Décisions de la Cour fédérale

Informations sur la décision

Contenu de la décision

                      

 

Cour fédérale

 

 

 

 

 

 

 

 

Federal Court


Date : 20091001

Dossier : T‑1321‑97

Référence : 2009 CF 991

Ottawa (Ontario), le 1er octobre 2009

EN PRÉSENCE DE MADAME LA JUGE JOHANNE GAUTHIER

 

ENTRE :

ELI LILLY AND COMPANY

et ELI LILLY CANADA INC.

demanderesses

et

 

APOTEX INC.

défenderesse

 

ET ENTRE :

 

APOTEX INC.

demanderesse reconventionnelle

(défenderesse)

et

 

ELI LILLY AND COMPANY

et ELI LILLY CANADA INC.

 

défenderesses reconventionnelles

(demanderesses)

 

et

 

SHIONOGI & CO. LTD.

 

défenderesse reconventionnelle

 

MOTIFS DU JUGEMENT ET JUGEMENT

 

 

[1]               Les demanderesses à la présente action soutiennent que la société Apotex Inc. (Apotex) a porté atteinte à leurs droits afférents à huit brevets canadiens en important du céfaclor en vrac pour utilisation dans les diverses formes posologiques d’Apo-Cefaclor qu’elle a vendues après janvier 1997. La demanderesse Eli Lilly and Company (Lilly U.S.) est titulaire de ces huit brevets. Eli Lilly Canada Inc. (Lilly Canada), société de droit ontarien et filiale en propriété exclusive de Lilly U.S., affirme détenir des droits découlant de ceux du breveté, ce que conteste Apotex. Les demanderesses sont ci‑après dénommées collectivement « Lilly ».

 

[2]               Lilly a vendu des formes posologiques de céfaclor au Canada sous la marque déposée de CeclorMD. Ce médicament a été mis sur le marché en 1980[1].

 

[3]               Les quatre brevets suivants (les brevets de Lilly), dont les demandes ont toutes été déposées en février 1979, ont été délivrés à Lilly U.S., qui en est restée titulaire sans interruption :

a.       le brevet canadien no 1133007 (le brevet 007), délivré le 5 octobre 1982 et ayant expiré le 5 octobre 1999;

b.      le brevet canadien no 1146536 (le brevet 536), délivré le 17 mai 1983 et ayant expiré le 17 mai 2000;

c.       le brevet canadien no 1133468 (le brevet 468), délivré le 12 octobre 1982 et ayant expiré le 12 octobre 1999;

d.      le brevet canadien no 1150725 (le brevet 725), délivré le 26 juillet 1983 et ayant expiré le 26 juillet 2000[2].

 

Les brevets désignés aux alinéas b, c, et d sont ci‑après dénommés collectivement « les brevets de procédé de Lilly ».

 

[4]               Les quatre autres brevets en litige ont été délivrés à la société pharmaceutique japonaise Shionogi & Co. Ltd. (Shionogi), aux dates indiquées ci‑dessous :

a.       le brevet canadien no 1095026 (le brevet 026), délivré le 3 février 1981 et ayant expiré le 3 février 1998;

b.      le brevet canadien no 1132547 (le brevet 547), délivré le 28 septembre 1982 et ayant expiré le 28 septembre 1999;

c.       le brevet canadien no 1136132 (le brevet 132), délivré le 23 novembre 1982 et ayant expiré le 23 novembre 1999;

d.      le brevet canadien no 1144924 (le brevet 924), délivré le 19 avril 1983 et ayant expiré le 19 avril 2000[3].

 

Tous ces brevets ont la même date de dépôt (la demande initiale a été déposée au Canada en février 1976), mais trois d’entre eux ont été délivrés à la suite du dépôt de demandes divisionnaires, question qui sera examinée plus loin. Ces quatre brevets sont ci‑après dénommés collectivement « les brevets de Shionogi ». Lilly U.S. est devenue propriétaire des brevets de Shionogi par voie de cession en date du 27 avril 1995, enregistrée au Canada le 24 août 1995.

 

[5]               La présente action a été introduite il y a près de douze ans, mais la contestation entre les parties sur le point de savoir si la vente par Apotex d’une version générique du CeclorMD au Canada contreferait les brevets en litige a commencé il y a encore plus longtemps, avec le dépôt par Lilly et Shionogi, le 23 juin 1993, d’une demande sous le régime du Règlement sur les médicaments brevetés (avis de conformité) [le RMB(AC)][4]. La question avait aussi été soulevée en 1986, au moment où Apotex avait demandé une licence obligatoire relativement au céfaclor et à certains brevets de Lilly s’y rapportant.

 

[6]               Bien que, durant la plus grande partie de cette longue période, les parties aient intensivement contesté la question en justice, ni la procédure de communication préalable ni les autres mesures prises pendant toutes ces années n’ont pu réduire sensiblement le nombre des questions en litige ni canaliser le débat à l’instruction.

 

[7]               Étant donné la quantité d’éléments de preuve produits et le grand nombre des questions en litige, les avocats des parties ont déployé de réels efforts pour formuler tous leurs arguments par écrit. Par suite, ils ont produit près de mille pages de conclusions (y compris celles qui se rapportent à la demande reconventionnelle), sans compter les divers mémoires déposés concernant un certain nombre d’objections que la Cour a dû recevoir sous réserve afin d’éviter de retarder l’instruction. La Cour remercie chacun des avocats en question de s’être efforcé de faire en sorte qu’il reste le moins possible d’objections non réglées à la fin.

 

[8]               Malgré toute cette bonne volonté, la Cour s’est retrouvée devant une tâche énorme dont ne rend que partiellement compte le présent exposé des motifs, où, en dépit de sa longueur malheureusement excessive, la Cour n’a pas vraiment pu traiter de manière détaillée toutes les questions soulevées. Il n’était tout simplement pas possible ni même souhaitable de faire référence à tous les éléments de preuve et aux centaines de précédents invoqués par les parties[5].

[9]               Au bout du compte, il y a lieu de se demander en quoi le système a échoué, car la Cour est convaincue qu’il doit exister une meilleure manière d’atteindre les objectifs formulés à l’article 3 des Règles des Cours fédérales, DORS 98‑106, qui veut que soit apportée à chaque litige une solution qui soit juste et la plus expéditive et économique possible.

 

INDEX

 

      Titres                                                                                                          Paragraphes

1. Contexte général                                                                                                     10

 

2. La preuve                                                                                                               16

 

3. Absence de qualité pour agir de Lilly Canada                                                          75

 

4. Interprétation des brevets                                                                                        87

      4.1. Personne versée dans l’art                                                                          91

      4.2. Connaissances générales courantes (principes)                                          95

      4.3. Le brevet 007                                                                                              106

      4.4. Les brevets de procédés de Lilly                                                                 144

            4.4.1. Le brevet 536                                                                                      145

            4.4.2. Le brevet 725                                                                                      164

            4.4.3. Le brevet 468                                                                                      170

      4.5. Les brevets de Shionogi                                                                              175

            4.5.1. Éléments communs du mémoire descriptif                                             177

            4.5.2. Le brevet 547                                                                                      184

            4.5.3. Le brevet 924                                                                                      188

            4.5.4. Le brevet 132                                                                                      192

            4.5.5. Le brevet 026                                                                                      199

 

5. La contrefaçon                                                                                                        

      5.1. La charge de la preuve                                                                               211

      5.2. Les présomptions législatives et de common law                                       212

      5.3. Le procédé de Lupin                                                                                   224

      5.4. Le procédé de Kyong Bo                                                                             257

            5.4.1. L’existence d’une licence                                                                     263

      5.5. L’importation                                                                                              270

      5.6. La dérogation prévue au paragraphe 55.2(1) de la Loi sur les brevets       342

 

6. L’invalidité                                                                                                             347

      6.1. La norme de contrôle et la charge de la preuve                                         348

 

7. L’inhérence et l’absence d’objet brevetable                                                              

      7.1. Les brevets de Shionogi                                                                              371

      7.2. Les brevets de Lilly                                                                                     380

 

8. L’antériorité                                                                                                             

      8.1. Le critère juridique                                                                                     391

      8.2. Le brevet 007                                                                                              399

      8.3. Les brevets de procédé de Lilly                                                                   409

      8.4. Les brevets de Shionogi                                                                              411

 

9. L’évidence  

      9.1. Le critère juridique                                                                                     412

      9.2. Le brevet 007 (la revendication 17)                                                           426

            9.2.1. La personne versée dans l’art                                                               428

            9.2.2. Les connaissances générales courantes pertinentes                                429

            9.2.3. Rydon, Coe et Ramirez                                                                        432

            9.2.4. L’idée originale                                                                                    438

            9.2.5. La différence entre les connaissances générales courantes et les

                    publications susmentionnées et l’idée originale                                         439

            9.2.6. Ces différences seraient-elles évidentes pour la personne versée

                    dans l’art?                                                                                             441

      9.3. Les brevets de procédés de Lilly                                                                   

            9.3.1. Définition de la personne versée dans l’art                                            476

            9.3.2. Les connaissances générales courantes pertinentes                                477

            9.3.3. L’article de Dreux et autres antériorités                                                484

            9.3.4. L’idée originale                                                                                    489

            9.3.5. Les différences entre les antériorités, y compris les connaissances

                    générales courantes, et l’idée originale des revendications                       491

            9.3.6. Ces différences constituent-elles des étapes qui auraient été

                    évidentes, ou nécessitent-elles une certaine part d’invention?                   496

      9.4. Les brevets de Shionogi                                                                              512

            9.4.1. La personne versée dans l’art                                                               515

            9.4.2. Les connaissances générales courantes                                                 516

            9.4.3. Antériorités contestées                                                                         532

                  9.4.3.1. Cocker                                                                                      533

                  9.4.3.2. La demande de Chauvette                                                        538

                  9.4.3.3. Kishi                                                                                          539

            9.4.4. L’idée originale                                                                                    544

            9.4.5. Les différences entre l’art antérieur et l’idée originale

                  9.4.5.1. Le brevet 547                                                                            547

                  9.4.5.2. Le brevet 924                                                                            549

                  9.4.5.3. Le brevet 132                                                                            552

                  9.4.5.4. Le brevet 026                                                                            554

            9.4.6. Ces différences ont-elles un caractère inventif?                                     557

 

10. Manque d’utilité – prédiction valable – caractère inopérant                                   583

      10.1. Les brevets de Lilly                                                                                   585

      10.2. Les brevets de Shionogi                                                                            604

      10.3. Lacunes du mémoire descriptif et ambiguïté                                            613

 

11. Les mesures de redressement et les dépens                                                            

      11.1. La perte de droit et la compensation                                                        626

      11.2. Les mesures de redressement                                                                    646

      11.3. Les dommages-intérêts exemplaires/punitifs                                            657

      11.4. Les intérêts                                                                                                665

      11.5. Les dépens                                                                                                 676

 

12. La demande reconventionnelle d’Apotex                                                              683

      12.1. Les dispositions législatives applicables                                                   718

      12.2. Le cadre d’examen de la demande reconventionnelle d’Apotex              720

      12.3. La demande reconventionnelle d’Apotex est-elle prescrite?                    728

      12.4. Les dommages allégués par Apotex                                                         754

      12.5. La norme de preuve applicable                                                                757

      12.6. Le contexte                                                                                               771

      12.7. Les scénarios hypothétiques d’Apotex concernant le lien de causalité    793

            12.7.1. Les scénarios 1 et 2 : Apotex obtient une licence de Shionogi

                        ou de Lilly                                                                                         803

            12.7.2. Le scénario 3 : Apotex met en œuvre le procédé de Shionogi

                        et n’est pas poursuivie                                                                        835

            12.7.3. Les scénarios 4 et 5 : Apotex met en œuvre les procédés de

                        Shionogi et de Lilly et est poursuivie par toutes deux                           840

      12.8. La cession cause‑t‑elle une perte dans le scénario hypothétique le

              plus probable?                                                                                           842

      12.9. Le coût supérieur du céfaclor en vrac d’origine licite                              849

      12.10. La responsabilité en contrefaçon                                                            853

            12.10.1. Les brevets de Lilly                                                                          855

            12.10.2. Les brevets de Shionogi                                                                   861

      12.11. Les dépens                                                                                               882

 

1. Contexte général

[10]           La pénicilline, qui a été découverte en 1928, est l’un des plus anciens composés à cycle bêta‑lactame. La pénicilline semi‑synthétique a fait son apparition plus tard. Les antibiotiques qui possèdent un cycle β‑lactame sont connus sous le nom de β‑lactamines. Le cycle β‑lactame est un cycle carré fortement réactif. Dans la pénicilline, ce cycle est relié à un cycle à cinq unités, alors que, dans les céphalosporines (dont le céfaclor), il est relié à un cycle à six unités contenant du soufre. Il existe différents types de β‑lactamines, par exemple la pénicilline V (Pen V) et la pénicilline G (Pen G), qui diffèrent par leur chaîne latérale.

 

[11]           Les céphalosporines ont été découvertes en 1948. Les chercheurs ont conçu des céphalosporines semi‑synthétiques en modifiant les composés naturels de façon à en augmenter l’activité antibactérienne. Les céphalosporines ont des propriétés bactéricides, tout comme les pénicillines, et leurs modes d’action sont similaires à ceux de ces dernières. Les céphalosporines sont classées selon leur génération. Les céphalosporines de première génération, comme la céphalexine (autre produit de Lilly), ont une bonne activité contre les bactéries Gram positif et une activité plus modeste contre les bactéries Gram négatif. Les céphalosporines de deuxième génération, comme le céfaclor, ont une plus grande activité contre les bactéries Gram négatif. Les céphalosporines de troisième génération, comme la céphotaxime, la ceftazidime et la ceftriaxone, sont moins actives que les céphalosporines de première génération, mais ont une bonne activité contre les Enterobacteriaceae.

 

[12]           Peu après sa mise en marché par Lilly, CeclorMD connaissait déjà un vif succès, qui s’est maintenu pendant plusieurs années. Cependant, en 1997, année où Apotex est entrée sur le marché, CeclorMD était incontestablement en déclin et avait cédé le pas à d’autres antibiotiques.

 

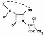
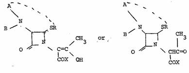
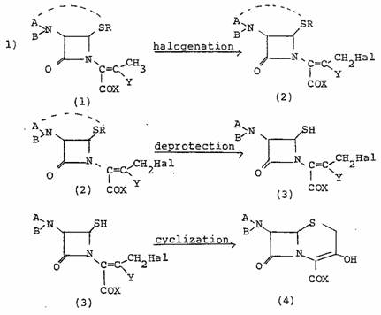
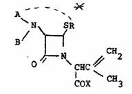
[13]           Le brevet principal du composé céfaclor ou de la classe des céphalosporines de deuxième génération à laquelle il appartient (acide 7‑χ‑aminoacyl-3‑halo-3‑céphème-carboxylique ou esters de cet acide) est le brevet 1,016,537 (le brevet 537). La demande de brevet a été déposée le 22 février 1974, et le brevet a été délivré au Canada le 30 août 1977. Le brevet a expiré le 30 août 1994. Il était aussi la propriété de Lilly U.S., étant donné que la découverte avait été réalisée par M. Chauvette, qui était membre de son équipe de recherche sur les β‑lactamines. Le céfaclor avait été expressément divulgué dans un exemple, et la revendication portait sur son procédé de fabrication, ou sur celle d’un composé chimique équivalent évident. Les autres revendications visaient d’autres composés 7‑χ‑acylamino‑3‑chloro‑3‑céphème produits au moyen de ces procédés.

 

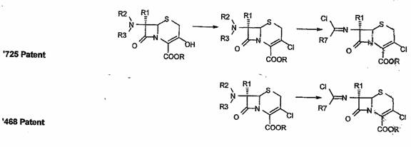
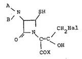
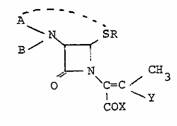
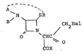
[14]           Bien que la description du brevet 007 fasse état de la préparation d’une céphalosporine à l’aide des complexes cinétiquement contrôlés revendiqués dans le brevet, aucune des parties ne conteste le fait que les revendications ne font pas expressément mention d’une telle utilisation. De même, aucune des revendications des brevets de procédés de Lilly ni des brevets de Shionogi ne portent directement sur un procédé pour fabriquer le céfaclor lui‑même. En fait, et comme la Cour l’expliquera plus en détail plus loin, ces brevets visent plus généralement la fabrication de ce que tous les experts reconnaissent comme un composé intermédiaire clé (le composé 3‑hydroxy‑3‑céphème)[6] utilisé dans la production du céfaclor. Les étapes requises pour produire du céfaclor à partir de ce produit intermédiaire clé ont été divulguées dans le brevet 537.

 

[15]           Une autre partie importante du débat concerne les procédés requis pour la transformation d’une molécule de pénicilline en une molécule de céphalosporine. Les molécules de pénicilline pouvaient être produites de façon synthétique à très faible coût, alors que la matière de départ originale utilisée par M. Chauvette pour fabriquer du céfaclor ou d’autres céphalosporines de deuxième génération décrites dans le brevet était très coûteuse.

 

2. La preuve

[16]           Une partie importante de la preuve présentée en l’espèce est constituée d’une longue liste de faits sur lesquels s’entendent les parties et qui s’appliquent tant à l’action principale qu’à la demande reconventionnelle. Pour éviter les répétitions inutiles, la Cour évitera de répéter les faits admis qui s’appliquent aux deux actions, la totalité desdits faits ayant été considérée pour la détermination de l’issue des deux actions.

 

[17]           Dans l’action relative à la contrefaçon, Lilly a fait témoigner six témoins des faits : Mme Stéphanie Parra, M. Thomas Lee Pytynia, Mme Debbie Rassos, M. Larry Blaszczak, M. Robin Cooper et M. John Gardner.

 

[18]           Mme Parra est gestionnaire intérimaire de la division de la qualité générale de Santé Canada. Sa division est chargée d’évaluer les données relatives à la qualité des présentations de drogues soumises à son ministère, dont des données de fabrication et des données de nature chimique. Son témoignage avait pour principal but de présenter les documents déposés en preuve relativement à la demande d’Apotex pour son produit, Apo‑Cefaclor, et d’en expliquer brièvement la nature[7]. Il s’agissait particulièrement des parties « ouvertes » et « fermées » des fiches maîtresses du médicament (FMM) pertinentes soumises par les fournisseurs d’Apotex, soit Lupin Laboratories Ltd., de l’Inde (Lupin), et Kyong Bo Chemical Ltd., de la Corée du Sud (Kyong Bo).

 

[19]           Diverses pièces à conviction importantes dont il a été question tout au long du procès ont été déposées en preuve au cours du témoignage de Mme Parra, dont le sommaire global relatif à Apo‑Cefaclor (TX‑124), les parties ouvertes et fermées de la FMM de Kyong Bo (TX‑126; TX‑129), la modification à déclaration obligatoire d’Apotex relativement à un nouveau fournisseur (TX‑157) et des lettres du ministère de la Justice adressées à Gowlings Lafleur Henderson S.E.N.C.R.L. auxquelles étaient joints les renseignements fournis par Lupin (TX‑167; TX‑168).

 

[20]           Mme Parra a aussi expliqué la signification du terme « modification à déclaration obligatoire » et les divers niveaux qui lui sont associés, qui correspondent à des exigences plus ou moins grandes en matière de présentation réglementaire. Un changement de fournisseur, par exemple, est classé comme une modification de niveau 2. Si Santé Canada s’y oppose, il expédie une lettre d’objection à la partie concernée[8]. À cet égard, avant d’approuver le changement de fournisseur (de Kyong Bo à Lupin) duquel il avait été informé par Apotex, Santé Canada a demandé des renseignements additionnels au moyen d’un document appelé « Clarifax » (TX‑152), auquel Apotex a répondu dans une lettre datée du 21 juin 1997. Cette lettre était accompagnée d’une pièce jointe qui expliquait la provenance de la matière de départ et contenait un diagramme complet expliquant la voie de synthèse utilisée pour fabriquer des esters de l’acide 7‑amino-3‑chloro-3‑céphème‑4‑carboxylique (7‑ACCA) (TX‑150).

 

[21]           M. Pytynia était l’avocat interne de Lilly U.S. de mai 1977 au 31 décembre 2007. Son témoignage a porté principalement sur les relations entre Lilly U.S. et Lilly Canada, notamment leurs accords en matière de licence et de distribution. Il a présenté divers documents dont la Cour parlera plus tard, par exemple l’accord de licence de 1991 conclu entre Lilly U.S. et Lilly Canada (TX‑109), la modification de la licence de brevet et d’utilisation de marques de 1995 (TX‑110), l’accord-cadre en matière d’approvisionnement et de distribution entre les deux entreprises (TX‑112) ainsi que l’autorisation pour Lilly U.S d’accorder des sous‑licences à Lilly Canada (TX‑113).

 

[22]           Mme Rassos est la gestionnaire principale, Affaires réglementaires, de Lilly Canada, poste qu’elle occupait depuis deux ans et demi. Elle n’avait pas pris part directement aux événements entourant l’instance et n’a témoigné que sur les documents trouvés dans les dossiers réglementaires de Lilly Canada concernant le céfaclor. Elle a notamment présenté en preuve les renseignements sur les procédés de Lilly Canada soumis relativement à la présentation de drogue nouvelle (PDN) (TX‑208; TX‑209) pour CeclorMD ainsi qu’une partie de sa PDN de 1979 (TX‑115). Il a été établi, au cours de son contre-interrogatoire, que son témoignage à l’égard de l’identité du fournisseur de Lilly Canada pendant la période de 1979 et de 2000 était basé uniquement sur lesdits documents étant donné qu’elle n’était pas directement au fait de ces questions[9].

 

[23]           M. Blaszczak est l’un des inventeurs nommés dans les brevets de Lilly en litige, à l’exception du brevet 536. Cependant, il n’a pas témoigné en cette qualité, mais a plutôt expliqué ses liens avec un étudiant diplômé en chimie de l’Université de Modène, Alberto Spaggiari. Cet étudiant avait demandé à M. Blaszczak de le superviser dans ses recherches sur la chimie des β‑lactamines visant à concevoir des céphalosporines à double action. Cette supervision a amené M. Blaszczak à collaborer avec M. Spaggiari à titre de coauteur d’un article scientifique désigné en l’espèce comme l’article de Spaggiari, publié en 2004. Au cours du témoignage sur cette question, Apotex a soulevé un certain nombre d’objections pour cause de ouï‑dire. Même si ces objections étaient largement fondées, aucun des éléments de preuve à ce sujet n’a de lien avec les questions qui entourent le présent jugement.

 

[24]            Au cours de son contre‑interrogatoire, M. Blaszczak a été interrogé sur son rôle relativement à un rapport d’activité de 1978 sur le céfaclor (TX‑211). Il a aussi été interrogé sur le procédé utilisé par Lilly à la fin des années 1970, en particulier sur le passage au complexe triphénylphosphite (TPP)-chlore (Cl) et les résultats comparatifs obtenus. Finalement, M. Blaszczak a expliqué comment Lilly structurait ses opérations de recherche sur le céfaclor, particulièrement la fusion de fait du groupe recherche et développement de procédés et du groupe découverte (il faisait partie de ce dernier) lorsque Lilly a exigé que les chimistes du groupe découverte concentrent leurs efforts sur le problème posé par la production de céfaclor à l’échelle commerciale.

 

[25]           M. Cooper travaillait avec l’équipe de recherche de Lilly à la période qui nous occupe. Il était déjà un expert de renommée mondiale en chimie des céphalosporines. Il a été présenté comme témoin des faits et a relaté ses tentatives, au début des années 1970, de cycliser le composé qu’il avait découvert : le composé azétidinothiazoline (composé de Cooper) qui est utilisé comme matière de départ dans le procédé décrit dans les brevets de Shionogi. J’examinerai plus en détail le contenu de son témoignage au moment de l’évaluation des allégations d’invalidité des brevets de Shionogi.

 

[26]           M. Gardner est un chimiste qui a réalisé l’expérience décrite à l’exemple neuf du brevet 007 (clivage de chaîne latérale au moyen du complexe tri‑p‑chlorophénylphosphite-chlore) pendant qu’il travaillait chez Lilly à la fin de l’été et au début de l’automne de 1978. Bien que Lilly ait fourni une copie de son cahier de laboratoire datant de trente ans (TX‑1799), Apotex s’est opposé à ce que cet élément de preuve soit utilisé pour contrer les arguments de ses experts au sujet de l’invalidité. Essentiellement, Apotex alléguait que la règle 248 des Règles des Cours fédérales empêche la présentation de cet élément de preuve parce qu’Apotex a tenté d’obtenir les cahiers de laboratoire pendant sa découverte et que sa demande est restée lettre morte. Cependant, je ne vois pas comment la règle 248 peut s’appliquer si c’est la Cour qui a déterminé que les documents demandés n’étaient pas pertinents[10]. Cela étant dit, afin d’éviter d’autres débats secondaires, la Cour ne considère pas ces documents comme nécessaires pour aboutir à une conclusion.

 

[27]           Sous réserve de mes commentaires au sujet de Mme Rassos et de M. Cooper, j’estime que la preuve présentée par ces témoins est crédible.

 

[28]           Apotex a présenté huit témoins des faits en ce qui concerne l’action principale : Mme Julie Carrière, M. Donald Barber, M. Gordon Fahner, M. Bernard Sherman, M. John Hems, M. Rajeev Patil, M. Vilas Satpute et M. Haracharan (Harry) Singh.

 

[29]           Mme Carrière est directrice, Assurance qualité, chez Apotex. Elle a témoigné au sujet du contexte réglementaire qui oblige Apotex à mener des analyses sur les produits chimiques bruts qu’elle utilise pour fabriquer ses compositions pharmaceutiques. Son témoignage visait à appuyer la défense d’Apotex basée sur l’article 55.2 de la Loi sur les brevets, S.R. 1985, ch. P-4. Lors de son contre‑interrogatoire, elle a expliqué que les composés apparentés qui doivent être détectés au moyen de tests sont des impuretés de synthèse ou de dégradation qui ont déjà été identifiés dans la présentation de drogue nouvelle ou la modification à déclaration obligatoire. Elle a aussi convenu que ces composés apparentés peuvent varier d’un fournisseur à l’autre, selon les procédés utilisés, et qu’il peut donc être nécessaire de recourir à différentes techniques d’analyse[11]. Finalement, Mme Carrière a convenu que, même s’ils constituent une obligation réglementaire, les tests sont utiles pour Apotex, car celle‑ci doit s’assurer que les produits qu’elle met sur le marché sont sûrs et de bonne qualité. Autrement, ses ventes pourraient s’en ressentir.

 

[30]           M. Barber est gestionnaire, Mise au point de formulations, chez Apotex depuis 1998. Son témoignage portait sur la mise au point de produits chez Apotex. Il a expliqué en détail les différents tests nécessaires pour mettre au point un produit commercialement viable, ce qui comprend les étapes de formulation, l’augmentation de l’échelle d’utilisation d’un procédé ou de production d’une formulation qu’on croit pouvoir utiliser à l’échelle industrielle et l’analyse ou l’évaluation de la formulation ainsi obtenue. Des tests sont réalisés sur la matière brute tout au long du procédé.

 

[31]           Il a souligné que, chaque fois qu’Apotex a recours à un nouveau fournisseur d’ingrédient actif, les évaluations, tant chimiques que physiques, sont répétées, et une « bonne partie » des travaux de mise au point de la formulation doit aussi être répétée. M. Barber a expliqué que, avec le céfaclor, les travaux avaient débuté dès 1991. Il a identifié plusieurs pièces à conviction concernant des quantités de céfaclor qui n’avaient pas été vendues ou utilisées à des fins commerciales. Encore là, son témoignage visait à appuyer la défense d’Apotex basée sur l’article 55.2 de la Loi sur les brevets. Au cours du contre‑interrogatoire de M. Barber, l’avocat de Lilly s’est concentré sur l’exactitude de dossiers non pertinents pour ce qui est des questions que la Cour doit résoudre aujourd’hui, étant donné que si la contrefaçon est établie, les dommages-intérêts seront évalués sur renvoi. L’exactitude des dossiers d’Apotex à cet égard peut être contestée à l’étape du renvoi, conformément aux motifs de la Cour ci-dessous relativement à la juste portée de l’exemption.

 

[32]           M. Fahner est vice‑président, Finances, d’Apotex depuis 2003. Il occupait le poste de directeur des finances durant la période qui nous occupe. Il a témoigné à deux reprises au cours de l’action principale. Il a d’abord parlé du système de suivi des stocks d’Apotex et de l’évolution graduelle de ce système depuis ses débuts, sur support papier, jusqu’au système informatique SAP mis en place de 1999 à 2001. Le principal objet du témoignage de M. Fahner était de déposer en preuve les feuilles de calcul (TX‑1559; TX‑1560; TX‑1561) que ce dernier avait préparées et d’en expliquer l’importance. Ces feuilles de calcul représentent les quantités compilées de céfaclor qui, selon Apotex, sont visées par la défense basée sur l’article 55.2 de la Loi sur les brevets. M. Fahner a aussi expliqué l’importance d’une autre feuille de calcul qu’il a préparée (TX‑1759) et qui présente un résumé des quantités de céfaclor brut achetées par Apotex principalement à des fins commerciales et le prix payé.

 

[33]           Au contre‑interrogatoire, il est apparu clairement qu’une partie des matières inscrites dans les feuilles de calcul avaient été acquises après l’expiration du brevet et n’étaient donc pas pertinentes en l’espèce. S’appuyant sur cette constatation, Apotex a demandé à M. Fahner de réviser ces feuilles de calcul de façon à s’assurer que toutes les quantités qui y étaient inscrites étaient pertinentes en regard de l’allégation de contrefaçon. Les documents révisés ont été fournis par Apotex le 12 mai 2008. Des disparités ont aussi été constatées en ce qui concerne le sommaire des quantités de céfaclor brut (TX‑1759) et divers bons de commande. Encore une fois, comme il y aura renvoi, ces disparités n’ont pas d’intérêt en l’espèce. Finalement, M. Fahner a aussi identifié une feuille de calcul représentant les ventes internationales d’Apo‑Cefaclor (TX‑1747) et a confirmé qu’aucune vente n’avait eu lieu aux États-Unis.

 

[34]           Après le témoignage de M. Singh, dont il sera question plus loin, Apotex a rappelé M. Fahner pour qu’il parle de certaines factures provenant de Tektrade Ltd. (contenues dans Glopec‑36) qui remettaient en question le témoignage antérieur de M. Fahner. Ce dernier a affirmé que les factures en question (no TTL‑981006‑02 et TTL‑981006‑3) n’étaient pas dans les dossiers d’Apotex, qu’Apotex n’avait pas reçu les quantités de céfaclor mentionnées dans ces factures et qu’aucun paiement n’avait été fait à Tektrade Ltd. relativement à ces factures. Lilly s’est opposée à ce que M. Fahner soit rappelé pour témoigner, mais, le 17 juin 2008, la Cour a décidé d’exercer son pouvoir discrétionnaire et d’autoriser ce témoignage, notant que Lilly n’avait subi aucun préjudice à la lumière de l’ordonnance de disjonction relativement au montant des dommages‑intérêts, à l’exclusion, peut-être, de la perte du contre‑interrogatoire très valable de M. Singh interrogé par l’avocat de Lilly.

 

[35]           M. Hems est directeur, Affaires réglementaires, d’Apotex. Il a témoigné au sujet des exigences réglementaires auxquelles Apotex doit satisfaire afin de mettre un médicament sur le marché et du processus utilisé pour satisfaire à ces exigences. Il a supervisé le processus d’approbation du céfaclor, qui a débuté en 1993 par le dépôt de la présentation de drogue originale (TX‑1761; TX‑1762), et a expliqué les analyses de l’ingrédient actif nécessaires pour ces présentations. M. Hems a aussi expliqué le contenu de la FMM, les parties de cette fiche auxquelles Apotex pourrait avoir accès et la façon de procéder pour obtenir cet accès.

 

[36]           Sauf en ce qui concerne les factures de Tektrade, au sujet desquelles la Cour ne se prononcera pas, la preuve fournie par les témoins susmentionnés est admise.

 

[37]           M. Sherman est président-directeur général d’Apotex. À cette étape du procès, il a témoigné sur les pratiques d’Apotex relativement aux fournisseurs d’ingrédients actifs, en particulier du céfaclor. Il a expliqué que, vers la période où Apotex a reçu son avis de conformité pour le céfaclor, elle a embauché une avocate interne nommée Brigitte Fouillade, qui est décédée depuis. Elle avait pour rôle de conseiller M. Sherman sur les questions de propriété intellectuelle. Se référant à une lettre de Kyong Bo datée du 10 octobre 1997 et adressée à Mme Fouillade (TX‑662), M. Sherman a expliqué que Kyong Bo avait indiqué à Apotex qu’il avait le droit d’utiliser le procédé de Shionogi.

 

[38]           En ce qui concerne Lupin, M. Sherman a affirmé que, bien qu’aucun accord officiel n’ait été conclu au départ, Mme Fouillade tentait, selon lui, de s’assurer que les matières obtenues n’étaient pas contrefaites. Mme Fouillade a conçu un diagramme décrivant ce processus sans contrefaçon et, s’appuyant sur la correspondance entre Mme Fouillade et M. Singh (TX‑679), M. Sherman a expliqué que Mme Fouillade allait s’assurer que ce processus serait suivi, et ce, même si le céfaclor produit était plus coûteux; c’est pourquoi Apotex a conclu une entente en bonne et due forme.

 

[39]           En contre-interrogatoire, M. Sherman a été invité à expliquer les raisons pour lesquelles Apotex a limité son choix aux brevets de Lilly dans sa demande de licence obligatoire (TX-265) et les raisons qui l’ont conduit à résilier ladite licence (TX-267). Il a également été interrogé sur la raison pour laquelle l’accord avec Lupin (TX-1656) ne se trouvait pas dans l’affidavit original de documents qu’il avait signé (TX-327) et la raison pour laquelle Apotex n’avait déposé aucun préavis de modification pour ce nouveau procédé. Il a aussi été interrogé en profondeur sur les réponses fournies lors de l’interrogatoire préalable concernant l’information sur les procédés de Lupin et les communications entre Lupin et Apotex. Enfin, il a également tenté d’expliquer les différences de prix pour le céfaclor acheté de Lupin et de Kyong Bo.

 

[40]           De manière générale, la crédibilité du témoignage de M. Sherman ne soulève aucune difficulté pour la Cour en ce qui a trait aux questions auxquelles il a participé directement par opposition à celles où d’autres personnes participaient directement, comme Mme Fouillade. Il est évident et compréhensible que M. Sherman ne se soit pas souvenu de détails factuels et qu’il ait parfois semblé offrir des explications fondées sur le bon sens et des documents écrits. La Cour a été certainement surprise par sa franchise lorsqu’il a indiqué qu’il ne lisait pas la correspondance de ses avocats (il y en avait tout simplement trop) et qu’il s’appuyait entièrement sur eux lorsqu’il signait des affidavits (il n’est pas clair qu’il les lisait du tout)[12].

 

[41]           Les témoignages de M. Singh, de M. Patil et de M. Satpute ont été entendus sous réserve d’objections générales (que les parties appellent généralement voir dire) qui seront discutées dans la section concernant la contrefaçon. Il est quand même utile de décrire brièvement ce sur quoi portent leurs témoignages.

 

[42]           M. Singh est le propriétaire de Glopec International Inc. (Glopec), une société qui importe et distribue des ingrédients pharmaceutiques crus à la fois au Canada et aux États-Unis. Glopec représente des fabricants indiens, tels que Lupin, prenant soin non seulement de vendre leurs produits au Canada, mais de déposer aussi les documents exigés par la réglementation auprès de Santé Canada. En ce qui a trait au céfaclor, une certaine partie de la correspondance qui s’y rapportait a été déposée au cours de son témoignage (Glopec 1 à 14; 28 à 33). De même, M. Singh avait dans ses dossiers une certaine quantité de correspondance entre Glopec et Apotex (adressée à Mme Fouillade) concernant le procédé utilisé par Lupin à l’été de 1997 et la mise au point ultérieure avec Lupin d’un procédé qui ne constitue pas une contrefaçon (Glopec 16 à 26), ainsi que de la correspondance connexe avec Lupin (Glopec 27; 35)[13].

 

[43]           Le témoignage de M. Singh concernait également une importante commande d’Apotex pour la fabrication de 7 500 kg de céfaclor selon le procédé ainsi mis au point. Lorsqu’Apotex a reçu les factures pour du céfaclor en vrac fabriqué par Lupin, ces factures avaient été émises par Tektrade Ltd. (Glopec 36), une société de commerce appartenant à sa belle-famille en Inde et que M. Singh représente au Canada. M. Singh a expliqué la manière dont les prix mentionnés dans ces factures étaient fixés et la manière dont les paiements étaient traités, d’Apotex par l’intermédiaire de Tektrade Ltd. et finalement à Lupin. Bien qu’une grande partie de son contre-interrogatoire ait mis l’accent sur ces mêmes points, l’avocat Lilly a été en mesure d’identifier un écart plutôt important entre les factures de Tektrade Ltd. et les données consignées par Apotex relativement aux quantités reçues, ce qui, tel que cela a été mentionné plus haut, a incité Apotex à rappeler M. Fahner pour qu’il témoigne sur ce point.

 

[44]           M. Patil est le vice-président des affaires réglementaires chez Lupin. À la période pertinente, il était un directeur principal au sein du même service. Il avait la tâche d’enregistrer les produits de la société (FMM), ce qui incluait la forme posologique et le principe actif (vrac), l’étude des exigences réglementaires des pays vers lesquels Lupin exporte et le respect de ces exigences. Le témoignage de M. Patil a porté sur la manière dont Lupin effectuait l’enregistrement et s’acquittaient des autres exigences, de même que sur leur contenu en général, mettant un accent particulier sur les communications avec Santé Canada à propos du céfaclor provenant directement de Lupin et par l’entremise de Glopec (qui ont été présentées sous les cotes Patil 1 à 6; TX-337; Glopec 4 et 5; 10). Ces documents sont entrés en la possession de M. Patil à la suite d’une demande faite à Santé Canada en 2008 pour les lui fournir puisque les dossiers de Lupin avaient été en grande partie perdus dans une inondation en 2005 (certains dossiers existaient toujours au bureau de Bombay, alors que d’autres ont pu être récupérés).

 

[45]           Dans son témoignage, M. Patil a aussi parlé des endroits où le céfaclor et le 7‑ACCA sont fabriqués. De la correspondance entre Lupin et Glopec a aussi été présentée, par exemple Patil 8 (mais aussi Patil 9; TX-158), dans laquelle l’écriture de M. Patil apparaissait dans les marges et qui a donné lieu au témoignage sur l’interaction de M. Patil avec le service de recherche et développement (R-D) (la lettre était adressée à M. Gutpa, le chef du service de R-D) de Lupin concernant la demande d’Apotex relativement à la fabrication de céfaclor en utilisant un troisième procédé. Dans son témoignage concernant ce troisième procédé, M. Patil a mentionné un mélange dans la correspondance en 1999, plus particulièrement un schéma de fabrication incorrect pour le 7‑ACCA, qui y était ajouté en annexe (voir par exemple Patil 10).

 

[46]           M. Satpute est le vice-président de la fabrication du principe actif aux installations de Lupin à Mandideep. À la période pertinente (1996-1999), il était directeur principal de l’installation de Lupin à Ankleshwai, qui fabriquait de l’éthambutol, de la vitamine B-6 et deux intermédiaires, le 7-ADCA et 7-ACCA. Après 1999, il a joué ce même rôle mais aux installations Mandideep où sont fabriqués la céfalexine, le céfadroxil, le céfaclor, la ceftriaxone et céfotaxime. Le témoignage de M. Satpute a porté sur le procédé utilisé à l’installation d’Ankleshwai pour fabriquer le 7-ACCA et sa transformation ultérieure en céfaclor à Mandideep et le délai que cela nécessitait.

 

[47]           Dans son témoignage, il a indiqué qu’au départ en 1996, Lupin utilisait un procédé qui commençait avec l’acide Pen V. Au cours de 1997, Lupin a fabriqué des lots d’essai et quelques lots commerciaux en vue de la validation d’un nouveau procédé commençant avec le Pen G avant de revenir en 1998 à l’acide Pen V, mais en utilisant un troisième procédé qui était quelque peu différent de celui utilisé en 1996 (plus particulièrement ce qui est désigné comme étant l’étape V dans certains documents de Lupin) pour remplir ce qu’il a décrit comme étant [traduction] « une des plus grosses commandes que nous ayons reçues ». M. Satpute a expliqué la mise en œuvre de ce troisième procédé, le fait qu’il donnait des rendements beaucoup plus faibles (environ 60 pour cent des rendements du procédé antérieur avec l’acide Pen V) et l’utilisation du chlore (Cl) gazeux et du phosphate de triphényle. De même, lorsqu’il lui a été demandé de trouver les dossiers de lot pour le 7-ACCA ainsi fabriqué, à l’égard duquel le directeur d’usine et le service de R-D auraient créé un modèle quelques semaines avant de venir au Canada, il a découvert que ces documents n’existaient plus. Il n’est pas clair si quelqu’un a vérifié les dossiers du service de R-D pour les données concernant ce procédé.

 

[48]           Une fois cette commande remplie, M. Satpute a déclaré dans son témoignage que Lupin est revenue au procédé avec le Pen G, validé au cours de la dernière partie de 1997. Les documents mentionnés dans la cadre du contre-interrogatoire de M. Satpute ont été cotés Satpute 1 à 3.

 

[49]           En fait, les parties ont déposé sur consentement un affidavit de Leslie Sands, directrice des affaires réglementaires chez Lupin Pharmaceuticals Inc., une filiale de Lupin exerçant ses activités aux États-Unis (TX-340). Ce dépôt a été fait sous réserve d’une objection selon laquelle les documents qui s’y trouvaient n’étaient pas une preuve de leur contenu, mais plutôt uniquement une preuve de l’existence de ces communications avec la Food and Drug Administration des États-Unis. La Cour est d’accord avec Apotex à cet égard.

 

[50]           Dans l’action principale, les parties ont déposé 33 rapports d’experts portant sur les allégations de contrefaçon et d’invalidité. Ils sont énumérés dans le tableau A[14] joint au présent jugement et qui indique le nom des experts, la date, le sujet et les numéros de pièces, de même que leur domaine d’expertise et un bref résumé de leurs compétences.

 

[51]           En ce qui a trait à la question de la contrefaçon des brevets de Shionogi par l’utilisation du procédé de Kyong Bo, Lilly a appelé M. Anthony Barrett comme témoin, tandis qu’Apotex a répondu avec le témoignage de M. Stephen Hanessian qui aborde la question de la contrefaçon de tous les brevets en cause, principalement pour étayer les arguments d’Apotex relativement à l’importation (A-10). Les deux experts avaient les compétences suffisantes pour se prononcer sur ces questions. À cet égard, leur témoignage n’a pas été contredit. La Cour accepte le témoignage de M. Barrett concernant le procédé de Kyong Bo, tandis que la pertinence du témoignage de M. Hanessian sera discutée dans la section portant sur l’importation.

 

[52]           Une question beaucoup plus litigieuse concerne la contrefaçon des brevets de Lilly, plus particulièrement la question de savoir si le procédé de Lupin décrit dans le dossier de Santé Canada était visé par le monopole des demanderesses. Les principaux témoins experts[15] à cet égard étaient MM. Miller et Baldwin. Alors que M. Hunter[16] et M. Moraski ont présenté et commenté les résultats de nombreuses expériences effectuées par les deux parties relativement à cette question, plus particulièrement l’utilisation de la spectroscopie de résonance magnétique nucléaire du phosphore (31P RMN), les experts d’Apotex sur cette question étaient MM. Modro, McClelland et Cowley. M. Chase a aussi témoigné sur les essais qu’il a effectués.

 

[53]           Un temps excessivement long a été passé à discuter des résultats des diverses expériences effectuées par les deux parties, de même que leurs présumées lacunes respectives. Il est clair que la plupart de ces expériences comportaient une certaine part de subjectivité (par exemple, ce qui est jaune par opposition à jaune pâle ou jaune léger, ou ce qu’est le refroidissement par opposition au refroidissement à la glace ou au sel à glace, ou ce que signifie à la température de la pièce, etc.) et qu’aucun des essais réalisés n’était véritablement parfait. Pour diverses raisons, des choix ont été faits à l’égard de la température et de l’équipement. Dans un laboratoire, plusieurs choses peuvent mal fonctionner et c’est ce qui se produit (valves brisées, etc.). La Cour a fait preuve d’une très grande prudence dans l’évaluation à accorder à ces éléments de preuve, mais finalement, compte tenu de l’interprétation adoptée à l’égard des revendications en cause, la plupart de ces expériences et les commentaires qui s’y rapportent ont quelque peu perdu de leur pertinence. En ce qui a trait aux essais qui demeurent pertinents, tels que les réactions réalisées avec du substrat de céphalosporine avec ou sans capteur d’halogène, les essais individuels n’ont pas été examinés isolément, en ce sens que la Cour a toujours tenté de confirmer si d’autres éléments de preuve au dossier appuyaient les résultats.

 

[54]           L’aspect positif de ces essais est qu’ils ont mené à l’abandon de certains arguments et contribué à cerner les débats.

[55]           Il y a eu un long débat à propos de l’admissibilité des essais effectués ex parte et la manière dont ces essais doivent être présentés en preuve. Au bout du compte, ces questions ont été tranchées sans qu’il soit nécessaire de rendre une décision. Il est cependant important de souligner que les ordonnances rendues avant le procès et fixant un calendrier des échéances pour la présentation des résultats d’essais ne doivent pas, à moins d’une indication expresse contraire, être interprétées comme constituant une renonciation à toute exigence qui peut exister concernant l’avis d’essais qui doivent être réalisés avant le procès.

 

[56]           De même, concernant la contrefaçon des brevets de procédés Lilly, la Cour a accordé aux deux parties l’autorisation de faire entendre des experts sur les questions découlant du témoignage de M. Satpute. M. Barrett (E-15), qui avait auparavant traité des brevets de Shionogi, et M. Hanessian (A-20) ont témoigné à propos des divers procédés qu’aurait utilisés Lupin.

 

[57]           Pour ce qui est de la phase de validité de l’essai, Apotex s’est appuyée sur le témoignage de MM. McClelland, Hanessian et Martin pour les brevets de Shionogi, tandis que Lilly a répondu en présentant le témoignage de M. Barrett et celui de M. Murphy, qui ont porté sur la poursuite visant les brevets Shionogi et l’uniformité de pratique du Bureau canadien des brevets en matière d’inventions.

 

[58]           En ce qui a trait aux brevets de Lilly, MM. Modro, Chivers, Olah et McClelland ont discuté de la validité du brevet 007, et M. McClelland a aussi témoigné à propos des questions liées à tous les brevets de procédés de Lilly et M. Olah s’est prononcé sur le brevet 536. En réponse, Lilly s’est appuyée sur le témoignage de M. Baldwin qui a discuté de tous les brevets de Lilly et de M. Hunter dont le témoignage a porté sur certaines allégations concernant le brevet 007. M. Murphy a également discuté de la poursuite visant les brevets de Lilly et de l’uniformité de pratique qui s’y rattachait en matière d’inventions.

 

[59]           En ce qui concerne la contrefaçon par le procédé de Lupin, la Cour a jugé le témoignage de MM. Baldwin et Miller particulièrement utile. Malgré les tentatives d’Apotex visant à contester leur crédibilité au motif qu’ils avaient à l’occasion travaillé comme consultants pour Lilly et que l’université où enseigne M. Miller a reçu des subventions de Lilly, la Cour est convaincue que leur témoignage est honnête et impartial. À cet égard, la Cour constate que dans les débuts de son témoignage, M. Baldwin a admis d’emblée que le complexe cinétique devait se former dans certaines expériences des réalisations antérieures.

 

[60]           Pour ce qui est de la validité des brevets de Lilly, à l’instar de la Chambre des lords dans Synthon BV c. Smithkline Beecham plc, [2005] UKHL 59, [2006] 1 All ER 685 (Synthon), qui a décrit M. Baldwin comme l’un des chimistes organiques de premier plan au monde, la Cour a jugé qu’il était particulièrement bien qualifié pour témoigner à propos des questions de fait visées par son rapport. En effet, il était le seul expert qui possède les qualifications requises pour se prononcer sur les connaissances générales courantes de la personne versée dans l’art à qui s’adressaient les brevets de procédés de Lilly et la manière dont ladite personne versée dans l’art interpréterait ces brevets ou les réalisations antérieures pertinentes.

 

[61]           MM. Modro, Olah et McClelland possédaient tous les qualifications suffisantes pour se prononcer à l’égard du brevet 007. De manière générale, leur crédibilité ne soulevait aucun problème pour la Cour, quoique cette dernière ait été plus prudente à l’égard du témoignage de M. McClelland parce qu’en raison de sa vaste expérience à titre d’expert dans des affaires concernant des brevets, il était quelque peu moins spontané que les autres experts d’Apotex.

 

[62]           Il est évident, et MM. Modro et Martin l’ont reconnu d’emblée, que Me Ivor Hughes et M. Stewart de son bureau ont joué un rôle très important dans la rédaction des rapports (probablement tous les rapports, à l’exception peut-être de celui de M. McClelland). Habituellement, il n’y a pas de mal à ce que l’avocat aide une personne à rédiger son rapport, mais malgré la souplesse de la Cour à cet égard, il ne faut pas perdre de vue le principe exprimé dans la décision National Justice Compania Riviera S.A. c. Prudential Assurance Co. (l’affaire « Ikarian Reefer »), [1993] 2 Lloyd’s Rep. 68, selon lequel [traduction] « la preuve d’expert devrait être considérée comme le produit indépendant de l’expert non influencé à l’égard de la forme ou du contenu par les exigences du litige : Whitehouse c. Jordan, [1981] 1 WLR 246, à la page 256, Lord Wilberforce » (non souligné dans l’original). Assurément, plus le nombre d’avocats participants est grand, plus l’expert doit être prudent lorsqu’il examine le texte proposé pour s’assurer qu’il reflète véritablement son point de vue. En l’espèce, certains éléments de preuve ont démontré que l’examen, plus particulièrement par les experts d’Apotex, n’était pas aussi soigné que l’on s’y attendrait.

 

[63]           Bien que la Cour ait de manière générale accepté le témoignage de M. Hunter à l’égard des essais réalisés et qu’elle ait conclu que son témoignage était crédible concernant les connaissances générales courantes à propos du 31P RMN et de l’effet de divers facteurs sur le déplacement chimique en ppm au moment pertinent, son témoignage n’était pas aussi utile compte tenu de l’interprétation adoptée par la Cour à l’égard des revendications en cause. En ce qui a trait à la validité du brevet 007 (E-18), la Cour souligne que M. Hunter est titulaire d’un doctorat en chimie inorganique. La Cour a accordé à son témoignage le même poids qu’à celui de M. Chivers à l’égard dudit brevet.

 

[64]           De même, compte tenu de l’interprétation des revendications en cause, la plus grande partie du témoignage de M. Cowley n’était pas particulièrement utile. En ce qui a trait au point de vue qu’il a exprimé au paragraphe 27 de son rapport (A-9), la Cour a préféré l’opinion de M. Hunter qui a été corroborée par les essais réalisés, notamment ceux de M. Chase. La Cour n’a pas été impressionnée par son témoignage au sujet de l’article de Spaggiari[17].

 

[65]           Tel qu’il a été mentionné, M. Chivers, à l’instar de M. Hunter, est titulaire d’un doctorat en chimie inorganique[18] avec une expertise particulière en chimie impliquant divers éléments, dont le phosphore. Il a témoigné d’une manière honnête, claire et crédible. Il est évident qu’on lui avait aussi d’abord demandé de faire des observations sur la validité du brevet 536, une question à l’égard de laquelle il n’était manifestement pas compétent, mais le rapport qu’il a déposé lors de son témoignage était grandement expurgé, vraisemblablement en réponse à l’objection de Lilly selon laquelle il y avait duplication. Seul le paragraphe 6 porte maintenant sur le brevet 536 et il décrit les caractéristiques de la personne à qui s’adresse le brevet. Son témoignage à l’égard du brevet 007, comme celui de M. Hunter, n’a pas ajouté grand-chose à celui des experts en chimie organique ou médicinaux très qualifiés sur lesquels Apotex et Lilly se sont appuyés.

 

[66]           M. Barrett et M. Hanessian sont tous deux très qualifiés et possèdent de l’expertise dans les β-lactamines, plus particulièrement en chimie des céphalosporines, même si les détails concernant ce que faisait exactement M. Hanessian à la fin des années 1970 à l’égard des β-lactamines ou des céphalosporines ne sont pas aussi clairs[19]. Ces deux experts étaient tout aussi que crédibles l’un que l’autre, ce qui a rendu la tâche de la Cour particulièrement difficile, compte tenu que leur témoignage est souvent contradictoire.

[67]           Mes observations supplémentaires concernant les témoignages de MM. Olah, McClelland et Martin à l’égard des brevets de procédés de Lilly et des brevets de Shionogi illustrent les difficultés auxquelles la Cour a fait face en l’espèce et qui ne sont malheureusement pas rares.

[68]           M. Olah est un scientifique de renom. Parmi ses nombreuses réalisations exceptionnelles, il a obtenu un prix Nobel en 1994 pour ses travaux sur les composés carbonés dotés d’une charge positive. Il n’a cependant aucune expérience quelle qu’elle soit à l’égard des β-lactamines ou de la chimie des céphalosporines. Malgré cela, on lui a demandé de se prononcer sur la validité du brevet 536 à partir de publications que lui a fournies Me Ivor Hughes, un des avocats d’Apotex à cette époque. À l’instar des autres experts agissant pour le compte d’Apotex, son rapport inclut une description de la personne à qui s’adressent ces brevets et qui semble conçue pour correspondre à ses compétences.

