Décisions de la Cour fédérale

Informations sur la décision

Contenu de la décision

 

Cour fédérale

 

Federal Court

 


 

Date : 20090629

Référence : 2009 CF 676

Dossier : T-161-07

ENTRE :

 

SANOFI‑AVENTIS CANADA INC., SANOFI‑AVENTIS DEUTSCHLAND GmbH et SCHERING CORPORATION

demanderesses

et

 

APOTEX INC.

défenderesse

 

ET ENTRE :

APOTEX INC.

 

demanderesse reconventionnelle

 

et

 

SANOFI‑AVENTIS CANADA INC., SCHERING CORPORATION, SANOFI‑AVENTIS DEUTSCHLAND GmbH et RATIOPHARM INC.

défenderesses reconventionnelles

 

Dossier : T-1161-07

ENTRE :

SANOFI‑AVENTIS CANADA INC., SCHERING CORPORATION et SANOFI‑AVENTIS DEUTSCHLAND GmbH

demanderesses

et

 

NOVOPHARM LIMITED

défenderesse

 

ET ENTRE :

 

NOVOPHARM LIMITED

demanderesse reconventionnelle

 

et

 

SANOFI‑AVENTIS CANADA INC., SCHERING CORPORATION et SANOFI‑AVENTIS DEUTSCHLAND GmbH

défenderesses reconventionnelles

 

 

MOTIFS DU JUGEMENT

LA JUGE SNIDER

 

I.          Introduction

 

[1]               Sanofi‑Aventis Canada (Sanofi Canada) vend au Canada un médicament sous la marque de commerce ALTACE, dont l'utilisation principale est le traitement de l'hypertension artérielle et de l'insuffisance cardiaque. L'ingrédient actif d'ALTACE est le ramipril. À quelques exceptions près, Sanofi Canada achète le ramipril d'une société liée, Sanofi‑Aventis Deutschland GmbH (Sanofi Deutschland), qui le fabrique en Allemagne. Le ramipril est visé par le brevet canadien no 1 341 206 (le brevet 206), délivré le 20 mars 2001 à Schering Corporation (Schering). Sanofi Canada et Sanofi Deutschland sont des titulaires de licence à l'égard du brevet 206.

 

[2]               En janvier 2007, Apotex Inc. (Apotex) a commencé à vendre au Canada une version générique d'ALTACE, l'Apo‑Ramipril. De même, Novopharm Limited (Novopharm) a commencé à vendre au Canada le Novo‑Ramipril en mai 2007. Apotex et Novopharm ont été autorisées à vendre le ramipril malgré le brevet en vigueur à l'issue d'une suite de procédures intentées en vertu du Règlement sur les médicaments brevetés (avis de conformité), DORS/93‑133 (le Règlement AC), que j'exposerai en détail plus loin.

 

[3]               En 2007, Sanofi Canada, Sanofi Deutschland et Schering ont engagé deux actions en contrefaçon du brevet 206. Apotex est la défenderesse dans la première action (dossier T‑161‑07) et Novopharm est la défenderesse dans la seconde (dossier T‑1161‑07). Chacune des deux défenderesses a répondu à la déclaration produite à son encontre par une défense et demande reconventionnelle, invoquant l'invalidité du brevet 206 pour divers motifs. Les demandes reconventionnelles de Novopharm et d'Apotex ont ajouté Ratiopharm Inc. (Ratiopharm) à titre de défenderesse reconventionnelle dans les deux actions. Les parties des demandes reconventionnelles touchant Ratiopharm ont fait l'objet d'une suspension en vertu des dispositions du paragraphe 50(1) de la Loi sur les Cours fédérales, L.R.C. (1985), ch. F‑7, selon l'ordonnance du juge Roger Hughes le 12 septembre 2007. Il ne sera plus question de Ratiopharm dans les présents motifs.

 

[4]               Comme le brevet visé, les questions soulevées par les parties et une grande partie de la preuve sont communs aux deux actions, elles ont été instruites ensemble. Les présents motifs s'appliquent aux deux actions.

 

[5]               La jonction des deux actions a mené à des économies considérables lors de l'instruction. Ce procès de 37 jours, qui soulevait des questions complexes en matière de validité du brevet et de dommages‑intérêts, s'est déroulé dans un délai de deux ans suivant le dépôt de la première déclaration. Les économies et la rapidité lors du procès n'auraient pas été possibles sans la grande coopération des quatre groupes d'avocats qui ont participé au procès et sans la gestion d'instance efficace de la protonotaire Milczynski. Je les remercie tous sincèrement.

 

[6]               Pour les raisons exposées dans les présents motifs du jugement, j'ai conclu qu'Apotex et Novopharm ont contrefait certaines revendications du brevet 206. Toutefois, j'ai également conclu que les revendications 1, 2, 3, 6 et 12 du brevet 206 sont invalides. En termes très généraux, l'élément clé qui m'a conduite à ce résultat est ma conclusion selon laquelle, suivant la prépondérance de la preuve, les inventeurs du brevet 206 ne pouvaient valablement prédire, le 20 octobre 1981, que les huit composés de la revendication 12 du brevet 206 auraient tous l'utilité promise par le brevet. Les revendications 1, 2, 3 et 6 portent sur les mêmes composés que ceux de la revendication 12. Par conséquent, les revendications 1, 2, 3, 6 et 12 du brevet 206 sont invalides et les demandes de Schering et de Sanofi seront rejetées.

 

[7]               Si ma conclusion est erronée et que les revendications se fondaient sur une prédiction valable, il s'ensuit, d'après les faits spécifiques de l'espèce, que les mêmes antériorités qui sous‑tendraient la prédiction valable rendraient du même coup évidentes les revendications pertinentes du brevet 206 à la date appropriée pour l'appréciation de l'évidence.

 

[8]               Les défenderesses ont soulevé d'autres motifs d'invalidité. À la lumière de ma conclusion d'invalidité au motif de l'absence d'utilité, il n'est pas rigoureusement nécessaire que je statue sur ces autres motifs. Cependant, si je devais le faire, je conclurais de la manière suivante :

 

·                    le brevet 206 n'est pas invalide pour cause de double brevet relatif à une évidence;

 

·                    dans le cas du brevet 206, rien n'oblige le titulaire du brevet à divulguer la « meilleure manière » de fabriquer les composés brevetés;

 

·                    les défenderesses, compte tenu des faits de l'espèce, ne peuvent recourir au moyen de défense fondé sur l'arrêt Gillette;

 

·                    l'argument d'Apotex faisant valoir que Schering n'était pas le premier inventeur de l'objet visé par le brevet 206 est rejeté.

 

[9]               La demande relative au brevet 206 a été déposée au Canada le 20 octobre 1981. Selon les articles 78.1 et 78.2 actuels de la Loi sur les brevets (L.R.C. (1985), ch. P‑4), les demandes de brevet déposées avant le 1er octobre 1989 sont régies par la loi en vigueur à cette date. Par conséquent, les renvois à la Loi sur les brevets dans les présents motifs visent, sauf indication contraire, la version de la Loi sur les brevets valide tout juste avant le 1er octobre 1989.

 

[10]           Enfin, je note que l'instruction des deux actions n'a pas été divisée en deux phases. Seize jours de preuve et deux jours d'argumentation finale ont été consacrés à la phase portant sur les mesures de redressement. Comme je n'ai pas accueilli les actions, il n'est pas nécessaire d'examiner ces questions. Néanmoins, je conserverai mes notes au sujet de la seconde phase de l'instruction. Au besoin, je pourrais être saisie de mises à jour aux éléments de preuve et aux observations et statuer sur les dommages‑intérêts et les mesures de redressement appropriés.

 

II.        Table des matières

 

[11]           Pour aider le lecteur, on trouvera ci‑dessous la table des matières des motifs du jugement où les numéros de paragraphe figurent en regard des intitulés :

 

I.

Introduction

[1] à [10]

II.

Table des matières

[11]

III.

Les témoins

[12] à [43]

 

A.

Introduction

[12]

 

B.

Les témoins experts des demanderesses

[15]

 

C.

Les témoins des faits des demanderesses

[29]

 

D.

Les témoins experts des défenderesses

[30]

 

E.

Les témoins des faits des défenderesses

[43]

IV.

La mise en situation du brevet 206

[44] à [64]

 

A.

Introduction

[44]

 

B.

Les principes chimiques

[45]

 

 

(1)

La stéréochimie

[46]

 

 

(2)

Les inhibiteurs de l'ECA en général

[50]

 

C.

L'historique des inhibiteurs de l'ECA

[53]

 

D.

Les travaux de Schering sur les inhibiteurs de l'ECA

[58]

 

E.

Les procédures en cas de conflit

[63]

V.

Les procès antérieurs

[65] à [73]

VI.

La validité, la présomption et le fardeau de la preuve

[74] à [78]

VII.

L'interprétation des revendications

[79] à [138]

 

A.

Les principes d'interprétation des revendications

[79]

 

B.

La personne versée dans l'art

[85]

 

C.

La description du brevet 206

[86]

 

D.

L'interprétation des revendications 1, 2, 3 et 6

[99]

 

E.

L'interprétation de la revendication 12

[105]

 

F.

La « promesse » du brevet 206

[119]

 

G.

Résumé de l'interprétation des revendications

[138]

VIII.

La contrefaçon

[139] à [141]

IX.

L'utilité

[142] à [231]

 

A.

Les principes généraux

[142]

 

B.

La prédiction valable : le fondement factuel et le raisonnement clair et valable

[151]

 

 

(1)

L'importance de la stéréochimie

[156]

 

 

(2)

Les travaux de Schering

[164]

 

 

(3)

La stéréochimie à la position carboéthoxy

[189]

 

 

(4)

La théorie de l'« espace »

[203]

 

C.

La prédiction valable : la divulgation

[213]

 

D.

Conclusion sur la prédiction valable

[229]

X.

La prédiction valable relative à la confection

[232] à [259]

 

A.

L'exigence de prédiction valable du mode de confection

[233]

 

B.

Les autres méthodes de synthèse

[238]

 

C.

L'exemple 20

[247]

XI.

L'évidence

[260] à [320]

 

A.

Les principes généraux

[260]

 

B.

L'invention

[267]

 

C.

La date de l'invention

[269]

 

D.

L'application du critère de l'évidence de l'arrêt Sanofi‑Synthelabo

[288]

 

 

(1)

Identifier la « personne versée dans l'art »

[289]

 

 

(2)

Déterminer les connaissances générales courantes pertinentes

[290]

 

 

(3)

Définir l'idée originale

[298]

 

 

(4)

Recenser les différences entre l'« état de la technique » et l'idée originale

[299]

 

 

(5)

Les différences constituent‑elles des étapes évidentes?

[301]

 

E.

Conclusion sur l'évidence

[319]

XII.

La meilleure manière

[321] à [333]

XIII.

Le double brevet

[334] à [343]

XIV.

Le moyen de défense fondé sur l'arrêt Gillette

[344] à [349]

XV.

L'auteur de l'invention

[350] à [354]

XVI.

Conclusions

[355] à [364]

 

Postface

[1] et [2]

 

 

 

 

III.       Les témoins

 

A.        Introduction

[12]           Au cours des 31 jours de l'instruction consacrés à la présentation de la preuve, de nombreux témoins experts et témoins des faits ont comparu. Quinze jours de l'instruction ont porté sur la preuve relative aux questions de validité et de contrefaçon. Le reste de l'instruction a été consacré à l'examen des diverses mesures de redressement possibles si les demandes des demanderesses étaient accueillies. Comme je l'ai déjà noté, j'ai conclu que le brevet 206 est invalide. Par conséquent, il n'est pas nécessaire (pour l'instant) d'apprécier la preuve produite par les nombreux témoins compétents qui ont comparu lors de la phase portant sur les mesures de redressement.

 

[13]           Je donnerai ci‑après un bref aperçu des témoins experts et des témoins des faits qui ont comparu au cours de la phase de l'instruction consacrée aux questions de contrefaçon et de validité ainsi que des domaines visés par leurs témoignages. Dans le cas des témoins experts, je fournirai une description très courte de leur formation et de leur expérience dans les domaines au sujet desquels la Cour les a jugés experts. Des références plus détaillées à la preuve des experts figurent dans les parties appropriées des motifs.

 

[14]           Les experts produits par les demanderesses et les défenderesses ont été très utiles à la Cour. Je ferai toutefois remarquer qu'il y a eu beaucoup de chevauchement et de répétition dans leurs témoignages.

 

B.         Les témoins experts des demanderesses

(1)        M. Paul A. Bartlett

[15]           Après avoir obtenu un doctorat en chimie organique, M. Paul A. Bartlett a commencé en 1973 une carrière universitaire impressionnante à l'Université de Californie à Berkeley. De 1996 à 2000, il a été directeur du Département de chimie. Monsieur Bartlett est actuellement professeur émérite de chimie à l'Université de Californie à Berkeley. Il possède une vaste expérience de consultant et de chercheur dans des domaines liés aux questions à trancher dans la présente affaire. J'ai reconnu les compétences de M. Bartlett comme expert en chimie organique de synthèse et en chimie médicinale. Au cours de ses témoignages et dans ses déclarations écrites pour le compte de Schering, M. Bartlett a donné son avis sur l'interprétation des revendications, la contrefaçon, l'utilité, la prédiction valable et l'évidence de l'invention.

 

(2)        M. André Charette

[16]           Monsieur Charette est professeur au Département de chimie de l'Université de Montréal. Il est titulaire de la Chaire de recherche du Canada sur la synthèse stéréosélective des molécules bioactives et de la Chaire industrielle CRSNG, Merck Frosst et Boehringer Ingelheim en synthèse stéréosélective des médicaments. Il a été reconnu à titre d'expert dans les domaines de la chimie organique relatifs à la stéréochimie et à la synthèse stéréosélective.

 

[17]           Pour le compte de Sanofi, M. Charette a donné son avis concernant les méthodes de synthèse des composés visés par les revendications 1, 2, 3, 6 et 12 du brevet 206. Il a examiné les techniques expérimentales utilisées par M. Bihovsky, M. Mariampillai et M. Lautens lorsqu'ils ont tenté de suivre les directives de l'exemple 20 du brevet 206 et a donné son opinion à leur sujet. Son témoignage portait également sur les composés de la revendication 12, à savoir si ces composés pouvaient être préparés par des méthodes connues dans le domaine et différentes de celles de l'exemple 20.

 

(3)        M. Arthur Patchett

[18]           Monsieur Patchett a mené une carrière longue et distinguée en chimie pharmaceutique. Il s'est joint à Merck & Co. (Merck) en qualité de chimiste de recherche en 1957 et il est resté avec cette société à divers titres jusqu'en 2002. Monsieur Patchett est un co‑inventeur de l'énalapril et du lisinopril, qui sont des inhibiteurs de l'enzyme de conversion de l'angiotensine (inhibiteurs de l'ECA). Élément particulièrement pertinent pour la présente instruction, il a joué un rôle dans la divulgation des travaux de Merck pour la mise au point de l'énalapril et du lisinopril lors d'une communication donnée à Troy, dans l'État de New York, en juin 1980. Monsieur Patchett a été reconnu à titre de chimiste médicinal possédant de l'expérience au sujet de la conception et de la mise au point d'inhibiteurs de l'ECA. Depuis sa retraite en 2005, M. Patchett est consultant pour la société Schering‑Plough.

 

[19]           Pour le compte de Schering, M. Patchett a donné son avis sur les questions de la prédiction valable et de l'évidence. Même s'il existe un certain degré de répétition dans les témoignages de M. Patchett et de M. Bartlett, l'expérience de M. Patchett chez Merck a apporté à la Cour une expérience unique et très utile.

 

(3)        M. Wendel Nelson

[20]           Monsieur Nelson est professeur au Département de chimie médicinale de l'Université de Washington. Il est dans le milieu universitaire depuis 1965 et il a été pendant 19 ans (de 1989 à 2007) rédacteur principal de la revue scientifique Journal of Medicinal Chemistry. Il a été reconnu à titre d'expert dans le domaine de la chimie médicinale.

 

[21]           Pour le compte de Sanofi, M. Nelson a donné son avis sur les questions de l'interprétation du brevet, de l'utilité, de la prédiction valable et de l'évidence. Dans une large mesure, ses opinions confirmaient ou répétaient celles de M. Bartlett.

 

(4)        M. James D. Wuest

[22]           Monsieur James D. Wuest est professeur au Département de chimie de l'Université de Montréal, où il est professeur titulaire depuis 1986. Avant de se joindre à l'Université de Montréal, il était professeur adjoint de chimie à l'Université Harvard et à la Faculté de médecine de l'Université Harvard. Depuis 2001, M. Wuest est titulaire de la Chaire de recherche du Canada en matériaux moléculaires. Il a été reconnu à titre d'expert en chimie organique de synthèse.

 

[23]           Pour le compte de Sanofi, M. Wuest a commenté les travaux expérimentaux de M. Bihovsky, ainsi que ceux de M. Mariampillai et de M. Lautens, en ce qui concerne l'exemple 20. Il a aussi donné son avis sur la question de savoir si les composés visés par la revendication 12 pouvaient être préparés en utilisant des méthodes connues dans le domaine et différentes de celles de l'exemple 20. Il y a eu un chevauchement et une répétition considérables à l'égard de ses opinions et de celles de M. Charette et de M. Roach.

(5)        M. Mark Lautens

[24]           Monsieur Lautens est titulaire de la Chaire AstraZeneca de synthèse organique à l'Université de Toronto, où il est professeur titulaire depuis 1995. Monsieur Lautens a été reconnu à titre d'expert en chimie organique de synthèse.

 

[25]           Pour le compte de Sanofi, M. Lautens a effectué la synthèse décrite dans l'exemple 20 du brevet 206.

 

(6)        M. Zola Horovitz

[26]           Monsieur Zola Horovitz a été reconnu à titre d'expert en pharmacologie possédant une expérience particulière dans le domaine de l'hypertension et de l'inhibition de l'ECA. Monsieur Horovitz a travaillé pendant près de 35 ans dans la recherche pharmacologique à l'Institut Squibb pour la recherche médicale (Squibb). Depuis sa retraite en 1994, il est consultant auprès des entreprises biotechnologiques et pharmaceutiques, notamment les sociétés qui développent des produits dans le domaine cardiovasculaire. Monsieur Horovitz a témoigné au sujet de l'évidence, la prédiction valable et l'utilité.

 

[27]           Comme pour M. Patchett, l'opinion de M. Horovitz chevauche dans une certaine mesure celle des autres témoins. Toutefois, M. Horovitz apporte une perspective unique à la présente instruction grâce à son expérience auprès des entreprises pharmacologiques.

 

(7)        M. Braden Roach

[28]           Monsieur Braden Roach effectue de la recherche depuis plus de 20 ans dans le domaine de la synthèse chimique, en milieu universitaire et dans l'industrie. Monsieur Roach a été reconnu à titre d'expert dans la synthèse de composés organiques. L'avocat de Schering lui a demandé de donner un avis sur les travaux de M. Lautens et de M. Bihovsky lorsqu'ils ont tenté de suivre la synthèse à l'exemple 20. Il y avait beaucoup de chevauchement et de répétition à l'égard de ses opinions et de celles qu'ont exprimées M. Charette et M. Roach.

 

C.        Les témoins des faits des demanderesses

[29]           Schering a présenté deux témoins des faits à la Cour. Monsieur Bernard Neustadt travaille pour Schering en qualité de chercheur travaillant comme chimiste médicinal pour les travaux de recherche de la société. Il y est employé depuis 1969. Il est l'un des inventeurs de l'objet du brevet 206. L'autre témoin des faits était Mme Elizabeth Smith, employée de Schering depuis 1972. Elle est l'un des inventeurs de l'objet du brevet 206.

 

D.        Les témoins experts des défenderesses

(1)        M. Eugene Thorsett

[30]           Monsieur Eugene Thorsett est un spécialiste de la chimie organique de synthèse qui compte 33 ans d'expérience dans l'industrie pharmaceutique. Élément particulièrement important en l'espèce, M. Thorsett a été chercheur chez Merck de 1975 à 1988, notamment pendant les premières étapes du développement des inhibiteurs de l'ECA, dont l'énalapril et le lisinopril. Monsieur Thorsett a été reconnu à titre d'expert en chimie médicinale et en chimie organique de synthèse. Il jouit de connaissances particulières sur le développement préclinique de médicaments, en particulier les aspects liés à la pharmacologie, comme la pharmacocinétique et l'absorption, la distribution, le métabolisme et l'excrétion d'un composé pharmaceutique au sein de l'organisme, ainsi que dans le domaine de l'optimisation du premier candidat‑médicament et dans la conception et la mise au point d'inhibiteurs d'enzymes, notamment les inhibiteurs de l'ECA. Son témoignage et ses déclarations écrites au nom d'Apotex ont porté sur les questions de l'interprétation des revendications, de l'utilité, de la prédiction valable et de l'évidence.

 

(2)        Le Dr Mario Ehlers

[31]           Le Dr Ehlers est un médecin chercheur possédant 11 ans d'expérience en recherche universitaire et 8 ans d'expérience dans l'industrie biopharmaceutique en développement de médicaments et de produits de diagnostic et dans les services de laboratoire central. Il a été reconnu à titre de biochimiste ayant une expérience universitaire et industrielle dans les études relatives à la structure et à la fonction de l'ECA et des inhibiteurs de l'ECA ainsi que dans la conception et la synthèse de nouveaux inhibiteurs de l'ECA. Pour le compte de Novopharm, le Dr Ehlers a donné son opinion sur l'interprétation des brevets et la prédiction valable.

 

(3)        M. Christopher John Moody

[32]           Depuis 1979, M. Moody travaille en milieu universitaire. Il est actuellement professeur de chimie titulaire de la Chaire Sir Jesse Boot à l'Université de Nottingham, au Royaume‑Uni. Élément particulièrement important, M. Moody a travaillé, de 1977 à 1979, comme chimiste de recherche principal de Roche sur un projet portant sur la conception et la synthèse d'inhibiteurs de l'ECA comme médicaments possibles pour l'hypertension. Monsieur John Moody a été reconnu à titre d'expert en chimie organique ayant de l'expérience en chimie hétérocyclique. Son témoignage portait sur l'interprétation des revendications et sur le processus utilisé par Schering et Novopharm pour synthétiser le ramipril.

 

(4)        M. Robert Allan McClelland

[33]           Monsieur McClelland est professeur émérite à l'Université de Toronto. De 1983 à juin 2005, il a été professeur de chimie à l'Université de Toronto. Monsieur McClelland a été reconnu à titre d'expert dans le domaine de la chimie organique physique, en particulier au sujet des intermédiaires réactionnels générés lors des réactions d'addition et de substitution nucléophiles, ainsi que dans les domaines de la chimie biologique et de la chimie médicinale, en particulier les propriétés des médicaments hétérocycliques et la synthèse de nouveaux analogues.

 

[34]           Pour le compte d'Apotex, M. McClelland a donné son opinion d'expert et a répondu à certaines opinions des experts des demanderesses dans les domaines suivants : la comparaison des revendications du brevet 087 et du brevet 206, la comparaison du procédé de fabrication du ramipril d'Apotex et de celui qui est revendiqué dans le brevet canadien no 1 187 087 (le brevet 087), l'exemple 20 du brevet 206, et les travaux de recherche de Schering relatifs au brevet 206.

 

(5)        M. Ian Fleming

[35]           Monsieur Fleming est professeur émérite de chimie à l'Université de Cambridge et fellow émérite du Pembroke College de l'Université de Cambridge. De 1965 à 2002, il a occupé divers postes universitaires à Cambridge, dont le dernier a été celui de professeur de chimie de 1998 à 2002. Il a été reconnu à titre d'expert en chimie organique de synthèse.

[36]           Pour le compte d'Apotex, M. Fleming a donné son opinion d'expert à l'égard des sujets suivants : l'exemple 20, la comparaison des revendications du brevet 087 et du brevet 206, et la comparaison du procédé de fabrication du ramipril d'Apotex et de celui qui est revendiqué dans le brevet 087.

 

[37]           Bien que M. Fleming soit un expert très compétent et bien informé, je me demande si ses opinions étaient nécessaires à la compréhension du sujet par la Cour, étant donné que son mandat était presque identique à celui de M. McClelland. Il me semble que l'un ou l'autre de ces deux experts aurait suffi.

 

(6)        M. Timothy J. Ward

[38]           Monsieur Ward est le doyen associé de la Faculté des sciences et professeur au Département de chimie du Millsaps College, à Jackson, au Mississippi. Monsieur Ward a travaillé pour Dionex Corporation et pour Syntex Pharmaceuticals entre 1987 et 1990, puis il a rejoint le milieu universitaire. Il a été reconnu à titre d'expert en science de la séparation, notamment en chromatographie. Pour le compte d'Apotex, il a donné son opinion d'expert sur la science de la chromatographie et de la séparation. En particulier, M. Ward a donné son opinion sur la méthodologie de séparation nécessaire pour les composés de la revendication 12 du brevet 206 et sur le travail de séparation effectué par Schering à l'égard des composés visés par la revendication 12.

 

(7)        M. Clayton Heathcock

[39]           Monsieur Heathcock est un chimiste qui compte plus de 45 ans d'expérience universitaire en chimie organique et en chimie médicinale. Il est actuellement professeur émérite à l'Université de Californie à Berkeley et expert scientifique chef de la section du California Institute for Quantitative Biosciences (Institut californien des biosciences quantitatives) à Berkeley. Monsieur Heathcock a été reconnu à titre de spécialiste en chimie organique de synthèse.

 

[40]           Pour le compte de Novopharm, M. Heathcock a donné son opinion sur la question de savoir si l'objet du brevet 206 aurait été évident pour une personne versée dans l'art. À la lumière du témoignage de M. Thorsett, je me demande si M. Heathcock a beaucoup enrichi les connaissances de la Cour dans ce domaine.

 

(8)        M. Ron Bihovsky

[41]           Monsieur Bihovsky est un scientifique qui compte plus de 20 ans d'expérience en chimie, dans le milieu universitaire et dans l'industrie. En 2001, il a fondé Key Synthesis LLC, laboratoire de chimie organique qui réalise des projets de synthèse contractuels pour des sociétés pharmaceutiques et biotechnologiques, de la recherche sur les procédés de fabrication et des travaux de consultation. Monsieur Bihovsky a été reconnu à titre d'expert en synthèse organique.

 

[42]           Apotex a demandé à M. Bihovsky d'essayer de reproduire la synthèse décrite dans l'exemple 20 du brevet 206 et de donner son opinion sur la capacité d'une personne versée dans l'art d'exécuter les réactions chimiques de l'exemple 20.

 

E.         Les témoins des faits des défenderesses

[43]           Apotex a présenté deux témoins des faits à la Cour. Monsieur Stephen Horne est le vice‑président à la recherche et au développement chez Apotex Pharmachem. Son témoignage portait sur un échantillon d'un composé appelé « Ram 85 » qui avait été fourni à M. Bihovsky. Madame Gabriela Mladenova a témoigné au sujet de ses travaux de laboratoire en 2003 ou vers cette période. À cette époque, Mme Mladenova a effectué quelques expériences sous la direction de M. Lee‑Ruff au cours desquelles elle a tenté sans succès de reproduire la synthèse décrite dans l'exemple 20 du brevet 206.

 

IV.       La mise en situation du brevet 206

 

A.        Introduction

[44]           Le brevet 206 est intitulé [TRADUCTION] « Dipeptides carboxyalkyles, méthodes pour leur production et compositions pharmaceutiques les renfermant ». Quelques renseignements sur l'objet et l'historique du brevet et les principes chimiques pertinents pourraient être utiles.

 

 

B.         Les principes chimiques

[45]           Les experts ne divergeaient pas d'opinion en ce qui concerne les aspects de la chimie organique et de la biochimie s'appliquant à la présente instance. Voici une très brève description de la preuve relative à ces aspects.

 

(1)        La stéréochimie

[46]           Il faut comprendre les principes de base de la stéréochimie pour comprendre la nature de l'invention revendiquée dans le brevet 206.

 

[47]           La stéréochimie est l'étude en trois dimensions de l'orientation spatiale des atomes dans les molécules et des conséquences de ces arrangements. Des molécules qui possèdent exactement la même composition chimique (et la même formule moléculaire) et la même structure moléculaire (c'est‑à‑dire la même connexion des atomes) peuvent présenter des différences quant à leur agencement spatial en trois dimensions. Ces composés sont appelés des « stéréoisomères ».

 

[48]           Le terme « centre chiral » ou « stéréocentre », en stéréochimie, est utilisé pour décrire un atome de carbone qui est lié à quatre atomes ou groupes fonctionnels de nature différente. Un composé chiral existe sous deux formes qui sont l'image l'une de l'autre dans un miroir, mais qui ne sont pas superposables — comme les mains d'une personne.

 

[49]           Pour décrire la stéréochimie des molécules possédant des centres chiraux, les chimistes ont mis au point un système dans lequel le centre chiral est décrit comme étant dans la configuration R ou S, en fonction de l'arrangement spatial des atomes autour du centre chiral.

 

(2)        Les inhibiteurs de l'ECA en général

[50]           Les acides aminés sont les éléments constitutifs de base de la matière vivante. Lorsque des nombres et des groupements variés de ces acides aminés se combinent dans diverses configurations, des structures plus grosses appelées peptides se forment. Les acides aminés sont reliés entre eux par des liaisons peptidiques. Les protéines sont des groupements plus gros qui peuvent être formés à partir de ces acides.

 

[51]           Les enzymes présentes dans le corps facilitent la transformation de matériaux tels que les protéines et les peptides en d'autres matériaux. L'enzyme qui nous intéresse en l'espèce est l'enzyme de conversion de l'angiotensine (ECA). L'ECA peut se lier à un composé appelé angiotensine I pour produire l'angiotensine II. Cette conversion a pour effet d'élever la pression artérielle par constriction des vaisseaux sanguins.

 

[52]           Le ramipril et les autres médicaments dont il est question dans les présents motifs sont tous des « inhibiteurs de l'ECA ». Les inhibiteurs de l'ECA se lient à l'ECA pour prévenir la conversion de l'angiotensine I en angiotensine II, ce qui contribue à abaisser la pression artérielle.

 

C.        L'historique des inhibiteurs de l'ECA

[53]           Un certain nombre d'experts dans cette instance étaient présents à divers moments cruciaux de l'histoire des inhibiteurs de l'ECA et ont fourni des témoignages très utiles. Un certain nombre des articles produits en preuve ont également été éclairants. Je résume cette preuve dans les paragraphes qui suivent.

 

[54]           Monsieur Horovitz, qui est devenu directeur de la pharmacologie chez Squibb en 1967, a présenté dans sa déclaration écrite un excellent résumé des débuts des inhibiteurs de l'ECA. L'histoire commence à la fin des années 1960, au moment où des scientifiques se mettent à étudier le venin d'un serpent indigène du Brésil, Bothrops jararaca, en raison du fait que l'on savait qu'il réduisait la tension artérielle. Des scientifiques de la société Squibb ont isolé le composé actif et synthétisé un peptide appelé téprotide. Le téprotide a d'abord été testé chez des sujets humains en 1973 et s'est révélé efficace comme agent antihypertenseur chez l'humain. Toutefois, le téprotide n'était efficace que par administration intraveineuse.

