Décisions de la Cour fédérale

Informations sur la décision

Contenu de la décision

Date : 20200406


Dossier : T-226-18

Référence : 2020 CF 486

[TRADUCTION FRANÇAISE CERTIFIÉE, NON RÉVISÉE]

Ottawa (Ontario), le 6 avril 2020

En présence de monsieur le juge Manson

ENTRE :

VIIV HEALTHCARE COMPANY,

SHIONOGI & CO., LTD. ET

VIIV HEALTHCARE ULC

demanderesses/

défenderesses reconventionnelles

et

GILEAD SCIENCES CANADA, INC.

défenderesse/

demanderesse reconventionnelle

JUGEMENT ET MOTIFS

I.  Introduction

[1]  Il s’agit d’une requête en procès sommaire dans le cadre d’une action en matière de brevets. Étant donné les questions étroites et bien définies dont la Cour est saisie, il s’agit d’une procédure appropriée pour faire avancer le litige et limiter les questions en litige.

II.  Contexte

[2]  La défenderesse, Gilead Sciences Canada, Inc [Gilead] a déposé la présente requête en procès sommaire dans le cadre d’une action intentée par les demanderesses, ViiV Healthcare Company, Shionogi & Co Ltd et ViiV Healthcare ULC [collectivement « ViiV »], alléguant que Gilead a enfreint le brevet canadien n° 2,606,282 [le brevet 282] en fabriquant, en utilisant, en vendant ou en offrant à la vente du bictégravir à titre de composant de son produit BIKTARVY. Gilead nie toutes les allégations de contrefaçon et dépose une demande reconventionnelle dans laquelle elle allègue que le brevet 282 est invalide.

[3]  La requête se limite à deux questions :

[4]  Au début du procès, comme ViiV a reconnu que le cycle A est un élément essentiel des revendications, la seule question en litige en lien avec l’interprétation des revendications est de savoir si la revendication 1, 11 ou 16 vise les structures bicycliques pontées du cycle A.

A.  Le brevet 282

[5]  Le titre du brevet 282 est « Dérivé polycyclique de la carbamoylpyridone à activité inhibitrice sur l’intégrase du VIH ». Le brevet est la copropriété de ViiV Healthcare Company [ViiV USA] et de Shionogi & Co, Ltd [Shionogi]. ViiV Healthcare ULC, une entité canadienne, est licenciée indirectement par ViiV USA et Shionogi, et, à ce titre, est une personne se réclamant des brevetés.

[6]  Le brevet 282 compte 315 pages. Il contient 437 revendications et vise plusieurs composés. Cependant, comme il a été mentionné ci‑haut, seules les revendications 1, 11 et 16 sont en litige dans le présent procès sommaire. Chacune de ces revendications renvoie à une famille de composés et à leurs sels ou solvates pharmaceutiquement acceptables. Les revendications 1 et 11 sont les seules revendications indépendantes invoquées. Les parties et leurs experts ont principalement consacré leurs efforts à l’interprétation des pages 39 à 42, 47 à 54 et 241 à 245 de la description, soit moins de 20 pages sur les 245 pages de la description.

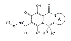
[7]  Comme il est indiqué dans la section « Technical Field » de la description, le brevet 282 divulgue de nouveaux composés ayant une activité inhibitrice de l’intégrase du virus de l’immunodéficience humaine [VIH] et des compositions pharmaceutiques contenant lesdits composés. La structure générale des composés revendiqués, présentant un cycle A sur la droite, a été décrite pour la première fois à la page 4 du brevet :

B.  Bictegravir

[8]  Le bictegravir sodique est l’un des trois composants médicinaux du produit de Gilead BIKTARVY. Comme il est indiqué dans la monographie de produit de BIKTARVY, voici la formule développée du bictégravir sodique :

[9]  L’orientation de cette formule développée est inverse par rapport à celle des formules développées du brevet 282. Lorsqu’on fait subir à cette formule développée une rotation de 180 degrés, elle devient la même que les formules du bictégravir sodique dans le brevet :

[10]  Le litige porte sur l’interprétation téléologique du cycle A dans les revendications 1, 11 et 16, et consiste à savoir si le cycle ponté du bictégravir, encerclé dans les schémas ci‑dessus, est visé par les revendications.

III.  Procès sommaire

[11]  Les facteurs à considérer dans une requête en procès sommaire sont les suivants :

le montant en cause;

la complexité de l’affaire;

l’urgence de l’affaire;

tout préjudice susceptible de découler d’un retard;

le coût de la tenue d’un procès traditionnel par rapport au montant en cause;

le déroulement de l’instance;

la question de savoir s’il s’agit d’un long litige et si le procès sommaire prendra beaucoup de temps;

la question de savoir si la crédibilité est un facteur crucial et si les déposants des affidavits contradictoires ont été contre-interrogés.

la question de savoir si la tenue d’un procès sommaire comporte un risque important de perte de temps et d’effort, et de complexité inutile;

la question de savoir si la requête entraîne le morcellement du litige;

toute autre question qui se pose.

Wenzel Downhole Tools Ltd c National-Oilwell Canada Ltd, 2010 CF 966, aux paragraphes 36 et 37 [Wenzel]

[12]  Si la Cour est convaincue de la suffisance de la preuve pour trancher l’affaire, indépendamment des sommes en cause, de la complexité des questions en litige et de l’existence d’une preuve contradictoire, elle peut rendre un jugement sur l’ensemble des questions ou sur une question en particulier à moins qu’elle ne soit d’avis qu’il serait injuste de le faire (Règles des Cours fédérales, DORS-98/106, paragraphe 216(6)).

[13]  Il n’est pas nécessaire de réserver la tenue d’un procès sommaire aux cas où chaque question en litige sera tranchée. La Cour a le pouvoir discrétionnaire d’examiner une ou plusieurs questions et de déterminer s’il convient de traiter ces questions par voie de procès sommaire (Règles des Cours fédérales, par. 213(1); Teva Canada Limited c Wyeth LLC and Pfizer Canada Inc., 2011 CF 1169 (inf. pour d’autres motifs 2012 CAF 141), par. 32 [Teva Canada]).

[14]  ViiV soutient que l’absence d’avis d’expert est un facteur qui milite contre la tenue d’un procès sommaire (Wenzel, précité, par. 38). Cependant, les faits de cette affaire étaient nettement différents de ceux de l’espèce. Dans Wenzel, il n’y avait pas de preuve d’expert devant la Cour. Dans la présente affaire, les parties ont présenté cinq témoins experts, qui ont tous été contre-interrogés sur leurs rapports lors du procès sommaire. La Cour dispose de tous les éléments d’expertise nécessaires en plus du mémoire descriptif du brevet 282 pour interpréter le cycle A des revendications 1, 11 et 16 et déterminer si Gilead a démontré l’absence de contrefaçon.

[15]  ViiV soutient en outre que le procès sommaire est inapproprié, car il entraînera le morcellement du litige. Dans Wenzel, la juge Snider a précisé que la séparation de la question de l’antériorité ne réglerait pas de manière concluante le procès si la Cour rendait une décision contre les défendeurs. Dans ce cas, la question de l’évidence – fondée en bonne partie sur les mêmes éléments de preuve – serait tout de même examinée au procès (Wenzel, par. 38).

[16]  La requête dont est saisie la Cour se distingue des affaires invoquées par ViiV. La question de la tenue du procès sommaire concerne l’interprétation d’un seul élément de revendication, le cycle A dans chacune des revendications 1, 11 et 16, et la question de savoir si, sur la base de cette interprétation, Gilead enfreint une ou plusieurs de ces revendications et des revendications qui en dépendent. Comme nous le verrons plus loin en examinant le fardeau de la preuve, l’interprétation des revendications est une question de droit et la seule conclusion de fait nécessaire pour régler le procès sommaire a déjà été tirée.

[17]  La requête dont est saisie la Cour pourrait décider du sort de la demande de ViiV et, en tout état de cause, entraînera les gains d’efficacité suivants :

(1) Si la Cour conclut que le bictégravir n’est pas visé par les revendications 1, 11 ou 16 du brevet 282, aucune de ces revendications et de leurs revendications dépendantes ne peut être ou ne sera violée par Gilead, et l’action de ViiV sera rejetée dans son intégralité.

(2) Si la Cour conclut que le bictégravir n’est pas visé par l’une ou l’autre des revendications 1, 11 ou 16 du brevet 282, le règlement de la question de l’interprétation de la revendication apportera plus de certitude et de clarté pour trancher les questions restantes, y compris la validité. L’interprétation du cycle A dans les revendications en cause est une première étape nécessaire pour déterminer la portée des revendications en cause dans l’action à la fois en matière de contrefaçon et de validité.

[18]  Comme l’a souligné le juge Hughes, « [c]es Règles sont destinées à être utilisées et non à être éludées ou contournées » (Teva Canada, précité, par. 33). Malgré les perpétuelles tentatives de ViiV de faire dérailler le procès sommaire, je considère que la requête de Gilead est à la fois appropriée et opportune.

A.  Fardeau de la preuve

[19]  Gilead, en tant que partie sollicitant un procès sommaire, a le fardeau de démontrer que le procès sommaire est approprié (Teva Canada, par. 35). Pour les motifs exposés ci‑dessus, Gilead s’est acquittée de ce fardeau.

[20]  Sur le fond de la question du procès sommaire, le fardeau habituel dans un procès civil s’applique, c’est-à-dire que « la partie qui formule une allégation doit l’établir au moyen des éléments de preuve et des règles de droit pertinents » (Teva Canada, par. 36). En l’espèce, Gilead affirme que le bictégravir n’est pas visé par les revendications 1, 11 et 16 du brevet 282 et elle a donc le fardeau de prouver la non-contrefaçon.

[21]  Cela dit, l’interprétation de la revendication est une question de droit que la Cour doit trancher (Whirlpool Corp c Camco Inc, 2000 CSC 67, par. 61 et 76 [Whirlpool]). Bien que la question de la contrefaçon soit une question mixte de fait et de droit, le seul fait requis pour déterminer s’il y a contrefaçon des revendications 1, 11 et 16 est la structure du bictégravir. L’admissibilité des éléments de preuve établissant la structure du bictégravir a fait l’objet d’un grand débat avant le procès sommaire, malgré l’accord général des parties sur la structure même. La Cour a jugé admissible la monographie du produit BIKTARVY de Gilead. Ce fait a donc été établi. Par conséquent, les affirmations de Gilead de non‑contrefaçon découleront simplement de l’interprétation par la Cour du cycle A dans les trois revendications en cause.

[22]  Dans la mesure où ViiV affirme qu’aucun des aspects du cycle A n’est essentiel, elle a le fardeau de la preuve pour cette question (Free World Trust c Électro Santé Inc., 2000 CSC 66, par. 57 [Free World Trust]).

IV.  Les experts

A.  Les experts de Gilead

(1)  M. Mark Lautens, Ph. D.

[23]  M. Lautens, Ph. D., est professeur de chimie à l’Université de Toronto. Il a obtenu un doctorat en réactions de synthèse et en catalyse par les métaux de l’Université du Wisconsin-Madison en 1985, et a fait des études postdoctorales dans le domaine de la synthèse des produits naturels bioactifs à l’Université de Harvard entre 1985 et 1987.

[24]  Les domaines de recherche de M. Lautens sont les réactions chimiques nouvelles et améliorées menant vers des composés d’intérêt biologique ou médical, et les travaux de son laboratoire portent sur la conception de réactions simplifiées de synthèse visant à obtenir des composés pharmaceutiques. Il a abondamment publié dans le domaine de la chimie de synthèse, et travaille à titre de consultant dans l’industrie pharmaceutique.

[25]  M. Lautens a été reconnu à titre d’expert en chimie organique et en chimie organique de synthèse, et est un spécialiste de la caractérisation des molécules ayant une utilité pharmaceutique.