[69]           En contre-interrogatoire, il ne pouvait pas nommer un réactif utilisé en chimie des céphalosporines, le type de chimie discuté dans le brevet 536. Cela pourrait expliquer la raison pour laquelle il a semblé être un témoin réticent, qui a même refusé de répondre à des questions au cours de son contre-interrogatoire jusqu’à ce qu’on lui présente le choix de retirer son rapport ou de répondre aux questions qui lui étaient posées. Cela pourrait aussi expliquer le commentaire suivant : [traduction] « Je ne mettrais pas ma réputation en jeu de quelque manière que ce soit pour soutenir que les quelques ppm d’une manière ou d’une autre représentent une situation fondamentalement différente[20]. »

 

[70]           Dans un tel cas, il est facile de comprendre la raison pour laquelle la Cour a préféré le témoignage de M. Baldwin concernant le brevet 536 à celui de M. Olah, et la raison pour laquelle le temps passé à interroger et à contre-interroger un témoin qui n’est pas [traduction] « le bon expert pour ce qui était demandé » constitue presque toujours du temps perdu pour tous les intéressés.

[71]           Le témoignage de M. McClelland à l’égard des brevets de procédés de Lilly et des brevets de Shionogi appartient à peu près à la même catégorie, plus particulièrement lorsqu’on estime qu’il devrait être plus avisé compte tenu de sa vaste expérience des litiges.

[72]           Cela constitue un problème, car le fait qu’une personne soit disposée à présenter une opinion sans un fondement approprié pour le faire peut avoir une incidence sur l’ensemble de la crédibilité d’un témoin autrement qualifié pour se prononcer sur une autre question. En effet, cela peut soulever certains doutes quant à l’existence d’un fondement adéquat pour l’autre partie de son opinion relativement à la question de savoir si l’expert a véritablement compris son rôle[21].

[73]           M. Martin est un autre expert de renom en chimie organique dans son domaine qui inclut les lactamines. Il n’a toutefois aucune expérience en chimie des β-lactamines et encore moins en chimie des céphalosporines, une exigence préalable pour la personne versée dans l’art à qui s’adressent les brevets de Shionogi, selon le paragraphe 12 de son rapport. Tentant de pallier son incapacité [traduction] « évidente » d’avoir le point de vue d’une telle personne versée dans l’art, M. Martin a déclaré dans son témoignage que dans les réactions revendiquées la molécule de β-lactamine demeure en effet un spectateur. La Cour ne peut pas être d’accord et, comme l’a soutenu Lilly, il s’agit clairement d’un examen rétrospectif. Cela met en doute la compréhension qu’avait M. Martin de son rôle, car il a aussi présenté des observations sur d’autres questions qui semblent se situer au-delà de son expertise et de ses connaissances personnelles (conférences prononcées par Kishi et l’invention non revendiquée dans les brevets de Shionogi).

 

[74]           Une autre question à l’égard de laquelle les parties ont présenté une preuve d’expert concernait les affaires réglementaires dans le domaine pharmaceutique, plus particulièrement le dépôt de PDN et de FMM et les exigences concernant le maintien à jour de ces documents. À cette fin, Lilly s’est appuyée sur Mme Azzarello qui a déposé un rapport (E-7) et Apotex s’est appuyée sur le témoignage de Mme Wehner, qui a également déposé un rapport (A-11). Ces éléments de preuve ont fourni quelques précisions pour le débat sur la valeur probante des renseignements fournis à Santé Canada par les fournisseurs étrangers d’Apotex. Ils ont également mis en lumière l’existence d’une lacune possible dans les règlements ou du moins dans la manière dont ils sont appliqués. Selon Mme Wehner, il est connu que les fournisseurs étrangers ne se conforment pas toujours aux règlements et ne déposent pas toujours des renseignements à jour à propos de leurs procédés. De même, des modifications sont parfois mises en œuvre avant de recevoir l’approbation de Santé Canada. Je comprends qu’en bout de ligne cela peut avoir une incidence sur la sécurité du produit parce qu’il se peut que le répondant canadien doive adapter les essais réalisés sur le principe actif[22] au procédé utilisé pour le fabriquer. Il s’agit clairement d’une question qui relève de l’organisme de réglementation, non d’une cour saisie d’une action en contrefaçon. Cela dit, ces éléments de preuve n’étaient finalement pas particulièrement utiles.

 

3. Défaut de qualité pour agir de Lilly Canada

[75]           Apotex soutient que Lilly Canada n’a pas prouvé sa qualité pour engager une poursuite. Elle allègue que la simple affirmation d’une relation entre les entreprises n’est pas suffisante. À cet égard, elle s’appuie sur deux déclarations faites par la juge Judith Snider dans la décision Laboratoires Servier c. Apotex Inc., 2008 CF 825, 67 C.P.R. (4th) 241 (Laboratoires Servier) qui se lisent comme suit :

Le critère applicable pour déterminer qui est une personne se réclamant du breveté n’est pas simplement la question de savoir si le breveté a consenti à ce que la personne se joigne comme demanderesse à une action, pas plus qu’il est suffisant de démontrer que les parties sont liées. Dans chaque cas, les faits doivent montrer un fondement crédible et suffisant en droit pour se réclamer d’un breveté […].

 

[…]

 

Ainsi que je l’ai déjà signalé, la simple existence d’un lien entre des sociétés n’est pas une preuve concluante d’un droit en vertu du paragraphe 55(1) de la Loi sur les brevets. Il doit y avoir plus. La jurisprudence a, de façon constante, présenté cet élément supplémentaire comme une « licence » ou quelque autre arrangement (par exemple, un bail, une cession ou une vente) qui accorderait à la société affiliée le droit d’utiliser le brevet.

 

[Paragraphes 70 et 82]

 

 

[76]           Lilly Canada n’est pas en désaccord avec les déclarations ci-dessus. Elle dit simplement qu’en l’espèce elle a non seulement établi, au moyen du témoignage de M. Pytynia (transcription, volume 7, pages 56 à 63 et 83 et 84) que Lilly Canada est une filiale à part entière, mais qu’elle détenait aussi une licence expresse à la fois à l’égard des brevets de Lilly et de ceux de Shionogi en cause en l’espèce. Il a été également reconnu que Lilly Canada vend le CeclorMD (céfaclor) au Canada depuis 1980. Lilly Canada a renvoyé de manière précise à diverses pièces déposées au cours de l’audience pour appuyer sa position, plus particulièrement un accord signé qui entrait en vigueur le 1er janvier 1991 entre Lilly U.S. et Lilly Canada (TX-109) qui prévoit ce qui suit :

[traduction] Lilly déclare et garantit que pour le Canada, elle a le droit exclusif d’accorder des licences pour autoriser le titulaire de licence à fabriquer, à faire fabriquer, à utiliser et à vendre certains produits, y compris le droit d’utiliser au Canada, certains brevets, certaines marques de commerce

 

[…]

 

relatifs à ces produits et à leur préparation, à leur fabrication, à leur transformation et à leur emballage.

 

[77]           Dans ledit accord, Lilly U.S. nomme Lilly Canada distributrice autorisée de tous les produits de Lilly U.S. au Canada (ce qui inclut le CeclorMD) et l’article 1.2 est rédigé comme suit :

[traduction] De plus, Lilly accorde à Lilly Canada une sous-licence non exclusive (sans le droit d’accorder d’autres sous-licences sauf dans la mesure autorisée par écrit par Lilly) en vertu des demandes de brevet et des brevets canadiens énumérés dans l’annexe A

 

[…]

 

pour fabriquer, faire fabriquer, utiliser ou vendre et (ou) importer les produits de Lilly dont la préparation est visée par les demandes de brevets et les brevets.

 

[78]           Les quatre brevets de Lilly en cause en l’espèce sont énumérés aux pages 8 et 9 de l’annexe A. Habituellement, la question de savoir si Lilly Canada a la qualité pour agir en vertu du paragraphe 55(1) de la Loi sur les brevets, du moins à l’égard de ces brevets, ne devrait pas soulever la controverse.

 

[79]           Apotex soutient toutefois que le 1er janvier 1995, l’accord de 1991 a été modifié (TX‑110) pour supprimer les différentes annexes, ce qui a été fait, selon M. Pytynia, pour éviter de les maintenir à jour, une chose difficile à faire. Selon Apotex, cette modification a eu pour effet de simplement faire en sorte que Lilly Canada ne détenait plus les licences concernant les brevets de Lilly ou de Shionogi.

 

[80]           Selon Apotex, cela était particulièrement logique[23] à l’égard des brevets de Shionogi, compte tenu qu’aucune des substances achetées par Lilly Canada n’était fabriquée selon les procédés protégés par ces brevets et que Lilly Canada n’a jamais effectivement fabriqué, acheté ou vendu des composés revendiqués dans les brevets en cause. Apotex rejette également l’effet de l’accord général d’approvisionnement et de distribution, déposé sous la cote TX‑112, au motif que le rôle de Lilly Canada à titre de distributrice semble être fondé sur un accord qui ne prévoit rien à propos des droits de brevet, pas plus qu’il ne qualifie Lilly Canada comme mandataire et nie expressément tous autres droits existant entre les parties.

 

[81]           La Cour est d’accord avec la demanderesse qu’une telle interprétation de l’accord de 1991 et ses modifications au fil du temps conduit à un résultat absurde et qu’elle est tout simplement incorrecte. L’accord du 1er janvier 1995 prévoit expressément ce qui suit :

[traduction] ATTENDU QUE les parties désirent maintenir les droits, les licences et les sous-licences accordés par l’accord tout en reconnaissant également que les parties recevront une rémunération complète en vertu de l’accord-cadre d’approvisionnement et de fabrication ou d’autres accords.

 

[82]           Il est aussi utile de souligner que l’accord de 1991 a été de nouveau modifié le 9 avril 1998 (TX-113) donnant à Lilly Canada le droit d’accorder d’autres sous-licences à des tiers en vertu de quelques-uns des brevets visés par l’accord, conformément à l’article 1.2 de l’accord de 1991. Plus précisément, la modification mentionne la licence accordée en vertu de l’accord de 1991 à l’égard du céfaclor et :

[traduction] accorde à Lilly Canada le droit d’accorder des sous-licences concernant les licences suivantes qui lui ont été accordées en vertu de l’accord de licence [de 1991] (collectivement appelées les « licences ») à l’égard du céfaclor : (i) les licences accordées en vertu des droits de brevet de Lilly U.S. (y compris, sans les restreindre, les brevets énumérés à l’annexe A des présentes).

 

Ladite annexe mentionnait expressément trois des brevets de Lilly en cause (les seuls brevets manquants sont les brevets 007 et 026, ce dernier ayant expiré à ce moment-là).

 

[83]           Après avoir examiné l’ensemble de la preuve, la Cour est convaincue que Lilly Canada a établi de manière satisfaisante qu’elle a la qualité d’agir fondée sur une licence expresse du titulaire de brevet.

[84]           Avant de conclure sur cette question, il est utile de citer un passage de l’arrêt de la Cour d’appel fédérale dans Apotex Inc. c. Wellcome Foundation Ltd., [2001] 1 C.F. 495 (2000), 262 N.R. 137 (Apotex (2000)), dans lequel, après avoir souligné que le juge du procès, le juge Howard Wetston, n’avait commis aucune erreur dans son analyse et sa conclusion, et que compte tenu de la pratique du groupe Glaxo Wellcome Inc. d’accorder des licences non écrites, Glaxo Wellcome Inc. détenait une licence non écrite à l’égard de tous les brevets détenus par toutes les sociétés sous le contrôle de Glaxo Wellcome Inc., du Royaume-Uni, le juge Marshall Rothstein a souligné ce qui suit, au paragraphe 99 :

Peut-être est-il indiqué de faire remarquer qu’en l’espèce, la présumée titulaire de licence n’est pas la seule à ester en justice pour contrefaçon de brevet, la brevetée également s’adresse à la Cour comme codemanderesse et appuie la revendication de GWI. Il est difficile de concevoir ce qu’on pourrait demander de plus. Lorsque la brevetée et la personne se réclamant de celle-ci sont toutes deux parties à l’action, sont affiliées parce que toutes deux détenues par la même société mère et ont le même intérêt relativement au litige — la brevetée appuyant la demande de la personne se réclamant d’elle — il est surprenant, c’est le moins qu’on puisse dire, que des arguments techniques relatifs à la qualité pour agir soient avancés comme moyen de défense à une action en contrefaçon.

 

[85]           En effet, Lilly Canada soutient que dans le passé, la Cour d’appel fédérale a accepté moins qu’une licence exclusive ou non exclusive comme preuve du droit de se réclamer d’un breveté. À titre d’exemple, dans l’arrêt Signalisation de Montréal Inc. c. Services de Béton Universels Ltée (1992), [1993] 1 F.C. 341, 147 N.R. 241, la Cour a accepté que la demanderesse dont la qualité pour agir était contestée soit la représentante du produit du breveté au Canada. L’accord entre elle et le breveté ne mentionnait pas expressément les brevets ou des droits de quelque sorte en vertu de l’accord, menant le juge Paul Rouleau à conclure que la demanderesse n’avait pas la qualité pour instituer une action en contrefaçon. Lorsqu’elle a infirmé la décision du juge du procès, la Cour d’appel a dit, notamment, ce qui suit :

À mon avis, une personne « se réclamant » du breveté est une personne qui tire du breveté son droit d’utilisation de l’invention brevetée, à quelque degré que ce soit. Le droit d’employer une invention en est un dont le monopole est conféré par un brevet. Lorsque la violation de ce droit est alléguée par une personne qui peut directement faire remonter son titre jusqu’au breveté, cette personne « se réclame » du breveté. Peu importe le moyen technique par lequel le droit d’utilisation peut avoir été acquis. Il peut s’agir d’une cession directe ou d’une licence. Comme je l’ai indiqué, il peut s’agir de la vente d’un article constituant une réalisation de l’invention. Il peut également s’agir de la location de l’invention. Ce qui importe est que le réclamant invoque un droit sur le monopole et que la source de ce droit puisse remonter au breveté. C’est ce qui se produit ici dans le cas de l’appelante.

 

[Notes de bas de page omises, paragraphe 24]

 

[86]           En l’espèce, il ne fait aucun doute que Lilly Canada tire ses droits du breveté, Lilly U.S.

4. Interprétation des brevets

[87]           Avant d’examiner les allégations de contrefaçon et d’invalidité, la Cour doit interpréter les revendications en cause en l’espèce. Les principes d’interprétation sont bien établis. Ils sont énoncés dans les arrêts Free World Trust c. Électro Santé Inc., 2000 CSC 66, [2000] 2 R.C.S. 1024 (Free World Trust), et Whirlpool Corp. c. Camco Inc., 2000 CSC 67, [2000] 2 R.C.S. 1067 (Whirlpool). Depuis que ces arrêts ont été rendus, la Cour a beaucoup écrit sur ce sujet. Qu’il suffise de dire que « [l]’interprétation téléologique repose donc sur l’identification par la cour, avec l’aide du lecteur versé dans l’art, des mots ou expressions particuliers qui sont utilisés dans les revendications pour décrire ce qui, selon l’inventeur, constituait les éléments ‘essentiels’ de son invention[24]. » En ce qui a trait aux détails supplémentaires concernant la date à laquelle les revendications doivent être interprétées, au moyen de quels critères, de quelles ressources, du point de vue de qui et ce qu’on fait de l’interprétation qui est obtenue, la Cour adopte les paragraphes 32 à 48 de la décision du juge Roger Hughes dans Pfizer Canada Inc. c. Canada (Ministre de la Santé), 2005 CF 1725, 285 F.T.R. 1 et y renvoie.

[88]           Tel qu’il a été noté dans Shire Biochem Inc. c. Canada (Ministre de la Santé), 2008 CF 538, 328 F.T.R. 123, au paragraphe 21 (Shire), la Cour « ne peut interpréter une revendication dans l’ignorance de l’objet du litige entre les parties. » Cela est particulièrement important dans des affaires comme en l’espèce, dans laquelle un grand nombre de revendications dans huit brevets distincts sont en cause. Tel qu’il a été souligné précédemment, tous les brevets dans la présente affaire ont été délivrés avant le 1er octobre 1989 et sont donc assujettis à la version de la Loi sur les brevets antérieure au 1er octobre 1989 (l’article 29 de la version de la Loi sur les brevets postérieure au 1er octobre 1989). Ils doivent être interprétés selon la date de leur délivrance respective.

 

[89]           À ces principes plus généraux, il faut aussi ajouter que la Cour adopte, et appliquera, la déclaration du juge Denis Pelletier concernant la différenciation des revendications dans la décision Halford c. Seed Hawks Inc., 2004 CF 88, 246 F.T.R. 1 (Halford), confirmée par 2006 CAF 275, 275 D.L.R. (4th) 556, au paragraphe 110, dans laquelle il a cité le passage suivant tiré de D.M.I., Inc. c. Deere & Co., 755 F. 2d 1570, 225 U.S.P.Q. (BNA) 236 (U.S. Cir.) :

[traduction] La Cour de district a dit ce qui suit : « En règle générale, une restriction ne peut être attribuée à une revendication afin d’éviter la contrefaçon » [...] Puisque, comme dans le cas présent, la restriction qui ferait partie d’une revendication se trouve déjà dans une autre revendication, la règle est beaucoup plus que « générale ». Elle est fixe. Elle est établie depuis longtemps. Elle a un statut immuable et universellement applicable assez rare parmi les règles de droit.

 

[90]           La Cour s’appuiera également sur le passage suivant de The Canadian Law and Practice Relating to Letters Patent for Inventions de Harold G. Fox (Fox)[25], que la juge Snider a récemment cité dans Hoffmann-Laroche Ltd. c. Mayne Pharma (Canada) Inc., 2005 CF 814, 41 C.P.R. (4th) 505 (Hoffmann (2005)), au paragraphe 43 :

[traduction] Chaque partie du mémoire descriptif doit faire l’objet d’une interprétation et, dans la mesure du possible, chaque revendication doit être interprétée indépendamment des autres et se voir attribuer un sens distinct. Les tribunaux ne seront pas portés à conclure à l’identité de deux revendications dans un mémoire descriptif, car si une revendication a le même sens que l’autre, on ne peut pas dire qu’elle ait une signification véritable.

 

[Souligné dans l’original.]

 

4.1. Personne versée dans l’art

[91]           Pour ce qui est du brevet 007, bien que la divulgation porte notamment sur l’utilité de la nouvelle catégorie de composés d’halogénation dans la chimie des céphalosporines, la Cour est convaincue que l’art auquel se rapporte le brevet est plus étendu que la chimie des céphalosporines, car le brevet vise les complexes cinétiques (revendications de composé-par-procédé) et les procédés pour les fabriquer. En conséquence, la Cour accepte le point de vue d’Apotex selon lequel la personne à qui s’adresse le brevet serait titulaire d’un doctorat en chimie organique ou médicinale, compterait de trois à cinq ans d’expérience dans la réalisation de transformations organiques et posséderait des connaissances sur les composés organophosphorés, ainsi que sur l’utilisation de la 31P RMN (voir le paragraphe 119 du mémoire d’Apotex sur la contrefaçon).

 

[92]           Cela dit, en ce qui a trait aux brevets de Shionogi et aux brevets de procédés de Lilly, la Cour conclut que la personne à qui ils s’adressent est titulaire d’un doctorat en chimie organique ou médicinale, compte de trois à cinq ans d’expérience en chimie de synthèse organique et des produits hétérocycliques, plus particulièrement la chimie des β‑lactamines et des composés de la pénicilline ou de la céphalosporine[26].

 

[93]           En ce qui concerne les brevets de Shionogi, les parties ne contestent guère ce point, même si M. Hanessian semble préférer le mot [traduction] « accent » (focus) pour décrire l’expérience de la personne versée dans l’art du domaine des antibiotiques à β‑lactamine. Il est évident qu’à l’époque pertinente, seules des équipes de recherche spécialisées effectuaient ce genre de travaux de chimie et avaient un intérêt pour ceux-ci. M. Baldwin, qui travaillait activement dans ce domaine à l’époque, a décrit ces chercheurs dans son témoignage[27].

 

[94]           Les points de vue des experts d’Apotex, tels que M. Olah (à l’égard du brevet 536) et M. McClelland (qui visent les brevets de procédés de Lilly ainsi que les brevets de Shionogi)[28], concernant la personne particulière à qui s’adressent les brevets de procédés semblaient être conçus pour répondre aux caractéristiques particulières de leur propre expertise, plutôt qu’à celles de la véritable personne à qui s’adressent les brevets. La Cour ne peut accepter le point de vue selon lequel la personne à qui s’adressent les brevets de procédés de Lilly est la même personne à qui s’adresse le brevet 007, mais qui [traduction] « aurait en outre vraisemblablement un intérêt pour les composés de la céphalosporine[29]. » Cela dit, cette conclusion aura une faible incidence sur l’évaluation de leur témoignage. En effet, tel qu’il a été mentionné lors de la discussion du poids à accorder à la preuve d’expert, les experts d’Apotex qui ont présenté des observations sur les brevets de procédés de Lilly ne répondraient à aucune description, car aucun élément de preuve n’indique que l’un d’entre eux avait un intérêt particulier pour les céphalosporines avant leur participation dans le présent litige. Ils ont omis d’établir dans leur affidavit le fondement sur lequel leurs qualifications reposent pour présenter des observations sur la manière dont une personne versée dans l’art à la période pertinente interpréterait les brevets et les connaissances générales courantes que posséderaient ces personnes.

 

            4.2. Connaissances générales courantes (principes)

[95]           Au cours du procès, la Cour a souligné à plusieurs reprises que peu d’éléments de preuve montraient que les nombreuses publications, les brevets, les demandes sur lesquels s’appuyaient les différents experts faisaient partie des connaissances générales courantes de la personne versée dans l’art à la période pertinente. Bien que cela ait été corrigé dans une certaine mesure dans les contre-interrogatoires, il demeure que trop peu d’attention a été accordée à ces questions qui sont d’une grande importance, non seulement pour interpréter les revendications, mais également pour évaluer les réalisations antérieures présentées pour prouver l’invalidité. Cela est particulièrement important lorsque, comme en l’espèce, sont examinés d’anciens brevets délivrés à une période où une personne versée dans l’art ne pouvait se prévaloir des versions électroniques des publications scientifiques et ne pouvait utiliser Internet ou d’autres outils de recherche complexes pour trouver l’information pertinente.

 

[96]           Les déclarations très générales faites récemment par la Cour suprême du Canada selon lesquelles « [l]es connaissances générales courantes s’entendent des connaissances que possède généralement une personne versée dans l’art en cause au moment considéré » (Apotex Inc. c. Sanofi-Synthelabo Canada Inc., 2008 CSC 61, [2008] 3 R.C.S. 265 (Sanofi)) ou que l’on s’attend à ce qu’une personne versée dans l’art soit « raisonnablement diligent[e] lorsqu’il s’agit de tenir à jour sa connaissance des progrès réalisés dans le domaine dont relève le brevet » et que ses connaissances courantes « évoluent et augmentent constamment » (Whirlpool, paragraphe 74), doivent être lues en corrélation avec d’autres commentaires classiques qui s’appliquent toujours[30].

 

[97]           Tel qu’il a été souligné dans l’arrêt de la Cour d’appel General Tire & Rubber Co. c. Firestone Tyre & Rubber Co. Ltd, [1972] RPC 457, [1971] FSR 417 (C.A. du R.-U.) (General Tire) aux pages 482 et 483 (du RPC) :

[traduction] Il faut évidemment prendre soin de distinguer les connaissances générales courantes attribuées à une personne à qui s’adresse un tel brevet de ce que le droit des brevets considère comme des connaissances publiques. Cette distinction est bien expliquée dans Halsbury’s Law of England, vol. 29, paragraphe 63. Pour ce qui est du mémoire descriptif du brevet, la notion quelque peu artificielle (d’après lord Reid dans l’affaire Technograph, [1971] F.S.R. 188, à la page 193) du droit des brevets veut que chaque mémoire descriptif, des 50 dernières années, fasse partie des connaissances publiques pertinentes s’il se trouve à quelque endroit du bureau des brevets, même s’il est peu vraisemblable qu’il sera consulté et quelle que soit la langue dans laquelle il est rédigé. Par ailleurs, les connaissances générales courantes sont un concept différent dérivé d’une conception rationnelle de ce qui serait en fait connu par une personne adéquatement versée dans l’art – le genre d’homme, qui fait bien son travail et qui existerait réellement.

 

Les deux catégories de documents à examiner relativement aux connaissances générales courantes en l’espèce étaient un mémoire descriptif de brevet individuel et des « publications à grand tirage ».

 

En ce qui concerne la première catégorie de documents, il est clair que les mémoires descriptifs de brevets individuels et leur contenu ne font habituellement pas partie des connaissances générales courantes, bien que des mémoires descriptifs puissent être si bien connus chez ceux qui sont versés dans l’art que lorsque cet état de choses est établi, ils font partie de ces connaissances et il peut y avoir des secteurs d’activité précis (comme celui de la photographie couleur) dans lesquels la preuve peut indiquer que tous les mémoires descriptifs font partie des connaissances pertinentes.

 

Pour ce qui est des documents scientifiques en général, le juge Luxmoore a déclaré ce qui suit dans British Acoustic Films (53 R.P.C. 221, à la page 250) :

 

[traduction] « À mon avis, pour les connaissances générales courantes, il ne suffit pas de prouver qu’une divulgation a été faite dans un article, une série d’articles, dans une revue scientifique, peu importe l’importance du tirage de cette revue, en l’absence de toute preuve selon laquelle la divulgation est généralement acceptée par ceux versés dans l’art auquel se rapporte la divulgation. Une connaissance précise divulguée dans un document scientifique ne devient pas une connaissance générale courante simplement parce que le document est lu par de nombreuses personnes et encore moins parce qu’il a un fort tirage. Une telle connaissance fait partie des connaissances générales courantes uniquement lorsqu’elle est connue de manière générale et acceptée sans hésitation par ceux versés dans l’art particulier; en d’autres mots, lorsqu’elle fait partie du lot courant des connaissances se rapportant à l’art. » Un peu plus loin, faisant la distinction entre ce qui a été écrit et ce qui a été utilisé, il a déclaré ce qui suit :

 

[traduction] « Il est assurément difficile d’évaluer comment l’utilisation d’une chose, qui dans la réalité n’a jamais été utilisée dans un art particulier, peut être reconnue comme appartenant aux connaissances générales courantes de l’art. »

 

Ces passages ont souvent été cités et aucune décision ne nous a été présentée dans laquelle ils étaient critiqués. Nous les acceptons comme énonçant correctement le droit en général sur ce point, bien que nous réservions pour un examen plus approfondi la question de savoir si les mots « acceptée sans hésitation » ne mettent pas la barre plutôt haute : pour les fins de la présente affaire, nous sommes disposés, sans souhaiter présenter une définition complète, à leur substituer les mots « généralement considérée comme un bon fondement pour continuer. »

 

[98]           Dans Mahurkar c. Vas-Cath of Canada Ltd. (1988), 16 F.T.R. 48, 18 C.P.R. (3d) 417, le juge Barry Strayer a déclaré ce qui suit, au paragraphe 27 :

[traduction] Après examen des réalisations antérieures, j’ai aussi été convaincu par l’avocat du demandeur qu’un critère objectif devrait être appliqué pour décider si l’on pouvait raisonnablement supposer que le travailleur hypothétique versé dans l’art connaîtrait ces réalisations antérieures. La jurisprudence semble suffisamment établir l’existence d’un tel critère. La défenderesse n’a produit aucun élément de preuve montrant que l’on devrait supposer que la personne du métier aurait connu l’ensemble de ces réalisations antérieures. Je trouve franchement difficile de croire que plusieurs des éléments des réalisations antérieures auraient été présents à l’esprit de la personne du métier en 1981.

 

[Non souligné dans l’original.]

 

[99]           De plus, comme l’a souligné la juge Karen Sharlow dans l’arrêt Janssen-Ortho Inc. c. Novopharm Ltd., 2007 CAF 217, 366 N.R. 290, au paragraphe 25 (citant les facteurs élaborés par le juge Hughes dans Janssen-Ortho Inc. c. Novopharm Ltd., 2006 CF 1234, 301 F.T.R. 166 (Janssen-Ortho (2006)) :

Les connaissances ne sont pas toutes consignées dans des publications. Inversement, toutes les connaissances ainsi consignées ne font pas partie des connaissances que la personne du métier moyenne est censée posséder ou pouvoir trouver.

 

[100]       Pour ce qui est de la preuve nécessaire pour démontrer les connaissances générales courantes, ce passage de Simon Thorley et al., Terrell on the Law of Patents, 16e éd., Londres, Sweet & Maxwell, 2006, (Terrell), à la page 6-39, est pertinent :

[traduction] La preuve des connaissances courantes est présentée par des témoins compétents pour parler de la question et qui, pour ajouter à leurs propres souvenirs, peuvent s’appuyer sur des travaux standard sur le sujet qui ont été publiés à l’époque et qu’ils connaissaient. Afin de répondre à la question de savoir si une chose appartient aux connaissances générales courantes, il faut d’abord et avant tout examiner les sources auprès desquelles le destinataire versé dans l’art aurait pu obtenir ces renseignements.

 

La publication d’autres documents tels que le mémoire descriptif du brevet à la date pertinente ou avant celle-ci peut dans une certaine mesure être une preuve prima facie tendant à montrer que les déclarations que contenaient les documents faisaient partie des connaissances courantes, mais cette preuve est loin d’être une preuve complète, car les déclarations peuvent avoir été discréditées ou oubliées ou simplement

 

 

ignorées. Il est cependant possible de présenter une preuve pour démontrer que ces déclarations sont en effet venues à faire partie des connaissances courantes.

 

[Notes de bas de page omises.]

 

 

[101]       Dans la présente affaire, le bureau de Me Ivor Hughes, un des avocats d’Apotex, a fourni la plupart des renseignements imprimés cités par les experts d’Apotex. Au départ, il était prévu que M. Sarkis, de ce bureau, comparaisse comme témoin. Il n’a cependant pas témoigné[31] et aucun élément de preuve n’a été présenté pour indiquer la manière dont la recherche de cette documentation a été réalisée. À l’exception d’une seule réponse, donnée au cours du témoignage de M. Barrett, selon laquelle les Chemical Abstracts n’étaient pas accessibles sous forme électronique à la période pertinente, la Cour ne connaît toujours pas les outils de recherche, s’il en est, qui auraient été accessibles. Ceci est particulièrement important compte tenu que ces renseignements ont été utilisés par des experts, tels que MM. McClelland, Olah et Martin[32], qui n’ont pas réalisé de travaux dans le domaine pertinent pour les brevets de procédés à la période visée, pas plus qu’ils n’avaient un intérêt particulier pour la β-lactamine, et encore moins les composés de la céphalosporine, ni ne mettaient l’accent sur ceux-ci. Ces experts ne pouvaient pas s’appuyer sur leur propre expérience et souvenirs de ces publications et ils se sont prononcés sur la validité de divers brevets de procédés en cause simplement sur la foi des documents écrits qui leur avaient été fournis.

 

[102]       Même M. Hanessian, qui travaillait dans une certaine mesure dans ce domaine à la fin des années 1970, ne traite pas adéquatement de la notion des connaissances générales courantes et de la recherche qui aurait habituellement été effectuée par un destinataire du brevet versé dans l’art à cette période. Au cours de l’un de ses contre-interrogatoires, il a indiqué qu’il connaissait certains documents qui lui avaient été fournis, mais n’a pas précisé le moment où il en a pris connaissance au cours de sa carrière. Est-ce uniquement dans les années 1980 lorsque ses travaux ont plus étroitement porté sur les céphalosporines?

 

[103]       Assurément, aucun de ces experts n’a décrit les croyances et préjugés d’un tel destinataire de brevet à la période pertinente, qui ne pouvaient être exprimés dans des documents imprimés.

 

[104]       La distinction entre les connaissances générales courantes et les réalisations antérieures qui font partie de l’état de la technique aux fins d’évaluer l’antériorité et l’évidence a tendance à diminuer de nos jours en raison de la complexité des engins de recherche et de l’accessibilité aux publications et aux bases de données électroniques. Néanmoins, la mesure selon laquelle une publication particulière était « généralement considérée comme un bon fondement pour continuer » (General Tire, à la page 483) est toujours très pertinente pour examiner des questions telles que l’évidence, à l’égard de laquelle l’examen de la mosaïque des réalisations antérieures est autorisé dans certaines circonstances.

 

[105]       Cela dit, la Cour abordera maintenant l’examen de l’interprétation des brevets individuels.

 

4.3. Le brevet 007

[106]       Les revendications du brevet 007 qui demeurent en litige sont les revendications 1, 4 (dépendante des revendications 1, 2 ou 3), 13 (dépendante des revendications 8, 9 ou 10), 17 (dépendante des revendications 8, 9 ou 10) et 18 (dépendante des revendications 8, 9 ou 10). Les revendications 1 et 4 sont des revendications de composés, alors que les revendications 13, 17 et 18 sont des revendications de procédés. Il n’est pas nécessaire de reproduire ici toutes les revendications; un exemple de chaque type suffira.

 

[107]       La Cour se servira des revendications 1 et 17, étant donné que les parties étaient en désaccord quant à leur interprétation. Ces revendications se lisent comme suit :

[traduction]

1. Un composé halogénant de formule générale :           

et qui est le produit cinétiquement contrôlé de la réaction entre des quantités équivalentes d’un triarylphosphite de formule :

 

et de chlore ou de brome dans un solvant organique inerte essentiellement anhydre et où, dans les formules ci-dessus, Z représente un hydrogène, un halogène, un alkyle C1-C4 ou un alkoxyle C1‑C4, et où X représente un Cl ou un Br.

17. Le procédé décrit dans les revendications 8, 9 ou 10 dans lequel le solvant est un hydrocarbure aromatique ou un hydrocarbure halogéné.

 

Toutefois, pour mieux comprendre la revendication 17, il faut déterminer, par exemple, comment elle serait interprétée par une personne qui se servirait du procédé décrit à la revendication 8. Il s’agirait d’un procédé pour produire un composé halogénant de formule générale :

                        [traduction]

qui est le produit cinétiquement contrôlé de la réaction entre des quantités équivalentes d’un triarylphosphite de formule :

 

et de chlore ou de brome dans un solvant organique inerte essentiellement anhydre [hydrocarbure aromatique ou hydrocarbure halogéné] et où, dans les formules ci-dessus, Z représente un hydrogène, un halogène, un alkyle C1‑C4 ou un alkoxyle C1‑C4, et où X représente un Cl ou un Br.

 

 

[108]       Il est également utile de reproduire la revendication 6, qui, même si elle n’est pas en litige, a été mentionnée par toutes les parties lorsqu’il a été question des éléments essentiels des revendications 1 et 4 en particulier.

                        [traduction]

6. Un composé de formule empirique :

 

qui

a)   a un signal en résonance magnétique nucléaire du 31P dans le chlorure de méthylène de ‑3,7 ppm par rapport à celui de l’acide phosphorique;

b)   a, dans le chlorure de méthylène, un spectre infrarouge dont les absorptions caractéristiques sont les suivantes : 1120‑1190 (très forte), 1070 (très forte), 1035 (forte), 1010 (très forte), 990 (très forte), 640 (moyenne), 625 (moyenne), 580 (faible), 510 (forte) et 465 (faible)

c)   lorsqu’il réagit avec l’eau, donne du HCl et du triphénylphosphate;

d)   lorsqu’il réagit avec le n‑butanol, donne du HCl, du chlorure de butyle et du triphénylphosphate.

 

[109]       Les éléments communs aux revendications 1, 4, 13, 17 et 18 sont : 1) un composé halogénant de la formule générale y étant décrite; 2) qui est le produit cinétiquement contrôlé; 3) de la réaction; 4) entre des quantités équivalentes; 5) de triarylphosphite[33]; 6) et de Cl ou de brome (Br)[34]; 7) dans un solvant organique inerte essentiellement anhydre[35]. Tous reconnaissent que ces sept éléments (sous la forme décrite dans chaque revendication) sont des éléments essentiels de ces revendications.

 

[110]       Les parties ne s’entendent toutefois pas à savoir si le solvant décrit à la revendication 17 est un élément essentiel de cette revendication. Nous y reviendrons plus tard. Les parties n’étaient pas non plus d’accord sur l’incidence des mots « un composé halogénant » au début de la revendication 1, par exemple. La revendication 1 est‑elle une revendication de type Shell Oil (Shell Oil Co. c. Canada (Commissaire aux brevets), [1982] 2 R.C.S. 536, 142 D.L.R. (3d) 117), c’est‑à‑dire une revendication visant une nouvelle utilisation d’un produit cinétiquement contrôlé de la réaction qui y est décrite, ou si la mention des composés halogénants constitue simplement une description de la nature ou de la classe du composé décrit dans la formule I en soi? Il y a aussi désaccord quant à savoir si le terme « produit cinétiquement contrôlé » désigne nécessairement et implicitement ou non les propriétés[36] décrites au tableau 1 (page 8 de la description de l’invention) comme un élément essentiel lorsque la réaction se produit entre le TPP et le Cl (c.‑à‑d. lorsque Z et X dans la formule de la revendication 1 représentent respectivement un H et un Cl).

 

[111]       Nul ne conteste le fait que le terme « solvant organique inerte essentiellement anhydre » désigne un solvant qui ne réagira pas avec le composé et qui est essentiellement exempt d’eau ou n’en contient qu’une faible quantité. Le terme « essentiellement anhydre », au sens où il est utilisé dans la description et dans le brevet, est aussi défini à la page 14 en ces termes :

[traduction] bien qu’il soit généralement préférable d’utiliser des solvants organiques anhydres, des traces d’eau, comme on en trouve souvent dans les solvants commerciaux, peuvent être tolérées. Même si les produits cinétiques décrits ici réagiront avec toute eau présente dans le solvant, des quantités additionnelles de réactifs peuvent facilement être ajoutées pour compenser la perte. Il est préférable d’employer des techniques de laboratoire classiques pour assécher les solvants employés et pour éliminer l’humidité des mélanges réactionnels.


[112]       Même si, aux pages 14 et 15, la description donne beaucoup de détails sur les solvants qui peuvent être utilisés, elle indique aussi que [traduction] « les solvants préférentiels pour la production des composés [revendiqués] sont les hydrocarbures, en particulier les hydrocarbures aromatiques et les hydrocarbures halogénés », tels ceux mentionnés expressément à la revendication 17. De plus, [traduction] « la nature du solvant organique inerte particulier employé comme milieu pour la production du […] complexe triarylphosphite‑chlore ou comme milieu pour son utilisation dans les procédés d’halogénation n’est pas déterminante ».

[113]       En ce qui concerne la nature de l’invention, à la page 1 de la description, on peut lire que [traduction] « elle vise une nouvelle classe d’agents halogénants qui sont utiles pour la production de composés 3‑halo‑3‑céphème ». Ces agents halogénants sont décrits comme des [traduction] « composés halogénants hautement réactifs possédant la formule structurale [I][37] » et « obtenus par suite de la réaction entre un triarylphosphite et le chlore ou le brome, respectivement. On peut ensuite lire que [traduction] « un certain nombre d’agents halogénants dérivés d’halogènes et du phosphore ou de composés contenant du phosphore ont été décrits » dans l’art antérieur et que :

[traduction] parmi ces composés de l’art antérieur, ceux qui sont le plus étroitement apparentés aux présents composés sont les dihalogénures de triphénylphosphite qui ont une formule empirique identique à celle des présents composés. Voir, par exemple, D. G. Coe, S. R. Landauer, et H. N. Rydon, J. Chem. Soc., 2021 (1954) et H. N. Rydon et B. L. Tonge, J. Chem. Soc., 3043 (1956)[[38]].

 

[114]       À la page 3, la description reconnaît que [traduction] « les présents composés halogénants peuvent être décrits comme des composés intermédiaires, non reconnus auparavant, obtenus lors de la production des dihalogénures de triarylphosphite décrits dans l’art antérieur à partir de triarylphosphites et de chlore ou de brome » (non souligné dans l’original).

 

[115]        La description indique aussi que, bien que les dihalogénures de triarylphosphite de l’art antérieur et le complexe triarylphosphite-halogène revendiqué aient deux formes moléculaires discrètes (une forme cinétique et une forme thermodynamiquement stable décrite dans l’art antérieur), leurs formes moléculaires exactes n’ont pas été établies de façon définitive. Par conséquent, le point (●) dans la formule générale utilisé par exemple dans les revendications 1 et 17 (dépendante des revendications 8, 9, ou 10) :

[traduction] est utilisé simplement pour indiquer que des quantités équivalentes d’halogène et de phosphite sont combinées chimiquement d’une façon distincte des composés de l’art antérieur, qui sont habituellement dessinés sans point.

 

[page 4 de la description]

 

Le seul autre renseignement fourni concernant la forme moléculaire des composés revendiqués est que [traduction] « les données physico‑chimiques indiquent bien que le produit cinétique est un produit dont le centre phosphoré acquiert certains caractères cationiques[39] ».

 

[116]       À la page 15, le mémoire descriptif indique aussi ce qui suit :

[traduction] les complexes triarylphosphite‑halogène de la présente invention sont de puissants agents halogénants. Tout comme les dihalogénures de triarylphosphite thermodynamiquement stables de l’art antérieur, les présents complexes cinétiques réagissent avec les alcools aliphatiques et fournissent les halogénures alkylés correspondants (avec différents sous‑produits). Toutefois, contrairement aux dichlorures de triarylphosphite de l’art antérieur, dans des conditions douces, les présents composés provoquent une halogénation efficace tant des groupes énol, formant les halogénures de vinyle correspondants, que, en présence d’une base, des fonctions amide, formant les imino‑halogénures correspondants.

 

Plus précisément, les présents complexes halogénants peuvent être utilisés pour produire des antibiotiques 3‑halocéphème connus possédant la formule [V].

 

[Soulignement et pied de page ajoutés; non souligné dans l’original.]



[117]       Toutefois, comme je l’ai déjà mentionné, il n’y a pas de mention précise de cette utilisation des composés ou procédés revendiqués dans aucune des revendications.

 

[118]       La description donne certains détails sur la façon dont la réaction devrait être réalisée pour obtenir un maximum de produits cinétiquement contrôlés et sur les moyens de stabiliser ces produits. Toutefois, à l’exception des revendications 8 et 18, dans lesquelles la température de réaction du procédé qui y est décrit est d’environ ‑70 à environ 0º C, et, dans une certaine mesure, des revendications 17 et 27, qui indiquent que le solvant est un hydrocarbure aromatique ou halogéné[40], aucune des revendications ne renferme d’éléments visant à stabiliser ou à améliorer la formation du produit cinétiquement contrôlé de la réaction qui y est décrit.

 

[119]       La description donne certains détails sur la façon dont le produit cinétiquement contrôlé se convertit à différentes vitesses en une forme correspondante thermodynamiquement stable décrite dans l’art antérieur, selon, notamment, la nature du triarylphosphite, l’halogène, le solvant et la température de la solution (voir les pages 6 à 11). Il traite aussi de la demi‑vie du produit cinétiquement contrôlé de même que de la façon de se servir de la résonance magnétique nucléaire (RMN) du 31P pour déterminer la demi‑vie du produit ou sa présence en solution. Il énumère aussi, au tableau 1 de la page 8, cinq critères, ou propriétés, qui distinguent le produit cinétiquement contrôlé du produit thermodynamiquement contrôlé de la réaction entre le TPP et le Cl. Ce sont 1) un déplacement en RMN du 31P dans le CH2Cl2; 2) la demi‑vie dans le CH2Cl2; 3) les données sur le spectre infrarouge; 4) les produits de réaction obtenus lorsque chaque composé est hydrolysé; et 5) les produits de réaction avec le n‑butanol (voir aussi page 7, lignes 18 à 21; de la ligne 20, page 2, à la ligne 3, page 3; page 9, lignes 1 à 8). Encore une fois, à l’exception des revendications 6 et 7, il n’y a aucune mention précise de ces caractéristiques dans les revendications.

 

[120]       Le mémoire descriptif du brevet 007 comprend 10 exemples, et seuls les exemples 1 et 2 fournissent des données de RMN du 31P correspondantes pour identifier le produit cinétiquement contrôlé obtenu dans le chlorure de méthylène par suite de la réaction entre le TPP et le Br (exemple 1) et entre le TPP et le Cl (exemple 2). Dans les deux cas, il semble qu’un déplacement à +3,7 ppm ait été observé[41],[42]. Le signal de RMN du 31P pour le produit thermodynamique était de ‑22,7 ppm[43].

 

[121]       Comme il a été mentionné, la revendication 6 (une revendication indépendante) fait expressément mention de quatre propriétés, énumérées au tableau 1, du produit de la réaction entre le TPP et le Cl. Ce sont un signal de RMN du 31P de +3,7 ppm (dans le CH2Cl2), les données sur le spectre infrarouge, les sous‑produits de l’hydrolyse et la réaction avec le n‑butanol. La revendication 7 vise le produit cinétiquement contrôlé de la réaction entre le TPP et le Br dans le chlorure de méthylène et fait uniquement état du déplacement en RMN du 31P à +3,7 ppm[44]. Même si ces revendications ne sont pas en litige, comme il est mentionné dans Hoffmann (2005) et Halford, elles peuvent être utiles pour l’interprétation des revendications qui le sont.

 

[122]       Chaque revendication doit généralement avoir un sens distinct et utile. Il est clair que la revendication 6 a une portée plus limitée que la revendication 1 parce qu’elle ne vise qu’un sous-ensemble du composé, c’est‑à‑dire lorsque Z = H et X = Cl. À mon avis, il est aussi évident que leurs éléments essentiels sont différents étant donné que l’approche adoptée dans chacune pour délimiter les droits exclusifs est très différente. Dans la revendication 1, la formule générale représentant le composé halogénant n’est caractérisée que par le caractère cinétiquement contrôlé du produit et les principales caractéristiques de la réaction qui permet de l’obtenir (c.‑à‑d. comment l’obtenir). En revanche, la revendication 6 définit les droits exclusifs par la formule empirique du composé et les propriétés qui distinguent ce dernier des dihalogénures de l’art antérieur possédant une formule empirique similaire (tableau 1, page 8).

 

[123]       Étant donné qu’on ne peut pas interpréter la revendication 6 comme incluant, comme éléments essentiels, la réaction entre des quantités équivalentes des matières décrites à la revendication 1 sans reformuler la revendication, on ne peut pas interpréter la revendication 1 comme incluant, comme éléments essentiels, les propriétés décrites à la revendication 6. Si, en interprétant la revendication, on limite les éléments d’une revendication indépendante ou les incorpore dans une autre revendication indépendante, on nie aux inventeurs le droit de recourir à différents moyens pour définir leurs droits exclusifs et décrire différents aspects d’une invention, qui pourrait avoir ou non une portée trop limitée ou trop large[45].

 

[124]       Après avoir considéré le mémoire descriptif dans son ensemble, la Cour peut maintenant se pencher sur les principales questions soulevées par les parties (voir le paragraphe 110, ci‑dessus).

 

[125]       La Cour ne peut souscrire à la thèse d’Apotex (résumée aux paragraphes 151 à 160 de son mémoire sur la contrefaçon[46]) voulant que l’expression « produit cinétiquement contrôlé » dans la revendication 1 serait lue et comprise par une personne versée dans l’art comme comportant comme élément essentiel un signal de RMN du 31P de +3,7 ppm (ou toute autre donnée incluse dans la revendication 6) lorsqu’elle désigne le produit cinétiquement contrôlé de la réaction entre le TPP et le Cl.

 

[126]       Entre autres, la Cour constate que la description, aux pages 4 et 5, indique assez clairement la signification de ce terme :

 [traduction] Dans le présent document, les termes « composé cinétique », « complexe cinétique », « complexe (composé) triarylphosphite‑halogène », « composés halogénants cinétiquement contrôlés » et « produit (composé) cinétiquement contrôlé » sont considérés comme des synonymes et doivent aussi être distingués des dihalogénures de triarylphosphite de l’art antérieur.

 

Le terme « produit cinétiquement contrôlé » est un terme de l’art qui, lorsqu’il est utilisé dans le contexte des réactions qui entraînent la formation de deux produits (ou plus), désigne le produit formé le plus rapidement, peu importe sa stabilité thermodynamique.

 

[127]       Selon M. McClelland, la personne versée dans l’art comprendrait le sens de « produit cinétiquement contrôlé » sans même avoir lu la description qui précède les revendications[47]. De toute manière, après avoir parlé des divers critères énoncés dans le mémoire descriptif, comme la demi‑vie et la réactivité, qui distinguent le composé revendiqué du produit thermodynamique, M. McClelland indique ce qui suit :

[traduction] Il s’agit d’un critère, mais le terme courant « complexe cinétique », au sens où il est utilisé dans le brevet, indique que le composé n’est pas stable si l’on considère sa demi‑vie et qu’il se convertirait pour former le complexe thermodynamique avec le temps[[48]].

 

[128]       Cette affirmation correspond parfaitement au sens que donne la Cour au brevet.

 

[129]       Comme la structure moléculaire est mal connue, les experts d’Apotex semblent se concentrer sur la nécessité de mieux comprendre et d’identifier les composés revendiqués. À cette fin, ils utilisent les propriétés décrites au tableau 1, qui, en fait, ne concernent qu’un seul composé[49]. Les inventeurs ne souhaitaient pas être restreints à une structure moléculaire en particulier et ont utilisé la formule avec un point (●) uniquement pour distinguer les composés revendiqués des composés thermodynamiques décrits dans l’art antérieur [50]. Il est évident que les renseignements fournis au tableau 1 et ailleurs dans le mémoire descriptif permettront à la personne versée dans l’art d’identifier et d’utiliser plus facilement les composés et procédés revendiqués. Cependant, la question de droit à savoir si ces éléments sont inclus dans la revendication 1 à titre d’éléments essentiels des droits exclusifs qui y sont décrits n’est pas pour autant résolue.

 

[130]       Par ailleurs, M. McClelland ajoute clairement des mots à la description lorsqu’il indique ce qui suit, au paragraphe 15 de son affidavit (TX‑1764) :

[traduction] le chimiste versé dans l’art comprendrait, à la lecture du brevet, que les critères tels que le déplacement chimique en RMN du 31P et le spectre infrarouge doivent être employés pour distinguer le nouveau produit cinétique […] revendiqué dans le brevet des composés divulgués dans l’art antérieur, c’est-à-dire du produit thermodynamique […] et d’autres composés halogénants non reconnus auparavant possédant la même formule empirique »[[51]].

 

[Non souligné dans l’original]

 

En fait, rien n’indique dans le mémoire descriptif que les inventeurs essaient de distinguer leur produit cinétique revendiqué des produits intermédiaires non reconnus auparavant fabriqués à l’aide de Rydon. Au contraire, ils tentent clairement de distinguer les produits cinétiques des dihalogénures divulgués dans l’art antérieur, c.‑à‑d. de la forme thermodynamique des composés antérieurs[52].

 

[131]       L’interprétation proposée par M. McClelland à savoir qu’une personne versée dans l’art tenterait de déterminer quel nouveau composé est revendiqué, c’est‑à‑dire ce qui distingue le composé antérieur non reconnu dans Rydon du composé revendiqué, n’est pas acceptable. Même les Cours n’ont pas estimé que des composés fabriqués antérieurement mais non reconnus pouvaient empêcher Lilly de revendiquer la nouveauté dans le brevet 007 jusqu’à la décision de la Chambre des lords dans Merrell Dow Pharmaceuticals Inc. and another c. HN Norton & Co. Ltd. and others, [1997] BMLR 201, [1996] RPC 76 (Merrell Dow Pharmaceuticals Inc.) en 1995 et, au Canada, jusqu’à la décision de la Cour d’appel fédérale dans Abbott Laboratories c. Canada (Ministre de la Santé), 2006 C.A.F. 187, 350 N.R. 242 (Abbott (2006)).

 

[132]       La Cour n’est pas convaincue qu’Apotex a établi que les articles de Tseng et Michalski, en particulier les renseignements donnés par les auteurs au sujet du déplacement en RMN du 31P des substances qui y sont mentionnées, faisaient partie des connaissances générales du destinataire du brevet à la date de délivrance. Cela étant dit, pour éviter tout débat secondaire, la Cour a pris considération ces renseignements pour déterminer s’ils auraient une quelconque incidence sur l’interprétation qui nous concerne et a conclu qu’ils n’en auraient aucune. Il n’y a donc pas lieu d’en dire plus à ce sujet.

 

[133]       De plus, en ce qui concerne les connaissances générales courantes, la Cour convient, à l’instar d’Apotex, que le témoignage de M. Gorenstein, selon lequel il était bien connu au moment pertinent que les déplacements en RMN du 31P étaient susceptibles de varier de plusieurs ppm (plus que le ± 1 ppm avancé par certains experts d’Apotex) pour un composé donné à cause de très nombreuses variables[53], ne constituait pas une contre-preuve valable parce que M. Hunter avait déjà abordé cette même question dans un affidavit antérieur. Cependant, cette conclusion n’a pas d’importance parce que la Cour a considéré comme crédible le témoignage de M. Hunter à cet égard et lui a donné beaucoup de poids, et, plus important encore, parce que ce témoignage n’a que peu d’incidence, si tant est qu’il en ait une, sur la conclusion de la Cour à l’égard de l’interprétation des revendications 1 et 4. Encore là, tout comme les articles de Tseng et Michalski, il pourrait bien avoir une incidence sur l’interprétation de la revendication 6, mais cette revendication n’est pas en litige et la Cour n’a certainement pas besoin de décider quelle variante[54], le cas échéant, serait visée par la mention expresse d’un déplacement à +3,7 ppm.

 

[134]       En ce qui concerne le deuxième élément en litige, la Cour doit aussi rejeter la thèse de Lilly selon laquelle la revendication 1 est une revendication du type Shell Oil, c’est‑à‑dire que l’invention constitue une utilisation nouvelle d’un composé non reconnu auparavant, par opposition à une revendication de composé classique.

 

[135]       Il n’est nulle part indiqué dans le brevet que le produit intermédiaire non reconnu auparavant dont il est question dans la description n’était pas un composé halogénant et ne devrait pas être distingué de quelque manière que ce soit du composé revendiqué selon ce principe.