 

[55]           La transformation du téprotide en un inhibiteur de l'ECA efficace par voie orale est le fruit des travaux d'une équipe de scientifiques travaillant pour Squibb, dont faisaient partie MM. Miguel Ondetti et David Cushman. La structure précise de l'ECA n'était pas connue à cette époque, mais les scientifiques de Squibb ont élaboré des hypothèses concernant un modèle de l'ECA dans le corps humain, s'appuyant sur ce qu'on connaissait d'une autre enzyme appelée carboxypeptidase A. Selon M. Horovitz, une des premières mesures prises par les scientifiques de Squibb a été d'inclure un groupe carboxyle (HO2C) à l'extrémité de la molécule de téprotide en se basant sur les réalisations antérieures associées à la carboxypeptidase A. Puis, ils ont ajouté un groupe CH2 au squelette. Ensuite, les scientifiques ont introduit un groupe sulfhydryle (SH) en position terminale au lieu du groupe carboxyle. C'est ainsi qu'est né le captopril, la première petite molécule efficace par voie orale qui inhibait l'ECA. Comme l'a déclaré M. Horovitz : [TRADUCTION] « Après presque dix ans de travail et l'analyse de milliers de composés, Squibb


a finalement obtenu un médicament qui pouvait être utilisé pour le traitement de l'hypertension et était actif par voie orale. » La structure du captopril est indiquée ci‑dessous :

[56]           Bien que le captopril représente une innovation de taille dans le développement des inhibiteurs de l'ECA, la présence de l'atome de soufre causait de graves effets secondaires chez certaines personnes. La percée majeure suivante est venue de Merck. En réponse au problème des effets secondaires, les scientifiques de Merck (dont MM. Thorsett et Patchett) ont tenté principalement d'enlever le groupe sulfhydryle (SH) (aussi connu sous le nom de groupe thiol). Le remplacement du groupe thiol par un acide carboxylique (COOH) a donné l'énalapril. Bien qu'on ne retrouve pas le groupe sulfuré du captopril dans l'énalapril, il conservait l'unité proline ou la structure cyclique à cinq membres située à l'extrémité C‑terminale du composé. Ce nouvel


inhibiteur de l'ECA avait trois stéréocentres, qui étaient tous de configuration S. La structure de l'énalapril est illustrée ci‑dessous :

Énalapril

 

[57]           Le 18 juin 1980, à l'occasion d'un congrès sur la chimie médicinale à Troy (New York) (le congrès de Troy), M. Patchett a présenté le nouvel inhibiteur de l'ECA de Merck. La divulgation faite par Merck au congrès de Troy était attendue avec impatience par les scientifiques dont les travaux portaient sur les inhibiteurs de l'ECA. Lors de sa comparution à l'instruction, M. Patchett a témoigné qu'au moins plusieurs centaines de personnes, peut‑être plus, étaient présentes à sa communication. Plusieurs étaient des scientifiques de sociétés pharmaceutiques qui avaient réalisé des projets de recherche pour développer de nouveaux médicaments inhibiteurs de l'ECA. Madame Elizabeth Smith, de Schering, se trouvait parmi ces scientifiques. Comme nous le verrons plus loin, Mme Smith avait réalisé des travaux préliminaires qui, espérait‑elle, pouvaient s'ajouter à la divulgation de Merck ou y être incorporés.


D.        Les travaux de Schering sur les inhibiteurs de l'ECA

[58]           Même si plus de précisions seront apportées dans la présente décision concernant les travaux de mise au point effectués par Schering à la fin des années 1970 et au début des années 1980, il est utile d'avoir ici un aperçu de la nature des travaux de recherche qui étaient réalisés par Schering et qui ont mené à la demande de ce qui deviendrait le brevet 206 et le ramipril. À cet égard, la preuve présentée par Mme Smith et par M. Neustadt a été utile.

 

[59]           Avant l'annonce faite par Merck au congrès de Troy en juin 1980, des scientifiques de la société Schering, dont Mme Smith, essayaient de mettre au point un composé antihypertenseur qui serait plus efficace que le captopril. Alors que les travaux de Merck portaient sur l'élimination du groupe thiol, ceux de Schering étaient axés sur un aspect différent de la molécule de captopril, à savoir l'unité proline. À la fin de 1979 ou au début de 1980, Mme Smith et ses collègues ont constaté que le remplacement de la proline dans le captopril par certains cycles fusionnés ou cycles spiro produisait des composés actifs.

 

[60]           Par suite de la divulgation de Merck au congrès de Troy, les scientifiques de Schering ont décidé d'essayer de créer des composés en combinant la divulgation de Merck aux travaux qu'ils avaient déjà faits relativement à l'extrémité proline de la molécule. Autrement dit, les scientifiques de Schering ont décidé d'essayer d'utiliser diverses structures spiro et bicycliques au lieu de la proline sur une molécule de type énalapril. Ce projet a été documenté dans un rapport de divulgation de l'invention daté du 20 juin 1980. Selon Mme Smith, ce rapport illustre la structure générale des composés dans ce qui allait devenir le brevet 206.

 

[61]           Le 23 octobre 1980, Schering a déposé aux États‑Unis la demande de brevet no 199 886. La demande de brevet canadien postérieure revendiquait la priorité en se fondant sur la demande de brevet américain.

 

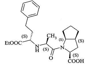
[62]           Le 20 octobre 1981, Schering a déposé au Canada la demande no 388 336 (la demande 336). Sa demande a mené à la délivrance du brevet 206 en mars 2001. Les revendications 1, 2, 3, 6, et la revendication 12 (qui fait l'objet de certains désaccords), visent la molécule appelée ramipril, un composé qui a été commercialisé avec beaucoup de succès. La structure du ramipril est illustrée ci-dessous :

Ramipril

 

E.         Les procédures en cas de conflit

[63]           Comme je l'ai noté, Schering a déposé la demande 336 au Canada le 20 octobre 1981. D'autres demandeurs ont également revendiqué la délivrance de brevets protégeant certains composés. En particulier, ADIR a déposé la demande no 387 093 (la demande 093) et Hoechst Aktiengesellschaft (Hoechst), société remplacée par Sanofi Deutschland, a déposé la demande de brevet no 384 787 (la demande 787). Comme le prévoyait la Loi sur les brevets, certaines des revendications contenues dans la demande 336 ont été confrontées à celles d'autres demandes.

 

[64]           Les procédures en cas de conflit se sont poursuivies jusqu'au 12 décembre 2000, moment où les trois parties au conflit ont consenti à une ordonnance du juge Marc Nadon qui prévoyait l'attribution des revendications en conflit. En fin de compte, le brevet 206 a enfin été délivré le 20 mars 2001.

 

V.        Les procès antérieurs

 

[65]           Les présentes actions ne sont pas les premières visant le brevet 206 et le ramipril. Tous les procès antérieurs concernaient des demandes intentées en vertu du Règlement AC. Le régime du Règlement AC est complexe. Pour résumer le point important dans le présent procès, une partie comme Apotex ou Novopharm (désignée dans le Règlement AC comme la « seconde personne ») peut demander au ministre de la Santé l'autorisation (sous la forme d'un avis de conformité (AC)) de commercialiser un médicament, même s'il est visé par un brevet. Lorsqu'une personne a annoncé son intention de demander un avis de conformité, elle est tenue de prendre en considération tous les brevets susceptibles de toucher le produit qu'elle propose. Un titulaire de brevet ou une autre « première personne » peut demander à la Cour fédérale de rendre une ordonnance interdisant au ministre de délivrer l'autorisation nécessaire à la « seconde personne ».

 

[66]           Il est incontestable que les demandes présentées en vertu du Règlement AC comprennent des allégations de contrefaçon et d'invalidité. Toutefois, au terme de la procédure, le juge saisi de la demande n'est pas appelé à rendre une décision définitive sur la contrefaçon et la validité. Il doit plutôt décider si l'allégation de la seconde personne est « fondée ». Il s'agit d'une distinction subtile, fondée dans une large mesure sur le caractère « sommaire » de la procédure de l'AC (voir, par exemple, David Bull Laboratories (Canada) Inc. c. Pharmacia Inc., [1995] 1 C.F. 588 (C.A.F.), aux pages 598 à 600, AB Hassle c. Apotex Inc., 2006 CAF 51, [2006] 4 R.C.F. 513, au paragraphe 2 (AB Hassle)). La procédure de l'AC est instruite sur la base du « dossier écrit » constitué d'une preuve par affidavit et des observations écrites et orales limitées des avocats. Il n'y a pas de témoignages de vive voix de la part d'experts qui pourraient guider et éclairer davantage le juge présidant l'instruction. Même si cette procédure « sommaire » exige des milliers de pages de preuve par affidavit, de longs contre‑interrogatoires et des centaines d'heures de travail de la part de toutes les parties en cause (et du juge), elle n'aboutit pas à une conclusion déterminante sur la validité du brevet. Le titulaire de brevet qui n'obtient pas l'ordonnance d'interdiction peut toujours intenter une action en contrefaçon de brevet. De son côté, la société fabriquant le médicament générique qui fait l'objet d'une ordonnance d'interdiction a la possibilité d'intenter une action attaquant le brevet. Étant donné la situation, je peux comprendre la frustration de M. Bernard Sherman, qui s'est exprimé comme suit au cours de son témoignage :

[TRADUCTION]

 

Il se peut fort bien qu'on n'ait pas envisagé adéquatement ce qui se passe par la suite, ni même envisagé l'éventualité d'un procès ultérieur.

 

Mais le régime est aberrant si les sociétés qui fabriquent des médicaments génériques doivent effectuer la recherche, être en procès pendant des années, avoir gain de cause en vertu du règlement et, en fin de compte, être incapables de lancer le produit; en particulier, s'il n'y a pas d'engagements en matière de dommages‑intérêts, le secteur ne peut survivre.

 

[67]           Cependant, tant que le législateur ne jugera pas indiqué de revoir le régime du Règlement AC, il se présentera des cas où une partie à une procédure d'AC est exposée au risque de contrefaçon de brevet ou à une procédure en annulation du brevet, selon le cas.

 

[68]           Tel est le contexte dans lequel se sont tenus les procès antérieurs concernant le ramipril et dans lequel je dois examiner cette jurisprudence.

 

[69]           Dans la décision Aventis Pharma Inc. c. Pharmascience Inc., 2005 CF 340, [2005] 4 R.C.F. 301 (la décision « ramipril 1 (C.F.) »), Aventis Pharma Inc. (société remplacée par Sanofi Canada) demandait, en vertu du Règlement AC, une ordonnance interdisant au ministre de la Santé de délivrer un AC à Pharmascience Inc. à l'égard du ramipril. À l'époque, trois brevets distincts étaient inscrits à l'égard de l'ALTACE au registre tenu par le ministre en vertu du Règlement AC : le brevet 206, le brevet canadien no 1 187 087 et le brevet canadien no 1 246 457 (le brevet 457). Dans l'avis d'allégation signifié par Pharmascience au sujet de ses gélules de ramipril, Pharmascience alléguait que les revendications 1, 2, 3, 6 et 12 du brevet 206 étaient invalides parce qu'elles visaient un objet qui n'était pas un objet brevetable distinct de l'objet des revendications du brevet 087 et du brevet 457. En d'autres termes, Pharmascience faisait valoir l'invalidité du brevet 206 au motif du « double brevet », argumentation soulevée à la fois par Apotex et par Novopharm dans l'affaire dont je suis saisie. Selon la preuve produite devant moi dans cette demande, j'ai rendu une ordonnance d'interdiction.

[70]           Ma conclusion d'ensemble dans la décision ramipril 1 (C.F.) a été confirmée par l'arrêt Pharmascience Inc. c. Sanofi‑Aventis Canada Inc., 2006 CAF 229, [2007] 2 R.C.F. 103 (la décision « ramipril 1 (C.A.F.) »). Plus particulièrement, la Cour d'appel a rejeté l'argumentation de Pharmascience portant que le brevet 206 était invalide en raison de l'évidence ou du double brevet.

 

[71]           Dans la décision Aventis Pharma Inc. c. Apotex Inc., 2005 CF 1283 (la décision « ramipril 2 (C.F.) »), la juge Anne Mactavish a rejeté la demande d'Aventis Pharma Inc. visant à interdire au ministre de la Santé de délivrer un AC à Apotex. Le fondement de sa décision était que l'allégation d'Apotex au sujet de l'absence de prédiction valable pour les revendications visées était fondée. Par suite de cette décision, le ministre de la Santé a délivré un AC à Apotex et l'a autorisée à commercialiser l'Apo‑Ramipril. La décision de la juge Mactavish a été confirmée par la Cour d'appel dans l'arrêt Aventis Pharma Inc. c. Apotex Inc., 2006 CAF 64 (la décision « ramipril 2 (C.A.F.) »).

 

[72]           Dans Sanofi‑Aventis Canada Inc. c. Novopharm ltée, 2007 CAF 163, [2008] 1 R.C.F. 174 (la décision « ramipril 3 »), autre arrêt portant sur la procédure de l'AC à l'égard du brevet 206, la Cour d'appel a conclu à la majorité que constituait un abus de procédure au sens du Règlement AC le fait pour un titulaire de brevet de débattre à nouveau une allégation d'invalidité à l'encontre d'un fabricant de médicaments génériques si l'allégation avait été jugée fondée dans une procédure antérieure contre un fabricant de médicaments génériques différent. Par conséquent, Novopharm a également obtenu un AC et a été autorisée à commercialiser le Novo‑Ramipril.

[73]           La dernière décision concernant le ramipril et le brevet 206 a été Sanofi‑Aventis Inc. c. Laboratoire Riva inc., 2007 CF 532 (la décision « ramipril 4 (C.F.) »). Le juge Sean Harrington a suivi la décision ramipril 3 de la Cour d'appel et a rejeté la demande de Sanofi‑Aventis et al. Étant donné la possibilité de succès d'un appel interjeté à la Cour suprême du Canada à l'encontre de la décision ramipril 2 (C.A.F.) — ce qui ne s'est pas réalisé — le juge Harrington a poursuivi et a exposé ses vues sur les questions de fond dont il était saisi. Tout en étant d'accord avec les conclusions de la juge Mactavish sur la question du double brevet dans la décision ramipril 2 (C.F.), il en serait venu à une conclusion différente sur la question de la prédiction valable. Le juge Harrington, sur la base de la preuve dont il était saisi, aurait conclu qu'il y avait un fondement valable à la prédiction de Schering que les composés des revendications pertinentes du brevet 206 provoqueraient l'inhibition de l'ECA.

 

VI.       La validité, la présomption et le fardeau de la preuve

 

[74]           Il incombe aux demanderesses d'établir que les défenderesses ont contrefait le brevet 206. Une fois la contrefaçon établie, le fardeau de la preuve passe de l'autre côté. En vertu du paragraphe 43(2) de la Loi sur les brevets, un brevet est présumé valide sauf preuve contraire. Les défenderesses doivent établir l'invalidité du brevet 206. Elles acceptent le fardeau de la preuve. Les parties ne s'entendent pas, toutefois, sur l'un des aspects du fardeau de la preuve approprié qui incombe aux défenderesses.

 

[75]           Les demanderesses invoquent la jurisprudence de la Cour suprême qui enseigne qu'il incombe aux défenderesses d'établir que le commissaire aux brevets a commis une erreur en délivrant le brevet 206 (voir l'arrêt Monsanto Canada Inc. c. Schmeiser, 2004 CSC 34, [2004] 1 R.C.S. 902, au paragraphe 24 (Schmeiser), et l'arrêt Apotex Inc. c. Wellcome Foundation Ltd., 2002 CSC 77, [2002] 4 R.C.S. 153, aux paragraphes 42 à 44 (l'« arrêt AZT »). En outre, les demanderesses soutiennent que le contrôle de la décision du commissaire devrait se faire selon la norme de la décision raisonnable, comme on le ferait pour une demande de contrôle judiciaire de la décision du commissaire de délivrer le brevet 206.

 

[76]           À mon avis, la charge qui incombe aux défenderesses dans la présente action en contrefaçon n'est pas facile à définir en fonction des normes applicables au contrôle judiciaire. En l'espèce, la Cour doit s'attacher au paragraphe 43(2) de la Loi sur les brevets, qui impose directement aux défenderesses la charge de renverser la présomption de validité. En très grande partie, la décision du commissaire n'a simplement aucune pertinence par rapport à la décision que je dois rendre. Cela étant dit, cela ne signifie pas que je ne peux prendre en compte la décision du commissaire. Sous réserve du poids à leur accorder, certaines conclusions du commissaire peuvent être utiles.

 

[77]           Le fardeau de la preuve est le fardeau de la preuve civile. Les défenderesses peuvent s'acquitter de cette charge si elles peuvent me convaincre, suivant la prépondérance de la preuve, a) soit qu'elles n'ont pas contrefait le brevet 206, b) soit que les revendications en cause sont invalides pour l'un ou l'autre des motifs qu'elles invoquent.

 

[78]           En l'espèce, les défenderesses ne contestent pas toutes les revendications du brevet 206; elles contestent seulement les revendications 1, 2, 3, 6 et 12. Par conséquent, une conclusion d'invalidité des revendications 1, 2, 3, 6 et 12 invaliderait ces seules revendications et non l'ensemble du brevet 206.

 

VII.     L'interprétation des revendications

 

A.        Les principes d'interprétation des revendications

[79]           Dans une action en contrefaçon de brevet, la première étape est l'interprétation des revendications, conformément aux principes clairement exposés dans l'arrêt Whirlpool Corp. c. Camco Inc., 2000 CSC 67, [2000] 2 R.C.S. 1067 (Whirlpool), et dans de nombreuses autres décisions. Cette jurisprudence enseigne que les revendications doivent être interprétées de façon éclairée et en fonction de leur objet « pour assurer le respect de l'équité et la prévisibilité et pour cerner les limites du monopole » (Dimplex North America Ltd. c. CFM Corp., 2006 CF 586, au paragraphe 49, conf. par 2007 CAF 278 (Dimplex)). S'il le faut, l'interprétation doit porter sur l'ensemble du brevet, et non seulement sur les revendications (Eli Lilly Canada Inc. c. Apotex Inc., 2008 CF 142, au paragraphe 25, Eli Lilly Canada Inc. c. Novopharm Ltd., [2008] 2 R.C.F. 749, 2007 CF 596, au paragraphe 103).

 

[80]           Il appartient à la Cour de trancher la question de l'interprétation des revendications. La Cour est appelée à décider, sur une base objective, ce que la personne hypothétique versée dans l'art aurait compris que l'inventeur voulait dire (arrêt Whirlpool, précité, aux paragraphes 45 et 53). Dans le cas où le brevet a un caractère très technique, la personne versée dans l'art sera une personne qui possède un niveau élevé de connaissances scientifiques spécialisées et d'expertise dans le domaine spécifique des sciences dont relève le brevet (décision ramipril 2 (C.F.), précitée, au paragraphe 64, Apotex Inc. c. Syntex Pharmaceuticals International Ltd., no T‑2870‑96, 23 avril 1999 (C.F. 1re inst.)).

 

[81]           La Cour devrait interpréter les revendications à la lumière de la description dans le mémoire descriptif, avec l'aide, si c'est nécessaire, de preuve d'experts pour ce qui concerne la signification des termes techniques, s'ils ne peuvent être compris à la lecture du mémoire (Shire Biochem Inc. c. Canada (Ministre de la Santé), 2008 CF 538, au paragraphe 22 (Shire), Whirlpool, précité, au paragraphe 45).

 

[82]           Il est également important de reconnaître que l'interprétation téléologique devrait porter sur les points en litige entre les parties. Voici ce que dit le juge Hughes dans la décision Shire, précitée, au paragraphe 21 :

Cependant, la Cour ne peut interpréter une revendication dans l'ignorance de l'objet du litige entre les parties. Comme l'écrivait le juge Floyd de la Haute Cour d'Angleterre et du Pays de Galles (Chambre des brevets) aux paragraphes 7 à 11 de Qualcomm Incorporated v Nokia Corporation [2008] EWHC 329 (Pat), citant la décision Nokia v Interdigital Technology Corporation [2007] EWHC 3077 (Pat), due au défunt juge Pumfrey (qui devait plus tard être promu à la Cour d'appel), [TRADUCTION] « il est essentiel [...] de voir où le bât blesse, de manière à pouvoir se concentrer sur les points importants ».

 

[83]           Enfin, comme le brevet 206 a été délivré en vertu de l'ancienne Loi sur les brevets, les revendications en litige doivent être interprétées à la date à laquelle le brevet a été délivré (Pfizer Canada Inc. c. Canada (Ministre de la Santé), 2005 CF 1725, au paragraphe 36).

 

[84]           Ayant à l'esprit ces principes directeurs, je passe maintenant au brevet visé.

 

B.         La personne versée dans l'art

[85]           Après avoir examiné les observations des parties et les témoignages des experts sur les compétences de la personne versée dans l'art, je suis persuadée que les positions des parties ou de leurs experts ne diffèrent pas de façon importante. En bref, je suis convaincue que la personne versée dans l'art est titulaire d'une maîtrise ou d'un doctorat en chimie organique de synthèse, en chimie médicinale, en pharmacologie ou dans un autre domaine de la biochimie ou de la biologie et possède au moins quelques années d'expérience dans l'industrie ou en milieu universitaire.

 

C.        La description du brevet 206

[86]           Comme je l'ai mentionné, la Cour devrait interpréter les revendications à la lumière du mémoire descriptif du brevet. Un bref examen de la description du brevet 206 serait donc utile ici.

 

[87]           Le brevet 206 est intitulé [TRADUCTION] « Dipeptides carboxyalkyliques, méthodes pour leur production et compositions pharmaceutiques les renfermant ». Le premier paragraphe de la description est introductif et décrit sommairement l'invention et permet au lecteur versé dans l'art de commencer à comprendre les revendications :

[TRADUCTION]

 

La présente invention a trait à des dipeptides carboxyalkyliques qui sont utiles comme inhibiteurs de l'enzyme de conversion de l'angiotensine et comme antihypertenseurs.

 

 

[88]           La description du brevet indique ensuite que les composés de l'invention sont des composés de formule très générale (désignée formule I). La formule I englobe une classe énorme de composés, car elle identifie de nombreux substituants variables et elle inclut toutes les stéréochimies possibles et tous les sels pharmaceutiquement acceptables.

 

[89]           Les 18 pages de la description exposent différentes configurations de la formule I et mentionnent d'autres formules. On y mentionne des structures telles que des bicycles et des spirales, et certains composés sont décrits comme étant [TRADUCTION] « privilégiés », ou [TRADUCTION] « plus privilégiés », ou même [TRADUCTION] « les plus privilégiés » (voir la page 14, par exemple). On notera en particulier le fait qu'outre ces simples allégations d'efficacité relative, il n'existe aucune information sur la façon dont on a tiré ces conclusions et aucune donnée expérimentale ne vient aider le lecteur à effectuer de telles évaluations.

 

[90]           En outre, tout au long du brevet, les composés sont décrits comme englobant [TRADUCTION] « tous les stéréoisomères possibles » (voir, par exemple, la page 16). La seule affirmation qui semble limiter la stéréochimie se trouve à la page 17, où les inventeurs indiquent ce qui suit :

[TRADUCTION]

 

En général, [...] il est préférable que les structures amino‑acides [...] de la formule I possèdent la configuration la plus proche de celle des acides aminés L naturels. Habituellement, on attribue aux acides aminés L naturels la configuration S. Une exception importante est l'acide aminé naturel L‑cystéine, à laquelle on attribue une configuration R.

 

 

[91]           Ces descriptions sont tellement larges qu'elles sont peu utiles pour interpréter les revendications du brevet.

 

[92]           Au début de la page 18, la description aborde la fabrication de ces composés, en précisant que :

[TRADUCTION]

 

Les composés de la présente invention peuvent être produits par une ou plusieurs des méthodes ou des sous-méthodes décrites dans les équations suivantes. Les groupes réactifs n'intervenant pas dans les réactions de condensation décrites ci‑après (p. ex. amino, carboxy, mercapto, etc.) peuvent être protégés par les méthodes habituelles de la chimie des peptides avant les réactions de couplage, puis déprotégés afin d'obtenir les produits désirés. En d'autres termes, dans la formule de la description suivante des procédés, R, R1, R2, R3, R4, R5, R6 et R7 sont tels que définis ci‑dessus pour la formule I, y compris la protection appropriée.

 

 

À la suite de cette introduction, les auteurs décrivent les procédés A à E qui permettent d'obtenir un composé de formule I. Une fois obtenu, un composé [TRADUCTION] « obtenu au moyen d'un des procédés A à E peut être transformé en un autre composé de formule I par des méthodes connues dans le domaine » (page 22). La première mention de diastéréoisomères, de mélanges de composés et de la nécessité de les séparer se trouve à la page 23 :

[TRADUCTION]

 

Dans les composés de formule I, les atomes de carbone auxquels R1, R3 et R5 sont liés peuvent être asymétriques. Par conséquent, les composés existent sous forme de diastéréoisomères ou de mélanges de ceux‑ci. Des racémates, des énantiomères ou des diastéréoisomères peuvent être utilisés comme produits de départ pour les synthèses décrites précédemment. Les intermédiaires énantiomères peuvent être obtenus au moyen de méthodes de dédoublement connues dans le domaine. Lorsque des produits diastéréoisomériques sont obtenus au moyen de procédés de synthèse, ils peuvent être séparés par les méthodes classiques de chromatographie ou de cristallisation fractionnée.

 

 

[93]           Pour ce qui est de la fabrication des composés de formule I, je ne vois pas de formulation restrictive. Autrement dit, si la description décrit certaines façons d'obtenir les composés, cela signifie dans mon esprit que d'autres procédés existants pourraient être utilisés. Les experts ne sont pas en désaccord avec cette interprétation. Par exemple, lors de sa comparution, M. Fleming a convenu que [TRADUCTION] « le brevet enseigne que le bicycle est un composé connu ou qu'il peut être préparé selon des méthodes connues ». Appliquant cette conclusion aux revendications, je n'interpréterais pas les revendications du brevet de manière à exiger que les composés revendiqués soient le résultat d'une voie de synthèse particulière.

 

[94]           À partir de la page 26 du brevet 206, la description présente 67 exemples qui [TRADUCTION] « illustrent la préparation des composés de la présente invention ». Les auteurs indiquent qu'un diastéréoisomère préparé au moyen de l'une de ces méthodes [TRADUCTION] « peut être isolé par chromatographie sur colonne ou par cristallisation fractionnée ». L'exemple 20 est particulièrement pertinent au présent litige parce qu'il établit la méthode de préparation de l'acide 1-[N-(1-carboéthoxy-3-phénylpropyl)-(S)-alanyl]octahydrocyclopenta[b]pyrrole-2(S)-carboxylique :

[TRADUCTION]

 

A.        Substituer l'octahydrocyclopenta[b]pyrrole (préparé par réduction du 2-cétooctahydrocyclopenta[b]pyrrole dans le tétrahydrofurane avec de l'hydrure de lithium et d'aluminium) à l'octahydroisoindole de l'exemple l8A pour obtenir l'acide octahydrocylo-penta[b]pyrrole-2-carboxylique.

 

B.         Utiliser l'octahydrocyclopenta[b]pyrrole-2-carboxylate d'éthyle (préparé par estérification avec l'éthanol de l'acide préparé comme décrit au paragraphe A) au lieu de l'octahydroindole-2-carboxylate d'éthyle de la procédure décrite aux paragraphes B à E de l'exemple 1 pour donner le composé indiqué au titre.

 


[95]           L'exemple 20A, à son tour, s'appuie sur l'exemple 18A, qui est décrit comme suit :

Acide 2-[N-(1-carboéthoxy-3-phénylpropyl)-(S)-alanyl] octahydroisoindol-1(S)-carboxylique

 

Chauffer à reflux du cis-octahydroisoindole (préparé par réduction du cis-hexahydrophthalimide dans du tétrahydrofurane avec de l'hydrure de lithium et d'aluminium) et de l'acétate de mercure dans une solution aqueuse à 10 % d'acide acétique pendant 20 heures pour donner du cis-hexahydro-∆1-isoindole. Dissoudre ce composé dans de l'eau et le traiter avec du cyanure de potassium puis avec de l'acide chlorhydrique 2N à 0° pendant deux heures et à la température ambiante pendant 20 heures pour donner du l-cyano-cis-octahydroisoindole. Chauffer à reflux ce composé cyané dans de l'acide chlorhydrique 6N pendant six heures puis concentrer le mélange réactif et absorber les résidus sur une colonne de résine XAD-2. Éluer avec du méthanol pour obtenir de l'acide cis-octahydroisoindole-l-carboxylique.

 

 

[96]           À la suite des exemples, les pages 72 à 97 dressent une longue liste de composés qui, selon les inventeurs, [TRADUCTION] « illustrent les composés de formule I qui peuvent être préparés selon les procédés décrits ».

 

[97]           Enfin, à partir de la page 97, la description expose des exemples de formulations qui sont [TRADUCTION] « des illustrations de la présente invention » et note :

[TRADUCTION]

 

Il sera évident pour une personne versée dans l'art que l'on peut apporter de nombreuses modifications, de matières et de méthodes, sans s'éloigner de l'objet et du but de la présente divulgation.

 

[98]           Après avoir examiné cette longue divulgation, je passe à l'interprétation des revendications en litige, en commençant par les revendications 1, 2, 3 et 6.

 


D.        L'interprétation des revendications 1, 2, 3 et 6

[99]           Il n'y a pas de controverse importante sur l'interprétation appropriée des revendications 1, 2, 3 et 6. Ces revendications sont ainsi conçues :

 

[TRADUCTION]

1.         Composés ayant la formule générale suivante :

où :

            Y est soit :

ou

 

R4 est soit un hydrogène, soit un C1-4 alkyle;

 

R1 est un C1-4 alkyle pouvant être remplacé par un acide aminé;

 

R2 est soit un hydrogène, soit un C1-4 alkyle;

 

R3 est soit un phényl-C1-3 alkyle, soit un (CH2)1-2-X-C1-4 alkyle où X est un S ou un NH;

 

et leurs sels pharmaceutiquement acceptables.

 

 


2.         Composés ayant la formule générale suivante :

 

 

où :

            Y est soit :

 

ou

 

 

R4 est soit un hydrogène, soit un C1-4 alkyle;

 

R1 est un C1-4 alkyle pouvant être remplacé par un acide aminé;

 

R2 est soit un hydrogène, soit un C1-4 alkyle;

 

R3 est soit un C1-9 alkyle, soit un phényle-C1-3 alkyle, soit un (CH2)1-2-X-C1-4 alkyle où X est un S ou un NH;

 

et leurs sels pharmaceutiquement acceptables.

 

3.         Composés ayant la formule générale suivante :

 


où :

           

Y est soit :

 

ou

 

 

R1 est un C1-4 alkyle pouvant être remplacé par un acide aminé;

 

R2 est soit un hydrogène, soit un C1-2 alkyle;

 

R3 est un phényle-C1-3 alkyle;

 

et leurs sels pharmaceutiquement acceptables.

 

6.         Composés ayant la formule générale suivante :

 

où :

R1 est un C1-4 alkyle;

 

R2 est soit un hydrogène, soit un C1-4 alkyle;

 

R4 est soit un hydrogène, soit un C1-4 alkyle;

 

et leurs sels pharmaceutiquement acceptables.

 

 

[100]       Les revendications 1, 2, 3 et 6 sont des revendications dites Markush. (Les revendications de type Markush tirent leur nom d'Eugene Markush, premier inventeur qui les utilisa avec succès dans un brevet américain (voir Ex parte Markush, décembre 1925, Comm'r Pat. 126, 128 (1924).) Une revendication de type Markush porte sur une formule chimique qui comprend de multiples entités chimiques à « fonctions équivalentes » se retrouvant à un ou plusieurs endroits du composé. En termes très généraux, comme Schering l'a décrit dans son argumentation finale, chacune des revendications 1, 2, 3 et 6 revendique une classe de composés contenant divers groupes cycliques, attachés à un « squelette » enseigné dans le brevet antérieur de Merck sur l'énalapril.

 

[101]       Les revendications 1, 2 et 3 décrivent des sous-classes de composés qui peuvent englober les analogues suivants de l'énalapril :

 

·                    l'octahydroindole (qui peut être désigné comme un « bicycle 6,5 saturé »);

 

·                    la perhydroquinoléine et la perhydroisoquinoléine (qui peuvent être désignées comme un « bicycle 6,6 saturé »);

 

·                    l'octahydrocyclopenta[b]pyrrole (qui peut être désigné comme un « bicycle 5,5 saturé »);

 

·                    le 1,4-dithia-7-azaspiro[4.4]nonane (qui peut être désigné comme une « structure spiro »).

 

[102]       En raison des multiples variations de substituants décrites dans chacune des revendications 1 et 2 et de l'existence de centres chiraux non spécifiés, le nombre de composés compris est vaste. Par exemple, M. McClelland a estimé que la revendication 1 couvrirait environ 29 millions de composés. La revendication 2 est encore plus vaste (environ 228 millions de composés). La revendication 3 est légèrement plus étroite (environ 215 424 composés), selon le témoignage de M. McClelland.

 

[103]       La revendication 6 est limitée aux composés 5,5 saturés, où R1, R2 et R4 comportent les choix décrits dans la revendication. La structure présentée dans la revendication 6 contient cinq atomes de carbone asymétriques; la revendication ne spécifie pas la chiralité de l'un ou l'autre des cinq atomes de carbone asymétriques ou stéréocentres. Selon M. McClelland, la revendication 6 viserait environ 28 800 composés.