[26]  M. Lautens était un témoin crédible. Son témoignage était clair et direct et il est resté cohérent pendant le contre-interrogatoire. M. Lautens a admis qu’il n’est pas un chimiste pharmaceutique et qu’il donnait son opinion sur les revendications strictement du point de vue d’un chimiste organique de synthèse. Son interprétation des revendications 1, 11 et 16 suppose comme point de départ que le cycle A défini dans les revendications est ambigu, et il se tourne donc vers la divulgation pour voir comment la personne versée dans l’art comprendrait les revendications, sur la base de ses connaissances générales courantes à la date pertinente.

(2)  M. Brent Stranix, Ph. D.

[27]  M. Stranix, Ph. D., est un consultant en chimie pharmaceutique à l’Institut de cardiologie de Montréal. Il a obtenu son doctorat en chimie organique à l’Université McGill en 1997. Après son doctorat, il a fait des études postdoctorales à McGill dans le domaine de la chimie bio‑inorganique.  

[28]  À titre de chimiste pharmaceutique, M. Stranix a travaillé en conception et en mise au point de médicaments pendant plus de 20 ans, et s’est particulièrement intéressé aux composés ayant une activité anti-VIH, notamment aux inhibiteurs de l’intégrase du VIH-1, qui est une enzyme.

[29]  M. Stranix a été reconnu à titre d’expert en chimie organique et en chimie pharmaceutique et de spécialiste de la conception et de la mise au point de médicaments inhibant l’intégrase du VIH. Au procès, la preuve fournie par M. Stranix a été affaiblie par la remise en question de sa crédibilité et par ses réponses évasives lors du contre‑interrogatoire.

[30]  Gilead n’a pas demandé à M. Stranix d’interpréter le libellé de la revendication. Comme nous le verrons, les éléments de preuve clés permettant de comprendre la portée des revendications en cause sont fournis par M. Lautens, M. Winkler et, dans la mesure où M. Winkler s’est appuyé sur les connaissances d’un chimiste pharmaceutique, M. Williams.

[31]  Par ailleurs, même s’il s’est prononcé sur la manière dont la personne versée dans l’art comprendrait certains aspects des revendications invoquées à la lumière de ses connaissances générales courantes, M. Stranix a admis en contre‑interrogatoire qu’il « n’a pas vraiment examiné l’ensemble de la description du brevet 282 » et n’a pas tenu compte des définitions d’« hétérocycle » de la description. Il n’a pas donné son avis sur les questions liées uniquement à la biologie ou à la virologie, car il ne s’agit pas de son domaine d’expertise.

[32]  À la lumière de ces aveux, le témoignage de M. Stranix a une valeur limitée pour interpréter les revendications en cause.

B.  Les experts de ViiV

(1)  M. Jeffrey D. Winkler, Ph. D.

[33]  M. Winkler est professeur de chimie à l’Université de Pennsylvanie. Il a obtenu son doctorat en chimie à l’Université Columbia en 1981 et a terminé des études postdoctorales à la faculté de chimie de l’Université Columbia entre 1981 et 1983.

[34]  Les domaines de recherche de M. Winkler sont notamment la conception et la synthèse de produits naturels ou fabriqués ayant d’importantes propriétés structurales ou biologiques. M. Winkler a beaucoup publié dans des revues scientifiques à comité de lecture, est un inventeur désigné de nombreux brevets et agit à titre de consultant dans l’industrie pharmaceutique.

[35]  M. Winkler a été reconnu comme expert dans le domaine de la chimie organique, en particulier la chimie organique de synthèse.

[36]  M. Winkler était un témoin crédible. Il a répondu aux questions clairement et son témoignage était cohérent tant lors de l’interrogatoire principal qu’en contre-interrogatoire. Toutefois, l’opinion de M. Winkler sur l’interprétation des réclamations a été affaiblie par son aveu selon lequel il a utilisé une analyse rétrospective centrée sur la contrefaçon pour interpréter les revendications.

(2)  M. Peter Williams, Ph. D.

[37]  M. Williams, Ph. D., a obtenu son doctorat en chimie organique de l’Université de l’État du Michigan en 1982 et a fait des études postdoctorales en synthèse totale de produits naturels à l’Université Stanford entre 1982 et 1985.

[38]  M. Williams a travaillé comme chimiste pharmaceutique à Merck de 1985 à 2013. Au cours de cette période, il a contribué à mettre au point des médicaments et a participé à plusieurs projets visant à produire de nouveaux médicaments anti-VIH. Il est co-inventeur de plusieurs brevets délivrés et est auteur ou co-auteur de plusieurs publications scientifiques dans le domaine des inhibiteurs de l’intégrase du VIH.

[39]  M. Williams a été reconnu comme expert dans le domaine de la chimie pharmaceutique ainsi que de la conception et la mise au point de médicaments inhibant l’intégrase du VIH. Il s’est appuyé sur l’interprétation des revendications de M. Winkler pour affirmer que, selon lui, un chimiste pharmaceutique moyennement versé dans l’art aurait compris les termes de la même manière. M. Williams était un témoin crédible.

(3)  M. Mamuka Kvaratskhelia, Ph. D

[40]  M. Kvaratskhelia, Ph. D., est professeur de médecine à la division des maladies infectieuses de l’école de médecine de l’Université du Colorado. Il a obtenu son doctorat en biotechnologie et en biochimie au centre de biotechnologie de l’institut géorgien d’agriculture à l’Université d’État de Moscou en 1991.

[41]  Les recherches de M. Kvaratskhelia portent sur les inhibiteurs de l’intégrase du VIH, plus particulièrement sur l’étude de la structure et de la fonction de l’intégrase du VIH en tant que cible thérapeutique. Il a été reconnu par la Cour comme expert en biochimie et en virologie moléculaire du VIH.

[42]  M. Kvaratskhelia a admis en contre‑interrogatoire que les revendications en litige ne requièrent pas l’expertise d’un biologiste ou d’un virologiste versé dans l’art. Selon lui, le cycle A ne correspond pas à la définition trouvée dans les revendications 1, 11 et 16, et l’analyse des types de composés visés par ces revendications ne relève pas de son expertise.

[43]  M. Kvaratskhelia s’est exprimé sur le fonctionnement des composés revendiqués d’après l’interprétation qu’un biologiste ou d’un virologiste versé dans l’art ferait des exemples expérimentaux présentés dans le brevet 282, étant donné qu’il est reconnu que le cycle A est un élément essentiel, mais son témoignage ne permet pas de déterminer la portée du cycle A dans les revendications 1, 11 et 16.

[44]  Par conséquent, je suis d’avis que son témoignage a un poids limité en ce qui concerne les questions soulevées dans la présente requête.

V.  L’interprétation des revendications

[45]  Les principes de l’interprétation des réclamations ont récemment été résumés par la Cour d’appel fédérale dans Tearlab Corporation c.I-Med Pharma Inc, 2019 CAF 179, aux paragraphes 30 à 34 :

[30]  Les principes généraux d’interprétation des revendications sont maintenant fixés et ont été consacrées par la Cour suprême du Canada dans trois arrêts (Whirlpool aux paragraphes 49 à 55; Free World Trust c. Électro Santé Inc., 2000 CSC 66, [2000] 2 R.C.S. 1024, aux paragraphes 31 à 67 [Free World Trust]; Consolboard Inc. c. MacMillan Bloedel (Sask.) Ltd., 1981 CanLII 15 (CSC), [1981] 1 R.C.S. 504, à la page 520 [Consolboard]). Ces principes peuvent se résumer ainsi.

[31]  La Loi sur les brevets favorise le respect de la teneur des revendications, qui favorise à son tour tant l’équité que la prévisibilité (Free World Trust aux alinéas 31a) et b) et au paragraphe 41). La teneur d’une revendication doit toutefois être interprétée de façon éclairée et en fonction de l’objet (à l’alinéa 31c)), et par un esprit désireux de comprendre (au paragraphe 44). Suivant une interprétation téléologique, il ressort de la teneur des revendications que certains éléments de l’invention sont essentiels, alors que d’autres ne le sont pas (à l’alinéa 31e)). Il incombe au juge appelé à interpréter des revendications de distinguer les cas les uns des autres, de départager l’essentiel et le non-essentiel et d’accorder au « champ » délimité dans un cas appartenant à la première catégorie la protection juridique à laquelle a droit le titulaire d’un brevet valide (au paragraphe 15).

[32]  Pour déterminer ces éléments, la teneur des revendications doit être interprétée du point de vue du lecteur versé dans l’art, à la lumière des connaissances générales courantes de ce dernier (Free World Trust, aux paragraphes 44 et 45; voir aussi Frac Shack, au paragraphe 60; Whirlpool, au paragraphe 53). Comme il a été observé dans la décision Free World Trust :

[51] [...] Les mots choisis par l’inventeur seront interprétés selon le sens que l’inventeur est présumé avoir voulu leur donner et d’une manière qui est favorable à l’accomplissement de l’objet, exprès ou tacite, des revendications. Cependant, l’inventeur qui s’exprime mal ou qui crée par ailleurs une restriction inutile ou complexe ne peut s’en prendre qu’à lui-même. Le public doit pouvoir s’en remettre aux termes employés à condition qu’ils soient interprétés de manière équitable et éclairée.  [Souligné dans l’original.]

[33]  L’interprétation des revendications appelle l’examen de l’ensemble de la divulgation et des revendications « pour déterminer la nature de l’invention et son mode de fonctionnement, [...] sans être ni indulgent ni dur, mais plutôt en cherchant une interprétation qui soit raisonnable et équitable à la fois pour le titulaire du brevet et pour le public » (Consolboard, à la page 520; voir également Teva Canada Ltée c. Pfizer Canada Inc., 2012 CSC 60, [2012] 3 R.C.S. 625, au paragraphe 50). On peut alors tenir compte des spécifications du brevet pour comprendre la signification des termes utilisés dans les revendications.  Il faut veiller, cependant, à ne pas interpréter ces termes de façon à « élargir ou restreindre la portée de la revendication telle qu’elle était écrite et, [...] interprétée » (Whirlpool, au paragraphe 52; voir aussi Free World Trust, au paragraphe 32). La Cour suprême du Canada a récemment souligné que l’analyse de la validité est principalement axée sur les revendications; les spécifications seront pertinentes lorsque les revendications sont ambiguës (AstraZeneca Canada Inc. c. Apotex Inc., 2017 CSC 36, [2017] 1 R.C.S.  943, au paragraphe 31; voir aussi Ciba, aux paragraphes 74 et 75).

[34]  Finalement, il est important de souligner que l’interprétation des revendications doit être la même qu’il soit question de validité ou de contrefaçon (Whirlpool, au paragraphe 49b)).

[46]  La date pertinente pour interpréter les revendications est la date de publication, soit le 2 novembre 2006.

[47]  L’avocat de ViiV a reconnu que le cycle A est un élément essentiel des revendications 1, 11 et 16. Conformément à ce qu’a soutenu Gilead, je suis d’avis que les éléments de preuve présentés par ViiV à l’appui de sa « théorie des variantes » ne sont pas pertinents, car ViiV admet que le cycle A est une caractéristique essentielle des revendications en cause.

[48]  Par conséquent, le nœud de la question de l’interprétation des revendications est de déterminer si le cycle A des revendications 1, 11 et 16 comprend les cycles pontés, ou se limite aux cycles spiraniques ou fusionnés. ViiV invite la Cour à adopter une interprétation plus large selon laquelle le cycle A, lorsqu’il est interprété téléologiquement, comprend les cycles pontés des revendications et de la description du brevet 282, tandis que Gilead se réclame d’une interprétation plus étroite du cycle A qui exclut les cycles pontés. En cas de divergence entre les témoignages de l’expert de chacune des parties, la Cour doit examiner attentivement quelle interprétation répond le plus aux principes établis en matière d’interprétation téléologique de revendications.

[49]  Gilead avance essentiellement que la description du brevet 282 fait expressément référence à des structures spiraniques ou fusionnées du cycle A, mais qu’il n’y est aucunement question de composés bycliques pontés, que ce soit par un renvoi au terme ou à la notion. Par conséquent, selon Gilead, le cycle A, tel qu’il est décrit dans les revendications 1, 11 et 16, doit être limité aux structures bicycliques spiraniques ou fusionnées. Les parties ont cité plusieurs affaires où la Cour a interprété les termes des revendications de façon plus restrictive conformément aux exemples divulgués dans le brevet, ou de manière plus large selon le sens ordinaire des termes.