 

[136]       Toutefois, comme je l’ai déjà indiqué, il est clairement mentionné dans la description que tant les produits thermodynamiques que les produits cinétiquement contrôlés des réactions décrites dans les revendications sont des composés halogénants. La seule indication à l’égard d’un usage nouveau ou distinct du composé cinétiquement contrôlé contredit ce que révèle l’art antérieur sur les dihalogénures de triarylphosphite et concerne leur capacité d’halogéner efficacement, dans des conditions douces, les deux groupes énol de même que leur « utilité » dans la production d’antibiotiques 3‑halocéphème connus possédant la formule décrite à la page 15 du brevet. Les mots « un composé halogénant » ne peuvent pas être interprétés de façon à déduire les distinctions. La Cour estime donc que la mention des « composés halogénants » a simplement pour objet de décrire la classe des composés à laquelle appartiennent les composés revendiqués[55]. L’invention telle qu’elle est décrite et revendiquée vise donc les composés eux‑mêmes et les procédés permettant de les produire.

 

[137]       En ce qui concerne la revendication 17, la Cour doit établir si le solvant particulier (un hydrocarbure aromatique ou halogéné) est un élément essentiel de la revendication. Comme je l’ai déjà mentionné, selon le mémoire descriptif, la nature du solvant organique inerte n’est pas déterminante dans la fabrication des composés revendiqués; ce qui importe, c’est qu’il soit essentiellement anhydre. Par contre, il est entendu qu’un solvant anhydre est essentiel pour que le procédé fonctionne et que les seuls solvants mentionnés dans la revendication 17 sont les solvants préférentiels décrits à la page 15 du brevet.

 

[138]       À titre de revendication dépendante, cette revendication vise une réalisation précise de l’invention décrite à la revendication 8, 9 ou 10. Le solvant est le seul élément distinctif. Il convient encore une fois de souligner que l’une des principales raisons d’établir ce qui est essentiel dans cette revendication est de déterminer quel élément ne peut pas varier dans un produit qui serait contrefait. Autrement dit, pourrait‑on contrefaire la revendication 17 sans utiliser un hydrocarbure aromatique ou halogéné? La réponse se trouve dans la question et est de toute évidence négative.

 

[139]       Affirmer le contraire reviendrait à dire que cette revendication ne diffère en rien des revendications 8, 9 ou 10. Comme l’indique l’arrêt Whirlpool et Free World Trust, il y a des limites à la manière dont la Cour peut se servir de la description pour interpréter les revendications. La description ne peut pas être utilisée pour reformuler une revendication. Si un inventeur a clairement limité ses droits exclusifs en rendant essentiel ce qui n’est nettement pas nécessaire au bon fonctionnement de l’invention, il en subira les conséquences et ne pourra pas empêcher un tiers de se servir de son invention, parce que ce dernier pourra, avec une simple variation, éviter la contrefaçon.

 

[140]       L’adoption de la position d’Apotex voulant que le solvant de la revendication 17 ne soit pas un élément essentiel reviendrait à dire que cette revendication est essentiellement exclue du brevet et n’a absolument aucun sens.

 

[141]       Il est fort possible que la revendication soit invalide pour cause d’absence de nouveauté ou d’inventivité ou qu’elle ne soit pas un élément distinct brevetable, mais il n’y a pas lieu d’en décider à cette étape.

 

4.4. Les brevets de procédés de Lilly

[142]       Il est entendu que les demandes de ces trois brevets de procédés ont été déposées le même jour que le brevet 007[56].

 

[143]       Les brevets de procédés de Lilly visent l’utilisation du produit cinétiquement contrôlé décrit dans le brevet 007, seul ou en combinaison, pour effectuer les étapes suivantes : réduction du sulfoxyde de céphalosporine, chloration de l’énol et formation de l’imino-halogénure. Ces étapes sont décrites comme suit dans un schéma au paragraphe 18 ou dans le rapport de M. Baldwin (E‑6) :

[144]       Certaines revendications de chacun des brevets de procédés de Lilly font mention d’étapes ultérieures facultatives d’alcoolyse (conversion de l’imino-halogénure intermédiaire en une amine) et de formation d’un sel. Cela étant dit, et comme l’interprétation des revendications des brevets ne pose pas de problèmes majeurs, la Cour analysera en détail le brevet 536, étant donné qu’il s’agit du plus complexe, mais ne s’attardera que brièvement aux deux autres brevets.

 

4.4.1. Le brevet 536

[145]       Voici les revendications en litige en l’espèce : 4 à 6, 8, 11, 14 à 18, 20 à 22, 27 et 30 à 34. Ce sont toutes des revendications dépendantes.

 

[146]       Le brevet 536 s’intitule « MÉTHODE DE RÉDUCTION DE CÉPHALOSPORINES ». Le mémoire descriptif débute en indiquant que [traduction] « les sulfoxydes de céphalosporine sont des produits intermédiaires largement utilisés pour la synthèse des antibiotiques de type céphalosporine ». Il donne plusieurs exemples et fait état d’éléments pertinents de l’art antérieur, dont deux brevets de M. Douglas C. Spry, un brevet de M. Stjepan Kukolja et deux brevets de M. Robert R. Chauvette[57]. Il indique en particulier, à la page 2, que les [traduction] « sulfoxydes de 3‑exométhylènecéphame sont des produits intermédiaires utiles pour la production des céphalosporines avec substitution 3‑halo décrites par Chauvette […] et pour la synthèse des composés antibiotiques 3‑méthoxy‑3‑céphème décrits par Chauvette […] ».

 

[147]       À la page 3, on peut lire que [traduction] « avant la présente invention, une méthode préférentielle pour la réduction d’un sulfoxyde de céphalosporine était celle de Murphy et coll., brevet américain 3,641,014 ». On y traite aussi d’autres méthodes de réduction divulguées par MM. Lowell D. Hatfield, Kukolja et Spry dans d’autres brevets. On peut ensuite y lire, aux pages 3 et 4, ce qui suit :

[traduction] Vu l’utilité des sulfoxydes de céphalosporine pour la synthèse des antibiotiques de type céphalosporine, de vastes recherches ont été menées pour découvrir des méthodes plus efficaces et moins coûteuses de réduction des sulfoxydes. La présente invention fournit un procédé pour la réduction des sulfoxydes de céphalosporine. Plus particulièrement, elle vise un procédé pour réduire les sulfoxydes de céphalosporine au moyen d’une classe de composés triarylphosphite-halogène récemment découverte, produite par suite de la réaction cinétiquement contrôlée de quantités équivalentes de triarylphosphites et de chlore ou de brome. Les composés réducteurs triarylphosphite-halogène employés dans le présent procédé de réduction sont utiles pour effectuer d’autres modifications chimiques souhaitables (halogénation) des composés de type céphalosporine. Il s’agit donc d’un autre objet de l’invention que de fournir des procédés pour réaliser une réduction-halogénation en une seule étape afin de convertir des sulfoxydes de C‑7 acylamino céphalosporine en 7‑amino céphalosporines ou, selon la céphalosporine de départ et les quantités de réactifs utilisés, en halogénures de C‑7 acylamino ou de C‑7 amino céphalosporine.

 

De plus, l’invention est décrite comme [traduction] « visant aussi des procédés dans lesquels le complexe triarylphosphite‑halogène est utilisé pour effectuer des conversions chimiques multiples des sulfoxydes de céphalosporine de départ dans un seul mélange réactionnel[58].

 

[148]       À la page 5 de la description, il est indiqué que [traduction] « les produits formés au cours du présent procédé sont des composés antibiotiques connus ou des composés intermédiaires desdits antibiotiques ».

 

[149]       Tout comme dans le brevet 007, on peut lire ceci à la page 9 :

[traduction] Le point (●) dans la formule générale utilisé pour représenter les produits cinétiquement contrôlés employés dans les présents procédés sert simplement à indiquer que des quantités équivalentes d’halogène et de triarylphosphite sont combinées chimiquement et d’une façon distincte de celle des dérivés thermodynamiquement stables connus dans l’art qui sont habituellement dessinés sans point [p. ex. (PHO)3PCl2]. La forme moléculaire exacte des complexes cinétiques triarylphosphite‑halogène […] n’a pas encore été établie de façon définitive […].

 

[150]        Le mémoire descriptif présente ensuite en détail la production des produits cinétiquement contrôlés, les solvants à utiliser, les conditions de réaction et certaines propriétés qui distinguent le produit cinétique du produit thermodynamique lorsque le TPP et le Cl réagissent dans le chlorure de méthylène, y compris les données figurant au tableau 1 du brevet, qui sont identiques à celles mentionnées auparavant au sujet du brevet 007. Il traite des conditions préférentielles et des températures pour la formation des produits cinétiquement contrôlés et de leur stabilisation dans une base amine tertiaire ainsi que des détails concernant les températures souhaitables pour réaliser les procédés et les réactions chimiques revendiqués dans le brevet. À la page 17, on y précise aussi que, comme le procédé de réduction revendiqué donne du Cl ou du Br comme sous‑produit, [traduction] « afin de prévenir les réactions indésirables entre le sous‑produit et le produit de céphalosporine, un capteur d’halogène est utilisé dans le mélange réactionnel pour réagir avec le chlore ou le brome à mesure qu’il se forme ou pour le neutraliser ». Le terme « capteur d’halogène » est défini, et divers capteurs sont présentés. D’autres détails (comme les quantités) sont aussi donnés sur la façon d’utiliser le produit cinétique pour effectuer une des réactions revendiquées ou une combinaison de ces réactions.

 

[151]       À la page 35, le mémoire indique que [traduction] « les complexes triarylphosphite‑halogène utilisés comme agents réducteurs dans le présent procédé sont aussi de puissants agents halogénants » et que [traduction] « la réactivité multiple des complexes cinétiques triarylphosphite‑halogène est exploitée dans plusieurs variantes de l’invention ». Aux pages 46‑47, l’inventeur indique notamment ce qui suit :

[traduction] La réduction combinée à l’halogénation de l’imino-énol (schéma III ci-dessus [page 36 du brevet]), au moyen d’un complexe triarylphosphite‑chlore, suivie d’une alcoolyse de l’imino-chlorure obtenu constitue une méthode perfectionnée pour obtenir des esters de l’acide 7‑amino‑3‑chloro‑3‑céphème‑4‑carboxylique [7‑ACCA] à partir des sulfoxydes des esters de l’acide 7‑acylamino‑3‑hydroxy‑3‑cèphème‑4‑carboxylique correspondants. Avant la présente invention, la conversion totale des trois fonctions s’effectuait en trois étapes distinctes, soit la réduction, la chloration et le clivage de la chaîne latérale, ou en deux étapes, soit la réduction et la chloration combinées (voir le brevet américain 4,115,643) suivies du clivage de la chaîne latérale, soit la chloration et le clivage de la chaîne latérale combinés, après réduction de l’entité sulfoxyde, par exemple au moyen de la méthode divulguée dans le brevet américain 4,044,002. Grâce à la découverte du présent procédé, la conversion par réduction, chloration et clivage peut être exécutée avec un haut rendement dans un seul tube réactionnel, sans isolement des produits intermédiaires.

 

[152]       Le mémoire précise que c’est particulièrement important, étant donné que l’ester du cycle 3‑halocéphème [traduction] « peut être acylé au moyen de techniques d’acylation classiques puis déestérifié afin de fournir les composés antibiotiques connus [en particulier le céfaclor] » (page 47, lignes 6‑14).

 

[153]       Après une liste de 96 exemples, le mémoire descriptif de 70 pages se termine par une liste de 52 revendications.

 

[154]       Afin d’évaluer quels aspects de l’interprétation des revendications sont en litige, il suffit de reproduire les revendications 1, 9, 10 et 11.

 

[155]       Revendication 1 :

[traduction]

Un procédé de réduction d’un sulfoxyde de céphalosporine visant à obtenir la céphalosporine correspondante, qui comporte une réaction entre ledit sulfoxyde de céphalosporine et un complexe triarylphosphite‑halogène de formule :

 

 

dans laquelle X représente un Cl ou un Br, et Z représente un hydrogène, un halogène, un alkyle C1‑C4 ou un alkoxyle C1‑C4, qui est le produit cinétiquement contrôlé de la réaction entre des quantités équivalentes d’un triarylphosphite de formule :

 

et de chlore ou de brome dans un solvant organique inerte,

 

en présence d’au moins un équivalent de capteur d’halogène par équivalent de sulfoxyde de céphalosporine dans un solvant organique inerte essentiellement anhydre à une température d’environ 30 °C ou moins;

 

pourvu que

 

a) de 1,0 à environ 1,3 équivalent du complexe triarylphosphite‑halogène par équivalent de sulfoxyde de céphalosporine soit employé lorsque la réduction du groupe sulfoxyde est la seule réaction souhaitée,

 

b) environ 2 à environ 3 équivalents du complexe triarylphosphite‑halogène par équivalent de sulfoxyde de céphalosporine soient employés lorsque le sulfoxyde de céphalosporine est un sulfoxyde de 3‑hydroxy céphalosporine et qu’on souhaite simultanément réduire le sulfoxyde et placer l’halogène en position 3, ou lorsque le sulfoxyde de céphalosporine est un sulfoxyde de 7‑acylamino céphalosporine et qu’on souhaite simultanément réduire le groupe sulfoxyde et convertir le groupe acylamine en un imino-halogénure,

 

c) environ 3 à environ 5 équivalents du complexe triarylphosphite‑halogène par équivalent de sulfoxyde de céphalosporine soient employés lorsque le sulfoxyde de céphalosporine est un sulfoxyde de 3‑hydroxy‑7‑acylamino céphalosporine et qu’on souhaite simultanément réduire le groupe sulfoxyde, placer l’halogène en position 3 et convertir le groupe acylamino en un imino‑halogénure; et pourvu également que lorsque le sulfoxyde de céphalosporine possède un groupe amine, hydroxyle ou carboxyle libre sur le substituant en C‑7, ce groupe soit d’abord protégé par les groupes protecteurs habituels amine, hydroxyle ou carboxyle[[59]].

 

[156]       Les parties s’entendent quant au sens de cette revendication, et il n’y a aucun litige à savoir si certains des éléments qui y sont décrits sont essentiels ou non. Il est clair que les éléments suivants sont requis dans la revendication : (i) un sulfoxyde de céphalosporine; (ii) le complexe cinétique défini par la formule et la réaction de quantités équivalentes des éléments qui y sont décrits; (iii) au moins un équivalent de capteur d’halogène par équivalent de sulfoxyde de céphalosporine; (iv) un solvant organique inerte anhydre; (v) une température de 30º C ou moins; et (vi) l’utilisation de certaines quantités du complexe cinétique selon le nombre d’étapes à réaliser.

 

[157]       La revendication 4 est dépendante des revendications 1 et 3 et précise les divers substituants sur le sulfoxyde de céphalosporine de départ qui participent à la réaction. La revendication 5 est dépendante des revendications 1, 2 et 3 et limite la matière de départ au sulfoxyde de 3‑céphème ou au sulfoxyde de 3‑exométhylène‑céphame. La revendication 6 est dépendante de la revendication 1, mais mentionne des capteurs d’halogène précis. La revendication 8 est dépendante des revendications 1 ou 2 et donne un intervalle de température plus précis.

 

[158]       Les revendications 9, 10 et 11 se lisent comme suit :

[traduction]

9. Le procédé de la revendication 1 dans lequel X représente un Br.

 

10. Le procédé de la revendication 9 dans lequel Z représente un hydrogène.

 

11. Le procédé des revendications 1, 2 ou 10 dans lequel X représente un Cl.

 

[159]       Apotex a soulevé la question de savoir comment l’on pouvait interpréter la revendication 11, étant donné qu’elle est dépendante de la revendication 10, laquelle est dépendante de la revendication 9, dans laquelle X représente un Br, alors que, dans la revendication 11, X représente un Cl. Sans aucun doute, la personne versée dans l’art prête à comprendre ignorerait simplement cette contradiction apparente et comprendrait que la revendication 11 s’applique uniquement aux procédés dans lesquels X représente un Cl. Cette personne comprendrait que la revendication 10 vise un procédé dans lequel Z représente un hydrogène.

[160]       La revendication 14 est dépendante des revendications 1, 12, et 13 [traduction] « dans lesquelles la base amine tertiaire est la pyridine ». La revendication 15 vise le procédé de la revendication 1 dans lequel [traduction] « le solvant est un hydrocarbure aromatique ou halogéné ». La revendication 16 est dépendante des revendications 1 et 15, mais limite le solvant au chlorure de méthylène. La revendication 17 est dépendante des revendications 1 et 3, mais limite le groupe acyle en R3. La revendication 18 vise un procédé de réduction en une étape au moyen d’un complexe TPP-Cl ayant comme caractéristique un signal de +3,7 ppm (encore une fois, selon la nouvelle convention) et les données sur le spectre infrarouge décrites dans la revendication. La revendication 20 (dépendante des revendications 1 et 19) vise un procédé en deux étapes (réduction du sulfoxyde-halogénation de l’énol chloré) utilisant comme réactif le complexe TPP‑Cl, alors que la revendication 21 (dépendante des revendications 1, 19 ou 20) traite elle aussi de ces deux étapes réalisées au moyen du complexe TPP‑Cl, mais en présence d’une base tertiaire. La revendication 22 est une autre revendication dépendante des revendications 1 et 19 qui précise la nature des capteurs d’halogène.

 

[161]       La revendication 27 est dépendante des revendications 1, 19, 20, ou 25. Dans cette dernière, X représente un Cl et la revendication semble quelque peu redondante par rapport à la revendication 20, qui traite aussi de l’utilisation de complexes TPP‑Cl. La revendication 30 est dépendante du procédé de la revendication 1 pour certaines céphalosporines, avec l’utilisation de pyridine comme base amine tertiaire. La revendication 31 est dépendante des revendications 1 et 19 pour certaines céphalosporines, et, dans cette revendication, le solvant organique inerte est un hydrocarbure aromatique ou halogéné. La revendication 32 (dépendante des revendications 19, 20 ou 31 et donc de la revendication 1) limite le solvant au chlorure de méthylène. La revendication 33 est dépendante des revendications 19 ou 20 et de la revendication 1, avec un groupe acyle précis. La revendication 34[60], tout comme la revendication 18, comporte une description des caractéristiques du complexe TPP‑Cl à employer dans le procédé, par exemple les données sur le spectre infrarouge et le déplacement en RMN du 31P. Elle s’applique dans le contexte d’un procédé en deux étapes (ou procédé de formation d’un imino‑halogénure).

 

[162]       En ce qui concerne l’interprétation de la revendication 1 du brevet 007, la Cour ne considère pas le signal de +3,7 ppm en RMN du 31P et, vraisemblablement, les données sur le spectre infrarouge figurant au tableau 1 du brevet 536 comme des éléments essentiels d’aucune des revendications qui font simplement mention du produit cinétiquement contrôlé de la réaction entre un triarylphosphite et le Cl ou le Br dans un solvant organique inerte. C’est particulièrement évident si l’on considère que la revendication 18 (dépendante de la revendication 1) ne comporte que deux caractères distinctifs : ces deux propriétés.

 

[163]       S’appuyant sur tout ce qui précède, la Cour conclut que l’invention constitue une variante d’un procédé ou un procédé perfectionné[61], et non pas un nouveau procédé, pour transformer les sulfoxydes de céphalosporine. Elle consiste principalement en l’utilisation du produit cinétiquement contrôlé comme réactif et en la possibilité d’utiliser ledit réactif pour réaliser trois réactions ou étapes « dans le même tube réactionnel ».

 

4.4.2. Le brevet 725

[164]       Les revendications en litige à l’égard de ce brevet sont les revendications 1 (la seule revendication indépendante du brevet), 16, 22 à 27 et 30. Le brevet est intitulé « ProCÉDÉ D’HalogÉnation DE β‑lactamES ». Le brevet 725 revendique un procédé qui nécessite lui aussi l’utilisation du produit cinétiquement contrôlé de la réaction entre des quantités équivalentes d’un triarylphosphite défini et de Cl ou de Br comme agents halogénants pour convertir le groupe hydroxyle en position 3 d’un cycle céphème en un groupe halogéné, de même qu’un procédé faisant appel au même produit cinétique pour convertir une classe d’halogénures en leurs amino-halogénures correspondants (deux des trois étapes sont déjà décrites en ce qui concerne le brevet 536). Encore une fois, à la page 28, le mémoire descriptif indique que [traduction] « la combinaison du procédé combinant halogénation d’un énol et halogénation d’une imine, dans lequel X représente un Cl, avec l’alcoolyse subséquente de l’imino-chlorure obtenu constitue un perfectionnement de la méthode de production d’esters de l’acide 7‑amino‑3‑chloro‑3‑céphème‑4‑carboxylique ». Il est ensuite indiqué, à la page 29, que c’est particulièrement important étant donné que les esters du cycle 3‑halocéphème [traduction] « peuvent être acylés au moyen de techniques d’acylation classiques, puis déestérifiés afin de fournir des antibiotiques connus », tels le céfaclor.

 

[165]       Quarante‑huit exemples sont ensuite présentés, et le brevet se termine par 30 revendications, dont certaines incluent l’étape d’alcoolyse une fois la formation des imino‑chlorures terminée (voir par exemple la revendication 27, revendication de procédé dépendante de la revendication 16). Une seule revendication en litige (revendication 30) renferme une indication des diverses caractéristiques du produit cinétiquement contrôlé précis qui y est décrit (toutes les caractéristiques sont présentées au tableau 1, reproduit à la page 8, sauf en ce qui concerne la demi‑vie).

 

[166]       La revendication 1 vise le procédé déjà décrit faisant appel au complexe cinétique fabriqué dans un solvant organique inerte essentiellement anhydre à une température d’un peu moins de 30 ºC, environ, selon un ratio établi qui varie selon que l’on souhaite simplement halogéner l’énol de la formule V (environ 1,0 à environ 1,3 équivalent du complexe triarylphosphite‑halogène par équivalent de matière de départ [céphalosporine]) ou si l’on souhaite effectuer l’halogénation du groupe imine (environ 2,0 à environ 3,0 équivalents du complexe triarylphosphite‑halogène par équivalent de céphalosporine de départ). L’halogénation du groupe imine doit aussi s’effectuer [traduction] « en présence d’environ 1,0 à environ 1,2 équivalent d’une base amine tertiaire par équivalent du [complexe cinétique] ».

 

[167]       La revendication 16 est dépendante de la revendication 15, qui vise le procédé de la revendication 1 destiné à obtenir le 7‑imino‑3‑halo‑3‑céphème à partir du 7‑acylamino‑3‑hydroxy‑3‑céphème. La revendication 16 vise ce procédé lorsque le complexe cinétique est composé du TPP et du Cl.

 

[168]       La revendication 22 vise le procédé de la revendication 15 lorsque X représente un Cl, alors que la revendication 23 vise le même procédé lorsque Z représente un hydrogène et X représente un Cl ou un Br. Les revendications 24 et 25 dépendent de la revendication 15, mais limitent le type de solvant (hydrocarbure aromatique ou halogéné et chlorure de méthylène, respectivement). La revendication 26 est dépendante de la revendication 15 ou 16 et précise la nature du groupe acyle.

 

[169]       Pour les motifs déjà énoncés en regard des revendications 18 et 34 du brevet 536, la Cour n’a pas à déterminer les éléments essentiels de la revendication 30 étant donné qu’elle n’examinera pas la question de la contrefaçon de cette revendication. Par ailleurs, étant donné que les parties ne sont pas en désaccord quant à l’interprétation des autres revendications en litige, il n’y a à peu près rien à rajouter, si ce n’est que ce brevet vise aussi une variante d’un procédé ou un procédé perfectionné (une ou deux étapes dans le même tube réactionnel) dont la principale caractéristique est l’utilisation comme réactif du produit cinétiquement contrôlé de la réaction qui y est décrit.

 

                        4.4.3. Le brevet 468

[170]       Ce brevet de procédé est intitulé « ProcÉDÉ DE PrÉparation D’IMINO‑HALOGÉNURES DE LA PÉnicillinE ET DE LA CÉphalosporinE ». Il ne renferme que deux revendications indépendantes : les revendications 1 et 8. Les revendications en litige sont les revendications dépendantes 2, 7 et 17 à 20, de même que la revendication 8.

 

[171]       Le mémoire descriptif débute en établissant clairement que le procédé de [traduction] « clivage du groupe acylamine en C‑6 ou C‑7 afin de fournir les composés amino en C‑6 ou C‑7 correspondants qui sont réacylés […] » est connu. Ainsi, le mémoire descriptif indique à la page 2 que [traduction] « l’un des objets de la présente invention est de fournir un nouveau procédé pour produire des imino‑halogénures de pénicilline et de céphalosporine » et, plus précisément, [traduction] « de fournir une méthode à haut rendement pour produire des halogénures de pénicilline et de céphalosporine avec groupe imine en C‑6 et C‑7, respectivement, en utilisant les nouveaux complexes cinétiques triarylphosphite‑halogène ». Étant donné qu’il s’agit de la dernière des trois étapes décrites dans le brevet 536 et de la dernière des deux étapes décrites dans le brevet 725, on trouve de nombreux détails similaires au sujet du procédé lui‑même et au sujet du réactif et de sa préparation. Le mémoire descriptif donne trente exemples et se termine par 20 revendications. La Cour n’examinera le libellé d’aucune de ces revendications étant donné que les parties s’entendent sur leur interprétation.

 

[172]       Encore une fois, et pour les mêmes motifs que ceux énoncés à l’égard du brevet 007, la Cour ne considère pas le déplacement du complexe TPP-CL en RMN du 31P (ni les autres propriétés décrites au tableau 1) comme un élément essentiel de la revendication 1 ou de ses revendications dépendantes qui ne font pas mention de telles propriétés dans leur description du produit cinétique à utiliser dans les procédés revendiqués. Les seules revendications en litige qui font expressément mention de ces propriétés sont la revendication 8 et ses revendications dépendantes (une variante dans les revendications 17 à 20). Comme je l’ai indiqué en ce qui concerne les revendications 18 et 34 du brevet 536, même si ces éléments sont probablement des éléments essentiels de ces revendications, aucune contestation n’a été signifiée à leur égard. Il n’y a donc pas lieu de rendre un jugement à ce sujet.

 

[173]       La revendication 7 est dépendante de la revendication 5 ou 6 et comprend l’étape facultative d’alcoolyse dont il a déjà été question. Les revendications 17 à 20 sont toutes dépendantes de la revendication 1 ou 8. La revendication 17 précise un intervalle de température, alors que la revendication 18 indique des types précis de solvants. La revendication 19 se limite à certains types de céphalosporines, et la revendication 20 précise que le composé halogénant de la revendication 1 ou 8 est stabilisé par une base amine tertiaire.

 

[174]       Une fois encore, il est évident que l’invention est une variante d’un procédé ou un procédé perfectionné dont la caractéristique principale est l’utilisation du complexe cinétique triarylphosphite‑halogène.

 

4.5. Les brevets de Shionogi

[175]       Shionogi a d’abord déposé, le 9 février 1976, une demande de brevet visant tous les procédés décrits en l’espèce, de même que les composés obtenus au moyen de certains de ces procédés. La première demande revendiquait une date prioritaire basée sur le dépôt des demandes japonaises (février-mars 1975).

 

[176]       Au cours de l’examen de la demande de brevet, l’examinateur a constaté que la demande renfermait plus d’une invention. Il a défini quatre groupes distincts de revendications et a exigé des modifications. Shionogi a donc déposé quatre demandes complémentaires les 19 et 22 octobre 1979, qui se sont traduites par la délivrance des quatre brevets en litige. Par conséquent, la description de ces quatre brevets est identique[62]; seules les revendications varient d’un brevet à l’autre étant donné que chacun vise une partie distincte de la voie de synthèse globale décrite dans le mémoire descriptif, qui concerne la cyclisation globale de la structure possédant un cycle à 6 unités et l’introduction concomitante d’un substituant OH en position 3 du cycle en vue de sa substitution ultérieure par le Cl. Sauf en ce qui concerne les éléments du brevet 026 dont l’interprétation diverge, le contenu du mémoire descriptif ne sera analysé qu’une seule fois. De plus, comme l’interprétation des revendications en litige dans chacun de ces brevets ne soulève que peu de contestations, mon examen sera bref[63].

 

4.5.1. Éléments communs du mémoire descriptif

[177]       Le mémoire descriptif débute ainsi : [traduction] « la présente invention vise la cyclisation dans le but de former un cycle céphème, ainsi que les produits intermédiaires formés. Plus précisément, elle vise un composé » de formule :

 

dans laquelle [traduction] « les substituants peuvent être combinés de façon à former un double cycle azétidinothiazoline; et ses dérivés énamine, et les procédés de cyclisation pour former un cycle céphème par le biais desdits intermédiaires illustrés ci‑dessus au moyen des réactions présentées dans le schéma de réaction suivant » :

 

[178]       À la page 2, on peut lire ceci :

[traduction] De nombreux essais ayant pour but de synthétiser le cycle 3‑céphème à grande échelle ont été signalés, mais aucune usine ne fabrique de céphalosporines en synthétisant un cycle, sauf pour la production de céphalexine[[64]]. La présente invention décrit un procédé de cyclisation douce pour former des composés 3‑hydroxy‑3‑céphème par le biais de dérivés 4‑mercaptoazétidinone.

 

Les tentatives de cycliser un type de composés possédant la formule (2) ou (3), dans lesquelles Y n’est pas un hydroxyle ni une amine substituée, n’ont pas donné de résultats satisfaisants. Toutefois, lorsque Y est un groupe qui favorise l’énolisation en vue de former une double liaison vers la position exo, la cyclisation s’est déroulée sans difficulté et a abouti à la formation du composé 3‑hydroxy‑3‑céphème visé (4).

 

Le composé 3‑hydroxy‑3‑céphème (4) est un intermédiaire utile pour synthétiser les composés céphème souhaités (p. ex. le nouvel acide 3‑méthoxy-7‑(α‑phénylglycinamido)-3‑céphème‑4‑carboxylique [c.‑à‑d. le céfaclor], l’acide 3‑chloro‑7-(α‑phénylglycinamido)-3‑céphème-4‑carboxylique et l’acide 3‑bromo‑7‑(2‑thiénylacétamido)-3‑céphème‑4‑carboxylique).

 

[179]       De la ligne 23, page 17, à la ligne 14, page 18, du mémoire descriptif, on peut lire ceci :

[traduction] L’halogénation des composés représentés par la formule (1), lorsque Y n’est pas une amine, s’est déroulée sans problème dans certains cas et avec difficulté dans d’autres. La principale difficulté résidait dans la position où les atomes d’halogène étaient introduits. Autrement dit, la priorité de la position souhaitée par rapport à d’autres positions dans la molécule pour l’halogénation était plutôt faible et variait d’un composé à l’autre. Un autre facteur limitait Y à ce qui est mentionné ci‑dessus; ce facteur n’était pas lié à l’halogénation, mais aux réactions suivantes : i) la facilité de déprotection afin d’obtenir un composé (I) dans lequel Y est un hydroxyle; et ii) la capacité de cyclisation afin d’obtenir le composé céphème souhaité (4). La cyclisation des composés représentés par la formule (1), lorsque Y n’est pas un hydroxyle, était inefficace ou négligeable. Il découle de ces observations que Y est limité de façon à représenter un hydroxyle ou une amine substituée, comme il est expliqué plus haut.

 

La déprotection 2) du composé (2) peut être réalisée par traitement à l’aide d’un acide aqueux, pour le composé azétidinothiazoline, et à l’aide d’un acide de Lewis, lorsque R représente un acyle carbonique.

 

La décomposition du composé azétidinothiazoline à l’aide d’un acide aqueux est une nouvelle réaction générique pour obtenir les dérivés 4‑mercapto‑3‑carboxylique acylamino‑2‑oxoazétidine selon le schéma de réaction.

 

[Décrit à ladite page.]

 

 

[180]       À la page 22 du mémoire descriptif, après la description des réactions revendiquées dans le brevet 026[65], on peut lire ceci :

[traduction] Le produit final est un acide 3‑hydroxy-3‑céphème-4‑carboxylique ou 3-oxocéphame-4‑carboxylique (4). Dans certains cas, les substituants en position 3 ou 7 du cycle céphème changent pendant la réaction ou le traitement, et, par conséquent, les substituants correspondants dans les matières de départ et les matières produites varient de l’une à l’autre. Si on le souhaite, on peut récupérer les substituants ou les transformer en d’autres substituants utiles au moyen de méthodes classiques. Les cas de ce genre sont aussi visés par la présente invention.

 

[181]       Et, à la page 23, concernant également le brevet 026 :

[traduction] L’halogénation 1), la déprotection 2) et la cyclisation 3) peuvent être réalisées dans le même tube réactionnel, c’est‑à‑dire sans isoler les produits intermédiaires et sans même éliminer les solvants de réaction. Par conséquent, les réactions sont pratiquement aussi simples qu’une réaction en une étape (voir les exemples 2(2) et (3) et les exemples 9 à 17 de la partie III, Cyclisation).

 

[Voir aussi la page 33, lignes 6‑12.]

 

 

[182]        Le mémoire descriptif indique aussi que les produits des réactions revendiquées (à l’exception du 3‑hydroxy et du 3‑oxo) sont nouveaux. Le long mémoire descriptif donne divers détails sur l’application de ces procédés et les modes préférentiels, en particulier la justification du choix des substituants et d’autres produits à utiliser, tels les acides et les solvants.

[183]       On trouve aussi l’énoncé suivant à la page 33 : [traduction] « la présente invention fournit le procédé le plus simple et offrant le plus grand rendement pour obtenir des intermédiaires clés précieux, les composés 3‑hydroxy‑3‑céphème à partir de pénicillines moins coûteuses ». De nombreux exemples sont donnés concernant les procédés revendiqués dans chacun des brevets. Comme je l’ai déjà dit plus haut, étant donné que la question du caractère suffisant n’était pas en litige pour ce qui est de ces brevets, il est inutile d’en dire plus sur ces exemples ou sur les détails donnés.

 

                        4.5.2. Le brevet 547

[184]       Ce brevet, comme les trois autres brevets de Shionogi, est intitulé « Cyclisation pour former des noyaux Cephem et leurs Intermédiaires ». Le mémoire descriptif se termine par huit revendications. Celles qui font l’objet de l’action sont les revendications 1 (revendication indépendante), 3, 5 et 7‑8 (revendications dépendantes).

 

[185]       Ces revendications visent des procédés[66] pour produire, à partir de composés exométhylène, des composés hydroxylés (composés dérivés d’une pénicilline, dont le composé de Cooper) par clivage oxydatif de la liaison non saturée du groupe exométhylène. Elle vise aussi les composés obtenus.

 

[186]       La revendication 1 peut être résumée comme suit :

 

Un procédé pour produire

                                                        

en soumettant[[67]]

 

à une oxydation suivie d’un clivage de l’ozonide ainsi obtenu.

 

 

[187]       Le composé visé par la revendication 1 est le composé revendiqué dans la revendication 8. La revendication 3 est dépendante des revendications 2 et 1 et concerne l’utilisation de l’ozone comme matière oxydante. La revendication 5 est dépendante des revendications 1 et 4 et traite de la réduction de l’ozonide au moyen de certains agents réducteurs qui y sont décrits. La revendication 7 est dépendante des revendications 6 et 1 et vise le procédé de la revendication 1 en présence des solvants particuliers qui y sont décrits.

 

                        4.5.3. Le brevet 924

[188]       Les revendications en litige sont les revendications 3, 4, 8, 9, 12, 27, 31 et 37. Elles visent généralement des procédés permettant d’acyler des composés d’azétidinone et de former par la suite une énamine d’azétidinone.

 

[189]       La revendication 1 peut être décrite de façon simple comme suit. Un procédé pour produire :

en faisant réagir

 

            (forme énol)                                          (forme céto)

 

avec un agent acylant pour introduire l’acyle carbonique C2‑12, le groupe sulfonyle C1‑20 et, s’il y a lieu, en mettant ce composé en présence d’une amine disubstituée C2‑20 afin d’obtenir le composé amin=é.

 

[190]       La revendication 3 est dépendante des revendications 2 et 1 et vise le procédé dans lequel le composé choisi est traité par le réactif sulfonylant qui y est mentionné. La revendication 4 (dépendante des revendications 2 et 1) vise le procédé pour obtenir une azétidinothiazoline acylée ou sulfonylée. La revendication 8 vise un procédé dans lequel on fait réagir le composé acylé ou sulfonylé de la revendication 1 avec une dialkylamine, dont la pipéridine et la morpholine. La revendication 9 est dépendante de la revendication 8 et traite d’une amine substituée particulière. La revendication 12 (dépendante des revendications 10, 8 et 1) vise le même procédé dans lequel R’ représente un benzyle; le benzhydryloxyle fait partie du groupe d’éléments protecteurs du carboxyle pouvant représenter X; et l’amine substituée est une morpholine.

 

[191]       La revendication 27 vise un composé produit au moyen du procédé de la revendication 1 dans lequel les groupes fonctionnels sont ceux définis à la revendication 1. La revendication 31 vise quant à elle un composé produit au moyen du procédé de la revendication 4 (dépendante des revendications 2 et 1) dans lequel les groupes fonctionnels sont ceux définis à la revendication 4. La revendication 37 vise un composé produit au moyen du procédé de la revendication 35 (dépendante des revendications 10, 8 et 1) dans lequel R’ représente un benzyle, Y” est une morpholine et X représente un p‑nitrobenzyloxyle, un 2,2,2‑trichloroéthoxyle ou un benzyloxyle lorsque le composé est obtenu au moyen du procédé de la revendication 12 (dépendante des revendications 10, 8 et 1).

 

                        4.5.4. Le brevet 132

[192]       Les parties ont convenu que l’halogénation décrite dans le brevet 132 peut généralement être désignée comme une halogénation allylique.

[193]       Parmi les 76 revendications de ce brevet, seules les revendications 15, 22, 29, 34, 38 et 58 sont en litige. Les revendications 15 et 22 sont dépendantes de la revendication 1. La revendication 15 précise que le réactif halogénant est le Cl, le Br ou l’iode. La revendication 22 vise le procédé de la revendication 1 utilisé pour produire les composés particuliers qui y sont décrits.

 

[194]       La revendication 29 est une revendication de composé dépendante de la revendication indépendante 24, qui décrit en termes généraux les composés fabriqués au moyen du procédé revendiqué dans les revendications précédentes (la formule de la revendication 24 est la même que celle de la revendication 1) à l’aide des mêmes substituants. La revendication 34 est une autre revendication dépendante et, comme la revendication 29, elle vise un composé dont les substituants y sont décrits.

 

[195]       La revendication 38, dépendante de la revendication 36 (et de la revendication 1), vise un procédé décrit à la revendication 36 qui consiste à traiter un composé doté de certains substituants à l’aide d’un réactif halogénant contenant du Br. Ledit composé comprend une thiazoline β‑lactame; Y représente une morpholine, R représente un benzyle et X peut être un benzhydryloxyle.

 

[196]       Finalement, la revendication 58 vise le composé décrit à la revendication 56 produit au moyen du procédé de la revendication 38, dans lequel Y représente une morpholine, l’halogène est le Br et X est l’un des trois composés qui y sont décrits, dont le benzhydryloxyle.

 

[197]       Les parties ne s’entendaient pas quant au sens du terme « Hal » dans les deux revendications indépendantes : 1 et 24. Bien qu’il ne s’agisse nullement d’un élément déterminant, comme le libellé des revendications 29 et 58 restreint le sens de « Hal » à un halogène précis autre que le fluor, la question est de savoir si « Hal » inclut le fluor dans la formule décrite aux revendications 1 et 24. Le mémoire descriptif indique clairement, à la page 8, que [traduction] « l’halogène pouvant être représenté par Hal dans les formules peut être le chlore, le brome, l’iode ou le fluor, mais les halogènes préférentiels sont le chlore et le brome ».

 

[198]       Après avoir considéré le mémoire descriptif dans son ensemble, y compris les diverses revendications qui précisent l’halogène (Hal) visé, la Cour conclut que le fluor fait partie des halogènes décrits dans les formules des revendications 1 et 24, bien qu’il soit évident qu’il ne s’agit pas de l’halogène préférentiel et que la personne versée dans l’art le comprendrait.

 

                        4.5.5. Le brevet 026

[199]       Le brevet 026 comporte cinq revendications. En règle générale, les revendications de ce brevet concernent les deux étapes décrites dans le mémoire descriptif comme étant la déprotection et la cyclisation. Les revendications en litige sont les revendications 1, 2 et 4. La revendication 1 vise un procédé pour produire un 3‑hydroxy‑3‑céphème[68] (ou son tautomère céto) (A et B ci‑dessous) et un énol d’azétidinone[69] (ou son tautomère céto) (C et D ci‑dessous).

 

[200]       La revendication 1 se lit comme suit :

1.         Un procédé pour produire un composé représenté par les formules suivantes :

 

dans lesquelles A et B représentent, indépendamment, un hydrogène, un alkanoyle substitué ou non, un aralkanoyle substitué ou non, ou un aroyle substitué ou non, les substituants n’ayant pas d’effet sur la capacité du composé de former un cycle céphème;

 

X représente un groupe protecteur d’hydroxyle ou de carboxyle;

 

Hal est un halogène; et R représente un hydrogène ou un groupe alkoxycarbonyle, cycloalkyl‑méthoxycarbonyle, aralkoxycarbonyle, aryle, benzothiazolyle, furyle, thiényle, pyrryle, oxazolyle, isoxazolyle, oxadiazolyle, oxatriazolyle, pyrazolyle, imidazolyle, triazolyle, tétrazolyle, pyridyle, pyrimidyle, pyrazinyle, pyridazinyle ou triazinylthio, chacun pouvant être substitué par un halogène, un alkyle contenant 1 à 3 atomes de carbone, un hydroxyle, un aminométhyle ou un alkoxyle contenant 1 à 3 atomes de carbone; ce procédé consiste à :

 

1) traiter une énamine d’un composé représenté par la formule :

 

 

dans laquelle A, B, R, X et Hal correspondent à la définition ci‑dessus et la ligne pointillée entre A et R constitue une combinaison de A, B et R lorsque R et B sont des atomes d’hydrogène et A est un acyle carboxylique avec une amine disubstituée contenant 2 à 20 atomes de carbone, sous l’action d’un acide aqueux;

 

2) cycliser un composé de formule :

 

 

dans laquelle A et B correspondent à la définition ci‑dessus, en traitant un composé choisi représenté par la formule x ci‑dessus au moyen d’un acide, d’une base ou d’un solvant, si nécessaire en présence d’un catalyseur, pour produire les composés choisis représentés par les formules (A) ou (B).

 

 

 

[201]       Le composé de départ décrit (composé céto) peut comporter ou non un cycle thiazoline. En l’absence de cycle thiazoline, le groupe sulfuré est indépendamment protégé par un substituant thiol (R). À la page 8 du mémoire descriptif, R est décrit comme un substituant thiol [traduction] « facile à retirer sans effets indésirables sur l’autre partie de la molécule avant ou pendant la réaction de cyclisation » (non souligné dans l’original). [traduction] « Il est inutile d’utiliser la matière de départ isolée (3) pour la réaction » (page 20, lignes 27‑28, voir aussi page 33, lignes 6‑18).

 

[202]       Au cours de la première étape, on traite l’énamine du composé céto au moyen d’un acide aqueux, ce qui provoque l’hydrolyse du groupe énamine disubstitué (en fait la seule réaction décrite expressément). Lorsqu’un cycle thiazoline est présent, les experts conviennent que la première étape aura aussi pour effet d’ouvrir ce cycle, ce qui provoquera la formation des composés représentés par C ou D dans lesquels R = H. En l’absence de cycle thiazoline, selon le substituant utilisé pour protéger indépendamment le groupe sulfuré, la première étape pourra ou non provoquer la déprotection du substituant sulfuré. Lorsqu’il y a déprotection, le résultat est le même que ci‑dessus, c’est‑à‑dire le composé C ou D dans lequel R = H. Dans le cas contraire, R reste inchangé.

 

[203]       L’étape décrite au paragraphe 2 de la revendication 1 est la cyclisation du composé qui y est décrit (C ou D dans lequel R = H). Elle se produit lorsqu’on fait réagir ledit composé avec un acide, une base ou un solvant (et, facultativement, un catalyseur) pour obtenir le composé intermédiaire clé décrit dans le mémoire descriptif : le composé 3‑hydroxy‑3‑céphème (représenté par A ou B).

 

[204]       M. Hanessian, seul expert d’Apotex qualifié pour dire comment la personne versée dans l’art interpréterait cette revendication, la décrit simplement comme une réaction entre une azétidinothiazoline et un acide aqueux pour former un énol d’azétidinone qu’on fait ensuite réagir avec un acide, une base ou un solvant (avec un catalyseur facultatif) pour obtenir le composé 3‑hydroxy‑3‑céphème. Il ne fait état d’aucune difficulté d’interprétation de ladite revendication.

 

[205]       M. McClelland, qui n’a aucune expérience pertinente de travail avec les composés céphème et les céphalosporines, a souligné que l’interprétation littérale de M. Hanessian était celle qu’il avait d’abord adoptée, mais qu’il l’avait jugée inexacte après un examen plus approfondi des substances. Selon M. McClelland, cette étape de cyclisation n’aurait pas lieu si R était un groupe ne pouvant pas être éliminé par traitement au moyen d’un acide aqueux. Par conséquent, pour un tel composé, les matières finales du procédé revendiqué seraient les composés représentés par C ou D[70].

 

[206]       Au cours de son contre‑interrogatoire, M. Barrett a convenu que, pour que la cyclisation ait lieu (deuxième réaction visée par la revendication 1), R doit correspondre à H. Il a cependant souligné que le mémoire descriptif renfermait des exemples dans lesquels le substituant R dans C ou D n’est pas H, mais peut être éliminé efficacement au cours d’une opération « dans le même tube réactionnel » ou « dans deux tubes réactionnels[71] » par traitement avec un acide[72] en vue de la cyclisation. Il s’ensuivrait, comme le montre l’exemple 2 – III, une déprotection du groupe sulfuré (R devenant H) qui permettrait la cyclisation (voir aussi la page 18, lignes 7‑10; et de la ligne 28, page 19, à la ligne 19, page 21, du mémoire descriptif).

 

[207]       Il n’y a aucune indication d’un quelconque substituant R autorisé qui ne permettrait pas la cyclisation lorsqu’on considère la méthode dans « un tube réactionnel » ou dans « deux tubes réactionnels » ou le fait que l’élimination du substituant thiol peut s’effectuer pendant la cyclisation[73] comme réaction préliminaire qui permettra au substituant R de devenir H et donc d’en arriver aux composés A ou B.

 

[208]       En m’appuyant sur l’ensemble de la preuve devant moi et sur mon examen du brevet, je conclus que la personne versée dans l’art comprendrait que, dans tous les cas, les procédés revendiqués dans le brevet 026 peuvent mener aux composés A ou B.

 

[209]       De toute manière, la question de savoir si la réaction produira ou non les composés A ou B ne doit être résolue qu’en regard de la thèse d’Apotex selon laquelle les brevets de Shionogi n’ont pas d’objet et sont des brevets complémentaires irréguliers[74], thèse rejetée pour les motifs qui suivent.

 

[210]       Tout comme dans le brevet 132, « Hal » représente un halogène dans la revendication 1, et la personne versée dans l’art saurait que cet halogène peut comprendre le fluor à cause de la définition donnée à la page 8 du mémoire descriptif. Encore une fois cependant, cette personne saurait bien qu’il ne s’agit pas du meilleur halogène à utiliser (groupe partant dans la réaction).

 

5. La contrefaçon

5.1. La charge de la preuve

[211]       Il n’est pas contesté que la demanderesse doive établir, suivant la prépondérance des probabilités, que les procédés utilisés par les fournisseurs d’Apotex comprenaient tous les éléments essentiels d’une ou de plusieurs revendications des brevets en litige.

 

            5.2. Les présomptions législatives et de common law

[212]       Lilly soutient que, dans ce cas particulier, elle bénéficie de deux présomptions. La première est la présomption de contrefaçon qu’établit l’article 55.1 de la Loi sur les brevets, libellé comme suit :

55.1 Dans une action en contrefaçon d’un brevet accordé pour un procédé relatif à un nouveau produit, tout produit qui est identique au nouveau produit est, en l’absence de preuve contraire, réputé avoir été produit par le procédé breveté.

 

[Non souligné dans l’original.]

55.1 In an action for infringement of a patent granted for a process for obtaining a new product, any product that is the same as the new product shall, in the absence of proof to the contrary, be considered to have been produced by the patented process.

 

 

 

[213]       Selon Lilly, on a substitué le terme « produit » (product) au terme « substance » (substance) par une modification apportée en 1993[75] afin de donner effet à l’alinéa 1709(11)a) de l’Accord de libre-échange nord-américain entre le gouvernement du Canada, le gouvernement des États-Unis et le gouvernement du Mexique, 17 décembre 1992, R.T. Can. 1994 no 2, 32 I.L.M. 289 (l’ALENA). Lilly fait valoir que les tribunaux n’ont pas encore interprété l’expression « nouveau produit », qui désigne selon elle un produit qui n’a pas été vendu sur le marché auparavant. Elle renvoie à ce propos aux définitions que donnent divers dictionnaires du mot « produit ». Suivant Lilly, le céfaclor, qui a été vendu au Canada pour la première fois en 1980[76], n’était donc pas même un produit lorsque les demandes de brevet de Lilly et de Shonogi ont été déposées, qui se rapportent aux procédés de fabrication de nouveaux produits de cette nature.

 

[214]       La Cour ne peut accueillir ce moyen. En effet, comme l’a fait observer Apotex, la Cour suprême du Canada emploie les termes « produit » et « substance » de manière interchangeable dans Harvard College c. Canada (Commissaire aux brevets), 2002 CSC 76, [2002] 4 R.C.S. 45 [Harvard College (2002)]. Il convient de donner au terme « produit », employé dans la définition du terme « invention », la même signification qu’il revêt tout au long de la Loi sur les brevets.

 

[215]       À mon sens, en substituant le terme « produit » au terme « substance », le législateur voulait simplement faire en sorte que la disposition canadienne soit appliquée conformément aux obligations que l’ALENA prévoit pour le Canada. Le mot « substance » paraît avoir un sens plus restreint que « produit », de sorte qu’il ne pourrait guère s’appliquer, par exemple, à un nouveau séchoir à cheveux, alors que la présomption est faite pour s’appliquer à tout nouveau produit.

 

[216]       Aucun des brevets en litige ne se rapporte à un procédé de fabrication du céfaclor en soi. Par conséquent, la Cour ne pouvait appliquer la présomption qu’à la fabrication des nouveaux composés visés par les brevets de Shionogi ou aux produits revendiqués dans le brevet 007.

 

[217]       Comme on le verra ci‑dessous, il n’est pas nécessaire d’appliquer cette présomption pour examiner au fond les allégations de contrefaçon touchant le procédé de Kyong Bo et les brevets de Shionogi. Pour ce qui concerne le brevet 007, la Cour conclut, pour les motifs exposés plus loin sous la rubrique de l’antériorité, que les composés qui y sont revendiqués ne sont pas des nouveaux produits

 

[218]       Lilly a aussi demandé à la Cour d’appliquer la présomption de common law, examinée dans la décision Hoffmann-La Roche Ltd. c. Apotex Inc. (1983), 41 O.R. (2d) 84, 145 D.L.R. (3d) 270 (H.C.) [conf. par (1984), 47 O.R. (2d) 287, 11 D.L.R. (4th) 320 (C.A.)], où le juge Walsh a souscrit au moyen de Hoffman‑La Roche Limitée selon lequel pesait sur Apotex la charge de prouver que son fournisseur avait utilisé le procédé en question :

[traduction] (...) en common law, la règle a toujours été que lorsqu’une des parties est censée avoir particulièrement connaissance de l’objet d’une allégation, c’est à elle qu’il incombe de prouver cette allégation, qu’elle soit de nature positive ou négative.

 

[Paragraphe 23.]

 

[219]       Dans cette affaire, on avait produit des éléments tendant à prouver qu’Apotex avait écrit à son fournisseur pour lui demander de ne pas donner de renseignements à la demanderesse sauf obligation. En outre, elle avait manœuvré de manière à faire en sorte que tous les renseignements sur le procédé soient envoyés directement à son avocat sans qu’elle en reçoive elle-même copie.

 

[220]       Lilly fait valoir que Lupin était en fait disposée à coopérer dans la présente espèce et qu’Apotex le savait, mais n’en a informé ni les demanderesses ni la Cour. En outre, étant donné l’engagement contractuel spécial pris par Lupin d’aider Apotex (voir la pièce TX‑1656), cette dernière était beaucoup mieux en mesure de produire des éléments de preuve admissibles et crédibles concernant le procédé effectivement utilisé par Lupin.

 

[221]       Si j’avais été convaincue que Lilly avait fait des démarches suffisantes pour obtenir ces renseignements, par exemple en formant, une fois produite la pièce TX‑1656 (après le dépôt de sa première requête), une requête en supplément d’information sur le procédé effectivement utilisé au lieu de s’en remettre à l’engagement pris par Apotex de consulter ses archives, j’aurais été disposée à appliquer cette présomption étant donné les circonstances particulières de la présente espèce. Contrairement aux affirmations d’Apotex, la Cour ne pense pas que le demandeur qui invoque cette présomption doive pour en bénéficier chercher à travers le monde les renseignements qu’il puisse utiliser dans un litige en recourant aux moyens que prévoient divers systèmes juridiques étrangers[77].

 

[222]       J’examinerai plus avant, à propos des questions des dépens et de l’admissibilité de certains éléments de preuve produits pour contester l’allégation de contrefaçon, le fait qu’Apotex ait omis d’aviser Lilly et la Cour que Lupin était disposée à communiquer les documents nécessaires sur son procédé sous réserve que soit valablement protégée la confidentialité des renseignements y contenus.

 

[223]       Inutile de dire que, même si elle ne peut bénéficier de cette présomption de common law, Lilly peut néanmoins s’appuyer sur les inférences qu’il est raisonnablement permis de tirer de la preuve produite pour établir certains faits, possibilité qui s’accorde parfaitement avec l’observation formulée dans Whirlpool[78].