 

[104]       Tous les experts ont reconnu que le ramipril est l'un des composés visés par les revendications 1, 2, 3 et 6.

 

E.         L'interprétation de la revendication 12

[105]       En ce qui concerne Novopharm, c'est dans l'interprétation de la revendication 12 du brevet 206 que le « bât blesse ». La revendication 12 est la suivante :

[TRADUCTION]

 

12.       Le composé qui est l'acide 1-[N-(l-éthoxycarbonyl-3-phénylpropyl)-(S)-alanyl]octahydrocyclopenta[b]pyrrole-2(S)-carboxylique et ses sels pharmaceutiquement acceptables.

 

 


[106]       Telle qu'elle est rédigée, la revendication 12 spécifie la stéréochimie de seulement deux stéréocentres : le (S)-alanyl et l'acide 2(S)-carboxylique à la position 2 du bicycle. Il est noté que ceux‑ci ont une configuration S, les autres n'étant pas spécifiés. Tous les experts reconnaissent cependant — et j'accepte leur opinion — qu'une personne versée dans l'art saurait que la structure décrite contient cinq stéréocentres ou centres chiraux. Puisque la revendication 12 n'exclut aucun diastéréoisomère possible pour les trois stéréocentres non précisés, elle comprend huit composés possibles. Chaque composé aurait deux centres désignés de configuration S, et les trois autres de configuration R ou S. Lorsque tous les stéréocentres ont une configuration S, le composé est le ramipril.

 

[107]       Quant à l'interprétation de la revendication 12, la question qui s'est posée est de savoir s'il s'agissait d'une revendication pour chacun des huit diastéréoisomères, comme le soutiennent Schering et Sanofi, ou seulement pour un mélange des huit diastéréoisomères, et non les différents diastéréoisomères, comme l'a affirmé Novopharm. Au départ, Apotex et Novopharm alléguaient que la revendication 12 concernait un mélange. Dans son argumentation finale, seule Novopharm a maintenu cette argumentation. La question est importante parce que, si Novopharm a raison, la revendication 12 ne peut pas être interprétée de manière à couvrir le ramipril.

 

[108]       À l'exception de deux témoins experts de Novopharm, tous les experts ont admis que la revendication 12 est une revendication relative à huit diastéréoisomères différents, dont l'un est le ramipril. Plus précisément, les témoignages de MM. Bartlett, Patchett, Nelson et Wuest pour les demanderesses et de MM. Thorsett, Fleming et McClelland pour Apotex étaient compatibles avec cette interprétation de la revendication 12. Le Dr Ehlers et M. Moody, experts de Novopharm, étaient les seuls en désaccord. Je passe maintenant à l'examen des arguments avancés par Novopharm et ses deux experts pour l'« interprétation du mélange ».

 

[109]       En bref, les arguments de Novopharm peuvent être résumés comme suit :

 

·                    Dans la revendication 12, le titulaire du brevet utilise le mot [TRADUCTION] « composé » au singulier. En revanche, le mot est utilisé au pluriel, [TRADUCTION] « composés », dans les revendications 1, 2, 3 et 6 comprenant chacune de nombreux composés.

 

·                    Le Dr Ehlers était d'avis que souvent les chimistes ne dédoublent pas et ne caractérisent pas les diastéréoisomères; le produit d'une réaction sera souvent appelé « composé » même si ce composé est un mélange de diastéréoisomères.

 

·                    Dans la divulgation, le mot « composé » est utilisé pour décrire des mélanges de diastéréoisomères. Ainsi, l'exemple 20B précise que le procédé décrit donnera le « composé indiqué au titre »; le titre de l'exemple 20 renvoie à un mélange de diastéréoisomères. Fait important, comme le composé nommé dans l'exemple 20 est le « composé » visé par la revendication 12, cela signifie que la revendication se rapporte à un seul composé.

 

·                    Comme l'a reconnu M. Bartlett, la plupart des exemples du brevet 206 sont des composés qui consistent en un mélange de diastéréoisomères.

 

·                    L'utilisation du mot « composé » pour décrire un mélange est conforme à l'usage courant du mot. Monsieur Patchett lui‑même a parlé d'un mélange en l'appelant un « composé » dans l'article scientifique publié dans Nature qui divulguait l'énalapril.

 

[110]       Je ne suis pas convaincue que l'interprétation proposée par Novopharm devrait prévaloir.

 

[111]       Le premier problème que me posent les arguments se rapporte à la comparaison de la revendication 12 avec les revendications 1, 2, 3 et 6. La revendication 12 diffère fondamentalement des revendications précédentes parce qu'elle ne décrit qu'une seule formule chimique. En revanche, les revendications 1, 2, 3 et 6 sont des revendications de type Markush. Ainsi, on utilise, au pluriel, l'expression [TRADUCTION] « composés ayant la formule générale », car ce serait un exercice fastidieux et inutile d'inscrire les noms de chacun des composés visés. Il est donc logique d'utiliser le terme « composés » dans les revendications 1, 2, 3 et 6 et d'utiliser le terme « composé » pour la formule chimique unique de la revendication 12. L'interprétation que j'ai adoptée est également étayée par un examen de toutes les revendications du brevet 206, qui révèle que le mot « composés » est utilisé pour toutes les revendications de type Markush alors que le mot « composé » est employé là où on n'utilise pas de formule générale. Par conséquent, je ne crois pas qu'il faille en déduire davantage de l'utilisation du mot « composés » dans les revendications 1 à 7 et du mot « composé » dans les revendications 8 à 13.

 

[112]       Quand j'examine le format des revendications en tenant compte de l'ensemble du brevet, je suis convaincue que le terme « composé » dans la revendication 8 n'a jamais été destiné à s'appliquer seulement à un mélange. Il me semble au contraire que le mot est utilisé seulement comme moyen de différencier les dernières revendications des revendications de type Markush antérieures. L'interprétation que fait Novopharm du mot « composé », en l'isolant du reste du brevet 206, ne tient pas compte de cette différence.

 

[113]       Je ne suis pas en désaccord avec certains des autres arguments de Novopharm. Le Dr Ehlers a sans aucun doute raison d'affirmer que les scientifiques peuvent parfois qualifier un mélange de « composé ». Néanmoins, je ne crois pas qu'on puisse en conclure que toute référence à un « composé » signifie qu'il s'agit d'un mélange ou que l'utilisation du mot « composé » exclut l'utilisation de ce mot pour désigner plus d'un composé.

 

[114]       Novopharm fait également valoir que son interprétation de la revendication 12 est compatible avec le fait que Schering n'avait pas, à la date de dépôt au Canada, fabriqué les diastéréoisomères de la revendication 12 individuellement, et l'avait fait seulement sous forme de mélanges. Ainsi, Novopharm soutient que Schering ne possédait pas suffisamment de renseignements pour revendiquer comme sien chacun des composés.

 

[115]       À la lumière des faits, le défaut fondamental de cet argument est son illogisme. Novopharm a raison de dire que Schering n'a pas fabriqué les composés individuels. Toutefois, elle n'a jamais non plus fabriqué un mélange des huit composés visés par la description de la revendication 12. L'application du raisonnement de Novopharm aboutirait à la conclusion absurde que la revendication 12 ne peut couvrir ni les huit composés différents ni leur mélange. Le problème plus grave de l'allégation de Novopharm est que Schering n'était pas tenue de fabriquer individuellement chacun des composés revendiqués, pour autant qu'il y avait une prédiction valable de l'utilité des composés revendiqués dans la revendication 12. Par conséquent, le fait que les huit composés revendiqués dans la revendication 12 n'ont pas été fabriqués individuellement n'a aucune incidence sur l'interprétation correcte de cette revendication. La question de la prédiction valable est traitée plus loin dans les présents motifs.

 

[116]       L'interprétation de la revendication 12 voulant qu'elle vise un mélange a été catégoriquement rejetée par la plupart des experts. Le témoignage de M. Bartlett sur la question a été particulièrement utile. Lorsqu'on lui a demandé, au cours de l'interrogatoire principal, son opinion sur l'interprétation de la revendication 12, M. Bartlett a fait observer que les chimistes [TRADUCTION] « utiliseront le terme composé lorsqu'il s'agit d'une structure conceptuelle ». Il a également souligné les aspects du brevet 206 qui mèneraient le lecteur versé dans l'art à interpréter la revendication 12 comme une revendication visant huit composés différents. Le brevet enseigne notamment la séparation des composés des mélanges afin d'isoler les stéréoisomères individuels, ce qui laisse sous‑entendre que les stéréoisomères individuels sont les produits revendiqués. Même M. Moody, lors du contre‑interrogatoire, a convenu que le brevet enseigne la séparation des mélanges au moyen de méthodes connues, comme la séparation chromatographique classique ou la cristallisation fractionnée. Si l'interprétation de Novopharm est correcte et si les revendications ne visent que les mélanges, pourquoi les inventeurs se chargeraient‑ils d'enseigner au lecteur versé dans l'art la façon de séparer ces mélanges?

 

[117]       Monsieur Bartlett a aussi mentionné la revendication 8, qui n'est pas en litige et qui vise un « composé ». En l'absence de stéréochimie identifiée, il existe 32 composés possibles. Selon l'interprétation de Novopharm, la revendication 8 viserait un mélange de ces 32 composés. De l'avis de M. Bartlett, cela aboutirait à une absurdité puisque l'exemple 67 du brevet 206 illustre la préparation d'un composé de configuration S uniquement qui serait inclus dans la revendication 8. Pourquoi un inventeur décrirait‑il explicitement la préparation d'un composé dans le mémoire descriptif pour revendiquer ensuite ce composé seulement comme une partie d'un mélange en comportant 31 autres?

 

[118]       En résumé, je privilégie le témoignage de M. Bartlett et des autres experts de Sanofi, de Schering et d'Apotex sur ceux du Dr Ehlers et de M. Moody. Comme l'enseigne l'arrêt Whirlpool, précité, au paragraphe 49, le brevet « doit être lu par un esprit désireux de comprendre ». À mon avis, un lecteur versé dans l'art ne ferait pas une interprétation purement linguistique du brevet, mais interpréterait les revendications en tenant compte du mémoire descriptif et de l'objectif de l'inventeur. L'interprétation de la revendication 12 proposée par Novopharm n'est pas l'interprétation d'un esprit désireux de comprendre, mais celle d'un esprit qui cherche à déformer le sens logique qui ressort de la lecture des revendications dans leur contexte. À mon avis, une personne versée dans l'art interpréterait la revendication 12 comme la revendication de huit composés différents. L'un de ces composés est le ramipril.

 


F.         La « promesse » du brevet 206

[119]       Il existe un profond désaccord entre les experts des défenderesses et ceux des demanderesses sur la question de savoir si les revendications doivent être interprétées de façon à comprendre la promesse inhérente de l'utilité des composés à la fois comme inhibiteurs de l'ECA et comme agents antihypertenseurs. Les experts d'Apotex et de Novopharm interprètent le brevet de telle manière que les composés revendiqués seraient utiles à la fois comme inhibiteurs de l'ECA et comme réducteurs de l'hypertension artérielle. En revanche, les experts de Schering et de Sanofi sont d'avis que les revendications ne comprennent pas de promesse de réduction de l'hypertension.

 

[120]       Le mémoire descriptif du brevet 206 est le premier élément à considérer. Quel sens faut‑il donner aux mots utilisés par les inventeurs pour décrire leur invention?

 

[121]       Comme je l'ai mentionné, le brevet 206 débute par une simple déclaration :

[TRADUCTION]

 

La présente invention a trait à des dipeptides carboxyalkyliques qui sont utiles comme inhibiteurs de l'enzyme de conversion de l'angiotensine et comme antihypertenseurs. [Non souligné dans l'original.]

 

[122]       La page 24 du mémoire descriptif du brevet contient une affirmation clé des inventeurs :

[TRADUCTION]

 

Les composés de la présente invention possèdent des propriétés pharmacologiques intéressantes. Ils sont utiles pour le traitement de l'hypertension artérielle. Les composés de la présente invention peuvent être combinés avec des supports pharmaceutiques et administrés sous diverses formes pharmaceutiques bien connues par voie orale ou parentérale afin de dispenser des compositions utiles pour le traitement des troubles cardiovasculaires et particulièrement l'hypertension chez les mammifères. [Non souligné dans l'original.]

 

 

[123]       Il n'y a absolument rien aux pages 23 à 25 de la description du brevet qui impose une limite à l'utilité de l'un ou l'autre des composés. Rien dans les termes employés ne peut être interprété comme indiquant que seuls certains composés seront utiles ou que seuls certains d'entre eux agiront soit comme inhibiteurs de l'ECA, soit comme agents antihypertenseurs.

 

[124]       Lorsque les passages aux pages 23 à 25 du brevet sont interprétés à la lumière de l'affirmation que les composés [TRADUCTION] « sont utiles pour le traitement de l'hypertension artérielle », je crois que le lecteur versé dans l'art assumerait que les inventeurs allèguent que tous les composés visés par la formule I sont utiles pour traiter l'hypertension. Naturellement, les composés revendiqués dans le brevet sont des sous‑ensembles de ceux qui sont inclus dans la formule I. Ainsi, si on interprète le brevet de telle façon qu'il affirme l'utilité de tous les composés pour le traitement de l'hypertension, il s'ensuit que les inventeurs affirment aussi que tous les composés revendiqués dans la revendication 12 (et les autres revendications) ont la même utilité.

 

[125]       Cette interprétation de la promesse du brevet a été acceptée par un certain nombre d'experts des défenderesses, dont MM. Thorsett, Moody et Patchett et le Dr Ehlers.

 


[126]       Monsieur Bartlett était le principal témoin expert des demanderesses sur cet aspect du brevet 206. Plus précisément, son point de vue sur la promesse du brevet, qui figure dans sa déclaration écrite, est le suivant :

[TRADUCTION]

 

À mon avis, la personne dotée des compétences usuelles comprendrait le lien logique entre l'inhibition de l'ECA et l'activité antihypertensive [...] à savoir que les composés du brevet ont une activité comme inhibiteurs de l'ECA et que l'utilité des inhibiteurs de l'ECA en médecine est celle d'agents antihypertenseurs possibles. La personne dotée des compétences usuelles ne croirait pas que tout composé actif comme inhibiteur de l'ECA possède aussi toutes les autres propriétés nécessaires pour exercer un effet antihypertenseur in vivo.

 

 

[127]       Dans sa critique des experts en désaccord sur ce point, M. Bartlett a déclaré :

[TRADUCTION]

 

En suggérant que chaque stéréoisomère différent de chacune des structures couvertes par le brevet 206 possédera la panoplie de propriétés nécessaires pour qu'un médicament soit efficace dans le traitement d'une maladie, MM. Thorsett et Freidinger [qui n'a pas témoigné] et le Dr Ehlers mettent la barre trop haut. En effet, au moment où une demande de brevet est déposée, il est tout simplement impossible aux inventeurs d'avoir eu le temps de développer commercialement, de façon approfondie, chacun de ces composés afin d'être en mesure d'évaluer toutes leurs propriétés, notamment l'absence d'effets secondaires ou de toxicité, leur permettant d'être utilisés pour traiter une maladie comme l'hypertension artérielle. Une telle interprétation serait incompatible avec la compréhension d'une personne versée dans l'art, par rapport à un grand nombre d'autres brevets dans le domaine de l'inhibition de l'ECA et dans d'autres domaines de la chimie médicinale où l'activité d'un composé peut être liée à un moyen de traiter une maladie.

 


[128]       Cet extrait établit que M. Bartlett n'a pas interprété les revendications à la lumière de l'utilité promise; il a plutôt modifié ou atténué la promesse du brevet pour l'adapter à sa compréhension des revendications. Je ne peux accepter ce raisonnement. Cette façon d'interpréter la promesse du brevet dégage les inventeurs de toute exigence de précision dans leurs revendications ou dans le mémoire descriptif du brevet. Si un titulaire de brevet promet un résultat particulier, il doit tenir cette promesse. En exprimant ce point de vue, je n'exige pas qu'un certain succès commercial ou un certain niveau de développement commercial aient été atteints. Comme on l'a dit, la « moindre parcelle d'utilité » serait suffisante. Schering aurait pu revendiquer les seules substances pour lesquelles elle avait obtenu un certain niveau d'activité in vivo et les autres substances « qui en sont plus ou moins proches parentes » (Monsanto Co. c. Commissaire des brevets, [1979] 2 R.C.S. 1108, à la page 1116), lorsqu'elle pouvait raisonnablement déduire un fondement factuel permettant de conclure à l'activité promise. Au lieu de procéder ainsi, Schering a choisi de revendiquer une classe énorme de composés; il faut interpréter les revendications à la lumière de l'utilité promise, décrite dans le brevet.

 

[129]       Le témoignage de M. Bartlett me pose un autre problème. Comme il a été porté à l'attention de M. Bartlett et de la Cour, le témoignage de M. Bartlett dans la décision Laboratoires Servier c. Apotex Inc., 2008 CF 825 (Servier), était incompatible avec sa position devant la Cour. Au cours du contre‑interrogatoire de M. Bartlett sur ce point, M. Bartlett a exprimé l'opinion que la promesse du brevet canadien no 1 341 196 (le brevet 196, qui était


examiné dans la décision Servier) était la même que celle du brevet américain no 4 105 776 (Squibb) et du brevet américain no 4 374 829 (Merck) :

[TRADUCTION]

 

Q.        Et vous conviendrez avec moi que ce brevet de Merck serait un exemple qui pourrait être comparé avec le brevet 196 et sa promesse?

 

R.         Le libellé est différent. Je pense qu'une personne versée dans l'art comprendrait que l'ensemble des brevets de ce domaine repose sur les mêmes bases scientifiques que j'ai indiquées dans mon rapport, à savoir, on comprend que l'inhibition de l'enzyme de conversion de l'angiotensine in vivo mène à des effets antihypertenseurs et, par conséquent, l'utilité des inhibiteurs de l'ECA est celle d'agents antihypertenseurs possibles.

 

Je pense aussi que bien que le libellé du brevet en français soit différent du libellé de ces brevets en anglais, je pense qu'une personne dotée des compétences usuelles comprendrait que [les brevets 196 et 206] font partie du même art, ont le même but et comprennent les mêmes enseignements. [Non souligné dans l'original.]

 

[130]       Cela contraste de manière frappante avec l'avis que M. Bartlett a donné dans le procès Servier, où il a suggéré que, contrairement au brevet dans Servier, les mêmes brevets (de Squibb et de Merck) ainsi que d'autres brevets dans le domaine promettaient une activité antihypertensive et une activité inhibitrice de l'ECA. Les paragraphes suivants sont tirés du rapport de M. Bartlett dans l'affaire Servier, qui a été cité lors de son contre‑interrogatoire dans la présente procédure :

[TRADUCTION]

 

Le brevet 196 ne promet pas explicitement que les composés ont un effet antihypertenseur. Toutefois, il était entendu dans les années 1980, et certainement à la date de publication, que l'inhibition de l'enzyme de conversion de l'angiotensine in vivo entraîne une diminution de la pression artérielle. Une personne versée dans l'art pouvait donc comprendre qu'un inhibiteur de l'enzyme de conversion de l'angiotensine était aussi un agent antihypertenseur possible.

 

La promesse explicite du brevet 196 est que les composés divulgués sont des inhibiteurs de l'ECA, promesse moins englobante que celle d'autres brevets délivrés dans le domaine. Les brevets de Merck [p. ex. le brevet 829] qui couvrent les inhibiteurs de l'ECA de la classe des dipeptides carboxyalkyliques déclaraient que les composés sont utiles comme inhibiteurs de l'enzyme de conversion et comme antihypertenseurs [...] et comme antihypertenseurs [...] Les brevets de Squibb Research Group [p. ex. le brevet 776] qui couvrent diverses classes d'inhibiteurs de l'ECA affirment [...] [Non souligné dans l'original.]

 

 

[131]        La difficulté que suscite à mes yeux la façon dont M. Bartlett a interprété la promesse du brevet 206 et l'incompatibilité de son témoignage dans l'action Servier et dans le présent litige m'amène à douter de son objectivité et à diminuer le poids à accorder à son témoignage sur ce point.

 

[132]       À ce sujet, je préfère l'opinion de M. Thorsett et du Dr Ehlers, qui ont conclu que le brevet 206 promet l'utilité de tous les composés comme inhibiteurs de l'ECA et comme antihypertenseurs.

 

[133]       Ma conclusion qu'il y a une double promesse est conforme à la jurisprudence existante sur l'utilité promise du brevet en litige et d'autres brevets sur les inhibiteurs de l'ECA.

 

[134]       Bien que je ne sois peut‑être pas liée par la décision ramipril 2 (C.F.), précitée, de la juge Mactavish, je constate que la juge Mactavish a examiné la même question au sujet de la promesse du brevet 206. Elle a conclu que le brevet 206 promettait deux choses, à savoir « que les composés revendiqués par le brevet auront une utilité comme inhibiteurs de l'ECA et comme antihypertenseurs » (décision ramipril 2 (C.F.), précitée, au paragraphe 280). De même, le juge Harrington dans la décision ramipril 4 (C.F.), précitée, au paragraphe 45, a déclaré : « La promesse était simplement que les composés revendiqués dans le brevet seraient utiles à la fois comme inhibiteurs de l'ECA et comme agents antihypertenseurs. »

 

[135]       Mon appréciation de la promesse du brevet 206 est également compatible avec la décision de la juge Elizabeth Heneghan dans l'affaire Pfizer Canada Inc. c. Apotex Inc., 2005 CF 1205 (Pfizer (C.F.)). Dans cette affaire, la juge Heneghan devait examiner l'utilité des revendications du brevet canadien no 1 341 330 (le brevet 330), qui vise un autre médicament faisant partie de la catégorie générale des inhibiteurs de l'ECA. Pfizer soutenait qu'une interprétation téléologique des revendications pertinentes, y compris en se référant au mémoire descriptif, révélait que l'invention du brevet 330 se rapportait à l'inhibition de l'ECA. De son côté, Apotex prétendait que toutes les revendications du brevet 330 promettaient des composés utiles pour le soulagement de l'hypertension, ce qui est différent de l'inhibition de l'ECA. En renvoyant au mémoire descriptif du brevet 330, la juge Heneghan a conclu que les revendications du brevet 330, dans l'esprit d'une personne versée dans l'art, renverraient à des composés utiles pour le soulagement de l'hypertension (Pfizer (C.F.), précité, au paragraphe 64). Il semble clair qu'elle a tiré cette conclusion en s'appuyant sur les mots précis du brevet 330. L'abrégé du brevet indiquait ce qui suit : [TRADUCTION] « Les composés de l'invention, leurs sels et les compositions pharmaceutiques les renfermant sont utiles comme agents


antihypertenseurs » (non souligné dans l'original). La phrase suivante du mémoire descriptif donnait un autre exemple de cette promesse directe :

[TRADUCTION]

 

Ainsi, en administrant une composition qui contient un composé de la formule I ou un sel pharmaceutiquement acceptable, ou une combinaison de ceux‑ci, l'hypertension chez l'espèce des mammifères qui en souffre est atténuée (Pfizer (C.F.), précité, au paragraphe 65).

 

 

[136]       Même si la décision a été infirmée en appel, la Cour d'appel fédérale a conclu que la description de la promesse du brevet 330 par la juge Heneghan « est raisonnable compte tenu du passage cité ci‑dessus et de la teneur générale de la divulgation » (Pfizer Canada Inc. c. Apotex Inc., 2007 CAF 209, au paragraphe 121 (Pfizer (C.A.F.)). Les libellés du mémoire descriptif du brevet 330 et du brevet 206 sont semblables.

 

[137]       En revanche, je compare la promesse exprimée par les mots du brevet 206 à ceux du brevet 196 pris en compte dans la décision Servier, précitée. Dans la décision Servier, le brevet en litige portait sur une classe importante de composés dont on promettait qu'ils avaient tous une utilité comme inhibiteurs de l'ECA. Apotex, dans cette affaire, a fait valoir que le brevet 196 faisait une double promesse, à savoir que tous les composés seraient utiles comme inhibiteurs de l'ECA et comme agents antihypertenseurs. En rejetant cet argument, j'ai noté que « le brevet 196 ne contient aucune déclaration, comme dans le brevet 330, selon laquelle les composés de l'invention [...] sont utiles comme agents antihypertenseurs » (Servier, précité, au paragraphe 292). Dans l'affaire dont je suis saisie, cette déclaration est explicite.

 

G.        Résumé de l'interprétation des revendications

[138]       En résumé, les principaux aspects de l'interprétation des revendications 1, 2, 3, 6 et 12 sont les suivants :

 

·                    Les revendications 1, 2, et 3 revendiquent une classe de composés qui contiennent tous des groupes cycliques divers attachés à un « squelette » enseigné dans un brevet antérieur de Merck sur l'énalapril. Les divers groupes bicycliques comprennent les suivants :

 

¾                l'octahydroindole (qui peut être désigné comme un « bicycle 6,5 saturé »);

 

¾                la perhydroquinoléine et la perhydroisoquinoléine (qui peuvent être désignées ensemble comme un « bicycle 6,6 saturé »);

 

¾                l'octahydrocyclopenta[b]pyrrole (qui peut être désigné comme un « bicycle 5,5 saturé »);

 

¾                le 1,4-dithia-7-azaspiro[4.4]nonane (qui peut être désigné comme une « structure spiro »).

 

·                    La revendication 6 est limitée aux composés comportant un bicycle 5,5 saturé.

 

·                    La revendication 12 revendique huit stéréoisomères différents, comportant tous un bicycle 5,5 saturé, décrits dans la formule citée.

 

·                    L'utilité des composés pour l'inhibition de l'ECA et pour la réduction de l'hypertension est inhérente aux revendications 1, 2, 3, 6 et 12.

 

VIII.    La contrefaçon

 

[139]       Le brevet accorde au titulaire, pour la durée du brevet, « le droit, la faculté et le privilège exclusif de fabriquer, construire, exploiter et vendre à d'autres » (Loi sur les brevets, article 44). La question que doit se poser la Cour pour évaluer s'il y a contrefaçon est la suivante : par ses actes ou sa conduite, le défendeur a‑t‑il privé l'inventeur, en tout ou en partie, directement ou indirectement, des avantages de l'invention brevetée? (Voir l'arrêt Schmeiser, précité, au paragraphe 44.)

 

[140]       En décembre 2006, Apotex a reçu un avis de conformité de Santé Canada l'autorisant à commercialiser et à vendre les comprimés de ramipril sous le nom commercial d'Apo‑Ramipril. En mai 2007, Novopharm a reçu un avis de conformité pour la commercialisation et la vente des comprimés de ramipril sous le nom commercial de Novo‑Ramipril. La preuve établit clairement que la vente de l'Apo‑Ramipril et du Novo‑Ramipril constitue une contrefaçon des revendications 1, 2, 3, 6 et 12 du brevet 206. Les demanderesses ont fait la preuve de la contrefaçon.

 

[141]       Si je devais conclure à la contrefaçon et à la validité du brevet 206, la seule question à trancher serait alors de savoir si la totalité du produit de ramipril des défenderesses doit être qualifié de produit de contrefaçon. Comme je conclus, pour les motifs qui suivent, que les revendications en litige ne sont pas valides, il n'est pas nécessaire d'examiner si un certain volume du produit fabriqué par les défenderesses ou en leur possession devrait faire l'objet d'une exemption de responsabilité. Toutefois, si cet examen devenait nécessaire, je m'attacherais d'abord à l'exception prévue en matière de responsabilité au paragraphe 55.2(1) de la Loi sur les brevets (dans la version qui s'applique actuellement) ou fondée sur les principes pertinents de la common law.

 

IX.       L'utilité

 

A.        Les principes généraux

[142]       La Loi sur les brevets définit l'invention comme une chose « présentant le caractère de la nouveauté et de l'utilité » (Loi sur les brevets, article 2). La notion de l'« utilité » en découle.

 

[143]       La jurisprudence a défini un certain nombre de principes de droit bien établis en matière d'utilité. Pour commencer, la notion principale est qu'à la date pertinente, l'utilité de l'invention doit avoir été établie ou, à défaut, il doit y avoir eu une prédiction valable d'utilité fondée sur l'information et l'expertise disponibles au moment de la prédiction (voir, par exemple, Merck & Co. c. Apotex Inc., 2005 CF 755, au paragraphe 121, Pfizer Canada Inc. c. Apotex Inc., 2007 CF 26, aux paragraphes 36 à 40, conf. par 2007 CAF 195, autorisation de pourvoi à la C.S.C. rejetée, [2007] C.S.C.R. no 371 (QL)).

[144]       Comme c'est le cas pour les autres questions relatives à la validité, les défenderesses assument le fardeau de la preuve. Pour prouver l'absence d'utilité, elles doivent établir « que l'invention ne fonctionnera pas, dans le sens qu'elle ne produira rien du tout ou, dans un sens plus général, qu'elle ne fera pas ce que le mémoire descriptif prédit qu'elle fera » (Consolboard Inc. c. MacMillan Bloedel (Sask.) Ltd., [1981] 1 R.C.S. 504, à la page 525 (Consolboard)). Pour reprendre l'arrêt AZT, précité, au paragraphe 56 :

Si un brevet qu'on a tenté d'étayer par une prédiction valable est par la suite contesté, la contestation réussira si, comme l'a affirmé le juge Pigeon dans l'arrêt Monsanto Co. c. Commissaire des brevets, [1979] 2 R.C.S. 1108, p. 1117, la prédiction n'était pas valable à la date de la demande ou si, indépendamment du caractère valable de la prédiction, « [i]l y a preuve de l'inutilité d'une partie du domaine visé ».

 

 

[145]       Outre ces principes de droit généraux, il existe un certain nombre de repères :

 

·                    Lorsque le mémoire descriptif ne promet pas un résultat précis, aucun degré particulier d'utilité n'est exigé; la [TRADUCTION] « moindre parcelle » d'utilité suffit (H. G. Fox, Canadian Law and Practice Relating to Letters Patent for Invention, 4e éd., Toronto, Carswell, 1969, à la page 153). Cependant, comme le dit l'arrêt Consolboard, précité, dans le cas où le mémoire descriptif fait une « promesse » explicite, l'utilité doit être appréciée par rapport à cette promesse (voir également l'arrêt Pfizer Canada Inc. c. Canada (Ministre de la Santé), 2008 CAF 108, au paragraphe 53).

 

·                    L'utilité ne dépend pas des possibilités de commercialisation (arrêt Consolboard, précité, à la page 525, décision ramipril 2 (C.F.), précitée, aux paragraphes 271 et 272). En d'autres termes, lorsqu'on détermine l'utilité d'une invention, on ne se demande pas si l'invention est suffisamment utile pour pouvoir être commercialisée, à moins que l'utilité commerciale soit expressément promise.

 

·                    Il a été établi que la date pertinente est la date du dépôt de la demande de brevet au Canada (décision ramipril 2 (C.F.), précitée, aux paragraphes 88 à 96).

 

·                    Dans le cas où une revendication vise une classe de composés, l'absence d'utilité de l'un ou de plusieurs des composés rend invalides tous les composés de cette revendication particulière (décision ramipril 2 (C.A.F.), précitée, au paragraphe 26).

 

[146]       L'inventeur peut s'appuyer sur la règle de la prédiction valable pour fonder les revendications d'un brevet dont l'utilité n'a pas encore été effectivement établie, mais qui peuvent être prédites d'après l'information et l'expertise disponibles (arrêt AZT, précité, au paragraphe 56). Au paragraphe 70 de l'arrêt AZT, précité, la Cour suprême du Canada a défini un critère triple auquel un inventeur doit satisfaire pour établir qu'il a fait une prédiction valable. Les trois éléments du critère sont les suivants :

 

1.         la prédiction doit avoir un fondement factuel;

 

2.         l'inventeur doit avoir un raisonnement clair et « valable » qui permette d'inférer du fondement factuel le résultat souhaité;

3.         il doit y avoir divulgation suffisante.

 

[147]       Pour être valable, la prédiction ne doit pas nécessairement correspondre à une certitude, car elle n'exclut pas le risque que le défaut d'utilité de certains composés entrant dans le champ revendiqué puisse ultérieurement être établi. À la lumière de ces principes, j'examine maintenant le brevet 206 et la preuve dont je suis saisie.