[50]  Dans Dableh, le juge Muldoon a eu recours à la divulgation du brevet, en particulier la configuration optimale du brevet représentée par un schéma, pour interpréter les termes [traduction] « courant électrique variable » et [traduction] « bobine électromagnétique ». Il a conclu que le terme [traduction] « courant électrique variable » n’était pas assez large pour englober un courant alternatif et, par conséquent, devait être limité à un courant continu. De même, il a interprété le terme [traduction] « bobine électromagnétique » comme étant limité à une bobine résistante et robuste semblable à la bobine Bitter du type utilisé par le breveté dans son appareil réel (comme le résume la Cour d’appel dans Dableh c Ontario Hydro, [1996] A.C.F. no 767, (1996) 68 CPR (3d) 129 (CAF), p. 144 [Dableh]).

[51]  La Cour d’appel fédérale a infirmé la décision, concluant que la preuve établissait clairement qu’il n’y avait aucune ambiguïté dans ces termes de la revendication. Par conséquent, la revendication en cause était libellée de façon suffisamment large pour couvrir une source d’électricité en courant alternatif et des bobines autres que celles utilisées par le breveté dans son appareil. Pour arriver à cette décision, la Cour d’appel fédérale a précisé que le juge avait accepté la preuve d’expert de l’intimée, et aucun des témoins experts de l’intimée n’a vu d’ambiguïté dans le sens et la portée des termes de la revendication en cause. Par conséquent, le juge de première instance a commis une erreur en interprétant le sens des termes de la revendication en faisant référence à la divulgation, car les termes n’étaient pas ambigus (Dableh, précité, p. 147).

[52]  Dans Whirlpool, les revendications en cause utilisaient le terme « ailettes » et les parties n’étaient pas d’accord sur la question de savoir sice terme englobait à la fois les ailettes rigides et flexibles, ou les ailettes rigides uniquement. Au procès, le juge Cullen a conclu que les ailettes flexibles, bien qu’elles ne soient pas explicitement exclues du brevet, n’étaient néanmoins pas incluses. Cette conclusion était fondée sur la preuve d’expert selon laquelle les ailettes flexibles à utiliser avec les agitateurs à simple effet étaient connues des personnes versées dans l’art, mais « il était [à l’époque] hors de question d’envisager un agitateur à double effet doté d’ailettes flexibles » (Whirlpool Corporation c Camco Inc., (1997) 76 CPR (3d) 150 (CFPI), p. 195 [Whirlpool CF]).

[53]  L’agitation à double effet était un concept tellement nouveau qu’il était considéré dans une catégorie totalement différente de celle de l’agitation à simple effet. Le juge Cullen a conclu que ce n’est que rétrospectivement que l’on pourrait interpréter le brevet en cause comme incluant à la fois des ailettes rigides et flexibles. Faisant abstraction de cette analyse rétrospective, il a conclu que les revendications n’incluaient que les ailettes rigides (Whirlpool CF, précitée, p. 171).

[54]  La Cour suprême du Canada a finalement confirmé cette conclusion, déclarant que, étant donné qu’aucun des experts n’a interprété le brevet comme décrivant l’utilisation des ailettes flexibles, il était loisible au juge de première instance de conclure que le mémoire descriptif du brevet ne décrivait que les ailettes rigides (Whirlpool, par. 60).

[55]  Dans Bridgeview, le terme en cause de la revendication était [traduction« manipulateur », utilisé dans un brevet pour un transformateur de balles de foin. La preuve d’expert était qu’à l’époque des faits, trois types de « manipulateurs » étaient connus. Cependant, un seul de ces types de manipulateurs – de type « à rouleaux » – a été décrit dans la divulgation du brevet. Le juge Campbell a accepté la preuve d’expert selon laquelle, à l’époque des faits, la personne versée dans l’art aurait compris que le terme « manipulateur » se limitait aux manipulateurs de type « à rouleaux » en fonction du contexte de l’ensemble du mémoire descriptif (Bridgeview Manufacturing Inc. c 931409 Alberta Ltd. (Central Alberta Hay), 2009 CF 50, par. 31 [Bridgeview]).

[56]  En appel, le breveté a soutenu que le juge de première instance avait utilisé le mémoire descriptif pour restreindre indûment la portée de la revendication. La Cour d’appel fédérale a rejeté cet argument, confirmant l’interprétation du juge de première instance malgré le fait que cette interprétation semblait avoir pour effet de rendre superflue une revendication ultérieure. La redondance des revendications ne suffisait pas en soi à faire écarter une interprétation téléologique du mémoire descriptif du brevet (Bridgeview Manufacturing Inc c 931409 Alberta Ltd. (Central Alberta Hay Centre), 2010 CAF 188, par. 33).

[57]  Dans ABB Technology, les revendications en cause faisaient référence à un [traduction] « élément de contact mobile d’un sectionneur ». Une controverse qui a surgi était de savoir si ce terme renvoyait seulement à un [traduction« sectionneur à contact glissant » ou serait compris comme englobant également un [traduction« sectionneur à couteau » (ABB Technology AG c Hyundai Heavy Industries Co., Ltd., 2013 CF 947, par. 37 [ABB Technology]). L’expert du breveté estimait que la personne versée dans l’art ne croirait pas que l’expression [traduction« élément de contact mobile d’un sectionneur » englobe les sectionneurs à couteau, sur la base de la « réalisation exemplaire » d’un sectionneur à contact glissant dans les figures utilisées dans la divulgation. Le juge Barnes a rejeté cet argument, faisant observer que les réalisations montrées dans les figures étaient simplement qualifiées d’« exemplaires » et qu’un lecteur versé dans l’art pouvait autant déduire de ce libellé que les revendications n’étaient pas limitées, mais qu’elles incluaient plutôt les deux types de sectionneurs.

[58]  L’expert de la défenderesse estimait que l’expression [traduction« élément de contact mobile d’un sectionneur » était un terme générique qui comprend les sectionneurs à couteau et les sectionneurs à contact glissant. Le juge Barnes a accepté cet avis et n’a eu aucune difficulté à conclure que le libellé de la revendication peut « facilement décrire les deux types de sectionneurs » (ABB Technology, précitée, par. 45).

[59]  La Cour d’appel fédérale a confirmé la décision, ne trouvant aucune raison de modifier la conclusion du juge Barnes sur la question de l’interprétation (ABB Technology AG c Hyundai Heavy Industries Co., Ltd., 2015 CAF 181, par. 57 [ABB Technology CAF]). Le juge Stratas a précisé que les figures sur lesquelles s’appuyait l’expert du breveté n’étaient que des « exemples », et qu’il n’était pas indiqué qu’il s’agissait de [traduction« variante[s] préférée[s] ».

[60]  En rejetant les arguments du breveté, le juge Stratas a résumé de façon concise la conclusion du juge Barnes sur le terme clé de la revendication : « En l’espèce, en interprétant le libellé de la revendication 1 et son contexte à l’aide du prisme utilisé par les experts auxquels elle a accordé sa préférence, la Cour fédérale n’a trouvé rien d’ambigu dans ce libellé. La Cour fédérale a conclu que les mots “élément de contact mobile” visaient tant les sectionneurs à couteau que ceux à contact glissant » (ABB Technology CAF, précité, par. 52).

[61]  Dans Bombardier, le terme en cause de la revendication était « berceau de moteur » et le différend entre les parties portait sur la question de savoir si le berceau du moteur exigeait des parois solides ou pouvait être une structure ouverte. Au procès, le juge Roy a interprété le « berceau de moteur » comme étant limité aux berceaux de moteur comportant des parois, concluant qu’il n’existait aucune preuve du contraire (Bombardier Recreational Products Inc. c Arctic Cat Inc., 2017 CF 207, par. 347). Se fondant sur sa lecture du brevet, il a conclu qu’il n’y avait tout simplement aucune réalisation où les parois peuvent être éliminées du berceau de moteur, et que la preuve semble claire que les inventeurs avaient l’intention que leur invention ait un berceau de moteur qui comprend des parois dans lequel le moteur peut être disposé.

[62]  La Cour d’appel fédérale a infirmé la décision, concluant que, au vu de la preuve applicable quant aux connaissances générales courantes de la personne versée dans l’art et quant à l’interprétation que ferait cette dernière du terme de la revendication « berceau de moteur », le juge de première instance était contraint de conclure que le terme s’entendait de toute structure rigide servant de réceptacle ou de compartiment pour accueillir le moteur. Par conséquent, le « berceau de moteur » pourrait être une structure à parois solides ou une structure ouverte (Bombardier Produits Récréatifs Inc. c Arctic Cat, Inc., 2018 CAF 172, par. 34 [Bombardier CAF]).

[63]  La juge Gauthier de la Cour d’appel fédérale a fait remarquer que le juge de première instance semble avoir accepté la preuve d’expert selon laquelle le [traduction« berceau pourrait être une structure délimitée par des parois solides ou, dans d’autres cas, une structure ouverte », mais a néanmoins limité le terme de la revendication aux structures à parois (Bombardier CAF, précité, par. 38). La juge Gauthier a conclu que le juge de première instance avait accordé trop de poids aux dessins inclus dans la section sur les variantes préférées pour s’appuyer sur les dessins plutôt que sur la preuve d’expert à l’effet contraire. De plus, le brevet ne contenait aucune définition restreignant le sens ordinaire de « berceau de moteur » et la divulgation indiquait clairement que les variantes préférées ne représentent pas nécessairement l’invention au complet (Bombardier CAF, par. 43).

[64]  En fin de compte, la juge Gauthier a conclu que, si l’on interprète correctement les revendications en question, à la lumière de la divulgation et de la preuve sur les connaissances générales courantes de la personne versée dans l’art, le berceau de moteur n’était pas limité à une variété munie de parois (Bombardier CAF, par. 57).

[65]  Comme en témoignent ces exemples, dans certaines circonstances, l’interprétation correcte limitera un terme de la revendication à des variantes précises décrites dans le mémoire descriptif du brevet. Dans d’autres cas, le principe de base selon lequel la description des variantes préférées ne vise pas à inclure toutes les variantes possibles de l’invention revendiquée s’appliquera (Bombardier CAF, par. 54).

[66]  L’élément commun de toutes ces affaires est que le tribunal doit interpréter les revendications du point de vue de la personne versée dans l’art, à la lumière de ses connaissances générales courantes à la date pertinente. Outre le mémoire descriptif, la seule preuve qui devrait éclairer l’analyse d’une revendication est celle permettant de déterminer comment la personne versée dans l’art interpréterait cette revendication, à la lumière de ses connaissances générales courantes en la matière et du mépantagmoire descriptif dans son ensemble (Bombardier CAF, par. 24).

[67]  La seule question qui se pose en l’espèce est celle de savoir si une personne moyennement versée dans l’art [PMVA], à la lumière de ses connaissances générales courantes, après examen des revendications et de la description au moment pertinent, saurait que le cycle A est un « hétérocycle facultativement substitué » qui comprend les structures bicycliques pontées.

[68]  L’un des facteurs qui permet de faire une distinction entre la présente affaire et toutes celles précitées est qu’il s’agit ici d’un brevet portant sur un composé chimique. Tous les termes litigieux susmentionnés concernaient des brevets portant sur un dispositif mécanique. Or, l’exercice d’interprétation en l’espèce n’est pas aussi simple que l’étude de deux ou trois types connus de composantes mécaniques. Le principal terme litigieux en l’espèce est « hétérocycle », mais la liste de ce qu’on appelle les « variantes » qui préoccupent les parties sont les structures bicycliques fusionnées, spiraniques ou pontées. Avant d’examiner les arguments des parties sur les structures bicycliques pontées, la Cour doit établir si, dans le contexte de l’invention des composés ayant une activité inhibitrice de l’intégrase du VIH, la PMVA saurait que le terme « hétérocycle » renvoie aux structures bicycliques ou polycycliques du cycle A.