 

            5.3. Le procédé de Lupin

[224]       Apotex a reçu du céfaclor fabriqué par Lupin à partir du 23 mai 1997 et au moins jusqu’en octobre 1998. La quantité exacte reçue de ce fournisseur sera établie dans le cadre du renvoi, mais il apparaît qu’Apotex a importé au moins 8 650 kg et peut être jusqu’à 10 000 kg de céfaclor fabriqué par Lupin.

 

[225]       Apotex a admis[79] avoir utilisé le céfaclor en vrac importé de Lupin dans la fabrication d’Apo-Cefaclor, au moins pour ce qui concerne les lots de réception énumérés dans la demande d’aveux, et exception faite des quantités utilisées pour les essais et à d’autres fins réglementaires sous le régime du paragraphe 55.2(1) de la Loi sur les brevets.

 

[226]       Étant donné l’ordonnance de confidentialité prononcée sur cette question, la Cour dira peu de chose sur les procédés utilisés par les fournisseurs d’Apotex.

 

[227]       L’expert Barrett résume dans son rapport (pièce E‑15) les divers procédés que décrivent les éléments de preuve produits par les parties. J’utiliserai sa nomenclature :

 

Procédé A – Procédé décrit dans les documents déposés par Lupin auprès de Santé Canada. Il est également décrit dans les documents que Lupin a déposés en 1996 auprès de la Federal Drug Administration (FDA) [l’autorité américaine en matière de médicaments]. Il s’agit d’un procédé par lequel on obtient le céfaclor à partir de pénicilline V. Le procédé de fabrication décrit dans les lettres des 21 juin et 20 août 1997 (TX‑159, TX‑158 et TX‑159), adressées à Santé Canada en réponse à une demande d’éclaircissements sur le procédé utilisé par Lupin pour fabriquer son 7‑ACCA, est semblable, si ce n’est identique, à celui qu’elle décrit dans les documents communiqués à la FDA en 1996. [Passage omis.]

 

Procédé B – Procédé décrit dans un document de mise à jour déposé par Lupin auprès de la FDA en novembre 1997. Il s’agit d’un procédé par lequel on obtient le céfaclor à partir de pénicilline [passage omis]. Il apparaît à la lecture des pièces TX‑167 et TX‑168 produites par Mme Para de Santé Canada que Lupin a communiqué en juin 1999 une mise à jour de sa fiche maîtresse de médicament où elle expose un procédé semblable (si ce n’est identique) à celui qu’elle avait décrit à l’intention de la FDA en 1997. Selon M. Barrett, ce procédé contrefait les brevets de Shionogi.

Procédé C – Procédé décrit dans une autre mise à jour de Lupin, déposée auprès de la FDA en 2000. Ce procédé, selon M. Barrett, est un mélange mettant en œuvre à la fois les procédés de Shionogi et de Lilly. Cependant, rien n’indique qu’il ait été utilisé à quelque moment que ce soit avant l’expiration de la totalité des brevets en litige.

 

Procédé D – Autre procédé dont le point de départ est la pénicilline [passage omis].

 

Toutes ces réactions, qui étaient auparavant désignées simplement sous l’étape V du procédé A, sont maintenant réparties entre des étapes désignées Va) et Vb). [Passage omis.]

 

Ce procédé est exposé dans un document qui aurait été joint à diverses versions d’une lettre en date du 27 octobre 1997 adressée par M. Patil à M. Singh, que ce dernier n’a pas communiquée à Santé Canada. Cette lettre et d’autres documents semblables ont tous été produits sous réserve de l’objection de Lilly (voir-dire). Selon M. Satpute, ce procédé (ou au moins le nouveau procédé employé en 1998) n’a été utilisé que pour produire une seule commande considérable au début de 1998.

Procédé E – Procédé décrit schématiquement dans l’annexe au contrat de vente et de fabrication de céfaclor passé par Apotex et Lupin, en date du 15 mars 1998 (pièce TX‑1656). Selon ce schéma, le point de départ en est la pénicilline. [Passage omis.]

 

[228]       Pour les motifs dont l’exposé suit, la Cour est arrivée à la conclusion que Lilly a établi suivant la prépondérance des probabilités que le céfaclor reçu par Apotex entre le 23 mai 1997 et le 3 juin 1998[80] contrefait les revendications suivantes des brevets de Lilly :

1.                  les revendications 1, 4, 8‑13 et 17‑18 du brevet 007;

2.                  les revendications 1, 4[81],11, 14 et 16 du brevet 536;

3.                  les revendications 1, 15, 16, 20 et 25-27 du brevet 728;

4.                  les revendications 1, 2 et 7 du brevet 468.

 

[229]       Cependant, les demanderesses ne se sont pas acquittées de la charge de présentation qui pesait sur elles relativement au céfaclor expédié à Apotex à partir du 4 juin 1998.

 

[230]       Pour ce qui concerne la période ayant pris fin le 3 juin 1998, la Cour estime que les demanderesses ont établi que Lupin utilisait alors le procédé A susdit. Ayant attentivement examiné les moyens exposés dans le mémoire d’Apotex sur la contrefaçon (partie V) et les éléments de preuve auxquels il renvoie, et étant donné sa propre interprétation des revendications en litige, la Cour est convaincue (comme l’était apparemment l’avocat interne d’Apotex en 1997) que le procédé A contrefait les revendications énumérées ci‑dessus. La Cour accepte et retient de préférence les témoignages des experts Baldwin et Miller, qui ont tous deux conclu que Lupin utilisait, pour exécuter les réactions de son procédé, un complexe cinétique visé par les brevets de Lilly (plutôt que le produit thermodynamique des réactions entre le TPP et Cl dans le dichlorométhane ou chlorure de méthylène)[82].

 

[231]       Bien que les pièces TX‑150, TX‑158 et TX‑159 ne fassent pas mention explicite de l’utilisation d’un capteur d’halogène, la Cour est persuadée que, comme l’a expliqué M. Baldwin[83], les réactions de l’étape V du procédé A ne pouvaient être exécutées avec succès sans un tel capteur. Comme je l’ai déjà dit, les documents déposés par Lupin auprès de la FDA ne prouvent pas que les substances dont elle y déclare se servir ont effectivement été utilisées pour fabriquer le céfaclor expédié à Apotex. La Cour note cependant que les déclarations faites à la FDA concordent au moins dans une certaine mesure avec la preuve des experts de Lilly. En outre, si l’on examine la preuve de M. Satpute, il devient clair que, exception faite de la commande spéciale exécutée en 1998, Lupin n’a utilisé à son usine en 1997 qu’un seul procédé partant de la pénicilline V. La Cour croit comprendre d’après la preuve de M. Satpute que, exception faite de la commande spéciale susdite, l’usine a utilisé les mêmes procédés pour exécuter toutes ses commandes.

[232]       Pour ce qui concerne les procédés B et C, la Cour ne dispose pas de suffisamment d’éléments de preuve pour conclure que l’un ou l’autre aurait servi à produire le céfaclor expédié à Apotex pendant la période du 23 mai 1997 à octobre 1998. Les arguments présentés par Lilly à ce sujet sont purement conjecturaux.

[233]       Cette conclusion reste valable que la Cour accepte ou rejette tout ou partie de la preuve produite sous réserve des objections de Lilly (voir-dire).

[234]       Il ne fait aucun doute que, au 15 mars 1998, Lupin avait convenu de changer le procédé qu’elle avait utilisé jusqu’alors pour fabriquer du céfaclor à l’intention d’Apotex. Apotex a toujours soutenu qu’elle présumait que le procédé E avait été utilisé au moins après cette date.

[235]       Je n’ai pas l’intention de parler de toutes les circonstances auxquelles les conclusions des parties font référence. Je me contenterai d’évoquer certains des éléments les plus saillants du contexte du débat (voir-dire).

[236]       Le 10 mars 2000, Lilly a obtenu du juge James Hugessen une ordonnance[84] obligeant Apotex à demander au ministre de la Santé et à ses fournisseurs des copies des FMM de ceux‑ci présentées à l’appui de sa PDN relative à l’Apo-Cefaclor, ainsi que de produire un affidavit portant qu’elle avait bien demandé ces documents. Après avoir écrit au ministre et à Lupin, M. Sherman a signé un affidavit de cette nature, où il déclarait que le ministre avait refusé de communiquer la partie réservée de la FMM, que Lupin ne lui avait pas répondu et qu’Apotex n’était pas en mesure d’obliger ses fournisseurs à communiquer les renseignements en question.

[237]       Peu après, Lilly a reçu d’Apotex un affidavit de documents modifié, accompagné de l’accord conclu en 1998 entre cette dernière et Lupin, lequel stipulait expressément que Lupin fournirait à Apotex [traduction] « les renseignements et éléments d’appréciation nécessaires pour établir qu’elle [avait] utilisé le procédé de l’annexe A ».

[238]       Le 4 mai 2000, Lilly a déposé une autre requête, tendant cette fois à obtenir une ordonnance qui obligerait le ministre de la Santé à produire toutes les parties de la PDN d’Apotex relative à l’Apo-Cefaclor, y compris toutes FMM se rapportant aux procédés utilisés par les fournisseurs d’Apotex pour fabriquer du céfaclor. Bien qu’elle fasse expressément référence à l’engagement de Lupin de communiquer à Apotex les renseignements et éléments d’appréciation nécessaires touchant le procédé contractuel (soit le procédé E), Lilly n’a pas demandé d’ordonnance qui aurait obligé Apotex à obtenir de tels renseignements au motif qu’ils étaient, comme elle le soutient maintenant, en sa possession ou sous sa garde.

[239]       Une fois confirmée l’absence de réponse de Lupin, le juge Hugessen a prononcé le 5 juillet 2000 une ordonnance prescrivant au ministre de produire les documents demandés par Lilly. C’est ainsi que Lilly a obtenu des renseignements sur le procédé A et a appris que Lupin n’avait pas déposé de mise à jour avant 1999 (procédé B).

[240]       Par la suite, Lilly a demandé à chaque séance[85] d’interrogatoire préalable si Apotex avait reçu une réponse à sa lettre à Lupin et si elle disposait de quelconques renseignements ou documents touchant le procédé utilisé par cette dernière. M. Sherman a répondu chaque fois qu’il n’avait pas reçu de réponse de Lupin et, essentiellement, qu’il supposait qu’elle utilisait le procédé contractuel (c’est‑à‑dire le procédé E).

[241]       À partir de 2006, Apotex a indiqué dans ses tableaux d’instruction qu’elle prévoyait de citer comme témoins des représentants de Lupin. Lilly n’a soulevé aucune question ou objection particulière à ce sujet. Cependant, il apparaît qu’à un moment donné elle a entrepris des démarches juridiques aux États-Unis dans le but de se faire communiquer des renseignements sur le procédé de Lupin par la filiale américaine de cette dernière. C’est ainsi qu’elle a obtenu, entre autres, une copie d’une lettre de Lupin Laboratories à Ivor Hughes en date du 4 juillet 2000, qui indiquait que Lupin avait connaissance de la requête de Lilly, qui devait être entendue le 5 juillet 2000[86], et qu’elle croyait comprendre que celle‑ci recherchait des renseignements concernant le procédé dont elle se servait pour fabriquer du céfaclor. Il apparaît aussi que Lupin pensait qu’Apotex était déjà en possession de la partie réservée de sa FMM, ainsi que des renseignements échangés en 1997 sur la fabrication du 7‑ACCA (soit, vraisemblablement, des renseignements contenus dans les pièces TX‑150, TX‑158 et TX‑159). Par conséquent, la lettre ne portait que des renseignements touchant le procédé élaboré par Lupin en exécution de l’accord du 15 mars 1998. Cette lettre autorisait également l’usage desdits renseignements à certaines conditions, dont l’une était qu’ils soient protégés par une ordonnance de confidentialité. Or Apotex n’a à aucun moment annexé cette lettre ni les pièces y jointes à son affidavit de documents. Ces documents n’ont pas été déposés comme pièces à l’instruction, encore qu’on en ait montré une copie à la Cour et que Lilly ait inclus la lettre elle-même dans ses conclusions écrites sur le voir-dire.

 

[242]       C’est dans ce contexte que Lilly a excipé de l’inadmissibilité de tout témoignage de vive voix et de toute preuve documentaire tendant à établir quel procédé Lupin avait utilisé après mars 1998 ou ses efforts infructueux pour mettre à jour sa FMM à Santé Canada. Essentiellement, Lilly invoque les articles 232 et 248 des Règles des Cours fédérales, ainsi que le principe de la spoliation en matière de preuve à propos de la destruction des archives de Lupin relatives à la fabrication[87], et de la perte des dossiers de M. Patil dans une inondation survenue en 2005[88].

[243]       Comme je l’ai déjà dit, les parties ont présenté des conclusions approfondies sur ces exceptions. Lorsque la Cour lui a fait remarquer qu’il lui était loisible de demander, sous le régime de l’article 232 des Règles, l’autorisation de déposer les documents qui étaient selon Lilly en sa possession ou sous sa garde, Apotex a répondu qu’elle n’en éprouvait pas le besoin[89].

[244]       D’autre part, la Cour a offert [90] à Lilly de suspendre l’instruction de manière qu’elle puisse prendre des mesures pour obtenir des éléments de preuve en Inde si besoin était. Lilly a répondu qu’une telle démarche serait inutile, étant donné que la meilleure preuve – soit les documents relatifs à la fabrication des lots pris individuellement – avait été détruite. Les deux parties s’en sont donc tenues à leurs positions de départ respectives. C’est dans ce contexte que la Cour a autorisé le dépôt d’éléments supplémentaires de preuve d’expert, soit les pièces E‑15 (M. Barrett) et A‑20 (M. Hanessian).

[245]       L’absence d’éléments de preuve établissant que le procédé D ou le procédé E contrefasse l’un quelconque des brevets en litige signifie que, avant d’avoir connaissance de la lettre du 4 juillet ou des éléments de preuve produits sous réserve, le seul moyen de Lilly, touchant la période postérieure à la signature du contrat de mars 1998, était que l’efficacité du procédé E était insuffisante pour le rendre commercialement viable. En outre, il apparaît que Lilly pensait que les documents déposés auprès de Santé Canada constitueraient une preuve suffisante dans la présente espèce, étant donné qu’il n’y avait selon elle que deux procédés commercialement viables (soit son propre procédé breveté et celui de Shionogi) et que Lupin n’avait pas communiqué de mises à jour à Santé Canada. Cependant, avant l’instruction, Lilly n’avait signifié à Apotex aucun rapport d’expert à l’appui de cette position, notamment pour ce qui concerne l’inefficacité du procédé E[91].

[246]       Après avoir eu connaissance du procédé D, Lilly a continué de soutenir que celui‑ci et le procédé E n’étaient ni efficaces ni commercialement viables, et que les délais dont fait état la pièce TX‑1671 n’auraient suffi à mettre ni l’un ni l’autre en œuvre.

[247]        À mon avis, par conséquent, la principale différence pour Lilly entre les moyens qu’elle pensait avoir à réfuter avant l’instruction et sa situation après qu’elle ait pris connaissance de la lettre du 4 juillet 2000 et de la preuve entendue sous réserve est que, pour ce qui concerne le procédé D – que M. Barret a déclaré différent du procédé E, tandis que M. Hanessian y voyait simplement une forme améliorée de celui‑ci[92] –, Apotex pouvait maintenant opposer aux allégations d’inefficacité de Lilly la PDN même que cette dernière avait présentée à Santé Canada le 23 juin 1978 pour obtenir son AC relatif au CeclorMD (TX‑208).

 

[248]       En outre, la non-communication par Apotex de la lettre du 4 juillet 2000 a privé Lilly de la possibilité de changer de tactique et d’essayer par tous les moyens possible d’apprendre ou de vérifier la nature du procédé effectivement utilisé par Lupin après mars 1998. À ce propos, cependant, la Cour note que c’est là une possibilité plutôt qu’une probabilité, étant donné que Lilly n’a pas pris les mesures susdites après avoir eu connaissance du contrat et de l’engagement y contenu. Qui plus est, je ne dispose pas d’une preuve suffisante pour conclure que les documents relatifs à la fabrication, que M. Satpute n’a pu trouver en 2008, auraient tous été disponibles à l’époque. Évidemment, les dossiers de M. Patil seraient en principe restés intacts jusqu’en 2005.

 

[249]       Si Lilly avait été déboutée de son action pour cette raison, je n’aurais pas hésité à lui accorder la totalité des dépens sur une base avocat-client à compter du 5 juillet 2000. Cela dit, tel n’est pas le cas en l’occurrence, et je ne pense pas que soit inadmissible la totalité des témoignages de vive voix visés par les objections.

[250]       En fait, après un examen attentif des passages pertinents des transcriptions des interrogatoires préalables, la Cour se trouve incapable de conclure que l’article 248 des Règles soit ici applicable.

[251]       Quoi qu’il en soit, même si la Cour appliquait cet article, il ne s’ensuivrait pas que la totalité des témoignages de vive voix de MM. Singh, Satpute et Patil devienne inadmissible. L’application dudit article ne toucherait que la preuve relative au procédé utilisé après le 15 mars 1998 en ce qu’il diffère du procédé E.

[252]       À mon sens, on ne pourrait invoquer l’article susdit pour faire exclure les déclarations de M. Satpute comme quoi, au début de 1998, Lupin avait pris les mesures nécessaires pour adopter un procédé différent des procédés A et B[93] afin d’exécuter une commande considérable, de l’ordre de grandeur prévu par le contrat du 15 mars 1998, dont il n’avait pas connaissance. L’application de cet article ne commanderait pas l’exclusion de ses déclarations selon lesquelles un tel procédé, encore qu’il ne soit pas aussi efficace que le procédé A, n’en donnait pas moins un rendement suffisant pour permettre à Lupin d’exécuter la commande susdite. La Cour, ayant vu et entendu ce témoin, l’a trouvé très crédible. Mes relectures de la transcription de son témoignage n’ont fait que confirmer cette première impression. Ce témoignage suffit en lui-même à me convaincre que le céfaclor expédié à partir du 4 juin 1998 n’a pas été fabriqué au moyen des procédés A ni B. La Cour n’a pas à décider le point de savoir lequel des procédés D ou E Lupin a utilisé à cette fin.

[253]       Ni M. Patil ni M. Singh n’avaient une connaissance directe du procédé réellement utilisé par Lupin. Même dans l’hypothèse où la preuve documentaire produite par eux serait admissible, elle n’aurait aucune valeur probante à l’égard du procédé utilisé par Lupin pendant cette période. En fait, je note une contradiction entre une partie de cette correspondance, en particulier la lettre du 27 octobre 1997, et le témoignage de M. Satpute, que je retiens de préférence. Aucun de ces éléments de preuve documentaire ne peut avoir, ou n’aurait eu, d’effet sur mes conclusions.

[254]       Vu ce qui précède, il n’est pas nécessaire d’examiner plus avant la question de l’application des articles 232 et 248 des Règles.

[255]       Enfin, pour ce qui concerne la spoliation et le pouvoir discrétionnaire résiduel de la Cour en la matière, la Cour d’appel de l’Alberta a bien résumé l’état du droit y afférent dans McDougall c. Black & Decker Canada Inc., 2008 ABCA 353, 62 C.P.C. (6th) 293. Je reprends ici à mon compte le paragraphe 18 de cet arrêt :

[traduction] Il n’y a pas spoliation en droit simplement parce que des éléments de preuve ont été détruits. Ne peut en effet être dite avoir commis un acte de spoliation que la partie qui a délibérément détruit des éléments de preuve pertinents pour un litige en cours ou envisagé lorsqu’on peut raisonnablement inférer qu’elle l’a fait pour influer sur ce litige. Ce fait une fois établi, il est présumé que les éléments de preuve en question auraient été défavorables à la partie qui les a détruits. La partie supposée spoliatrice peut renverser cette présomption en produisant d’autres éléments de preuve qui, soit établissent que ses actes, bien que délibérés, ne visaient pas à influer sur le litige, soit établissent le bien‑fondé de sa cause ou l’absence de fondement des moyens invoqués contre elle.

 

[256]       Premièrement, le principe de la spoliation ne peut manifestement pas s’appliquer à la destruction des dossiers de M. Patil, qui est de toute évidence un acte de Dieu. Pour ce qui concerne les documents relatifs à la fabrication qui ont été détruits par Lupin (et non par Apotex), la Cour n’est pas convaincue que, vu les faits particuliers de la présente espèce, on puisse raisonnablement inférer que cette destruction visait à influer sur le litige[94]. Je ne suis pas arrivée à cette conclusion sans mûre réflexion, la Cour se sentant évidemment tenue à la plus grande vigilance pour contrer toute manœuvre qui voudrait réintroduire la vieille tactique consistant à piéger la partie adverse en présentant des arguments surprises pendant le procès. Cependant, en l’occurrence, je suis véritablement convaincue qu’il ne serait pas dans l’intérêt de la justice d’écarter la totalité du témoignage de vive voix de M. Satpute. Je suis donc d’avis d’admettre cette partie de la preuve, si cela s’avère nécessaire, en vertu de tout pouvoir discrétionnaire résiduel dont je dispose.

 

5.4. Le procédé de Kyong Bo

[257]       Apotex a commandé du céfaclor à Kyong Bo et en a reçu à partir de novembre 1996 au plus tard jusqu’à septembre 1997 au moins. Une fois encore, on constate des divergences touchant la quantité exacte en cause, question qui sera examinée dans la deuxième phase du procès (le renvoi).

[258]       En outre, Apotex a admis[95], au moins pour ce qui concerne les lots de réception énumérés dans la demande d’aveux, et exception faite des quantités utilisées pour des essais et à d’autres fins réglementaires sous le régime du paragraphe 55.2(1) de la Loi sur les brevets, qu’elle avait utilisé le céfaclor en vrac importé de Kyong Bo pour fabriquer de l’Apo‑Cefaclor.

[259]       Lilly a produit (sous la cote A‑1) un rapport de l’expert Barrett où celui‑ci examine en détail les procédés que décrivait à l’époque pertinente la partie réservée du dossier du fabricant à Santé Canada. Dans son contre-interrogatoire sur son affidavit en réponse, M. Hanessian a aussi confirmé que les procédés décrits dans ces documents étaient visés par les brevets de Shionogi[96].

 

[260]       Bien qu’elle ne dispose pas de preuve directe d’un représentant de Kyong Bo établissant que celle‑ci utilisait effectivement les procédés décrits dans le dossier de Santé Canada pour produire le céfaclor expédié à Apotex à l’époque pertinente, la Cour est convaincue que, dans ce cas, elle peut raisonnablement inférer qu’ils étaient utilisés à cette fin[97]. Il ressort à l’évidence de la correspondance entre Me Fouillade et Kyong Bo que cette dernière utilisait pour fabriquer le céfaclor vendu à Apotex les renseignements et les procédés qu’elle tenait de Shionogi. En fait, c’est pour cette raison que Kyong Bo a d’abord soutenu que Shionogi l’avait autorisée à utiliser les procédés brevetés. C’est là aussi la base d’un moyen de défense qu’Apotex a fait valoir, ce qui implique à l’évidence que Kyong Bo a utilisé les procédés visés par les brevets de Shionogi.

 

[261]       L’examen attentif de la preuve me convainc que le céfaclor fabriqué par Kyong Bo pour utilisation par Apotex au Canada contrefait toutes les revendications en litige du brevet 547. Je suis arrivée à la même conclusion relativement aux revendications 3‑4, 8‑9, 12, 27, 31 et 37 du brevet 924, ainsi qu’aux revendications 15, 22, 29, 34, 38 et 58 du brevet 132. Là encore, non seulement on retrouve les étapes du procédé breveté, mais les composés de départ et d’arrivée revendiqués (revendications de composé selon un procédé), par exemple à la revendication 58 du brevet 132, sont nécessairement produits dans l’exécution du procédé de Kyong Bo. La Cour estime en outre que Lilly s’est acquittée de la charge de prouver suivant la prépondérance des probabilités que le procédé de Kyong Bo contrefait les revendications 1, 2 et 4 du brevet 026.

 

[262]       En fait, Apotex n’a fait valoir que deux moyens de défense contre l’allégation de contrefaçon de Lilly : le premier est fondé sur l’existence d’une licence tacite ou expresse concédée par Shionogi, et le second sur le fait que le droit canadien ne constitue pas en infraction la contrefaçon par importation et utilisation au Canada, et qu’il n’a pas été commis d’actes contrefaisants dans notre pays.

 

5.4.1. L’existence d’une licence

[263]       Pour ce qui concerne l’argument selon lequel Kyong Bo était licenciée, Apotex n’a produit qu’une preuve très insuffisante. En fait, la Cour, au moment des conclusions finales, a exprimé sa surprise que les avocats d’Apotex insistent pour maintenir cette question en litige.

 

[264]       Apotex invoque le témoignage de M. Sherman, qui a déclaré avoir été informé par Me Fouillade que Kyong Bo affirmait avoir le droit d’utiliser les procédés visés par les brevets de Shionogi en vertu d’une licence que cette dernière lui avait octroyée[98]. M. Sherman ajoutait dans son témoignage qu’il avait ordonné à Me Fouillade d’obtenir des éclaircissements sur cet arrangement supposé et des éléments établissant son existence.

 

[265]       Le seul élément de preuve produit touchant la manière dont Me Fouillade a obtenu cette information (selon laquelle Shionogi aurait autorisé Kyong Bo à utiliser son procédé) est une lettre du directeur général de Kyong Bo, M. Seung‑Ho An, datée du 10 octobre 1997 et produite sous la cote TX‑622. Plus révélatrice est la réponse (TX‑664) que Me Fouillade a reçue de Kyong Bo à sa demande de renseignements complémentaires sur l’arrangement visé dans la lettre susdite :

[traduction] Nous n’avons pas de contrat pour le transfert de technologie. Je pense que Mitsubishi a passé sous une forme ou une autre un contrat de vente avec Shionogi en 1992. En fait, nous n’avons pas de document officiel nous autorisant explicitement à exploiter les brevets canadiens 1095026, 1132547, 1136132 et 1144924.

 

 

[266]       Peu après cet échange de lettres, Apotex a cessé d’acheter du céfaclor à Kyong Bo[99].

 

[267]       En outre, il est convenu entre les parties que[100] [traduction] « Shionogi n’a concédé, avant le 27 avril 1995, à aucune entité extérieure au groupe Lilly de licence sur ses brevets pour la fabrication de céfaclor ».

 

[268]       Sans jamais expliquer l’aveu ci‑dessus ni y faire référence, Apotex a soutenu que les déclarations de M. Sherman contenues dans les pièces TX‑662 et TX‑664 suffisaient à faire passer la charge de la preuve à Lilly, à qui il incombait dès lors d’établir par une preuve forte qu’il n’existait aucune licence de cette nature. En plus de contredire un fait admis, cette position paraît se fonder sur une erreur touchant la nature de la présente instance. Celle‑ci est une action en contrefaçon, et non une procédure relevant du RMB(AC) où Lilly aurait à prouver le caractère infondé des allégations d’Apotex, qui seraient mises en jeu au moyen de ces éléments de preuve. En effet, Apotex ayant allégué dans l’exposé de sa défense (aux paragraphes 15 à 17) qu’elle avait acheté du céfaclor à un fournisseur licencié, il lui incombait de prouver cette allégation suivant la prépondérance des probabilités, ce qu’elle n’a pas fait.

 

[269]       C’est là l’un des nombreux moyens que la Cour se serait attendue à voir les avocats abandonner, au moins lors de la présentation de leurs conclusions finales. Le maintien d’arguments qui n’ont que peu de chances ou aucune d’être accueillis prolonge indûment l’instruction, impose à la Cour une charge indue et fait augmenter les frais de tous les intéressés. Je reviendrai plus loin sur ce sujet.

 

5.5. L’importation

[270]       Le principal moyen de défense d’Apotex[101] touchant les allégations de contrefaçon des brevets de Shionogi[102] est que l’importation et l’utilisation au Canada de produits fabriqués à l’étranger au moyen d’un procédé breveté dans notre pays ne peuvent constituer des actes contrefaisants sous le régime de la Loi sur les brevets du Canada. Apotex reconnaît qu’il existe une jurisprudence canadienne qui applique la doctrine anglaise de la « contrefaçon par importation », mais elle soutient que la Cour n’est pas liée par ces décisions et ne devrait pas les suivre.

 

[271]       Lilly – on ne s’en étonnera pas – invoque cette jurisprudence canadienne, que j’examinerai plus loin. Elle fait valoir que la Cour suprême du Canada a récemment confirmé la doctrine de la contrefaçon par importation et utilisation au Canada dans l’arrêt Monsanto Canada Inc., et que la juge Snider a appliqué ce qu’il est convenu d’appeler la « doctrine Saccharin » dans Pfizer Canada Inc. c. Canada (Ministre de la Santé), 2007 CF 898, 328 F.T.R. 41 (Pfizer), relativement à des revendications de produit (par opposition à des revendications de procédé).

 

[272]       La défenderesse fait valoir deux arguments principaux à l’appui de la thèse qu’il conviendrait d’écarter la jurisprudence existante touchant la « contrefaçon par importation ». Premièrement, la Cour devrait selon elle conclure que les tribunaux canadiens ont eu tort de suivre les précédents anglais tels que Elmslie c. Boursier (1869), [L R] 9 Eq 217 (Elmslie), Von Heyden c. Neustadt (1880), 14 Ch D 230 (C.A.) [Von Heyden], Saccharin Corporation Ltd c. Anglo-Continental Chemical Works Ltd (1900), 17 RPC 307[103] (Saccharin), et Wilderman c. F.W. Berk & Co. Ltd. (1925), 42 R.P.C. 79 (Wilderman), étant donné les différences importantes qui séparent la Loi sur les brevets du Canada de la législation anglaise sur les brevets en vigueur jusqu’en 1977.

 

[273]       Selon Apotex, comme notre Loi sur les brevets a été conçue sur le modèle de la législation homologue des États-Unis, nos tribunaux auraient dû suivre la jurisprudence américaine qui a conclu, se fondant sur le principe de l’application territoriale de la législation sur les brevets[104], qu’il n’y avait pas contrefaçon d’un brevet de procédé américain à moins que le procédé ne soit effectivement utilisé aux États-Unis. L’adoption de cette approche serait en outre plus conforme au point de vue canadien sur les droits exclusifs ou le monopole définis par les revendications d’un brevet de procédé, qui ne s’appliquent pas au produit fabriqué au moyen du procédé en question sauf revendication expresse en ce sens.

 

[274]       Deuxièmement, Apotex soutient que, si la Cour se sent tenue de suivre les principes généraux formulés dans la jurisprudence canadienne, elle devrait au moins limiter leur application aux affaires conformes aux restrictions maintenant en vigueur, au Royaume-Uni du fait de l’alinéa 60)(1)c) de la Patents Act 1977 (R.‑U.), 1977, ch. 37, dans la Communauté économique européenne du fait de la Convention sur le brevet européen[105] (la CBE), et aux États-Unis en conséquence des dispositions législatives adoptées en 1988[106].

 

[275]       Il s’ensuivrait, selon Apotex, que l’importation et l’utilisation ou la vente de céfaclor au Canada ne pourraient constituer des actes de contrefaçon que si ce produit était [traduction] « obtenu directement » au moyen du procédé visé par les brevets canadiens et utilisé à l’étranger, ou si les composés chimiques fabriqués au moyen desdits procédés brevetés (en l’occurrence, le 3‑chloro‑céphème ou le 3‑hydroxy‑céphème) n’étaient pas [traduction] « changés de manière importante » aux étapes ultérieures de la fabrication du céfaclor par les fournisseurs d’Apotex et que ces composés n’étaient pas devenus un élément accessoire ou non essentiel dudit céfaclor.

 

[276]       Apotex reconnaît que si elle veut amener la Cour à tirer une telle conclusion, elle doit aussi la convaincre que la juge Snider a mal interprété Monsanto Canada Inc.[107] dans Pfizer et que le [traduction] « compromis créatif » qu’elle a formulé au paragraphe 90 de sa décision était [traduction] « insuffisant et dénué de fondement juridique valable »[108].

 

[277]       Étant donné l’importance de cette question et le fait qu’un bon nombre des arguments d’Apotex n’ont pas récemment fait l’objet d’un examen approfondi de notre Cour[109], j’étudierai la question de la contrefaçon par importation de manière plus détaillée qu’il ne serait peut-être normalement nécessaire. Plus précisément, je me propose de montrer comment les jurisprudences anglaise et canadienne réfutent les arguments d’Apotex.

 

[278]       S’il est vrai qu’il semble n’y avoir qu’environ une douzaine de décisions canadiennes sur cette question, il y a plus d’un siècle qu’un tribunal canadien a pour la première fois déclaré que le concept de la contrefaçon d’un brevet de procédé (ou de revendications de procédé) par l’importation et l’utilisation ou la vente au Canada d’un produit fabriqué à l’étranger est une question réglée.

 

[279]       La Cour de l’Échiquier du Canada notait ce qui suit au paragraphe 26 de la décision Auer Incandescent Light Manufacturing Co. c. O’Brien (1897), 5 Ex.C.R. 43 (Auer), par laquelle elle accordait une injonction tendant à prévenir la contrefaçon ultérieure d’un brevet de procédé :

[traduction] Avant de clore la question de la contrefaçon, je devrais peut-être parler de l’affirmation faite au nom du défendeur selon laquelle, en tout état de cause, il aurait au moins le droit d’importer aux fins d’utilisation ou de vente des appareils d’éclairage fabriqués à l’étranger suivant le procédé protégé par le brevet des demanderesses. Je ne puis souscrire à ce point de vue. Il me paraît que le principe contraire est bien établi en droit, comme suffisent à le montrer les décisions citées par Me Hellmuth, à savoir : Elmslie c. Boursier, Wright c. Hitchcock et Von Heyden c. Neustadt.

 

[Renvois omis.]

 

[280]       Les décisions anglaises citées plus haut furent de nouveau appliquées deux ans plus tard par la Haute Cour de justice de l’Ontario (Cour divisionnaire de la Chambre de la chancellerie) dans Toronto Auer Light Company Limited c. Colling (1899), 31 O.R. 18, [1899] O.J. No. 65 (QL) [Toronto Auer Light]. Cette décision concernait aussi un brevet de procédé pour la fabrication de dispositifs incandescents (appareils d’éclairage). Il semble utile de rappeler ici quels passages de Von Heyden le juge Boyd, écrivant au nom de la Cour, estimait être d’un intérêt particulier :

[traduction] Dans Von Heyden c. Neustadt (1880), 14 Ch. D. 230 (page 233), le lord juge James, adoptant la conclusion formulée dans Elmslie c. Boursier (1869), L.R. 9 Eq. 217, écrivait ce qui suit : « Que le droit exclusif [...] de "fabriquer, utiliser [...] et vendre l’invention" [...] comprend le monopole de la vente [...] des produits fabriqués suivant le procédé breveté [...] La personne qui [...] vend le produit ici peut certainement être considérée comme fabriquant, utilisant et mettant en œuvre indirectement l’invention brevetée. Toute autre interprétation, ajoute‑t‑il, priverait [...] le privilège [...] de tout contenu. »

 

[Paragraphe 31.]

 

 

[281]       Comme Apotex fait valoir que ce raisonnement, si on l’applique au Canada, soulève la question de l’application extraterritoriale de notre Loi sur les brevets, il n’est pas sans intérêt de rappeler que cette même question a été examinée en Angleterre il y a plus d’un siècle. Dans l’affaire Badische Anilin und Soda Fabrik c. Henry Johnson & Co. et Basle Chemical Works, Bindschedler, [1897] 2 Ch. 322, le titulaire d’un brevet avait obtenu un jugement déclaratoire de contrefaçon contre un commerçant anglais qui avait commandé des produits fabriqués en Suisse à l’aide d’un procédé protégé par un brevet anglais, mais qui avaient été livrés au bureau de poste suisse (l’acheteur), lequel les avait ensuite importés en Angleterre. Le défendeur a interjeté appel, et la Cour d’appel d’Angleterre a infirmé la décision de première instance. Le passage suivant du bref exposé des motifs du lord juge Lindley (page 342) montre que la Cour d’appel était tout à fait consciente de la question que soulève aujourd’hui Apotex :

[traduction] (...) le défendeur Bindschedler n’avait rien fait qui équivalait à la fabrication, à l’utilisation, à l’exercice ou à la vente de l’invention des demanderesses dans notre pays. Autrement dit, Bindschedler n’a pas contrefait le brevet des demanderesses. L’application du brevet se limite à notre pays et ne s’étend pas à Bâle, où Bindschedler a accompli tous les actes en question. Il est vrai que [...] personne n’a le droit d’utiliser ici [les produits ainsi fabriqués]. Mais ce qu’ont fait les défendeurs à Bâle était légal et n’était pas illégal – légal selon le droit suisse et non illégal selon le droit anglais, qui ne s’applique pas en territoire helvétique.

 

 

[282]       Cependant, même après avoir ainsi bien établi le principe de la territorialité, le lord juge Smith a formulé à la page 344 l’observation suivante, à laquelle a souscrit le lord juge Lindley :

[traduction] (...) si Bindschedler, directement ou par l’intermédiaire de son mandataire, avait apporté l’article contrefaisant dans notre pays ou l’y avait reçu, il aurait été passible de sanction, puisqu’il aurait alors, directement ou par l’intermédiaire de son mandataire, utilisé, exercé ou vendu l’article contrefaisant dans notre pays. Elmslie c. Boursier et Von Heyden c. Neustadt montrent qu’il en est ainsi.

 

[Renvois omis.]

 

Cette décision a été confirmée par la Chambre des lords ([1898] AC 200); voir Badische Anilin und Soda Fabrik c. Hickson, [1905] 2 Ch. 495, confirmée par [1906] AC 419) [110], qui va dans le même sens.

 

[283]       Comme l’affaire Saccharin est au centre du débat, il est intéressant d’évoquer ici la décision Saccharin Corporation c. Reitmeyer & Co., [1900] 2 Ch. 659, (1900) 17 R.P.C. 606. Dans cette affaire, le titulaire du brevet, qui avait réussi à obtenir un jugement déclaratoire de contrefaçon contre l’importateur de la première affaire Saccharin, demandait un jugement semblable contre le commissionnaire anglais qui avait à l’origine acheté la saccharine en Allemagne et l’avait vendue à l’importateur anglais. La Cour l’a débouté, au motif que les principes formulés dans Elmslie et Von Heyden et appliqués dans Saccharin ne pouvaient s’appliquer à un cas où le défendeur n’avait ni importé ni vendu en Angleterre le produit fabriqué à l’étranger à l’aide du procédé breveté. Le juge Cozens‑Hardy expliquait ainsi sa conclusion : [traduction] « Or il est clair qu’un brevet ne s’applique que dans le pays où il est délivré. Il ne peut ni ne prétend donner droit de regard sur les actes accomplis à l’étranger [...] » (page 611, lignes 40 et 41, du recueil R.P.C.).

 

[284]       On ne saurait dire plus clairement que les tribunaux anglais se sentaient liés par le principe même sur lequel Apotex veut s’appuyer dans la présente espèce. Cependant, contrairement à l’affirmation d’Apotex, ils ne se fondaient que sur les actes accomplis dans leur juridiction pour établir s’il y avait ou non contrefaçon.

 

[285]       Il y a trois autres décisions anglaises qu’il convient de rappeler ici brièvement. La première, Pfizer Corporation c. Ministry of Health, [1965] AC 512, [1965] 1 All ER 450 (H.L.), simplement parce que la Cour suprême du Canada y fait référence dans Monsanto Canada Inc. (encore que dans un contexte différent) et qu’on peut y lire la conclusion suivante, formulée par lord Upjohn après un réexamen de la validité de la doctrine [traduction] « du point de vue des principes aussi bien que de la jurisprudence » :

[traduction] (...) l’importateur qui importe dans notre pays des produits fabriqués à l’étranger, mais suivant un brevet britannique comme celui de l’appelante, aux fins de les distribuer et de les vendre dans ce même pays, utilise et exerce manifestement ce brevet, et par conséquent le contrefait [...]

 

[Page 469(D) du recueil All ER.]

 

[286]       Les deux autres décisions anglaises sont Beecham Group Limited c. Bristol Laboratories Limited and another, [1967] RPC 406, [1967] FSR 283 (C.A.), et la décision définitive au fond rendue presque dix ans plus tard par la Chambre des lords ([1978] RPC 153) [Beecham Group]. L’arrêt Beecham Group est probablement la dernière décision à appliquer les principes en litige, puisque, peu après qu’il ait été prononcé, la Patents Act, 1977 a été adoptée.

 

[287]       La Cour d’appel d’Angleterre (dont les motifs principaux ont été rédigés par le lord juge Alfred Thompson Denning) avait infirmé la décision du juge de la Haute Cour et prononcé une injonction interlocutoire interdisant l’importation d’hétacilline. Selon la Cour d’appel, la demanderesse avait établi par un commencement de preuve la contrefaçon de ses brevets anglais protégeant notamment le procédé de fabrication de l’ampicilline, composé intermédiaire qui était ensuite transformé en hétacilline par l’addition d’acétone (voir en particulier, à la page 417 du recueil RPC, les motifs concordants du lord juge Russell).

 

[288]       Le raisonnement suivi dans cette affaire me paraît particulièrement instructif parce que les défenderesses y contestaient vivement que Saccharin soit encore un précédent valable étant donné les modifications apportées à la Patents Act, 1949 (R.‑U.), 12, 13 & 14 Geo. VI, ch. 87, qui prescrivaient en termes clairs la nécessité pour les revendications de définir la portée de l’invention. Par conséquent, soutenaient les demanderesses, seuls les brevets revendiquant un produit pouvaient être contrefaits par l’importation du produit en question en Angleterre. Comme dans la présente espèce, on faisait aussi valoir que la « doctrine Saccharin », si on la suivait, risquait de donner des résultats déconcertants[111] et d’engendrer de l’incertitude, laissant les concurrents dans le doute sur ce qu’ils avaient le droit de faire.

 

[289]       Ces arguments sont remarquablement semblables à ceux qu’Apotex a fait valoir devant moi; or ils ont été en fin de compte rejetés au fond, par le juge Falconer en première instance, puis par la Cour d’appel et la Chambre des lords.

 

[290]       Apotex a fait valoir que cette affaire n’était pas utile dans la présente espèce parce qu’elle portait en fait sur une imitation déguisée du produit breveté, l’ampicilline – ce qui est vrai. Les demanderesses de Beecham Group ont aussi invoqué le moyen selon lequel l’hétacilline était une imitation déguisée au motif que, lorsqu’elle était utilisée comme antibiotique par un client ou patient éventuel, elle retournait à l’état d’ampicilline dans l’estomac. Cependant, tous les juges ont considéré cet aspect des choses comme un moyen distinct. Dans l’arrêt de la Chambre des lords, lord Diplock a en outre bien fait comprendre que la doctrine de la contrefaçon par importation, appliquée dans Saccharin, n’était pas un prolongement de la doctrine de l’essence : il s’agissait d’un concept distinct et autonome (voir les pages 200 et 201).

 

[291]       La Chambre des lords a aussi confirmé que la Patents Act, 1949 ne contenait aucune modification justifiant qu’on écartât les principes appliqués dans Saccharin et Wilderman. Lord Diplock a noté que la nécessité de décrire et d’établir sans ambiguïté la nature de l’invention dans le brevet était une condition de la délivrance de celui‑ci depuis le début du XVIIIe siècle. L’obligation de conclure le mémoire descriptif par un exposé clair de l’invention revendiquée a été inscrite dans une loi en 1883, auquel moment, comme le fait remarquer lord Diplock, cet usage était déjà très répandu (page 198).

 

[292]       Lord Diplock expose dans les termes suivants, à la page 199, la logique sous-jacente à Elmslie et Von Heyden :

[traduction] Le monopole conféré par un brevet se limite du point de vue territorial au Royaume-Uni et à l’île de Man, et l’interdiction correspondante se limite aussi aux actes accomplis sur ce territoire. La formulation large du droit conféré et de l’interdiction correspondante[[112]] était cependant considérée comme autorisant le breveté à interdire l’obtention de l’étranger et la vente dans notre pays de produits fabriqués à l’étranger au moyen du procédé breveté, même si ce produit n’était pas nouveau et par conséquent ne pouvait être ni n’était en soi renvendiqué comme invention dans le mémoire descriptif.

 

[Non souligné dans l’original.]

 

 

[293]       Pour ce qui concerne les résultats insolites que l’application incontrôlée de la « doctrine Saccharin » risquait d’entraîner, il semble que la Chambre des lords, tout comme le lord juge Denning en 1967, aient jugé pouvoir s’en remettre à l’application des limites fixées dans Wilderman. Lord Diplock s’en expliquait dans les termes suivants à la page 201 :

[traduction] Vos Seigneuries, si la logique était la seule règle à suivre en matière de droit des brevets, il pourrait se révéler difficile de résister à une telle extension de la doctrine de la contrefaçon par importation. En fait, une telle extension signifierait que tout acte accompli dans le cadre de la fabrication de tout produit vendu dans notre pays qui contreferait un brevet britannique s’il était accompli au Royaume-Uni constituerait semblablement un acte contrefaisant s’il avait été accompli à l’étranger avant l’importation. Cependant, cette position extrême a été rejetée par le juge Tomlin dans Wilderman c. F.W. Berk & Co. Ltd. (1925) 42 R.P.C. 79, où, relativement à une prétention en importation contrefaisante formulée à propos d’un produit fabriqué à l’étranger dans la fabrication duquel on avait utilisé un appareil breveté, il a formulé le critère voulant que l’utilisation du procédé ou de l’appareil brevetés doit avoir joué un rôle important dans la fabrication du produit importé.

 

 

[294]       Enfin, il est intéressant de noter que, dans cette affaire, la Chambre des lords a refusé de décider si la doctrine devrait aussi s’appliquer aux pures revendications de produit, extension à laquelle avaient souscrit le juge de première instance et la Cour d’appel. La Chambre des lords estimait qu’elle ne disposait pas, comme il aurait fallu à cette fin, de conclusions complètes des parties (voir aussi les motifs de lord Simon of Glaisdale sur ce point, à la page 204).

 

[295]       Revenons maintenant à la jurisprudence canadienne sur cette question. En 1955, la Cour suprême du Canada a prononcé son arrêt bien connu Hoffmann-LaRoche & Co. c. Canada (Commissioner of Patents), [1955] R.C.S. 414; 23 C.P.R. 1 (Hoffmann-LaRoche), selon lequel, contrairement à ce qui était alors l’usage en Angleterre, il ne pouvait être accueilli au Canada de revendications de produit par procédé à l’égard d’un produit connu, même si le procédé lui-même était nouveau. Comme le pourvoi en question contestait une décision par laquelle le commissaire aux brevets avait refusé d’accueillir les revendications en cause de produit par procédé, la Cour suprême du Canada n’était pas tenue d’examiner la question de la contrefaçon d’un pur brevet de procédé ou de pures revendications de procédé par l’importation d’un produit (non visé par le brevet) fabriqué à l’étranger à l’aide du procédé breveté. Néanmoins, dans le cours de son étude de la principale question dont la Cour était saisie, le juge en chef Patrick Kerwin, écrivant au nom de la majorité, a examiné l’arrêt Von Heyden de la Cour d’appel d’Angleterre et du Pays de Galles, ainsi que deux décisions canadiennes, soit Auer et Toronto Auer Light, et a déclaré qu’il ne semblait [traduction] « y avoir aucune raison de mettre en doute la justesse de ces décisions »[113].

 

[296]       Si elle reconnaît que le droit canadien des brevets diffère de la législation britannique en cette matière et qu’il a été conçu à l’origine sur le modèle de la législation américaine, la Cour estime peu convaincant l’argument d’Apotex selon lequel les distinctions entre le droit canadien et le droit britannique rendraient la jurisprudence britannique de peu d’utilité sur cette question. Pour dire les choses en termes clairs, malgré les différences séparant le droit canadien des brevets de son homologue britannique, nos tribunaux continuent de s’aider de la jurisprudence britannique dans l’analyse de nos lois sur la propriété intellectuelle.

 

[297]       Il ne fait guère de doute non plus que la Cour de l’Échiquier du Canada et la Cour suprême du Canada étaient tout à fait conscientes de ces différences entre les législations anglaise et canadienne. Le meilleur exemple en est Union Carbide Canada Ltd. c. Trans Canadian Feeds Ltd., [1966] Ex.C.R. 884 (Union Carbide), où le président Wilbur Jackett[114], après avoir examiné Elmslie et Von Hedyen, écrivait ce qui suit au paragraphe 13 :

[traduction] Je ne vois, entre la portée des brevets d’invention anglais et l’étendue du monopole conféré par la Loi des brevets canadienne, aucune différence qui justifierait de trancher cette question, quand elle se pose sous le régime de la loi canadienne, autrement qu’on ne le ferait à propos d’un brevet anglais.

 

[298]       Le juge a aussi noté qu’il ne pouvait établir aucune différence pertinente d’avec la législation canadienne examinée dans Auer et il a conclu, suivant le principe de la courtoisie judiciaire, qu’il devait suivre cette décision, faisant observer qu’elle avait aussi fait l’objet de la remarque incidente de Hoffmann‑LaRoche citée plus haut.

 

[299]       Il semble que le président Jackett n’avait pas connaissance de la décision alors récente rendue par le juge Noël dans Rhone-Poulenc S.A. c. Micro Chemicals Ltd., [1964] Ex.C.R. 819, 44 C.R.R. 193 (Rhone-Poulenc), où, sur le fondement de la même jurisprudence, ce dernier avait conclu que le principe était maintenant accepté par nos tribunaux (paragraphe 49). En outre, bien que la note éditoriale accompagnant Rhone Poulenc dans le Canadian Patent Reporter (page 194) renvoie aux décisions Badische Anilin und Soda Fabrik (voir ci‑dessus), il ne semble pas que ces affaires aient été portées à l’attention de la Cour.

 

[300]        C’est dans American Cyanamid Co. que l’expression même « doctrine Saccharin » (« Saccharin doctrine ») est apparue sur le devant de la scène. Dans cette affaire, il était demandé à la Cour d’établir si la « doctrine Saccharin » devait s’appliquer à l’importation de tétracycline au Canada. Ce produit n’était pas en soi visé par le brevet en litige, mais il était fabriqué à l’aide d’un procédé breveté visant la chlortétracycline[115], à laquelle on appliquait ensuite une méthode de déchloration pour obtenir de la tétracycline. Par conséquent, le procédé breveté n’était pas la dernière étape de fabrication du produit qui était au bout du compte importé et utilisé au Canada. Le juge ne fait pas explicitement référence à Wilderman (il dit simplement au paragraphe 41 : [traduction] « il y a aussi un certain nombre d’affaires »). Cependant, après avoir exprimé des doutes sur l’opportunité d’appliquer la « doctrine Saccharin » à des procédés simplement accessoires, il a effectivement décidé de l’appliquer au procédé considéré, ayant conclu que le produit utilisé comme intermédiaire jouait un rôle important.

 

[301]       Il apparaît que, entre 1966 et 1991, la Cour de l’Échiquier du Canada et la Cour fédérale du Canada ont considéré cette question comme bel et bien réglée. Dans Rhone‑Poulenc c. Gilbert (1967), 35 Fox Pat. C. 174, conf. par [1968] R.C.S. 950, 69 D.L.R. (2d) 353 (Gilbert), le juge Arthur Thurlow, après avoir fait référence à la décision Union Carbide du président Jackett, a déclaré que, la Cour suprême du Canada n’ayant pas exprimé d’opinion contraire, il considérait cette question comme réglée à notre Cour.

 

[302]       Dans Leesona Corp. c. Giltex Hosiery Ltd. (1971), 2 C.P.R. (2d) 211, [1971] A.C.F. no 1006 (QL), le juge Roderick Kerr a suivi la décision Gilbert du juge Thurlow et a même prononcé une injonction interlocutoire interdisant l’importation au Canada de certains produits fabriqués à l’étranger suivant les procédés brevetés en cause. Il a aussi fait référence à l’arrêt Beecham Group, alors récent, dû au lord juge Denning.

 

[303]       Néanmoins, le juge Frank Collier a été saisi de la même question trois ans plus tard dans Farbwerke Hoechst Aktiengesellschaft, vormals Meister Lucius & Bruning c. Halocarbon (Ontario) Ltd., [1974] 2 C.F. 266, 15 C.P.R. (2d) 105. Dans cette affaire, la défenderesse canadienne importait de l’isohalothane, produit fabriqué aux États‑Unis suivant un procédé breveté au Canada. Ce produit était ensuite utilisé dans la fabrication d’un autre produit à l’usine de la défenderesse, en Ontario. Le juge Collier n’a pas traité en détail les moyens avancés, mais il a noté au paragraphe 10 de ses motifs que Me Hughes (le futur juge Hughes) avait demandé à la Cour « d’établir une distinction, pour un certain nombre de raisons, entre l’affaire présente et l’arrêt Union Carbide ainsi que les arrêts mentionnés par le président Jackett », pour conclure qu’il ne voyait « aucun motif raisonnable pour le faire ». Il est important de rappeler que, dans cette décision, le juge Collier a explicitement repris à son compte les observations formulées par le juge Thurlow dans Gilbert et a déclaré que, la Cour suprême du Canada n’ayant pas exprimé d’opinion contraire, il considérait la question comme réglée.

 

[304]       Cette décision a été infirmée par la Cour d’appel fédérale, et la demanderesse s’est pourvue devant la Cour suprême du Canada, qui lui a donné gain de cause (([1979] 2 R.C.S. 929, 104 D.L.R. (3d) 51)) et a expressément rétabli la décision du juge Collier touchant la revendication de procédé attaquée. Le juge Louis‑Philippe Pigeon, écrivant au nom de la majorité, formulait l’observation suivante à la page 941 (du R.C.S.) :

À l’audience devant cette Cour, l’avocat de l’intimée a soutenu que l’importation d’un produit fabriqué à l’extérieur du Canada ne violait pas le brevet canadien visant le procédé par lequel il est fabriqué à l’étranger, mais la Cour a avisé l’avocat de l’appelante qu’il n’était pas tenu de répondre à cette prétention. Il n’y a donc pas lieu de l’examiner.