 

[148]       À la date de dépôt au Canada, soit le 20 octobre 1981, Schering n'avait pas fabriqué et mis à l'essai tous les composés visés par les revendications en litige. Schering avait réalisé certains tests et obtenu certains résultats favorables, mais il est évident que l'efficacité de la plupart des composés du brevet 206 reposait sur la prédiction. En d'autres termes, Schering, avec le soutien de Sanofi, affirme que la prédiction de l'utilité de tous les composés visés par les revendications du brevet 206 était valable.

 

[149]       Les défenderesses n'affirment pas qu'il existe une preuve de l'absence d'utilité. Elles soutiennent plutôt que la prédiction, à la date de la demande, n'était pas valable.

 

[150]       Je me concentrerai d'abord sur les huit composés de la revendication 12. Si l'argumentation des défenderesses est accueillie à l'égard de l'un ou l'autre des composés de la revendication 12, les défenderesses se seront acquittées du fardeau de la preuve. Comme les revendications 1, 2, 3 et 6 comprennent toutes la revendication 12, l'invalidité de la revendication 12 emportera leur invalidité.

B.         La prédiction valable : le fondement factuel et le raisonnement clair et valable

[151]       La question de savoir si la prédiction est valable est une question de fait (arrêt AZT, précité, au paragraphe 71). Les inventeurs doivent être en mesure d'établir qu'ils disposaient, à la date pertinente, d'un fondement factuel à partir duquel ils pouvaient inférer le résultat souhaité. Il est important de noter le caractère subjectif de la perspective examinée à ce stade‑ci. L'appréciation de la prédiction valable ne nous contraint pas à examiner l'invention avec les yeux de la personne versée dans l'art. Ce sont plutôt les connaissances, les activités et les efforts des inventeurs eux‑mêmes qui doivent être pris en compte.

 

[152]       Comme je l'ai noté, les deux conditions préalables de la prédiction valable exigent que les inventeurs aient : a) un fondement factuel à leur conclusion; b) un raisonnement clair d'où le résultat désiré peut être inféré du fondement factuel. En l'espèce, les deux volets du critère vont de pair. Les demanderesses soutiennent que leur prédiction valable repose sur la combinaison du programme de recherche de Schering sur les inhibiteurs de l'ECA et des articles scientifiques ainsi que des autres renseignements publics, grâce auxquels elles pouvaient inférer l'utilité des composés qui n'avaient pas encore été soumis à des tests. En d'autres termes, elles font valoir que les travaux de recherche des scientifiques de Schering, associés aux connaissances du domaine public, auraient donné à Schering un fondement factuel et un raisonnement clair pour prédire de manière valable, le 20 octobre 1981, l'utilité de tous les composés de la revendication 12 du brevet 206.

 


[153]       Puisque l'utilité s'apprécie par rapport à la promesse du brevet 206, la question qui se pose est la suivante : Schering disposait‑elle d'un fondement factuel pour prédire que les huit composés de la revendication 12 seraient tous utiles comme inhibiteurs de l'ECA et antihypertenseurs?

 

[154]       Pour trancher la question de la prédiction valable, j'ai reçu les avis d'un certain nombre d'experts : pour les défenderesses, M. Thorsett et le Dr Ehlers, et pour les demanderesses, MM. Bartlett, Patchett et Nelson. Ces experts ont donné des opinions éclairées, étayées par leur lecture des travaux de recherche menés par les scientifiques de Schering, des articles scientifiques et d'autres renseignements de nature publique. Comme on pouvait le prévoir, les experts des défenderesses ont conclu à l'absence de fondement factuel et les experts des demanderesses ont conclu au contraire.

 

[155]       Les opinions des experts ont été utiles, particulièrement pour comprendre les articles scientifiques et les connaissances du domaine. Toutefois, pour apprécier le fondement factuel, il m'incombait de comprendre la nature et la portée des travaux des scientifiques de Schering. J'ai heureusement pu entendre les témoignages de Mme Smith et de M. Neustadt, deux des inventeurs nommés du brevet 206. Ces deux témoins ont parlé avec ouverture et sincérité du programme de recherche de Schering et de leur compréhension des connaissances du domaine à la date pertinente du 20 octobre 1981.

 


(1)        L'importance de la stéréochimie

[156]       La stéréochimie des inhibiteurs de l'ECA possibles et, donc, des composés de la revendication 12 est un élément important pour évaluer l'activité possible d'un composé donné. Je commence en examinant la stéréochimie de la revendication 12. Pour aider le lecteur, j'ai inclus un diagramme de la revendication 12, tiré du rapport de M. Thorsett, représentant l'emplacement des cinq centres chiraux des composés visés par la revendication.

 

 

Représentation moléculaire de la revendication 12

 

[157]       La personne versée dans l'art reconnaîtrait que le composé décrit dans la revendication 12 possède cinq centres chiraux. Deux d'entre eux — à la position 2 ou à la position de l'acide carboxylique du groupe bicycle (groupe 2(S)-carboxyle) et à la position du groupe alanyle sur le squelette — ont été spécifiés comme étant de configuration S. La stéréochimie des carbones en tête de pont — en positions 3a et 6a — et du centre chiral le plus proche du groupe carboéthoxy n'a pas été spécifiée. Dans les rapports des experts, le centre chiral le plus proche du groupe carboéthoxy est désigné par des noms divers. Les experts (et moi‑même dans les présents motifs) ont désigné cette position sur la molécule comme étant la position, le centre ou le site carboéthoxy ou promédicament.

 

[158]       La personne versée dans l'art reconnaîtrait que les carbones en tête de pont peuvent prendre quatre orientations différentes. Quand ces carbones sont orientés dans la même direction, la structure est décrite comme étant « cis »; les deux parties du cycle prendront une forme en « V ». Si les deux carbones sont en configuration S ainsi que le groupe 2(S)-carboxyle, le résultat est une structure décrite comme étant « cis-endo » (configuration (S,S,S)). S'ils sont tous les deux dans la configuration R, mais que le groupe carboxylique est toujours en configuration S, le résultat est décrit comme étant « cis-exo » (R,R,S). Si les carbones en tête de pont sont orientés de manière différente, le composé est désigné comme étant de configuration « trans ». Si les carbones sont réunis avec le groupe carboxylique en configuration S à la position 2, les deux structures possibles sont les configurations (3aR,6aS,S) ou (3aS,6aR,S). Ces deux structures peuvent être décrites comme ayant la forme d'un « W ».

 

[159]       Le dernier centre chiral non spécifié de la revendication 12 se trouve à la position carboéthoxy sur le squelette de l'énalapril. Selon que la position est R ou S, les composés résultants auront des formes sensiblement différentes. Si on combine les deux configurations possibles de la position carboéthoxy sur le squelette avec les configurations possibles des carbones en tête de pont, on arrive à huit configurations possibles pour les composés de la revendication 12.

[160]       Un certain nombre d'experts ont examiné l'importance de la stéréochimie des composés de la revendication 12. Il semble qu'ils s'entendent tous à dire que même de petites modifications à une molécule peuvent avoir des effets considérables sur l'activité.

 

[161]       Par conséquent, selon les différences de configuration stéréochimique, les huit configurations stéréochimiques bicycliques 5,5 possibles de la revendication 12 présenteraient des différences de conformation et des différences spatiales. En raison de ces différentes conformations, il peut être difficile d'extrapoler l'activité d'une configuration stéréochimique en se basant sur celle d'une autre. Ce point a été confirmé par le Dr Ehlers et M. Thorsett.

 

[162]       En outre, on doit comprendre qu'une modification de conformation ou d'orientation d'un groupe d'un inhibiteur de l'ECA pourrait avoir un effet sur la capacité d'autres groupes de l'inhibiteur de l'ECA à se lier à l'enzyme. Monsieur Nelson a reconnu [TRADUCTION] qu'« on ne s'attend pas à ce que les effets de centres chiraux multiples soient additifs, car un changement de R à S à un centre peut modifier d'autres aspects des interactions ligand-enzyme ». Dans sa déclaration écrite, le Dr Ehlers décrit la situation de la façon suivante :

[TRADUCTION]

 

Généralement, la plupart des substituants (notamment les chaînes latérales) sur un inhibiteur vont interagir avec le site actif d'une manière analogue à celle d'une clé dans une serrure. Si une chaîne ou un groupe latéral n'est plus présent, ou si sa forme ou son orientation a changé, le composé pourrait alors ne plus s'insérer sur le site actif et, par conséquent, ne plus agir comme inhibiteur. Par ailleurs, une chaîne latérale ou un groupe absent ou altéré pourrait forcer l'inhibiteur à se repositionner sur le site actif, faisant ainsi sortir de l'alignement d'autres groupes de liaison, ce qui entraîne à nouveau une liaison inefficace de l'inhibiteur sur le site actif, et une réduction ou une annulation de son activité.

 

[163]       Dans ce contexte, j'aborde la question de savoir si les scientifiques de Schering disposaient d'un fondement factuel pour prédire valablement, le 20 octobre 1981, l'utilité de toutes les configurations stéréochimiques représentées dans la revendication 12.

 

(2)        Les travaux de Schering

[164]       En examinant le fondement factuel possible de la prédiction valable de Schering, il existe trois périodes distinctes : avant le congrès de Troy, immédiatement après le congrès de Troy jusqu'à la date de la conception (le 20 juin 1980), et de la date de la conception à la date de dépôt au Canada le 20 octobre 1981. Madame Smith et M. Neustadt ont décrit les événements dans leurs témoignages oraux et par la voie de nombreux documents de Schering déposés en preuve.

 

a)         Avant le congrès de Troy

[165]       Les scientifiques de Schering fournissaient à la société des rapports semestriels de leur [TRADUCTION] « Programme sur les antihypertenseurs ». Ces rapports donnent certaines indications sur leurs travaux jusqu'au congrès de Troy. Dans le rapport de janvier 1980, Mme Smith décrit le travail de son équipe comme étant la synthèse d'une série de [TRADUCTION] « N-[3-mercapto-2(R,S)-méthylpropionyle]-(S)-prolines [...] avec des substituants en position 4 sur la proline ».

 

[166]       L'essentiel des travaux de Schering jusqu'à cette date avait porté sur les groupes prolines comportant un ou plusieurs substituants à la position 4. Certains de ces composés ont été décrits comme actifs et d'autres comme inactifs. La meilleure description qu'on puisse donner de ces résultats est de dire qu'ils sont contradictoires. Par exemple, le SCH 30077 et le SCH 30078 sont deux composés étroitement liés, l'un avec la configuration cis et l'autre avec la configuration trans. À la dose testée, le composé trans montrait une certaine activité in vitro, tandis que le composé cis n'en montrait aucune. Avec d'autres composés, les composés cis montraient une certaine activité tandis que les trans n'en montraient pas.

 

[167]       Le programme comportait la synthèse du SCH 30178, molécule comportant un groupe spiro à l'extrémité proline d'un modèle captopril. On a trouvé que le SCH 30178 était actif in vitro. Les résultats des tests de la période du 18 décembre 1979 au 7 février 1980 établissent une activité décrite comme [TRADUCTION] « identique ou légèrement supérieure à celle du captopril ».

 

[168]       Avant le 20 juin 1980, le SCH 30928 était le seul composé synthétisé avec le squelette ou la chaîne latérale du captopril attaché à un bicycle 6,5. Il consistait en un mélange de diastéréoisomères dans lequel la configuration des centres chiraux était cis‑endo. Le SCH 30928 a été synthétisé le 2 mai 1980 et testé in vitro le 8 mai 1980; son activité in vitro a été décrite comme [TRADUCTION] « un peu moins puissante que le captopril ». Le SCH 30928 a été testé in vivo le 12 juin 1980 et a montré une activité [TRADUCTION] « modérée ». Toutefois, des essais ultérieurs en juillet, août et septembre 1980 ont donné des résultats contradictoires.

 

[169]       Schering n'avait pas synthétisé de bicycle 6,5 trans ou cis‑exo fusionné à la chaîne latérale du captopril.

 

[170]       Les résultats du SCH 30178 et du SCH 30928 ont démontré aux scientifiques de Schering qu'il existait une latitude structurelle considérable concernant les modifications du groupe proline sur le squelette du captopril. Leurs travaux semblaient établir que l'inhibition de l'ECA in vitro et l'activité antihypertensive in vivo pourraient être maintenues si l'on incorporait des structures cycliques différentes à la place du cycle proline sur un composé semblable au captopril. Toutefois, compte tenu des résultats des tests parfois contradictoires et des divers choix pour la synthèse, je ne vois pas clairement comment les composés de la période précédant le congrès de Troy pouvaient à eux seuls fournir aux inventeurs des composés de la revendication 12 le fondement factuel permettant de formuler une prédiction valable.

 

b)         Le congrès de Troy et la divulgation de Mme Smith

[171]       En juin 1980, les scientifiques de Merck avaient réussi à remplacer le groupe thiol du captopril et obtenu comme résultat l'énalapril. Monsieur Patchett, lors de sa présentation au congrès de Troy le 18 juin 1980, a divulgué les résultats des travaux de Merck à un auditoire de plusieurs centaines de scientifiques. Monsieur Patchett n'a pas fourni de documents écrits. Notre compréhension de ce qui a été divulgué est fondée sur les témoignages de M. Patchett et de Mme Smith, qui a assisté au congrès. Nous disposons aussi de quelques photocopies de mauvaises photographies qui, selon Mme Smith, reproduisaient les diapositives de la présentation de M. Patchett.

 


[172]       Fait à noter, Merck n'avait pas modifié l'extrémité proline de la molécule de captopril. Ainsi, Mme Smith s'est immédiatement rendu compte que la combinaison du travail des scientifiques de Schering et du squelette de l'énalapril pourrait produire certaines molécules intéressantes.

 

[173]       Le 20 juin 1980, Mme Smith a consigné des notes, dans son registre de divulgation, reflétant ce que Schering décrit comme étant la [TRADUCTION] « conception » du brevet 206. À la page 8, la note de divulgation de Mme Smith commençait ainsi : [TRADUCTION] « La présente divulgation porte sur des dipeptides de l'acide (ou acétate) N-α-(α-substitué)acétique de type 1, 2, 3 et 4 agissant comme inhibiteurs de l'enzyme de conversion de l'angiotensine et comme agents antihypertenseurs. » Les représentations moléculaires comprenaient des cycles 6,5 et 5,5, et « Z » représentait le squelette de l'énalapril de Merck. À la page 9, Mme Smith présentait par écrit un modèle de synthèse.

 

[174]       Dans le rapport semestriel du 3 juillet 1980, Mme Smith a décrit le travail que son équipe avait l'intention de poursuivre. Ce rapport comprenait les notes suivantes :

[TRADUCTION]

 

Les relations structure-activité des (S)-N-(3-mercapto-2-méthylpropionyl)substitué-(S)-prolines montrent que deux composés, le SCH 30178 et le SCH 30928, ont un profil biologique intéressant par rapport au captopril. Il est donc très intéressant d'incorporer le groupe proline substitué du SCH 30178 et du SCH 30928 aux nouveaux composés cibles 130 et 131.

 

[Dans le composé cible 130, on a incorporé un anneau spiro sur le squelette de l'énalapril et pour le 131, on a incorporé un bicycle 6,5 sur le même squelette.]

 

[...] Dans le 131, la stéréochimie à la jonction du cycle est probablement cis et elle est syn ou anti au groupe de l'acide (S)carboxylique [...]

 

[175]       À ce stade, les composés 130 et 131 n'avaient pas été synthétisés. Madame Smith avait envisagé un modèle de synthèse pour ces deux composés au moins et avait formulé une hypothèse éclairée au sujet de certaines des stéréochimies des centres chiraux des bicycles 6,5. Ainsi, même si l'on tient compte du rapport du 3 juillet 1980 de Mme Smith, les travaux de Schering jusqu'en juillet 1980 sont loin de constituer le fondement factuel d'une prédiction valable.

 

c)         Après le congrès de Troy

[176]       Nous passons maintenant à la période postérieure au congrès de Troy du [TRADUCTION] « Programme sur les antihypertenseurs » de Schering.

 

[177]       Le premier composé synthétisé à partir de la divulgation de Merck a été le SCH 31309, un cycle spiro à la position proline de l'énalapril. C'était un mélange de composés R et S à la position carboéthoxy. Les tests in vitro ont démontré une activité dite [TRADUCTION] « modérée ». Je conviens avec le Dr Ehlers que les composés spiro ont une forme très différente des bicycles. Comme les cycles du composé spiro sont liés à un seul carbone, on pourrait raisonnablement s'attendre à ce que la structure spiro soit plus flexible et qu'elle n'aide pas vraiment à prédire l'utilité des cycles 6,5 ou 5,5.

 


[178]       On en aurait vraisemblablement une meilleure idée en synthétisant et vérifiant des composés comportant un cycle 6,5 à l'extrémité proline de la molécule. Le SCH 31335 et le SCH 31336 ont été synthétisés en août 1980, tous deux avec un bicycle 6,5 sur un squelette d'énalapril. La seule différence entre les deux semble avoir été la stéréochimie. Lorsque les deux composés ont été testés in vitro le 19 août 1980, le SCH 31336 a montré une certaine activité même si ce composé comprenait trois stéréocentres (sur cinq possibles) de configuration R. Cependant, on a signalé que le SCH 31335 était [TRADUCTION] « 10 fois plus actif que le SCH 31336 ».

 

[179]       Le SCH 31846, qui est l'un des diastéréoisomères du SCH 31335, a été synthétisé le 10 décembre 1980. Le SCH 31847, l'autre diastéréoisomère du SCH 31335, a été synthétisé le 11 décembre 1980. Le SCH 31846 montrait une certaine activité in vivo alors que le SCH 31847 n'en montrait pas. Pour cette raison, les scientifiques de Schering ont conclu que le SCH 31846 avait la configuration S à la position carboxyalkyle; il s'agissait de l'isomère S,S,S(S,S). Pour ce qui est du SCH 31847, on a conclu qu'il avait la configuration R à la position carboxyalkyle; il s'agissait donc de l'isomère R,S,S(S,S). Monsieur Bartlett a convenu que les scientifiques de Schering avaient décrit le SCH 31847, un composé 6,5 ayant un squelette d'énalapril avec un seul R à la position carboéthoxy, comme étant inactif in vivo jusqu'à 300 µg/kg.

 

[180]       Deux autres composés ont été synthétisés, le SCH 32494, composé doté d'un bicycle 6,5 et d'une configuration trans, et le SCH 31846, de structure bicyclique 6,5 et de configuration cis‑endo. Aux concentrations des tests, le SCH 32494 était inactif alors que le SCH 31846 était actif. En bref, Schering était incapable d'établir que les analogues de l'énalapril à bicycles 6,5 de configuration trans aux têtes de pont possédaient des propriétés inhibitrices de l'ECA. Les résultats des tests de ces deux composés démontrent que Schering ne pouvait pas prévoir, sur la base des résultats des composés cis‑endo, que les composés ayant un bicycle 6,5 et une configuration trans seraient actifs.

 

[181]       En février 1981, les scientifiques de Schering ont fabriqué et testé leurs premiers (et seuls) analogues avec un bicycle 5,5. Le SCH 31925 était un mélange de deux composés, dont l'un était le ramipril, comme nous le savons à présent. Le SCH 31924 n'était différent du SCH 31925 que par sa stéréochimie. Madame Smith a indiqué ce qui suit dans le rapport semestriel du 1er juillet 1981 : [TRADUCTION] « La stéréochimie n'a pas été assignée à la jonction du cycle relativement à l'hydrogène en position 2, mais on a supposé que la stéréochimie était cis‑syn. » Autrement dit, Mme Smith a supposé que la stéréochimie du SCH 31924 était R à la position 2 du bicycle et (R,R) à la tête de pont et que celle du SCH 31925 était S(S,S). Ainsi, le SCH 31925 était un mélange de deux diastéréoisomères de configuration S,S,S(S,S) et R,S,S(S,S). Le SCH 31924 était un mélange de diastéréoisomères de configuration S,S,R(R,R) et R,S,R(R,R). En raison de la configuration R à la position 2 de l'acide carboxylique, les diastéréoisomères du SCH 31924 ne sont pas inclus dans la revendication 12, mais sont inclus dans les revendications 1, 2, 3 et 6 du brevet 206.

 

[182]       Dans le rapport semestriel du 1er juillet 1981, Mme Smith a indiqué que le SCH 31925 avait été testé in vivo et identifié comme [TRADUCTION] « actif » alors que le SCH 31924 était [TRADUCTION] « inactif ». Schering n'a pas synthétisé les autres configurations stéréochimiques possibles du groupe bicyclique 5,5, à savoir cis‑exo et trans. En outre, Schering n'a pas synthétisé de composés bicycles 5,5 où il y avait seulement une configuration R à la position carboéthoxy. Toutes ces configurations sont incluses dans la revendication 12.

 

[183]       Comme Mme Smith et M. Neustadt l'ont reconnu pendant leur comparution, Schering a tenté sans succès de synthétiser et d'isoler des composés de configuration trans autres que le SCH 32494, et elle n'a pas réussi à synthétiser de composé de configuration stéréochimique cis‑exo des bicycles 6,5.

 

d)         Résumé des travaux de Schering

[184]       En résumé, le programme de synthèse et de tests des scientifiques de Schering était limité. Pour ce qui est des composés de la revendication 12 qui comprenaient un bicycle 5,5, un seul composé (un mélange) avait été fabriqué et testé à la date de dépôt au Canada. Il est particulièrement intéressant de noter que les scientifiques :

 

·                    n'avaient pas synthétisé un seul stéréoisomère des revendications 6 et 12;

 

·                    n'avaient pas synthétisé de composés avec des groupes bicycliques 5,5 de configurations cis‑exo et trans;

 

·                    avaient synthétisé deux mélanges de composés avec des bicycles 5,5 cis‑endo et trouvé que l'un d'eux était actif et l'autre inactif in vivo.

 

[185]       Étant donné que Schering a tenté sans succès de synthétiser la forme cis‑exo du composé bicyclique 6,5 et n'a jamais essayé de synthétiser des composés de configuration cis‑exo de structure 5,5, il est difficile d'accepter que, sur la base de leurs travaux expérimentaux, les scientifiques de Schering disposaient d'un fondement factuel permettant de prédire que ces configurations, incluses dans la revendication 12, seraient actives in vitro ou in vivo. Cette conclusion s'appliquerait aux stéréoisomères de configurations cis‑exo et trans, même si la promesse du brevet ne concernait que l'inhibition de l'ECA.

 

[186]       Je m'écarte un instant du sujet pour discuter d'un argument formulé par les demanderesses à l'égard des résultats de tests dits [TRADUCTION] « inactifs » de Schering. Les demanderesses soutiennent que les résultats dits [TRADUCTION] « inactifs » doivent être interprétés en tenant compte des limites de l'essai. Schering s'était évidemment fixé un seuil de test interne afin de guider les scientifiques dans le choix des composés qui méritaient des tests plus approfondis. Les demanderesses affirment qu'il est tout à fait concevable que les composés montrent de l'activité à une concentration plus élevée. Ainsi, les demanderesses soutiennent que je ne devrais pas conclure qu'un composé est dépourvu d'effet inhibiteur de l'ECA ou d'effet antihypertenseur sur la base d'un résultat dit [TRADUCTION] « inactif » par les scientifiques de Schering.

 

[187]       Le défaut crucial que présente cette argumentation est que les scientifiques de Schering n'ont aucun résultat pour certains des composés visés par la revendication 12 qui pourrait mener à prédire leur activité à n'importe quelle concentration. Les résultats des tests dits [TRADUCTION] « inactifs » ne fournissent aucune indication sur la façon dont les scientifiques de Schering pourraient prédire l'activité à une concentration plus élevée. La prédiction de l'activité à une concentration plus élevée serait de la pure spéculation.

 

[188]       Après avoir conclu que les travaux de Schering, à eux seuls, n'établissent aucun fondement factuel étayant une prédiction valable, il faut se tourner vers les connaissances accessibles à Schering à la date pertinente. Après examen de tous les témoignages et de tous les arguments des parties, je crois qu'il existe deux domaines déterminants. Le premier a trait à la stéréochimie à la position carboéthoxy. Le second est la théorie de l'« espace », qui se rapporte à la notion de la forme tridimensionnelle du site actif de l'ECA.

 

(3)        La stéréochimie à la position carboéthoxy

[189]       Je commence par l'examen de ce que l'on savait sur la chiralité des inhibiteurs de l'ECA. En 1977, un modèle hypothétique du site actif de l'ECA a été proposé par le groupe Squibb (Cushman et al., Design of Potent Competitive Inhibitors of Angiotensin‑Converting Enzyme. Carboxyalkanoyl and Mercaptoalkan Amino Acids, Biochemistry, 1977, 16, No. 25, 5485‑5491 (Biochemistry, 1977)). Le modèle divulgué est appelé couramment le « modèle Cushman‑Ondetti ». L'article Biochemistry, 1977 fournit les enseignements suivants sur les considérations stéréochimiques :

 

·                    D'abord, le choix de l'acide aminé de l'extrémité carboxyle parmi les acides aminés L‑naturels peut varier considérablement. Les données ont établi qu'un acide aminé D à l'extrémité carboxylique atténuait nettement l'activité inhibitrice; dans un cas, l'analogue D‑proline était environ 9 000 fois moins actif que l'analogue L‑proline.

 

·                    Deuxièmement, les données du tableau III établissent que la stéréochimie de la deuxième position chirale doit également correspondre à la configuration L d'un acide aminé naturel.

 

[190]       Dans un article ultérieur (Design of New Antihypertensive Drugs: Potent and Specific Inhibitors of Angiotensin‑Converting Enzyme, Progress in Cardiovascular Diseases (1978) 21, No. 3, 176‑182), les mêmes auteurs ont noté, en comparant deux des composés testés, que [TRADUCTION] « le besoin qu'un substituant ait la configuration optique nécessaire est à nouveau frappant ».

 

[191]       Comme on le sait, Merck a été la première à divulguer l'énalapril au congrès de Troy le 18 juin 1980. La molécule d'énalapril contient trois stéréocentres. Au congrès de Troy, selon la preuve dont j'ai été saisie, M. Patchett a fait observer que la puissance d'inhibition de l'ECA était liée à la configuration S des trois centres chiraux. La première référence de Merck relative à l'énalapril apparaît dans la demande de brevet européen no EP 12 401 (publiée le 25 juin 1980) (EP 401). Cette publication a réaffirmé que la configuration S est la stéréochimie privilégiée pour les trois centres chiraux des molécules de classe énalaprilat.

 


[192]       Cette observation a été confirmée plus tard par les inventeurs en novembre 1980 (Patchett et al., A New Class of Angiotensin‑Converting Enzyme Inhibitors, Nature (1980) 288, No. 5788, 280‑283 (Nature, 1980)) lorsque le groupe sur l'énalapril de Merck a présenté une comparaison des données sur l'inhibition de l'ECA in vitro pour le composé 6a (énalaprilat en configuration (S,S,S)) et pour le composé 6b (analogue de l'énalaprilat en configuration (R,S,S)). Le changement de chiralité d'un seul centre a provoqué une perte d'activité, devenue 683 fois moindre que celle de l'autre isomère.

 

[193]       Il était donc de notoriété publique, bien avant le dépôt au Canada le 20 octobre 1981, qu'une configuration S à la position carboéthoxy, une configuration S à la position 2 de l'acide carboxylique sur l'extrémité proline de la molécule et une configuration S à la position alanyle seraient préférables.

 

[194]       Comme je l'ai noté précédemment, le SCH 31925 a été synthétisé en même temps que le SCH 31924. Les scientifiques de Schering n'ont pas connu immédiatement leur stéréochimie particulière. Toutefois, une fois que le SCH 31925 a été testé, on a trouvé qu'il avait une CI50 de 126 microgrammes par kilogramme de poids corporel (µg/kg) chez les animaux de laboratoire. Le SCH 31924 ne présentait aucune activité à 300 µg/kg. Ainsi, selon M. Bartlett, [TRADUCTION] « il était évident que le SCH 31925 était le mélange diastéréoisomérique où la configuration S était privilégiée à l'extrémité C‑terminale carboxyle ainsi qu'aux carbones en tête de pont ». Aucune autre séparation n'a été effectuée. Cependant, en combinant les résultats des tests de Schering et la divulgation de Merck qui privilégiait la configuration exclusive S pour l'énalapril, on pouvait raisonnablement prévoir qu'un composé avec une composition exclusivement S serait un composé actif. En d'autres termes, il existe un fondement factuel et un raisonnement qui permettent de prédire que le ramipril pourrait répondre à la promesse contenue dans le brevet 206. Mais qu'en est‑il des sept autres composés?

 

[195]       Il ne s'ensuit pas nécessairement que les résultats obtenus avec le mélange SCH 31925 permettent à Schering de faire une prédiction valable d'activité à l'égard des deux diastéréoisomères s'ils étaient séparés. En premier lieu, comme M. Nelson l'a reconnu lors de son contre-interrogatoire, il pourrait être impossible de déterminer lequel des diastéréoisomères était actif : [TRADUCTION] « Il serait impossible de savoir si l'un était actif ou si les deux étaient actifs. » Outre M. Nelson, M. Thorsett et le Dr Ehlers ont admis que le SCH 31925 ne permettrait pas de conclure que l'autre constituant du mélange, à savoir le composé cis‑endo (R,S,S,S,S), serait actif. Je suis d'accord.

 

[196]       Dans le brevet 206, Schering ne revendique pas uniquement la configuration (S,S,S), mais aussi la configuration (R,S,S). Il subsiste donc la question suivante : existait‑il un fondement factuel permettant de prédire que la configuration (R,S,S) serait active, abstraction faite pour l'instant de la chiralité des têtes de pont? Il semble qu'on trouve très peu de travaux dans les documents disponibles au public qui permettent de répondre directement à la question de l'activité possible de ces quatre composés de la revendication 12 avec une configuration R en position carboéthoxy.

 

[197]       Dans sa déclaration écrite, M. Nelson donne son avis sur ce que l'on connaissait de la stéréochimie en position carboéthoxy. À son avis, le travail accompli par Merck confirme la prédiction de l'activité possible des configurations S ou R à cette position. Selon lui, Merck a signalé l'activité de ce groupe dans les configurations R et S (voir Nature, 1980, précité). Monsieur Nelson a fait observer que dans l'article de A. Maycock et al., Inhibition of Thermolysin by N‑Carboxymethyl Dipeptides, Biochemical and Biophysical Research Communications (1981) 102, No. 3, 963‑969, Merck a testé deux diastéréoisomères d'analogues du promédicament phénylpropyl-Leu-Trp qui avaient des configurations opposées à la terminaison promédicament de la molécule. Les deux diastéréoisomères étaient de puissants inhibiteurs de l'ECA, et l'un d'eux était plus puissant que l'autre. De l'avis de M. Nelson, ce fait démontre qu'un changement de la configuration en position carboéthoxy n'élimine pas l'activité d'inhibition de l'ECA.

 

[198]       À mon avis, l'opinion de M. Nelson pose un certain nombre de problèmes.

 

·                    Lors du contre‑interrogatoire, on a pu mettre en évidence que les deux articles cités et les études sous-jacentes concernaient en fait l'inhibition de la thermolysine.

 

·                    Monsieur Nelson a aussi reconnu que les deux articles ont fourni des données sur des molécules avec un acide à la position carboéthoxy, et non un ester comme c'était le cas de tous les composés de la revendication 12. Monsieur Nelson a même admis que Schering avait synthétisé des monoesters avec une configuration R à la position carboéthoxy qui se sont révélés inactifs lors des tests in vivo (SCH 31924 et 31847).

·                    Enfin, M. Nelson a convenu qu'il ne pouvait pas citer un seul composé où les positions carboéthoxy, alanyle et 2 du cycle proline étaient toutes dans la configuration R et qui était actif comme inhibiteur de l'ECA.