[69]  Gilead soutient que, dans l’interprétation des revendications, l’accent devrait être mis sur ce que le breveté a réellement inventé, et Bridgeview et Whirlpool appuient sa thèse selon laquelle les revendications en cause devraient être interprétées comme englobant uniquement les cycles spiraniques ou fusionnés, comme cela est divulgué dans le brevet 282.

[70]  À l’inverse, ViiV soutient que les termes de la revendication sont sans ambiguïté et, en tout état de cause, la divulgation ne doit pas être utilisée pour étendre ou restreindre la portée des revendications.

A.  La personne moyennement versée dans l’art [PMVA]

[71]  Les experts sont, de façon générale, d’avis que le brevet 282 s’adresse à une équipe de scientifiques constituée d’un chimiste en chimie organique de synthèse, d’un chimiste pharmaceutique et d’un biologiste ou virologiste. L’équipe de scientifiques moyennement versés dans l’art aurait des connaissances sur le VIH, l’intégrase du VIH et les inhibiteurs de l’intégrase du VIH.

[72]  M. Winkler et M. Lautens s’accordent pour dire que les notions de chimie relatives au brevet s’adressent à quelqu’un ayant un doctorat en chimie organique ou en chimie organique de synthèse, et un à trois ans d’expérience pratique en travail de laboratoire. Sinon, le chimiste pourrait détenir une maîtrise en chimie organique ou en chimie organique de synthèse, ainsi qu’une expérience pratique exhaustive en chimie organique de synthèse. La PMVA aurait de l’expérience en synthèse et en caractérisation de composés organiques, et connaîtrait bien la nomenclature des composés chimiques courants.

[73]  Le chimiste pharmaceutique moyennement versé dans l’art aurait de préférence un doctorat en chimie organique et plusieurs années d’expérience en industrie dans le domaine de la mise au point de médicaments visant l’intégrase du VIH. Sinon, le chimiste pharmaceutique moyennement versé dans l’art pourrait avoir un baccalauréat en science et une expérience en industrie proportionnellement plus importante.

[74]  Les revendications 1, 11 et 16 concernent toutes des catégories de composés chimiques et leurs structures; la chimie est au cœur de l’expertise de M. Winkler et de M. Lautens depuis novembre 2006.

[75]  M. Williams et M. Stranix ont la formation et l’expérience d’une PMVA de la chimie pharmaceutique et auraient compris les aspects de chimie pharmaceutique du brevet 282 en novembre 2006. Ils ont exprimé leurs opinions de ce point de vue.

[76]  M. Kvaratskhelia a donné son opinion du point de vue d’un virologiste moyennement versée dans l’art, mais comme je l’ai indiqué plus haut, je considère que son témoignage a une valeur très limitée et n’est pas utile pour interpréter la portée du cycle A dans les revendications 1, 11 et 16.

[77]  En outre, la critique de ViiV selon laquelle Gilead n’a pas fourni le témoignage d’un biologiste ou d’un virologiste malgré sa propre définition de la PMVA est malavisée étant donné que la seule question dans la présente requête est l’interprétation du cycle A dans les revendications 1, 11 et 16. Selon ViiV, en limitant sa preuve d’expert à celle d’un chimiste en chimie organique et d’un chimiste pharmaceutique, Gilead n’a fourni qu’une interprétation partielle du brevet, laissant à la Cour une vue incomplète.

[78]  Pour appuyer cette thèse, ViiV s’appuie sur les commentaires du juge Barnes dans Janssen Inc. c Teva Canada Limited, 2015 CF 184, aux paragraphes 92 et 93 et les commentaires du juge Locke dans Teva Canada Limitée c Janssen Inc., 2018 CF 754, au paragraphe 236. Dans les deux affaires, les parties étaient en désaccord sur les caractéristiques de la personne versée dans l’art. Pour résoudre la question, le juge Barnes a conclu que, pour interpréter les revendications, la personne fictive versée dans l’art devait être capable de comprendre l’intégralité du brevet en cause. De même, le juge Locke a conclu que la personne versée dans l’art n’est pas définie revendication par revendication et qu’il ne peut y avoir différentes personnes versées dans l’art pour différentes revendications.

[79]  Je suis d’accord avec ces conclusions concernant la PMVA, mais elles ne s’appliquent pas en l’espèce. Les parties s’entendent sur la composition de l’équipe de scietifiques moyennement versés dans l’art. Lorsque, comme en l’espèce, la seule question de l’interprétation ne relève pas de l’expertise de certains membres de l’équipe de scientifiques moyennement versés dans l’art, on ne peut reprocher à aucune partie d’avoir omis de produire des éléments de preuve du point de vue de ces membres. M. Kvaratskhelia a reconnu que les revendications 1, 11 et 16 ne s’adressent pas à un biologiste ou à un virologiste versé dans l’art et que la portée de ces revendications ne relève pas de son expertise. Les preuves fournies par d’autres virologistes n’auraient pas aidé la Cour.

B.  Les connaissances générales courantes

[80]  Les seules connaissances générales courantes pertinentes pour déterminer la portée du cycle A énoncé dans les revendications 1, 11 et 16 sont celles du chimiste en chimie organique et du chimiste pharmaceutique moyennement versé dans l’art, en tant que membre de l’équipe de scientifiques moyennement versés dans l’art, à la date pertinente. L’introduction à la chimie de M. Lautens, telle qu’annotée par M. Winkler lorsque cela est pertinent, fournit les connaissances générales courantes de chimie nécessaires à la PMVA pour interpréter les revendications.

[81]  La PMVA aurait compris qu’un hétérocycle est une structure cyclique qui comprend un ou plusieurs atomes qui ne sont pas des carbones, atomes qui sont appelés hétéroatomes, dans le cycle. Les hétérocycles peuvent être des cycles de toutes les tailles, et le nombre et le type d’hétéroatomes constitutifs ainsi que leur position peuvent varier.

[82]  La PMVA saurait aussi que les atomes d’hydrogène peuvent être remplacés par d’autres atomes ou groupes moléculaires, et que dans ce contexte, l’atome ou le groupe remplaçant serait désigné substituant ou substitution.

[83]  Les cycles peuvent être fusionnés pour former des structures bicycliques ou polycycliques, et il n’existe que trois manières de fusionner les cycles. La PMVA saurait que les composés spiraniques, fusionnés et pontés sont des classes de composés bicycliques :

[84]  Comme le montre l’image ci‑dessus, les deux cycles d’une structure spiranique partagent un seul atome. Dans un système fusionné, les deux cycles partagent deux atomes adjacents, et dans un système ponté, les cycles partagent deux atomes non adjacents.

[85]  Outre les connaissances de chimie générale mentionnées dans les notions de chimie de M. Lautens, l’équipe de scientifiques moyennement versés dans l’art aurait surveillé les recherches effectuées sur la mise au point d’inhibiteurs de l’intégrase du VIH et aurait été au courant des publications et autres documents publics du domaine.

[86]  Parce qu’elle surveille la mise au point d’inhibiteurs de l’intégrase du VIH, l’équipe de scientifiques moyennement versés dans l’art aurait été au courant de l’existence de plusieurs publications sur les « inhibiteurs de transfert de brins de l’intégrase » et que trois de ces composés avaient atteint la phase des essais cliniques. Il est entendu que le pharmacophore – la partie de la structure moléculaire que se lie à la cible biologique – de bon nombre de ces composés comporte deux éléments courants : un trio d’atomes électronégatifs (O/O/N ou O/O/O) et un groupe hydrophobe, qui était souvent un groupe fluorobenzyle ou un groupe semblable.

[87]  Comme le soutient Gilead, les membres d’une équipe de scientifiques versés dans l’art auraient des connaissances sur l’intégrase du VIH et ses inhibiteurs, mais le fait d’avoir des connaissances sur les inhibiteurs de l’intégrase du VIH ne facilite pas nécessairement la détermination de la portée du cycle A du composé dans les revendications en litige. En fait, M. Stranix, l’expert en chimie pharmaceutique de Gilead, croit qu’une personne versée dans l’art ayant des connaissances sur l’intégrase du VIH n’est pas mieux placée qu’un chimiste organicien sans ces connaissances, pour ce qui est d’examiner les revendications et la description dans le but d’établir l’importance du cycle A. De même, M. Williams, l’expert en chimie pharmaceutique de ViiV, est d’avis qu’un chimiste pharmaceutique moyennement versé dans l’art connaîtrait les termes de la revendication aussi bien qu’un chimiste organicien à la date pertinente du 2 novembre 2006.

C.  Portée des revendications en cause

(1)  Cycle A

[88]  Dans les structures présentées dans le brevet 282, le cycle A est le cycle situé à l’extrême droite et est représenté par le cercle ou l’arc semi-circulaire. Dans les formules développées, l’arc correspond à un cycle pour lequel on n’a défini aucun paramètre tel que sa taille, les caractéristiques liées aux liaisons et la présence, le nombre, le type ou la position d’autres hétéroatomes. Comme il est illustré tout au long du brevet, le cycle A partage un atome d’azote avec le cycle du milieu, ce qui en fait, par définition, un hétérocycle. La structure représentée dans la revendication 1 est représentative :

[89]  Le cycle A est inclus comme élément de chacune des revendications 1, 11 et 16. Le libellé précis de chaque revendication individuelle est précisé ci-dessous.

[90]  L’arc semble ne décrire qu’un seul cycle de la structure, mais les experts des parties s’accordent pour dire que la PMVA, grâce à ses connaissances générales courantes, saurait que le monocyle A pourrait être constitué de plusieurs autres cycles. À l’examen du brevet dans son ensemble, la PMVA verrait des renvois écrits à des composés tricyliques et tétracyliques, et à des structures chimiques de composés tricycliques, tétracycliques et pentacycliques, lesquels indiquent que la structure de base tricyclique pourrait être assortie d’un ou de deux autres cycles, comme il est représenté dans les structures des revendications.

[91]  Comme l’a souligné ViiV et l’a invoqué M. Winkler, une telle référence aux composés tétracycliques se trouve dans l’abrégé. Toutefois, l’abrégé ne peut être pris en considération dans l’évaluation de l’étendue de la protection demandée ou obtenue (Règles sur les brevets, DORS/2019-251, par. 55(8); Laboratoires Servier c Apotex Inc., 2009 CAF 222, par. 105 [Laboratoires Servier]).

[92]  Pour conclure, ViiV a soutenu qu’il ne s’agit pas d’une règle ferme, car la Cour suprême du Canada a déjà jugé que la divulgation d’un brevet comprend l’abrégé (Monsanto Canada Inc c.Schmeiser, 2004 CSC 34, par. 18). La Cour d’appel fédérale a déjà rejeté cet argument dans le contexte de l’utilisation de l’abrégé pour vérifier la promesse du brevet en vertu de la défunte doctrine de la promesse (Laboratoires Servier, précité, par. 104). Je rejette également l’argument dans ce contexte. La Cour ne devrait pas utiliser l’abrégé pour faciliter l’interprétation d’une revendication.

[93]  En tout état de cause, comme il est mentionné plus loin, il y a des références expresses aux composés tétracycliques aux pages 47 et 49 du brevet, et de nombreux exemples de composés tétracycliques décrits dans la divulgation. La PMVA comprendrait que les composés de ces exemples tétracycliques ont un cycle bicyclique en position « cycle A ».

[94]  M. Williams a expliqué comment la PMVA comprendrait le rôle du cycle A des composés décrits dans le brevet 282. Selon lui, un chimiste pharmaceutique moyennement versé dans l’art saurait que le cycle A se situe dans une région du composé qui peut tolérer beaucoup de modifications structurales sans changement considérable de l’activité du composé, en l’occurrence l’inhibition de l’intégrase. À son avis, la PMVA saurait que le cycle A est une « région accessoire », c’est‑à‑dire une partie du composé avoisinant le pharmacophore, qui peut tolérer une modification structurale ayant une incidence minimale sur l’activité antivirale du composé.

[95]  À l’appui de cette thèse, M. Williams renvoie aux pages 241 à 245 du brevet 282, en particulier aux tableaux des pages 243 à 245 indiquant que les composés de l’exemple expérimental 2 présentaient tous une activité relativement bonne malgré la grande variation de structure du cycle A. Par conséquent, selon M. Williams, la taille et la forme du cycle A ne sont pas cruciaux au fonctionnement des composés énumérés dans le brevet 282, et ceux‑ci peuvent tolérer diverses formes et tailles tout en conservant leur activité inhibitrice de l’intégrase.