 

Ce passage incite fortement à penser que la Cour suprême considérait comme réglée par la jurisprudence existante la question de la contrefaçon par importation.

 

[305]       Comme si de rien n’était, Apotex a monté une nouvelle attaque devant le juge Andrew MacKay dans Wellcome Foundation Ltd. c. Apotex Inc., 47 F.T.R. 81, 39 C.P.R. (3d) 289 [Wellcome (1991)], où elle a fait valoir des moyens très semblables à ceux qu’elle a exposés en détail dans le mémoire produit devant notre Cour. Elle contestait la validité de la « doctrine Saccharin » en soi, sur le fondement, entre autres, des différences séparant les lois anglaise et canadienne sur les brevets[116]. Elle contestait également les conclusions formulées par le juge Noël dans American Cyanamid Co., auxquelles elle reprochait l’absence de référence explicite aux limites fixées à cette doctrine par Wilderman.

 

[306]       Mû par ces arguments et par le fait qu’il s’agissait seulement de la deuxième affaire devant donner lieu à une décision publiée qui concernait un brevet de procédé visant un composé intermédiaire – les composés intermédiaires étant en l’occurrence le B-méthoxy-a-(3,4,5-triméthoxybenzylidène) propionitrile, ou MTBP, et le B-anilino-a-(3,4,5-triméthoxybenzyl) acrylonitrile, ou TAA –, le juge MacKay a examiné cette question de manière plus détaillée que ses prédécesseurs. Le juge a formulé notamment, au paragraphe 59, les observations suivantes touchant le fondement de la doctrine Saccharin dans la législation canadienne :

Je rejette également l’argument de la défenderesse qui veut que les différences entre la loi canadienne et la loi anglaise ne permettent pas l’application de la doctrine Saccharin. Le « droit exclusif » de « vendre » me paraît suffisamment large pour embrasser les cas comme celui qui nous intéresse en l’espèce. Ce point a été aussi souligné dans American Cyanamid, en page 168. L’effet de la disposition relative à la concession de brevet, c’est-à-dire de l’actuel article 44 de la Loi sur les brevets, peut être résumé, pour reprendre les termes employés par le juge O’Halloran dans Skelding v. Daly, (1941), 1 C.P.R. 266, page 273 (C.A.C.-B.), comme visant à ce que [traduction] « ... tout acte qui porte atteinte à la pleine jouissance du monopole consenti au breveté constitue un acte de contrefaçon ».

 

[Non souligné dans l’original.]

 

 

[307]       Appliquant la « doctrine Saccharin » telle que nuancée par Wilderman, la Cour a conclu que l’importation de triméthroprime contrefaisait les revendications de procédé. Comme Apotex le fait remarquer, la preuve indiquait dans cette affaire que le produit final vendu par la défenderesse au Canada contenait des traces de MTBP et de TAA (les composés intermédiaires).

 

[308]       Il est à noter qu’Apotex a interjeté appel de la décision du juge MacKay, qui a été modifiée sur un point sans rapport avec notre question [(1995), 100 F.T.R. 320 n, 60 C.P.R. (3d) 135]. Chose étonnante, il apparaît qu’Apotex n’a pas contesté devant la Cour d’appel l’application de la doctrine par le juge MacKay, bien que ce point soit manifestement déterminant pour ce qui concerne les conclusions de contrefaçon.

 

[309]       Ces décisions canadiennes me paraissent suffisantes pour amener la Cour à conclure que la « doctrine Saccharin », telle que nuancée par Wilderman, est applicable à la présente espèce. Cependant, une jurisprudence plus récente vient encore affaiblir l’argumentation d’Apotex.

 

[310]       La Cour suprême du Canada a formulé dans Monsanto Canada Inc. une série de grands principes d’interprétation des droits conférés par la Loi sur les brevets. Au paragraphe 58, la juge en chef Beverly McLachlin et le juge Morris Fish, écrivant au nom de la majorité, énumèrent sept principes de cette nature :

1. Selon leur sens lexicographique ordinaire, les verbes « exploiter » et « use » connotent une utilisation en vue d’une production ou dans le but de tirer un avantage.

 

2. Le principe fondamental qui s’applique pour déterminer si le défendeur a « exploité » une invention brevetée consiste à se demander si l’inventeur a été privé, en tout ou en partie, directement ou indirectement, de la pleine jouissance du monopole conféré par le brevet.

 

3. Tout avantage commercial qui peut découler de l’invention appartient au titulaire du brevet.

 

4. Il est possible de conclure à l’existence de contrefaçon même si l’objet ou le procédé breveté fait partie ou est une composante d’une structure ou d’un procédé non brevetés plus vastes, pourvu que l’invention brevetée soit importante pour les activités du défendeur qui mettent en cause la structure non brevetée.

 

5. La possession d’un objet breveté ou d’un objet ayant une particularité brevetée peut constituer une « exploitation » de l’utilité latente de cet objet et ainsi constituer de la contrefaçon.

 

6. La possession, du moins dans le cadre d’un commerce, donne naissance à une présomption d’« exploitation » réfutable.

 

7. Bien qu’en général l’intention ne soit pas pertinente pour déterminer s’il y a eu « exploitation » et donc contrefaçon, l’absence d’intention d’utiliser l’invention ou d’en tirer un avantage peut être pertinente pour réfuter la présomption d’exploitation découlant de la possession.

 

[Non souligné dans l’original.]

 

[311]       Quelques-uns de ces principes sont pertinents pour la question de la contrefaçon par importation. Premièrement, pour ce qui concerne la question de l’« exploitation », la Cour doit se demander si « les activités du défendeur ont [...] privé l’inventeur, en tout ou en partie, directement ou indirectement, de la pleine jouissance du monopole conféré par la loi » (Monsanto Canada Inc., paragraphe 35, soulignement omis; voir aussi le paragraphe 43 de Free World Trust). C’est exactement la question à laquelle voulaient répondre les auteurs de toutes les décisions britanniques précitées, en remontant jusqu’à Elmslie, Von Heyden et Saccharin, lorsqu’ils ont conclu que l’importation, l’utilisation ou la vente de produits fabriqués à l’étranger au moyen du procédé breveté constituaient des actes contrefaisants.

 

[312]       Qui plus est, le point de vue adopté par le juge MacKay dans Wellcome (1991) concorde parfaitement avec la signification et l’objet de l’article 42 de la Loi sur les brevets, tels qu’ils sont exposés au paragraphe 34 de Monsanto Canada Inc. :

L’article 42 a pour objet de définir les droits exclusifs du titulaire d’un brevet, à savoir le droit à la pleine jouissance du monopole conféré par le brevet. Par conséquent, l’interdiction s’applique à [traduction] « tout acte qui nuit à la pleine jouissance du monopole conféré au titulaire du brevet » [...] (H. G. Fox, The Canadian Law and Practice Relating to Letters Patent for Inventions (4e éd. 1969), p. 349 [...]

 

[Monsanto Canada Inc., paragraphe 34.]

 

[313]       Toujours dans Monsanto Canada Inc., la majorité de la Cour suprême du Canada a examiné cette façon d’envisager le monopole conféré par un brevet en se référant à la jurisprudence britannique :

Ainsi, dans l’arrêt Saccharin Corp. c. Anglo-Continental Chemical Works, Ld. (1900), 17 R.P.C. 307 (H.C.J.), p. 319, la cour affirme :

[traduction] En vendant la saccharine produite au moyen du procédé breveté, l’importateur prive le titulaire du brevet d’une partie des profits et avantages globaux de l’invention, et se trouve à exploiter indirectement l’invention.

 

[Paragraphe 44.]

 

 

[314]       Il est aussi à noter que même la minorité, dans Monsanto Canada Inc., paraît souscrire à la « doctrine Saccharin ». La juge Louise Arbour formule en effet les observations suivantes au paragraphe 155 :

Il est bien établi que l’exploitation ou la vente d’un objet non breveté peut tout de même contrefaire un brevet lorsque cet objet non breveté est fabriqué au moyen d’un procédé breveté : Saccharin Corp. c. Anglo-Continental Chemical Works, Ld. (1900), 17 R.P.C. 307 (H.C.J.); F. Hoffmann Laroche, précité, p. 415; Wellcome Foundation Ltd. c. Apotex Inc. (1991), 39 C.P.R. (3d) 289 (C.F. 1re inst.); American Cyanamid Co. c. Charles E. Frosst & Co. (1965), 29 Fox Pat. C. 153 (C. de l’É.). Cette proposition n’est cependant d’aucune utilité aux intimées. Les appelants n’ont pas contrefait la revendication relative au procédé parce qu’ils n’ont pas exploité la méthode revendiquée pour produire leur culture de canola.

 

[Souligné dans l’original.]

 

[315]       Bien qu’il ne faille pas oublier que la Cour suprême n’a pas explicitement traité la question de la territorialité dans Monsanto Canada Inc., les principes qui y sont formulés peuvent aider à évaluer les moyens d’Apotex.

 

[316]       Lilly aussi bien qu’Apotex ont invoqué divers facteurs relevant de l’ordre public à l’appui de leurs positions respectives sur la question de la contrefaçon par importation. Il n’y a pas lieu d’en parler ici, sauf pour dire que c’est au législateur, et non à notre Cour, qu’il appartient d’examiner de tels facteurs.

 

[317]       L’argument d’Apotex comme quoi il conviendrait de retenir plutôt l’approche américaine de cette question n’est pas convaincant. Il est à noter qu’une grande partie de la jurisprudence américaine sur ce point (que la Cour a prise en considération) a précédé des modifications législatives visant à combler d’importantes lacunes creusées par ces décisions.

 

[318]       Bref, la Cour pense comme Lilly qu’il est maintenant trop tard pour revenir en arrière en ce qui concerne l’application des principes généraux formulés dans la jurisprudence canadienne précitée. L’importation de produits fabriqués à l’étranger qui font l’objet de revendications de procédé de brevets canadiens est interdite. Cette interdiction est généralement admise et de droit constant au Canada.

 

[319]       Le deuxième moyen d’Apotex concernant la contrefaçon par importation propose de limiter l’application de la « doctrine Saccharin », telle que nuancée par Wilderman, conformément à la Process Patent Amendment Act des États-Unis et/ou à la CBE, ainsi qu’à la jurisprudence qui interprète ces deux actes.

 

[320]       Premièrement, il convient de rappeler que, malgré les occasions qu’il a eues d’intervenir dans ce domaine, le législateur n’en a jamais éprouvé le besoin, même après que le Canada ait adhéré à l’ALENA et à l’Accord sur les aspects des droits de propriété intellectuelle qui touchent au commerce (l’Accord sur les ADPIC)[117].

 

[321]       L’alinéa 1709(5)b) de l’ALENA est libellé comme suit :

5. Chacune des Parties prévoira
 
[...]
 
b) dans les cas où l’objet du brevet est un procédé, que le brevet conférera au titulaire le droit d’empêcher d’autres personnes agissant sans son consentement d’employer ce procédé et d’utiliser, de vendre ou d’importer au moins le produit obtenu directement par ce procédé.
 
[Non souligné dans l’original.]
 
Le texte de l’alinéa 28(1)b) de l’Accord sur les ADPIC est presque identique :

1. Un brevet conférera à son titulaire les droits exclusifs suivants :

 

[...]

 

b) dans les cas où l’objet du brevet est un procédé, empêcher des tiers agissant sans son consentement d’accomplir l’acte consistant à utiliser le procédé et les actes ci‑après : utiliser, offrir à la vente, vendre ou importer à ces fins, au moins le produit obtenu directement par ce procédé.

 

[Non souligné dans l’original.]

 
 

[322]       Le législateur a adopté deux lois touchant la mise en œuvre de ces accords. Les articles 189 et suivants de la première, la Loi de mise en œuvre de l’Accord de libre-échange nord-américain, L.C. 1993, ch. 44, apportent à la Loi sur les brevets les modifications rendues nécessaires par l’ALENA. Les articles 141 et 142 de la seconde, la Loi de mise en œuvre de l’Accord sur l’Organisation mondiale du commerce, L.C. 1994, ch. 47, font de même pour ce qui concerne l’Accord sur l’OMC. Or aucune de ces modifications ne porte sur la question dont la Cour est saisie.

 

[323]       On peut raisonnablement supposer que le législateur était tout à fait conscient de l’état du droit des brevets au Canada lorsqu’il a présenté ces projets de loi. On trouve aux pages 391 et 392 de Fox un résumé du droit pertinent à cette époque :

[traduction] Il faut se rappeler, lorsqu’on examine la question de la contrefaçon, que sont interdites aux autres personnes que le breveté non seulement la fabrication, mais aussi l’utilisation et la vente. C’est pourquoi il y a contrefaçon lorsqu’on importe des articles contrefaisants fabriqués à l’étranger, tout comme lorsqu’on importe et utilise dans le pays d’importation des articles ou produits fabriqués à l’étranger au moyen d’une machine brevetée ou d’un procédé breveté. Ce principe s’applique aussi au cas où le procédé utilisé à l’étranger a produit, non pas le produit fini importé, mais un produit intermédiaire visé par les revendications du brevet. Autrement dit, il n’y en a pas moins contrefaçon lorsque la substance ou l’article fabriqué au moyen du procédé breveté et vendu est soumis à certains autres procédés. Mais il faut manier ce principe avec prudence : il ne s’applique pas aux quantités minimes. Si le défendeur commet au Canada un acte portant atteinte aux droits du breveté, il contrefait le brevet.

 

[Renvois omis.]

 

 

[324]       Il est également raisonnable de supposer que le législateur était au fait des dispositions législatives pertinentes auxquelles Apotex fait référence.

 

[325]       Ce qu’Apotex demande à notre Cour, c’est en fait de récrire les dispositions législatives canadiennes sur les brevets afin de limiter l’application d’une jurisprudence vieille de plus d’un siècle. Si les dispositions législatives européennes et américaines peuvent se révéler utiles dans l’analyse des lois canadiennes, on ne peut pas les substituer à la jurisprudence bien établie sur la contrefaçon par importation.

 

[326]       Comme je le disais plus haut, la juge Snider a proposé dans Pfizer un très utile récapitulatif des facteurs qu’un tribunal devrait prendre en considération pour établir si le procédé breveté joue ou non un rôle important dans la fabrication des produits importés :

- L’importance du produit ou du procédé par rapport au produit final vendu au Canada. Lorsque son usage est accessoire, non essentiel ou pourrait être facilement remplacé (comme dans l’exemple des ciseaux italiens), une cour pourrait être moins encline à statuer qu’il y a contrefaçon.

- Si le produit final contient réellement le produit breveté en tout ou en partie. Lorsque le produit breveté peut effectivement être identifié dans le produit vendu au Canada, il y aurait de bonnes raisons de juger qu’il y a contrefaçon.

- Le stade auquel le produit ou le procédé breveté est utilisé. Par exemple, l’utilisation d’un procédé comme étape préliminaire d’un long processus de production peut amener à conclure que le titulaire du brevet a été peu privé de la jouissance de l’invention.

- Le nombre de fois où le produit ou le procédé breveté à été utilisé. Lorsque le même produit breveté est utilisé à répétition dans la production du produit final non breveté, il peut être plus manifeste que le titulaire du brevet a été privé de certains avantages.

- Le poids de la preuve démontrant que si le produit ou le procédé était exploité ou utilisé au Canada, il y aurait contrefaçon. À cet égard, je suis d’avis qu’on devrait accorder, lorsque la preuve est ambiguë, le bénéfice du doute à la partie qui utilise le produit ou le procédé. C’est peut-être simplement une autre façon d’exprimer le principe établi voulant qu’il incombe au titulaire du brevet de démontrer la contrefaçon.

 

[Paragraphe 90.]

 

La juge Snider conclut dans les termes suivants au paragraphe 91 : « Bref, il doit y avoir un lien étroit entre l’utilisation du procédé ou du produit breveté et le produit vendu au Canada. »

 

[327]       Je n’interprète pas la liste de la juge Snider comme étant exhaustive ou comme limitant en quoi que ce soit le critère applicable au Canada. Rien dans le récapitulatif qu’elle propose n’empêche la Cour de se demander également si le produit importé a été obtenu directement à partir du procédé breveté, ou si le composé fabriqué au moyen dudit procédé a été changé dans une mesure importante, ou est devenu un élément accessoire ou non essentiel du produit importé. En fait, ces concepts sont très proches de ceux qu’a utilisés la juge Snider; sa liste est évidemment plus détaillée, tout comme notre critère est plus souple, ce qui, comme je le disais plus haut, est dans l’ordre des choses.

 

[328]       La valeur de notre approche est qu’elle peut s’adapter à de nouvelles circonstances. Les cours saisies de l’affaire Beecham Group ont pu conclure à la contrefaçon en dépit du fait que le produit final importé en Angleterre ne contenait plus le composé fabriqué au moyen des procédés brevetés. C’est la souplesse du critère qui leur a permis de statuer dans ce sens et de prendre en considération ce qui se passait dans l’estomac des personnes qui achetaient et utilisaient les pilules fabriquées par la défenderesse.

 

[329]        Pour ces motifs, je conclus que non seulement la Cour ne peut redéfinir ni limiter le critère applicable au Canada en matière de contrefaçon par importation et utilisation, mais aussi qu’elle ne doit pas le faire. Ces principes étant acquis, je les appliquerai maintenant aux faits de la présente espèce.

[330]       Pour ce qui concerne les brevets de Shionogi, il n’est pas contesté que si l’on avait exploité le procédé de Kyong Bo au Canada, on les aurait ainsi contrefaits[118].

 

[331]       Il me paraît également clair que Lupin a utilisé le procédé visé par les brevets de Lilly jusqu’en 1998[119].

 

[332]       La seule véritable difficulté qu’on rencontre dans l’application du critère susdit à la présente espèce vient de ce que la fabrication du céfaclor est un processus très complexe[120], comprenant plus d’étapes que n’en exigeait la fabrication des divers composés que la jurisprudence a examinés jusqu’ici. Mais cela ne devrait pas suffire à empêcher d’appliquer la doctrine. La complexité technique ne devrait certainement pas permettre à qui que ce soit de priver le breveté en tout ou partie, directement ou indirectement, de la pleine jouissance du monopole que lui confère son brevet.

 

[333]       Il n’est pas contesté que d’autres étapes (réactions chimiques) suivaient l’obtention par Lupin et Kyong Bo du 3‑chloro‑céphème ou du 3‑hydroxy‑céphème (les composés finaux des procédés brevetés) aux fins de la fabrication de céfaclor. Il n’est pas contesté non plus que ces étapes ultérieures transforment le 3‑chloro‑céphème et le 3‑hydroxy‑céphème en un composé au bout du compte différent, à savoir le céfaclor.

 

[334]       Tous les experts étaient d’accord pour dire qu’il n’existait pas de méthode connue de fabrication de céfaclor qui ne serait pas passée par la production de 3‑hydroxy‑céphème.

 

[335]       Aucun des experts n’a soutenu que l’un ou l’autre des procédés brevetés soit un élément accessoire ou non essentiel des procédés mis en œuvre par Kyong Bo ou Lupin (procédé A) pour produire le céfaclor utilisé par Apotex au Canada.

 

[336]       Il appert de l’ensemble de la preuve que les procédés de Shionogi et de Lilly étaient plus efficaces (et donc moins coûteux) que tout autre procédé exposé dans les publications auxquelles se réfèrent les experts ou utilisé par Lupin[121].

 

[337]       En fait, pour ce qui concerne le procédé de Lilly, il ressort à l’évidence de la preuve que le changement de ce que les documents de Lupin désignent simplement comme l’étape V (bien qu’elle comprenne trois réactions distinctes) faisait augmenter de presque 50 % le prix du céfaclor[122].

 

[338]       Comme je le disais plus haut, l’exposé des brevets de procédé de Lilly dit expressément que les inventions en question sont particulièrement utiles pour la fabrication de céfaclor. C’est là la fin même à laquelle leurs leçons ont été utilisées dans la présente affaire.

 

[339]       Apotex a fait grand cas d’un rapport d’activité établi en 1978 par le groupe de recherche de Lilly travaillant sur le céfaclor (pièce TX‑211). On peut y lire à la page 3 l’intéressant passage suivant :

[traduction] Les deux étapes les plus difficiles de la synthèse du céfaclor, sous le double rapport du temps et des efforts qu’elles exigent, sont l’agrandissement des anneaux des groupes exométhylènes (T.S. Chou) et la chloration des énols (79284 → 112069). Peu de procédés ont été aussi étudiés que ces deux étapes de la synthèse du céfaclor.

 

[340]       Je conclus de l’examen et de l’évaluation de l’ensemble de la preuve que le procédé breveté de Lilly était en fait un élément « important » de la méthode employée par Lupin pour fabriquer le céfaclor qu’Apotex a utilisé au Canada.

 

[341]       Je conclus aussi que le procédé de Shionogi constituait un élément crucial, donc évidemment important, du procédé de fabrication de céfaclor utilisé par Kyong Bo. Sans le procédé de Shionogi, Kyong Bo n’aurait pas pu utiliser la voie de synthèse complète décrite dans les documents techniques qu’elle a déposés auprès de Santé Canada.

            5.6. La dérogation prévue au paragraphe 55.2(1) de la Loi sur les brevets

[342]       Le paragraphe 55.2(1) de la Loi sur les brevets dispose ce qui suit :

55.2(1) Il n’y a pas contrefaçon de brevet lorsque l’utilisation, la fabrication, la construction ou la vente d’une invention brevetée se justifie dans la seule mesure nécessaire à la préparation et à la production du dossier d’information qu’oblige à fournir une loi fédérale, provinciale ou étrangère réglementant la fabrication, la construction,

l’utilisation ou la vente d’un produit.

 

55.2(1) It is not an infringement of a patent for any person to make, construct, use or sell the patented invention solely for uses reasonably related to the development and submission of information required under any law of Canada, a province or a country other than Canada that regulates the manufacture, construction, use or sale of any product.

Lilly admet que ce moyen de défense figurait dans l’exposé de précisions déposé par Apotex, mais elle soutient que cette dernière n’a à aucun moment modifié en conséquence l’exposé de sa défense, de sorte que ce moyen n’a pas été valablement plaidé. Il n’est pas contesté que Lilly savait très bien qu’Apotex invoquerait cette dérogation. Lilly n’a pas tort en toute rigueur, mais, compte tenu des circonstances de la présente espèce, je ne vois aucune bonne raison de priver Apotex du droit de faire valoir ce moyen de défense.

[343]       Le seul argument de fond avancé par Lilly à ce propos est que, à en juger par le témoignage de Mme Carrière, les échantillons de procédé et de réserve n’ont pas été mis de côté simplement pour remplir les exigences des pouvoirs publics, mais aussi aux fins du contrôle de qualité interne (lequel est motivé par des impératifs commerciaux et non réglementaires). Lilly soutient que, étant donné cette dualité des fins, la dérogation n’est pas applicable aux échantillons en cause. Elle fait également valoir qu’Apotex n’a pas prouvé que ses dossiers étaient concordants et complets ni que les quantités inscrites dans le document établi par M. Fahner n’aient servi qu’aux fins que prévoit le paragraphe 55.2(1) de la Loi sur les brevets.

[344]       La Cour d’appel fédérale a rejeté la thèse que cette dérogation devrait faire l’objet d’une interprétation stricte aux paragraphes 103 et 104 de Merck & Co. c. Apotex Inc., 2006 CAF 323, [2007] 3 R.C.F. 588 [Merck & Co. (CAF)]. La Cour d’appel, dans cet arrêt, tout comme la Cour fédérale, dans Servier, n’ont pas voulu limiter l’application de la dérogation aux seules quantités effectivement fournies à un organisme de réglementation. Le point important est ici que la Cour est convaincue que les quantités présentées comme ayant servi à la recherche-développement, ainsi qu’à la constitution d’échantillons de réserve et d’échantillons de procédé, n’ont pas été vendues ni utilisées à une fin analogue[123]. Le fait que ces quantités pouvaient servir à une double fin me paraît dénué de pertinence.

[345]       Pour ce qui est de la quantité réelle de céfaclor en vrac à laquelle la dérogation est applicable, la Cour convient que les chiffres figurant dans le document que M. Fahner[124] a rédigé à la suite de son contre-interrogatoire et qui était joint à une lettre de l’avocat d’Apotex en date du 12 mai 2008 devront être examinés dans le cadre du renvoi, qui permettra d’établir les quantités exactes qui relèvent des catégories susdites. Il faut toutefois ajouter que les chiffres du document de M. Fahner représentent la quantité maximale qu’on puisse envisager de retenir pour l’application de la dérogation (187 kilogrammes).

[346]       Les deux parties conviennent que ce n’est pas là une question majeure dans la présente espèce, de sorte qu’il n’y a rien de plus à en dire.

 

6. L’invalidité

[347]       Il est convenu que, comme tous les brevets en litige sont maintenant expirés, il n’est pas nécessaire d’examiner la partie de la demande reconventionnelle tendant à obtenir un jugement déclaratoire d’invalidité de ces brevets. Toutes les conclusions concernant l’invalidité sont donc prises dans le contexte de l’action principale.

 

            6.1. La norme de contrôle et la charge de la preuve

[348]       Les parties conviennent que c’est sur Apotex, en tant que partie attaquant la validité des brevets de Lilly, que pèse la charge de la preuve concernant l’invalidité. Tel est l’effet du paragraphe 43(2) et de l’article 59 de la Loi sur les brevets.

 

[349]       La norme de contrôle applicable n’est pas non plus contestée. Ainsi que la Cour suprême du Canada l’a récemment confirmé, « il n’existe au Canada, en common law, qu’une seule norme de preuve en matière civile, celle de la prépondérance des probabilités » (F.H. c. McDougall, 2008 CSC 53, [2008] 3 R.C.S. 41, paragraphe 40).

 

[350]       Si elles sont d’accord sur les questions de la charge de la preuve et de la norme de preuve pour ce qui concerne l’invalidité, Lilly et Apotex ne le sont pas sur le point de savoir ce que doit prouver la partie qui allègue l’invalidité. Lilly soutient qu’Apotex doit prouver le caractère déraisonnable de la décision du commissaire aux brevets d’approuver les brevets en litige. Elle invoque à l’appui de cette thèse le passage suivant de l’arrêt Apotex Inc. c. Wellcome Foundation Ltd., 2002 CSC 77, [2002] 4 R.C.S. 153 [Wellcome (2002)] :

 

Contrairement à l’affaire de la souris de Harvard (Harvard College c. Canada (Commissaire aux brevets), [2002] 4 R.C.S. 45, 2002 CSC 76), dont les motifs sont déposés simultanément, les présents pourvois ne portent pas uniquement sur une question de droit (c’est‑à‑dire sur les limites que la Loi impose à l’égard des objets brevetables). À ce sujet, la norme applicable est celle de la décision correcte. La Cour est appelée à trancher, en l’espèce, une question mixte de droit et de fait – celle de savoir si le commissaire s’était bien assuré que l’invention visée par la demande de brevet satisfaisait au critère de l’utilité prévu par la Loi. Les conclusions de fait commandent généralement la retenue judiciaire, mais, dans le cas qui nous occupe, le législateur a prévu un droit d’appel illimité à la Cour fédérale (Loi sur les brevets, art. 42.

 

[…]

 

Dans les circonstances, j’estime que la norme de contrôle applicable à ces questions, qui sont principalement des questions mixtes de droit et de fait, est celle du caractère raisonnable simpliciter, c’est‑à‑dire que la décision du commissaire doit pouvoir résister à un examen assez poussé       (Canada (Directeur des enquêtes et recherches) c. Southam Inc., [1997] 1 R.C.S. 748, par. 56).

 

[Non souligné dans l’original. Paragraphes 42 et 44[125].]

 

[351]       En effet, se fondant sur Wellcome (2002), Lilly soutient que l’article 59 de la Loi sur les brevets oblige la partie qui fait valoir l’invalidité à demander une sorte de contrôle judiciaire de la [traduction] « décision » du commissaire de délivrer le brevet attaqué. Elle ajoute que la cour de révision doit alors faire preuve de retenue judiciaire et appliquer la norme du caractère raisonnable.

 

[352]       La Cour suprême du Canada a formulé en termes clairs la tâche qui incombe à la partie faisant valoir l’invalidité : « Il incombait aux appelantes de prouver, selon la prépondérance des probabilités, que le brevet était invalide » (paragraphe 92). Pour ce faire, la partie qui conteste la validité doit établir que le brevet ou des revendications du brevet ne remplissent pas les conditions de brevetabilité que prévoit la Loi sur les brevets (c’est‑à‑dire la non-évidence, l’utilité, etc.). Cette tâche exige qu’on examine les revendications du brevet, valablement interprétées, en fonction desdites conditions (voir Free World Trust, paragraphes 24 à 27).

 

[353]       Ces règles concordent parfaitement avec le libellé de l’article 59 de la Loi sur les brevets, qui porte que « le défendeur peut invoquer comme moyen de défense tout fait ou manquement qui, d’après la présente loi ou en droit, entraîne la nullité du brevet », et que le tribunal saisi « prend connaissance de cette défense et des faits pertinents et statue en conséquence ».

 

[354]       Cette approche de la question de la validité, consistant à examiner les prétentions en fonction des conditions prévues par la Loi sur les brevets sans se référer aux principes du droit administratif, est la norme des tribunaux judiciaires depuis plus d’un siècle.

 

[355]       On ne peut présumer que la Cour suprême du Canada, deux ans seulement après Free World Trust et Whirlpool, a voulu par Wellcome (2002) transformer aussi radicalement qu’implicitement le droit relatif à l’invalidité des brevets. On voit mal en effet pourquoi un tel virage ne serait pas pris en termes clairs et explicites. Cette conclusion se trouve étayée par le fait que, dans la majeure partie de la jurisprudence postérieure à Wellcome (2002), on a examiné la question de l’invalidité sans recourir aux principes du droit administratif. Voir Laboratoires Servier, paragraphe 225; et M.K. Plastics Corp. c. Plasticair Inc., 2007 CF 574, 61 C.P.R. (4th) 1, paragraphe 105.

 

[356]       S’il est vrai que l’analyse du droit administratif que contient Wellcome (2002) se rapportait à une action en contrefaçon et à un moyen de défense fondé sur l’invalidité, la Cour suprême du Canada y faisait référence à l’article 42[126] (qui est maintenant l’article 41) de la Loi sur les brevets, portant sur le droit d’appel devant la Cour fédérale de la décision du commissaire de refuser de délivrer un brevet. Le moyen de défense fondé sur l’invalidité et la contestation du refus du commissaire de délivrer un brevet mettent en jeu des acteurs différents (le demandeur de brevet et le contrefacteur supposé), et s’ils soulèvent des questions semblables, c’est dans des contextes tout à fait distincts.

 

[357]       En outre, bien qu’ils témoignent de l’importation de principes du droit administratif dans l’analyse de la question de l’invalidité, ni Wellcome (2002) ni Monsanto Canada Inc. n’appliquent véritablement de concepts tels que le degré de retenue judiciaire à exercer à l’égard de la décision du commissaire de délivrer les brevets en litige. En fait, nonobstant les paragraphes précités de ces arrêts, la Cour suprême n’emploie même pas l’expression « caractère raisonnable » dans son examen de la question de l’invalidité.

 

[358]       On trouve un exemple éloquent du malaise créé par ces arrêts de la Cour suprême dans Jay-Lor International Inc. c. Penta Farm Systems Ltd., 2007 CF 358, 59 C.P.R. (4th) 228, où la juge Snider avait à se prononcer sur une prétention en contrefaçon de brevet et un moyen de défense fondé sur l’invalidité. Dans le cadre de son examen de la question de la validité, elle y formulait les observations suivantes :

Une fois délivré, le brevet est présumé valide, sauf preuve contraire (paragraphe 43(2) de la Loi sur les brevets). Il incombe donc aux défenderesses d’établir que le commissaire aux brevets a commis une erreur en délivrant le brevet (Monsanto Canada Inc. c. Schmeiser, 2004 CSC 34 au paragraphe 24, [2004] 1 R.C.S. 902; Apotex Inc. c. Wellcome Foundation Ltd., 2002 CSC 77, [2002] 4 R.C.S. 153 aux paragraphes 43 et 44, 21 C.P.R. (4th) 499). En l’espèce, les défenderesses soutiennent l’invalidité du brevet pour le double motif de l’évidence et de l’antériorité. J’examinerai chacun de ces arguments.

 

[Paragraphe 72.]

 

Ayant formulé ces observations, la juge Snider ne propose nulle part dans l’exposé de ses motifs quoi que ce soit qui ressemblerait à un examen du caractère raisonnable de la nature que prévoit l’arrêt Dunsmuir c. Nouveau‑Brunswick, 2008 CSC 9, [2008] 1 R.C.S. 190 (Dunsmuir). En fait, les expressions « retenue judiciaire » ou « caractère raisonnable » (au sens du droit administratif) n’apparaissent nulle part dans sa décision, pas plus qu’elle n’y fait référence (mis à part le passage cité ci‑dessus) à la décision du commissaire de délivrer le brevet en litige[127].

 

[359]       Cette attitude se comprend très bien, étant donné que, pour un certain nombre de raisons, il est presque impossible d’appliquer à la question de l’invalidité une approche fondée sur le droit administratif sans autres éclaircissements de la part de la Cour suprême du Canada.

 

[360]       En effet, on ne voit pas bien quel serait l’objet de ce contrôle judiciaire. La décision du commissaire de délivrer un brevet n’est accompagnée ni de motifs ni d’explications. Elle n’a pas non plus de contexte, puisqu’il n’est pas possible d’examiner, aux fins de l’interprétation des revendications du brevet, les déclarations faites par le breveté pendant l’examen de la demande de ce brevet; voir le paragraphe 53 de Merck & Co. (CAF).

 

[361]       L’examen du caractère raisonnable exige qu’on établisse si la décision en cause appartient aux issues possibles acceptables pouvant se justifier au regard des faits et du droit, étant donné la preuve dont disposait l’instance qui l’a rendue (Dunsmuir, paragraphe 47). Si, comme Wellcome (2002) le donne à penser, il convient d’exercer une certaine retenue judiciaire à l’égard de la décision du commissaire de délivrer le brevet, comment la cour de révision peut-elle évaluer le caractère raisonnable de cette décision sans disposer des éléments que le décideur a pris en considération? Bien que la Cour suprême du Canada ne se soit pas prononcée dans Free World Trust (paragraphe 67) sur le point de savoir si les déclarations faites par le breveté pendant l’examen de la demande de brevet peuvent se révéler pertinentes à une autre fin que celle consistant à définir l’étendue du monopole accordé, on n’a jamais utilisé de tels éléments dans le but de comprendre les motifs pour lesquels le commissaire a délivré le brevet.

 

[362]       La cour de révision, quelle que soit la norme de contrôle judiciaire qu’elle applique, doit en général se limiter à l’examen de la preuve dont disposait l’instance de décision : Gosselin c. Canada (Procureur général), 2006 CF 3, 289 F.T.R. 7, paragraphes 12 et 13. Or tel n’est pas le cas pour les cours appelées à se prononcer sur des allégations d’invalidité d’un brevet.

 

[363]       Aucune disposition législative ne prévoit que la preuve dont disposait le commissaire aux brevets doive être produite devant la Cour fédérale dans le contexte d’une action en contrefaçon. En outre, aucune disposition de l’article 59 de la Loi sur les brevets n’oblige la partie qui conteste la validité d’un brevet à s’en tenir aux éléments d’appréciation produits devant ledit commissaire.

 

[364]       Les parties contestant la validité d’un brevet ont toujours été libres, sous réserve des règles applicables en matière de preuve, de produire tous éléments susceptibles d’infirmer la thèse de la validité des revendications du brevet en litige. Les normes de contrôle judiciaire ne sont pas utiles dans les cas où le dossier de preuve dont dispose la Cour est différent de celui dont disposait une autre instance de décision, ni ne sont conçues en fonction de tels cas.

 

[365]       Dans Harvard College (2000), le juge en chef Isaac a établi une analogie avec les appels des décisions rendues par le registraire des marques de commerce sous le régime de l’article 56 de la Loi sur les marques de commerce, L.R.C. 1985, ch. T‑13. Dans les affaires de cette nature, les normes de contrôle judiciaire ne s’appliquent qu’aux cas où il n’y a pas de nouveaux éléments de preuve qui auraient pu influer sur la décision du registraire. Si elle conclut qu’il y a de tels éléments, la Cour doit exercer son pouvoir discrétionnaire de novo. Il est à noter que le registraire des marques de commerce doit appuyer sa décision de motifs, que la Cour peut ensuite évaluer.

 

[366]       Certes, il est arrivé qu’on appliquât des principes de droit administratif à l’examen de décisions du commissaire aux brevets; voir par exemple : Genencor International, Inc. c. Canada (Commissaire aux brevets), 2008 CF 608, [2009] 1 R.C.F. 361 (contrôle d’une décision rendue par le commissaire à l’issue d’un réexamen sous le régime des articles 48.1 à 48.5 de la Loi sur les brevets); Pason Systems Corp. c. Canada (Commissaire aux brevets), 2006 CF 753, [2007] 2 R.C.F. 269 (contrôle d’une décision du commissaire ayant autorisé la modification d’une revendication en raison d’erreurs d’écriture supposées sous le régime de l’article 8 de la Loi sur les brevets); et Dow Chemical Co. c. Canada (Procureur général), 2007 CF 1236, 63 C.P.R. (4th) 89.

 

[367]       La Loi sur les brevets prévoit un droit d’appel de certaines décisions du commissaire devant la Cour fédérale; voir l’article 19.2, le paragraphe 20(15) et l’article 41. Cependant, on n’a appliqué de principes de droit administratif à des décisions du commissaire aux brevets que dans des contextes où ces dernières se prêtaient au contrôle judiciaire, et non sous le régime de l’article 59 ou du paragraphe 60(1) de la Loi sur les brevets.

 

[368]       Il se peut très bien qu’une conclusion d’invalidité ait pour conséquence ou effet substantiel d’établir que le commissaire a commis une « erreur » en délivrant le brevet considéré. Mais dans le contexte d’une action en contrefaçon où l’invalidité est invoquée comme moyen de défense, ce n’est pas là le point de départ essentiel : on y considère les revendications en elles-mêmes pour établir si le monopole conféré remplit les conditions prévues par la Loi, par exemple l’utilité, la nouveauté et la valeur inventive.

 

[369]       Bref, l’importation de principes de droit administratif dans l’évaluation de la validité n’a pas fait l’objet d’un examen approfondi dans la jurisprudence d’appel et s’écarterait sensiblement de la jurisprudence établie de la Cour suprême du Canada concernant les moyens de défense fondés sur l’invalidité. Ne disposant pas des éclaircissements nécessaires sur la manière dont le concept de retenue judiciaire devrait s’intégrer dans le cadre établi d’analyse de la validité, la Cour est peu disposée à appliquer des principes de droit administratif à sa propre analyse de cette question.

 

[370]       Par conséquent, dans la présente espèce, la Cour examinera au fond la défense d’Apotex en se basant sur le principe que le défendeur doit établir selon la prépondérance des probabilités tout fait qui, en vertu de la Loi sur les brevets ou du droit en général, rendrait invalides les brevets en litige, sous réserve de la présomption de validité applicable.

 

7. L’inhérence et l’absence d’objet brevetable

            7.1. Les brevets de Shionogi

[371]       Apotex fait valoir que le commissaire aux brevets n’a pas obligé Shionogi à déposer de demandes divisionnaires à la phase d’examen des demandes de brevet en cause. Elle soutient en outre que les brevets de Shionogi n’ont pas d’objet brevetable et que, s’il y a quoi que ce soit de nouveau et d’inventif dans la demande initiale, c’est la voie de synthèse globale, qui n’a été revendiquée dans aucun des brevets de Shionogi ici considérés[128].

[372]       Cependant, au moment des conclusions finales, l’avocat d’Apotex a bien précisé que si la Cour concluait, comme la Cour suprême dans Consolboard Inc. c. MacMillan Bloedel (Saskatchewan) Ltd., [1981] 1 R.C.S. 504, 122 D.L.R. (3d) 203 [Consolboard (1981)], que le commissaire aux brevets avait obligé Shionogi à diviser sa demande, aucune des demandes divisionnaires ainsi présentées ne devrait être tenue pour attaquable du seul fait de la délivrance du brevet initial, c’est‑à‑dire au motif de l’absence d’objet brevetable de plus d’un brevet; voir Consolboard (1981), pages 536 et 537 du R.C.S.

 

[373]       Cela dit, il n’est pas contesté que l’agent de brevets a reçu du Bureau des brevets un rapport de l’examinateur (aussi désigné « rapport du Bureau des brevets ») en date du 28 février 1979 qui portait ce qui suit :

[traduction]

 

Les revendications de la demande considérée visent quatre objets différents possibles, ainsi répartis :

 

1) revendications 1 à 10, 13 à 16, 21 à 23, 38, 39 et 54 à 73;

2) revendications 11, 12, 31 à 34 et 45 à 53;

3) revendications 17 à 20 et 40 à 44;

4) revendications 24 à 30, 35 et 36.

 

Le demandeur doit limiter ses revendications à un seul objet selon l’article 38 de la Loi.

 

La demande doit donc être modifiée.

 

 

[374]       La Cour suprême du Canada ne reproduit pas textuellement la lettre du commissaire dans Consolboard (1981). Apotex a cependant fait remarquer à la Cour que la décision de première instance – Consolboard Inc. c. MacMillan Bloedel (Saskatchewan) Ltd. (1978), 39 C.P.R. (2d) 191, [1978] A.C.F. no 305 (QL) [Consolboard (1978)] – décrivait cette lettre dans les termes suivants :

Le commissaire des brevets a considéré que la demande décrivait et revendiquait plus d’une invention. Il a ordonné à la demanderesse de restreindre ses revendications à une seule invention. Par conséquent, le 25 février 1957, [...] une demande divisionnaire a été déposée.

 

[Paragraphe 49.]

 

 

[375]       Il n’est pas contesté que ce passage paraît étayer l’opinion de M. Murphy, expert de Lilly, selon laquelle, comme dans l’affaire ci‑dessus, les demandes divisionnaires dont il s’agit dans la présente espèce ont été déposées sur l’ordre du commissaire aux brevets. M. Murphy note aussi dans son rapport (au paragraphe 37) que [traduction] « [l]orsqu’on dépose une demande divisionnaire, le Bureau des brevets vérifie si elle remplit les conditions nécessaires pour être considérée comme telle »[129]. L’expert conclut de son examen des dossiers de brevet pertinents que le Bureau des brevets a valablement décidé que ces demandes remplissaient les conditions nécessaires pour être considérées comme divisionnaires. (Voir aussi le paragraphe 40 de l’affidavit de M. Murphy, déposé sous la cote E‑20.)

[376]       Apotex n’a pas déposé d’affidavits d’expert sur ce sujet et s’appuie à cet égard seulement sur le contre-interrogatoire de M. Murphy. La Cour, ayant examiné ce contre-interrogatoire[130], constate que la preuve d’Apotex ne suffit pas à justifier la conclusion que la présente espèce puisse être distinguée de Consolboard (1981).

[377]       En plus de s’opposer sur le point de savoir si les demandes divisionnaires de Shionogi étaient valables, les parties ont débattu la question du sens de ce qu’on appelle [traduction] « l’absence d’objet brevetable »[131]. Fox enseigne que, au sens large, répondre à la question de la présence ou de l’absence d’objet brevetable revient à établir si le dispositif ou le procédé en cause [traduction] « entre dans l’une ou l’autre des catégories de choses que le droit des brevets est conçu pour protéger » (page 15). C’était là, par exemple, la principale question qu’avait à décider la Cour suprême du Canada dans Harvard College. Lilly déclare que c’est dans ce sens qu’elle a interprété les actes de procédure d’Apotex.

 

[378]        Cependant, Fox parle aussi (aux pages 15 et 16) d’une signification plus restreinte, qui exige essentiellement qu’on se demande si la production du dispositif ou du procédé en cause [traduction] « était évidente ou faisait intervenir l’exercice d’une faculté inventive ». « L’étude de cette question, poursuit Fox, dans les décisions anglaises qu’on examine habituellement sous la rubrique de l’évidence, vise à établir si [...] la production [du dispositif ou du procédé en cause] était suffisamment importante pour mériter l’octroi à son égard de droits de monopole. » Dans ce contexte, les tribunaux parlent parfois, de façon assez approximative, d’« absence d’objet brevetable » lorsque l’objet de la revendication ne fait pas intervenir l’exercice d’une faculté inventive[132], mais la Cour estime qu’on devrait maintenant éviter d’employer cette expression dans ce sens. Même s’il est peut-être juste, à proprement parler, de dire qu’il n’y a pas d’objet brevetable s’il n’y a pas d’invention, il vaut mieux examiner les aspects de la nouveauté, de la valeur inventive et de l’utilité d’une invention brevetable sous des rubriques plus précises, et réserver la rubrique « absence d’objet brevetable » au point de savoir si l’invention entre dans l’une ou l’autre des catégories de choses que le droit des brevets est conçu pour protéger.

 

[379]        Il est en tout cas certain que la rubrique sous laquelle on décide de faire valoir ses moyens ne peut changer le fait qu’il n’est pas permis de tenter sa chance deux fois[133] en présentant simplement sa position sous des têtes de chapitre différentes. La Cour a déjà examiné les arguments d’Apotex relatifs à l’évidence[134]. Comme elle l’a dit à leur propos, la Cour estime qu’est contrefaite au moins une revendication valide (non évidente)[135] en litige dans chaque brevet. Par conséquent, il ne me paraît pas nécessaire de m’étendre ici sur ce sujet.

 

            7.2. Les brevets de Lilly

[380]       Apotex soutient que les brevets de procédé de Lilly pèchent par [traduction] « absence d’objet brevetable », au motif qu’ils ne revendiquent rien de plus que les propriétés inhérentes d’un composé connu. En outre, comme le brevet 007 décrivait en détail (seulement dans l’exposé de l’invention ou le mémoire descriptif) l’utilité du complexe cinétique dans la chimie des céphalosporines, ces brevets de procédé n’auraient pas d’« objet brevetable » distinct.

 

[381]       Pour ce qui concerne le premier argument, la Cour, après examen de la jurisprudence produite par Apotex[136], conclut sans hésitation qu’elle ne s’applique aucunement à la présente espèce. Les précédents invoqués portaient sur des ensembles de faits très différents.

[382]       En outre, comme la seule revendication déclarée valide dans le brevet 007 (la revendication 17) vise un procédé, cet argument paraît dénué de portée pratique.

 

[383]       Le deuxième argument n’est pas mieux fondé. En effet, comme je l’expliquais plus haut, bien qu’elle emploie l’expression [traduction] « objet brevetable » pour désigner la valeur inventive, Apotex veut dire en fait qu’il n’y a qu’une seule invention, soit le composé cinétique censément nouveau, et que Lilly, en le revendiquant dans le brevet 007, n’avait pas droit à ses brevets de procédé. Bref, Lilly aurait dû inclure toutes les revendications dans un seul brevet. Comme on l’a vu ci‑dessus, il est manifeste que la découverte du complexe cinétique en soi n’est l’invention d’aucun des brevets de procédé.

 

[384]       Quoi qu’il en soit, la Cour pense comme Lilly que ce raisonnement a tout l’air de conjuguer une version modifiée de l’argument du double brevet avec un argument mal fondé reposant sur la nature divisionnaire des demandes. À mon avis, ce raisonnement met aussi en question des pratiques de longue date du Bureau des brevets[137].

 

[385]       Je parle d’une « version modifiée de l’argument du double brevet » parce qu’Apotex devrait savoir que la demande du brevet 007, déposée le même jour que les demandes visant les brevets de procédé (qui est la date présumée de l’invention revendiquée, étant donné l’absence d’éléments de preuve tendant à accréditer une date antérieure), n’est pas une antériorité qu’on puisse invoquer à l’appui d’un argument fondé sur le double brevet (évidence). La défenderesse devrait aussi savoir que, comme la Cour suprême du Canada l’a déclaré dans Whirlpool et Sanofi, l’examen de la question du double brevet a pour objet les revendications et non l’exposé (ou divulgation) des divers brevets considérés. Si l’on compare les revendications de l’ensemble des brevets de Lilly, il apparaît indubitable qu’elles ne se chevauchent pas (antériorité). Il me semble également clair, vu la preuve dont je dispose, que le procédé visé par la revendication 17 (la seule revendication valide) du brevet 007 ne rend pas évidente l’utilisation du complexe cinétique dans chacune des réactions que revendique le brevet de procédé de Lilly, pas plus que, comme je le disais à la section concernant l’évidence, le fait que le complexe cinétique puisse être utilisé pour n’importe laquelle de ces réactions ne rend évident qu’il puisse aussi être utilisé pour les deux autres ou « en un seul pot ».

 

[386]       Il a été produit une preuve d’expert non contredite (soit l’affidavit de M. Murphy, coté E‑20) comme quoi Lilly n’aurait pas pu inclure dans un seul brevet la revendication 17 du brevet 007, une revendication relative à un ensemble d’étapes et des revendications portant sur les étapes prises isolément que visent les brevets 725, 468 et 536. Cela aurait été contraire à la règle de l’unité de l’invention formulée et expliquée dans le RPBB. Par conséquent, accueillir le moyen d’Apotex signifierait que, du fait que Lilly se serait conformée à cette règle au lieu de déposer une demande qui aurait nécessairement suscité une objection et donné lieu à un ordre de modification – par le dépôt de demandes divisionnaires –, Apotex pourrait maintenant contester ses brevets de procédé en invoquant un motif qu’il ne lui aurait pas autrement été permis d’invoquer [Consolboard (1981)].

 

[387]       La Cour note que la Cour d’appel fédérale a examiné aux paragraphes 40 à 50 de Merck & Co. (CAF), quoique dans un contexte différent, la question d’une demande divisionnaire irrégulière et de ses conséquences, et y a déclaré qu’une telle demande divisionnaire n’entraînait pas nécessairement la perte des droits de brevet. En fait, la Cour d’appel a conclu que le concept du double brevet assure un recours suffisant dans le cas où plusieurs brevets sont délivrés au titre de la même invention.

 

[388]       Or Apotex a confirmé à l’instruction qu’elle ne soutenait pas qu’il y ait double brevet dans la présente espèce[138].

 

[389]       On ne voit pas pourquoi il devrait exister contre les brevets délivrés conformément aux pratiques du Bureau des brevets un recours différent de celui qui est ouvert dans les cas de demande divisionnaire irrégulière comme celui qui fait l’objet de Merck (2006).

 

[390]       Les revendications valides des brevets considérés ne se chevauchent pas et, comme on l’a vu à la section relative à l’évidence, chacun de ceux‑ci comporte au moins une revendication non évidente en litige.

 

8. L’antériorité

8.1. Le critère juridique

[391]       La Cour suprême du Canada a récemment clarifié le droit en matière d’antériorité dans Sanofi, en particulier aux paragraphes 18 à 50.

 

[392]       Pour être destructeur de nouveauté, le document d’antériorité allégué doit remplir deux critères : la divulgation et le caractère réalisable. À ce propos, la Cour suprême du Canada a approuvé et repris à son compte l’arrêt Synthon de la Chambre des lords.

 

[393]       Pour ce qui concerne la condition de la divulgation, le juge Rothstein a bien précisé que le document d’antériorité doit divulguer un objet qui, s’il était réalisé, contreferait nécessairement le brevet contesté.

 

[394]       La personne versée dans l’art doit lire ce document sans parti pris, en essayant de comprendre ce que son auteur a voulu dire. Cependant, à cette étape de l’examen (divulgation), il n’est pas permis à la personne versée dans l’art d’effectuer des expériences : il ne s’agit pas encore de faire des essais, mais simplement de lire en vue de comprendre. Voir : Sanofi, paragraphe 25; et Laboratoires Abbott c. Canada (Ministre de la Santé), 2008 CF 1359, 71 C.P.R. (4th) 237 [Abbott (2008)], paragraphe 67.

 

[395]       En outre, la Cour prend acte de ce que le droit exposé dans Beloit Canada Ltée c. Valmet Oy (1986), 64 N.R. 287, 7 C.I.P.R. 205 (Beloit), General Tire et Free World Trust, reste pertinent concernant la question de la divulgation antérieure, mais que le critère Beloit a été affiné relativement au caractère réalisable (voir les paragraphes 20 à 22 et 28 de Sanofi).

 

[396]       Chose étonnante, les parties ont débattu à l’instruction la nature exacte de ce que le document d’antériorité doit divulguer. Doit‑il révéler tous les avantages de l’invention exposée dans le brevet ou la manière détaillée d’utiliser au mieux celle‑ci, ou doit‑il se contenter de décrire l’invention revendiquée? Dans ce dernier cas, la divulgation antérieure ne devrait-elle porter que sur les éléments essentiels de la revendication en litige ou sur la totalité des éléments décrits dans cette revendication? Les parties ont présenté des conclusions écrites détaillées sur cette question particulière. La Cour les a dûment prises en considération, mais il n’est pas nécessaire d’examiner longuement la jurisprudence qui y est citée.

 

[397]       Comme je l’ai dit, l’examen qui incombe à la Cour porte sur le point de savoir si la réalisation de l’objet de la divulgation antérieure serait nécessairement contrefaisante. Cet examen est donc nécessairement axé sur l’invention telle qu’elle est revendiquée, et seulement sur les éléments essentiels de la revendication, valablement interprétée. La Cour note que telle paraît être aussi l’interprétation du juge Hughes dans Abbott (2008) [paragraphe 76].

 

[398]       Dans le prolongement de son argument selon lequel l’examen ne doit porter que sur l’invention brevetée, Apotex soutient aussi que, une fois qu’il s’avère que l’invention brevetée (à distinguer de ce qui est revendiqué) a déjà été divulguée, toutes les revendications du brevet se trouvent frappées d’invalidité, puisqu’il ne peut y avoir qu’une seule invention de cette nature et que, si elle est dépourvue du caractère de la nouveauté[139], elle ne peut être protégée par un brevet. Cet argument doit aussi être rejeté, non seulement parce qu’il n’entre pas dans le champ de l’examen qui s’impose en l’occurrence, mais aussi parce qu’il entraîne un résultat absurde. Supposons par exemple que la revendication ayant la portée la plus large (telle que la revendication 1) soit invalide au motif de sa portée excessive, parce qu’elle inclurait une réalisation particulière décrite dans l’antériorité[140] : l’inventeur n’aurait pas alors le droit de revendiquer un autre aspect de l’invention dans une revendication dépendante ne visant qu’un composé qui n’aurait jamais été divulgué ou réalisé. Une telle hypothèse rendrait désuet ce qu’on a appelé [traduction] « l’art de revendiquer » (voir Hayhurst) et serait également contraire à l’approche que rend maintenant obligatoire le paragraphe 27(5) de la Loi sur les brevets dans sa version modifiée.