 

[199]       Faisant référence à l'article de Biochemistry, 1977, qui a signalé l'activité de composés avec les configurations S et R au groupe carboxyle terminal de la proline (fixé comme étant S dans la revendication 12), M. Nelson a également formulé l'opinion que [TRADUCTION] « même si la stéréochimie a manifestement un effet sur l'activité inhibitrice de l'ECA, on ne s'attend pas à ce que des modifications de la stéréochimie suppriment une telle activité ». Toutefois, cette affirmation n'est pas étayée par les travaux des scientifiques de Schering. Par exemple, la seule différence entre les composés bicycliques 6,5 SCH 31846 et 31847 était la stéréochimie à la position carboéthoxy. Au cours des essais, un composé était actif in vivo alors que l'autre était inactif. Sur la base de ces résultats, les scientifiques de Schering ont attribué la configuration S à la position carboéthoxy du SCH 31846 et la configuration R au SCH 31847 inactif. Ces résultats affaiblissent le poids que je pourrais accorder à l'avis de M. Nelson. Bien qu'il se puisse que M. Nelson ait raison dans l'ensemble, les travaux accomplis par Schering, peu importe la raison, n'étayent pas constamment son avis. En fin de compte, Schering ne pouvait raisonnablement pas avoir utilisé l'article de M. Cushman et les autres articles cités par M. Nelson pour prédire l'activité de certains des composés de la revendication 12.

 

[200]       En résumé, je conclus, selon la prépondérance de la preuve, que les articles cités par M. Nelson n'auraient pas permis aux scientifiques de Schering d'arriver à prédire que la configuration R en position carboéthoxy conduirait à l'inhibition de l'ECA.

[201]       Vu l'incertitude des renseignements disponibles, on se serait attendu à ce que les scientifiques de Schering effectuent des tests de confirmation, au moins pour quelques‑unes des configurations fondamentales, pour pouvoir prédire que toutes les configurations présenteraient une activité. Cela serait particulièrement vrai pour tout changement à la configuration S à la position carboéthoxy sur le squelette de l'énalapril. Cependant, comme je l'ai décrit ci‑dessus, le [TRADUCTION] « Programme sur les antihypertenseurs » des scientifiques de Schering ne contient qu'un seul essai sur un composé bicyclique 5,5 de configuration R à cette position. De plus, ce composé n'était qu'un mélange de deux diastéréoisomères, dont celui de configuration (S,S,S,S,S), qui était actif.

 

[202]       Bref, la combinaison des travaux de Schering, des connaissances et des études disponibles ne saurait, à mon avis, constituer un fondement factuel sur lequel on pourrait prédire valablement que les quatre composés de la revendication 12 avec la configuration R à la position carboéthoxy seraient actifs comme inhibiteurs de l'ECA et comme agents antihypertenseurs. Cette constatation signifie que les défenderesses ont satisfait à la charge d'établir, selon la prépondérance de la preuve, que Schering ne pouvait prédire valablement, le 20 octobre 1981, qu'au moins quatre des huit composés de la revendication 12 (c'est‑à‑dire ceux comportant la configuration R à la position carboéthoxy) satisferaient à la promesse du brevet. Sur ce seul fondement, les défenderesses ont, à mon avis, gain de cause dans leur demande reconventionnelle en invalidité. Néanmoins, je continuerai dans les présents motifs l'examen des autres arguments présentés sur ces questions.

 


(4)        La théorie de l'« espace »

[203]       Dans les observations des demanderesses, le meilleur argument en faveur d'un fondement factuel réside dans une théorie relative à la forme tridimensionnelle du site actif de l'ECA. Plusieurs experts ont commenté les travaux réalisés par les scientifiques de Squibb pour élaborer le modèle Cushman‑Ondetti, qui a paru à ce moment-là dans diverses publications scientifiques (voir par exemple dans Biochemistry, 1977, précité, et dans Cushman et al., Development of Specific Inhibitors of Angiotensin I Converting Enzymes (kininase II), Federal Proceedings (1979) 38, No. 13, 2778‑2782). En termes simples, l'équipe de Squibb avait développé un modèle hypothétique du site actif comprenant trois « poches » ou « sous‑sites », dénommés S1, S1' et S2', dont chacun pouvait accueillir un substrat distinct ou une chaîne latérale distincte d'une molécule et s'y lier, ayant comme résultat l'inhibition de l'ECA.

 

[204]       À la fin des années 1970, les chercheurs de plusieurs sociétés ont tenté de définir la nature exacte des types privilégiés de chaînes latérales; on n'était pas certain de ce qui pourrait fonctionner (comme la taille, la polarité, la charge et la chiralité) à chacun de ces sites. Schering affirme que selon les connaissances accessibles aux scientifiques, le site S2' pouvait accueillir de grands groupes à l'extrémité proline de la molécule de captopril (et ultérieurement l'énalapril et le lisinopril).

 

[205]       Les demanderesses mentionnent d'autres éléments de preuve qui étaient accessibles au public pour appuyer leurs observations sur la théorie de l'« espace ». Durant la période allant du 20 juin 1980 au 30 octobre 1981, on a publié d'autres enseignements concernant les groupes à l'extrémité C‑terminale qui pourraient se lier à l'ECA. Dans l'article de Cheung et al., Binding of Peptide Substrates and Inhibitors of Angiotensin-Converting Enzyme, J. Biological Chemistry (1980) 255, No. 2, 401‑407, les scientifiques de Squibb, faisant l'hypothèse que le modèle Cushman‑Ondetti était correct, ont démontré qu'il existait une tolérance considérable pour de grandes chaînes latérales à l'extrémité C‑terminale.

 

[206]       À cette époque, le modèle Cushman‑Ondetti était hypothétique. On voit donc difficilement comment le fait de savoir qu'il y a beaucoup de place au sous‑site S2' de l'ECA pourrait avoir été utile en l'absence d'autres renseignements sur des questions telles que la taille, la polarité, la charge et la chiralité des molécules susceptibles d'y être insérées. J'estime pour ma part que Schering n'avait pas réalisé ou ajouté de progrès significatifs pour ce cadre hypothétique.

 

[207]       Dans ses déclarations écrites et son témoignage, M. Bartlett a examiné la façon dont Schering aurait pu utiliser la théorie spatiale de M. Cushman pour prédire l'utilité des composés revendiqués. Si je comprends bien l'opinion de M. Bartlett, il commence par les synthèses du SCH 30178 et du SCH 30928 réalisées par Schering. Le cycle spiro du SCH 30178 occuperait une région de l'espace différente de celle du cycle fusionné 6,5 du SCH 30928. Comme il avait été établi que ces deux composés étaient inhibiteurs de l'ECA, Schering avait la preuve que le site actif de l'ECA est très tolérant quant aux différentes structures des analogues du captopril au site proline. Au moyen de techniques de modélisation informatique, M. Bartlett a représenté les besoins en espace d'un certain nombre de groupes pour montrer que les composés possédant des niveaux utiles d'inhibition de l'ECA pourraient s'insérer dans des emplacements dimensionnels occupés par le SCH 30178 et le SCH 30928. Ces modèles comprennent des composés avec des groupes substitués cis et trans ainsi que des composés avec des cycles spiro et des bicycles fusionnés. À cet égard, est‑il allégué, Schering aurait pu prédire l'utilité d'un grand nombre de composés avec des groupes qui s'inséraient dans les limites spatiales du SCH 30178 et du SCH 30928.

 

[208]       Le problème principal que pose la théorie de M. Bartlett est que je n'ai aucune preuve que les scientifiques de Schering avaient intégré cette théorie ou cette notion dans leur structure conceptuelle. Monsieur Bartlett, à l'aide des logiciels complexes d'aujourd'hui, explique bien les raisons pour lesquelles nombre de composés du brevet 206 pourraient être des inhibiteurs de l'ECA efficaces. Cependant, cela n'éclaire pas la question de savoir si, le 20 octobre 1981, les scientifiques de Schering avaient pris cet élément en compte comme fondement factuel de leur prédiction.

 

[209]       Par exemple, Mme Smith ne fait aucune mention de cette notion dans son registre de divulgation. Le rapport semestriel du 2 janvier 1980 contient une référence à l'hypothèse de Squibb. Toutefois, comme Mme Smith l'a confirmé, le document ne donne pas de description du volume, de l'espace ou des dimensions qui expliquerait comment le modèle Cushman‑Ondetti a aidé les scientifiques de Schering dans leur prédiction. De même, le rapport du 3 juillet 1980 ne comporte qu'une observation faite en passant sur une [TRADUCTION] « hypothèse de liaison ». Dans son témoignage oral, Mme Smith a considérablement étoffé cette petite observation :

[TRADUCTION]

 

R.         J'ai une hypothèse au sujet des emplacements où ces groupes pourraient s'insérer et, rappelez‑vous, c'est une hypothèse. À l'heure actuelle, quand j'examine des projets comme celui-ci, il est possible de cristalliser certains groupes dans un site actif, de les visualiser et de voir où ils s'insèrent. À cette époque, il n'y avait qu'une hypothèse.

 

Q.        Bien, vous — n'étiez pas en mesure de faire ce que vous pouvez faire maintenant en matière de —

 

R.         Mais on savait à partir de l'activité de la structure présentée par le groupe de M. Patchett qu'il était nécessaire d'avoir quelque chose comme le groupe phénéthyle à cet endroit, ces composés étaient meilleurs. Dans la partie gauche se trouvait le groupe carboxylique, carboxylate, qui pourrait se lier au zinc, comme on le croyait. Le groupe NH à l'enzyme, on savait qu'il y avait assez d'espace pour le groupe méthyle de l'alanyle ou de la lysine du composé 129. Le carbonyle attaché à la proline était nécessaire pour la liaison ainsi que l'acide carboxylique.

 

Et quand on examine leurs relations structure‑activité et les endroits où il manque des parties ou qui sont substitués ou autres, ils ne sont pas aussi actifs. Ainsi, au vu de leurs résultats, on peut imaginer qu'on a besoin de ces groupes là ou qu'ils y sont admis pour la meilleure — activité.

 

[210]       Cette explication soulève un problème à mes yeux parce qu'elle ne se trouve nulle part dans les rapports semestriels. Si l'hypothèse en question avait été si cruciale dans la pensée des scientifiques de Schering, on pourrait raisonnablement s'attendre à ce qu'elle figure dans les rapports semestriels. Les notes de Mme Smith étaient en général très détaillées. L'omission de cette explication importante dans tous les rapports pertinents m'amène à conclure qu'à l'époque visée, les scientifiques de Schering ne l'avaient pas en tête. Je conclus que la notion spatiale du modèle Cushman‑Ondetti n'a jamais été invoquée concrètement pour prédire l'activité des composés étudiés par Schering en 1980 et en 1981. Elle ne fait tout simplement pas partie d'un raisonnement clair qui pourrait appuyer la prédiction de l'utilité de tous les composés de la revendication 12 comme inhibiteurs de l'ECA.

 

[211]       En outre, j'observe aussi que l'hypothèse de M. Bartlett n'est pas conforme aux données obtenues par Schering. Les travaux de Schering indiquaient que certains des composés possédant le volume ou l'espace approprié, selon les calculs de M. Bartlett, étaient en fait vraisemblablement inactifs. Ce serait le cas, par exemple, du composant R,S,S(S,S) du mélange SCH 31925, qui était un stéréoisomère de configuration R à la position carboéthoxy et qui est visé par la revendication 12. Bien que ce composé corresponde au volume déterminé selon l'hypothèse de M. Bartlett, l'inactivité combinée d'autres composés à configuration R à la position carboéthoxy (c'est‑à‑dire le SCH 31847, le 32457 et le 31924) enseignait que le stéréoisomère R,S,S(S,S) aurait été inactif in vivo. En d'autres termes, même si les scientifiques de Schering avaient connu la théorie, leurs propres travaux expérimentaux les en auraient éloignés. Monsieur Bartlett a fourni un cadre théorique qui peut avoir été connu ou ne pas avoir été connu en octobre 1981, mais il n'existe pas de preuve que ce raisonnement ait été utilisé ou aurait pu être utilisé pour prédire l'utilité des composés du brevet 206.

 

[212]       Pour que la prédiction de Schering soit valable, elle devait reposer sur un fondement factuel et les inventeurs devaient avoir un raisonnement clair par lequel ils pouvaient déduire du fondement factuel le résultat recherché. Je n'oublie pas que la jurisprudence enseigne que je dois aborder ces questions « avec le souci judiciaire de confirmer une invention vraiment utile » (arrêt AZT, précité, au paragraphe 92); toutefois, pour les motifs invoqués, je suis convaincue, selon la prépondérance de la preuve, que le 20 octobre 1981, la prédiction faite par Schering que les huit composés de la revendication 12 (à l'exception du ramipril) seraient utiles comme inhibiteurs de l'ECA et comme agents antihypertenseurs n'était pas valable.

 

C.        La prédiction valable : la divulgation

[213]       Dans l'hypothèse où je commettrais une erreur et qu'il existât, le 20 octobre 1981, un fondement factuel et un raisonnement clair permettant aux inventeurs de formuler une prédiction valable de l'utilité des composés de la revendication 12, j'examinerai maintenant le dernier critère de la prédiction valable, c'est‑à‑dire l'obligation du titulaire du brevet de divulguer les faits et le raisonnement sur lesquels il fonde la prédiction valable de l'utilité de son invention.

 

[214]       La Cour d'appel fédérale a fourni les indications suivantes au sujet de l'obligation relative à la divulgation dans un arrêt récent, Eli Lilly Canada Inc. c. Apotex Inc., 2009 CAF 97, aux paragraphes 13 à 15 (Eli Lilly (C.A.F.)) :

[13]      L'importance de l'obligation de divulgation lors d'une demande de brevet a été soulignée par la Cour suprême du Canada à plusieurs reprises au cours des dernières années (Pioneer Hi Bred Ltd. c. Canada (Commissaire des brevets), [1989] 1 R.C.S. 1623, paragraphe 23; Cadbury Schweppes Inc. c. FBI Foods Ltd., [1999] 1 R.C.S. 142, paragraphe 46; Free World Trust c. Électro Santé Inc., 2000 CSC 66, [2000] 2 R.C.S. 1024, paragraphe 13; Apotex Inc. c. Wellcome Foundation Ltd., 2002 CSC 77, [2002] 4 R.C.S. 153, paragraphe 37 (communément appelé l'arrêt AZT et désigné ainsi ci‑après).

 

[14]      L'arrêt AZT de la Cour suprême est particulièrement important à l'égard de l'issue du présent appel. Selon l'arrêt AZT, les exigences de la règle de la prédiction valable sont au nombre de trois : la prédiction doit avoir un fondement factuel; à la date de la demande de brevet, l'inventeur doit avoir un raisonnement clair et valable qui permette d'inférer du fondement factuel le résultat souhaité; et, enfin, il doit y avoir une divulgation suffisante (arrêt AZT, précité, paragraphe 70). Comme il a été dit dans l'arrêt : « la prédiction valable est, jusqu'à un certain point, la contrepartie que le demandeur offre pour le monopole conféré par le brevet ». Dans les décisions en matière de prédiction valable, l'obligation de divulguer les faits sous-jacents et le raisonnement est plus élevée pour les inventions contenant la prédiction. [Non souligné dans l'original.]

 

[15]      En toute déférence, j'estime que le juge de la Cour fédérale s'est fondé sur le principe approprié lorsqu'il a conclu, en s'appuyant sur l'arrêt AZT, que lorsqu'un brevet est fondé sur une prédiction valable, la divulgation doit inclure la prédiction [...]

 

[215]       Dans l'arrêt Eli Lilly (C.A.F.), une étude particulière (l'étude de Hong Kong) était nécessaire pour rendre valable la prédiction sur laquelle le brevet s'appuyait. Le défaut de divulguer l'étude de Hong Kong dans le brevet a fait que « le fondement factuel sous‑jacent de la prédiction et le raisonnement valable sur lequel s'appuyait la prédiction des inventeurs n'ont pas été divulgués » (Eli Lilly (C.A.F.), précité, au paragraphe 12).

 

[216]       L'arrêt Eli Lilly (C.A.F.) découle d'une demande présentée en vertu du Règlement AC. Le brevet sous‑jacent visait l'utilisation de certains composés chimiques pour le traitement de l'ostéoporose. Néanmoins, je ne vois pas pourquoi les principes juridiques appliqués par la Cour d'appel dans cette procédure d'avis de conformité sur la question de la prédiction valable ne s'appliqueraient pas à l'affaire dont je suis saisie. Je ne puis accepter non plus l'argumentation que semblent présenter les demanderesses, selon laquelle cette « obligation plus élevée » en matière de divulgation ne s'applique qu'au brevet d'utilisation, ce qui était le cas dans les arrêts AZT et Eli Lilly (C.A.F.). En réalité, la Cour d'appel fédérale a déclaré sans équivoque que la règle de la prédiction valable s'applique à une revendication portant sur un composé nouveau (Pfizer Canada Inc. c. Apotex Inc., 2007 CAF 195, au paragraphe 3).

 

[217]       L'affaire dont je suis saisie diffère de l'arrêt AZT, où la Cour suprême a conclu que les conditions de la divulgation avaient été remplies parce que les faits sous‑jacents (les données résultant de tests) et le raisonnement valable (l'effet bloquant sur l'élongation de la chaîne) étaient effectivement divulgués. Les faits en l'espèce ressemblent plus à ceux de l'arrêt Eli Lilly (C.A.F.) qu'à ceux de l'arrêt AZT.

 

[218]       La divulgation fournie par Schering dans son brevet 206 est insuffisante pour plusieurs raisons. Premièrement, aucune donnée de test n'est comprise dans le mémoire descriptif du brevet. Les données de tests peuvent fournir au public des renseignements suffisants à partir desquels on peut tirer des conclusions importantes. Le brevet 206 ne fournit aucune donnée in vitro ou in vivo pour aucun des composés décrits dans les revendications. Il ne décrit pas comment les prétendues propriétés utiles d'inhibition de l'ECA et d'effet antihypertenseur ont été établies. Il ne donne aucune indication sur la puissance ou la sélectivité d'aucun des composés.

 

[219]       Deuxièmement, on ne trouve nulle part dans le brevet de discussion au sujet du site actif de l'inhibiteur de l'ECA, pour établir si ce site a un volume suffisant pour accepter tous les stéréoisomères des bicycles divulgués dans le brevet 206. En outre, on n'explique pas que cette opinion est basée sur certains cycles spiro ou bicycles 6,5 fusionnés sur le squelette de l'énalapril ou du captopril, ou comment l'activité de tous les composés revendiqués peut être déduite des renseignements limités que les inventeurs possédaient sur ces composés.

 

[220]       Troisièmement, le brevet 206 ne fait aucune référence au congrès de Troy ou à une publication. Il n'existe non plus aucune preuve que les inventeurs se sont fondés sur ces divulgations pour prédire l'utilité de toutes les permutations différentes de la chaîne latérale revendiquées dans le brevet 206. De même, le brevet 206 ne fait nullement référence aux divulgations de Squibb sur le captopril.

[221]       Quatrièmement, le brevet ne fait pas référence aux travaux réalisés par Schering avec des analogues du captopril, notamment ceux où le cycle proline avait été remplacé par un ou plusieurs substituants.

 

[222]       Enfin, j'aborde l'argumentation des demanderesses selon laquelle la promesse du brevet 206 a deux volets, c'est‑à‑dire que tous les composés auront un effet inhibiteur de l'ECA, et qu'ils pourraient réduire l'hypertension chez les mammifères. Comme on l'a vu précédemment dans les parties des présents motifs traitant de l'interprétation du brevet, certains experts des demanderesses font valoir que la promesse d'utilité du brevet est séquentielle ou à deux volets, en ce que tous les composés seront des inhibiteurs de l'ECA alors que certains seulement produiront un effet antihypertenseur. Si cette interprétation de la promesse du brevet 206 est correcte (ce que je n'accepte pas), il m'est encore plus difficile d'accepter l'absence de divulgation dans le brevet.

 

[223]       Dans l'arrêt American Home Products Corp. v. Novartis Pharmaceuticals, [2001] R.P.C. 8, la Cour d'appel d'Angleterre a examiné la question de l'absence de renseignements spécifiant, parmi les composés revendiqués dans un brevet, ceux qui possèdent l'utilité promise. Le lord juge Aldous a conclu que le mémoire descriptif doit comprendre une divulgation habilitante touchant la portée globale de l'invention revendiquée :

[TRADUCTION]

 

L'invention décrite était la découverte que la rapamycine procure ces avantages. Certains dérivés, pouvait‑on penser, présentaient des avantages semblables, mais la personne versée dans l'art ne pouvait prévoir lesquels et, même si le bon dérivé était choisi, il aurait fallu de longs tests pour établir s'il avait les qualités appropriées. Par conséquent, comme lord Hoffmann l'a souligné dans la décision Biogen, le brevet, pour avoir un caractère suffisant, doit comporter une divulgation habilitante touchant la portée globale de la revendication. [Non souligné dans l'original.]

 

[...]

 

Il existe une différence entre, d'une part, un mémoire descriptif qui exige que la personne versée dans l'art fasse preuve de compétence et d'application pour réaliser l'invention et, d'autre part, un mémoire descriptif qui demande à la personne versée dans l'art de faire des dépenses et des efforts pour tenter de vérifier si un produit donné possède les propriétés requises. Dans le premier cas, la personne versée dans l'art cherche à réaliser l'invention alors que dans le second, elle doit aller plus loin et effectuer des recherches pour vérifier comment doit être réalisée l'invention. Dans le second cas, on peut penser que le mémoire descriptif est insuffisant. [Non souligné dans l'original.]

 

(American Home Products, aux paragraphes 37 et 40.)

 

[224]       Lord Aldous a formulé ces observations dans la section intitulée [TRADUCTION] « Insuffisance », mais elles ont visiblement, à la simple lecture du texte, une portée plus large que celle de savoir si le mémoire descriptif divulgue une méthode de préparation. Selon mon interprétation de ces observations générales et raisonnables de lord Aldous, les principes exposés dans l'arrêt s'appliquent directement à la situation dont je suis saisie. Pareille interprétation de l'obligation de divulgation est également en parfaite conformité avec les principes plus larges de la divulgation exposés par la Cour suprême du Canada dans divers arrêts, entre autres dans Free World Trust c. Électro Santé Inc., 2000 CSC 66, [2000] 2 R.C.S. 1024 (Free World Trust), Consolboard, et l'arrêt AZT.

 

[225]       Dans l'hypothèse où le brevet 206 promet que certains composés revendiqués, mais pas tous, sont des agents antihypertenseurs possibles, il ne précise pas quels sont les composés du brevet qui posséderaient cette activité antihypertensive possible in vivo. Comme M. Horovitz l'a reconnu, le brevet 206 ne fournit aucun critère qui permettrait au lecteur versé dans l'art de déterminer quels composés sont des agents antihypertenseurs. En outre, comme je l'ai noté ci‑dessus, il n'y a aucune donnée sur l'activité in vitro ou in vivo dans le brevet 206. Ainsi, un lecteur versé dans l'art qui lirait le brevet ne pourrait pas déterminer quels sont les composés dont on dit qu'ils ont une activité antihypertensive sans [TRADUCTION] « faire des dépenses et des efforts pour tenter de vérifier si un produit donné possède les propriétés requises » (American Home Products, précité, au paragraphe 40).

 

[226]       Les demanderesses s'appuient énormément sur un concept appelé ADME pour faire valoir que le brevet 206 contient une promesse d'utilité à deux volets. L'ADME renvoie aux facteurs pharmacologiques suivants : l'absorption orale du composé (A), la distribution du composé (D), le métabolisme (M), et l'excrétion du composé ou de ses métabolites (E). Selon les demanderesses, la promesse du brevet prévoit l'utilité des composés divulgués comme inhibiteurs de l'ECA et, sous réserve de l'ADME, comme agents antihypertenseurs. Ainsi, le concept de l'ADME aide à déterminer si un inhibiteur donné de l'ECA pouvait réduire la pression artérielle chez les mammifères. Pourtant, ce principe n'est divulgué nulle part dans le mémoire descriptif du brevet 206. On aurait pu pallier l'absence de renseignements sur l'ADME dans le mémoire descriptif par l'inclusion de résultats de tests. Si les inventeurs avaient fourni des résultats de tests dans le mémoire descriptif, il se pourrait que la personne versée dans l'art qui lit le brevet puisse tirer des conclusions raisonnables à partir de ces renseignements. Pourtant, aucun résultat de test n'est présenté.

 

[227]       À la lumière de ce qui précède, le manque de renseignements dans le brevet 206 rend très difficile, voire impossible, à la personne versée dans l'art de décider, parmi les composés divulgués, ceux qui sont actifs et ceux qui sont inactifs. Par conséquent, si l'invention du brevet 206 comporte la promesse que certains des composés seront actifs comme antihypertenseurs, le brevet n'enseigne pas la nature et le fonctionnement de l'invention. Il n'y a pas de divulgation habilitante touchant la portée globale de l'invention revendiquée.

 

[228]       En conclusion, s'agissant de la question de la divulgation, je conclus que la divulgation du brevet 206 est inadéquate. Le brevet 206 ne divulgue ni les faits sous‑jacents (les données de tests) ni un raisonnement valable (par exemple, les considérations relatives à l'ADME et la théorie de l'espace). Le fondement factuel sous‑jacent et le raisonnement qui auraient servi d'assise à la prédiction alléguée par les inventeurs n'ont pas été divulgués.

 

D.        Conclusion sur la prédiction valable

[229]       Je reprends les mots du juge Binnie qui déclarait dans l'arrêt AZT, précité, au paragraphe 56 :

[...] Si un brevet qu'on a tenté d'étayer par une prédiction valable est par la suite contesté, la contestation réussira si, comme l'a affirmé le juge Pigeon dans l'arrêt Monsanto Co. c. Commissaire des brevets, [1979] 2 R.C.S. 1108, p. 1117, la prédiction n'était pas valable à la date de la demande ou si, indépendamment du caractère valable de la prédiction, « [i]l y a preuve de l'inutilité d'une partie du domaine visé ».

 

[230]       En l'espèce, les défenderesses ont contesté avec succès la prétention de prédiction valable des demanderesses; les défenderesses m'ont persuadée, selon la prépondérance de la preuve, que la prédiction de Schering, à la date de la demande (le 20 octobre 1981), n'était pas valable. Les demanderesses n'ont rempli aucune des trois conditions requises pour la prédiction valable, soit le fondement factuel, le raisonnement clair et la divulgation. Sur ce fondement, je conclus à l'invalidité des revendications 1, 2, 3, 6 et 12 au motif de l'absence de prédiction valable.

 

[231]       Compte tenu de cette conclusion, il n'est pas nécessaire d'examiner les autres motifs d'invalidité invoqués par les défenderesses. J'exprimerai néanmoins mon point de vue sur les autres arguments avancés par les défenderesses, en espérant qu'il soit utile.

 

X.        La prédiction valable relative à la confection

 

[232]       En plus de soutenir que les revendications en litige doivent être tenues pour invalides au motif de l'absence de prédiction valable de l'objet, Apotex fait aussi valoir que Schering n'avait pas de fondement valable pour prédire qu'elle serait en mesure de fabriquer et d'isoler chacun des stéréoisomères de la revendication 12. Cependant, si je devais trancher la question, je ferais d'abord remarquer que cet argument soulève deux difficultés graves. Premièrement, la règle de la prédiction valable ne va pas aussi loin que le propose Apotex; l'exigence relative à la suffisance prévue à la Loi sur les brevets protège plutôt les tiers à l'égard des brevets qui divulguent de manière insuffisante le mode de réalisation du brevet. Deuxième difficulté, la preuve établit que les composés de la revendication 12 pouvaient être fabriqués et isolés soit par les méthodes exposées à l'exemple 20, soit par des méthodes connues à la date de la demande au Canada.

 


A.        L'exigence de prédiction valable du mode de confection

[233]       Sans conteste, le titulaire du brevet doit divulguer une méthode de confection des composés qu'il a inventés. Selon l'alinéa 34(1)b) de la Loi sur les brevets, le titulaire du brevet est tenu, dans le mémoire descriptif, d'exposer le mode de confection ou d'utilisation du composé « dans des termes complets, clairs, concis et exacts qui permettent à toute personne versée dans l'art [...] de confectionner [...] ou utiliser l'objet de l'invention ». Il s'est élaboré une jurisprudence volumineuse à l'appui de l'exigence de suffisance (voir, par exemple, l'arrêt Consolboard, précité, à la page 517). La date pertinente pour établir la suffisance du mémoire descriptif est la date de publication du brevet. Le « marché » passé entre l'inventeur et le public n'existe qu'à partir de la date de délivrance du brevet. Avant cette date, l'inventeur possède des droits limités à l'égard de la protection de son invention et le public ne peut s'attendre à acquérir des droits en vertu du marché. Compte tenu de la nature du marché, il est logique d'apprécier la suffisance à la date de délivrance.

 

[234]       Dans les faits particuliers de l'espèce, la période qui va de la date de dépôt au Canada en octobre 1981 à la délivrance du brevet 206 en 2001 a été fertile en événements. En raison des procédures en cas de conflit, le brevet 206 a été délivré 20 ans seulement après la demande. Au cours de cette période, les progrès de la chimie, à l'égard tant des méthodes connues qu'au perfectionnement des matériels, ont rendu la synthèse et la séparation des composés de la revendication 12 viables sur une large échelle commerciale. Toute argumentation des défenderesses sur le caractère suffisant du mémoire descriptif en 2001 n'aurait aucune chance de succès. Pour éluder cette difficulté, Apotex, semble‑t‑il, a élaboré une argumentation nouvelle selon laquelle, en vertu de la règle de la prédiction valable, Schering était tenue, à la date de dépôt au Canada, de prédire valablement et de divulguer dans son mémoire descriptif des méthodes de confection et d'isolation de chacun des stéréoisomères de la revendication 12.

 

[235]       À mon avis, Apotex cherche seulement à esquiver la date pertinente pour l'appréciation de la suffisance.

 

[236]       Apotex raboute de petits morceaux de jurisprudence sur la prédiction valable pour étayer son argumentation. Cependant, à l'analyse de ces extraits, je ne puis trouver aucune décision qui justifie la proposition qu'avance maintenant Apotex.

 

[237]       Quoi qu'il en soit, même si l'on jugeait que cette règle s'applique, la preuve n'étaye pas la prétention d'Apotex. Comme je l'ai mentionné ci‑dessus (au paragraphe [93]), le mémoire descriptif du brevet 206 inclut, sans s'y limiter, la méthode exposée à l'exemple 20. Je débuterai par un examen des méthodes, outre la méthode de l'exemple 20, qui auraient pu être connues de la personne versée dans l'art le 20 octobre 1981 et utilisées pour effectuer la synthèse des composés de la revendication 12. Si je suis convaincue, selon la prépondérance de la preuve, que ces méthodes, voire une seule d'entre elles, pouvaient fonctionner, l'argumentation d'Apotex échouera, que la méthode de l'exemple 20 fonctionne ou non.

 

B.         Les autres méthodes de synthèse

[238]       Les principaux experts sur la question des méthodes connues dans le domaine le 20 octobre 1981 étaient M. Charette pour Sanofi et M. McClelland pour Apotex. On a demandé à M. Charette si une personne versée dans l'art aurait pu préparer les composés de la revendication 12 du brevet 206 en utilisant des méthodes connues dans le domaine, autres que celles de l'exemple 20, aux dates suivantes : le 23 octobre 1980, le 20 octobre 1981 et le 20 mars 2001. L'expert a décrit 15 autres modèles de méthodes de synthèse et a affirmé que toutes ces méthodes étaient [TRADUCTION] « basées sur des réactions bien établies dans les travaux publiés et connues avant 1980 ». Monsieur Charette s'est concentré sur la présentation des autres méthodes de synthèse pour les composés suivants décrits dans l'exemple 20A du brevet 206 :

Composés décrits dans l'exemple 20A

 

[239]       Il est généralement reconnu qu'une fois ces composés intermédiaires obtenus, les étapes à franchir pour produire les composés de la revendication 12 pouvaient l'être avec des méthodes connues, notamment la séparation. Monsieur McClelland a confirmé que les méthodes classiques de la chromatographie et de la cristallisation fractionnée étaient toutes deux connues comme des méthodes générales de séparation des diastéréoisomères. Il a également reconnu que les techniques de cristallisation fractionnée étaient connues en 1980, mais qu'il aurait été encore nécessaire de procéder par tâtonnement. Toutefois, M. McClelland était d'avis qu'aucune des 15 méthodes de préparation des intermédiaires nécessaires proposées par M. Charette n'était disponible à la personne versée dans l'art en 1981.