[96]  M. Williams soutient qu’il est d’accord avec l’interprétation que fait M. Winkler des termes des revendications 1, 11, 16 et 20 du brevet 282. M. Williams ajoute qu’en novembre 2006, le chimiste pharmaceutique moyennement versé dans l’art saurait que toute variation du cycle A qui rendrait le composé de choix excessivement volumineux, lipophile ou polaire nuirait probablement aux propriétés moléculaires souhaitées d’un inhibiteur de l’intégrase administré par voie orale.

[97]  ViiV soutient que cette approche est conforme aux directives données par la Cour suprême du Canada sur l’interprétation des revendications dans Burton Parsons Chemicals, Inc. c Hewlett‑Packard (Canada) Ltd., (1974), 17 CPR (2d) 97 (CSC), à la page 104 :

Même si la Cour doit interpréter un brevet comme tout autre document juridique, cette interprétation doit se faire en tenant compte du fait que le destinataire est un homme de l’art, et en tenant compte également du savoir que cet homme est censé posséder. Il doit être évident pour l’homme de l’art, qu’une crème à utiliser avec des électrodes de contact avec la peau ne peut pas être composée d’éléments qui seraient toxiques, irritants ou susceptibles de tacher ou de décolorer la peau.

[98]  En présence d’un document décrivant les structures polycycliques hypothétiques du cycle A qui varient de un à dix cycles, et lorsqu’on lui a demandé quels composés étaient « dans la limite du raisonnable », M. Williams a déclaré que s’il avait à concevoir un composé, il choisirait de le faire de petite taille conformément à la règle de Lipinksi et n’irait probablement pas au‑delà d’une structure tricyclique pour le cycle A.

[99]  Gilead avance que les experts sont d’avis que la règle de Lipinksi n’est qu’une ligne directrice et non pas une règle ferme qui dicte la taille des molécules « dans la limite du raisonnable ». Par ailleurs, certains exemples présentés dans le brevet 282 ne sont pas conformes à cette règle, et cette dernière ne s’applique qu’aux médicaments administrés par voie orale et destinés aux humains. Dans les revendications en litige, il n’existe aucune restriction concernant les médicaments à administrer par voie orale. Donc, même si elle était appliquée, cette règle n’aiderait pas la PMVA à établir des limites claires dans les revendications.

[100]  J’accepte le raisonnement exposé dans Burton Parsons, mais il n’appuie pas l’argument selon lequel une revendication peut ouvrir la porte à une gamme hypothétique de possibilités sans repères ni délimitations qui permettent à la PMVA, avec ses connaissances générales courantes, de comprendre l’étendue de la protection à accorder aux revendications couvrant l’invention, compte tenu du mémoire descriptif du brevet dans son ensemble.

[101]  Quelle que soit la portée précise du nombre de cycles possibles au-delà d’un monocyle A, la seule question est de savoir si la PMVA, après avoir lu les revendications et la divulgation à la lumière de leurs connaissances générales courantes, comprendrait que les revendications 1, 11 et 16 incluent des structures bicycliques pontées du cycle A.

(2)  Revendication 1

[102]  Voici la partie pertinente de la revendication 1 :

[103]  Le cycle A est défini comme étant un [traduction« hétérocycle facultativement substitué ». Les éléments R1, R2, R3, R14, RX et X sont définis plus en détail dans la revendication, mais le cycle A n’est associé à aucune restriction autre que [traduction« hétérocycle facultativement substitué » et la position des atomes d’azote et de carbone à gauche du cycle, qui est fixe.

[104]  Selon M. Lautens, le terme [traduction« hétérocycle facultativement substitué » n’établit aucune restriction précise dans la définition du cycle A. D’après le libellé de la revendication uniquement, un chimiste versé dans l’art ne saurait pas si le breveté avait l’intention d’inclure chaque hétérocycle possible ou certaines classes d’hétérocycles formant des liaisons.

[105]  Par conséquent, une personne versée dans l’art devrait utiliser la divulgation pour interpréter le cycle A. Les pages 38 à 45 du brevet 282 fournissent une liste de définitions sous le titre [traduction« Variante à privilégier ». M.  Lautens et M. Winkler ont tous deux examiné ces définitions pour comprendre ce que les inventeurs entendaient par un [traduction« hétérocycle facultativement substitué » dans la revendication 1, car c’est le seul endroit dans le brevet 282 où de nombreux termes sont définis.

[106]  Les définitions pertinentes tirées de la description sont les suivantes :

[TRADUCTION]

« Hétérocycle » : s’entend d’un cycle qui peut mener vers le groupe hétérocyclique ci-dessus.

« Groupe hétérocyclique » : s’entend d’un « hétéroanneau » ou d’un « hétéroaryle ».

« Hétéroanneau » : s’entend d’un cycle non aromatique qui présente au moins un N, O ou S dans le cycle et pourrait former une liaison à n’importe quelle position où une substitution peut avoir lieu, de préférence un cycle de 5 à 7 membres, par exemple [énumération de plusieurs exemples]. Le cycle non aromatique est un cycle saturé ou non saturé.

« Hétéroaryle » : s’entend d’un monocycle aromatique de type hétéroatomique ou d’un cycle aromatique condensé de type hétéroatomique.

« Monocycle aromatique de type hétéroatomique » : s’entend d’un cycle aromatique ayant 5 à 8 membres, qui contient 1 à 4 atomes de O, S, P ou N et peut former une liaison à n’importe quelle position où une substitution peut avoir lieu.

« Cycle aromatique condensé de type hétéroatomique » : s’entend d’un groupe où un cycle aromatique contenant 1 à 4 atomes de O, S, P ou N est condensé avec 1 à 4 cycles de 5 à 8 membres ou un ou plusieurs autres hétéroanneaux aromatiques de 5 à 8 membres.

Lorsqu’un ou plusieurs substituants sont présents sur […] un « hétérocycle facultativement substitué », chacun peut être substitué avec 1 à 4 groupes, identiques ou différents, choisis parmi les groupes substituants B, à n’importe quelle position.

Voici des exemples de groupes substituants B [énumération de beaucoup d’exemples].

[107]  Quelques commentaires sur ces définitions s’imposent. En premier lieu, la définition d’« hétérocycle » en tant que cycle qui [traduction] « peut mener vers le groupe hétérocyclique ci-dessus » n’est pas claire. Toutefois, les experts s’entendent de façon générale pour dire que la personne versée dans l’art saurait que les « groupes hétérocycliques » décrits étaient des groupes substituants (c.‑à‑d. qui pourraient être attachés à la structure principale en tant que substituant), et que les hétérocycles définis dans le brevet seraient les mêmes « groupes hétérocycliques » qui ne sont pas des substituants, mais le cycle A tel qu’on l’a décrit dans les revendications.

[108]  En deuxième lieu, M. Lautens et M. Winkler sont d’avis qu’un chimiste organicien moyennement versé dans l’art saurait que « condensé » tel qu’il est utilisé dans le brevet 282 signifie « fusionné » – c’est‑à‑dire, deux cycles partageant deux atomes adjacents et une ou des liaisons entre les deux.

[109]  En troisième lieu, la définition d’« hétéroanneau » est large, mais se limite aux monocycles (« hétérocycle » signifie cycle non aromatique). Comme il est décrit dans le rapport de M. Winkler, la personne versée dans l’art saurait que si l’hétéroanneau était « saturé », il ne contiendrait que des liaisons simples, et s’il était « insaturé », il pourrait être assorti d’un autre cycle ou contenir des liaisons doubles ou triples. Les cycles de 5 à 7 membres à privilégier énumérés dans la définition sont tous des monocycles qui sont saturés ou qui contiennent des liaisons doubles. Fait à noter, la plupart des cycles de 5 à 7 membres désignés « à privilégier » ne peuvent vraisemblablement pas être le cycle A, car ils ne contiennent aucun atome d’azote ou parce qu’ils présentent des liaisons doubles à des positions qui les empêchent d’être un cycle A.

[110]  La définition d’« hétéroaryle » se limite aux monocycles ou aux cycles fusionnés aromatiques de type hétéroatomique. M. Lautens fait remarquer que la définition d’« hétéroaryle » comprend des systèmes fusionnés à deux et à trois cycles. Comme pour les exemples d’« hétéroanneau », la plupart des exemples d’hétéroaryles indiqués dans la définition ne peuvent vraisemblablement pas être un cycle A. Bien que M. Winkler ait énoncé la définition d’« hétéroaryle » dans son rapport, il a reconnu en contre-interrogatoire qu’il a axé son analyse sur l’aspect « hétéroanneau » de la définition de « groupe hétérocyclique » en raison du lien avec le bictégravir. Le cycle ponté du bictégravir n’est pas un hétéroaryle.

[111]  Selon M. Lautens, les pages 47 à 54 du brevet 282 décrivent en détail ce qu’est un cycle A dans la revendication 1. Plus particulièrement, il affirme que les aspects des définitions générales d’« hétérocycle », dont un grand nombre ne pourraient pas s’appliquer au cycle A, semblent être supplantées par une description plus précise du cycle A. Il attire l’attention sur la page 49 du brevet 282, qui décrit comment les substituants du cycle A peuvent former un « cycle condensé ou spiranique ». Comme « condensé » dans ce contexte signifie « fusionné », il est d’avis que les substituants du cycle A ne peuvent former que des cycles fusionnés ou spiraniques.

[112]  À l’examen de la revendication 1 à la lumière de la description, M. Lautens tire la conclusion que la PMVA saurait que le cycle A est un monocycle hétéroatomique facultativement substitué dans lequel deux des substituants peuvent être combinés former un ou plusieurs autres cycles spiraniques ou fusionnés uniquement.

[113]  M. Lautens ajoute que la PMVA saurait que le cycle A présente les caractéristiques suivantes :

cycle de 5 à 7 membres (pages 47 et 48 du brevet 282);

1 à 4 hétéroatomes (page 40 du brevet 282);

Substitution optionnelle, où 1 à 4 substituants sont sélectionnés parmi les groupes substituants S2 (pages 41 et 42 du brevet 282);

Facultativement, deux des substituants ci-dessus peuvent être « combinés » pour former un ou plusieurs autres cycles spiraniques ou fusionnés (pages 10 et 49 du brevet 282).

[114]  Malgré la thèse de Gilead selon laquelle seuls des cycles spiraniques et fusionnés sont divulgués dans le brevet 282, M. Lautens va plus loin et restreint la compréhension de l’expression [traduction]« hétérocycle facultativement substitué » employée dans la revendication 1 par la personne versée dans l’art aux cycles de 5 à 7 membres uniquement assortis de substituants choisis parmi les groupes substituants S2. Je ne vois aucune restriction liée à la taille du cycle A dans la revendication 1. Les revendications 11 et 16 restreignent le cycle A à des cycles de 5 à 7 membres, mais la revendication 1 n’est pas si limitante. À l’examen des définitions d’hétérocycle et d’hétéroanneau, la personne versée dans l’art saurait qu’en tant qu’hétéroanneaux, les hétérocycles sont préférablement des cycles de 5 à 7 membres, mais ne se limitent pas à ces tailles.

[115]  M. Winkler évalue les termes de la revendication 1 tant à la lumière de leur sens ordinaire qu’à la lumière des définitions énoncées dans le brevet 282. La PMVA connaîtrait le sens ordinaire du terme « hétérocycle », c’est-à-dire une structure contenant au moins un cycle contenant un ou plusieurs atomes autres que le carbone dans le cycle. À l’examen des définitions d’hétérocycle et d’hétéroanneau formulées dans la description du brevet 282, M. Winkler est d’avis que le chimiste organicien moyennement versé dans l’art saurait qu’un hétérocycle est constitué d’un hétéroanneau, et que l’hétéroanneau aurait les caractéristiques suivantes :

[traduction]

a) une structure qui contient des atomes d’azote et de carbone, comme il est illustré à gauche du cycle A dans la structure chimique accompagnant la revendication 1, et mis en évidence au moyen des cercles rouge et bleu ci‑dessous, respectivement;

b) la structure est un cycle non aromatique qui a au moins un atome d’azote, d’oxygène ou de soufre dans le cycle;

c) en cas de substitution, elle peut être substituée avec 1 à 4 groupes identiques ou différents choisis parmi les groupes substituants B, à n’importe quelle position;

d) en cas de saturation, elle ne contient que des liaisons simples. En cas d’insaturation, elle pourrait contenir un autre cycle ou des liaisons doubles ou triples.