 

            8.2. Le brevet 007

[399]       La Cour estime qu’Apotex a établi suivant la prépondérance des probabilités que lorsqu’on réalise le procédé divulgué à la page 3053 [triphénoxy-dichlorures (b)] de Rydon (exemple B), qui prévoit expressément la réaction de TPP avec du Cl dans de l’hexane (un solvant inerte anhydre) dans des proportions équimolaires, on obtient nécessairement un composé relevant de la formule exposée à la revendication 1 et donc contrefaisant. Le procédé contreferait aussi nécessairement la revendication 8 (une revendication de procédé), qui ne prévoit pas d’ordre obligé pour l’addition du Cl et du TPP.

 

[400]       Lilly ne contestait plus ce fait à la fin de l’instruction. M. Baldwin a admis dès le début de son témoignage que Rydon aurait nécessairement provoqué la formation du complexe cinétique en effectuant cette expérience particulière[141].

 

[401]       Le point de savoir si quelqu’un savait ou non que le composé cinétique était produit n’est pas pertinent, pas plus que le fait que ce composé disparaissait s’il n’était pas stabilisé ou utilisé rapidement. Nous avons là une parfaite analogie avec les cas examinés, et une application directe des principes établis et suivis, par la Cour d’appel fédérale dans Abbott (2006) [142] (paragraphe 22), et par la Chambre des lords dans l’arrêt Merrell Dow Pharmaceuticals Inc., mentionné plus haut.

 

[402]       Les parties ont débattu la question de savoir si les revendications pouvaient être antériorisées lorsque le document d’art antérieur ne divulguait pas clairement le fait que le composé le plus rapidement formé par cette réaction était un composé halogénant. Comme je le disais plus haut, je n’interprète pas la revendication 1 comme une « revendication d’utilisation ». Mais même si je me trompais sur ce point, j’appliquerais les principes formulés et appliqués par mon collègue le juge Hugues aux paragraphes 71 à 75 d’ Abbott (2008), et je conclurais que les revendications 1 et 8 sont néanmoins antériorisées.

 

[403]       Il y a aussi lieu d’examiner plus avant ce qui est divulgué dans les documents Coe et Rydon à propos de l’halogénation. La Cour conclut de l’ensemble de la preuve (en particulier du témoignage de M. Baldwin) qu’Apotex n’a pas établi qu’un composé visé par les revendications du brevet 007 participerait nécessairement au processus d’halogénation décrit dans ces documents d’art antérieur (notamment à la page 2285 de Coe et à la page 3049 de Rydon) si l’on suivait les instructions de ces documents pour la préparation des halogénures alkylés à partir de la réaction de TPP, de Cl et d’alcool sans solution (absolu), et ce, même dans le cas où la réaction serait exécutée in situ.

 

[404]       Malgré cela, la Cour est également convaincue que le complexe cinétique formé au moyen du procédé décrit par Rydon à la page 3053 (exemple B) est en fait un composé halogénant.

 

[405]       La Cour note que les revendications examinées dans Abbott (2006) décrivaient aussi le composé dont la Cour d’appel a conclu qu’il était antériorisé en tant qu’antibiotique. Cette dernière a estimé que cela ne suffisait pas pour valider la revendication. La raison en est, je crois, que les revendications considérées dans Abbott (2006), comme celle qui nous occupe, n’étaient pas des revendications d’« utilisation » et qu’on ne faisait référence aux halogènes ou aux antibiotiques que pour décrire le composé revendiqué.

 

[406]       Les parties conviennent que si les revendications 1 et 8 sont antériorisées, la seule autre revendication du brevet 007 qui exige une décision est la revendication 17. Je ne crois pas qu’Apotex conteste le fait que ni Coe ni Rydon ne divulguent un objet dont la réalisation contreferait la revendication 17. En effet, il paraît indiscutable qu’on ne pourrait contrefaire cette revendication sans utiliser un solvant qui serait un hydrocarbure aromatique ou halogéné.

 

[407]       On ne trouve dans Rydon (page 3052) qu’une seule expérience où le chlorobenzène (hydrocarbure aromatique ou halogéné remplissant la fonction de solvant) soit utilisé pour exécuter une réaction entre le Cl et le TPP. Cependant, dans cette expérience, le ratio du Cl au TPP était de 1 à 2, de sorte que ce procédé ne pourrait pas contrefaire le procédé que décrit la revendication 17, qui exige l’utilisation de quantités équivalentes de ces deux substances.

 

[408]       Apotex soutient que l’utilisation d’un solvant aromatique ou halogéné n’a pas de valeur inventive et que par conséquent, [traduction] « il n’y a pas d’objet brevetable distinct ». Il se peut que cet élément essentiel de la revendication 17 soit dépourvu de valeur inventive, mais l’examen de cette question est distinct de celui qui sert à établir si l’invention y revendiquée présente le caractère de la nouveauté. Je conclus que cette revendication n’est pas antériorisée par ce que divulguent Coe ou Rydon.

 

            8.3. Les brevets de procédé de Lilly

[409]       Apotex paraît soutenir, à la page 57 de son mémoire sur l’invalidité, que les brevets de procédé de Lilly sont antériorisés simplement parce que le complexe triarylphosphite-halogène, l’un des éléments essentiels de toutes les revendications de ces brevets, n’était pas nouveau[143]. Cependant, dans ses conclusions complémentaires portant spécialement sur les conséquences de Sanofi, Apotex ne dit rien de ces brevets sous la rubrique de l’antériorité. La Cour en déduit qu’Apotex a abandonné l’argument voulant que ces brevets de procédé soient antériorisés.

 

[410]       Pour le cas où il n’en serait pas ainsi, la Cour a soigneusement examiné tous les documents d’art antérieur invoqués à propos des brevets de procédé de Lilly, ainsi que les rapports des experts d’Apotex. Elle conclut de cet examen qu’il n’y a pas une seule antériorité qui divulgue la totalité des éléments essentiels des revendications en litige de ces brevets de procédé. Par conséquent, aucun objet divulgué dans quelque document antérieur que ce soit, pris isolément, ne contreferait nécessairement ces brevets s’il était réalisé.

 

            8.4. Les brevets de Shionogi

[411]       Apotex ne soutient pas que les brevets de Shionogi ne présentent pas le caractère de la nouveauté. Elle reconnaît que les revendications de composé par procédé de trois de ces brevets sont effectivement nouvelles et qu’aucun des procédés qu’elles décrivent n’a jamais été exécuté sur les composés particuliers qui y sont également décrits.

 

9. L’évidence

            9.1. Le critère juridique

[412]       Les brevets ici considérés relèvent de la version de la Loi sur les brevets qui était en vigueur avant le 1er octobre 1989, laquelle ne prévoit pas explicitement de critère pour l’évidence. Comme l’a fait observer le juge Rothstein dans Sanofi, la doctrine de l’évidence a plutôt été élaborée par déduction nécessaire à partir de la définition du terme « invention » donnée à l’article 2 de la Loi sur les brevets.

 

[413]       La Cour suprême du Canada a passé en revue dans Sanofi les principes juridiques applicables à la question de l’évidence et en a profité pour formuler des lignes directrices propres à orienter en pratique l’examen de cette question. Le juge Rothstein écrit ainsi au paragraphe 67 de cet arrêt :

Lors de l’examen relatif à l’évidence, il y a lieu de suivre la démarche à quatre volets d’abord énoncée par le lord juge Oliver dans l’arrêt Windsurfing International Inc. c. Tabur Marine (Great Britain) Ltd., [1985] R.P.C. 59 (C.A.). La démarche devrait assurer davantage de rationalité, d’objectivité et de clarté. Le lord juge Jacob l’a récemment reformulée dans l’arrêt Pozzoli SPA c. BDMO SA, [2007] F.S.R. 37, [2007] EWCA Civ 588, par. 23 :

 

[traduction] Par conséquent, je reformulerais comme suit la démarche préconisée dans l’arrêt Windsurfing :

 

(1) a) Identifier la « personne versée dans l’art »;

b) Déterminer les connaissances générales courantes pertinentes de cette personne;

(2) Définir l’idée originale de la revendication en cause, au besoin par voie d’interprétation;

(3) Recenser les différences, s’il en est, entre ce qui ferait partie de « l’état de la technique » et l’idée originale qui sous-tend la revendication ou son interprétation;

(4) Abstraction faite de toute connaissance de l’invention revendiquée, ces différences constituent-elles des étapes évidentes pour la personne versée dans l’art ou dénotent-elles quelque inventivité? [...]

 

La question de l’« essai allant de soi » se pose à la quatrième étape de la démarche établie dans les arrêts Windsurfing et Pozzoli pour statuer sur l’évidence.

 

[Souligné dans l’original.]

 

Quand il s’avère difficile de définir le concept inventif ou l’étape inventive (l’« idée originale »), les observations formulées par la Cour d’appel anglaise dans Pozzoli SPA c. BDMO SA, [2007] EWCA Civ 588, se révèlent utiles, en particulier celles des paragraphes 19 à 21 :

[traduction]

 

19. Dans certains cas, les parties ne peuvent s’entendre sur la nature du concept. Si l’on n’y prend pas garde, un tel désaccord peut dégénérer en débat accessoire inutile. En dernière analyse, ce qui importe, c’est la différence ou ce sont les différences entre ce qui est revendiqué et l’art antérieur. Ce sont ces différences qui constituent l’« étape » à examiner à la quatrième phase. Donc, quand un désaccord sur le concept inventif d’une revendication menace de se compliquer à l’excès, le plus sage est de l’oublier et de s’attacher simplement aux caractéristiques de la revendication.

 

20. Dans d’autres cas, cependant, il n’est pas nécessaire d’aborder des aspects plus subtils de l’interprétation, le concept s’avérant passablement évident même sans qu’on y recoure; dans Windsurfing, par exemple, c’était le concept de la « voile libre ». Dans d’autres cas encore, il n’est même pas utile d’essayer de définir un concept; il en va souvent ainsi pour les revendications visant des classes de produits chimiques, pour citer un bon exemple.

 

21. Il est aussi à noter que la phase de la définition du concept n’est pas le moment où l’on prend en considération l’art antérieur. On ne se pose pas à cette phase la question de savoir ce qui était nouveau. Bien sûr, il se peut que la revendication définisse ce qui était déjà connu (souvent au moyen d’une clause de pré-caractérisation) et ce que le breveté estime être nouveau (s’il y a une clause de caractérisation), mais cela n’a pas d’importance à cette phase.

 

[414]       Dans Sanofi, la Cour suprême du Canada a également clos le débat sur le point de savoir si le critère de l’« essai allant de soi » devrait être appliqué au Canada et, si oui, dans quelles circonstances (voir les observations générales des paragraphes 62 à 66 et 68). La Cour s’inspirera à ce propos des principes formulés aux paragraphes 69 à 71 de cet arrêt, qui se révèlent pertinents lorsqu’on arrive à la quatrième phase de l’examen relatif à l’évidence[144].

 

[415]       La Cour a déjà examiné le concept des connaissances générales courantes, qui est pertinent aussi bien pour l’interprétation de la revendication que pour l’examen relatif à l’évidence. Une revendication peut être considérée comme évidente sur le fondement, soit des connaissances générales courantes seulement, soit d’une publication lue par une personne versée dans l’art à la lumière des connaissances générales courantes.

 

[416]       Avant d’étudier l’application du droit aux brevets en litige, il serait peut-être utile de dire quelques mots sur l’établissement d’une « mosaïque », étant donné qu’il s’agit là d’une question que la Cour doit trancher avant de pouvoir prendre en considération ensemble des publications d’art antérieur distinctes qui ne font pas nécessairement partie des connaissances générales courantes.

 

[417]       Commençons par citer un passage de Terrell[145] (paragraphe 7‑62) :

[traduction] L’établissement d’une « mosaïque » de publications ou d’utilisations antérieures distinctes n’est pas permis, à moins qu’on ne puisse démontrer que la personne versée dans l’art à l’examen de qui une telle réalisation antérieure est proposée en consulterait une autre pour compléter l’information fournie par la première. Le point de savoir si elle le ferait est une question de fait.

 

 

[418]       Il paraît également utile de reproduire les observations formulées par le juge Hugh Laddie au paragraphe 66 de Lilly ICOS LLC c. Pfizer Ltd. (2000), 59 BMLR 123 (Ch. Pat.), [2001] F.S.R. 16 :

[traduction] Concernant toute pièce d’art antérieur examinée dans le cadre d’une contestation fondée sur l’évidence, la question à se poser est : « Que penserait et que ferait le destinataire versé dans l’art sur la base de cette divulgation? » Il examinera cette divulgation antérieure à la lumière des connaissances générales courantes, et il se peut que dans certains cas lui paraisse aussi aller de soi l’idée de compléter ladite divulgation en consultant d’autres documents publics d’accès facile. Il est particulièrement probable qu’il agira ainsi si l’antériorité invoquée l’y incite en renvoyant explicitement à d’autres publications. Cependant, je ne pense pas que cette possibilité se limite aux cas de renvoi explicite. Par exemple, si la pièce d’art antérieur invite la personne versée dans l’art à utiliser un membre d’une classe de substances à une fin particulière, et si elle sait très bien où et comment trouver des renseignements sur les membres de cette classe, elle le fera, et cette opération de mise à contribution d’autres renseignements est elle-même une conséquence allant de soi de la divulgation antérieure.

 

 

[419]       Plus récemment, le juge David Kitchin, cité deux fois par la Cour suprême du Canada dans Sanofi[146], formulait les observations suivantes aux paragraphes 83 et 84 de Scinopharm Taiwan Ltd c. Eli Lilly & Co., [2009] EWHC 631 (Pat.), [2009] All ER (D) 282 (Mar)[147] :

[traduction]

 

83. Il y a un autre point qu’il est bon de relever à la présente étape. La cause de Scinopharm dépend en partie du point de savoir si l’on peut lire ensemble diverses publications antérieures. Elle soutient qu’il est permis de le faire si elles appartiennent au même domaine technique. Je ne le pense pas. À mon sens, il n’est permis de lire deux documents ensemble que si cela va de soi, ainsi que l’a bien fait comprendre la Cour d’appel dans Smithkline Beecham c. Apotex Europe [2005] FSR 23, paragraphe 96 :

 

« 96. Je pense que le juge a ici commis une erreur de principe. La personne versée dans l’art dispose des connaissances générales courantes – qui sont les outils de son métier –, mais de rien de plus. Le droit de l’évidence suppose qu’on puisse lui proposer n’importe quelle pièce d’art antérieur et qu’elle la lira à la lumière de ces connaissances. La pièce d’art antérieur fait partie de ce qu’on appelle « l’état de la technique ». Il ne lui est pas permis de relier simplement une pièce d’art antérieur à une autre, à moins que cette mise en relation ne soit elle-même dénuée de caractère inventif. Personne ne conteste ce qu’écrivait lord Reid à la page 355 de Technograph c. Mills & Rockley [1972] RPC 346 :

 

"Lorsqu’on examine la question de l’évidence, par opposition à celle de la nouveauté, il est permis d’établir une ‘mosaïque’ à partir des documents pertinents, mais ce doit être une mosaïque que peut établir une personne dénuée d’imagination et de faculté inventive." »

 

84. La question de savoir s’il va de soi de lire deux documents ensemble est à examiner à la lumière des faits particuliers de chaque espèce. Parmi les facteurs pertinents à prendre en considération pour y répondre, notons les point de savoir si l’un des deux documents renvoie à l’autre, et si révélerait l’un d’entre eux ou les deux la sorte de recherche documentaire qu’effectuerait normalement la personne versée dans l’art avant d’essayer de trouver une solution au problème sur lequel porte le brevet.

 

[420]       On a aussi débattu la question de l’utilisation des réalisations postérieures, qui appelle certaines observations.

 

[421]       Il est évident que, dans certaines circonstances particulières, les publications parues après la date de dépôt[148] peuvent être considérées comme des éléments de preuve établissant ce qui était généralement connu ou faisait partie de l’état de la technique au moment pertinent. Par exemple, l’article de Sammes[149], qui se présente comme une récapitulation de la chimie récente des antibiotiques à β‑lactamine, pourrait servir à établir ce qu’aurait révélé une recherche diligente dans le domaine en question[150], même s’il a été publié après la date pertinente. En effet, cet article porte expressément que les publications qu’il examine ont été choisies parmi celles qui ont paru jusqu’au début de 1974[151], et qu’il a pour objet de compléter des ouvrages et articles récents publiés largement avant la date de dépôt (dont les experts n’ont pas du tout parlé)[152]. À la fin de l’instruction, les parties étaient d’accord pour dire que les publications auxquelles renvoie cet article faisaient partie des connaissances générales courantes du destinataire de tous les brevets de procédé considérés.

 

[422]       Apotex soutient que Tseng et Michalski peuvent servir à montrer ce que la personne versée dans l’art aurait appris de la reproduction des expériences décrites dans Rydon et dans Coe, avec l’avantage de la spectroscopie de RMN du 31P.

 

[423]       La Cour convient que ces éléments peuvent être admissibles en preuve s’ils sont présentés par un expert, mais il faut se garder de l’excès qui consisterait à considérer ces réalisations sur le même pied que l’art antérieur. Par exemple, on ne peut simplement conclure, de ce que l’article ne fait pas mention de l’invention à l’examen, que son auteur n’était pas au courant de celle‑ci. Il arrive souvent que, une fois déposée la demande de brevet, l’inventeur discute plus librement de ses découvertes avec ses collègues et des amis extérieurs à son institution, et pas nécessairement dans le contexte de conférences publiques. Il peut donc se révéler très difficile d’établir avec certitude si l’auteur d’une publication postérieure a vraiment écrit sans connaître l’invention. C’est manifestement là l’une des principales raisons pour lesquelles on considérait avant 1989 la date de l’invention comme la date pertinente aux fins de l’examen relatif à l’évidence[153].

 

[424]       En outre, si elle ne dispose pas d’éléments de preuve sur les auteurs ou provenant d’eux, comment la Cour saura‑t‑elle si ce qu’ils ont fait correspond à ce que la personne versée dans l’art (critère objectif) aurait fait avant la date de dépôt? Les auteurs étaient-ils exceptionnellement compétents? Étaient-ils inventifs? Sont-ils allés au‑delà de ce qu’aurait normalement fait la personne versée dans l’art? Avaient-ils des motifs particuliers de faire ce qu’ils ont fait? Tout cela pour dire que la force probante d’éléments de cette nature dépendra des circonstances, en particulier de la preuve de l’expert qui les utilise et, souvent, du point de savoir si l’on s’en sert simplement pour confirmer une opinion formée de manière indépendante par un expert que la partie adverse peut contre-interroger.

 

[425]       La Cour appliquera maintenant ces principes aux brevets considérés.

 

            9.2. Le brevet 007 (la revendication 17)

[426]       Apotex affirme avoir établi que la mise en œuvre de la méthode décrite dans Rydon, soit la réaction entre des quantités équivalentes de Cl et de TPP, produirait nécessairement le complexe cinétique[154]. Ainsi, la personne versée dans l’art qui mettrait en œuvre la méthode enseignée par l’art antérieur ou des variantes attendues de celle‑ci avec l’aide de la spectroscopie de RMN du 31P[155] découvrirait aisément qu’elle produit ce qu’on appelle le complexe cinétique.

 

[427]       Apotex ajoute qu’il serait plus ou moins évident pour la personne versée dans l’art que des hydrocarbures aromatiques ou halogénés (tels que le chlorure de méthylène ou le chlorobenzène) peuvent être utilisés comme solvants avec succès dans un tel procédé.

 

                        9.2.1. La personne versée dans l’art

[428]       Je me fonderai sur la définition donnée au paragraphe 92 de la personne versée dans l’art.

 

                        9.2.2. Les connaissances générales courantes pertinentes

[429]       La Cour estime qu’il a été établi que la personne versée dans l’art connaîtrait bien les hydrocarbures aromatiques et halogénés à fonction de solvants dont il est question dans la revendication 17, notamment le chlorure de méthylène et le chlorobenzène. La personne versée dans l’art serait également au fait des propriétés de tels solvants[156].

 

[430]       La personne versée dans l’art connaîtrait bien aussi la spectroscopie de RMN du 31P et saurait en pratique comment l’utiliser, s’il y avait lieu, pour identifier les composés phosphorés.

 

[431]       La dismutation est un procédé chimique de nature générale que connaîtrait aussi la personne versée dans l’art.

 

9.2.3. Rydon, Coe et Ramirez

[432]       Il est clair que les articles de Rydon et Coe font partie de l’art antérieur pertinent étant donné qu’ils sont expressément reconnus comme tels dans le brevet[157]. Toutefois, Lilly conteste l’idée qu’ils font partie des connaissances générales courantes de la personne versée dans l’art parce que les experts ne s’entendent pas sur leur signification et sur ce qu’ils enseignent exactement. Les demanderesses soutiennent également qu’Apotex n’a fourni aucun élément de preuve direct à cet égard. Étant donné que le brevet lui‑même admet le contenu de ces articles, un tel débat est futile et ne peut avoir aucune incidence sur ma conclusion à l’égard de l’évidence.

 

[433]       Apotex et ses experts ont passé beaucoup de temps à expliquer pourquoi ils sont d’avis que ce qui est qualifié de produit thermodynamique et est décrit comme un dihalogénure ((PhO)3PCl2) dans le brevet 007 est en fait, selon eux, le monohalogénure ((PhO)4PCl) dont il est question dans Rydon, alors que le composé cinétique serait le dihalogénure. MM. Modro et Olah ont aussi expliqué leur conception des diverses réactions qui se produisent, y compris pourquoi, selon eux, le produit thermodynamique résulte d’une dismutation du produit cinétique.

 

[434]       Aux fins qui nous intéressent, il n’y a pas lieu de déterminer la stœchiométrie du produit thermodynamique, surtout si l’on considère que M. McClelland ne semblait pas d’accord avec MM. Modro, Chivers et Olah et a affirmé, au cours de son contre‑interrogatoire, que, de toute manière, la nature du produit thermodynamique est encore mal connue aujourd’hui. M. Chivers a aussi convenu que deux experts pouvaient interpréter différemment Rydon. À cet égard, M. Baldwin a sagement convenu qu’il ignorait la réponse. Pour lui, ces publications étaient difficiles à lire et à comprendre, et rien n’indique que les auteurs aient reconnu l’importante du [traduction] « produit intermédiaire formé le premier ».

 

[435]       Tous reconnaissent que ni Rydon, ni Coe, ni Ramirez, ni aucune autre publication dont il sera question en relation avec le brevet 007 ne font mention de la dismutation pour expliquer le lien entre le monohalogénure et le dihalogénure décrits dans Rydon. En ce qui concerne les divers mécanismes en jeu, y compris la réaction entre le Cl et le TPP, M. Hunter a souligné qu’il faudrait être titulaire d’un doctorat dans ce domaine pour bien les comprendre.

 

[436]       Aux fins qui nous intéressent, il suffit de dire que Rydon et Coe enseignent au moins ce qui suit[158] :

 

  • La réaction entre le Cl et le TPP est très complexe et certains mécanismes sont encore considérés comme obscurs ou mal connus. (Rydon, page 3044)

 

  • En théorie[159], le système peut contenir jusqu’à 45 espèces, la plupart en équilibre (forme covalente/forme ionique)[160]. Selon les conditions réactionnelles employées, notamment la température, la concentration et les solvants, différentes espèces seront produites [traduction] « et la solubilité jouera un grand rôle pour déterminer la nature de la phase solide se séparant de la solution ». (Rydon, page 3045)

 

·        Les auteurs ont signalé et mis à l’essai neuf solides cristallins, dont six étaient décrits dans Coe comme des dihalogénures (voir Rydon, page 3043). Certains composés produits par les auteurs n’ont pas pu être obtenus sous forme purifiée[161].

 

  • Quelle que soit la vraie nature ou la stœchiométrie de ces composés, Rydon indique ce qui suit :
    1. La réaction entre le Cl et le TPP selon un ratio de 1 pour 2 dans le chlorobenzène produit un tétraphénoxychlorure, un monohalogénure[162]. (page 3052)
    2. La réaction entre le Cl et le TPP selon un ratio de 1 pour 1 sans solvant produit un triphénoxydichlorure, un dihalogénure. (page 3053, triphénoxy‑dichlorures A)
    3. La réaction entre le Cl et le TPP selon un ratio de 1 pour 1 dans l’hexane produit un triphénoxydichlorure, un dihalogénure. (page 3053, exemple B)
    4. La réaction entre le Cl et le TPP selon un ratio de 1 pour 1 dans l’acétonitrite produit un triphénoxydichlorure, un dihalogénure. (page 3053, triphénoxy‑dichlorures C)

 

  • En ce qui concerne l’halogénation, Coe n’a testé que le ou les produits de la réaction entre le Cl et le TPP sans solvant[163]. Rydon a noté que [traduction] « les monohalogénures pourraient présenter certains avantages par rapport aux dihalogénures employés auparavant pour la production d’halogénures d’alkyle[164] ». (Pied de page omis, page 3044)

 

[437]       Je passerai maintenant à l’article de Ramirez, que M. Olah a décrit comme un pionnier en spectroscopie RMN du 31P. Dans cet article, les auteurs tentaient d’obtenir un échantillon pur de pentaphénoxyphosphorane et de l’analyser. À cet égard, ils suivaient les travaux amorcés en 1927 et que d’autres auteurs avaient poursuivi en 1959. Il semble que ces tentatives se sont soldées par l’obtention de mélanges de dichlorotriphénoxyphosphorane et d’autres matières, ce qui a amené les auteurs à réévaluer les mécanismes divulgués auparavant dans Rydon. Même si ces auteurs donnent peu de détails au sujet de leurs expériences, la Cour estime qu’une personne peut raisonnablement[165] déduire de la mention relative à l’ajout de Cl au TPP dans une solution d’hexane afin de réévaluer la méthode de synthèse d’un dichlorure de triphénylphosphite (dichlorotriphénoxyphosphorane) déjà divulguée[166] qu’ils ont suivi la méthode figurant à l’exemple B, page 3053, de Rydon, seule méthode de synthèse dans l’hexane connue déposée en preuve devant la Cour. Les auteurs ont fait sécher le précipité obtenu et ont tenté en vain de le purifier (cette étape ne fait pas partie de la méthode présentée à l’exemple B). Ils ont noté que :

[traduction] Tout ce qu’on peut dire sur cette substance c’est que, en solution dans le CH2Cl2, elle ne donne qu’un seul signal dans le spectre RMN du 31P. Le déplacement chimique ne varie pas significativement dans plusieurs solvants différents.

 

[page 3509]

 

Ce déplacement était de ‑22,8[167] et les auteurs l’ont attribué à ce qu’ils considéraient comme du dichlorotriphénoxyphosphorane, soit le dihalogénure dont il est question dans Rydon[168].

 

9.2.4. L’idée originale

[438]       L’idée originale de la revendication 17 repose sur le fait que la réaction entre des quantités équimolaires de triarylphosphate et de Cl ou de Br dans un hydrocarbure aromatique ou halogéné (solvant) donne un composé intermédiaire qui est le produit de la réaction se formant le plus rapidement : le complexe cinétique.

 

9.2.5. Les différences entre les connaissances générales courantes et les publications susmentionnées et l’idée originale

[439]       En ce qui concerne les quantités équimolaires de Cl et de TPP[169], le seul solvant utilisé dans Rydon et Coe était l’hexane, qui n’est ni un hydrocarbure aromatique ni un hydrocarbure halogéné.

 

[440]       Bien qu’il soit évident, comme je l’ai déjà mentionné, que, par suite de la réaction dont il est question dans Rydon et Ramirez, il s’est d’abord formé un composé intermédiaire, il n’y est mentionné nulle part que cette réaction produit un composé intermédiaire et que ce composé (premier composé) se transforme avec le temps en un deuxième composé (composé final).

 

9.2.6. Ces différences seraient‑elles évidentes pour la personne versée dans l’art?

[441]       Apotex allègue que l’utilisation du chlorobenzène ou du chlorure de méthylène (hydrocarbure aromatique ou halogéné) comme solvant était une option valable et qu’il allait de soi qu’ils seraient adéquats, en particulier pour soumettre les céphalosporines à des réactions chimiques.

 

[442]       Selon la défenderesse, Rydon a décrit l’utilisation du chlorobenzène, et le fait que la méthode employée faisait appel à des quantités non équivalentes de réactifs (ratio 2:1) n’est pas pertinent. Le choix d’un solvant particulier n’est pas inventif.

 

[443]       Au départ, la Cour a accueilli favorablement cet argument, mais, après un examen plus approfondi des éléments de preuve, elle s’est rendu compte qu’elle avait fort bien pu être influencée par les connaissances divulguées dans le brevet 007. À cette étape, il est d’une importance majeure de ne pas considérer la preuve avec le recul.

 

[444]       Contrairement à son habitude, Apotex a présenté des arguments oraux et écrits extrêmement brefs sur ce point (voir le paragraphe 112 de son mémoire sur la validité; la page 7 de ses observations en réponse; et les paragraphes 60 à 62 de ses observations sur les implications de Sanofi).

 

[445]       Ces arguments reposent essentiellement sur le contre‑interrogatoire de M. Baldwin, qui a affirmé que la personne versée dans l’art connaîtrait les caractéristiques de solubilité requises pour l’utilisation de solvants en chimie des céphalosporines. De plus, l’avocat d’Apotex a souligné que, dans Ramirez, quel qu’ait été le produit présent dans l’échantillon analysé par RMN du 31P, il était soluble dans le chlorure de méthylène.

 

[446]       Tout d’abord, en ce qui concerne les connaissances que posséderait la personne versée dans l’art sur les solvants adéquats en chimie des céphalosporines, vu la définition de cette personne donnée dans le brevet 007, on peut s’interroger sur la pertinence de cet élément de preuve. Comment et pourquoi une personne versée dans l’art, telle qu’elle est définie, en arriverait‑elle à utiliser le produit cinétique pour soumettre les céphalosporines à des réactions chimiques? Selon M. Baldwin, une telle utilisation était inventive (voir ci‑après l’analyse des brevets de procédés de Lilly).

 

[447]       Il me semble que, si un solvant est évident pour quelque motif que ce soit, cela suffit pour conclure le présent examen à l’égard de cet élément de l’idée originale. Par conséquent, Apotex n’avait pas besoin de montrer que l’utilisation de tels solvants était évidente pour ce type de procédé chimique.

 

[448]       En ce qui concerne le deuxième argument fondé sur Ramirez, la Cour constate que la réaction entre le Cl et le TPP a été réalisée dans l’hexane et qu’aucun des experts n’a indiqué que cette publication leur avait montré que le dihalogénure dont il est question dans Rydon serait produit par suite d’une réaction dans le chlorure de méthylène.

 

[449]       Apotex n’a certainement pas expliqué comment la Cour devrait traiter le témoignage de M. Modro, dont les commentaires sur la revendication 17 semblent contredire l’argument actuel d’Apotex selon lequel Rydon a divulgué l’utilisation du chlorobenzène ou d’un hydrocarbure aromatique comme solvant pour obtenir un dihalogénure. En effet, totalement instruit des éléments divulgués dans Ramirez et Tseng, M. Modro a dit, aux paragraphes 76 et 77 de son rapport (A‑13), que, vu la déclaration figurant à la page 3044 de Rydon et le fait que la réaction qui y est décrite s’est traduite par la formation d’un monohalogénure (chlorure de tétraphénoxyphosphore), Rydon montrait que l’utilisation du chlorobenzène ne permet pas d’obtenir le produit cinétique revendiqué dans le brevet 007[170].

 

[450]       Après avoir soigneusement examiné la preuve et pris en considération les raisons expliquant les moyens utilisés pour la découverte et les détails de cette dernière, la Cour conclut qu’Apotex n’a pas établi, selon la prépondérance des probabilités, qu’il aurait été plus ou moins évident que l’utilisation comme solvant d’un hydrocarbure aromatique ou halogéné pour effectuer la réaction décrite à la page 3053 de Rydon (exemple B) aboutirait à la production du même composé que celui obtenu avec l’hexane, en particulier qu’elle aboutirait à la production du dihalogénure décrit dans Rydon.

 

[451]       Selon moi, c’est suffisant pour conclure que la revendication 17 n’est pas évidente. Qu’il soit possible ou non d’identifier le composé formé au moyen de la spectroscopie RMN du 31P n’est pas pertinent si, en fait, les enseignements de Rydon éloignent de l’utilisation du solvant revendiqué.

 

[452]       Toutefois, comme cette question pourrait être poussée plus loin, il vaut la peine de revoir les éléments de preuve relatifs à ce que la personne versée dans l’art apprendrait par la supposée utilisation régulière de cette technologie, d’autant plus que ces éléments et mes conclusions à leur sujet auront une incidence sur la décision concernant le caractère évident des brevets de procédés de Lilly, en particulier l’aspect de l’invention revendiquée qui concerne la stabilisation du produit cinétique au moyen d’une base tertiaire.

 

[453]       Manifestement, la première difficulté à laquelle doit faire face Apotex consiste à expliquer la conclusion de Ramirez, qui contredit son argument voulant qu’on puisse rapidement identifier le composé intermédiaire de la réaction formé en premier lieu en utilisant simplement la technologie de RMN du 31P[171].

 

[454]       À cette fin, elle s’appuie sur les expériences menées par M. Modro de même que sur celles de Tseng et Michalski.

 

[455]       Pour déterminer le poids à accorder à chaque élément de preuve (en particulier les réalisations postérieures), la Cour évaluera brièvement comment les experts d’Apotex ont utilisé cette information.

 

[456]       M. Chivers a conclu que la personne versée dans l’art pourrait comprendre la nature du composé cinétique et identifier ce composé en s’appuyant sur les expériences réalisées par M. Modro, qui a procédé à des tests de RMN du 31P et a analysé l’évolution des données spectrales sur les produits en solution durant 23 heures (voir A‑18, paragraphes 29‑32). M. Chivers n’a fait référence qu’à Tseng et Michalski pour étayer son opinion que le composé thermodynamique possède la formule empirique du (PhO)4PCl (monohalogénure). Étonnamment, M. Chivers ne parle pas du tout de l’incidence de Ramirez, même s’il faisait partie de l’art antérieur auquel aurait eu accès la personne versée dans l’art[172].

 

[457]       M. Modro se sert de Tseng pour confirmer son point de vue que : 1) le tétraphénoxyphosphorane (monochlorure) est le produit thermodynamique décrit dans le brevet 007 (d’après une comparaison du déplacement en ppm observé par Tseng et celui divulgué dans le brevet 007 pour le produit thermodynamique); et 2) le mécanisme d’équilibre en jeu (forme ionique contre forme covalente, qui est très différent du mécanisme de dismutation dont il a déjà été question). Il n’a fait mention ni de Michalski ni de Ramirez[173].

 

[458]       M. Olah est le seul expert qui fait référence à Ramirez. Il affirme que, selon les conclusions de Tseng et Michalski, les auteurs de Ramirez étaient dans l’erreur. M. Olah n’explique pas pourquoi, sans utiliser les connaissances acquises grâce au brevet 007[174], il serait si évident que Rydon et Ramirez étaient tous deux dans l’erreur en identifiant le produit de l’expérience décrite à la page 3053 de Rydon (exemple B) comme un dihalogénure. Quoi qu’il en soit, comme je l’ai déjà dit, la stœchiométrie des composés n’est pas particulièrement pertinente en l’espèce.

 

[459]       M. McClelland fait état du phénomène d’équilibre rapide divulgué dans Rydon, expliqué plus en détail dans Tseng et perfectionné dans Michalski. Ce phénomène explique, selon lui, les différences du nombre de ppm de déplacement signalées pour le produit cinétique. Encore là, il concerne l’équilibre entre la forme ionique et la forme covalente du produit cinétique, et non pas sa transition vers la forme thermodynamique (dismutation).

 

[460]       Cet élément de preuve n’est pas particulièrement utile pour déterminer si, par l’utilisation de cette technologie et la simple répétition du procédé divulgué dans Rydon (exemple B, page 3053), la personne versée dans l’art en serait arrivée à la conclusion que la réaction donne deux produits (le produit intermédiaire, qui est le premier à se former, et le produit final).

 

[461]       M. McClelland a affirmé lors de son contre‑interrogatoire que l’inversion de l’ordre d’ajout des réactifs, comme l’a fait Tseng, était une variation courante de la méthode de Rydon (exemple B, page 3053). La Cour admet ce témoignage et note qu’il est d’une certaine manière corroboré par le témoignage de M. Blaszczak sur la découverte, lorsqu’il parle de ce que M. Fisher a fait[175].

 

[462]       Toutefois, il n’y a pas d’éléments de preuve similaires en ce qui concerne la méthode et la température utilisées par les auteurs de Michalski lorsqu’ils ont fait réagir le TPP avec l’halogène. La différence par rapport au procédé divulgué dans Rydon était très claire, et rien n’indique qu’il s’agissait simplement d’une variation à laquelle la personne versée dans l’art aurait couramment eu recours[176] avant la date de dépôt. La Cour n’est pas prête à présumer que ce que décrit Michalski était ce que la personne versée dans l’art ferait normalement si elle souhaitait simplement identifier le produit formé par la méthode de Rydon, par rapport au fait de se lancer dans un projet de recherche complet pour élucider le mécanisme de réaction entre le TPP et l’halogène[177].

 

[463]       Cela étant dit, rien n’indique que la méthode utilisée (RMN du 31P) pour les expériences décrites dans Ramirez n’était pas conforme à la pratique de la personne versée dans l’art au moment de la date de dépôt. En effet, rien ne laisse croire qu’il existait une pratique acceptée en ce qui concerne le moment convenable pour mesurer le spectre, par exemple avant ou après les tentatives de purification d’un produit ou dans un certain délai après l’obtention du produit.

 

[464]       Absolument rien ne laisse croire que la personne versée dans l’art aurait systématiquement établi et analysé les spectres de RMN du 31P du produit de la réaction sur une période de 23 heures. En fait, cette façon de faire n’est décrite dans aucune des publications devant la Cour.

 

[465]       Comme il a déjà été mentionné, M. Modro a effectué ce type d’expérience pour Apotex. Il bénéficiait alors des connaissances complètes divulguées dans le brevet 007. La Cour n’admet pas que ces expériences constituent une preuve du type d’expériences courantes qu’une personne versée dans l’art aurait réalisées au moment pertinent.

 

[466]       En fait, il s’avère que, pour attribuer un nombre de ppm de déplacement à un composé donné, il faut avoir une très bonne idée de l’espèce présente dans l’échantillon soumis à l’essai.

 

[467]       Sans avoir pu obtenir un échantillon purifié, Ramirez a attribué avec réserve le déplacement de ‑22,8 (CH2Cl2) au produit qui était « considéré comme » du dichlorotriphénoxyphosphorane (triphénoxydichlorures dans Rydon). Entre temps, Tseng a affirmé que le déplacement de ‑22,5 ppm (dans le chloroforme déutérié) qu’il avait obtenu par suite de la réaction entre le Cl et le TPP sans solvant était « probablement » celui du tétraphénoxyphosphorane, car il était similaire au déplacement signalé pour cette substance par Nesterov dans ce que M. Baldwin a décrit comme une obscure publication russe. En fait, selon M. Baldwin, cette méthode était passablement douteuse. La conclusion de Tseng à ce sujet est certainement contraire aux enseignements de Rydon.

 

[468]       Rien ne laisse croire non plus que Ramirez ou Tseng[178] aient parlé du mécanisme de dismutation mentionné par MM. Modro et Olah. Rien n’indique non plus qu’ils aient clairement et facilement compris ce que ces deux experts estiment évident.

 

[469]       Le fait que Tseng, qui a mesuré un déplacement de +7,7 ppm pour le composé résultant de la réaction entre des quantités équivalentes de TPP et de Cl, ait attribué les deux autres déplacements qu’il a mesurés (dont un de ‑22,5 ppm) à des « impuretés » et non pas à une forme plus stable du premier composé qu’il a obtenu en dit long.

 

[470]       En ce qui concerne la motivation, bien que les travaux de Ramirez, Tseng et Michalski confirment le point de vue selon lequel l’identification des composés divulgués dans Rydon présentait un intérêt, il n’est pas clair que ces auteurs cherchaient à découvrir un composé halogénant. Aucune de leurs expériences ne visait l’halogénation ni l’étude des propriétés des composés de Rydon en tant que réactifs halogénants. Elles ressemblent plutôt à celles réalisées par des chimistes théoriciens intéressés par la réaction mécaniste entre le Cl et le TPP signalée dans Coe et Rydon. Cela étant dit, la Cour admet un certain degré de motivation.

 

[471]       Sanofi montre que, dans certaines circonstances, les moyens par lesquels l’inventeur en est arrivé à l’invention peuvent aider à tirer une conclusion particulière à l’égard de l’évidence.

 

[472]       Un tel examen sera effectivement utile lorsqu’il faudra se pencher sur la question de l’évidence des brevets de procédés de Lilly. Toutefois, la voie suivie par l’inventeur ne jette pas beaucoup de lumière sur la revendication 17 du brevet 007. Elle corrobore essentiellement l’opinion de M. Baldwin que, contrairement aux chimistes théoriciens, les chimistes de synthèse s’appuient davantage sur la réactivité des composés que sur l’utilisation de techniques telles que la spectroscopie RMN du 31P pour caractériser et identifier les composés, à moins d’avoir d’autres motifs que de simplement découvrir un composé halogénant.

 

[473]       Il semble en effet que les inventeurs n’avaient aucun motif d’avoir recours à la spectroscopie RMN du 31P pour caractériser les produits de la réaction entre le TPP et le Cl jusqu’à ce qu’ils aient des difficultés à reproduire l’expérience au cours de laquelle ils avaient réussi à chlorer l’énol sur lequel ils travaillaient[179]. Jusque-là, ils étaient satisfaits de travailler avec tout produit obtenu par suite de la réaction entre des quantités équivalentes de TPP et de Cl dans le solvant qu’ils utilisaient avec leur substrat de céphalosporine. Par conséquent, c’est la découverte que le réactif issu de la réaction était actif dans certaines circonstances et inactif dans d’autres qui a mené à une étude approfondie des produits, de leur stabilité, de leur méthode de formation et de la relation entre leur structure et leur activité.

 

[474]       De plus, l’étape de l’utilisation du TPP et du Cl ne découlait pas des connaissances transmises par Coe et Rydon. En effet, c’est un chimiste d’un autre service de Lilly[180] qui a eu l’idée d’essayer le phosphite comme réactif après avoir discuté avec un étudiant diplômé de Harvard qui travaillait à un projet totalement différent, mais avait observé que les phosphites étaient plus réactifs que les phosphines.

 

[475]       À la lumière de ce qui précède, Apotex n’a pas établi que, en appliquant la méthode décrite à l’exemple B, page 3053, de Rydon avec les avantages de la spectroscopie RMN du 31P, il aurait été plus ou moins évident que le premier produit de réaction à se former était un composé intermédiaire (de nature transitoire). Il n’aurait donc pas été plus ou moins évident pour la personne versée dans l’art qu’elle aurait avantage à stabiliser le composé au moyen d’une base tertiaire[181].

 

            9.3. Les brevets de procédés de Lilly

                        9.3.1. Définition de la personne versée dans l’art

[476]       Je recourrai à la définition de la personne versée dans l’art figurant au paragraphe 92.

 

                        9.3.2. Les connaissances générales courantes pertinentes

[477]       Les connaissances générales courantes décrites concernant le brevet 007 auraient été disponibles au destinataire des brevets de procédés de Lilly versé dans l’art.

 

[478]       Les mémoires descriptifs de ces brevets de procédés établissent clairement que les étapes ou réactions chimiques particulières à réaliser, c.‑à‑d. la réduction du sulfoxyde de céphalosporine, la chloration de l’énol et la formation de l’imino‑halogénure, étaient connues dans l’art antérieur, mais étaient réalisées avec d’autres réactifs.

 

[479]       On savait aussi en 1978 que divers composés de phosphore (dont le PCl5) pouvaient réduire les sulfoxydes en général (contrairement aux sulfoxydes de céphème‑céphalosporine plus complexes examinés).

 

[480]       Il existait un réactif bien connu appelé réactif de Vilsmeier qu’on fabriquait habituellement en transformant du diméthylformamide au moyen de PCl3. On savait aussi que le PCl5, tout comme d’autres composés tels que la phosphine, le chlorure d’oxalyle et le chlorure de thionyle, pouvait être employé avec le diméthylformamide pour produire le réactif de Vilsmeier. Ce réactif ne contient pas de phosphore.

 

[481]       En ce qui a trait à la synthèse des céphalosporines, la personne versée dans l’art savait, en règle générale, comment remplacer un OH en position 3 par un Cl au moyen du réactif de Vilsmeier. Elle savait que ce réactif pouvait permettre de chlorer un énol et de réduire un sulfoxyde. Le PCl5 pouvait ensuite être utilisé comme réactif pour cliver la chaîne latérale 7‑amino. Toutefois, le PCl3 ne pouvait pas être employé seul pour le clivage.

 

[482]       La Cour estime également que, au moment pertinent, la personne versée dans l’art aurait naturellement lu avec une certaine réserve les publications ne traitant pas des céphalosporines. Elle n’aurait simplement pas considéré que les réactions ou réactifs chimiques utilisés dans d’autres domaines et avec des molécules moins complexes pouvaient s’appliquer directement.

 

[483]       En ce qui concerne particulièrement la réduction du sulfoxyde, comme les publications indiquaient que les méthodes usuelles de réduction des sulfoxydes étaient inefficaces avec les céphalosporines, la prudence naturelle décrite dans l’affidavit de M. Baldwin n’en aurait été que plus grande. L’opinion de M. Baldwin à ce sujet est corroborée par un énoncé figurant dans le brevet américain 3,641,014[182]. Ce document indique ce qui suit :

[traduction] il existe une revendication dans la littérature (J. Chem. Soc. (C), 1966, no 13, page 1142) selon laquelle les méthodes usuelles employées pour réduire les sulfoxydes ne permettent pas de réduire les sulfoxydes de ∆3‑céphalosporine en sulfures de ∆3‑céphalosporine. Nous avons confirmé cette observation.

 

[page 2, lignes 47‑51]

 

9.3.3. L’article de Dreux et autres documents d’art antérieur

[484]       Cet article, intitulé « Deoxygenation of Sulfoxides under Mild Conditions with a New Reducing Agent: 2‑phenoxy‑1, 3, 2‑benzo‑dioxaphosphole » et publié par M. Dreux, Y. Leroux et Ph. Savignac dans Synthesis, 1974, p. 506 (TX‑1601, Dreux) est mentionné dans l’article de Drabowicz intitulé « Deoxygenation of Sulfoxide. A Review. », publié dans Organic Preparations and Procedures Int., 1977 (TX‑1602, Drabowicz)[183]. Des discussions ont eu lieu afin d’établir si ces articles faisaient partie des connaissances générales courantes de la personne versée dans l’art au moment pertinent ou même de l’état de la technique, étant donné qu’ils ne font pas partie de la littérature sur les céphalosporines ou les β‑lactamines[184].

 

[485]       Après avoir soigneusement lu ces publications, la Cour estime qu’elle ne doit pas en traiter plus avant. Même si elles avaient fait partie des connaissances générales courantes, cela n’aurait aucune incidence sur la décision finale à l’égard de l’évidence, étant donné que la Cour admet le témoignage de M. Baldwin concernant la façon dont elles auraient été comprises et utilisées par la personne versée dans l’art à l’époque.

 

[486]       Comme le mentionne Drabowicz, Dreux montre que les sulfoxydes de dialkyle, d’alkyle, d’aryle et de diaryle peuvent être réduits à l’aide du phospholane cyclique utilisé avec une quantité catalytique d’iode[185].

 

[487]       Il convient de souligner que Dreux mentionne expressément que le phospholane cyclique [traduction] « semble être un meilleur agent réducteur que le triphénylphosphite, qui, selon les données disponibles,[[186]] est lui‑même un agent réducteur efficace ». (page 506)

 

[488]       En ce qui concerne Drabowicz[187], il est reconnu que, dans cet article, la seule méthode décrite qui s’applique directement aux pénicillines et aux céphalosporines figure à la page 78. L’article renvoie à une publication alors récente de R.G. Micetich[188]. Bien qu’il semble à première vue que la réduction du sulfoxyde s’effectuait avec du pentasulfure de phosphore et de la pyridine, M. Baldwin a expliqué au cours de son contre‑interrogatoire que la réduction du sulfoxyde dans un tel cas n’était pas l’effet du composé phosphoré mais du soufre. Selon lui, il était connu que les composés sulfurés dans cet état de valence étaient de bons agents réducteurs pour de tels sulfoxydes. Le phosphore ne constitue qu’un moyen de transporter le soufre jusqu’au sulfoxyde[189].

 

                        9.3.4. L’idée originale

[489]       L’idée originale dans chacune des revendications en litige[190] était l’utilisation du complexe cinétique – le composé intermédiaire qui se forme le premier par suite de la réaction entre des quantités équivalentes de triarylphosphite et de Cl ou de Br – pour exécuter les étapes décrites dans ces divers brevets, c.‑à‑d. la réduction du sulfoxyde de céphalosporine, la chloration de l’énol et la formation de l’imino‑halogénure.

 

[490]       En outre, certaines des revendications du brevet 468 (par exemple, la revendication 20) et du brevet 536 (par exemple, la revendication 14) prévoient l’utilisation d’une base amine tertiaire (dont la pyridine) pour stabiliser le complexe cinétique. De plus, en ce qui concerne les revendications du brevet 536, l’idée originale comporte l’utilisation d’un capteur d’halogène pour éliminer l’halogène libéré pendant la formation du complexe cinétique afin que la réduction puisse se produire.

 

9.3.5. Les différences entre l’art antérieur incluant les connaissances générales courantes, et l’idée originale des revendications

[491]       Aucun document de l’art antérieur ne divulgue qu’un composé résultant de la réaction entre des quantités équivalentes de TPP (ou d’un autre triarylphosphite) et de Cl ou de Br dans un solvant – encore moins le composé intermédiaire qui se forme en premier lieu[191] – est ou serait utile en chimie des céphalosporines, y compris particulièrement pour l’halogénation d’un énol de céphalosporine[192].

 

[492]       Aucun document de l’art antérieur ne divulgue qu’un réactif contenant du phosphore permet d’halogéner un énol de céphalosporine (le brevet 725), non plus que l’utilisation d’un réactif phosphoré pentavalent permet de réduire le sulfoxyde dans les céphalosporines (le brevet 536).

 

[493]       Aucun document de l’art antérieur ne divulgue que l’utilisation du complexe cinétique pour la réduction du sulfoxyde nécessite l’usage concomitant d’un capteur d’halogène.

 

[494]       Aucun réactif permettant de réaliser toutes les étapes décrites dans le brevet 536 – séparément ou dans le même tube réactionnel (sans devoir isoler) – n’était connu ni divulgué.

 

[495]       Aucun document de l’art antérieur ne divulgue l’utilité de stabiliser ou de maintenir le premier produit à se former par suite de la réaction susmentionnée, ni les moyens d’y parvenir, pour faciliter l’utilisation de ce produit en chimie, particulièrement en chimie des céphalosporines.

 

9.3.6. Ces différences constituent‑elles des étapes qui auraient été évidentes, ou nécessitent‑elles une certaine part d’invention?

[496]       C’est ici, selon Sanofi, que le critère de l’« essai allant de soi » pourrait être utile. Apotex soutient que, en ce qui concerne le type de réactif utilisé pour exécuter ces transformations dans le passé, que ce soit en chimie des céphalosporines ou en chimie organique générale, la personne versée dans l’art aurait considéré comme allant de soi l’idée d’utiliser le composé phosphoré pentavalent résultant de la réaction entre le TPP et le Br ou le Cl divulguée dans Rydon. Elle aurait considéré comme allant de soi que ce composé pouvait être utilisé pour appliquer les procédés chimiques revendiqués.

 

[497]       Comme l’a fait remarquer M. McClelland au cours d’un de ses contre‑interrogatoires, en général, moins on possède de connaissances sur un réactif, plus il est difficile de prédire s’il peut être utilisé avec succès en chimie de synthèse[193].

 

[498]       Encore une fois, le témoignage d’expert présenté par Apotex pour étayer sa thèse au sujet des brevets de procédés de Lilly n’a que peu de valeur probante étant donné qu’aucun des experts ayant émis une opinion sur ces brevets n’était qualifié pour parler de ce que la personne versée dans l’art aurait considéré comme allant de soi.

 

[499]       Comme elle l’a déjà mentionné en ce qui concerne Rydon, Coe, Ramirez et ce que la spectroscopie RMN du 31P pouvait révéler, la Cour n’est pas persuadée que la personne versée dans l’art aurait su que le premier produit à se former au cours de la réaction divulguée dans Rydon était un produit intermédiaire qui se transforme avec le temps. La stabilisation du complexe cinétique grâce à l’utilisation d’une base tertiaire ne pouvait pas être une étape allant de soi pour la personne versée dans l’art qui n’avait pas d’abord saisi la nature transitoire du premier produit à se former au cours de la réaction entre le TPP et le Cl dans le solvant revendiqué.

 

[500]       Lorsqu’il a parlé du brevet 007, M. Modro a souligné que Rydon indiquait expressément le contraire (voir le paragraphe 24(3) de son affidavit, A‑13). Rien n’indique pourquoi la personne versée dans l’art aurait su qu’elle devait utiliser le complexe cinétique (premier composé formé) au lieu du composé thermodynamique (final composé) ou aurait considéré comme allant de soi l’utilisation de ce composé[194].