 

[240]       Toutes les méthodes décrites par M. Charette pouvaient être qualifiées [TRADUCTION] d'« exercices sur papier ». Pendant le contre-interrogatoire, M. Charette a reconnu qu'il n'avait réellement effectué aucune des synthèses qu'il avait conçues. Néanmoins, l'absence de tout élément de preuve sur l'utilisation de l'une ou l'autre des 15 méthodes, en 1980 ou en 1981, pour fabriquer les composés de la revendication 12 n'implique pas nécessairement qu'elles n'auraient pas fonctionné si on les avait essayées. Si une méthode proposée comporte un raisonnement valable et des étapes qui auraient été connues d'un chimiste sans imagination, mais versé dans l'art, je ne suis pas prête à la rejeter à titre de simple « exercice sur papier ». Tout bien considéré, le concept fondamental de la prédiction valable consiste à dire qu'une chose n'a pas été faite mais, qu'après une analyse plus poussée, on peut prévoir qu'elle fonctionnera de la façon prévue par le brevet. En général, j'ai conclu que les méthodes de M. Charette étaient bien expliquées et possédaient un fondement factuel raisonnable. Elles n'ont pas fait l'objet d'un contre‑interrogatoire, hormis quelques questions d'ordre général.

 

[241]       À la lumière de la preuve, je suis disposée à accepter, sans trancher, qu'on ne pouvait pas prédire de façon fiable que plusieurs des exemples proposés par M. Charette allaient fonctionner. J'ai rejeté les méthodes comportant des étapes visées par des brevets, ce qui indique qu'elles étaient inventives et, par conséquent, hors du champ des connaissances de la personne versée dans l'art. C'était aussi l'avis de M. McClelland et les demanderesses ne s'y sont pas opposées avec force. J'ai rejeté les méthodes suivantes :

 

·                    méthodes 1, 2 et 3 : synthèse de l'isomère cis à partir du cis‑octahydrocyclopenta[b]pyrrole, avec trois variantes possibles;

 

·                    méthodes 6 et 7 : synthèse de l'isomère cis à partir de la cyclopentanone;

 

·                    méthode 9 : synthèse de l'isomère cis à partir de la contraction du cycle;

 

·                    méthodes 10 et 11 : synthèse de l'isomère cis à partir de l'hydrogénation du pyrrole, en deux variantes;

 

·                    méthode 14 : synthèse de l'isomère trans à partir de la contraction du cycle;

 

·                    méthode 15 : synthèse de l'isomère trans à partir du trans‑octahydrocyclopenta[b]pyrrole.

 

[242]       Il reste les méthodes 4, 5, 8, 12 et 13. En ce qui concerne ces méthodes de synthèse proposées, je suis persuadée, suivant la prépondérance de la preuve, qu'on pouvait prédire qu'elles fonctionneraient.

 

[243]       L'une des critiques d'ordre général de M. McClelland à l'endroit des méthodes qui restaient est le fait qu'elles comportaient de nombreuses étapes. À mon avis, même si la synthèse est plus difficile, cela ne signifie pas qu'une personne de compétence ordinaire dans un laboratoire chimique n'aurait pas pu l'effectuer en faisant preuve d'une diligence et d'une motivation raisonnables. Les étudiants universitaires apprennent à effectuer des procédés en plusieurs étapes dans les cours de laboratoire de chimie dès la première année.

[244]       Parmi ces méthodes restantes, on peut donner en exemple la méthode 8 proposée par M. Charette : la synthèse de l'isomère cis à partir de cyclopentadiène. Monsieur Charette a fondé cette synthèse sur des méthodes connues dans les études publiées, dont la plupart remontent aux années 1960. La seule critique de la méthode 8 qui figure dans la déclaration écrite de M. McClelland est qu'il s'agit d'une [TRADUCTION] « séquence complexe à étapes multiples ». Il n'offre aucune autre explication pour justifier son opinion.

 

[245]       En plus de critiquer la multiplicité des étapes comprises dans les méthodes 4, 5, 12 et 13, M. McClelland a fait observer que ces méthodes faisaient appel à des procédés de fermeture de cycle [TRADUCTION] « analogues » au procédé revendiqué dans le brevet américain no 4 727 160 (le brevet américain 160). J'accepte l'argument de M. McClelland, à savoir que les méthodes 6 et 7, qui utilisent directement le nouveau procédé divulgué dans le brevet américain 160, seraient vraisemblablement moins connues de la personne versée dans l'art. Cependant, faute d'explication supplémentaire de la part de M. McClelland, je n'admets pas que chaque procédé susceptible d'être qualifié [TRADUCTION] d'« analogue » à un procédé breveté soit nouveau.

 

[246]       En somme, s'il est nécessaire de prédire de façon valable la fabrication des composés de la revendication 12, au moins cinq des méthodes décrites par M. Charette répondraient à cette exigence.

 

C.        L'exemple 20

[247]       De nombreux éléments de preuve ont été produits au sujet de l'exemple 20. Je fais d'abord observer que, compte tenu de ma conclusion au sujet des autres méthodes de confection des composés de la revendication 12, l'exemple 20 n'est pas déterminant. Même si l'exemple 20 ne produisait pas les résultats indiqués, il est plus probable qu'improbable que les composés de la revendication 12 puissent être fabriqués avec d'autres méthodes connues. Néanmoins, il peut être utile que j'examine brièvement les éléments de preuve sur ce point particulièrement litigieux.

 

[248]       J'ai exposé le texte intégral de l'exemple 20 au paragraphe [94] et je ne le reprendrai pas ici.

 

[249]       En bref, l'exemple 20 enseigne la préparation de huit stéréoisomères, dont le ramipril. J'ai reçu l'aide de divers experts qui ont essayé d'expliquer l'exemple 20 en termes plus accessibles. Monsieur Lautens a réduit le texte de l'exemple 20 aux schémas suivants :

Étape 1 : oxydation avec l'acétate de mercure

octahydrocyclopenta[b]pyrrole (« amine »)

1-Hexahydrocyclopenta[b]pyrrole (« ∆1-imine »)

 

 

Étape 2 : ajout du groupe cyano-

 

 

1-imine

2-cyano-octahydrocyclopenta[b]pyrrole (« nitrile »)

 

 

Étape 3 : hydrolyse

 

 

nitrile

acide octahydrocyclopenta[b]pyrrole 2-carboxylique (« acide carboxylique »)

 

 

Exemple 20A du brevet 206

 

[250]       Au cours de son témoignage, M. Fleming a fait remarquer que l'exemple 20 [TRADUCTION] « manquait sérieusement de détails expérimentaux ». Il a décrit le procédé de l'exemple 20 comme suit :

[TRADUCTION]

 

20A décrit la matière de départ en l'appelant simplement l'octahydrocyclopenta[b]pyrrole. On dit qu'il est préparé par réduction d'une matière de départ particulière et ensuite traité selon 18A.

 

Donc, on doit alors aller à 18A et y remplacer la matière de départ, ensuite passer à travers toutes les séquences avec cette nouvelle matière jusqu'à ce qu'on arrive à la fin, je suppose.

 

 

[251]       Monsieur Fleming a ensuite expliqué comment il comprenait les étapes de l'exemple 20. Ses étapes 2, 3 et 4 équivalent aux étapes 1, 2 et 3 de M. Lautens.

[TRADUCTION]

1.         La première étape est celle qui est mentionnée entre parenthèses dans 20A, préparé par réduction du 2-céto, ainsi le 2‑cétooctahydrocyclopenta[b]pyrrole est le composé à gauche, avec cette stéréochimie. Le produit est l'octahydrocyclopenta[b]pyrrole.

 

2.         L'étape suivante est bien entendu l'étape problématique, celle de l'oxydation avec l'acétate de mercure.

 

3.         Étape suivante, la flèche suivante? C'est l'ajout de HCN à la double liaison, effectué au moyen de KCN dans un solvant protique quelconque. Quel est le composé cible de l'étape 3? Je suppose qu'il s'agit du 2‑cyano-octahydrocyclopenta[b]pyrrole.

 

4.         Et la quatrième et dernière étape décrite ici? C'est un réactif avec le HCl. Cela doit être du HCl aqueux, pour obtenir la réaction prévue, donc probablement de l'acide chlorhydrique concentré. Chauffé signifie probablement à reflux et cela donne de l'acide carboxylique qui est l'acide octahydrocyclopenta[b]pyrrole-2-carboxylique.

 

 

[252]       Tous les experts ont convenu que l'étape la plus difficile est la réaction décrite par M. Bihovsky comme [TRADUCTION] « une oxydation du groupe amine (‑NH) de la matière de départ par l'agent Hg(OAc)2 pour former une imine », c'est‑à‑dire la réaction d'oxydation par l'agent au mercure décrite par M. Fleming à l'étape 2 de l'exemple 20.

 

[253]       Ce n'est pas le premier procès où l'exemple 20 est en cause. Le problème de l'exemple 20 a été soulevé à la fin des années 1980, dans une instance d'opposition à un brevet européen. Dans cette procédure, M. Roach, expert engagé par Schering, en collaboration avec M. Jerrold Meinwald, a réussi à suivre les instructions de l'exemple 20. En 2003, lors de la procédure sur l'avis de conformité au Canada, Mme Gabriela Mladenova, qui travaillait sous la direction de M. Lee‑Ruff, n'y est pas parvenue. En l'espèce, chaque partie a demandé à des experts de reproduire l'exemple 20. Chaque partie a été autorisée à assister aux expériences de l'autre.

 

[254]       Les parties ont soulevé des questions au sujet des expériences précédentes effectuées par M. Roach et Mme Mladenova. Par conséquent, je me concentrerai sur le travail expérimental de M. Lautens et de M. Bihovsky, puisque ces deux chimistes en synthèse organique très compétents ont été engagés pour les présentes actions. Monsieur Lautens a réussi à suivre l'exemple 20 tandis que M. Bihovsky a échoué. Ils ont préparé des déclarations écrites et ils ont pu être contre‑interrogés. Monsieur Lautens a été engagé pour le compte des demanderesses et M. Bihovsky pour le compte des défenderesses.

 

[255]       La décision prise par M. Bihovsky de filtrer le mélange initial pour enlever le précipité d'acétate de mercure avant l'ajout de sulfure d'hydrogène a fait l'objet d'un profond désaccord. Dans cette méthode, des solides jaunes qui avaient précipité pendant la réaction ont été enlevés par filtration. La question soulevée était de savoir si M. Bihovsky avait perdu le matériel désiré pendant la filtration. Dans l'article d'E. Farkas, E. R. Lavignino, et R. T. Rapala, Preparation of 3‑Dehydroeserpic Acid Lactone and Its Conversion to Reserpic Acid Lactone, Journal of Organic Chemistry (1957) 22, No. 10, 1261‑1263, les auteurs rapportent l'oxydation au mercure d'une amine tertiaire. Lorsque M. Fleming a examiné l'article de M. Farkas, il a déclaré qu'il [TRADUCTION] « n'était pas clair s'il y avait eu filtration ou non ». Compte tenu de cette ambiguïté, M. Fleming a exprimé l'opinion suivante : [TRADUCTION] « Je pense qu'un chimiste compétent pourrait très bien essayer les deux façons pour en voir le résultat [...] ». Monsieur Bihovsky n'a pas « essayé les deux façons ».

 

[256]       Outre la possibilité que l'imine désirée ait été éliminée, le fait que M. Bihovsky ait réalisé un seul essai de synthèse me préoccupe aussi. Si l'une ou l'autre des étapes était un tant soit peu erronée, ses résultats sont douteux. L'exemple le plus évident est l'étape de la filtration. Que serait‑il arrivé si M. Bihovsky avait compris l'ambiguïté de l'article de M. Farkas et avait effectué une deuxième expérience avec un procédé différent? Monsieur Bihovsky aurait‑il toujours été incapable de reproduire l'expérience s'il avait tenté l'oxydation à des concentrations plus élevées? Nous ne le saurons jamais.

 

[257]       À mon avis, la plupart des experts accepteraient sans réserve que la personne compétente doive procéder en partie par tâtonnement dans tout procédé expérimental. Par exemple, dans la discussion relative à la notion de séparation, M. Ward a dit :

[TRADUCTION]

 

Dans toute séparation, [...] dans tout essai de séparation, et cela m'est arrivé maintes et maintes fois dans ma carrière, il arrive parfois qu'on ait beaucoup de chance et qu'on choisisse du premier coup les conditions d'une séparation réussie; parfois on doit procéder longtemps par tâtonnement et il arrive même que je ne réussisse jamais. [Non souligné dans l'original.]

 

Je m'étonne qu'un expert de la trempe de M. Bihovsky n'ait pas poussé plus loin l'expérimentation.

 

[258]       Les travaux de M. Lautens ont aussi été critiqués. La critique la plus grave et la plus troublante des défenderesses porte sur l'influence indue qu'auraient exercée sur M. Lautens les travaux antérieurs de M. Roach. Monsieur Roach a dirigé les travaux de laboratoire menés en 1988, au cours desquels l'exemple 20 a été mis en oeuvre avec succès. Les défenderesses affirment en fait que M. Lautens avait un parti pris dans son approche de l'expérience. Toute attaque de l'objectivité d'un scientifique constitue une allégation grave. Après avoir examiné la déclaration écrite et le témoignage oral de M. Lautens, je suis convaincue que l'allégation n'est pas fondée. Dans l'ensemble de son témoignage, M. Lautens a fait preuve de toutes les qualités d'un scientifique objectif et compétent. Je ne suis aucunement persuadée que l'accès de M. Lautens aux travaux antérieurs de M. Roach a incité le premier à en venir à un résultat particulier. J'ajoute foi à M. Lautens quand il déclare :

[TRADUCTION]

 

[...] nous ne cherchions pas non plus à reproduire les résultats de qui que ce soit spécifiquement. Nous nous demandions plutôt si nous pouvions effectuer une réaction à l'aide des renseignements qui auraient été disponibles.

 

[259]       La preuve dont je suis saisie établit sans équivoque que la mise en oeuvre de l'exemple 20 fait appel à des procédés chimiques complexes. Toutefois, la seule difficulté de l'exercice ne rend pas l'exemple 20 irréalisable à la date pertinente. Pour ce qui est de la conduite de l'expérimentation, la preuve de M. Lautens me semble préférable. Par conséquent, je conclus que les défenderesses ne m'ont pas persuadée que l'exemple 20 n'aurait pas fonctionné s'il avait été réalisé par une personne compétente en octobre 1981.

 


XI.       L'évidence

A.        Les principes généraux

[260]       La définition du terme « invention » qui figure à l'article 2 de la Loi sur les brevets comprend notamment toute « composition de matières [...] présentant le caractère de la nouveauté et de l'utilité ». Apotex et Novopharm ont soutenu que les revendications du brevet 206 n'établissent pas l'utilité. À titre subsidiaire, elles font valoir que les revendications du brevet 206 étaient évidentes à la date pertinente, dans la mesure où elles ne présentaient pas le caractère de la « nouveauté ». En résumé, elles soutiennent que si la Cour conclut qu'il était possible de faire une prédiction valable à partir de l'état de la technique, ce même état de la technique rendrait alors les revendications évidentes aux yeux de la personne versée dans l'art.

 

[261]       La Cour suprême du Canada a récemment éclairci le critère de l'évidence dans l'arrêt Apotex Inc. c. Sanofi‑Synthelabo Canada Inc., 2008 CSC 61, [2008] 3 R.C.S. 265 (Sanofi‑Synthelabo). Le juge Rothstein, qui s'exprimait au nom de la Cour à l'unanimité, a adopté une démarche à quatre volets (au paragraphe 67) :

(1)        a)         Identifier la « personne versée dans l'art »;

b)         Déterminer les connaissances générales courantes pertinentes de cette personne;

 

(2)        Définir l'idée originale de la revendication en cause, au besoin par voie d'interprétation;

 

(3)        Recenser les différences, s'il en est, entre ce qui ferait partie de « l'état de la technique » et l'idée originale qui sous‑tend la revendication ou son interprétation;

 

(4)        Abstraction faite de toute connaissance de l'invention revendiquée, ces différences constituent‑elles des étapes évidentes pour la personne versée dans l'art ou dénotent‑elles quelque inventivité?

 

[262]       Lors de son analyse, le juge Rothstein a déclaré que la notion couramment appelée l'« essai allant de soi », issue de la jurisprudence du Royaume‑Uni, doit être abordée avec prudence et en donnant à « allant de soi » le sens de « très clair » ou « allant plus ou moins de soi ».

[...] J'estime que la notion d'« essai allant de soi » n'est applicable que lorsqu'il est très clair ou, pour reprendre les termes employés par le lord juge Jacob, qu'il est plus ou moins évident, que l'essai sera fructueux.

 

Pour conclure qu'une invention résulte d'un « essai allant de soi », le tribunal doit être convaincu selon la prépondérance des probabilités qu'il allait plus ou moins de soi de tenter d'arriver à l'invention. La seule possibilité d'obtenir quelque chose ne suffit pas.

 

(Arrêt Sanofi-Synthelabo, précité, aux paragraphes 65 et 66.)

 

[263]       Lorsque l'application du critère de l'« essai allant de soi » est justifiée, le juge Rothstein a suggéré une liste non exhaustive de facteurs qui peuvent s'appliquer (arrêt Sanofi‑Synthelabo, précité, aux paragraphes 69 à 71) :

1.         Est‑il plus ou moins évident que l'essai sera fructueux? Existe‑t‑il un nombre déterminé de solutions prévisibles connues des personnes versées dans l'art?

 

2.         Quels efforts — leur nature et leur ampleur — sont requis pour réaliser l'invention? Les essais sont‑ils courants ou l'expérimentation est‑elle longue et ardue de telle sorte que les essais ne peuvent être qualifiés de courants?

 

3.         L'antériorité fournit‑elle un motif de rechercher la solution au problème qui sous‑tend le brevet?

 

4.         Quelles mesures concrètes ont mené à l'invention, notamment le temps, les fonds et les efforts qui y ont été consacrés?

 

 

[264]       Dans un arrêt récent, Apotex Inc. c. Pfizer Canada Inc., 2009 CAF 8 (l'« arrêt sildénafil »), au paragraphe 29, la Cour d'appel fédérale a donné d'autres indications sur la notion de l'« essai allant de soi ».

Le critère reconnu est celui de l'« essai allant de soi », où l'expression « allant de soi » signifie « très clair ». Suivant ce critère, une invention n'est pas rendue évidente par le fait que l'état de la technique aurait éveillé la personne versée dans l'art à la possibilité que quelque chose valait d'être tenté. L'invention doit aller plus ou moins de soi. [Non souligné dans l'original.]

 

 

[265]       Comme toutes les parties l'ont noté, il existe des distinctions importantes entre les critères de l'évidence et de l'utilité. L'évidence n'est pas simplement le revers de la prédiction valable. Le fait de conclure qu'une invention repose sur une prédiction valable n'entraîne pas nécessairement l'évidence de l'invention. Dans ses observations écrites finales, Schering a résumé très utilement les distinctions sous la forme d'un tableau, que nous reproduisons ci‑dessous :

[TRADUCTION]

 

Prédiction valable

Évidence

Qui est la personne pertinente?

L'inventeur

La personne normalement versée dans l'art

Les capacités de la personne pertinente

Une personne par définition « inventive »

Une personne ordinaire, sans imagination; non « inventive »

Les renseignements qui peuvent être pris en compte

Les connaissances générales courantes, les travaux privés antérieurs

Les connaissances générales courantes devenues publiques avant la date de l'invention

Le degré de certitude exigé

Plus qu'un coup de chance, mais la certitude n'est pas exigée; une prédiction raisonnable

Il doit être très clair que cela fonctionnerait

 

[266]       À la lumière de ces principes, j'examinerai maintenant les questions dont je suis saisie.

 


B.         L'invention

[267]       Comme l'a dit le juge Rothstein dans l'arrêt Sanofi‑Synthelabo, l'évidence de l'« invention » doit s'apprécier. Il me semble toutefois que l'évaluation doit être axée sur l'« idée originale de la revendication en cause » plutôt que sur l'« invention » plus large qui peut être décrite dans le mémoire descriptif du brevet. Autrement, on aboutirait au résultat illogique qu'une conclusion d'évidence pourrait invalider toutes les revendications d'un brevet et non seulement les revendications en litige. Par conséquent, je commencerai mon analyse en posant comme principe que l'« invention » ou l'« idée originale » à examiner se limite aux « inventions » identifiées dans les revendications 1, 2, 3, 6 et 12.

 

[268]       Comme les revendications 1, 2, 3 et 6 incluent les huit composés de la revendication 12, il s'ensuit qu'une conclusion d'évidence à l'égard de la revendication 12 entraînera nécessairement l'évidence des revendications 1, 2, 3 et 6. Une conclusion d'évidence, même à l'égard d'un seul des composés de la revendication 12, invalidera tous les composés de la revendication 12.

 

C.        La date de l'invention

[269]       Avant de mettre en oeuvre la démarche enseignée par le juge Rothstein dans l'arrêt Sanofi‑Synthelabo, une question préliminaire découle de l'argumentation dont je suis saisie. Quelle est la date pertinente pour l'examen de la question de l'évidence?

 


[270]       L'évidence doit être appréciée à la date de l'invention. En l'absence de preuve d'une date d'invention antérieure, la date d'invention est présumée être la date de priorité la plus reculée (voir, par exemple, la décision Pfizer (C.F.), précitée, au paragraphe 89). Dans le cas où une partie souhaite revendiquer une date antérieure, il lui incombe d'établir que la date d'invention était différente de la date de priorité la plus reculée (Westaim Corp. c. Monnaie royale canadienne, 2002 CFPI 1217, au paragraphe 87). En l'espèce, les parties ne s'entendent pas sur la date d'invention. Apotex et Novopharm affirment qu'elle devrait être le 23 octobre 1980, la date de priorité la plus reculée correspondant au dépôt de la demande de brevet aux États-Unis. Schering fait valoir que la date d'invention devrait être la date beaucoup plus ancienne du 20 juin 1980, soit la date où Mme Smith avait couché sur papier son invention. Sanofi ne présente pas d'observations sur la question. À titre subsidiaire, soutient Schering, la date d'invention devrait être la mi‑août 1980, moment où Schering a fabriqué et mis à l'essai les premiers composés de l'invention.

 

[271]       La date d'invention est importante. Du 20 juin 1980 au 23 octobre 1980, un certain nombre de demandes de brevets et de publications liées aux inhibiteurs de l'ECA ont été rendues publiques. La question de savoir si ces éléments de l'état de la technique ont précédé ou suivi l'invention de Mme Smith est directement pertinente pour l'évidence. Si ces éléments de l'état de la technique sont postérieurs à l'invention, ils ne peuvent pas être considérés comme faisant partie de l'« état de la technique » pour l'appréciation de l'évidence. Toutefois, s'ils sont antérieurs à l'invention, on doit alors se demander s'ils auraient pu mener la personne versée dans l'art à l'invention revendiquée par Schering dans son brevet 206.

 

[272]       Il existe une abondante jurisprudence sur la question de la date d'invention. La Cour suprême du Canada a formulé un premier énoncé du critère applicable dans l'arrêt Christiani c. Rice, [1930] R.C.S. 443, où le juge Rinfret a fait sienne la formulation du lord chancelier (le vicomte Cave) dans l'arrêt Permutit Company c. Borrowman (1926), 43 R.P.C. 356, à la page 359 :

[TRADUCTION]

 

Il ne suffit pas que quelqu'un dise qu'une idée lui trottait dans la tête; il faut à tout le moins qu'il lui ait donné une forme définie et concrète pour qu'on puisse dire qu'il a inventé un procédé.

 

[273]       Plus récemment, le juge Binnie a déclaré dans l'arrêt AZT, précité, au paragraphe 53 :

Glaxo/Wellcome affirme que l'invention était complète le 6 février 1985, date à laquelle on avait fait circuler à l'intérieur de l'entreprise l'avant‑projet de demande de brevet. Elle soutient en l'espèce, comme elle l'a fait aux États‑Unis, que la description écrite cernait suffisamment le médicament et sa nouvelle utilisation pour donner à l'invention une « forme définie et pratique ». La description indiquait aux personnes versées dans l'art la façon dont l'invention pouvait être mise en pratique. Or, là n'est pas la question. Le 6 février 1985, il s'agissait non pas de savoir si l'invention pouvait être mise en pratique ni comment elle pouvait l'être, mais plutôt si l'AZT agissait sur le VIH comme on le prétendait; en d'autres termes, y avait‑il, le 6 février 1985, une invention au sens de l'art. 2 de la Loi sur les brevets?

 

[274]       Pour résumer la façon dont je comprends la date d'invention, je dirai qu'elle est la date à laquelle l'inventeur est en mesure d'établir trois choses :

1.         l'invention est identifiée;

2.         l'invention a été couchée par écrit;

3.         l'invention est « pratique » en ce sens qu'elle accomplira ce qui est revendiqué; autrement dit, elle aura une utilité.

 

[275]       La question dont je suis saisie est une question de fait. Le 20 juin 1980 ou vers cette date, les scientifiques de Schering avaient‑ils identifié et couché par écrit une invention dont on pouvait s'attendre qu'elle ait une utilité pratique comme inhibiteur de l'ECA et, pouvait‑on prétendre, comme agent antihypertenseur? À mon avis, ils ne l'avaient pas fait. J'en suis venue à cette conclusion pour diverses raisons.

 

[276]       La principale difficulté que présente à mes yeux la position de Schering est le peu d'éléments de preuve justifiant l'existence d'une invention le 20 juin 1980. La preuve la plus directe liant la date du 20 juin 1980 à celle de l'invention est le registre de divulgation de Mme Smith. Comme je l'ai déjà noté, Mme Smith a d'abord inscrit dans son registre de divulgation, le 20 juin 1980, une « conception » pour les bicycles sur le squelette de l'énalapril. À mon avis, cette preuve ne communiquait guère plus de renseignements qu'une simple ébauche d'une structure chimique proposée.

 

[277]       La preuve établit clairement que le 20 juin, pas un seul composé du genre des composés inscrits dans le registre de divulgation de Mme Smith ou revendiqués par la suite dans les revendications en litige n'avait été fabriqué ou mis à l'essai.

 

[278]       De plus, Mme Smith a décrit le contenu de son registre de divulgation dans les termes suivants :

[TRADUCTION]

 

Q.        Et sur ces deux pages, qu'est-ce que vous essayiez de divulguer ou, selon vous, qu'est‑ce que vous divulguiez sur ces deux pages?

 

R.         Ce que nous divulguions, c'étaient nos — nos plans, notre hypothèse sur la fabrication des prolines substituées 4,4 et des composés spiro apparentés. Je vais les appeler les composés à pont de proline montrés par 3 et 4, et je vais les attacher à ce que j'appelle la chaîne latérale de Merck. [...]

 

[279]       Madame Smith avait une idée de ce qui pouvait appuyer son hypothèse. Lors de son témoignage oral, elle a décrit son « invention » dans les termes suivants :

[TRADUCTION]

 

Q.        Ainsi, qu'est‑ce qui vous a amenée à considérer ces diverses structures que j'appellerai les cycles fusionnés?

 

R.         [Nous] avons envisagé ces cycles fusionnés après avoir fabriqué l'analogue du captopril, où le perhydroindole est à la place de la proline. Les résultats ainsi obtenus pour l'inhibition de l'ECA in vitro paraissaient très prometteurs; les composés de ce type devraient être aussi actifs ou plus actifs que l'analogue du captopril que nous avions préparé. Et si nous utilisions la chaîne latérale de Merck, ils devraient aussi afficher une activité aussi bonne ou meilleure que celle du composé de Merck, auquel je ferai référence comme étant l'énalapril.

 

 

[280]       Cette déclaration fournit un certain raisonnement sous‑jacent à l'idée de Mme Smith, mais ce raisonnement n'atteint pas, à mon avis, le niveau d'une « invention ».

 

[281]       Lorsqu'on a interrogé l'expert des demanderesses, M. Bartlett, sur le contenu du registre de divulgation de Mme Smith, il a dit que le 20 juin 1980, Mme Smith [TRADUCTION] « supposait que ces composés seraient actifs comme inhibiteurs de l'ECA ». Plus tard au cours du même échange avec l'avocat d'Apotex, M. Bartlett a déclaré :

[TRADUCTION]

 

Q.        Par conséquent, décririez‑vous ce qu'elle a écrit dans ces pages comme une sorte d'expérience de la pensée?

 

R.         Dans le contexte de ce que j'ai répondu, je pense avoir dit oui, il n'y a eu aucune application expérimentale des réactions qu'elle a inscrites qui n'avait pas été réalisée auparavant.

 

 

[282]       J'estime qu'il y a une grande différence entre une invention et des écrits qualifiés [TRADUCTION] d'« expérience de la pensée ». Je crois qu'il vaut mieux dire que le 20 juin 1980, il n'y avait pas suffisamment de renseignements pour caractériser d'« invention » le contenu du registre de Mme Smith. Madame Smith avait fait l'hypothèse qu'une catégorie immense de composés pouvait avoir des propriétés utiles. Elle avait une idée qui, peut‑on prétendre, était inventive. C'est tout.

 

[283]       Quant à la date de la mi‑août 1980, des éléments de preuve supplémentaires établissent que certains des composés avaient été fabriqués et avaient fait l'objet d'essais. À cette date, Schering avait en effet fabriqué et mis à l'essai deux composés à bicycles liés à une chaîne latérale ou un squelette d'énalapril (SCH 31309 et SCH 31335). En outre, je fais également observer que dans les procédures en cas de conflit, le commissaire aux brevets avait décidé que le 8 août 1980 était la date d'invention d'au moins l'une des revendications du brevet 206. Cet élément a de l'importance étant donné que le commissaire était chargé de décider qui était le premier inventeur d'un certain nombre de composés. Il devait spécifiquement identifier la date de l'invention et il n'a pas décidé que le 20 juin 1980 était la date de l'invention de Schering. Néanmoins, en l'espèce, je suis saisie de peu d'éléments de preuve qui me permettraient de décider si la conclusion du commissaire concernant la date d'invention du 8 août 1980 était raisonnable. Par conséquent, je conclus que la décision du commissaire à ce sujet est peu utile.

 

[284]       Apotex fait également valoir que Schering est empêchée d'alléguer une date d'invention antérieure à la date de priorité la plus reculée, car elle ne l'a pas plaidé dans ses actes de procédure. Apotex a soutenu dans sa défense et demande reconventionnelle, aux paragraphes 45 et 46, que l'objet des revendications était évident à la lumière des connaissances générales courantes le 23 octobre 1980 ou le 20 octobre 1981. Elle n'a pas formulé d'allégation générale sur l'évidence des revendications; elle a plutôt fait mention de deux dates précises. En réponse, Sanofi et Schering ont toutes les deux opposé une simple dénégation, sans mention d'autre date. Au paragraphe 37 de sa réponse et défense reconventionnelle, Schering dit :

[TRADUCTION]

 

Schering nie les allégations aux paragraphes 45 à 51, soit que les revendications du 206 sont invalides parce que l'invention revendiquée et divulguée alléguée était évidente [...]

 

 

[285]       Schering, dans sa réponse à cet argument portant sur l'insuffisance des actes de procédure, soutient qu'Apotex était parfaitement au courant que Schering s'appuyait sur la date d'invention du 20 juin 1980. De plus, note Schering, Novopharm, dans sa défense et demande reconventionnelle, au paragraphe 65, fait seulement référence à une date parmi [TRADUCTION] « la date d'invention, le 23 octobre 1980 et le 20 octobre 1981 ».

 

[286]       Je partage l'opinion d'Apotex. La question de la date d'invention n'est pas un détail sans importance. La date d'invention crée le cadre où s'inscrit le critère de l'évidence qui, par la suite, peut invalider le brevet. Le défaut de faire valoir expressément dans la réponse que Schering s'appuyait sur une date d'invention antérieure à celle qu'affirmait Apotex dans ses actes de procédure induit en erreur, à mon avis. Le fait qu'au cours de l'interrogatoire préalable, des questions ont été posées et des réponses ont été obtenues qui faisaient mention de la date du 20 juin 1980 ne donne pas à Apotex la connaissance des faits sur lesquels se fonde maintenant Schering pour répondre à l'allégation d'évidence de l'objet du brevet. Je conclus donc que Schering est empêchée d'alléguer une autre date d'invention que le 23 octobre 1980, à tout le moins à l'encontre d'Apotex.

 

[287]       Pour conclure sur cette question, quoique la chose ne soit pas évidente, il vaut mieux dire que la date de l'invention n'était ni le 20 juin 1980 ni le 8 août 1980. Par conséquent, j'examinerai la question de l'évidence à la date de priorité la plus reculée, soit le 23 octobre 1980.