[116]  Plus loin dans son rapport, sous le titre [traduction« Revendication 16 » et le sous‑titre [traduction« Recours à la revendication 20 pour comprendre ce que sont les composés bicycliques dans les revendications 1, 11 et 16 », M. Winkler fait observer ce qui suit : comme la description renvoie à des composés tétracycliques, le chimiste organicien moyennement versé dans l’art saurait que le cycle A pourrait être une structure bicyclique. À la date pertinente, le chimiste organicien moyennement versé dans l’art saurait que les structures bicycliques peuvent avoir trois formes possibles : fusionnées, spiraniques et pontées. Selon cette optique, comme rien ne restreint le cycle A dans la revendication 1, le chimiste organicien moyennement versé dans l’art interpréterait la revendication 1 comme se rapportant aux formes bicycliques fusionnées, spiraniques et pontées du cycle A.

[117]  La revendication 20 est une revendication dépendante des revendications 1 et 11. Selon son interprétation, M. Winkler estime que le cycle A de la revendication 20 se limite aux structures bicycliques fusionnées et spiraniques. Toutefois, comme dans les revendications 1 et 11, on n’emploie pas le même libellé restrictif que dans la revendication 20 pour décrire le cycle A, le chimiste organicien moyennement versé dans l’art interpréterait le libellé des revendications 1 et 11 de façon plus large, interprétation qui comprendrait les structures de cycle A spiraniques, fusionnés et pontées.

[118]  Gilead s’oppose à cette argumentation fondée sur le fait que les revendications sont différentes, et fait remarquer qu’en contre‑interrogatoire, M. Winkler a reconnu qu’il existait de nombreuses autres différences entre la revendication 20, qui dépend des revendications 1 et 11, et les revendications indépendantes 1 et 11, comme la taille du cycle, le type d’hétéroatome et leur position, et la présence d’un stéréocentre. J’accepte la thèse de Gilead sur cette question, et je note que l’absence de différence entre les revendications 1, 11 et 20 laisse croire que la portée des structures bicycliques pontées devrait être plus large dans les revendications 1 et 11 que dans la revendication 20.

[119]  Les parties ne s’entendaient pas sur l’interprétation de la description. Gilead affirme que les titres [traduction« Variante à privilégier » et [traduction« Variantes à privilégier davantage » décrivent l’invention réelle. En somme, tant M. Lautens que M. Winkler se sont appuyés dans une certaine mesure sur les définitions de la section [traduction« Variante à privilégier », car il s’agit du seul endroit où l’on peut trouver des définitions dans la description. Par ailleurs, les deux experts se sont basés sur la section des [traduction« Variantes à privilégier davantage » du brevet pour établir que la PMVA saurait que les substituants du cycle A peuvent être « combinés » pour former d’autres cycles, et ainsi donner lieu à des dérivés tétracycliques de structures par ailleurs tricycliques.

[120]  Gilead soutient que l’avis de M. Winkler’s sur l’interprétation des revendications était, de façon inacceptable, teinté par le fait qu’il avait interprété les revendications en ayant à l’esprit la contrefaçon. Au début de son rapport, M. Winkler affirme qu’on lui a demandé de présumer que le bictégravir présente la structure chimique illustrée dans la section antérieure sur le contexte. Il souligne la présence du cycle ponté dans le bictégravir et fait valoir que le chimiste organicien moyennement versé dans l’art reconnaîtrait qu’il s’agit d’une structure cyclique pontée. Immédiatement après cette section de son rapport, M. Winkler énonce son mandat, qui comprend les questions suivantes :

[traduction]

c) Quel aurait été le sens des termes se rapportant au cycle A dans les revendications 1, 11 et 16 du brevet 282 pour le chimiste organicien moyennement versé dans l’art, le 2 novembre 2006?

d) Ces termes comprendraient‑ils la structure cyclique pontée du bictégravir?

[121]  En contre‑interrogatoire, M. Winkler a reconnu qu’il a porté son attention sur l’aspect hétéroanneau de la définition d’hétérocycle en raison de son lien avec le bictégravir. Gilead avance qu’il s’agit d’un exemple d’un jugement après coup inacceptable en ce qui concerne l’interprétation de la revendication. À l’opposé, ViiV affirme qu’on peut faire abstraction de la portion hétéroaryle de la définition d’hétérocycle aux fins du présent procès sommaire, car ce n’est pas là que le « bât blesse ».

[122]  Je suis d’accord avec les observations de ViiV, à savoir que la Cour doit interpréter les revendications en sachant sur quoi reposent les différends qui opposent les parties. Dans le présent procès sommaire, le litige concerne clairement la portée du cycle A dans les revendications 1, 11 et 16. Toutefois, comme le bictégravir contient une structure bicyclique pontée, la bonne démarche n’est pas de se demander a posteriori si le cycle A pourrait comprendre des cycles pontés. Il faut plutôt chercher à savoir si, à l’examen des revendications et de la description du brevet 282, la PMVA, avec ses connaissances générales courantes,  saurait à la date pertinente que le cycle A tel qu’il est défini dans les revendications comprend des structures bicycliques pontées. La PMVA connaîtrait les structures bicycliques pontées car ces dernières font partie de ses connaissances générales courantes, mais la question en l’espèce est de savoir si elle aurait compris que le brevet 282 revendique des composés ayant un cycle A constitué d’une structure bicyclique pontée, soit la structure chimique d’un inhibiteur de l’intégrase du VIH divulguée dans le brevet.

[123]  L’évaluation de M. Winkler des éléments de la revendication 1 qui font partie du bictégravir témoigne aussi de la démarche axée sur la contrefaçon qu’il a employée dans son interprétation. En s’appuyant sur l’interprétation de la revendication 1 qu’il propose, M. Winkler fait observer que le cycle A du bictégravir est un hétérocycle substitué. L’hétérocycle décrit dans la revendication 1 peut être substitué avec un groupe méthyle (CH3). M. Winkler affirme ensuite que [traduction« […] la description du brevet 282 porte sur des substituants qui se combinent pour former un autre cycle », et cite les [traduction« Variantes à privilégier davantage » de la page 49. Cette page de la description révèle explicitement comment joindre des substituants pour créer des cycles fusionnés et spiraniques, mais pas des cycles pontés. M. Winkler explique par la suite que la PMVA saurait que le fait de combiner deux groupes méthyle pour former le cycle ponté du bictégravir fait nécessairement intervenir l’alcène correspondant (CH2) :

[124]  Par conséquent, l’une des étapes clés de l’analyse relative à la contrefaçon de M. Winkler est que la revendication 1 décrit des [traduction« hétérocycles facultativement substitués » et la personne versée dans l’art saurait, d’après la page 49 de la description, que des substituants peuvent être combinés ensemble pour créer un autre cycle. La revendication 1 ne mentionne rien sur les substituants combinés, mais M. Winkler tire cette conclusion de la revendication de la page 49 de la description.

[125]  ViiV a critiqué M. Lautens pour avoir recouru au libellé de la section [traduction« Variante à privilégier » de la divulgation pour interpréter les revendications. Cela équivaut à « l’hôpital qui se moque de la charité ». M. Winkler s’est appuyé sur exactement la même partie de la divulgation pour étayer son opinion selon laquelle le bictégravir est visé par la revendication 1.

[126]   Lors de l’interprétation des revendications, le recours au reste du mémoire descriptif : 1) est permis pour éclairer le sens des termes employés dans les revendications; 2) n’est pas nécessaire lorsque le libellé est clair et sans ambiguïté; 3) est abusif si l’on cherche par ce moyen à modifier la portée ou l’étendue des revendications (Mylan Pharmaceuticals ULC c Eli Lilly Canada Inc., 2016 CAF 119, par. 39; Dableh, p. 144). Il est bien clair en droit que « [s]i les mots employés dans les revendications sont clairs et non équivoques, ils ne doivent pas être réduits ou restreints à la configuration optimale d’un brevet » (Dableh, p. 144). La divulgation peut également être utilisée pour déterminer si l’inventeur a donné un sens particulier à une expression ou à un mot dans la revendication en adoptant un lexique particulier (Apotex Inc. c Astrazeneca Canada Inc., 2017 CAF 9, par. 48 [Apotex]).

[127]  En l’espèce, bien que M. Winkler soit d’avis que le libellé de la revendication est clair et sans ambiguïté, il a ensuite fait référence à la divulgation pour à la fois aider à comprendre les termes utilisés dans les revendications et définir la portée des revendications. Comme je l’ai indiqué ci-dessus, M. Lautens est d’avis que la portée de l’expression [traduction« hétérocycle facultativement substitué » est ambiguë.

[128]  Bien qu’un [traduction« hétérocycle facultativement substitué » comme il est utilisé dans la revendication 1 semble à première vue être un terme clair et sans ambiguïté, j’accepte que le recours à la divulgation soit nécessaire pour comprendre le sens donné à ces mots par les inventeurs et la portée prévue du libellé de cette revendication. Les experts en chimie organique des deux parties ont renvoyé à la divulgation pour comprendre la signification des termes de la revendication et la portée des revendications. Le renvoi de M Winkler à la divulgation pour définir la portée de la revendication et interpréter les termes de la revendication mine son opinion selon laquelle le sens de [traduction« hétérocycle facultativement substitué » est clair et sans ambiguïté.

[129]  Je préfère la preuve de M. Lautens selon laquelle la PMVA qui lit les revendications à la lumière de la description et de ses connaissances générales saurait que l’[traduction« hétérocycle facultativement substitué » de la revendication 1 renvoie à un hétéroaryle ou un hétéroanneau facultativement substitué, étant donné que ces termes sont définis dans la description. En tant qu’hétéroaryle, le cycle A est un monocycle aromatique de type hétéroatomique ou un cycle aromatique condensé de type hétéroatomique. En tant qu’hétéroanneau, le cycle A est un monocycle non aromatique ayant au moins un atome de N, O ou S dans le cycle, où deux des substituants peuvent être combinés pour former d’autres cycles spiraniques ou fusionnés.

[130]  En termes clairs, cette interprétation ne restreint pas le cycle A aux variantes « à privilégier » ou « à privilégier davantage » de la description. Les titres [traduction« Variante à privilégier » et « Variantes à privilégier davantage » semblent avoir peu de lien avec le contenu de ces sections. Je donne peu de poids à l’interprétation tirée de la structure du brevet, notamment aux titres. La Cour devrait plutôt porter son attention sur les enseignements de la description dans son ensemble, dans leur contexte. À l’examen de certains renvois à des variantes à privilégier, les [traduction« variantes à privilégier » présentées à la page 48 du brevet indiquent que le cycle A est un cycle de 5 à 7 membres avec un ou deux hétéroatomes. L’un des hétéroatomes est l’atome d’azote, qui est fixe, et le deuxième hétéroatome peut être situé à d’autres positions précises du cycle :

[131]  Dans ces variantes à privilégier, les substituants du cycle A peuvent être choisis dans les différentes listes de la description, mais sont de préférence des alkyles inférieurs. Les substituants peuvent former un cycle condensé ou un cycle spiranique.

[132]  À la page 49 de la description, on fait référence à des [traduction« variantes à privilégier davantage », où le cycle A est restreint à des cycles ayant 5 à 7 membres et deux hétéroatomes, où l’un des deux hétéroatomes est l’atome d’azote fixe, et le deuxième hétéroatome est l’oxygène ou l’azote, et est situé à « 6 heures » comme sur le cadran d’une horloge, tel il est illustré ci-dessous :

[133]  Dans ces variantes à privilégier davantage, les substituants du cycle A peuvent être choisis parmi les groupes substituants S2, et deux substituants peuvent être combinés pour former un cycle condensé ou spiranique.