 

[501]       La Cour a examiné avec soin le contre‑interrogatoire de M. Baldwin étant donné que l’avocat d’Apotex a déployé beaucoup d’efforts pour faire admettre à ce témoin clé certains éléments utiles pour étayer sa thèse. À mon avis, le témoignage de M. Baldwin était très clair. Aucun des documents de l’art antérieur (y compris les connaissances générales courantes seules ou combinées à ces documents) n’aurait incité la personne versée dans l’art à utiliser le complexe cinétique pour exécuter l’un ou l’autre des procédés revendiqués dans les brevets de procédés de Lilly.

 

[502]       Les témoignages d’experts n’ont pas persuadé la Cour que le produit thermodynamique et le produit cinétique auraient fait partie de la liste des réactifs à essayer.

 

[503]       La Cour a présumé ici qu’il existait un motif de trouver un réactif convenable pour exécuter ces étapes étant donné que de nombreuses recherches étaient menées dans le domaine pertinent (chimie des β‑lactamines et des céphalosporines) à l’époque.

 

[504]       Il est certain que Lilly était particulièrement motivée à trouver un tel réactif étant donné qu’elle voulait commercialiser le céfaclor.

 

[505]       Comme il a été mentionné, malgré cela, M. Hatfield et son équipe (particulièrement son technicien de laboratoire, M. Fisher)[195], qui tentaient activement d’améliorer le procédé de Chauvette (en particulier la chloration de l’énol), après avoir mis à l’essai plusieurs des composés candidats potentiels qui figuraient sur leur « liste d’épicerie »[196], comme l’appelle M. Blaszczak, sur une période d’environ deux ans, ont ressenti le besoin de transmettre une demande générale à tous les chimistes chercheurs du groupe des β‑lactamines[197] de Lilly afin d’obtenir des suggestions de réactifs à mettre à l’essai pour la chloration de l’énol.

 

[506]       Comme je l’ai déjà mentionné, M. Blaszczak (un des inventeurs) a eu l’idée d’essayer un « phosphite » après une discussion avec un étudiant diplômé de Harvard qui menait des expériences avec les phosphites dans un contexte totalement différent. L’idée ne lui est pas venue à cause des connaissances générales courantes ni des divulgations dans la littérature[198].

 

[507]       Lorsqu’il en a parlé à MM. Hatfield et Fisher, ces derniers menaient des expériences avec le triphénylphosphine dans le tétrachlorure de carbone et avec le triphénylphosphine dans le chlorure. Cette suggestion les a amenés à remplacer le phosphine par un phosphite dans les réactions qu’ils évaluaient afin de voir ce qui se produirait[199].

 

[508]       Encore une fois, il convient de souligner que l’inventeur du brevet 536 (réduction du sulfoxyde et procédé en trois étapes) n’est pas l’un des inventeurs du brevet 468 ni du brevet 725. En effet, les inventeurs des deux derniers brevets ne se sont pas rendu compte que le complexe cinétique pouvait aussi être employé pour la réduction du sulfoxyde. C’est là un élément particulièrement important lorsqu’on considère que ces inventeurs savaient ce que la personne versée dans l’art ne savait pas à l’époque : que le complexe cinétique permettait l’halogénation de l’énol et la formation de l’imino‑halogénure. Il est également manifeste qu’ils n’ont pas compris que la réduction ne pouvait s’effectuer qu’en présence d’un capteur d’halogène.

 

[509]       Comme je l’ai déjà mentionné, étant donné qu’il n’existait aucun autre réactif reconnu comme assez efficace pour exécuter les trois étapes, encore moins dans un seul tube réactionnel, la Cour ne comprend vraiment pas comment Apotex peut affirmer que la personne versée dans l’art se serait attendue à ce que ledit réactif permette d’obtenir les trois réactions chimiques, que la possibilité d’exécuter ces trois réactions dans un seul tube réactionnel ne constitue pas un résultat synergique et qu’il ne s’agissait que d’un simple cumul d’étapes connues. Aucun des experts n’a contesté la valeur ajoutée attribuable à la possibilité de réaliser ces réactions dans un seul tube réactionnel. De toute évidence, il s’en est suivi une réduction des coûts et une hausse du rendement. M. Hanessian a lui‑même qualifié le complexe cinétique de « réactif magique ». Cette appréciation va dans le même sens que les commentaires de M. Baldwin selon lesquels il avait de nombreuses façons de classer les nouvelles découvertes et que celle‑là se situait dans la plus haute catégorie; que c’est celle à laquelle il aurait bien aimé penser lui‑même[200].

 

[510]       Ce qui s’est produit chez Lilly confirme certainement l’opinion de M. Baldwin. On peut en tirer la conclusion que : i) il n’allait pas de soi qu’il serait utile de mettre à l’essai le produit de la réaction entre le TPP et le Cl, et encore moins le composé intermédiaire formé en premier lieu; et ii) il n’allait pas de soi que ce réactif serait utile dans une ou plusieurs des étapes visées par les brevets de procédés de Lilly.

 

[511]       À la lumière de ce qui précède, la Cour estime qu’Apotex n’a pas réussi à établir que les revendications en litige étaient évidentes.

 

            9.4. Les brevets de Shionogi

[512]       Les experts d’Apotex (MM. Hanessian, Martin et McClelland) se sont appuyés sur diverses publications pour affirmer que les éléments de nature chimique divulgués dans chacun des brevets de Shionogi étaient bien connus et évidents.

[513]       La Cour reconnaît que les connaissances générales courantes des chimistes organiciens feraient partie des connaissances générales courantes de la personne versée dans l’art. C’est uniquement pour cette raison qu’elle a accordé de l’importance au témoignage de MM. McClelland et Martin. Comme il a déjà été souligné, vu leur manque d’expertise, et même l’absence de travaux exécutés par eux sur les β‑lactamines, ces experts n’étaient pas qualifiés pour donner leur opinion sur la façon dont la personne versée dans l’art aurait lu les documents d’art antérieur et sur les connaissances générales courantes (autres que celles acquises lors de ses études de doctorat en chimie organique) qu’elle aurait possédées. Toutefois, leur témoignage concernant les connaissances générales courantes du titulaire d’un doctorat en chimie organique n’ajoute rien aux éléments de preuve fournis par M. Hanessian à cet égard, étant donné qu’il avait inclus dans son rapport les mêmes concepts généraux.

[514]       Par conséquent, la Cour ne formulera de commentaires que sur l’art antérieur et les connaissances générales courantes sur lesquelles s’appuie M. Hanessian. Il s’agit des documents suivants :

                           i.            Le brevet 547.

a.             Ricardo Scartazzini & Hans Bickel, « Neue β‑Lactam‑Antibiotika. Über Derivate der 3-Hydroxy‑7‑amino‑ceph‑3‑em‑4‑carbonsäure. Modifikationer van Antibiotika, 10 Meitteilung » (1974) 57 Helvetica Chimica Acta 1919 (TX‑1587, Scartazzini).

b.            Robert R. Chauvette & Pamela A. Pennington, « Chemistry of Cephalosporin Antibiotics XXIX. 3‑Halo‑ and 3‑Methoxy‑3‑cephems » (1974) 96 Journal of the American Chemical Society 4986 (TX‑1585, Chauvette).

c.             R.D.G. Cooper, & F.L. José, « Structural Studies on Penicillin Derivatives. IX. Synthesis of Thiazoline‑Azetidinones » (1972) 94 Journal of the American Chemical Society 1021 (TX‑1581, Cooper 2).

                         ii.            Le brevet 924

a.             Robert Thornton Morrison & Robert Neilson Boyd, Organic Chemistry, 2nd ed., (Boston: Allyn and Bacon, 1966), p. 667. (TX‑1606)[201].

b.            « 7‑Alpha‑Aminoacyl‑3‑Halogencephalosporine und Verfahren Zu Deren Herstellung », demande de brevet allemand no 2,408,698, publiée le 5 septembre 1974 (demande de Chauvette).

                        iii.            Le brevet 132

a.             « Delta‑2 Cephalosporin Compounds », brevet américain n3,637,678, (13 janvier 1969) (TX‑1583, Webber).

b.            Douglas O. Spry, « Synthesis of C‑2—C‑3‑Tricyclic Cephalosporins » (1973) J.C.S. Chem. Comm. 671 (TX‑1622, Spry).

                       iv.            Le brevet 026

a.             R.B. Woodward et al., « The Total Synthesis of Cephalosporin C1 » (1966) 88 Journal of the American Chemical Society 852 (TX‑1578, Woodward).

b.            « Antibiotika », demande de brevet allemand no 2,400,165, publiée le 18 juillet 1974 (TX‑1586, Cocker).

c.             W. Maas et al., « Mechanism of Enamine Reactions. IV. The Hydrolysis of Tertiary Enamines in Acidic Medium » (1959) 32 Journal of Organic Chemistry IIII 5089 (TX‑1607).

 

                        9.4.1. La personne versée dans l’art

[515]       La personne versée dans l’art à laquelle s’adressent ces brevets a déjà été décrite (voir le paragraphe 75).

 

9.4.2. Les connaissances générales courantes

[516]       Les parties ont convenu[202] que toutes les publications dont il est question dans Sammes faisaient partie de la littérature qui aurait été généralement connue de la personne versée dans l’art au moment pertinent et que cette personne aurait généralement acceptée. Cela signifie que la plupart des publications susmentionnées (Scartazzini, Chauvette, Cooper 2, Spry, Webber, Woodward), de même que d’autres dont a parlé M. Barrett (par exemple, R.D.G. Cooper, « Structural Studies on Penicillin Derivatives VIII. A Possible Model Biosynthetic Route to Penams and Cephems » (1972) 94 Journal of the American Chemical Society 1018 (TX‑1581, Cooper 1))[203], faisaient partie des connaissances générales courantes. Néanmoins, les experts ne s’entendent pas sur ce que certaines de ces publications ont révélé à la personne versée dans l’art. J’en reparlerai plus loin.

 

[517]       Les β‑lactamines et les céphalosporines étaient reconnues comme des molécules multifonctionnelles et sensibles qui soulevaient de nombreux problèmes sur les plans de la sélectivité et de la réactivité[204].

 

[518]       La personne versée dans l’art savait que la méthode la plus avantageuse et la moins coûteuse pour produire une céphalosporine consistait à synthétiser cette céphalosporine à partir de la pénicilline.

 

[519]       Une telle synthèse avait été effectuée pour la céphalexine, autre antibiotique de type céphalosporine, qui était un analogue 3‑méthyle (CH3) du céfaclor. La céphalexine était préparée au moyen de l’arrangement de Morin[205] (conversion d’un ester de sulfoxyde de pénicilline). L’arrangement de Morin, découvert au milieu des années 1960, était la méthode couramment utilisée pour ouvrir le cycle à 5 unités de la molécule de pénicilline afin d’obtenir une céphalosporine dotée d’un cycle à 6 unités.

 

[520]       Au début des années 1970, M. Cooper, tablant sur les travaux de M. Morin, a mis au point une autre méthode pour ouvrir le cycle de la pénicilline et a fabriqué un composé connu sous le nom de composé thiazoline de Cooper[206]. Toutefois, à la date pertinente, ce composé, un dérivé de la pénicilline, n’avait jamais été converti en une céphalosporine dotée d’un cycle à 6 unités.

 

[521]       La molécule de 3‑hydroxy céphalosporine, composé cible de la « voie de synthèse de Shionogi »[207], avait été divulguée dans deux publications alors assez récentes : Chauvette et Scartazzini. Au moment de ces publications, le brevet visant le céfaclor (produit par procédé) n’avait pas encore été publié; la seule façon connue de fabriquer un composé 3‑hydroxy était de fonctionnaliser une structure de céphalosporine existante. En février 1975, personne n’avait jamais fabriqué le composé 3‑hydroxy à partir d’une molécule de pénicilline.

 

[522]       En 1975, l’ozonolyse, la sulfonylation, l’amination, l’halogénation allylique[208], l’acylation, l’hydrolyse et la formation de liaisons par substitution nucléophile étaient des procédés chimiques connus et couramment utilisés en chimie organique générale.

 

[523]       M. Chauvette et M. Scartazzini ont tous deux eu recours à l’ozonolyse sur un composé de céphalosporine (structure totalement cyclisée comportant un cycle à 6 unités) lorsqu’ils ont fabriqué la molécule de 3‑hydroxy céphalosporine décrite ci‑dessus.

 

[524]       Dans Cooper 1, à la page 1019, M. Cooper indique que la fermeture du cycle pour obtenir un céphème à partir de son azétidinothiazoline impliquerait une cyclisation oxydative. Par conséquent, il a étudié l’oxydation du composé 4 (qui est le composé 7 dans Cooper 2) dans diverses conditions afin de dupliquer chimiquement ce postulat de biosynthèse. Il note explicitement que [traduction] « la double liaison de l’isopropényle en 4 est généralement inerte en présence de réactifs électrophiles[[209]], il est récupéré en grande quantité par suite des réactions avec le brome et l’acide permaléique ». Il poursuit en décrivant l’isomérisation de la double liaison du composé thiazoline de Cooper, suivie d’une ozonolyse, qui entraîne la formation d’un nouveau composé qui y est décrit[210].

 

[525]       Dans Cooper 2 (référence utilisée par M. Hanessian), MM. Cooper et José traitent d’autres réactions chimiques, mais mentionnent leur ozonolyse déjà signalée de la version isomérisée du composé thiazoline de Cooper.

 

[526]       M. Hanessian n’indique pas comment la personne versée dans l’art interpréterait le commentaire qui figure dans Cooper 1 concernant la double liaison de l’isopropényle. En fait, rien ne montre que cet expert connaissait même l’existence de ce commentaire ou s’en rappelait (en présumant qu’il l’avait déjà lu au cours de sa carrière) étant donné que l’article qu’il utilise dans son rapport lui a été fourni par l’avocat d’Apotex (voir A‑15, paragraphe 5(f)(3)).

 

[527]       Après avoir soigneusement examiné le long contre‑interrogatoire de M. Barrett, la Cour souscrit au point de vue de M. Barrett sur la façon dont la personne versée dans l’art comprendrait le commentaire de M. Cooper en ce qui concerne la double liaison de l’isopropényle. Cette personne comprendrait notamment que la réactivité du composé thiazoline était beaucoup plus forte que normalement en association avec un alkène et était très différente du profil de réactivité du produit obtenu par l’isomérisation dont il est question dans Cooper 2[211].

 

[528]       Il était aussi connu que M. Spry a utilisé un céphème 2-substitué pour produire de nouvelles céphalosporines tricycliques[212]. Dans ce contexte, il a procédé à la bromination allylique d’un céphème. Il faut toutefois souligner que, à la page 672 de Spry, l’auteur formule le commentaire suivant : [traduction] « les tentatives de fonctionnaliser C‑3’ davantage par la bromination allylique de (4) s’est traduite par la dérivatisation de C‑2, ce qui a donné un dérivé bromé en C‑2 ». Encore là, la Cour admet le témoignage de M. Barrett pour ce qui est de la façon dont ce commentaire serait compris par la personne versée dans l’art.

 

[529]       Il était aussi généralement connu et admis que, dans le contexte de la transformation d’une molécule de pénicilline en une céphalosporine, M. Webber a effectué une bromination allylique après avoir fait migrer la double liaison de ∆3 vers ∆2. M. Webber travaillait sur un composé portant un méthyle (CH3) en position 3.

 

[530]       Parmi les autres connaissances générales courantes figurait le fait que, en 1966, M. Woodward avait ouvert un cycle thiazolidine par hydrolyse dans un acide.

 

[531]       La rétrosynthèse[213] a été employée en 1975 comme méthode générale pour planifier la synthèse chimique en chimie organique générale. La Cour admet le témoignage de M. Barrett voulant qu’il ne s’agissait pas d’une méthode couramment utilisée dans le domaine de la chimie des céphalosporines et celui de la recherche sur les céphalosporines au moment pertinent[214].

 

9.4.3. Antériorités contestées

[532]       Lilly conteste l’affirmation selon laquelle les trois publications suivantes auraient été trouvées par la personne diligente versée dans l’art. Elle soutient que ces publications ne faisaient pas partie des connaissances générales courantes et qu’aucun élément de preuve n’a été présenté expliquant pourquoi elles auraient été prises en considération, seules ou ensemble, par la personne versée dans l’art qui aurait été aux prises avec le problème résolu dans les brevets de Shionogi.

 

9.4.3.1. Cocker

[533]       Ce document est une demande de brevet allemand dont il n’existait aucune traduction anglaise au moment pertinent[215]. Toutefois, il a été établi qu’un court abrégé en anglais (numéro 120652H) a été publié dans le volume 81 de la revue Chemical Abstracts en 1974.

 

[534]       Lilly souligne que Cocker n’est pas décrit dans la recension de Sammes, même si celle‑ci a été publiée en juillet 1974 et que l’abrégé l’a été en peu plus tard, en décembre 1974. Comme la recension de Sammes traite de quelques brevets, cela pourrait en effet indiquer que Cocker n’était pas considéré comme faisant partie des antériorités pertinentes. Toutefois, cette absence de la recension pourrait aussi être simplement attribuable à la langue dans laquelle est rédigé l’original et au fait que l’abrégé en anglais a été publié à une date trop rapprochée de celle à laquelle la version révisée a été soumise aux fins de publication.

 

[535]       Par ailleurs, Lilly allègue que le composé décrit dans Cocker n’est pas une céphalosporine (il ne possède pas de fonction 4‑carboxylique) et qu’il aurait fallu faire des recherches dans toutes les références sur les β‑lactamines pour le trouver. Il y a peu d’indications que la personne versée dans l’art aurait entrepris une telle recherche, en particulier si l’on considère qu’il n’existait aucun motif d’exécuter la réaction, car le composé visé par le brevet de Shionogi qui est soumis à cette réaction n’était pas connu. Nul n’en soupçonnait non plus l’utilité dans le procédé général de Shionogi.

 

[536]       Comme il a déjà été mentionné, le manque d’éléments de preuve de la part d’Apotex en ce qui concerne la façon dont ce document a été trouvé, et les moyens utilisés pour le trouver, est troublant. Cependant, la Cour admet au moins que les éléments décrits dans l’abrégé faisaient partie de l’état de la technique pertinente. Cela étant dit, il n’a pas été établi que ces éléments faisaient partie des connaissances générales courantes.

 

[537]       La Cour est d’avis que, à la lecture de Cocker, la personne versée dans l’art comprendrait que son auteur a procédé à l’hydrolyse d’un cycle thiazoline dans des conditions acides et que le composé obtenu a été transformé en un dérivé céphème par une substitution nucléophile, au cours de laquelle le soufre attaque l’oxirane à trois unités (groupe différent de celui du brevet 026) et forme une nouvelle liaison carbone‑soufre.

 

9.4.3.2. La demande de Chauvette

[538]       Il s’agit d’une autre demande de brevet allemand qui aurait été publiée en septembre 1974 et dont aucune version anglaise n’a été fournie à la Cour. Bien qu’Apotex ait tenté d’établir au contre‑interrogatoire qu’un résumé avait pu être publié dans Chemical Abstracts, l’absence de mention de ce résumé dans la preuve fournie par ses experts permet raisonnablement de conclure qu’il n’avait pas été publié au moment pertinent[216]. Il n’a pas été établi que ce résumé aurait fait partie des connaissances générales courantes. La Cour constate également que M. Martin a indiqué au cours de son contre‑interrogatoire qu’il n’avait pas été en mesure de trouver l’une des deux demandes de brevets allemands dont il a parlé. La Cour ne prendra pas en considération les éléments du témoignage fondés sur ce document, car il n’existe pas de preuve suffisante que la personne versée dans l’art y aurait eu accès au moment pertinent. De toute manière, après avoir examiné soigneusement cette antériorité et les témoignages contradictoires des experts à son sujet, la Cour n’est pas d’avis que la prise en compte de cette publication[217] aurait modifié la conclusion générale à l’égard de l’évidence des revendications du brevet 924 en litige.

 

9.4.3.3. Kishi

[539]       M. Kishi a présenté un exposé lors de la 9e conférence internationale sur la chimie des produits naturels qui s’est tenue à Ottawa, au Canada, du 24 au 28 juin 1974, et un autre à la conférence de l’Union internationale de chimie pure et appliquée (UICPA) sur la synthèse organique, qui a eu lieu du 26 au 30 août 1974 à Louvain-la-Neuve, en Belgique. Un article a par la suite été publié dans le Journal of the American Chemical Society en 1975, ainsi que dans deux publications de l’UICPA, également en 1975[218]. M. Martin, qui a été prié de trouver des détails au sujet de l’exposé présenté à la conférence, a admis que les publications susmentionnées n’auraient pas pu être trouvées au moment pertinent. Les sections précises utilisées par les experts d’Apotex pour étayer leur opinion se trouvent loin dans l’article (des dessins concernant la bromination allylique du composé 54 ainsi que la conversion des composés 67 à 72).

[540]       Tous les experts d’Apotex qui ont parlé des brevets de Shionogi se sont d’abord appuyés sur les travaux de M. Yoshito Kishi décrits ci‑dessus pour conclure que les revendications du brevet 132 et du brevet 026 étaient évidentes.

[541]       Lorsque M. Hanessian a témoigné, les paragraphes qui traitaient de cette antériorité avaient été supprimés, et il a indiqué que cette suppression n’avait pas d’incidence sur sa conclusion. Étant donné que j’ai accordé peu de poids aux témoignages de MM. McClelland et Martin au sujet des brevets de procédés de Lilly vu le manque d’expérience de ces personnes en chimie des β‑lactamines et des céphalosporines, il est quasi superflu de traiter de cette publication, dont ils sont les seuls à avoir parlé. Néanmoins, pour éviter tout débat ultérieur, je formulerai simplement les commentaires suivants :

[542]       Au cours de son contre‑interrogatoire, M. Martin a admis que, habituellement, les conférenciers ne lisent pas le texte de leur exposé qui est publié plus tard dans un article. Il n’y a absolument aucune preuve que les réactions ou segments particuliers utilisés par ces experts pour étayer leur opinion ont été montrés ou mentionnés par M. Kishi au cours de son exposé[219]. Aucun des experts d’Apotex n’a participé à ces conférences, regardé les diapositives (si tant est que M. Kishi en ait utilisé lors de ses exposés) ni examiné les autres renseignements.

[543]       Dans les circonstances, Apotex n’a pas réussi à convaincre la Cour que l’information utilisée par ses experts était effectivement accessible au public au moment pertinent et qu’elle devrait être prise en considération pour l’évaluation de l’évidence des brevets de Shionogi.

 

9.4.4. L’idée originale

[544]       Bien qu’il soit très clair que l’idée originale doit être évaluée pour chacune des revendications en litige de chaque brevet contesté, la Cour est convaincue que les questions soulevées par Apotex peuvent être examinées correctement sans une description complète de l’idée originale de chacune des revendications. Il suffit de décrire les éléments pertinents de l’idée originale de la plupart des revendications en litige de chaque brevet. Comme il a déjà été mentionné, la contrefaçon d’une seule revendication valide est suffisante pour que Lilly ait gain de cause en l’espèce.

 

[545]       Apotex a admis que, si ces brevets renferment même une seule idée originale (ce qu’elle nie), il s’agirait de la voie de synthèse globale qui n’est pas revendiquée en soi. Toutefois, même si le mémoire descriptif[220] de chaque brevet indique clairement que la voie de synthèse globale, qui permet au destinataire de chaque brevet de cycliser un composé dérivé de la pénicilline (le composé thiazoline de Cooper) et d’obtenir ainsi une céphalosporine possédant un cycle à 6 unités dans lequel un hydroxyle est déjà en place en position 3, est incluse dans l’idée originale d’au moins une revendication en litige de chaque brevet, il ne s’agit pas du seul élément pertinent de cette idée.

 

[546]       En effet, l’idée originale des revendications en litige dans les brevets suivants comprend aussi :

                           i.            Pour le brevet 547

a.             La conversion du composé thiazoline de Cooper (un composé exométhylène) en de nouveaux dérivés hydroxyle par ozonolyse.

                         ii.            Pour le brevet 924

a.             Le fait que les nouveaux dérivés hydroxyle qui y sont décrits peuvent être activés (dans les revendications 8 et 9, cette activation s’effectue par sulfonylation) et que ce procédé peut être suivi d’une amination (dans les revendications 12 et 37, l’amine est une morpholine) afin d’obtenir de nouveaux composés utiles[221].

                        iii.            Pour le brevet 132

a.             Le fait que les nouveaux composés qui y sont décrits peuvent être halogénés de façon à former d’autres nouveaux composés utiles.

                       iv.            Pour le brevet 026

a.             Le fait que les nouveaux composés halogénés qui y sont décrits (d’autres dérivés de la pénicilline) peuvent être déprotégés (hydrolyse) de façon à former un énol d’azétidinone (ou son tautomère céto) et que les nouveaux composés peuvent être cyclisés de façon à former un 3‑hydroxy‑3‑céphème (ou son tautomère céto), ce qui permet la production des antibiotiques souhaités dont il est question dans le mémoire descriptif, dont le céfaclor.

 

9.4.5. Les différences entre l’art antérieur et l’idée originale

9.4.5.1. Le brevet 547

[547]       L’utilité de la réaction et du procédé revendiqués, ainsi que des composés qui en découlent, pour la synthèse de la 3‑hydroxy céphalosporine souhaitée n’avait jamais été divulguée.

 

[548]       L’ozonolyse de la liaison de l’isopropényle dans le composé thiazoline de Cooper, qui est l’un des principaux composés de départ du procédé de Shionogi, n’avait jamais été divulguée.

 

9.4.5.2. Le brevet 924

[549]       En ce qui concerne le brevet 924, tant la matière de départ que le produit final de la réaction revendiquée étaient inconnus.

 

[550]       L’utilité de la transformation revendiquée pour la synthèse de 3‑hydroxy céphalosporines n’avait jamais été divulguée.

 

[551]       La réaction en deux étapes consistant en une sulfonylation d’un groupe hydroxyle suivie de l’amination du produit sulfonylé dans les composés dérivés de la pénicilline (structure à cycle ouvert)[222] n’avait jamais été divulguée.

 

9.4.5.3. Le brevet 132

[552]       En ce qui concerne le brevet 132, tant la matière de départ que le produit final de la réaction revendiquée n’avaient jamais été divulgués.

 

[553]       L’utilité de la réaction revendiquée pour la synthèse de 3‑hydroxy céphalosporines n’avait jamais été divulguée .

 

9.4.5.4. Le brevet 026

[554]       En ce qui concerne le brevet 026, la matière de départ de la réaction revendiquée et l’espèce intermédiaire formée après la première étape n’avaient jamais été divulguées.

 

[555]       La fermeture du cycle thiazoline afin d’obtenir une céphalosporine (une β‑lactamine possédant une fonction acide 4‑carboxylique) n’avait jamais été divulguée; la façon dont le nouveau composé de départ pouvait être converti en une 3‑hydroxy céphalosporine ou en un composé pouvant être converti en un tel composé n’avait jamais été divulguée.

 

[556]       La réaction en deux étapes faisant intervenir un cycle thiazoline dont les substituants sont similaires à ceux utilisés dans le brevet 026 ou dans laquelle une énamine est convertie in situ en un groupe fonctionnel souhaitable, c’est‑à‑dire un hydroxyle, n’avait jamais été divulguée.

 

9.4.6. Ces différences ont‑elles un caractère inventif?

[557]       J’examinerai tout d’abord la valeur inventive d’au moins une des revendications en litige dans chaque brevet avec, comme idée de base, la voie de synthèse globale de Shionogi décrite dans la description[223]. Apotex ne s’est pas acquittée de son fardeau d’établir que cette voie globale était évidente. M. Hanessian, seul expert d’Apotex qualifié pour dire ce que la personne versée dans l’art aurait su ou aurait considéré comme allant de soi au moment pertinent, n’a formulé aucune opinion à ce sujet[224]. Il s’est simplement attardé à chaque étape individuellement et n’a jamais considéré le procédé global lui‑même. M. Martin (même s’il n’était pas réellement qualifié pour traiter de cette question) affirme que l’unique « invention » dans tous ces brevets est le procédé global. Dans le contexte de son rapport, cette affirmation ne peut que vouloir dire que, selon lui, le procédé global n’était pas un procédé que la personne versée dans l’art aurait effectivement connu ou n’aurait considéré que comme une variation banale d’un procédé connu.

 

[558]       Seul M. McClelland[225], qui, comme je l’ai déjà mentionné, n’avait, hormis la présente instance, aucune expérience réelle ni aucun intérêt particulier à l’égard de la chimie des β‑lactamines, et encore moins des céphalosporines, a soutenu, dans les deux derniers paragraphes de son rapport (A‑12, paragraphes 209‑210), que la voie de synthèse de Shionogi aurait été évidente si l’on avait eu recours à la rétrosynthèse.

 

[559]       Comme il a été mentionné, l’opinion de M. McClelland n’a aucune valeur probante pour ce qui est d’établir si la personne versée dans l’art aurait eu recours à la rétrosynthèse à cette fin en 1975.

 

[560]       En outre, le témoignage de M. McClelland sur la rétrosynthèse est basé sur la prémisse que la personne versée dans l’art saurait que le procédé devrait aller du composé ciblé, le 3‑hydroxy (composé D), vers le composé de Cooper (composé B) afin d’aboutir à une pénicilline, le composé de départ souhaité (composé A). Il n’y a aucun doute qu’il irait de soi que le composé 3‑hydroxy serait un composé ciblé si le problème à résoudre était de trouver un moyen de fabriquer du céfaclor à partir de la pénicilline. Il n’existait en effet aucun moyen de fabriquer du céfaclor sans passer par ce composé intermédiaire précis.

 

[561]       Toutefois, encore là, M. McClelland n’était pas qualifié pour dire que le composé de Cooper (composé B) serait le moyen évident d’obtenir le composé A à partir du composé D, d’autant plus que, à l’époque, la seule méthode connue pour fabriquer le composé 3‑hydroxy consistait à passer par la 3‑méthylène céphalosporine, une voie qui éloigne du procédé de Shionogi et de l’utilisation du composé de Cooper.

 

[562]       M. Barrett a affirmé que, au moment pertinent, il aurait été plus probable que la personne versée dans l’art débute par l’arrangement de Morin ou passe par cet arrangement, car il s’agissait de la méthode fiable utilisée pour ouvrir le cycle de la pénicilline afin de fabriquer une céphalosporine.

 

[563]       La possibilité de passer par l’exométhylène (composé 4 dans W‑17) pour retourner au composé A (qui comprendrait un sulfoxyde de pénicilline) est corroborée par ce que M. Kukolja (autre chimiste de Lilly) a fait lorsqu’il a découvert un autre procédé pour fabriquer le composé 3‑hydroxy à partir de la pénicilline après 1975.

 

[564]       La rétrosynthèse est un processus mental purement visuel qui aurait révélé de nombreuses autres voies possibles. Même si de très nombreuses options s’offraient aux chercheurs, cela ne suffit pas en soi pour conclure qu’une invention n’est pas évidente. Il s’agit tout de même d’un élément à considérer dans l’analyse globale. Au cours de son contre‑interrogatoire, M. Hanessian a convenu que toutes les voies que proposait M. Barrett dans son rapport étaient raisonnables, même si certaines semblaient avoir de meilleures chances de succès que d’autres. Fait intéressant, il a ajouté que [traduction] « il pourrait même y en avoir d’autres[226] ».

 

[565]       De plus, la rétrosynthèse ne fait que fournir des avenues à explorer. L’exécution, c’est‑à‑dire la mise à l’essai, est la prochaine étape. Par conséquent, comme l’indique Sanofi, Apotex devait aussi établir qu’il serait plus ou moins allé de soi pour la personne versée dans l’art que la voie de synthèse globale de Shionogi (en présumant qu’elle aurait fait partie des nombreuses voies de rétrosynthèse auxquelles on aurait pu penser) devait fonctionner. Là non plus, la défenderesse ne s’est tout simplement pas acquittée de son fardeau à cet égard, ce qui est particulièrement évident lorsqu’on considère d’autres facteurs qui s’appliquent à l’analyse de l’évidence.

 

[566]       Il n’y a pas vraiment de doute que toute l’industrie était motivée à trouver des méthodes pour fabriquer des céphalosporines à partir de la pénicilline. Les chimistes de Lilly étaient particulièrement motivés à trouver une voie de synthèse qui leur permettrait de fabriquer du céfaclor à partir de la pénicilline[227]. En février 1975, Lilly n’avait pas encore trouvé de moyen efficace pour produire son nouvel antibiotique à grande échelle.

 

[567]       M. Cooper, l’un des chimistes les plus réputés dans le domaine des céphalosporines et l’inventeur du composé utilisé comme matière de départ dans le procédé de Shionogi, a affirmé au cours de son témoignage qu’il avait réellement essayé de fermer le cycle de sa thiazoline, mais sans succès. Par conséquent, le composé de Cooper était en bas de la liste pour les chimistes qui tentaient de fabriquer du céfaclor à partir de la pénicilline.

 

[568]       Apotex a allégué que ce témoignage n’avait que peu de poids parce que le travail de M. Cooper chez Lilly consistait à trouver de nouveaux composés (il faisait partie de l’équipe de recherche sur les β‑lactamines[228] et non pas de l’équipe de recherche sur les procédés). La défenderesse a aussi prétendu que, en s’appuyant sur Kukolja, on pouvait présumer que les chimistes de Lilly étaient occupés à chercher de nouvelles avenues.

 

[569]       Malgré ces arguments et la tentative de soulever le doute sur la crédibilité de M. Cooper au cours de son contre‑interrogatoire, la Cour estime que le témoignage de ce dernier est crédible. Il semble logique de croire qu’il aurait tenté de trouver un usage pour « son » composé. Bien que cet élément de preuve ne soit pas déterminant en soi, il étaye certainement la conclusion de M. Barrett que la solution (voie globale) proposée par Shionogi n’allait pas de soi pour la personne versée dans l’art.

 

[570]       Bien qu’aucun élément de preuve ne permette à la Cour de conclure que le céfaclor était « la » priorité chez Lilly, il était certainement assez important pour que Lilly demande l’aide de Shionogi. Lilly était prête à payer pour cette recherche et pour divulguer les renseignements qui en découleraient. M. Cooper a rencontré les chercheurs de Shionogi, ce qui lui a donné une autre occasion de tourner son brillant esprit vers le problème. Rien n’indique que la solution divulguée dans les brevets de Shionogi soit devenue évidente pour lui au cours du processus.

 

[571]       À la lumière de ce qui précède, et après avoir considéré toute la preuve qui lui a été présentée, la Cour conclut que la voie de synthèse de Shionogi n’était pas évidente.

 

[572]       L’objet de la contestation n’est pas le caractère inventif des composés divulgués dans les revendications de procédés des divers brevets de Shionogi, mais plutôt la divulgation ou non de l’utilité de ces composés dans les brevets. À cet égard, l’inventivité du procédé global de Shionogi procure une valeur inventive à au moins une des revendications de chaque brevet (sauf le brevet 026, qui ne contient pas de revendication de ce genre)[229]. La jurisprudence établit clairement que, dans un tel cas, il n’est pas nécessaire de revendiquer l’utilité des composés dans les revendications[230].

 

[573]       Ici, le procédé global de Shionogi procure aussi une valeur inventive à au moins une revendication de procédé en litige dans chacun des brevets. Le principe qu’une idée (voie de synthèse globale) puisse procurer une valeur inventive à un procédé ou à un produit revendiqué n’est pas nouveau. Il s’agit d’un des principes fondamentaux du droit des brevets (voir Terrell, paragraphes 7‑8, page 276)[231]. Il n’y a aucune obligation légale que l’idée soit incluse dans lesdites revendications.

 

[574]       Cela étant dit, il convient de souligner que, de toute manière, Apotex ne s’est pas acquittée de son fardeau d’établir que chacune des étapes divulguées dans le brevet était évidente en soi.

 

[575]       C’est ici que M. Barrett et M. Hanessian s’opposent. La position de M. Hanessian est assez simple - Lilly l’a qualifiée de simpliste. Réduite à sa plus simple expression, elle peut se résumer comme suit : les réactions chimiques revendiquées dans les brevets de Shionogi faisaient partie des connaissances générales en chimie organique. Elles avaient toutes déjà été exécutées au moins une fois avec des composés similaires sans détruire la molécule de β‑lactamine (même si les rendements ont pu être assez faibles). Par conséquent, la personne versée dans l’art se serait attendue à ce qu’elles fonctionnent avec les composés décrits dans les brevets en litige, même ceux qui n’avaient jamais été fabriqués.

 

[576]       M. Barrett a aussi reconnu que ces réactions génériques (sauf une, peut‑être) étaient connues et souvent utilisées en chimie organique générale, mais que la personne versée dans l’art n’y aurait pas vu là matière à réconfort à cause de la nature délicate des composés en litige et des problèmes sérieux de sélectivité qu’ils soulevaient. De plus, le fait pour M. Barrett de se concentrer sur des exemples isolés dans lesquels étaient utilisés, selon lui, des composés très différents de ceux en litige revient à ignorer toutes les antériorités qui traitaient des échecs ou des résultats insatisfaisants obtenus avec d’autres composés soi-disant similaires. Dès lors, selon lui, il n’aurait pas été clair ni évident en soi au moment pertinent pour la personne versée dans l’art que ces réactions devaient fonctionner avec les dérivés de la pénicilline, en particulier ceux dont l’existence n’était pas même connue.

 

[577]       Comme je l’ai mentionné plus tôt, M. Hanessian était un témoin crédible, mais le poids de son témoignage a été réduit du fait que son opinion n’était fondée que sur les publications que lui avait remises l’avocat d’Apotex. Il n’a fait aucune mention dans son témoignage d’un quelconque biais ni d’une quelconque croyance qu’aurait alors eus la personne versée dans l’art. Il n’a pas non plus fait mention des publications bien connues à l’époque qui résumaient les percées dans le domaine, par exemple les articles de Flynn et de Sammes[232]. En fait, rien n’indique réellement qu’il ait pris en considération d’autres antériorités que celles qui lui ont été fournies. Il semble n’avoir reçu aucune instruction précise pour l’empêcher de faire usage de la rétrospective, et même s’il a mentionné avoir déjà entendu parler du principe dans une affaire précédente, sa méthodologie suscite des incertitudes pour la Cour. Au contre‑interrogatoire, lorsqu’il a été interrogé au sujet de la difficulté de transformer, au moment pertinent, un exométhylène céphème, il a indiqué que cette transformation ne nécessitait qu’une simple bromination allylique et que tout était une question de minutage[233]. Toutefois, il a dû admettre que rien ne figurait à ce sujet dans la littérature pertinente et qu’il était juste de dire que, en 1975, il n’existait aucune méthode connue pour ce faire.

 

[578]       En revanche, M. Barrett a été soumis à plusieurs longs et adroits contre‑interrogatoires, et le poids de son témoignage a été réduit du fait que certains des points avancés dans son rapport étaient un tant soit peu exagérés (voir, par exemple, ce qui concerne le paragraphe 115 de E‑14). Toutefois, le poids de son témoignage était assez important pour que la Cour ne puisse pas conclure à une prépondérance de preuve en faveur d’Apotex[234].

 

[579]       C’est particulièrement vrai si l’on considère que les connaissances générales courantes, soit Cooper 1 bien compris par la personne versée dans l’art[235], auraient eu pour effet d’éloigner cette personne du procédé revendiqué dans le brevet 547. Bien que la Cour reconnaisse que cet article montre que le composé thiazoline de Cooper était stable dans les conditions décrites, elle ne croit pas que la personne versée dans l’art se serait uniquement préoccupée de cet aspect. Apotex n’a tout simplement pas réussi à convaincre la Cour que la personne versée dans l’art aurait été motivée à essayer ce procédé avec le composé de Cooper[236] et certainement pas qu’elle se serait attendue à ce que l’ozonolyse de cette structure à cycle ouvert fonctionne.

 

[580]       En ce qui concerne le brevet 924 et le brevet 132, aucun des experts d’Apotex n’a expliqué pourquoi quiconque aurait été motivé à mettre à l’essai un tel procédé étant donné que les composés en question n’étaient pas tous connus. Il est également difficile d’admettre la proposition voulant que ces réactions chimiques auraient été censées fonctionner avec des composés qui n’étaient pas même connus.

 

[581]       Apotex allègue que la Cour doit présumer que la personne versée dans l’art connaît le procédé global de Shionogi, de sorte qu’elle se trouve dans la même situation que l’inventeur. Je ne suis pas d’accord. Pour la détermination de l’évidence, la personne versée dans l’art n’est présumée posséder que les connaissances générales courantes et l’information publique divulguée dans l’art antérieur. Le procédé de Shionogi n’en faisait pas partie. Il s’agissait d’une solution qui n’était connue que des inventeurs.

 

[582]       Pour ce qui concerne le brevet 026, après avoir examiné la preuve plusieurs fois, la Cour a dû conclure qu’aucune des deux parties n’avait réussi à la convaincre. Elle ne peut tout simplement pas admettre que si la personne versée dans l’art avait été motivée à mettre à l’essai ce procédé (ce qui est douteux étant donné que le composé de départ n’était pas connu), il aurait été évident qu’il aurait fonctionné. Par conséquent, la partie à laquelle incombait la preuve à cet égard a échoué.

 

10. Manque d’utilité – prédiction valable – caractère inopérant

[583]       Apotex prétend que plusieurs des revendications des brevets en litige ont une portée trop large; parmi les réalisations revendiquées, certaines seraient inopérantes. Bien que la défenderesse avance dans son mémoire que le breveté devait établir l’utilité au moment pertinent ou qu’il pouvait prédire de façon valable que toutes les réalisations revendiquées seraient utiles, il est évident que, comme avec tous les autres arguments présentés pour invalider les brevets, le fardeau de la preuve incombe ici à la défenderesse.

[584]       Pour ce qui est de la prédiction valable, le critère à trois volets à appliquer a été défini par la Cour suprême du Canada dans l’arrêt Wellcome (2002), au paragraphe 70. Plus particulièrement, il doit y avoir : i) un fondement factuel; ii) un raisonnement clair et valable; et iii) une divulgation suffisante.

10.1. Les brevets de Lilly

[585]       Dans leurs affidavits, MM. Modro et McClelland[237] ont indiqué que le brevet 007 divulgue et revendique des conditions réactionnelles pour la formation d’un complexe cinétique de formule générale définie où X représente un Cl ou un Br et où Z représente un hydrogène, un halogène, un alkyle C1-C4 ou un alkoxyle C1‑C4[238]. Étant donné qu’il n’y a aucune restriction quant à la position du substituant Z sur le cycle benzène [ortho (‑o‑), méta (‑méta‑) ou para (‑p‑)][239], ils affirment que certaines des variantes de Z autres que l’hydrogène, tels le tri‑p‑chlorophénylphosphite et le Cl, ou le tri‑p‑méthoxyphénylphosphite[240] et le Cl, et d’autres membres similaires seraient inactifs et ne fonctionneraient donc pas tels qu’ils sont revendiqués dans le brevet.

[586]       Étant donné que bon nombre des revendications en litige se limitent au cas où Z = H[241], par exemple les revendications 20, 21, 27 et 11 (la variante basée sur la revendication 10) du brevet 536, les revendications 16, 23, 26, 27 et 30 du brevet 725, et les revendications 8, 17, 19 et 20 du brevet 468, il n’était pas du tout clair de quelle façon un tel argument pouvait être déterminant. La Cour a demandé à l’avocat d’Apotex son opinion sur ce point et, comme l’indique la transcription du 11 novembre 2008, après y avoir réfléchi pendant un assez long moment, ledit avocat a indiqué à la Cour que [traduction] « il est réellement difficile de déterminer si cet argument peut être déterminant » et s’est dit d’avis qu’il revenait à la Cour de trancher cette question.

[587]       En usant de la plus grande prudence, la Cour a donc décidé de revoir la preuve sur cette question, mais il ne faudrait pas y voir là une indication que cet argument pourrait être déterminant de quelque façon que ce soit à l’égard de la conclusion concernant toutes les revendications qui ont été considérées comme contrefaites. En fait, je ne crois pas que cet argument soit déterminant.

[588]       Les opinions des experts d’Apotex ne sont pas basées sur une expérience quelconque réalisée par M. Modro[242] ni par qui que ce soit d’autre au nom d’Apotex. Sauf en ce qui concerne les variantes en position ortho[243], ces opinions sont surtout fondées[244] sur ce que renferme TX‑211, un rapport d’étape de 1978 qui indique ce qui suit :

[traduction] Les complexes formés à partir de triphénylphosphite et de tri‑o‑tolylphosphite se comportent de façon identique, mais le composé formé de tri‑p‑chlorophénylphosphite et de chlore est inactif. On peut en déduire que même de petits facteurs électroniques sont très importants pour obtenir le composé correct. Ces données ont fait naître des spéculations selon lesquelles le complexe ionique, (ArO)3P±Cl Cl¯, était en fait le complexe actif et la substitution sur le cycle aromatique qui stabiliserait la charge positive sur le phosphore devrait donc à son tour permettre d’obtenir un réactif actif et plus stable. Avec cette idée à l’esprit, nous avons préparé du tri‑p‑méthoxyphénylphosphite et l’avons fait réagir avec du chlore dans du chlorure de méthylène à ‑15º. Toutefois, le composé réagissait trop fortement avec le chlore, à cause de la chloration du cycle aromatique ou de la décomposition, de sorte que le point de virage dans la formation du complexe était extrêmement difficile à déterminer. Le complexe qui s’est formé était actif tant pour ce qui est de la chloration que du clivage, mais son rendement était faible. Une plus grande série de phosphites et de complexes obtenus avec le chlore sera préparée.

 

[Non souligné dans l’original, pages 7‑8.]


[589]       Comme il a déjà été indiqué, TX‑211 a été introduit au cours du témoignage de M. Blaszczak, qui avait lu ce rapport au moment où il a été mis en circulation. Bien qu’il ait indiqué n’avoir eu aucune raison de croire que les résultats qui y étaient présentés n’étaient pas exacts, il est clair qu’il n’a pas participé personnellement aux expériences qui y sont relatées, en particulier celles décrites dans les passages auxquelles ont fait référence les experts d’Apotex.

[590]       Le brevet 007, tout comme les brevets de procédés de Lilly, renferme effectivement des exemples dans lesquels le complexe formé de tri‑p‑chlorophénylphosphite et de chlore a été utilisé pour soumettre un substrat de céphalosporine à des réactions chimiques (voir les exemples 9 et 10 du brevet 007, l’exemple 48 du brevet 725, l’exemple 27 du brevet 468 et les exemples 72 et 89 du brevet 536). Il y a aussi beaucoup d’exemples dans lesquels un complexe cinétique renfermant du tri‑p‑méthoxyphénylphosphite a été utilisé pour effectuer la réaction revendiquée (voir les exemples 68, 75, 90, et 94 du brevet 536 et l’exemple 7(G) du brevet 007). Le brevet renferme aussi des exemples dans lesquels un substituant Z autre que H a été employé en position ortho (voir l’exemple 7(F) du brevet 007).

[591]       Le poids des opinions des experts d’Apotex a été grandement réduit lors des contre‑interrogatoires[245]. Il est devenu clair que, en ce qui concerne les substituants para et méta, M. Modro s’inquiétait simplement du rendement qui serait obtenu au moyen de certains de ces substituants plutôt que du fait que lesdits composés seraient inactifs. Il est également devenu manifeste que lesdits experts n’avaient pas plus de raison de s’appuyer sur ce qu’indiquait TX‑211 que sur ce que renfermaient les divers brevets. M. McClelland a insinué qu’il ne pouvait pas se fier aux exemples des brevets parce qu’il n’avait pas vu les cahiers de laboratoire au sujet de ces expériences. Il est toutefois évident qu’il n’avait pas vu non plus les cahiers de laboratoire au sujet des expériences décrites dans TX‑211.

[592]       Dans son affidavit (E‑19, paragraphes 57‑59), M. Baldwin indique que, d’après les exemples de préparation et d’utilisation des dérivés ortho et para, il n’y avait aucune raison de croire que les composé méta-substitués ne pouvaient pas être préparés et utilisés de la même manière. Il a aussi mentionné qu’il n’y avait pas lieu de s’inquiéter des effets stériques, étant donné qu’un seul substituant relativement petit (alkyle ou alkoxyle C4) était permis[246]. La Cour privilégie le témoignage de M. Baldwin, qui, même sans avoir vu les cahiers de laboratoire liés aux exemples, montre ce à quoi la personne versée dans l’art se serait attendue d’après les données divulguées dans les brevets.

[593]       Lorsque Lilly a tenté d’introduire en preuve directe les travaux réalisés dans le brevet relativement à l’exemple 9 du brevet 007, Apotex a soulevé une objection à l’égard du témoignage de M. Gardner aux motifs que Lilly avait refusé de répondre aux questions concernant toutes les expériences divulguées dans les brevets. Cette objection était basée sur la décision du 9 août 2000 du juge Hugessen dans Eli Lilly (2000), particulièrement où il affirme ceci, au paragraphe 4 :

J’accepte également la thèse des demanderesses sur l’allégation selon laquelle la prédiction d’utilité des revendications ou de certaines d’entre elles serait dénuée de fondement raisonnable comme il est prétendu dans la défense. L’inutilité qui est alléguée en l’espèce est une forme de revendication excessive et doit également, à mon avis, être appréciée en fonction d’une norme objective, plus précisément de la question de savoir si les revendications vont au-delà de ce que l’on pouvait prédire, revendiquant alors plus que ce qui a été inventé. Je souscris aux propos tenus par le juge MacGuigan dans l’affaire Merck c. Apotex :

 

[...] il n’est pas question à l’article 34 de savoir si les connaissances de l’inventeur sont suffisantes. Il s’agit plutôt de déterminer si l’information fournie dans le mémoire descriptif est suffisante pour expliquer le fonctionnement de l’invention à une personne versée dans l’art. En d’autres termes, l’analyse porte principalement sur ce que l’inventeur a indiqué dans le mémoire descriptif et non pas sur ce qu’il savait.

 

[Pied de page omis; non souligné dans l’original.]

 

La description de la règle de droit a été expressément confirmée par la Cour d’appel fédérale dans l’affaire Eli Lilly (2001), dans laquelle le juge Rothstein a indiqué que la Cour n’était pas convaincue qu’il y avait une quelconque erreur de droit dans ses motifs.

 

[594]       Selon moi, il n’y a pas même lieu de statuer sur cette objection, car, après un examen attentif de la preuve, la Cour n’est tout simplement pas convaincue qu’Apotex s’est acquittée de son fardeau d’établir, selon la prépondérance des probabilités, que l’un ou l’autre des composés susmentionnés était inactif ou que sa capacité de se prêter aux réactions revendiquées ne pouvait pas faire l’objet d’une prédiction valable[247] fondée sur les données factuelles (les exemples) divulguées dans les brevets et sur les connaissances générales courantes de la personne versée dans l’art au moment pertinent[248].

[595]       La Cour estime que Lilly n’avait pas le fardeau de prouver de façon indépendante les expériences divulguées dans ses brevets parce qu’Apotex a renoncé à contester leur exactitude aux termes de l’article 53 de la Loi sur les brevets. De toute évidence, le témoignage de M. Gardner aurait donné plus de poids à la thèse de Lilly, mais il n’a pas amélioré celle d’Apotex[249].

[596]       Ce qui nous laisse deux questions à examiner : le dérivé ortho-méthoxy et le paragraphe 111 de l’affidavit de M. McClelland (A‑12)[250].

[597]       Au paragraphe 111 de son affidavit (A‑12), M. McClelland indique que, selon TX‑211, les inventeurs savaient que le complexe triphénylphosphite‑chlore employé pour la réduction du sulfoxyde (brevet 536), le remplacement du groupe OH par un Cl en position 3 (halogénation) (brevet 725) et la conversion du groupe acylamine (brevet 468) devait se former à ‑10º Celsius ou moins pour être efficace et devait être utilisé rapidement. Néanmoins, les inventeurs revendiquent l’utilisation de ces complexes et incluent dans leurs revendications des températures allant jusqu’à 30º Celsius.

 

[598]       Au cours de son contre‑interrogatoire, M. McClelland a admis que, dans le passage cité dans son rapport, il manquait une partie essentielle à la compréhension du passage. En effet, à la page 7 de TX‑211, on peut lire ce qui suit :

[traduction] Le complexe doit se former à une température de ‑10º ou moins et être utilisé le plus vite possible, car il devient essentiellement inactif après quelques heures passées à la température ambiante.



[599]       M. McClelland a convenu que, lue dans son contexte, cette phrase signifie simplement que le complexe cinétique doit être utilisé avant qu’il ne se soit transformé après être demeuré plusieurs heures à la température ambiante[251]. M. McClelland a admis qu’il était clair qu’un complexe cinétique pouvait se former à la température ambiante, mais il s’est toutefois questionné sur la façon dont ce complexe réagirait avec les céphalosporines à une telle température. Il a indiqué ne pas le savoir parce que l’expérience n’avait pas été tentée, du moins d’après ce qu’il se rappelle. En fait, l’exemple 8(B), à la page 27 du brevet 007, décrit l’utilisation d’un complexe cinétique à la température ambiante pour former un imino‑halogénure avec un rendement de 85,4 % (comparativement à 91,6 % à une température de 10º à 15º Celsius)[252].

[600]       En ce qui concerne le dernier argument, il faut souligner encore une fois que M. Modro ne formule aucune opinion à savoir si, selon l’expérience divulguée dans le brevet 007 (7(F), dans lequel un tri‑o‑tolyle est utilisé pour transformer un substrat de céphalosporine), l’inventeur aurait pu prédire de façon valable l’utilisation de ces autres substituants Z en position ortho.

 

[601]       M. Baldwin a indiqué dans son rapport que, dans un article antérieur (pièce E‑19 G), M. Gloede avait clairement révélé la formation d’un complexe cinétique[253]. Bien que son affidavit tel qu’il est rédigé ne le montre pas clairement, M. Modro a affirmé que la question était plus précisément de savoir si le complexe cinétique – un composé intermédiaire instable de par sa nature – pourrait, par exemple, permettre la chloration de l’énol avant de réagir davantage avec le chlore comme le décrit Gloede. La Cour ne dispose d’aucun élément de preuve selon lequel la présumée réaction compétitive révélée par Gloede (OZ = OCH3) était connue de l’inventeur ou de la personne versée dans l’art au moment pertinent[254].