 

D.        L'application du critère de l'évidence de l'arrêt Sanofi-Synthelabo

[288]       Je passe maintenant à l'analyse à quatre volets qu'expose le juge Rothstein dans l'arrêt Sanofi-Synthelabo, précité.

 

(1)        Identifier la « personne versée dans l'art »

[289]       Les compétences de la personne versée dans l'art sont exposées ci‑dessus au paragraphe [85]; les parties s'entendent sur ce point. Cette personne serait titulaire d'une maîtrise ou d'un doctorat en chimie organique de synthèse, en chimie médicinale, en pharmacologie ou dans un autre domaine de la biochimie ou de la biologie et posséderait au moins quelques années d'expérience dans l'industrie ou en milieu universitaire.

 

(2)        Déterminer les connaissances générales courantes pertinentes

[290]       Le prochain point à examiner consiste à définir les « connaissances générales courantes » que posséderait la personne versée dans l'art à la date pertinente. Il est certain que je dois prendre en compte exclusivement les renseignements qui sont dans le domaine public.

 

[291]       À mon avis, il faut prendre en considération les cinq ensembles de travaux suivants. Il est intéressant de remarquer que Sanofi, dans son argumentation finale, donne une liste utile des éléments de « l'état de la technique » qui les comprend tous.

 

[292]       Premièrement, les travaux de Squibb, divulgués dans un ensemble d'articles scientifiques qui sont importants pour les raisons présentées ci‑dessous, feraient partie des connaissances générales courantes :

 

a)         Ondetti et al., Design of Specific Inhibitors of Angiotensin-Converting Enzyme: New Class of Orally Active Antihypertensive Agents, Science (1977) 196, No. 4288, 441‑444; Cushman et al., Design of Potent Competitive Inhibitors of Angiotensin-Converting Enzyme. Carboxyalkanoyl and Mercaptoalkanoyl Amino Acids, Biochemistry


(1977) 16, No. 25, 5485‑5491. Dans leur ensemble, ces articles enseignaient ce qui suit :

 

¾                le modèle Cushman‑Ondetti, dont il a déjà été question dans les présents motifs, qui permettait la conception d'inhibiteurs possibles de l'ECA;

 

¾                la stéréochimie privilégiée pour les composés de la série du captopril. Les articles indiquaient que la configuration S est préférable à la configuration R pour la stéréochimie du groupe carboxy de la proline. Ils établissaient aussi que la stéréochimie du groupe méthyle dans la chaîne latérale a également de l'importance (elle devait adopter la configuration S);

 

b)         Cushman et al., Development of Specific Inhibitors of Angiotensin I Converting Enzymes (kininase II), Federal Proceedings (1979) 38, No. 13, 2778‑2782, à la page 2780, qui perfectionnait la théorie apportée par le modèle Cushman‑Ondetti sur la façon dont les inhibiteurs des peptides se lient au site actif de l'ECA.

 


[293]       Deuxièmement, la personne versée dans l'art examinerait aussi le travail accompli par Merck sur l'énalapril. Plus précisément, le brevet EP 401 de Merck (publié le 25 juin 1980) et la divulgation de Merck au congrès de Troy le 18 juin 1980 étaient importants pour les raisons suivantes :

 

·                    ils divulguaient le composé énalapril;

 

·                    ils confirmaient les travaux de Squibb et privilégiaient aussi la stéréochimie S aux trois centres chiraux de la molécule de classe énalaprilat;

 

·                    ils divulguaient que l'acide pipécolique (un analogue de l'énalapril ayant un anneau à 6 atomes) pouvait être utilisé à la place de la proline sur le squelette énalapril.

 

[294]       Troisièmement, la personne dotée des compétences usuelles dans l'art aurait connu la publication de MM. Fisher et Ryan intitulée Superactive Inhibitors of Angiotensin Converting Enzyme: Analogs of BPP9a containing dehydroproline, FEBS Letters (1979) 107, No. 2, 273‑276 (« Fisher et Ryan »), qui suggérait qu'il y aurait peut‑être un avantage, pour ce qui est de la puissance, à donner au cycle proline à l'extrémité C‑terminale une conformation plus rigide, plutôt que plus souple.

 


[295]       Quatrièmement, la personne versée dans l'art est censée être au courant des demandes de brevet déposées dans le même domaine de recherche. En faisant spécifiquement référence à la fin des années 1970 et au début des années 1980, M. Patchett a déclaré que [TRADUCTION] « les groupes essayaient de suivre tout ce qui était publié, notamment en matière de brevets ». En outre, M. Nelson a convenu que les chercheurs seraient très vraisemblablement à la recherche d'un médicament qui n'avait pas déjà été revendiqué ou breveté. Les défenderesses soulignent un certain nombre de demandes de brevets relatifs aux inhibiteurs de l'ECA, qui divulguent que des groupes autres que la proline pouvaient être utilisés pour produire des composés inhibiteurs de l'ECA même si la proline était la tête polaire la plus courante. Les demandes les plus importantes, publiées avant le 8 août 1980 à l'exception d'une, sont les suivantes :

 

·                    le brevet américain no 4 046 889 (publié le 6 septembre 1977), le brevet américain no 4 052 511 (publié le 4 octobre 1977), le brevet américain no 4 105 776 (publié le 8 août 1978) et le brevet EP 401, qui enseignaient que le groupe proline à l'extrémité C‑terminale (cycle à 5 atomes) pouvait être remplacé par un groupe acide 2‑S pipécolique (cycle à 6 atomes);

 

·                    le brevet américain no 4 129 566 (publié le 12 décembre 1978), le brevet américain no 4 154 942 (publié le 15 mai 1979), le brevet américain no 4 156 084 (publié le 22 mai 1979) et le brevet EP 401 (25 juin 1980), qui divulguent que la proline pouvait être remplacée par la déhydroproline, cycle insaturé à 5 atomes, ou un acide déhydropipécolique, cycle insaturé à 6 atomes;

 

·                    le brevet britannique no 2 000 508 (publié le 10 janvier 1979), qui divulgue que la proline peut être remplacée par des dérivés de la thiazolidine;

 

·                    la demande de brevet britannique no 2 018 248 (publiée le 17 octobre 1979), qui divulgue une série d'acides thiazolidinecarboxyliques analogues du captopril où on a utilisé des substituants volumineux attachés au cycle de la thiazolidine;

 

·                    la demande de brevet européen no 0.012 845 (publiée le 9 juillet 1980) (« Tanabe »), qui divulgue des inhibiteurs de l'ECA avec une tétrahydroisoquinoléine (THIQ) en tête polaire;

 

·                    la demande de brevet britannique no 2 039 478 (publiée le 13 août 1980), qui divulgue une série d'analogues du captopril où le groupe proline a été remplacé par un groupe bicyclique de type spiro.

 

[296]       Cinquièmement, les connaissances de l'époque comprenaient une série de travaux qui enseignaient que le site actif de l'ECA avait un volume suffisant pour accueillir des groupes plus volumineux que le cycle proline, notamment des bicycles. Les publications les plus importantes et leurs enseignements sont les suivants :

 

·                    Funae Y, et al., Effects of N-mercaptoacylamino acids on inhibition of angiotensin I converting enzyme, Japanese Journal of Pharmacology (1978) 28, No. 6, 925‑927; Mita I, et al., New sulfhydryl compounds with potent antihypertensive activities, Chemical & Pharmaceutical Bulletin (1978) 26, No. 4, 1333‑1335; Iso T, et al., Pharmacological studies on SA 446, a new angiotensin I-converting enzyme inhibitor, Japanese Journal of Pharmacology (1979) 30, Supp: 136P, qui divulguent l'activité d'inhibition de l'ECA des analogues de la thiazolidine avec des résidus terminaux plus grands que la proline;

 

·                    Holmquist B et Vallee BL, Metal-coordinating substrate analogs as inhibitors of metalloenzymes, Proceedings of the National Academy of Sciences of the United States of America (1979) 76, No. 1, 6216‑6220, qui étudie l'interaction des peptides coordonnateurs d'ions métalliques ayant un groupe sulfhydryle à l'extrémité N‑terminale avec l'ECA;

 

·                    Iso T, et al., Potentiating mechanism of bradykinin action on smooth muscle by sulfhydryl compounds, European Journal of Pharmacology (1979) 54, No. 3, 303‑305, qui enseigne l'activité d'inhibition de l'ECA des composés avec des résidus terminaux plus grands que la proline ou la thiazolidine (comme le tryptophane N‑thioacétyle, la tyrosine et les dérivés de la dihydroxyphénylalanine (DOPA));

 


·                    Cheung et al., Binding of Peptide Substrates and Inhibitors of Angiotensin-Converting Enzyme, J. Biological Chemistry (1980) 255, No. 2, 401‑407, publié le 25 janvier 1980, qui enseigne l'activité des acides aminés tryptophane, phénylalanine et tyrosine, molécules plus grandes que la proline.

 

[297]       En termes très généraux, il entrait dans le champ des connaissances générales pertinentes de la personne versée dans l'art, le 8 août 1980, et plus encore le 23 octobre 1980, que la proline du captopril et de l'énalapril pouvait être remplacée par des structures plus grandes et même par des structures à cycle fusionné. En outre, d'après l'article de MM. Fisher et Ryan, la personne versée dans l'art saurait qu'il serait peut‑être avantageux de rendre toute variante du cycle proline à l'extrémité C‑terminale plus rigide plutôt que plus flexible.

 

(3)        Définir l'idée originale

[298]       La prochaine étape qu'enseigne l'arrêt Sanofi-Synthelabo est de définir l'idée originale de la revendication visée. À mon avis, l'idée originale alléguée de la revendication 12 est la combinaison du squelette de l'énalapril avec un groupe bicyclique 5,5 à l'extrémité C‑terminale, à la place du cycle proline de l'énalapril.

 

(4)        Recenser les différences entre l'« état de la technique » et l'idée originale

[299]       L'étape suivante dans la démarche d'examen de l'évidence est de recenser les différences, s'il en est, entre les connaissances générales pertinentes de la personne versée dans l'art — l'« état de la technique » — et l'idée originale.

 

[300]       Comme Apotex l'a reconnu dans son argumentation écrite finale, [TRADUCTION] « la différence entre l'état de la technique en octobre 1980 et l'idée originale était que le premier n'avait pas divulgué tous les groupes bicycliques des revendications visées et n'avait divulgué aucun groupe bicyclique sur le squelette de l'énalapril ». Que l'on utilise la date d'octobre 1980 ou d'août 1980, je suis d'accord avec Apotex.

 

(5)        Les différences constituent‑elles des étapes évidentes?

[301]       L'étape critique de l'analyse est de savoir si cette différence, c'est‑à‑dire la présence d'un bicycle 5,5 plutôt qu'un autre groupe sur le squelette de l'énalapril, aurait dû être évidente.

 

[302]       Pour mettre en contexte les allégations d'évidence (et de prédiction valable), il faut apprécier l'état de la technique à différentes dates. Dans son argumentation écrite, Sanofi fournit une longue liste des éléments qu'elle décrit comme étant [TRADUCTION] l'« état de la technique ». De l'avis de Sanofi, [TRADUCTION] « pris dans son ensemble, l'état de la technique établit l'inventivité et fournit des données qui appuient la prédiction valable de Schering (notamment quand elle est associée aux travaux de Schering) ». Toutefois, sur la question de l'évidence, Sanofi soutient que l'état de la technique communique un [TRADUCTION] « grand nombre de choix » et que [TRADUCTION] « c'est après coup seulement qu'on peut suivre un sentier dans la forêt de la technique antérieure et arriver à un brevet donné ».

 

[303]       Comme on le sait, le développement de nouveaux inhibiteurs de l'ECA brevetables avait suscité beaucoup d'intérêt. Ainsi, en octobre 1980, la personne versée dans l'art aurait été très motivée à l'égard de la découverte de nouveaux inhibiteurs de l'ECA. Elle aurait sans aucun doute examiné toutes les publications sur l'inhibition de l'ECA. Dans leur argumentation sur la prédiction valable, les demanderesses renvoient à de nombreux éléments de l'état de la technique pour appuyer la prédiction valable. Si les scientifiques de Schering ont examiné ces renseignements, les personnes versées dans l'art ont également pu y avoir accès et les ont vraisemblablement consultés elles aussi. La question est de savoir si la personne fictive versée dans l'art, ayant examiné le contenu de l'état de la technique, aurait pu penser qu'un bicycle 5,5 sur le squelette de l'énalapril constituait un « essai allant de soi ».

 

[304]       Je suis d'accord avec les demanderesses que la liste des éléments de l'état de la technique est longue. Selon ce que je comprends, l'expression « connaissances générales » ne correspond pas vraiment à la « forêt de la technique antérieure » ou à la liste des documents, des publications et des demandes de brevets. Elle s'entend plutôt des connaissances qui se dégagent de cet état de la technique et de la question de savoir si ces connaissances sont généralement connues. Quand on examine l'état de la technique invoqué par les parties, il s'en dégage clairement des thèmes généraux susceptibles de retenir l'attention de la personne versée dans l'art. Tous les éléments de l'état de la technique auxquels font référence les défenderesses et leurs experts appartiennent au domaine de l'inhibition de l'ECA. Ce n'était pas le cas dans l'affaire Servier, précitée, où une partie se rapportait à des recherches et à du développement non liés à l'ECA. En l'espèce, on ne demanderait pas à la personne versée dans l'art de sortir du domaine de l'inhibition de l'ECA pour évaluer les renseignements décrits par les parties.

 

[305]       Le premier concept ou thème évident est le squelette de l'énalapril. On ne conteste pas, je pense, que la personne versée dans l'art aurait connu et été en mesure de comprendre les répercussions de la divulgation des scientifiques de Merck au congrès de Troy, étoffées par les publications subséquentes. Les divulgations du congrès de Troy et l'évolution ultérieure de la technique ont identifié l'énalapril comme la nouvelle norme dans la recherche sur l'inhibition de l'ECA. Étant donné l'enthousiasme soulevé par la divulgation de l'énalapril, je suis d'accord avec M. Thorsett quand il affirme dans sa déclaration écrite :

[TRADUCTION]

 

À mon avis, la personne fictive sans imagination versée dans l'art qui cherche à concevoir un nouveau composé doté d'un certain niveau d'activité comme inhibiteur de l'ECA aurait procédé à la dérivatisation de l'énalapril d'une manière qui serait analogue aux dérivés du captopril décrits précédemment ou à une simple variante de ceux‑ci, ou aurait préparé une simple variante de la classe de composés divulgués précédemment dans le brevet sur l'« énalapril » de Merck, à savoir la demande de brevet européen no 12 401.

 

[306]       En d'autres termes, il y aurait eu beaucoup d'intérêt dans le domaine pour développer de « nouveaux » analogues de l'énalapril.

 

[307]       En plus de la structure moléculaire même divulguée au congrès de Troy, l'idée d'une configuration entièrement en S du squelette s'est renforcée. Ainsi, indépendamment du reste, il aurait été évident à la personne versée dans l'art qu'il fallait orienter ses expériences sur des composés entièrement de configuration S sur le squelette de l'énalapril.

 


[308]       Le deuxième concept ou thème est la possibilité de remplacer le cycle proline de l'énalapril. Les scientifiques de Schering n'étaient pas les seuls à étudier cette possibilité. Diverses publications divulguaient que le cycle proline du captopril pouvait être remplacé par d'autres structures tout en conservant l'activité. Il s'ensuivrait logiquement que la personne fictive versée dans l'art chercherait à établir des analogies avec les travaux réalisés sur le modèle de captopril. La majorité des experts semblent accepter que les enseignements relatifs à l'extrémité C‑terminale des analogues du captopril étaient transférables à l'extrémité C‑terminale des analogues de l'énalapril. Par exemple, le contre‑interrogatoire de M. Bartlett a donné lieu à l'échange suivant :

[TRADUCTION]

Q.        [...] Vous connaissez la demande de brevet de M. Tanabe qui a été publiée le 25 juillet 1980?

 

R.         Oui.

 

Q.        Et vous savez qu'elle divulgue, dans mon jargon, mon jargon de profane, une THIQ 6,6 sur un squelette captopril?

 

R.         Une tétrahydroisoquinoléine 6,6, mais un squelette captopril, oui.

 

Q.        Voilà, nous nous comprenons. Diriez‑vous donc qu'en profitant de la divulgation de Merck et de l'enseignement du brevet de M. Tanabe, une personne versée dans l'art arriverait à la conclusion qu'elle pourrait transposer la THIQ 6,6 sur l'énalapril et obtenir un inhibiteur de l'ECA?

 

R.         Donc, la tête polaire tétrahydroisoquinoléine avec le squelette énalapril de Merck : je pense qu'on pourrait s'attendre à ce que ce soit un inhibiteur actif de l'ECA. [Non souligné dans l'original.]

 

 

[309]       Monsieur Nelson a noté dans son rapport que le 23 octobre 1980, on savait ce qui suit :

[TRADUCTION]

 

L'extrémité C‑terminale des inhibiteurs de l'ECA pouvait accueillir un grand nombre de structures de taille, de forme et de conformation différentes, selon l'activité obtenue pour des inhibiteurs de l'ECA ayant différents groupes d'acides aminés, des analogues substitués de la proline, des bicycles fusionnés avec un deuxième cycle aromatique ou d'autres substituants importants sur le squelette du captopril, de l'énalapril ou des structures connexes.

 

 

[310]       L'étape suivante est la taille et la forme des remplaçants éventuels de la proline. Le plus clair repère du cycle fusionné aurait été le modèle Cushman‑Ondetti associé au brevet de M. Tanabe. Le modèle Cushman‑Ondetti, joint au brevet de M. Tanabe et à d'autres documents, enseignaient que le site S2' de l'ECA était relativement accommodant et pouvait donc accueillir des substituants plus encombrants pour la proline à l'extrémité C‑terminale. En exposant son point de vue sur la prédiction valable, M. Bartlett a présenté l'hypothèse selon laquelle les bicycles 5,5 s'inséreraient dans l'espace disponible. Si cette théorie était à la disposition de Schering pour l'aider à fonder la prédiction valable (j'ai conclu, naturellement, que ce n'était pas le cas), elle était également disponible à d'autres personnes du domaine.

 

[311]       À partir de là, il est plus vraisemblable qu'invraisemblable que la personne versée dans l'art serait intéressée à essayer différents cycles fusionnés. Je reconnais qu'il serait extrêmement difficile pour la personne versée dans l'art de devoir faire l'essai de toutes les tailles et toutes les formes de cycles fusionnés. Les synthèses en jeu ne sont pas simples, comme je l'ai appris au cours du présent procès. Toutefois, à mon avis, une partie de l'état de la technique aurait conduit rapidement la personne versée dans l'art à essayer un bicycle 5,5.

 

[312]       L'article de MM. Fisher et Ryan a suggéré qu'il y avait peut-être un avantage, pour ce qui est de la puissance, à rendre la conformation du cycle proline à l'extrémité C‑terminale plus rigide, plutôt que plus flexible. À la lumière de cette suggestion, la personne versée dans l'art comprendrait que la fusion d'un deuxième cycle à la proline permettrait d'atteindre cet objectif. Sanofi fait valoir que l'article de MM. Fisher et Ryan est d'une utilité limitée, principalement parce qu'il divulgue deux hypothèses différentes pour expliquer l'augmentation de la puissance. Je conviens que la technique de MM. Fisher et Ryan, à elle seule, ne rendrait pas évident l'essai d'une structure bicyclique 5,5. Néanmoins, lorsqu'elle est associée à d'autres éléments de l'état de la technique, j'accepte le point de vue de M. Thorsett que MM. Fisher et Ryan enseignent plutôt l'idée d'accroître la rigidité des substituants à l'extrémité C‑terminale.

 

[313]       En outre, comme M. Heathcock en discute dans son rapport :

[TRADUCTION]

 

Un chimiste médicinal comprendrait qu'il n'existe qu'un nombre fini de moyens pour rendre le cycle proline plus rigide. La façon la plus évidente serait de fusionner un autre cycle à la proline à deux atomes de carbone différents.

 

Monsieur Heathcock était aussi d'avis que la personne versée dans l'art aurait probablement envisagé des cycles à 3, 4, et 5 atomes (cyclopropane, cyclobutane et cyclopentane) pour le cycle ajouté.

 

[314]       Les experts des demanderesses ont suggéré qu'il existait d'autres choix plus évidents. L'un d'eux était le suivant : au lieu d'ajouter un cycle fusionné à la proline, la personne versée dans l'art aurait pu ajouter une liaison double ou deux liaisons doubles au cycle proline. La première difficulté que présente cette suggestion est que Merck l'avait déjà fait dans le brevet EP 401. Il tombe sous le sens que la personne versée dans l'art ne perdrait pas son temps à emprunter des voies de recherche déjà encombrées de demandes de brevets. La deuxième difficulté de ce choix, que décrit M. Heathcock, est que les composés ne seraient pas très stables. De la même manière, il m'est difficile d'accepter que la fusion d'un cycle benzène sur le cycle proline puisse intéresser la personne versée dans l'art.

 

[315]       Après avoir examiné toute la preuve produite sur la question de l'évidence, je suis convaincue que le bicycle 5,5 substitué au cycle proline sur le squelette de l'énalapril aurait constitué un essai allant de soi. Ce n'est pas un cas où « l'état de la technique aurait éveillé la personne versée dans l'art à la possibilité que quelque chose valait d'être tenté » (arrêt sildénafil, précité, au paragraphe 29). Compte tenu des faits particuliers de l'espèce, je suis persuadée que l'invention du ramipril, énoncée dans la revendication 12, « allait plus ou moins de soi ».

 

[316]       Cela ne veut pas dire que la personne versée dans l'art n'aurait pas essayé de synthétiser et de tester aussi un groupe bicyclique 6,5 ou d'autres configurations sur le squelette de l'énalapril. Je l'ignore. Mais, même si c'est le cas, l'existence de plusieurs possibilités n'exclut pas automatiquement l'évidence d'un choix donné.

 

[317]       La dernière question à poser au sujet de la personne fictive versée dans l'art serait de savoir s'il était évident que l'essai d'un bicycle 5,5 sur un squelette énalapril « serait fructueux ». Je pense que la réponse à cette question est un « oui » conditionnel. Si M. Bartlett a raison d'affirmer, selon sa théorie de l'« espace », qu'on peut prédire valablement qu'un bicycle 5,5 sur un squelette d'énalapril pourrait fonctionner, la personne versée dans l'art pourrait alors s'attendre à ce que le composé soit actif. Si la théorie est applicable et que les scientifiques de Schering la connaissent, je ne vois pas pourquoi la personne versée dans l'art ne la connaîtrait pas.

 

[318]       En me référant aux facteurs identifiés par le juge Rothstein dans l'arrêt Sanofi‑Synthelabo qui ont une pertinence directe en l'espèce, je peux dresser le résumé suivant :

 

·                    Selon les connaissances générales à la disposition de la personne versée dans l'art, il serait allé plus ou moins de soi qu'un bicycle 5,5 substitué au groupe proline de la molécule d'énalapril devait fonctionner, surtout quand la molécule est entièrement dans la configuration S.

 

·                    Le cycle 5,5 ferait partie d'une classe relativement restreinte de choix qui seraient prévisibles aux yeux de la personne versée dans l'art.

 

·                    La nature et l'ampleur des efforts exigés pour arriver à l'invention ne seraient pas négligeables. Toutefois, comme je l'ai noté ci‑dessus (voir le paragraphe [242]), il y avait des méthodes de synthèse connues à la disposition de la personne versée dans l'art pour fabriquer, séparer et tester les composés ciblés.

 


E.         Conclusion sur l'évidence

[319]       Les différences constitueraient‑elles des étapes évidentes? En conclusion, je réponds « oui » à la question. Par conséquent, j'ai conclu à l'invalidité des revendications visées au motif de l'absence d'une prédiction valable d'utilité et, à titre subsidiaire, je conclurais à leur invalidité au motif de l'absence d'inventivité ou de l'évidence.

 

[320]       Je sais fort bien que dans la décision Servier, précitée, j'en suis venue à la conclusion contraire sur la question de l'évidence. Diverses raisons m'ont amenée à une conclusion différente dans la présente procédure. En termes très généraux, le lecteur qui se penche sur les deux décisions remarquerait deux distinctions importantes. Premièrement, les brevets et leurs revendications sont différents. Deuxièmement, dans les deux affaires, j'ai été saisie de dossiers uniques en leur genre et fondamentalement différents.

 

XII.     La meilleure manière

 

[321]       Apotex soutient que les scientifiques de Schering n'ont pas divulgué la meilleure (et la seule) méthode qu'ils connaissaient pour fabriquer les composés bicycliques 5,5 lors du dépôt de la demande 336. Elle fait valoir que le défaut de Schering de divulguer la « meilleure manière » de mettre l'invention en oeuvre constitue un manquement à l'obligation prévue au paragraphe 34(1) de la Loi sur les brevets. De l'avis d'Apotex, « l'inventeur a l'obligation de décrire la meilleure méthode qu'il connaisse et non seulement une méthode connue de lui » (TRW Inc. c. Walbar of Canada Inc., no A‑107‑91, 31 octobre 1991 (C.A.F.) (TRW)).

 

[322]       Comme M. Neustadt l'a reconnu, Schering n'a jamais fabriqué un composé avec un bicycle fusionné 5,5 selon les méthodes décrites dans le brevet 206, plus précisément les exemples 18 et 20 :

[TRADUCTION]

 

Q.        Ai‑je raison de dire que le seul procédé utilisé par Schering pour synthétiser le 5,5 était la méthode que vous avez conçue, l'hydrogénation par catalyse?

 

R.         La seule méthode qui a été utilisée pour produire un inhibiteur de l'ECA complet avec le système 5,5 est celle‑là.

 

Q.        Merci. Elle ne se trouve pas dans le brevet 206?

 

A.        Je pense que non.

 

[323]       Le procédé d'hydrogénation par catalyse a été conçu par les scientifiques de Schering et a été décrit comme [TRADUCTION] « une nouvelle voie de synthèse ». Les scientifiques de Schering ont utilisé cette méthode de synthèse pour deux des composés testés, le SCH 31924 et le SCH 31925. Ces composés ont été les premiers à comprendre un bicycle fusionné 5,5 sur un squelette énalapril. Ces deux composés ont été synthétisés après la date de priorité d'octobre 1980 (la date de la demande américaine), mais avant la date de dépôt au Canada. Monsieur Neustadt a reconnu que son procédé serait plus simple que les exemples présentés dans le brevet; il serait plus facile à exécuter que le procédé à l'acétate de mercure décrit dans les exemples 20 et 18 du brevet 206. En dépit de ces travaux additionnels et des connaissances acquises, la demande 336 et, par conséquent, le brevet 206 ne font aucune référence à cette méthode de synthèse supérieure.

 

[324]       Dans l'arrêt Minerals Separation North America Corp. c. Noranda Mines Ltd., [1947] R.C. de l'É. 306, à la page 316, le président Thorson a parlé de la norme à appliquer pour évaluer la suffisance de la divulgation prévue à l'article 36, et il a déclaré :

 

[TRADUCTION]

 

Elle ne doit pas comporter de déclarations erronées ou trompeuses visant à induire en erreur les personnes auxquelles elle est destinée et ne pas leur rendre difficile, sans essais et expérimentations, de comprendre de quelle manière l'invention doit être exécutée. Elle ne doit pas, par exemple, prescrire l'emploi de méthodes différentes de mise en oeuvre lorsqu'une seule est efficace, même si des personnes versées dans l'art en question étaient susceptibles de choisir la méthode efficace [...] De plus, l'inventeur doit agir en toute bonne foi et donner tous les renseignements qu'il connaît pour mettre en oeuvre l'invention de façon à obtenir le mieux possible le résultat qu'il a conçu. [Non souligné dans l'original.]

 

[325]       Dans l'arrêt Consolboard, précité, à la page 520, le juge Dickson a adopté les termes du président Thorson :

Le paragraphe 36(1) [par. 34(1) de la Loi sur les brevets] cherche à répondre aux questions suivantes : « En quoi consiste votre invention? Comment fonctionne‑t‑elle? » Quant à chacune de ces questions, la description doit être exacte et complète de sorte que, comme l'exprime le président Thorson dans Minerals Separation North American Corporation c. Noranda Mines, Limited :

 

[TRADUCTION]

 

[...] une fois la période de monopole terminée, le public puisse, en n'ayant que le mémoire descriptif, utiliser l'invention avec le même succès que l'inventeur, à l'époque de la demande. [Non souligné dans l'original.]


[326]       Apotex fait valoir que ces termes du président Thorson, qui ont été cités et approuvés dans l'arrêt Consolboard, précité, expriment clairement l'obligation qu'a l'inventeur de décrire non seulement une méthode qu'il connaît, mais aussi la meilleure. En outre, Apotex allègue que la date d'évaluation de la « meilleure manière » est la date de la demande, en l'espèce octobre 1981.

 

[327]       Je suis très sensible à l'argumentation d'Apotex. Il semble que les scientifiques de Schering étaient parfaitement au courant qu'il existait une meilleure méthode pour fabriquer certains composés de la revendication 12. Schering a décidé sciemment de ne pas l'inclure dans le mémoire descriptif de la demande au Canada. Si je comprends bien, cela aurait pu causer à Schering des problèmes juridiques liés à la date de priorité de son invention. Donc, tout ce qu'on peut tirer du mémoire descriptif du brevet est que les composés de la revendication 12 peuvent être fabriqués soit selon l'exemple 20, soit selon une méthode connue. Comme nous l'avons constaté, la synthèse des composés de la revendication 12 à l'aide de l'exemple 20 est complexe. En outre, il existe une nette divergence d'opinions entre au moins deux des experts (M. McClelland et M. Charette) sur la question de savoir si une personne versée dans l'art aurait pu, à la date pertinente, utiliser des méthodes connues pour synthétiser les composés de la revendication 12. Il me semble qu'en vertu du bon sens et du franc‑jeu, Schering aurait dû divulguer la méthode d'hydrogénation par catalyse que ses scientifiques avaient effectivement utilisée pour synthétiser le SCH 31924 et le SCH 31925. Néanmoins, je dois conclure que la position d'Apotex excède la portée de la Loi sur les brevets et de la jurisprudence actuelle.

 

[328]       Le premier problème que présente l'argumentation d'Apotex concerne l'utilisation de l'exigence relative à la « meilleure manière » dans le cas d'un brevet pour un composé médicinal. L'article 34 de la Loi sur les brevets expose les conditions requises du mémoire descriptif d'un brevet. Il dispose notamment :

34. (1) Dans le mémoire descriptif, le demandeur :

 

[...]

 

b) expose clairement les diverses phases d'un procédé, ou le mode de construction, de confection, de composition ou d'utilisation d'une machine, d'un objet manufacturé ou d'un composé de matières, dans des termes complets, clairs, concis et exacts qui permettent à toute personne versée dans l'art ou la science dont relève l'invention, ou dans l'art ou la science qui s'en rapproche le plus, de confectionner, construire, composer ou utiliser l'objet de l'invention;

 

c) s'il s'agit d'une machine, en explique le principe et la meilleure manière dont il a conçu l'application de ce principe;

34. (1) An applicant shall in the specification of his invention

 

...

 

b) set out clearly the various steps in a process, or the method of constructing, making, compounding or using a machine, manufacture or composition of matter, in such full, clear, concise and exact terms as to enable any person skilled in the art or science to which it appertains, or with which it is most closely connected, to make, construct, compound or use it;

 

c) in the case of a machine, explain the principle thereof and the best mode in which he has contemplated the application of that principle;

 

 

[329]       Comme le montre le libellé de la Loi, l'obligation relative à la « meilleure manière » ne naît que dans le cas du brevet d'une machine. Ni le libellé ni l'idée sous‑jacente indiquant que le titulaire du brevet est tenu d'exposer la meilleure manière de mettre l'invention en pratique ne figurent ailleurs au paragraphe 34(1), ni ailleurs dans la Loi sur les brevets. Dans l'arrêt Sanofi‑Synthelabo, précité, la Cour suprême a insisté sur l'importance du cadre légal dans l'interprétation des brevets. Au paragraphe 12, le juge Rothstein a déclaré :

Il convient d'abord de citer le juge Judson s'exprimant au nom de notre Cour dans l'arrêt Commissioner of Patents c. Farbwerke Hoechst Aktiengesellschaft vormals Meister Lucius & Bruning, [1964] R.C.S. 49, p. 57 :

 

[TRADUCTION]

 

Il n'existe pas, en common law, de droit inhérent à un brevet. L'inventeur obtient son brevet conformément à la Loi sur les brevets. Un point c'est tout.