[134]  Dans le brevet 282, les variantes à privilégier et les variantes à privilégier davantage restreignent la taille du cycle A, et le type et le nombre d’hétéroatomes ainsi que leur position dans le cycle. Ces restrictions visent toutes le cycle A monocyclique. Toutes les renvois de la description à des cycles autres que le cycle A monocyclique sont cohérents en ce sens que les substituants du cycle A peuvent être combinés pour former d’autres cycles spiraniques ou fusionnés seulement.

[135]  On ne fait jamais mention de structures cycliques pontées dans le brevet. La PMVA connaîtrait les structures bicycliques pontées, car elles font partie de ses connaissances générales courantes, mais rien dans le brevet ou les connaissances générales courantes ne semble indiquer à la PMVA de recourir aux structures bicycliques pontées du cycle A pour créer spécifiquement un inhibiteur de l’intégrase du VIH.

[136]  Il convient de faire une remarque additionnelle sur ce point. La loi précise clairement que le recours à la divulgation est inapproprié pour modifier la portée des revendications et que, lorsque les termes de la revendication sont clairs et sans ambiguïté, ils ne doivent pas être limités aux variantes à privilégier d’un brevet. Cela dit, lorsque les termes des revendications manquent incontestablement de clarté, le recours à la divulgation est approprié. Dans de telles circonstances, le recours à la divulgation ne fait pas nécessairement varier ou restreindre la portée de la revendication, car la portée n’était pas définie après la lecture des seules revendications. En l’espèce, la divulgation n’est pas utilisée pour restreindre ou élargir les revendications, mais plutôt pour donner une interprétation téléologique fondée sur le témoignage des experts quant à ce que la personne versée dans l’art dotée de connaissances générales courantes aurait compris à la date pertinente.

[137]  Free World Trust et Whirlpool précisent bien que les brevets doivent être interprétés de manière téléologique plutôt que de façon littérale (Apotex, précité, par. 46). Dans le cas d’une interprétation littérale du terme [traduction« hétérocycle facultativement substitué », le recours au sens ordinaire du mot « hétérocycle » mènerait à un résultat absurde, à savoir que le cycle A pourrait être un système à plusieurs cycles constitué d’un nombre illimité de cycles d’une taille illimitée et substitués de façon illimitée, ce qui accorderait aux inventeurs la mainmise sur un champ infini de composés.

[138]  La seule réponse de ViiV à ce sujet, présentée par M. Winkler et M. Williams, est la suivante : la PMVA saurait que les revendications se limitent aux composés utilisés dans des « limites raisonnables » pour traiter des humains. M. Williams fait observer que certaines revendications du brevet 282 se rapportent à l’utilisation des composés pour lutter contre le VIH, et que la PMVA saurait que n’importe quel cycle A qui rend le composé [traduction« excessivement volumineux, excessivement lipophile ou excessivement polaire » risquerait de nuire au médicament administré par voie orale. Toutefois, il ne s’agit que de lignes directrices, et les revendications en litige ne sont pas des revendications concernant l’utilisation et ne portent pas sur l’administration par voie orale.

[139]  Un dernier principe d’interprétation des revendications mérite d’être répété. Pour interpréter les revendications, la Cour considère l’ensemble de la divulgation et des revendications pour déterminer la nature de l’invention et son mode de fonctionnement, en cherchant une interprétation qui soit raisonnable et équitable à la fois pour le breveté et pour le public (Consolboard Inc. c MacMillan Bloedel (Sask.) Ltd., [1981] 1 RCS 504, p. 520, cité avec approbation dans Whirlpool, par. 49. Voir aussi Free World Trust, par. 50, et Teva Canada Ltd c Pfizer Canada Inc, 2012 CSC 60, par. 50).

[140]  Une interprétation raisonnable et équitable de la revendication 1 ne vise pas les structures bicycliques pontées du cycle A. La description ne fait expressément état que des structures cycliques spiraniques et fusionnées dans les variantes à privilégier, et il n’y a aucune mention de structures cycliques pontées dans le mémoire descriptif. Selon moi, l’inclusion des structures bicycliques pontées du cycle A augmente faussement la portée de la revendication 1, ce que la PMVA saurait d’après les revendications elles-mêmes, la description et les connaissances générales courantes, en novembre 2006. Ce que la PMVA connaît de la portée des structures bicycliques du cycle A de la revendication 1, à la lumière des explications de M. Lautens, doit être privilégié.

(3)  Revendication 11

[141]  Voici la partie pertinente de la revendication 11 :

[142]  Comme dans la revendication 1, les éléments R1, R3, R14, RX et (R)m sont définis plus en détail dans la revendication. La revendication 11 est différente de la revendication 1 en ce sens qu’elle restreint le cycle A à un cycle de 5 à 7 membres contenant 1 à 2 hétéroatomes. Parmi ces hétéroatomes, le cycle A tel qu’il est illustré à la revendication 11 est déjà constitué d’un atome d’azote. Comme il est mentionné dans la revendication, l’astérisque indique qu’en stéréochimie, la configuration de cet atome de carbone est R ou S, ou un mélange des deux.

[143]   Dans la revendication 11 figure aussi le terme [traduction« facultativement condensé ». Comme il a été mentionné ci‑haut, la PMVA saurait que le terme [traduction« condensé » utilisé dans le brevet 282 signifie « fusionné ». Par conséquent, la PMVA saurait que [traduction« facultativement condensé » signifie « facultativement fusionné ».

[144]  De façon générale, les experts s’entendent sur la compréhension qu’aurait la PMVA des autres restrictions de la revendication 11, et les deux experts ont utilisé leur interprétation d’[traduction« hétérocycle facultativement substitué » de la revendication 1 dans la revendication 11. M. Lautens conclut que la PMVA saurait que la revendication 11 définit un hétérocycle facultativement substitué de 5 à 7 membres dans lequel deux des substituants peuvent être combinés pour former un ou plusieurs autres cycles, spiraniques ou fusionnés uniquement.

[145]  Dans son analyse de l’atteinte à la revendication 11, M. Winkler s’appuie sur son analyse de l’atteinte à la revendication 1, et par le fait même intègre sa conclusion selon laquelle les substituants du cycle A peuvent être combinés pour former un autre cycle, comme il est décrit à la page 49 du brevet. En outre, il estime que, comme la PMVA aurait été au fait de l’existence des structures bicycliques spiraniques, fusionnées et pontées, elle aurait su que le cycle A de la revendication 11 comprend des structures bicycliques spiraniques, fusionnées et pontées.

[146]  Comme dans le cas de la revendication 1, M. Winkler interprète la revendication 11 dans l’optique d’une contrefaçon, et ne conclut que la revendication 11 porte aussi sur les structures pontées du cycle A que lorsqu’il compare le libellé de la revendication au cycle ponté du bictégravir, ou lorsqu’il compare la revendication 11 à la revendication 20. Par ailleurs, M. Winkler fait des choix précis dans la section des [traduction« Variantes à privilégier davantage » de la description. Il s’appuie sur les pages 47 et 49 pour justifier son opinion selon laquelle la PMVA, grâce à ses connaissances générales courantes, saurait que la revendication 11 vise aussi les composés tétracycliques même si le libellé parle des composés pontés plutôt que des composés tétracycliques dont il est question dans ces pages.

[147]  Comme pour ce qui est de la revendication 1, l’interprétation de M. Lautens qui restreint les structures bicycliques du cycle A aux structures spiraniques et fusionnées, comme il est enseigné dans la description, est à privilégier.

(4)  Revendication 16

[148]  Voici la partie pertinente de la revendication 16 :

[149]  À titre préliminaire, les parties conviennent que le terme « carbocyle » utilisé dans le brevet, notamment dans la revendication 16, est considéré comme une coquille et aurait dû s’écrire « carbocycle ».

[150]  Les groupes substituants S2 sont définis dans la revendication 6 à l’aide d’une longue liste des substituants acceptables, dont les alkyles C1-C6.

[151]  Comme dans le cas des revendications 1 et 11 ci‑dessus, M. Lautens est d’avis que la personne versée dans l’art saurait que la revendication 16 comprend un hétérocycle substitué dans lequel deux des substituants, après combinaison, peuvent former un ou plusieurs autres cycles spiraniques ou fusionnés, uniquement.

[152]  M. Lautens affirme d’abord que son avis sur la première partie de la revendication 16, soit sur le terme [traduction« hétérocycle facultativement substitué et optionnellement condensé contenant l à 2 atomes de O, S ou N », est essentiellement le même que celui qu’il a formulé à l’égard des revendications 1 et 11.

[153]  M. Lautens et M. Winkler sont d’accord que l’expression [traduction« combiné avec le ou les atomes voisins » n’est pas couramment utilisée par les chimistes organiciens. Par conséquent, le terme ne renseigne pas clairement la personne versée dans l’art sur la façon dont l’hétérocycle ou le cycle carboné supplémentaire est rattaché au cycle A.

[154]  À ce stade, les opinions de M. Lautens et de M. Winkler divergent. M. Lautens a examiné la description, plus précisément les pages 10, 49 et 53, et a conclu que le cycle A de la revendication 16 comprend un hétérocycle substitué dans lequel deux des substituants peuvent être combinés pour former un ou plusieurs autres cycles spiraniques ou fusionnés.

[155]  Lorsque deux substituants du même atome sont combinés avec l’atome voisin, ils forment un autre cycle spiranique. Lorsque deux substituants d’atomes adjacents sont combinés avec les atomes voisins, ils forment un autre cycle fusionné. À l’inverse, deux substituants de deux atomes non adjacents combinés avec les atomes voisins forment simplement une rangée d’atomes, plutôt qu’un cycle carboné ou un hétérocycle comme il est mentionné dans la revendication 16. La formation d’un cycle ponté nécessiterait un ou plusieurs autres atomes qui ne sont pas [traduction« voisins » des substituants, dans le sens de ce terme utilisé dans le brevet 282.

[156]  M. Winkler a un point de vue plus général. Selon lui, le chimiste organicien moyennement versé dans l’art saurait que le terme [traduction« atome(s) voisin(s) » renvoie à des atomes de l’hétérocycle auxquels les substituants sont attachés, et aux autres atomes entre ces atomes substituants qui sont des membres intégrés au cycle. L’interprétation de M. Winkler englobe les cycles pontés, tandis que celle de M. Lautens vise que les cycles spiraniques et fusionnés.

[157]  Pour formuler son avis, M. Winkler s’est appuyé sur la notion de [traduction« participation du groupe voisin », terme fréquemment utilisé depuis les années 1950 pour désigner la participation de deux groupes adjacents et des groupes plus distants. Pour étayer sa thèse, M. Winkler renvoie à la définition de [traduction« participation du groupe voisin » tirée d’un manuel de chimie organique. Selon lui, le chimiste organicien moyennement versé dans l’art s’attendrait à ce que « voisin » s’applique à la fois aux atomes adjacents et aux atomes à proximité.

[158]  L’approche de M. Winkler se base sur une analogie avec une notion connue en chimie organique plutôt que sur l’examen de la description en vue de comprendre la définition du breveté du terme non courant [traduction« atome(s) voisin(s) ». Comme il est mentionné plus haut, la description peut servir à déterminer si l’inventeur a donné un sens précis à une expression de la revendication en adoptant un certain lexique. Lorsque, comme dans le cas présent, le breveté a utilisé un lexique particulier pour donner un sens particulier à une expression non courante, je me fonderais sur ce sens plutôt que sur une analogie à une notion du domaine de l’invention.

[159]  M. Winkler affirme aussi que si les inventeurs avaient eu l’intention de restreindre la revendication 16 aux cycles fusionnés et spiraniques seulement, ils auraient fait appel au même libellé restrictif que celui de la revendication 20. Selon lui, le chimiste organicien moyennement versé dans l’art aurait conclu que les inventeurs n’avaient pas l’intention de restreindre le cycle A de la revendication 16 aux structures bicycliques spiraniques et fusionnées, comme il est explicitement enseigné à la revendication 20.

