plus particulièrement les modifications relatives à l’utilisation, qui deviennent évidentes à une date ultérieure en raison de l’évolution des connaissances générales courantes. Il serait singulier qu’un brevet ultérieur devienne évident, lorsque comparé au premier, mais ne constituerait pas forcément un exemple d’analyse du double brevet relatif à une évidence.

[215] Par conséquent, je souscris aux propos de la juge Mary Gleason, dans Eli Lilly Canada Inc c Apotex Inc, 2015 CF 875 [Eli Lilly Tadalafil], au paragraphe 132 :

Dans le cas particulier des brevets pharmaceutiques intéressant une nouvelle utilisation d’un composé ou d’une classe de composés existants, les connaissances générales courantes peuvent progresser après la date de revendication du premier brevet de manière à rendre évidente la nouvelle utilisation visée par le second brevet à la date de sa revendication, celui-ci constituant un renouvellement à perpétuité inadmissible par voie de prolongation basée sur des modifications évidentes au brevet initial. Dans de telles circonstances, j’estime qu’on peut validement défendre le choix de la date de priorité du second brevet comme celle à laquelle l’analyse portant sur le double brevet relatif à une évidence devrait se rapporter.

[216] Considérant ma conclusion selon laquelle la date de priorité du second brevet est la date à laquelle il convient d’analyser le double brevet relatif à une évidence, je conclus que les allégations de double brevet soulevées par la défenderesse sont justifiées à la fois en ce qui a trait à la revendication 1 et à la revendication 3 du brevet 898.

IX Dépens

[217] Les dépens suivront l’issue de la cause, et ils seront taxés conformément au milieu de la colonne IV du tarif B. Apotex a également droit au paiement des débours raisonnables et des taxes applicables. Si les parties ne parviennent pas à s’entendre sur les dépens, il est loisible aux parties de présenter des observations à la Cour dans les deux semaines de la date du présent jugement.


JUGEMENT

LA COUR REND LE JUGEMENT SUIVANT :

  • 1 La demande d’interdiction se rapportant aux brevets canadiens nos 2 366 932 et 2 519 898 est rejetée.

  • 2 L’allégation d’invalidité soulevée par Apotex à l’égard de la revendication 27 du brevet 932 est justifiée pour cause d’inutilité.

  • 3 L’allégation d’invalidité soulevée par Apotex à l’égard des revendications 1 et 3 du brevet 898 est justifiée pour cause d’évidence et de double brevet.

  • 4 Apotex a droit aux dépens de la présente demande, lesquels seront taxés conformément au milieu de la colonne IV du tarif B. Si les parties ne peuvent s’entendre sur les dépens, des observations écrites concises sur les dépens, ne dépassant pas cinq pages, seront présentées au plus tard 14 jours de la date du présent jugement.

  • 5 L’ordonnance préventive de la protonotaire Martha Milczynski en date du 25 novembre 2015 est prorogée. Si le ministre de la Santé délivre un avis de conformité à Apotex à l’égard de l’APO-Dasatinib, Apotex doit informer la Cour dans les 48 heures de la délivrance de l’avis de conformité afin de favoriser la modification de la version publique du jugement et des motifs en retirant les passages qui portent sur les contenus de l’APO-Dasatinib.

« Michael D. Manson »

Juge

Traduction certifiée conforme

Ce 10e jour d’août 2020

Lionbridge


COUR FÉDÉRALE

AVOCATS INSCRITS AU DOSSIER


DOSSIER :

T-1100-15

INTITULÉ :

BRISTOL-MYERS SQUIBB CANADA ET AL c APOTEX INC ET AL

 

LIEU DE L’AUDIENCE :

TORONTO (ONTARIO)

 

DATE DE L’AUDIENCE :

DU 20 AU 22 FÉVRIER 2017

 

JUGEMENT ET MOTIFS :

LE JUGE MANSON

 

DATE DES MOTIFS :

Le 21 mars 2017

COMPARUTIONS :

Steven Mason

David Tait

Rebecca Crane

Pour les demanderesses

Andrew Brodkin

Richard Naiberg

Sandon Shogilev

POUR LA DÉFENDERESSE,

APOTEX INC.

AVOCATS INSCRITS AU DOSSIER :

MCCARTHY TÉTRAULT S.E.N.C.R.L., s.r.l.

Avocats

TORONTO (ONTARIO)

Pour les demanderesses

Goodmans

Avocats

TORONTO (ONTARIO)

POUR LA DÉFENDERESSE,

APOTEX INC.

William F. Pentney

Sous-procureur général du Canada

TORONTO (ONTARIO)

POUR LE DÉFENDEUR,

LE MINISTRE DE LA SANTÉ

 Vous allez être redirigé vers la version la plus récente de la loi, qui peut ne pas être la version considérée au moment où le jugement a été rendu.