 

L'affirmation la plus récente voulant que le droit des brevets soit entièrement issu de la loi est celle de lord Walker dans l'arrêt Synthon B.V. c. SmithKline Beecham plc, [2006] 1 All E.R. 685, [2005] UKHL 59, par. 57‑58 :

 

[TRADUCTION]

 

L'origine du droit des brevets est purement législative et étonnamment ancienne. [...] Eu égard à l'interprétation et à l'application des dispositions législatives sur les brevets, la doctrine jurisprudentielle a largement contribué au fil des ans à clarifier les notions abstraites des lois et à en assurer l'application uniforme.

 

Il est tout de même salutaire de se faire rappeler de temps à autre que les concepts généraux auxquels se réfèrent les avocats spécialisés en droit des brevets prennent appui sur un texte législatif et ne sauraient avoir aucun autre véritable fondement.

 

[330]       Comme le législateur a décidé d'inclure l'obligation de la « meilleure manière » à l'égard des brevets au sujet d'une machine seulement, les tribunaux sont tenus de respecter ce choix. Par conséquent, il serait contraire aux principes d'interprétation des lois d'appliquer cette obligation à d'autres brevets que les brevets au sujet d'une machine.

 

[331]       Même si la notion de « meilleure manière » s'applique, la jurisprudence soulève une autre difficulté. Comme je l'ai noté, les scientifiques de Schering ont élaboré une nouvelle méthode de synthèse entre le dépôt aux États‑Unis et le dépôt au Canada. La Cour d'appel fédérale s'est penchée sur une situation semblable dans l'arrêt Lido Industrial Products Ltd. c. Teledyne Industries, Inc., no A‑699‑79, 21 août 1981 (C.A.F.). Dans cette affaire, qui concerne le brevet d'une pomme de douche, les inventeurs n'ont pas fait état de certains perfectionnements au dispositif, dont ils ont eu connaissance après la date de dépôt aux États‑Unis, soit le 4 septembre 1973, mais avant la date de dépôt au Canada, soit le 27 février 1974. Dans son explication de la date pertinente pour l'application du critère de la meilleure manière, le juge en chef Thurlow, s'exprimant au nom de la Cour au complet, a conclu que la date pertinente était la date du dépôt aux États‑Unis. Il a conclu sur ce fondement :

[...] bien que la demanderesse Teledyne Industries Inc. ait conçu le dispositif avec ces modifications à l'époque pertinente, il n'a pas été établi qu'elle l'avait considéré ou conçu comme la meilleure manière d'appliquer le principe de son dispositif.

 

Par conséquent, au vu des faits dont je suis saisie, l'obligation relative à la meilleure manière, même si elle s'applique, n'aurait pas obligé Schering à divulguer la meilleure méthode de synthèse dans son mémoire descriptif.

 

[332]       Je fais également observer que les mots du président Thorson dans l'arrêt Minerals Separation, précité, doivent être mis en contexte. Les mots du président Thorson n'étaient qu'une observation incidente; dans l'arrêt, le président Thorson n'a nulle part appliqué la notion de la meilleure manière ou de la bonne foi. En outre, les mots du juge Dickson dans l'arrêt Consolboard, cités ci‑dessus, concernaient la question de la suffisance. Bref, je n'interprète aucun de ces arrêts comme s'il intégrait l'obligation relative à la « meilleure manière » au brevet d'un composé.

 

[333]       Apotex s'appuie également sur les mots du juge Stone dans l'arrêt TRW, précité. On fait face à deux difficultés quand on se fonde sur cet arrêt de la Cour d'appel. La première est que l'analyse de la Cour sur la validité du brevet visé n'était pas « strictement nécessaire »; la Cour avait déjà décidé d'accueillir le moyen de défense établissant l'absence de contrefaçon (arrêt TRW, précité). Par conséquent, les observations de la Cour sur l'invalidité, notamment celles qui portent sur l'obligation relative à la meilleure méthode, doivent être considérées comme faites de manière incidente. Deuxièmement, il semble que le titulaire du brevet visé divulguait une pratique en contradiction directe avec la manière d'exécuter effectivement l'invention. Dans cette affaire, le brevet visait une méthode de production d'aubes de compresseur. Le mémoire descriptif du brevet divulguait explicitement que l'invention supprimait la nécessité de la fixation sur le talon de l'aube de compresseur. Toutefois, selon la preuve des experts, on se serait attendu à ce que la personne versée dans l'art place la fixation sur le talon « en dépit des indications du brevet portant qu'il n'est pas nécessaire de le faire [...] par conséquent, la divulgation ne remplit pas les exigences du paragraphe 36(1) de la Loi sur les brevets » (arrêt TRW, précité). Par conséquent, même si les mots du juge Stone sont acceptés comme faisant autorité (et n'ont pas seulement un caractère incident), ils appuient l'affirmation que l'inventeur ne peut donner dans son mémoire descriptif des indications qui induisent en erreur ou contredisent carrément la pratique réelle. L'arrêt TRW n'est pas utile à Apotex.

 


XIII.    Le double brevet

 

[334]       Les défenderesses font valoir que les revendications du brevet 206 en litige sont invalides au motif du double brevet par rapport à l'invention décrite et revendiquée dans les revendications 2 et 4 du brevet 087 délivré à Hoechst, société remplacée par Sanofi Deutschland.

 

[335]       Le brevet 087 a été délivré le 14 mai 1985 à Hoechst, à la suite d'une demande déposée le 4 novembre 1982 et revendiquant comme date de priorité la plus reculée le 11 novembre 1981. Il est intitulé Dérivés d'acide cis, endo-2-azabicyclo-(3.3.0)-octane-3-carboxylique; préparation, agents renfermant ces composés, et leur utilisation. Fait particulièrement intéressant, les revendications 2 et 4 du brevet 087 sont des revendications de composés [TRADUCTION] « dans tous les cas où ils sont obtenus à l'aide d'un procédé revendiqué dans la revendication 1 ou d'un équivalent chimique évident de celui‑ci »; il s'agit de revendications d'un produit par le procédé. Le ramipril serait un composé auquel s'appliquent les revendications 2 et 4 du brevet 087, sous réserve qu'il soit produit conformément aux procédés exposés dans ce brevet. Le brevet est venu à expiration le 4 novembre 2002.

 

[336]       La jurisprudence établit clairement que la même invention ne peut être brevetée deux fois. Comme l'a dit le juge Binnie dans l'arrêt Whirlpool, précité, au paragraphe 63 :

[...] L'inventeur n'a droit qu'à « un » brevet pour chaque invention : Loi sur les brevets, par. 36(1). Si un brevet comportant des revendications identiques est délivré ultérieurement, il y a prolongement irrégulier du monopole. Il est clair que l'interdiction du double brevet implique une comparaison des revendications plutôt que des divulgations, car ce sont les revendications qui définissent le monopole. [...]

 

Par conséquent, il ne devrait pas être accordé de monopole ni de « renouvellement à perpétuité » à des inventions antérieures pour des ajouts évidents ou non inventifs (arrêt Whirlpool, précité, au paragraphe 37).

 

[337]       La jurisprudence identifie deux catégories de double brevet. Dans la première catégorie, le « double brevet relatif à la même invention », deux brevets sont identiques ou présentent des revendications se chevauchant. La seconde catégorie, le « double brevet relatif à une évidence », est relativement plus large. Dans le cas du double brevet relatif à une évidence, il n'y a pas des revendications identiques ou se chevauchant, mais le brevet ultérieur comporte des revendications qui ne visent pas un élément brevetable distinct du brevet antérieur ou qui ne font pas preuve de nouveauté ou d'ingéniosité (voir l'arrêt Whirlpool, précité, aux paragraphes 65 à 67). Comme les revendications du brevet 206 ne sont pas identiques à celles du brevet 087 et ne les chevauchent pas, l'allégation d'invalidité formulée en l'espèce doit être comprise comme une allégation de double brevet relatif à une évidence.

 

[338]       À mon avis, l'argumentation des défenderesses ne doit pas être accueillie.

 

[339]       S'agissant du brevet 206 et du brevet 087, la question particulière du double brevet a été examinée et rejetée à plus d'une reprise. Dans les décisions ramipril 1 (C.F.), ramipril 1 (C.A.F.), ramipril 2 (C.F.) et ramipril 2 (C.A.F.), les tribunaux ont tranché la question que les défenderesses soulèvent en l'espèce. Bien que ces décisions aient toutes été rendues lors de procédures d'avis de conformité, les défenderesses ne m'ont pas convaincue que la preuve dont je suis saisie m'amènerait à conclure d'une manière différente.

[340]       Il n'est pas contesté que la date de priorité relative au dépôt du brevet 206 est antérieure à celle du brevet 087. Même si la délivrance du brevet 206 est postérieure à celle du brevet 087, la date de l'invention (comme on l'a vu précédemment) est considérée être au plus tard le 23 octobre 1980. Il s'ensuit que l'allégation de double brevet relatif à une évidence ne s'applique pas aux faits en l'espèce, parce que le brevet 206 ne peut pas être considéré comme un « deuxième brevet » devenu évident par l'effet du brevet 087.

 

[341]       Je fais aussi remarquer que les inventeurs et les titulaires du brevet 087 sont différents des inventeurs et des titulaires du brevet 206. Les titulaires respectifs des brevets ne sont pas des sociétés appartenant à un même groupe. Le fait que Sanofi Deutschland, société qui a remplacé la titulaire originale du brevet 087, est une titulaire de licence à l'égard du brevet 206 semble n'avoir aucune pertinence par rapport à l'ensemble de la question du double brevet. Bien que j'aie examiné et rejeté la notion selon laquelle le double brevet ne pourrait exister que dans le cas où les brevets appartiennent à la même partie (voir la décision ramipril 1 (C.F.), au paragraphe 59), la jurisprudence postérieure a toujours présumé que le double brevet ne peut exister que dans le cas où les deux brevets appartiennent à la même partie (voir la décision Merck & Co. c. Apotex, 2006 CF 524, au paragraphe 207, et l'arrêt Apotex Inc. c. Sanofi‑Synthelabo Canada Inc., 2006 CAF 421, au paragraphe 45, conf. par 2008 CSC 61). Dans la décision Bristol‑Myers Squibb Canada c. Apotex, 2009 CF 137, au paragraphe 174, le juge Hughes a décrit en ces termes l'applicabilité du double brevet :

Il n'y a double protection que lorsque la même personne obtient deux brevets ou plus. Si une autre personne a déjà obtenu un brevet, le deuxième doit être pris en compte dans le contexte de l'antériorité ou de l'évidence, ou de l'identité de l'inventeur quant aux demandes de brevet antérieures au mois d'octobre 1989.

 

[342]       En outre, dans l'arrêt Sanofi‑Synthelabo, précité, au paragraphe 102, la Cour suprême a statué que pour l'application du double brevet, il n'y a pas d'identité entre les revendications d'un brevet et celles d'un autre lorsque les revendications de l'un sont des revendications de procédé ou de produit par le procédé et que les revendications de l'autre sont des revendications de produit.

 

[343]       Pour ces motifs, je suis d'avis que les défenderesses n'auraient pas gain de cause quand elles prétendent que le brevet 206 doit être tenu pour invalide au motif du double brevet.

 

XIV.    Le moyen de défense fondé sur l'arrêt Gillette

 

[344]       L'arrêt de la Chambre des lords du Royaume‑Uni, Gillette Safety Razor Co. v. Anglo‑American Trading Co. (1913), 30 R.P.C. 465 (Ch. des lords), est à l'origine d'un argument invoqué par Apotex (avec l'appui de Novopharm) appelé le « moyen de défense fondé sur l'arrêt Gillette ». L'arrêt Gillette concernait un brevet délivré aux demanderesses pour des rasoirs de sûreté. Les demanderesses ont poursuivi les défenderesses pour contrefaçon. À la Chambre des lords, lord Moulton a commencé par l'examen de l'état de la technique et, en particulier, d'un brevet antérieur délivré à M. Butler et visant aussi des rasoirs de sûreté. Il a ensuite procédé à l'analyse du rasoir des défenderesses, à la lumière du brevet de M. Butler, et il a dit (à la page 480, lignes 28 et suivantes) :

[TRADUCTION]

 

Par conséquent, je suis d'avis qu'il n'y a pas de différence brevetable entre le rasoir de sûreté des défenderesses et celui que représente et décrit M. Butler. Si la lame utilisée par les défenderesses était placée dans le manche de M. Butler (ce qui, je l'ai déjà dit, ne constitue pas une invention), on obtiendrait un rasoir de sûreté qui ne se distingue du rasoir des défenderesses en aucun élément lié à la question de l'invention. Il s'ensuit qu'aucun brevet portant une date postérieure à la publication du mémoire descriptif de M. Butler ne pourrait faire obstacle au droit du public de réaliser le rasoir des défenderesses. [Non souligné dans l'original.]

 

[345]       Apotex souligne que la preuve non contredite a établi que le ramipril utilisé dans l'Apo‑Ramipril est fait selon le procédé de fabrication du ramipril exposé dans le brevet 087. Comme je l'ai noté, le brevet 087 a été délivré en mai 1985 et a expiré en novembre 2002, alors que le brevet 206 n'a été délivré qu'en 2001. Par conséquent, soutient Apotex, le raisonnement et le résultat de l'arrêt Gillette s'appliquent directement. En d'autres termes, Apotex fait valoir que l'Apo‑Ramipril étant fait à l'aide du ramipril produit conformément aux enseignements du brevet 087 — l'équivalent du brevet de M. Butler —, il n'est pas possible que l'existence du brevet 206 fasse obstacle au droit d'Apotex de fabriquer, d'utiliser et de vendre l'Apo‑Ramipri1 et il n'y a pas de contrefaçon du brevet 206.

 

[346]       Le moyen de défense fondé sur l'arrêt Gillette a été mentionné dans au moins trois affaires au Canada : AB Hassle, précité, au paragraphe 15 (C.A.F.), Eli Lilly Canada Inc. c. Apotex Inc., 2009 CF 320 (Eli Lilly (C.F.)), et Pfizer Canada Inc. c. Apotex Inc., 2005 CF 1421. J'accepte l'applicabilité du moyen de défense fondé sur l'arrêt Gillette, dans le contexte factuel approprié. Cependant, ce contexte factuel n'existe pas en l'espèce.

 

[347]       En rejetant cette argumentation, je note que la demande du brevet 087 a été déposée après celle du brevet 206. Étant donné la chronologie inhabituelle des événements qui a été l'effet des procédures en cas de conflit engagées en vertu de l'ancienne Loi sur les brevets, nous ne devrions pas examiner la date de délivrance des brevets respectifs, comme on l'a fait dans l'arrêt Gillette. Nous devons plutôt prendre en considération l'objet lui‑même. Même si la délivrance du brevet 206 est postérieure, en raison des procédures en cas de conflit, l'objet du brevet était dans le domaine public avant le dépôt du brevet 087. Par conséquent, celui des deux brevets qui est « ancien », ou l'équivalent du brevet de M. Butler, est le brevet 206. Sur la base des faits dont je suis saisie, les défenderesses ne peuvent faire valoir le moyen de défense fondé sur l'arrêt Gillette.

 

[348]       Dans la décision récente Eli Lilly (C.F.), précitée, le juge Hughes s'est penché sur le moyen de défense fondé sur l'arrêt Gillette. Il a conclu, au vu des faits de cette procédure d'AC, que les allégations d'Apotex au sujet du moyen de défense Gillette étaient fondées. Toutefois, sa conclusion, au paragraphe 64, doit être mise en contexte :

[...] je conclus selon la norme civile de preuve, que le produit d'Apotex que l'on créerait conformément au procédé ne serait pas différent de celui auquel on arriverait au moyen du procédé du brevet 068 et qu'il se situerait dans les limites des revendications du brevet 399. Dans cette mesure, il y aurait contrefaçon. Cependant, comme j'ai conclu que le produit du brevet 068 est antérieur au produit revendiqué dans le brevet 399, les revendications sont invalides. Par conséquent, conformément au moyen de défense Gillette, il n'y a eu contrefaçon d'aucune revendication valide. Les allégations d'Apotex quant au moyen de défense Gillette sont justifiées. La simple allégation d'absence de contrefaçon est injustifiée.

 

[349]       Selon mon interprétation de cet extrait de la décision, la conclusion du juge Hughes au sujet du moyen de défense fondé sur l'arrêt Gillette reposait entièrement sur sa conclusion en matière d'antériorité. En l'absence d'une conclusion d'antériorité, Apotex n'aurait pu recourir au moyen de défense fondé sur l'arrêt Gillette. Dans l'affaire dont je suis saisie, Apotex n'a pas fait valoir l'invalidité du brevet 206 au motif de l'antériorité du brevet 087. Il s'ensuit que le moyen de défense fondé sur l'arrêt Gillette ne peut être invoqué, de manière isolée, comme moyen de défense à l'encontre des revendications de contrefaçon des demanderesses.

 

XV.      L'auteur de l'invention

 

[350]       Dans la Loi sur les brevets — ce qui n'est plus le cas dans la Loi sur les brevets actuelle — la notion de l'auteur de l'invention est fondamentale. L'alinéa 27(1)a) de la Loi sur les brevets limite la délivrance d'un brevet à l'inventeur d'une invention qui n'était pas connue ou utilisée par une autre personne avant que l'inventeur l'ait faite. Par conséquent, dans le cas où l'invention était déjà connue ou utilisée par une autre personne, l'inventeur ne peut obtenir un brevet pour cette invention. Il existe des limites aux attaques admissibles à l'encontre d'un brevet délivré en vertu de la Loi sur les brevets. Plus précisément, l'alinéa 61(1)b) de la Loi sur les brevets prévoit qu'un brevet ne peut être déclaré invalide ou nul pour la raison que l'inventeur nommé n'était pas le premier à avoir connu ou exploité l'invention, sauf si « cette autre personne avait, avant la délivrance du brevet, fait une demande pour obtenir au Canada un brevet qui aurait dû donner lieu à des procédures en cas de conflit ».

 

[351]       Apotex allègue que les revendications visées devraient être jugées invalides au motif que Schering n'était pas la première à inventer le ramipril. Apotex soutient que, comme Schering n'a pas isolé ou testé le ramipril avant que Hoechst le fasse, ce sont les scientifiques de Hoechst, et non de Schering, qui ont été les premiers inventeurs du ramipril. Apotex souligne les conclusions de la Cour dans la décision Servier, précitée, aux paragraphes 440 à 455, où il a été conclu, lors de l'examen de la paternité de l'invention, que Mme Smith n'était pas la première à « inventer » l'invention du brevet 196 (les substitutions bicycliques 6,5 sur un squelette d'énalapril comprenant un groupe alkyle linéaire) même si elle était la première à synthétiser et à tester la substitution d'un groupe bicyclique 6,5 sur un squelette d'énalapril et même si son « registre de divulgation de l'invention » comprenait des remplacements par un groupe alkyle linéaire. Selon Apotex, ma conclusion dans l'arrêt Servier signifie qu'une partie n'est pas considérée comme le premier inventeur d'un composé ou d'un produit, aux fins de la détermination de l'auteur de l'invention, à moins que le composé ou le produit revendiqué n'ait été en fait fabriqué et testé.

 

[352]       Je n'accepte pas l'argumentation d'Apotex sur cette question. La première difficulté que soulève cette argumentation, à mes yeux, est qu'elle repose sur une interprétation inadmissible des conclusions de l'arrêt Servier. À mon avis, la décision Servier n'étaye pas l'affirmation qu'un composé ne peut être inventé à moins d'être effectivement fabriqué. Toute la notion de la prédiction valable repose sur le fait que l'inventeur peut avoir une invention intéressante qui n'a pas encore été réalisée, sous réserve que les conditions de la prédiction valable soient remplies.

 

[353]       Cela nous amène à la seconde difficulté que présente cette argumentation, selon moi. Dans l'hypothèse où, pour les besoins de la question, les exigences de la prédiction valable auraient été remplies par Schering, la date d'invention serait soit le 8 août 1980, soit le 23 octobre 1980. Ces dates ont été examinées précédemment dans les présents motifs. Le seul élément de preuve dont je dispose à l'égard de la date d'invention de l'objet du brevet 087 est la date du dépôt de la demande au Canada, le 4 novembre 1982, date largement postérieure à la divulgation de l'invention dans le brevet 206. À la lumière de ces faits, je conclurais que l'invention des composés visés par les revendications 1, 2, 3, 6 et 12 du brevet 206 — dont le ramipril — était antérieure à la date d'invention de l'objet du brevet 087.

 

[354]       Comme je ne suis pas convaincue que Hoechst ait été un inventeur antérieur de l'objet des revendications du brevet 206 en cause, il n'est pas nécessaire de prendre en compte l'alinéa 61(1)b) de la Loi sur les brevets ni l'argumentation d'Apotex faisant valoir qu'il y avait un conflit qui n'a pas donné lieu à une procédure en cas de conflit.

 

XVI.    Conclusions

 

[355]       En conclusion, les actions des demanderesses dans les dossiers nos T‑161‑07 et T‑1161‑07 seront rejetées. Les défenderesses auront droit à une déclaration portant que les revendications 1, 2, 3, 6 et 12 du brevet 206 sont invalides. Un jugement distinct sera prononcé pour chacun des dossiers.

 

[356]       En résumé, ma conclusion déterminante est que les composés de la revendication 12 sont dépourvus d'utilité, dans la mesure où les inventeurs, le 20 octobre 1981 (la date de la demande au Canada), n'étaient pas en mesure de prédire valablement que tous les composés de la revendication 12 seraient utiles comme inhibiteurs de l'ECA et comme agents antihypertenseurs. En outre, j'ai conclu que, même si l'utilité promise des composés était limitée exclusivement à l'inhibition de l'ECA, l'utilité des composés, ou du moins d'un certain nombre, ne pouvait faire l'objet d'une prédiction valable. Comme les composés de la revendication 12 figurent également dans les revendications 1, 2, 3 et 6, il s'ensuit que ces revendications sont également invalides.

[357]       En terminant, j'aimerais faire une observation supplémentaire au sujet du brevet 206. Quand j'examine l'ensemble de la preuve, je suis frappée par le fait que les scientifiques de Schering brûlaient manifestement d'impatience, en 1980 et 1981, de proposer quelque chose — n'importe quoi — qui donnerait au service des brevets de Schering suffisamment de renseignements pour déposer une demande de brevet. L'échange suivant entre Mme Smith et l'avocat d'Apotex est particulièrement révélateur :

[TRADUCTION]

 

Q.        [...] Allons au bas de la page. Vous écrivez : « La présente divulgation envisage tous les stéréoisomères possibles. » Il est évident qu'à ce moment‑là, vous n'aviez pas testé un grand nombre de stéréoisomères différents, et certainement aucun du squelette de l'énalapril, n'est‑ce pas?

 

R.         C'est vrai, parce que juin —

 

Q.        Exact.

 

R.         C'était le 20 juin?

 

Q.        Oui. Aurais‑je raison de dire que vous n'aviez même pas testé tous les stéréoisomères des bicycles sur le squelette du captopril à ce moment‑là? Toute la gamme des possibilités?

 

R.         Exact.

 

Q.        Et dois‑je comprendre que vous l'avez écrit pour vous prémunir contre la possibilité qu'à un moment donné par la suite, un stéréoisomère particulier puisse, à votre surprise, se révéler très actif, parce que vous ne vouliez pas en rater un et voir ensuite le service des brevets vous revenir en vous disant : « Mme Smith, vous en avez raté un bon »?

 

R.         Exact.

 

Q.        Vous ne faisiez donc que vous protéger et vous avez écrit ces notes pour vous assurer qu'au cas où il se présenterait un stéréoisomère inattendu à un moment donné, vous étiez protégée?

 

R.         Oui, cela l'aurait couvert et c'est aussi ce qui se pratique dans les brevets.

 

[Non souligné dans l'original.]

 

 

[358]       La protection du brevet repose sur la notion d'un marché entre l'inventeur et le public (arrêt Free World Trust, précité, au paragraphe 13). Dans l'affaire dont je suis saisie, les scientifiques de Schering ont décidé d'inclure dans leur brevet des composés pour lesquels ils n'avaient ni données ni raisonnement valable. Il semble, comme Mme Smith le dit, que la revendication 12 n'a été rédigée que pour être prémuni contre d'éventuelles possibilités. C'est peut‑être [TRADUCTION] « ce qui se pratique dans les brevets », mais cette pratique ne respecte pas les principes fondamentaux de la protection du brevet. Schering a manqué à ses propres obligations dans le marché.

 

[359]       À titre subsidiaire, si les inventeurs avaient pu prédire valablement l'efficacité des composés de la revendication 12, j'ai conclu, selon le dossier dont je suis saisie et selon la prépondérance de la preuve, qu'au moins un de ces composés manquait d'inventivité. Il s'agit de l'idée inventive de la substitution d'un groupe bicyclique 5,5 sur un squelette d'énalapril, qui était évidente à la lumière des connaissances générales courantes des personnes versées dans l'art, soit à la date de priorité la plus reculée, soit le 8 août 1980.

 


[360]       Voici d'autres conclusions, dont aucune n'est déterminante :

 

·                    selon une interprétation téléologique, la revendication 12 du brevet 206 porte sur huit stéréoisomères individuels, dont l'un est le ramipril; elle ne revendique pas uniquement le mélange des huit composés;

 

·                    Apotex, avec l'Apo‑Ramipril, et Novopharm, avec le Novo‑Ramipril, contrefont toutes deux les revendications 1, 2, 3, 6 et 12 du brevet 206;

 

·                    les revendications 1, 2, 3, 6 et 12 ne sont pas invalides au motif du double brevet par rapport à l'invention décrite et revendiquée dans certaines revendications du brevet 087;

 

·                    le moyen de défense fondé sur l'arrêt Gillette ne s'applique pas, compte tenu des faits de l'espèce;

 

·                    l'argumentation des défenderesses selon laquelle Schering n'était pas en mesure de prédire valablement, le 20 octobre 1981, qu'elle pouvait fabriquer les composés de la revendication 12 est rejetée pour les raisons suivantes :

 

a)         il n'existe pas d'obligation de cette nature en droit;

 

b)         il n'a pas été établi que l'exemple 20 décrit dans le brevet 206 ne pouvait fonctionner;

 

c)         d'autres méthodes de synthèse étaient à la disposition de la personne versée dans l'art le 20 octobre 1981;

 

·                    Apotex ne m'a pas persuadée que Schering n'était pas le premier inventeur des composés de la revendication 12.

 

[361]       Dans leurs observations finales, les parties n'ont pas traité de la question des dépens. Comme il est normal dans les procès de cette nature, les parties disposeront d'un délai pour tenter de régler entre elles les dépens. Un certain nombre de décisions récentes, me semble‑t‑il, ont suffisamment défini les principes applicables à des affaires analogues pour que les parties aux deux actions soient en mesure de régler la question des dépens sans mon intervention (voir, par exemple, la décision ADIR c. Apotex Inc., 2008 CF 1070). J'espère qu'elles y arriveront. La protonotaire Milczynski m'a informée qu'elle pourrait aider les parties à régler la question des dépens.

 

[362]       Pour ce qui est de l'adjudication des dépens, j'aimerais souligner les facteurs suivants, qui s'appliquent particulièrement au présent procès. Le premier facteur, à mon avis, est une certaine redondance des témoignages des experts de la part des deux parties. Second facteur, les parties devraient examiner attentivement la question des dépens liés à l'étape du procès afférente aux dommages‑intérêts et aux réparations. Si les présentes procédures avaient été divisées en deux phases, on aurait pu faire l'économie de 16 jours de preuve, de deux jours d'argumentation finale, d'un grand nombre de jours d'interrogatoire préalable et d'innombrables pages de témoignages et d'éléments de preuve d'experts.

 

[363]       Si les parties n'arrivent pas à s'entendre sur les dépens, elles peuvent signifier et déposer des observations écrites sur le sujet, d'un maximum de dix pages, au plus tard le 15 août 2009. Des observations en réponse, d'un maximum de cinq pages, peuvent être signifiées et déposées au plus tard le 31 août 2009.

 

[364]       Je remercie de nouveau les avocats qui ont participé au procès de leur sens professionnel, leur compétence, leur enthousiasme et leur courtoisie envers la Cour et entre eux. La justice est bien servie par des membres du barreau de cette trempe.


POSTFACE

 

[1]               Les présents motifs de jugement sont la version non caviardée des motifs confidentiels du jugement rendus le 29 juin 2009 conformément à la directive datée du 29 juin 2009.

 

[2]               La Cour a sollicité l'avis des avocats des parties pour savoir s'ils s'opposaient à ce que les motifs du jugement soient rendus publics sans caviardage. Dans des messages électroniques séparés du 30 juin 2009, du 2 juillet 2009 et du 3 juillet 2009, les parties ont fait savoir qu'aucune partie des motifs confidentiels du jugement ne devait être caviardée. Les avocats d'Apotex ont demandé que deux dates figurant au paragraphe 64 des motifs confidentiels du jugement soient modifiées et remplacées par le 12 décembre 2000 et le 20 mars 2001. Les avocats de Sanofi ont été d'accord avec les corrections demandées. Les dates corrigées figurent au paragraphe 64 des présents motifs du jugement.

 

 

 

« Judith A. Snider »

juge

 

 

 

 

Traduction certifiée conforme

Yves Bellefeuille, réviseur

 


 

COUR FÉDÉRALE

 

AVOCATS INSCRITS AUX DOSSIERS

 

 

DOSSIERS :                                                  T‑161‑07 et T‑1161‑07

 

INTITULÉS :                                                 SANOFI‑AVENTIS CANADA INC. et SCHERING CORP. c. APOTEX INC. (T‑161‑07)

 

                                                                        SANOFI‑AVENTIS CANADA INC. et SCHERING CORP. c. NOVOPHARM LIMITED (T‑1161‑07)

 

LIEU DE L'AUDIENCE :                             Toronto (Ontario)

 

DATES DE L'AUDIENCE :                         Les 12, 13, 14, 15, 16, 19, 20, 21, 22, 23, 26, 27, 28 et 29 janvier 2009, les 2, 3, 4, 5, 6, 9, 10, 11, 12, 13, 16, 17, 18, 19, 20, 23 et 24 février 2009, et les 6, 7, 8, 9, 14 et 15 avril 2009

 

MOTIFS DU JUGEMENT :                        LA JUGE SNIDER

 

DATE DES MOTIFS :                                  Le 29 juin 2009

 

COMPARUTIONS :

 

Gunars Gaikis

Sheldon Hamilton

Jeremy Want

Jeffrey Coles

Junyi Chen

 

POUR LES DEMANDERESSES

SANOFI-AVENTIS CANADA INC. ET AL.

(DOSSIERS T-161-07 ET T-1161-07)

Anthony Creber

Marc Richard

POUR LA DEMANDERESSE

SCHERING CORPORATION

(DOSSIERS T-161-07 ET T-1161-07)

 

Harry Radomski

Nando Deluca

Jerry Topolski

Benjamin Hackett

Karen Murdoch

 

POUR LA DÉFENDERESSE APOTEX INC.

(DOSSIER T-161-07)

 

Jonathan Stainsby

Mark Davis

Bill Mayo

Lesley Caswell

Keya Dasgupta

 

POUR LA DÉFENDERESSE

NOVOPHARM LIMITED

(DOSSIER T-1161-07)

 

 

 

AVOCATS INSCRITS AU DOSSIER :

 

Smart and Biggar

Toronto (Ontario)

 

Gowlings Lafleur Henderson S.E.N.C.R.L.

Ottawa (Ontario)

 

POUR LES DEMANDERESSES

SANOFI‑AVENTIS CANADA ET AL.

 

POUR LA DEMANDERESSE

SCHERING CORPORATION

 

Goodmans LLP

Toronto (Ontario)

 

POUR LA DÉFENDERESSE

APOTEX INC.

Heenan, Blaikie S.E.N.C.R.L., SRL

Toronto (Ontario)

POUR LA DÉFENDERESSE

NOVOPHARM LIMITED

 

 

 

 Vous allez être redirigé vers la version la plus récente de la loi, qui peut ne pas être la version considérée au moment où le jugement a été rendu.