[160]  Au paragraphe 121 de son rapport, M. Winkler décrit la différence entre les revendications 16 et 20 comme suit :

[traduction] Cependant, le reste de la formulation dans ces deux revendications est remarquablement différent. Comme il est indiqué plus haut, la revendication 16 n’énonce aucune restriction quant aux substituants que l’on combine pour former un cycle supplémentaire. À l’inverse, la revendication 20 est très précise et restreint la structure bicyclique résultante à un cycle spiranique ou fusionné, en précisant quels substituants en particulier peuvent être combinés, comme l’explique le paragraphe 108, ci-haut. Par conséquent, un chimiste organicien moyennement versé dans l’art saurait que la revendication 16 énonce que deux substituants, peu importe lesquels, peuvent être combinés pour donner un nouveau cycle, et donc, la revendication 16 ne se limite pas aux structures bicycliques fusionnées et spiraniques de la revendication 20. La revendication 16 comprendrait alors les structures bicycliques pontées. Cette interprétation est compatible avec le libellé du brevet 282 à la page 47 qui décrit la formule développée (I-1) comme présentant un centre tétracyclique qui peut inclure des structures bicycliques spiraniques, fusionnées ou pontées.

[Non souligné dans l’original.]

[161]  Se fondant sur ces différences, M. Winkler conclut que le libellé de la revendication 16 ne limite pas le cycle A aux cycles spiraniques ou fusionnés, et viserait les composés tétracycliques sans restriction. En conséquence, le cycle A pourrait être une structure bicyclique spiranique, fusionnée ou pontée. Le passage souligné met en lumière un problème dans l’interprétation de M. Winkler. Le libellé de la page 47 énonce simplement que [traduction« […] des composés ayant la formule (I) représentent des composés tricycliques (I-1) ou (I-11) présentés ci-dessous, ou leurs dérivés, les composés tétracycliques. »

[162]  Le brevet ne fait aucune mention de structures bicycliques pontées. Il se peut que la conclusion de M. Winkler selon laquelle les versions tétracycliques des composés revendiqués peuvent comprendre des structures bicycliques pontées du cycle A repose sur un mélange de connaissances générales courantes du chimiste organicien moyennement versé dans l’art. Toutefois, étant donné qu’il y a seulement deux renvois aux « composés tétracycliques » dans la description du brevet 282, et que le deuxième renvoi énonce que les [traduction« [s]ubstituants du cycle A pourraient former un cycle condensé ou spiranique comme il est mentionné ci‑bas, où les composés de formule (I) comprennent les composés tétracycliques », il semble probable que M. Winkler interprète rétrospectivement les structures bicycliques pontées de la description de manière inacceptable en fonction de ses connaissances sur le bictégravir. Comme on l’a fait remarquer plus haut, les structures bicycliques pontées font partie des connaissances générales courantes, mais rien dans le brevet ou les connaissances générales courantes ne suggère à la PMVA de recourir à des structures bicycliques pontées du cycle A pour précisément créer des inhibiteurs de l’intégrase du VIH.

[163]  En ce qui concerne la différenciation des revendications, la revendication 20 limite davantage le nombre, le type et la position des hétéroatomes par rapport à la revendication 16. Par conséquent, même si la revendication 16 et la revendication 20 sont limitées aux structures bicycliques spiraniques ou fusionnées du cycle A, les deux revendications ont des portées différentes et ne sont donc pas redondantes.

[164]  J’accepte la preuve de M. Lautens concernant la revendication 16 par rapport à celle de M. Winkler, fondée sur une interprétation téléologique de la revendication à la lumière de la divulgation. Contrairement aux observations de ViiV, l’approche de M. Lautens concernant la revendication 16 ne restreint pas  la portée de la revendication sur le fondement des variantes à privilégier, mais utilise plutôt la divulgation pour comprendre la définition du terme [traduction« atome voisin » donnée par le breveté.

[165]  La PMVA, qui interprète la revendication 16 à la lumière des exemples de la description, saurait que le terme [traduction« atome voisin » renvoie aux atomes de l’hétérocycle auxquels les substituants sont attachés. Par conséquent, la revendication 16 se limite aux cycles spiraniques et fusionnés, comme M. Lautens le mentionne dans son rapport.

D.  Caractère essentiel des cycles spiraniques et fusionnés

[166]  ViiV fait valoir que, dans le cas où le cycle A de l’une quelconque des revendications en cause est interprété comme restreint aux structures spiraniques et fusionnées uniquement, la Cour doit chercher à savoir si la PMVA aurait su et trouvé évident à la date pertinente que les structures cycliques pontées étaient substituables par des structures bicycliques spiraniques ou fusionnées.

[167]  À la lumière de l’aveu de ViiV que le cycle A, en tant que [traduction« hétérocycle facultativement substitué », est une caractéristique essentielle de l’invention, la Cour n’accepte pas qu’il faille dorénavant examiner une variante de cette caractéristique essentielle. L’analyse de la variante dans l’arrêt Free World Trust porte sur un élément revendiqué de l’invention, et non sur certains sous‑éléments ou caractéristiques de l’élément revendiqué. L’avocat d’ViiV a soutenu dans son exposé introductif que la question soumise à la Cour est la suivante : [traduction« Qu’entendez-vous par hétérocycle? » Je suis d’accord, et maintenant que la Cour a déterminé comment la PMVA répondrait à la question, il n’est pas nécessaire de réexaminer la question du caractère essentiel.

[168]  Quoiqu’il en soit, même en considérant les structures pontées du cycle A comme une variante des structures bicycliques revendiquées du cycle A, ViiV ne s’est pas acquittée du fardeau qui lui incombait d’établir qu’il aurait été évident pour la PMVA, à la date de publication, que les structures bicycliques pontées du cycle A n’auraient  aucun effet concret sur le fonctionnement de l’invention.

[169]  ViiV applique l’analyse des variantes faite dans l’arrêt Free World Trust à la revendication 16, et soutient que si elle détermine que le cycle A se limite aux structures monocycliques dans lesquelles les substituants peuvent être combinés pour former d’autres cycles fusionnés et spiraniques, la Cour doit déterminer si le fait de faire varier une structure bicyclique spiranique ou fusionnée par une variante cyclique pontée répond au critère d’une caractéristique non essentielle de l’arrêt Free World Trust.

[170]  ViiV fait valoir que le bictégravir est un inhibiteur de transfert de brins de l’intégrase qui présente la même fonction, fonctionne de la même façon et qui permet d’obtenir le même résultat que les composés de l’invention. Le critère de l’arrêt Free World Trust ne permet pas de déterminer si le composé ou l’invention globale fonctionne de la même manière pour obtenir le même résultat, mais permet plutôt de déterminer si « la variante (ou le composant) accomplirait essentiellement la même fonction, d’une manière essentiellement identique pour obtenir essentiellement le même résultat » (Free World Trust, par. 55, non souligné dans l’original).

[171]  La preuve d’expert de ViiV est que la PMVA aurait considéré le cycle A comme une [traduction« région accessoire » des composés ayant une activité inhibitrice de transfert de brins de l’intégrase, région qui permettait d’obtenir une grande diversité structurale tout en inhibant l’intégrase. M. Williams affirme que le cycle A [traduction« fait partie intégrante d’un système à trois cycles, dans lequel les cycles de gauche et du milieu maintiennent trois atomes d’oxygène dans une position rendant possible une chélation des ions magnésium et de l’élément de liaison hydrophobe ». De même, après examen des exemples expérimentaux 1 et 2, M. Kvaratskhelia déclare que le virologiste moyennement versé dans l’art [traduction« saurait en étudiant les résultats que la structure du cycle A peut varier avec une certaine souplesse sans que l’activité anti-VIH ne change ».

[172]  Cette preuve ne permet pas d’établir la fonction du cycle A. L’argument avancé par ViiV équivaut à dire que le pharmacophore connu, inhibiteur de transfert de brins de l’intégrase, est responsable de l’activité inhibitrice des composés, et le cycle A peut être n’importe quel hétérocycle. Je ne suis pas d’accord. Comme l’a fait valoir Gilead, le brevet revendique des structures moléculaires qui doivent être définies avec précision. Remplacer des atomes et des liaisons ne revient pas à remplacer des composantes mécaniques.

[173]  Le cycle A est un élément essentiel, et ViiV n’a pas établi que n’importe quel sous-élément du cycle A est substituable de manière à élargir la portée des revendications.

VI.  Le bictégravir est-il visé par les revendications 1, 11 et 16?

[174]  Comme on l’a vu, il n’y a aucune mention de structures pontées du cycle A, pas même de renvoi à la notion, dans le brevet 282. Les structures dessinées et les termes utilisés dans la description décrivent des structures spiraniques et fusionnées, et ne sous-entendent pas vraiment une structure pontée. Le public doit pouvoir s’en remettre aux termes employés par le breveté, interprétés de la manière que l’inventeur est réputé les avoir utilisés (Free World Trust, par. 51).

[175]  Il y a contrefaçon si le produit en cause reprend tous les éléments essentiels de l’invention (Free World Trust, par. 68). Il n’y a pas de contrefaçon lorsqu’un élément essentiel est remplacé par autre chose. Le cycle A est un élément essentiel des revendications 1, 11 et 16. Le cycle A, tel qu’il est interprété dans chacune de ces revendications, ne comprend pas de composés bicycliques pontés.

[176]  La thèse de Gilead, appuyée par  l’avis de M. Lautens, est la suivante : comme le bictégravir comprend un cycle ponté à l’endroit du cycle A, et que les revendications 1, 11 et 16 du brevet 282 ne portent que sur les cycles fusionnés ou spiraniques, le bictégravir n’est pas visé par ces revendications. Au vu de la conclusion selon laquelle les revendications 1, 11 et 16 n’englobent que les structures bicycliques spiraniques et fusionnées du cycle A, la requête de Gilead doit être accueillie.

[177]  Gilead cherche à obtenir une conclusion de non-contrefaçon et un jugement déclaratoire portant que  le bictégravir n’est pas visé par les revendications en cause. Ayant interprété de manière téléologique les revendications en cause, je conclus que le bictégravir n’est pas visé par les revendications 1, 11 et 16 du brevet 282. Étant donné que toutes les autres revendications en cause dépendent des revendications 1 ou 11, Gilead ne contrefait aucune des revendications en cause du brevet 282.

VII.  Conclusion

[178]  Pour les motifs qui précèdent, le bictégravir n’est visé par aucune des revendications en cause du brevet 282. En conséquence, la requête de Gilead en procès sommaire est accueillie et l’action de ViiV est rejetée.

VIII.  Dépens

[179]  La requête en procès sommaire a été déposée de manière appropriée et Gilead a obtenu gain de cause sur son argument de non-contrefaçon fondé sur une interprétation téléologique du cycle A dans les revendications 1, 11 et 16 du brevet 282. En conséquence, Gilead devrait avoir droit à ses dépens.  

[180]  Les parties ont convenu que les dépens devraient être adjugés sous forme de somme globale conformément aux récentes affaires complexes de brevets portées devant la Cour (Dow Chemical Company c Nova Chemicals Corporation, 2016 CF 91, conf. par 2017 CAF 25; Sport Maska Inc. c Bauer Hockey Ltd., 2019 CAF 204; Packers Plus Energy Services Inc c Essential Energy Services Ltd, 2020 CF 68). Gilead demande à obtenir 40 % de ses dépens réels et ViiV a proposé des dépens sous forme d’une somme globale de l’ordre de 30 à 40 % de ses honoraires professionnels en plus de 100 % de tous les débours raisonnables, conformément aux affaires précitées.

[181]  Étant donné qu’il s’agit de parties commerciales averties engagées dans des litiges en matière de brevets complexes, l’adjudication d’une somme globale est appropriée. Cela dit, le procès sommaire se limitait à interpréter trois revendications, la question de la non-contrefaçon découlant de l’interprétation de la Cour. Dans ces circonstances, 30 % des dépens réels, en plus des débours raisonnables, sont appropriés.




 Vous allez être redirigé vers la version la plus récente de la loi, qui peut ne pas être la version considérée au moment où le jugement a été rendu.