[602]       En ce qui concerne ces deux questions, les commentaires suivants, formulés par le juge MacKay dans l’affaire Wellcome (1991), sont particulièrement pertinents :

[traduction] La défenderesse soulève des doutes au sujet du caractère opérant de certaines des réactions lorsque des réactifs particuliers sont employés; il n’y a toutefois aucune preuve manifeste que l’une ou l’autre des réactions ne fonctionnera pas. La défenderesse aurait pu démontrer le caractère inopérant en mettant à l’essai les procédés revendiqués pour certaines réactions et en relevant ceux qui se seraient avérés inopérants. Je conviens que la défenderesse n’a aucune obligation d’entreprendre de tels travaux expérimentaux pour étayer l’allégation du caractère non opérant des procédés revendiqués, mais il lui incombe d’établir l’invalidité d’un brevet enregistré. Malgré les doutes soulevés par la défenderesse, je ne suis pas convaincu que cette dernière se soit acquittée du fardeau qui lui incombait. Je conclus que la défenderesse n’a pas établi que l’une ou l’autre des revendications de procédés est simplement inopérante.



[603]       En l’espèce, la Cour n’est pas convaincue que la preuve fournie par Apotex a un poids suffisant pour étayer son allégation que le brevet 007 et les brevets de procédés de Lilly visent des réalisations dénuées d’utilité ou dont l’utilité ne pouvait pas faire l’objet, de la part de l’inventeur, d’une prédiction valable fondée sur les diverses expériences décrites dans les brevets et les connaissances générales courantes pertinentes. Apotex ne s’est tout simplement pas acquittée du fardeau qui lui incombait.

10.2. Les brevets de Shionogi

[604]       Apotex n’a formulé aucune observation à l’égard du brevet 547. Pour ce qui est du brevet 924, M. McClelland a soulevé des questions en ce qui concerne certains composés dans lesquels A et B ou R sont des atomes d’hydrogène[255]. Toutefois, ces questions ne concernent que les revendications 3, 8, 9 et 27. En conséquence, même si la Cour souscrivait au point de vue d’Apotex, ce ne serait pas suffisant pour éviter la conclusion de contrefaçon à l’égard du procédé de Kyong Bo[256].

[605]       Pour ce qui est du brevet 132, MM. McClelland et Martin (voir les paragraphes 94‑95 de l’affidavit de M. Martin (A‑17); le paragraphe 168 de l’affidavit de M. McClelland (A‑12)) ont témoigné au sujet des problèmes, dont des « difficultés » qui surviendraient avec les composés visés par les revendications 15, 22, 29 et 34 lorsque Y est un hydroxyle (OH). De plus, en ce qui concerne d’autres revendications, telles les revendications 1 et 2[257], Apotex affirme que, d’après le témoignage de MM. McClelland et Hanessian[258], il s’avère que, en 1975, il n’existait aucune méthode qui permettait les réactions de fluoration allylique, et aucun réactif n’était énuméré dans le brevet pour aider la personne versée dans l’art. M. McClelland a aussi souligné que les brevets ne donnaient aucun exemple d’halogène autre que le Br.

[606]       Comme il a déjà été mentionné, le procédé de Kyong Bo contrefait les revendications 38, 58 et 15, dont la validité ne peut pas être réduite par ces arguments[259].

[607]       La Cour ne comprend pas vraiment pourquoi l’avocat d’Apotex insistait pour débattre de toutes les questions susmentionnées étant donné qu’il était clair que son argumentaire n’aurait aucune incidence sur certaines revendications en litige, qui auraient de toute évidence été contrefaites si la thèse d’Apotex au sujet de l’importation n’avait pas été acceptée.

[608]       Ce qui nous mène au dernier brevet, le brevet 026, et aux questions soulevées par MM. Hanessian (paragraphes 120‑123 de A‑15) et McClelland (paragraphes 199‑200 de A‑12), qui auraient une incidence sur toutes les revendications en litige du brevet 026. Ces questions sont résumées comme suit dans un seul et même paragraphe du mémoire d’Apotex (paragraphe 365) :

[traduction] Lorsque « Hal » représente le fluor, la réaction de cyclisation (deuxième étape du procédé revendiqué) n’aura pas lieu étant donné que le fluor est un groupe partant médiocre dans toutes les réactions de substitution.

 

[Pied de page omis.]

 

À cet égard, MM. McClelland et Hanessian s’appuient sur le livre de Jerry March publié en 1968 et intitulé Advanced Organic Chemistry, qui leur a été fourni par l’avocat d’Apotex[260]. Au cours de son témoignage, M. Hanessian a affirmé qu’il avait lui‑même constaté que seuls le Br et, parfois, le Cl étaient utilisés dans les exemples du brevet[261] et qu’il n’y avait aucun exemple d’utilisation de l’iode ni du fluor.

[609]       Les deux experts ont confirmé qu’Apotex n’avait jamais essayé le fluor dans les nombreuses expériences réalisées par M. Modro et M. Chase. Toutefois, en dépit de l’absence d’exemples d’utilisation de l’iode et du fluor et du manque d’information détaillée au sujet du chlore, M. McClelland a indiqué au cours de son contre‑interrogatoire que la personne versée dans l’art ne se serait pas attendue à ce que l’utilisation du Cl ou de l’iode comme groupe partant occasionne des problèmes[262].

[610]       Bien que M. McClelland[263] ait indiqué que la cyclisation par substitution dont il a été question à l’étape deux de la revendication 1 était une réaction facile à réaliser, M. Hanessian affirme dans son affidavit qu’elle nécessite un bon groupe partant. En fait, c’est là-dessus que s’appuie M. Hanessian pour conclure que le fluor, qui n’est pas un bon groupe partant, ne fonctionnerait pas. M. Hanessian ne mentionne pas pourquoi le recours à un catalyseur n’aiderait pas la cyclisation dans un tel cas, même s’il doutait que le fluor employé seul puisse constituer un groupe partant convenable pour ce type de réaction.

[611]       M. McClelland a dit ceci : [traduction] « Je ne peux pas affirmer sans équivoque que ça ne fonctionnera pas. Je peux cependant dire qu’il ne s’agit pas d’une réaction qu’un chimiste considérerait comme particulièrement facile[264]. » Aux paragraphes 154 à 156 de son rapport (E‑14), M. Barrett indique que le fluor n’est pas le pire groupe partant présenté dans le tableau mentionné par M. McClelland. Il note également que, même si la personne versée dans l’art ne choisirait probablement pas le fluor à cause du danger inhérent à l’utilisation de cet halogène ([traduction] « vous pourriez tuer vos collègues. C’est un élément dangereux »[265]), selon lui, une 3‑hydroxy céphalosporine cyclisée serait formée par suite de l’utilisation du fluor, spécialement si un catalyseur était employé[266].

[612]       Après avoir examiné avec soin toute la preuve, la Cour n’est pas convaincue qu’Apotex a établi, selon la prépondérance des probabilités, que l’utilisation du fluor dans la revendication 1, en particulier avec un catalyseur[267] pour aider la cyclisation, ne fonctionnerait pas ou qu’un tel procédé ne pourrait pas faire l’objet d’une prédiction valable fondée sur les expériences décrites dans le brevet et les connaissances générales courantes au sujet du fluor comme groupe partant.

10.3. Lacunes du mémoire descriptif et ambiguïté

[613]       Sous ce titre, Apotex formule plusieurs plaintes pour étayer sa thèse selon laquelle la description du brevet 007 (seul brevet auquel cette thèse s’applique) comporte des lacunes et ne renferme pas toute l’information nécessaire pour permettre à la personne versée dans l’art de mettre à l’essai et d’utiliser l’invention revendiquée. Ces plaintes et tous les éléments de preuve sur lesquels s’appuie Apotex sont décrits de façon détaillée dans son mémoire sur la validité aux paragraphes 121 à 134.

[614]       Comme la Cour a déjà indiqué que la seule revendication valide qui demeure en litige à cette étape est la revendication 17, cette thèse ne sera examinée qu’en ce qui concerne l’invention visée par cette revendication, c’est‑à‑dire le procédé pour fabriquer le complexe cinétique en utilisant comme solvant un hydrocarbure aromatique ou halogéné.

[615]       Les principes applicables sont bien connus. Qu’il suffise ici de dire que l’article 34 de la Loi sur les brevets en vigueur à l’époque prévoyait que le mémoire descriptif (la description et les revendications) devait i) décrire d’une façon exacte et complète l’invention, ii) exposer clairement les diverses phases du procédé revendiqué à la revendication 17 dans des termes complets, clairs, concis et exacts qui permettent à toute personne versée dans l’art d’utiliser l’invention et iii) revendiquer distinctement la « chose » que l’inventeur considère comme son invention.

 

[616]       La jurisprudence (y compris les affaires citées par Apotex au paragraphe 122) établit clairement que le brevet doit [traduction] « divulguer tout ce qui est essentiel au bon fonctionnement de l’invention ».

[617]       En résumé, Apotex allègue que le brevet 007 omet de divulguer qu’il faut i) éviter l’excès de TPP, ii) fabriquer le complexe cinétique ou l’utiliser à ‑10 ºC, iii) et utiliser le complexe cinétique rapidement; et iv) il ne donne pas assez de détails sur les espèces précises qui sont visées par les revendications[268].

[618]       Au cours de ses observations finales, Apotex a concédé qu’il ne s’agissait pas là d’un argument majeur dans sa défense. En fait, la Cour est quelque surprise qu’Apotex s’en soit servi vu la pauvreté de la preuve qui l’étaye et le fait que tous les experts qui ont tenté de fabriquer le complexe cinétique, en suivant les instructions du brevet 007, ont réussi dès leur toute première tentative (tels MM. Modro et Chase pour Apotex) et n’ont eu aucune difficulté à distinguer le complexe cinétique du produit thermodynamique[269].

[619]       La seule chose qu’il convient donc de dire est qu’Apotex n’a pas réussi à convaincre la Cour que la personne versée dans l’art armée de toute l’information contenue dans le brevet 007 et de ses connaissances générales courantes ne serait pas en mesure d’utiliser avec succès le procédé décrit à la revendication 17 pour fabriquer des complexes cinétiques. Autrement dit, la preuve sur laquelle elle s’appuyait est simplement insuffisante pour conclure qu’elle s’est acquittée de ce fardeau.

[620]       Par exemple, le passage de TX‑220 sur lequel elle s’appuyait pour étayer son point de vue qu’il était essentiel d’indiquer à la personne versée dans l’art qu’il ne faut pas utiliser une quantité excessive de TPP a été lue hors contexte et sans que toute l’information divulguée dans le brevet 007 ne soit prise en considération. Le passage reproduit à l’onglet 168 est tiré d’un paragraphe qui débute par le mot « au départ ». Il décrit, comme je l’ai déjà mentionné, le processus de découverte. Les inventeurs ont eu de la difficulté à reproduire leur première expérience réussie. Lors de leurs tentatives pour ce faire, ils ont constaté que le réactif qui était demeuré à 0º C pendant toute la nuit était devenu inactif et que l’ajout d’un équivalent de Cl à deux équivalents de TPP avait aussi donné un produit inerte (qui ne pouvait pas être employé pour transformer un substrat de céphalosporine). À cette époque, il est clair que les inventeurs comprenaient très peu le ou les produits obtenus par suite de la réaction entre le TPP et le Cl.

[621]       Les exemples 3, 4, 5 et 8 ne montrent pas qu’il faille utiliser une quantité excessive de TPP de l’ampleur de celle décrite dans TX‑220. Dans de telles expériences, les deux réactifs sont mélangés jusqu’à ce qu’une couleur jaune, indicatrice d’un excès de Cl persiste, couleur qui disparaît ensuite par suite de l’ajout d’une quantité supplémentaire de TPP. Cette façon de faire correspond au mode préférentiel décrit de la ligne 30, page 11, à la ligne 7, page 12. Le brevet 007 indique clairement, à la page 11, lignes 23 à 27, que le TPP lui‑même réagit dans une certaine mesure avec son produit de réaction cinétique avec le Cl ou le Br, ce qui augmente effectivement le taux de conversion vers le produit thermodynamique correspondant (voir aussi la page 6, lignes 24-27).

[622]       De toute évidence, il ne faut jamais perdre de vue le fait que la revendication 17 prévoit expressément l’utilisation de quantités équivalentes de triarylphosphite et de Cl ou de Br et, dans une de ses variantes (revendication 10), d’une quantité excessive de Cl qui est maintenue durant la réaction entre le triarylphosphite et le Cl[270]. Manifestement, la personne versée dans l’art qui utiliserait un ratio 2(TPP):1(Cl)[271] ou une quantité excessive de TPP d’une telle ampleur ne réaliserait pas l’invention.

[623]       En ce qui concerne la nécessité d’utiliser rapidement le complexe cinétique et de le fabriquer ou de l’utiliser à une température de ‑10º C ou moins, la Cour a déjà examiné les passages de TX‑211 sur lesquels s’appuyait Apotex, lors de l’examen de la question de l’utilité, et le point de vue de M. McClelland à ce sujet.

[624]       À la page 5, ligne 24, de la description, on trouve le passage suivant qui s’adresse à la personne versée dans l’art :

[traduction] Pour augmenter au maximum la production et la stabilité du produit cinétiquement contrôlé, les conditions réactionnelles sont choisies de façon à réduire au minimum la possibilité d’équilibre thermodynamique du produit initial de la réaction. La façon la plus simple d’obtenir les conditions favorables au contrôle cinétique est d’abaisser à la fois la température de réaction et la température du produit cinétique après sa formation et de réduire au minimum le temps permis pour l’atteinte de l’équilibre thermodynamique, en utilisant par exemple le produit cinétique dans une réaction ultérieure immédiatement après sa préparation.

 

[Non souligné dans l’original.]

 

Il est difficile de concevoir comment la personne versée dans l’art pourrait ne pas très bien comprendre la façon de réaliser l’invention.

 

[625]       Finalement, la Cour abordera la question de la nécessité d’identifier le complexe cinétique par rapport à une formule chimique spécifique ou plus précise, par exemple. Vu son interprétation et ses conclusions antérieures, la Cour souscrit à l’opinion de M. Baldwin à ce sujet. Il a indiqué très clairement que le mémoire descriptif fournissait facilement assez d’information de nature chimique pour distinguer le complexe cinétique du produit formé le plus tard, c’est‑à‑dire le produit thermodynamique[272]. La Cour est tout à fait d’accord avec la thèse de Lilly voulant que, selon la prépondérance de la preuve, pour la personne versée dans l’art qui est au fait des connaissances divulguées dans le brevet 007, il est relativement simple d’observer la conversion du complexe cinétique en produit thermodynamique au moyen de la RMN du 31P.

 

11. Les mesures de redressement et les dépens

11.1. La perte de droit et la compensation

[626]       Dans ses conclusions écrites aussi bien qu’orales, Apotex a soutenu que la conduite de Lilly concernant les brevets de Shionogi devrait la priver du droit à tout redressement (en equity ou autre) découlant de sa prétention en contrefaçon, relativement à la totalité des brevets en litige. Apotex fait également valoir que, même si les prétentions qu’elle élève sous le régime de la Loi sur la concurrence, L.R.C. 1985, ch. C‑34, sont prescrites, les actes par ailleurs anticoncurrentiels de Lilly devraient la dégager de toute responsabilité consécutive à la contrefaçon de brevets, conformément à la doctrine de la compensation en equity.

[627]       Premièrement, il est important de rappeler que, bien que la défense à l’action principale comporte une allégation relative à la perte de droit, on n’y trouve aucune allégation concernant la compensation en equity. En outre, Apotex n’a pas produit de preuve tendant à établir une infraction sous le régime de l’article 45 dans l’action principale. Elle n’a pas convenu avec les demanderesses (comme dans le cas de certains éléments produits sur consentement dans la demande reconventionnelle pour éviter les répétitions) que la preuve produite dans le contexte de la demande reconventionnelle serait versée sur consentement au dossier de l’action principale.

[628]       Lorsque Lilly a invoqué l’absence d’une telle allégation dans la défense, Apotex a répondu qu’il s’agissait là seulement d’une erreur de procédure qui ne lui causait aucun préjudice, puisque l’allégation du paragraphe 112 de la demande reconventionnelle[273] l’avait informée que la défenderesse demandait un rajustement par compensation.

[629]       Cela dit, même s’il était possible à la Cour d’importer, comme le propose Apotex, la preuve versée au dossier de la demande reconventionnelle, lequel comprend des éléments provenant de Shionogi, qui n’est pas partie à l’action principale, la Cour estime infondée la demande reconventionnelle d’Apotex au double motif de la prescription et du fait qu’Apotex n’a pas établi avoir subi une perte découlant du comportement anticoncurrentiel supposé.

 

[630]       Or, si la prétention d’Apotex relative à la concurrence ne peut être accueillie dans le contexte de sa demande reconventionnelle, elle ne peut non plus valoir comme moyen de défense contre la prétention de Lilly dans l’action principale.

 

[631]       Cependant, dans le cas où je me tromperais concernant le bien-fondé de la demande reconventionnelle d’Apotex, mais où resterait valable ma conclusion comme quoi sa prétention reconventionnelle relative à la concurrence est prescrite, il pourrait être loisible à Apotex de faire valoir celle‑ci comme moyen de défense contre l’action en contrefaçon de Lilly. En effet, les moyens de défense fondés sur la doctrine du redressement en equity ne sont pas soumis à la prescription; voir Canada Trustco Mortgage Co. c. Pierce Estate; Pierce c. Canada Trustco Mortgage Co. (2005), 254 D.L.R. (4th) 79, 197 O.A.C. 369 (Trustco), paragraphe 4. Il n’a pas été produit de jurisprudence sur ce point pour ce qui concerne la perte de droit.

 

[632]       Apotex, par ses moyens relatifs à la compensation en equity et à la perte de droit, essaie de mettre en balance la conduite de Lilly à l’égard de Shionogi avec les prétentions en contrefaçon que fait valoir celle‑là sous le régime de la Loi sur les brevets. Pour les motifs dont l’exposé suit, j’estime que, dans le contexte de la présente espèce, il n’est pas permis à Apotex d’invoquer ses allégations de comportement anticoncurrentiel pour se dégager de sa responsabilité en contrefaçon en vertu des principes de la perte de droit ou de la compensation en equity.

 

[633]       La juge Sharlow a examiné la nature de la perte de droit dans Volkswagen Canada Inc. c. Access International Automotive Ltd., 2001 CAF 79, [2001] 3 CF 311, où elle a conclu que, pour que le principe de la perte de droit soit applicable, le défendeur doit établir « entre la conduite prétendument illégale et la réparation d’equity recherchée par le breveté, un lien susceptible d’étayer un moyen de défense d’absence de conduite sans reproche » (paragraphe 25; non souligné dans l’original). Voir aussi Sanofi-Aventis Canada Inc. c. Apotex Inc., 2008 CAF 175, 66 C.P.R. (4th) 6, paragraphes 14 à 16. Le juge Hugessen est arrivé à une conclusion semblable à la page 546 de Procter & Gamble Co. c. Kimberley-Clark of Canada Ltd. (1990), 29 C.P.R. (3d) 545, [1990] A.C.F. no 58 (QL) [C.A.F.] :

Pour que l’equity refuse, en vertu de la doctrine des « mains propres », une réparation à laquelle une partie aurait autrement droit, il faut que la conduite passée de cette partie soit directement reliée à la cause d’action même invoquée dans la demande, en l’espèce le brevet [...]

 

[Non souligné dans l’original.]

 

[634]       Le juge Rothstein (alors membre de la Cour fédérale) a défini comme suit l’examen pertinent en matière de perte de droit :

Il est évident que ce n’est pas n’importe quelles allégations de mauvaise conduite de la part d’une partie qui peuvent être prises en considération relativement à la décision d’accorder ou non une réparation reconnue en equity. La mauvaise conduite doit être directement liée à la demande de la demanderesse.

 

[Visx Inc. c. Nidek Co., (1994), 87 F.T.R. 96, 58 C.P.R. (3d) 51 (C.F.) (Visx), paragraphe 5; non souligné dans l’original.]

 

[635]       Par conséquent, la Cour ne peut souscrire à l’argument d’Apotex comme quoi le moyen de défense fondé sur la perte de droit pourrait invalider entièrement la prétention de Lilly, étant donné que le droit de celle‑ci d’actionner en contrefaçon est fondé sur une loi écrite et non pas seulement sur l’equity. À mon avis, on ne pourrait envisager d’accueillir ce moyen de défense que relativement au droit de Lilly de choisir le mode de son indemnisation, étant donné qu’il s’agit là d’une forme de redressement reconnue en equity.

[636]       La compensation en equity, par contre, constitue un moyen de défense de fond, qui, s’il était accueilli, invaliderait toute prétention à redressement, en equity ou autre, du demandeur; voir les paragraphes 43 à 46 de Trustco, où l’on cite Henriksens Rederi A/S c. PHZ Rolimpex, [1973] 3 All E.R. 589 (C.A.) [le lord juge Denning].

 

[637]       La Cour d’appel de la Saskatchewan a examiné de manière approfondie dans Saskatchewan Wheat Pool c. Feduk, 2003 SKCA 46, [2004] 2 W.W.R. 69, les principes sous-jacents à la compensation en equity, y compris la jurisprudence canadienne et anglaise applicable :

[traduction]

 

Le point de départ est Holt c. Telford, où le juge Wilson, écrivant au nom de la Cour, cite l’exposé des principes applicables en matière de compensation en equity que donne Coba Industries Ltd. c. Millie’s Holdings (Canada) Ltd. et al :

1. La partie qui invoque le droit à la compensation doit faire état d’un motif reconnu en equity d’être protégée contre les exigences de la partie adverse : Rawson et al c. Samuel (1841), Cr. & Ph. 161, 41 E.R. 451.

 

2. Le motif reconnu en equity doit toucher l’essence même de la prétention du demandeur pour que la compensation soit permise : British Anzani.

 

3. La prétention reconventionnelle doit avoir un rapport si évident avec la prétention du demandeur qu’il serait manifestement injuste de permettre à ce dernier de contraindre la partie adverse au paiement sans prendre en considération ladite prétention reconventionnelle : Federal Commerce & Navigation Ltd.

 

4. Il n’est pas nécessaire que la prétention du demandeur et la prétention reconventionnelle découlent du même contrat : Bankes c. Jarvis, [1903] 1 K.B. 549; et British Anzani.

 

5. Les créances dont la somme n’est pas déterminée sont à considérer sur le même pied que celles dont la somme est déterminée : affaire terre-neuvienne.

 

[Renvois omis; non souligné dans l’original.]

 

[638]       La Cour d’appel de la Saskatchewan cite ensuite Federal Commerce & Navigation Co. Ltd. c. Molena Alpha Inc., [1978] 3 All E.R. 1066 (C.A.) [Federal Commerce], conf. pour d’autres motifs par [1979] A.C. 757 (H.L.), où le lord juge Denning formulait (à la page 1078) le critère suivant concernant les demandes en compensation fondée sur l’equity :

[traduction] Cette question doit être posée dans chaque affaire au moment où l’on en est saisi; nous pourrons ainsi, d’une affaire à l’autre, constituer une série de précédents propre à guider ceux qui nous suivront. Mais une chose est tout à fait certaine : ce ne sont pas toutes les prétentions reconventionnelles qui peuvent donner lieu à compensation, mais seulement celles qui découlent de la même opération ou y sont étroitement liées – et seulement celles qui invalident directement les prétentions du demandeur, c’est‑à‑dire qui sont si étroitement liées à ces dernières qu’il serait manifestement injuste de lui permettre de contraindre la partie adverse au paiement sans prendre en considération la prétention reconventionnelle.

 

[Non souligné dans l’original

 

Voir aussi : Old Mac’s Pty. Ltd. c. Cavallo Horse & Rider Inc., 2007 BCSC 726, 157 A.C.W.S. (3d) 944, paragraphe 39; et Cam-Net Communications c. Vancouver Telephone Co., 1999 BCCA 751, 182 D.L.R. (4th) 436, paragraphes 46 à 49.

 

[639]       Si la perte de droit et la compensation en equity ont une portée différente, ces deux moyens de défense posent la même question, que Federal Commerce et Visx formulent de manière analogue : est‑ce que la conduite inacceptable ou illicite de la partie demanderesse (Lilly en l’occurrence) touche l’essence même de sa demande ou l’invalide autrement et, dans l’affirmative, la partie défenderesse (Apotex dans la présente espèce) devrait-elle être dégagée de sa responsabilité?

 

[640]       Il n’est pas contesté dans la présente affaire que Lilly est titulaire de la totalité des huit brevets en litige. Aucune disposition de la Loi sur les brevets n’interdit au titulaire de brevet de céder ses droits. S’il est vrai qu’une telle cession peut entraîner des effets anticoncurrentiels – voir le paragraphe 27 de l’arrêt rendu par la Cour d’appel fédérale sur les requêtes en jugement sommaire formées dans le cadre de la présente affaire (2005 CAF 361, [2006] 2 R.C.F. 477) –, ces effets ne mettent pas par ailleurs en cause les droits de propriété d’un brevet. Autrement dit, les conséquences anticoncurrentielles de la cession licite de droits de brevet ne vicient ni n’invalident en soi cette cession. De telles conséquences ne peuvent de toute évidence avoir aucun effet sur la propriété des brevets de Lilly.

 

[641]       Bien qu’elles soient liées à la cession des droits de brevet de Shionogi, les allégations de comportement anticoncurrentiel formulées par Apotex contre Lilly ne remettent en cause, à mon avis, sa qualité de titulaire d’aucun ces brevets.

 

[642]       La Cour estime qu’il n’y a pas de lien entre les actes contrefaisants d’Apotex, qui forment l’objet de l’action principale, et le comportement illicite supposé. Apotex aurait contrefait les brevets de Shionogi quel qu’en soit le propriétaire. Je m’expliquerai sur ce sujet de manière plus détaillée dans mes motifs relatifs à la demande reconventionnelle.

 

[643]       Même en supposant qu’un acte anticoncurrentiel puisse toucher l’essence même d’une prétention en contrefaçon de brevet, je refuserais dans la présente espèce d’exercer mon pouvoir discrétionnaire de faire bénéficier Apotex d’une compensation en equity ou d’une perte de droit de la demanderesse. Premièrement, à cause de la question de preuve examinée plus haut. Deuxièmement, parce que, comme je l’ai déjà dit, il me paraît tout à fait probable qu’Apotex aurait contrefait les brevets de Shionogi quel qu’en soit le propriétaire, et qu’il ne serait pas injuste, dans la présente espèce, d’obliger Apotex à payer les dommages-intérêts découlant de ses actes illégaux.

 

[644]       Troisièmement, il faut bien voir que la Loi sur les brevets et la Loi sur la concurrence sont deux lois distinctes. Ce qu’Apotex cherche à faire, en faisant valoir la perte de droit et en demandant la compensation en equity, c’est de ressusciter sa demande prescrite sous le régime de la Loi sur la concurrence et de lui donner une nouvelle vie dans le contexte d’une action en contrefaçon de brevet. Une telle chose ne peut être permise. Il n’est pas possible que le législateur, en promulguant la Loi sur la concurrence, ait voulu que ses dispositions relatives aux « recours spéciaux » puissent être invoquées comme moyen de défense contre une action en contrefaçon de brevet ou mettent autrement en cause les mesures de réparation auxquelles doit donner lieu la contrefaçon une fois qu’elle est constatée par un tribunal.

[645]       Récapitulons. La cession de droits de brevets peut entraîner des effets anticoncurrentiels. Cependant, dans la mesure où elle le fait, les prétentions formulées en ce sens doivent être jugées dans les limites de la Loi sur la concurrence. Si l’on obtient un jugement de cette nature, on peut ensuite demander le rajustement par compensation de toutes mesures de redressement prononcées relativement à des actes contrefaisants. Permettre qu’il en aille autrement reviendrait à cautionner le fusionnement de deux régimes dont les fins et les objets sont fondamentalement distincts.

 

            11.2. Les mesures de redressement

[646]       J’examinerai maintenant la question du redressement approprié. Lilly a demandé les mesures de redressement suivantes :

  • la possibilité de choisir entre les dommages-intérêts et la comptabilisation des profits d’Apotex;
  • des dommages exemplaires/punitifs;
  • des intérêts composés, avant et après jugement, de 9 %.

 

[647]       Pour ce qui concerne la comptabilisation des profits, la Cour d’appel fédérale a récemment répété le principe bien établi selon lequel « un juge de première instance a l’entière discrétion de décider si oui ou non il accordera ce redressement en equity » [Merck & Co. (CAF)]. Il est également de droit constant que le demandeur qui obtient gain de cause dans une instance en contrefaçon n’a pas automatiquement droit à cette mesure de redressement. La juge Aline Desjardins a déclaré dans AlliedSignal Inc. c. Du Pont Canada Inc. (1995), 95 F.T.R. 320 n, 184 N.R. 113 (C.A.F.), que « le choix entre les deux redressements [les dommages-intérêts et la restitution des bénéfices] ne peut être laissé entièrement à la discrétion de la partie demanderesse qui a gain de cause » (paragraphe 77).

[648]       La jurisprudence révèle que le droit de choisir le mode d’indemnisation a été refusé pour diverses raisons : le caractère tardif de l’action en contrefaçon : Consolboard (1978); « toute mauvaise conduite de la part du breveté » et « la bonne foi du contrefacteur » : Beloit Canada Ltée c. Valmet-Dominion Inc., [1997] 3 C.F. 497, 214 N.R. 85 (C.A.F.), paragraphes 111 et 119; et le fait que « les demanderesses ont fondamentalement abandonné la partie et ont laissé évoluer l’action sans presse » : Merck & Co. c. Apotex Inc., 2006 CF 524, 282 F.T.R. 161 [Merck & Co. (CF)], paragraphe 229. Évidemment, chacune de ces affaires s’inscrit dans un contexte factuel tout à fait particulier et se distingue nettement de la présente espèce. Ces décisions n’en restent pas moins utiles s’agissant de définir les facteurs à prendre en considération par notre Cour dans l’exercice de son pouvoir discrétionnaire.

 

[649]       Apotex soutient que Lilly ne peut faire état devant notre Cour d’une conduite sans reproche, étant donné les éléments de preuve établissant qu’elle s’est comportée de manière anticoncurrentielle en devenant titulaire des brevets de Shionogi et en essayant d’empêcher l’entrée des génériqueurs sur le marché du céfaclor en forme posologique. Fondamentalement, Apotex fait aussi valoir que la Cour devrait refuser à Lilly le droit de choisir le mode de son indemnisation, au motif qu’elle n’a pas fait preuve de diligence dans la poursuite de la présente action, qui a mis près de onze ans à parvenir au stade de l’instruction et est intrinsèquement complexe. Enfin, Apotex invite la Cour à prendre en considération le type de la contrefaçon en question, c’est‑à‑dire le fait qu’il s’agit d’une contrefaçon par importation, et que ce fait devrait la déterminer à refuser à Lilly le droit de choisir le mode de son indemnisation.

[650]       Apotex conteste vigoureusement le droit que fait valoir Lilly au choix du mode de son indemnisation et soutient que les dommages subis par elle ne devraient donner lieu qu’au versement de redevances raisonnables. Apotex fait ensuite volte-face pour soutenir que, dans le cas où la Cour refuserait de limiter l’indemnisation à l’équivalent de redevances raisonnables, Lilly ne devrait avoir droit qu’à une comptabilisation des profits, le montant desquels est inférieur à celui des dommages-intérêts généraux qu’Apotex aurait à payer.

 

[651]       Apotex ne paraît pas faire de distinction entre la contrefaçon des brevets de Lilly et la contrefaçon des brevets de Shionogi, alors que le versement de redevances ne peut s’appliquer qu’à ces derniers. En outre, les redevances raisonnables ne peuvent servir qu’à indemniser le demandeur au titre des ventes faites par le contrefacteur qu’il n’aurait pas faites lui-même[274]. Bien que Lilly ne mît pas en œuvre les brevets de Shionogi à proprement parler, elle avait un produit sur le marché, dont elle soutient que les ventes ont pâti du fait de l’introduction sur ce même marché du produit contrefaisant d’Apotex.

 

[652]       Dans ces conditions, la Cour ne voit pas pourquoi elle limiterait l’indemnisation de Lilly à des redevances raisonnables. Ayant examiné et évalué l’ensemble des faits de la présente espèce, la Cour estime que le moyen d’exercer légitimement son pouvoir discrétionnaire est de donner à Lilly le droit de choisir entre la comptabilisation des profits et les dommages-intérêts. Lilly doit cependant bien comprendre que, si elle opte pour les dommages-intérêts, il lui faudra établir la quantité du manque à gagner directement attribuable aux actes contrefaisants d’Apotex.

 

[653]       Pour ce qui concerne le comportement anticoncurrentiel supposé, la Cour ne pense pas, comme je l’ai déjà dit, que cette allégation puisse justifier dans la présente espèce que soit refusé à Lilly le droit de choisir le mode de son indemnisation.

 

[654]       Quant au retard allégué, s’il est vrai que la présente action a effectivement mis près de onze ans à parvenir au stade de l’instruction, la Cour ne pense pas que cette durée soit excessive eu égard aux circonstances[275] et ne peut à cet égard imputer à Lilly de manquements qui justifieraient qu’elle lui refuse le redressement demandé. Il est également à noter que, dans la présente espèce, le dernier en date des brevets en litige a expiré le 26 juin 2000. Par conséquent, les actes ou omissions qui auraient retardé l’instruction de la présente action après cette date n’ont guère de pertinence aux fins de la comptabilisation des profits, puisqu’aucun acte contrefaisant n’a été commis après ladite date[276].

 

[655]       En outre, Apotex a su dès 1993 que Lilly et Shionogi s’opposaient à la délivrance d’un AC pour l’Apo-Cefaclor, lorsque a été introduite contre elle la procédure relevant du RMB(AC). Et dès qu’Apotex est entrée sur le marché, Lilly lui a intenté une action en contrefaçon[277], dont elle s’est désistée, il est vrai, mais pour lui en intenter une deuxième peu après, en juin 1997. Apotex, donc, savait ou aurait dû savoir que Lilly ferait valoir ses droits de brevet.

 

[656]       Le fait qu’Apotex insiste pour que la Cour refuse à Lilly le droit de choisir le mode de son indemnisation et limite celle‑ci à des redevances raisonnables concorde plutôt avec son affirmation qu’elle a le droit de contrefaire des brevets au moindre coût possible. Comme je le répéterai dans les motifs de sa décision rejetant la demande reconventionnelle d’Apotex, la Cour ne peut souscrire à un tel point de vue.

 

            11.3. Les dommages-intérêts exemplaires/punitifs

[657]       Dans Lubrizol Corp. c. Imperial Oil Ltd., [1996] 3 C.F. 40, 197 N.R. 241 (paragraphe 36), la Cour d’appel fédérale, citant l’arrêt de la Cour suprême du Canada Hill c. Église de scientologie de Toronto, [1995] 2 R.C.S. 1130, (1995), 24 O.R. (3d) 865, a déclaré ce qui suit : « La Cour ne peut statuer que des dommages-intérêts exemplaires doivent être accordés avant qu’elle ne détermine que les dommages-intérêts généraux ne suffisent pas à punir et à dissuader. Autrement dit, la Cour doit d’abord établir les dommages-intérêts généraux. » Par conséquent, la Cour ne peut prononcer de dommages-intérêts punitifs à la présente étape, la question des dommages-intérêts généraux ayant fait l’objet d’une disjonction.

 

[658]       Cependant, la Cour peut rationnellement établir si les faits de la présente espèce justifient, « dans une action civile, d’ajouter une sanction en sus des dommages-intérêts compensatoires » (Whiten c. Pilot Insurance Co., 2002 CSC 18, [2002] 1 R.C.S. 595, paragraphe 67 [Whiten]). En l’occurrence, l’addition d’une sanction à l’indemnisation ne se justifie pas, et la Cour ne prononcera pas de dommages-intérêts punitifs, quel que soit le résultat de la quantification des dommages-intérêts ou des bénéfices.

 

[659]       Lord Diplock, au paragraphe 71 de Broome c. Cassell & Co., [1972] A.C. 1027, a exprimé l’opinion que les tribunaux, aux fins de déterminer les mesures de redressement appropriées, doivent essayer d’établir [traduction] « en quoi, en particulier, la réparation envisagée favoriserait la réalisation de l’un ou l’autre des objectifs de la loi » (souligné dans l’original). Comme il est rappelé au paragraphe 68 de Whiten, un large consensus s’est établi comme quoi « les dommages-intérêts punitifs ont comme objectifs généraux la punition (au sens du châtiment), la dissuasion de l’auteur de la faute et d’autrui ainsi que la dénonciation ».

 

[660]       Étant donné que les dommages-intérêts punitifs servent à atteindre ces objectifs lorsque les dommages-intérêts généraux n’y suffisent pas, la conduite ainsi sanctionnée doit être rationnellement liée à la conduite au titre de laquelle une indemnisation est prononcée. Lilly fonde sa prétention en dommages-intérêts punitifs sur la conduite d’Apotex au cours de la présente action. Or cette conduite n’a rien à voir avec celle au titre de laquelle elle sera indemnisée, qui est la contrefaçon. Suivant ces principes, la Cour conclut que la conduite d’Apotex au cours de la présente action est plutôt à examiner dans le contexte de l’adjudication des dépens.

 

[661]       Cette position concorde avec celle qu’a adoptée la protonotaire Roza Aronovitch dans une décision qu’elle a rendue en 2003 concernant les modifications proposées à la déclaration de Lilly. Cette dernière souhaitait alors ajouter, aux moyens fondant sa prétention en dommages-intérêts punitifs, des allégations concernant la conduite d’Apotex dans le cadre de l’action. La protonotaire a refusé son autorisation, au motif que la conduite alléguée dans les conclusions modifiées, conduite de même nature que celle que Lilly invoque aujourd’hui, n’était pas « un comportement susceptible de justifier l’attribution de dommages-intérêts punitifs ou exemplaires » (Eli Lilly and Co. c. Apotex Inc., 2003 CF 978, [2004] 1 R.C.F. 360, paragraphe 14).

 

[662]       La protonotaire Aronovitch expliquait ainsi sa conclusion au paragraphe 14 :

L’action sous-jacente concerne la contrefaçon d’un brevet. Le prétentu refus d’Apotex de communiquer des documents pertinents de manière à prolonger sans raison la poursuite de l’action et à occasionner des dépenses aux demanderesses n’est ni un moyen, ni une aggravation ni une prolongation de la violation prétendue. Tout retard et toute dépense supplémentaire occasionnés à Lilly dans la poursuite de l’action peuvent être indemnisés par l’attribution de dépens.   

 

 

[663]       Il pourrait sembler possible de soutenir que, comme Apotex a décidé de porter atteinte aux droits de brevet de Lilly en pleine connaissance de cause, sa conduite est en fait particulièrement scandaleuse et justifie qu’on prononce contre elle des dommages-intérêts punitifs. Mais la Cour a déjà pris ce facteur en considération en accordant à Lilly le droit de choisir comme mode d’indemnisation la comptabilisation des profits d’Apotex. Par conséquent, ne s’applique pas à la présente espèce l’observation formulée par la Cour suprême du Canada au paragraphe 72 de Whiten, selon laquelle « il est rationnel d’utiliser les dommages-intérêts punitifs pour dépouiller l’auteur de la faute des profits qu’elle lui a rapportés lorsque le montant des dommages-intérêts compensatoires ne représenterait rien d’autre que le coût d’un permis lui permettant d’accroître ses bénéfices tout en bafouant de façon inacceptable les droits d’autrui, d’ordre juridique ou fondés sur l’equity ».

 

[664]       Apotex n’a pas contesté seulement sur le fond l’attribution à Lilly de dommages-intérêts punitifs : elle a aussi fait valoir que la déclaration de cette dernière ne suffisait pas à étayer sa prétention à cet égard. Afin de combler cette lacune, Lilly a sollicité l’autorisation de modifier sa déclaration le 19 décembre 2008. Il y a lieu de se demander à propos de cette requête de Lilly si elle ne constituerait pas une attaque indirecte de la décision précitée rendue par la protonotaire Aronovitch en 2003. Malgré cela, la Cour a examiné au fond la prétention en dommages-intérêts punitifs de Lilly sans égard pour la question de savoir si elle l’avait valablement poursuivie. Étant donné la conclusion à laquelle la Cour est arrivée sur le fond à cet égard, la requête de Lilly se révèle entièrement dénuée de portée pratique. La Cour rejetterait sa prétention en dommages-intérêts punitifs, qu’elle l’autorise ou non à modifier sa déclaration.

            11.4. Les intérêts

[665]       Dans toute instance dont le fait générateur n’est pas survenu dans une province ou dont les faits générateurs sont survenus dans plusieurs provinces, le paragraphe 36(2) de la Loi sur les Cours fédérales, L.R.C. 1985, ch. F‑7, est d’application et confère à notre Cour le pouvoir de majorer l’indemnisation d’intérêts avant jugement, calculés au taux qu’elle estime raisonnable en l’espèce. À moins que la Cour ne prononce sous le régime de l’alinéa 36(4)f) de la même loi (le droit aux intérêts ayant par exemple sa source dans l’equity) ou en vertu de sa compétence maritime[278], Apotex a raison de soutenir que ne peuvent être composés les intérêts avant jugement accordés sur des dommages-intérêts.

 

[666]       Par l’effet de l’alinéa 36(4)b) de la Loi sur les Cours fédérales, il ne peut être accordé d’intérêts, sous le régime de son paragraphe 36(2), sur les intérêts accumulés en vertu de son article 36. En conséquence, ont établi les Cours, on ne peut accorder d’intérêts avant jugement composés sur des dommages-intérêts [Merck & Co. (CAF)].

 

[667]       Il ne s’ensuit pas pour autant qu’on ne puisse, dans le cadre du renvoi qui portera sur la quantification des dommages-intérêts ou des profits (selon le choix de Lilly), accorder des intérêts avant jugement composés (même à un taux élevé) comme élément de l’indemnisation, à condition que Lilly présente à cet égard une preuve suffisante. Les intérêts ainsi accordés le sont dans le cadre des dommages-intérêts et non d’une décision distincte attribuant des intérêts.

 

[668]       Le juge John Major écrivait ce qui suit au paragraphe 44 de Banque d’Amérique du Canada c. Société de Fiducie Mutuelle, 2002 CSC 43, [2002] 2 R.C.S. 601 (Banque d’Amérique du Canada) : « [L’intérêt composé] est désormais courant [...] C’est pour de telles raisons que la common law s’est adaptée à la réalité économique et permet de nos jours l’octroi d’intérêts composés. Les restrictions du passé ne devraient pas servir aujourd’hui à isoler le système juridique du reste du monde. »

 

[669]       Le juge Major a reconnu « que le tribunal pouvait accorder de l’intérêt composé dans l’exercice de sa compétence générale en equity » (paragraphe 42). Ce droit est de la nature de celui que prévoit l’alinéa 128(4)g) de la Loi sur les tribunaux judiciaires, L.R.O. 1990, ch. C.43, équivalent de l’alinéa 36(4)f) de la Loi sur les Cours fédérales, dont le contenu se retrouve aussi à l’alinéa 2(2)i) de la Judgment Interest Act, R.S.A. 2000, ch. J‑1 (Alberta).

 

[670]       L’affaire Banque d’Amérique du Canada relevait du droit des contrats. C’est sur ce fondement que la Cour d’appel de l’Ontario avait conclu que l’equity ne s’y appliquait pas, que donc il n’y avait pas d’intérêts à payer en vertu d’un droit ayant « sa source ailleurs que dans [l’article 128] » et que l’affaire ressortissait à l’alinéa 128(4)b) de la Loi sur les tribunaux judiciaires[279], qui interdit d’accorder des intérêts sur les intérêts. Cependant, la Cour suprême du Canada a fait observer que l’alinéa 128(4)g) n’existait pas simplement pour conférer le droit de recevoir des intérêts composés en equity. Un droit aux intérêts conféré par la common law peut constituer un droit aux intérêts qui « a sa source ailleurs » et donc échapper à l’application des lois susdites. Cette décision a amené les tribunaux à réexaminer la question des intérêts composés.

 

[671]       Par exemple, la Cour d’appel de l’Alberta a conclu au paragraphe 185 de l’arrêt Alberta (Minister of Infrastructure) c. Nilsson, 2002 ABCA 283, 220 D.L.R. (4th) 474, que [traduction] « l’arrêt Banque d’Amérique oblige à recourir à la common law dans les cas où l’octroi d’intérêts composés est nécessaire pour indemniser valablement des dommages prouvés »[280]. Elle justifiait cette conclusion au paragraphe 183 dans les termes suivants :

[traduction] (…) les principes de l’équité commerciale militaient en faveur de l’octroi d’intérêts composés, tout comme le principe de la réparation intégrale. Il était ainsi constaté que les parties demanderesses, si on ne leur accordait pas d’intérêts composés, subiraient une perte non indemnisable [...]

 

[672]       Qui plus est, le raisonnement de Banque d’Amérique du Canada a même été suivi en Colombie-Britannique, où les dispositions applicables, soit celles de l’article 2 de la Court Order Interest Act, R.S.B.C. 1996, ch. 79, ne prévoient pas de dérogation au titre des intérêts à payer en vertu d’un droit qui « a sa source ailleurs ». Par exemple, la Cour d’appel de la Colombie-Britannique écrivait ce qui suit au paragraphe 37 de Morriss c. British Columbia, 2007 BCCA 337, 281 D.L.R. (4th) 702 : [traduction] « [...] l’octroi d’intérêts composés ne devrait pas être discrétionnaire lorsque la réparation intégrale exige de tels intérêts. Dans ce contexte, la partie demanderesse a légalement droit aux intérêts composés. »

 

[673]       Dans la présente espèce, la Cour n’est pas en mesure d’établir si Lilly a droit ou non à des intérêts avant jugement dans le cadre de ses dommages-intérêts, puisque, comme je le disais plus haut, « toute question concernant les dommages subis par [Lilly] » a fait l’objet d’une disjonction en exécution de l’ordonnance du juge Hugessen en date du 29 novembre 1999[281]. Par conséquent, Lilly aura la possibilité, dans le cadre du renvoi, d’essayer d’établir que la réparation intégrale exige l’octroi d’intérêts composés, et quel est le taux nécessaire à cette fin. Si elle y parvient, son droit à ces intérêts aura sa source ailleurs que dans le paragraphe 36(2) de la Loi sur les Cours fédérales, et l’alinéa 36(4)f) de cette loi interdira à la Cour d’accorder des intérêts avant jugement sous le régime de son paragraphe 36(2).

 

[674]       Il n’y a pas vraiment lieu de douter que des intérêts avant jugement puissent et doivent être accordés dans la présente espèce, mais la Cour, pour les raisons que je viens d’exposer, ne peut établir laquelle des dispositions de la Loi sur les Cours fédérales est applicable. Par conséquent, afin de faire en sorte qu’une forme d’intérêts avant jugement soit octroyée sans égard pour le résultat du renvoi, la Cour accordera des intérêts avant jugement simples, à un taux à calculer séparément pour chaque année d’activité contrefaisante, au taux bancaire annuel moyen établi par la Banque du Canada comme taux minimum auquel elle consent des avances à court terme aux banques énumérées à l’annexe 1 de la Loi sur les banques, L.R.C. 1985, ch. B‑1. Cependant, cette décision est subordonnée à la condition que le juge du renvoi n’accorde pas d’intérêts en vertu d’un droit visé à l’alinéa 36(4)f) de la Loi sur les Cours fédérales.

 

[675]       Pour ce qui concerne la question des intérêts après jugement, il est de droit constant qu’ils doivent être simples et calculés au taux de 5 %, conformément à l’article 4 de la Loi sur l’intérêt, L.R.C. 1985, ch. I‑15 : Janssen‑Ortho (2006), paragraphe 166; Merck & Co. (CF), paragraphe 241; et Laboratoires Servier, paragraphe 513.

 

11.5. Les dépens

[676]       Lilly a présenté des observations détaillées tendant à établi que la conduite d’Apotex au cours de l’action justifie l’adjudication de dépens avocat-client. Entre autres facteurs, Lilly invoque la non-communication de documents valables concernant les procédés de production, la fourniture tardive de documents dans le cadre de la communication préalable, les expériences qui auraient été inutiles si Apotex avait respecté les règles de la communication préalable, l’insuffisance des préavis relatifs aux essais effectués par Apotex, les actes de procédure défectueux, l’absence de coopération dans la phase préparatoire au procès, les chevauchements inutiles de la preuve d’expert, en en particulier la non-communication, même à la Cour (au juge Hugessen), de la correspondance avec Lupin concernant les procédés de fabrication de cette dernière. La Cour note aussi que, bien qu’Apotex ait d’abord mentionné des centaines d’antériorités opposables à la nouveauté des revendications en litige, elle a omis d’inclure dans sa liste un grand nombre de celles qu’ont invoquées ses propres experts, ce qui l’a obligé à demander une autorisation de modification au cours de l’instruction.

 

[677]       Concernant la non-communication de la correspondance avec Lupin et des renseignements relatifs à cette entreprise, Apotex a choisi de ne pas produire de preuve expliquant comment cette omission s’est produite et pourquoi elle n’a pas été, ou n’aurait pas pu être, découverte plus tôt. Il est difficile d’imaginer qu’on n’ait pas attentivement révisé le dossier pour se préparer à l’instruction, qu’il soit ou non vrai qu’un commis a classé par mégarde la lettre de Lupin en date du 4 juillet 2000 sans la porter à l’attention des avocats concernés. Apotex n’a pas expliqué de manière satisfaisante pourquoi les documents se trouvant en la possession de M. Singh, ainsi que la boîte de documents envoyée à Lilly quelques semaines seulement avant l’instruction, n’auraient pas pu être obtenus plus tôt.

 

[678]       En outre, il ne fait aucun doute que les actes de procédure, y compris la liste des antériorités invoquées, auraient dû être révisés avant l’instruction, et que la non-production par Apotex de traductions de certaines de ces publications antérieures et le fait qu’elle n’ait pas convenu avec la partie adverse de présenter un recueil conjoint qui aurait réuni la plupart des documents utilisés à l’instruction, ont entraîné une perte de temps et un gaspillage d’énergie pour tous les intéressés, y compris la Cour. Qui plus est, comme je le disais plus haut, Apotex a choisi de maintenir de nombreux moyens qu’elle aurait dû à mon sens abandonner, au moins à l’étape de la présentation des conclusions finales.

 

[679]       Tout bien considéré, y compris les arguments d’Apotex, la Cour conclut que cette dernière s’est conduite d’une manière qui a inutilement prolongé la durée de la procédure, et il ne fait aucun doute que l’adjudication de dépens supérieurs à la normale se justifie ici. Cependant, ce n’est pas le cas des sanctions personnelles contre les avocats d’Apotex que demande Lilly.

 

[680]       Cela dit, la vraie question est de savoir dans quelle mesure les dépens devraient être supérieurs à la normale. Il est vrai que l’adjudication de dépens sur une base avocat-client se justifierait pour certains services directement liés à la conduite reprochée à Apotex, par exemple pour les requêtes qui ont donné lieu à l’ordonnance du juge Hugessen en date du 5 août 2000 et pour l’examen de dernière minute des boîtes de documents reçues peu avant l’instruction, mais il serait excessif d’adjuger carrément les dépens de la totalité de l’instance sur une telle base.

 

[681]       À la présente étape, la Cour ne dispose tout simplement pas de renseignements suffisants pour donner des instructions détaillées concernant les dépens. En conséquence, la Cour prononcera une ordonnance plus détaillée après avoir donné aux parties la possibilité de présenter des observations complémentaires touchant uniquement le montant des dépens. Les observations de Lilly devraient proposer un chiffre approximatif calculé suivant le maximum de la colonne V du tarif B, ainsi qu’une estimation des dépens avocat-client au titre des services relatifs aux activités susdites.

 

[682]       En tout état de cause, les demanderesses auront le droit de recouvrer les dépens relatifs à deux avocats, ainsi qu’un montant raisonnable au titre des honoraires et des débours des témoins experts qui ont déposé à l’instruction, exception faite de M. Gorestein.

 

12. La demande reconventionnelle d’Apotex

[683]       Le 9 mars 2001, Apotex a déposé contre Lilly une demande reconventionnelle tendant à obtenir des dommages-intérêts sous le régime de l’article 36 de la Loi sur la concurrence. Le 25 novembre 2002, elle a modifié cette demande reconventionnelle pour y ajouter Shionogi comme défenderesse. Elle y soutient ce qui suit :

[traduction] Shionogi, délibérément, a comploté, s’est coalisée, ou a conclu un accord ou arrangement avec Eli Lilly and Company et/ou Eli Lilly Canada Inc. (ci‑après collectivement désignées « Lilly »), pour permettre à Eli Lilly and Company d’acquérir, avec les droits y afférents, les brevets canadiens délivrés à Shionogi sous les numéros 1095026, 1132547, 1136132 et 1144924 (« les brevets de Shionogi »), dans le but, qui a été atteint, d’empêcher d’autres fabricants de produire ou d’acquérir du céfaclor ou de réduire leur capacité à le faire, et d’empêcher ou de réduire ainsi la concurrence sur le marché canadien du céfaclor[282].

 

Apotex fait valoir que cette conduite enfreint l’article 45 de la Loi sur la concurrence.

 

[684]       Apotex a cité quatre témoins factuels à l’instruction. Le premier de ces témoins était M. Sherman, qui, comme je le disais plus haut, était à l’époque pertinente et est toujours le président du conseil d’administration et chef de la direction d’Apotex. Il a témoigné sur sa connaissance de l’industrie pharmaceutique canadienne, ainsi que sur les pratiques et les stratégies d’Apotex, aussi bien générales que relatives au céfaclor. Il a également déposé au sujet de deux réunions qu’il aurait eues avec des représentants de Lilly Canada en juillet 1994 et en février 1996. Il ne pouvait se rappeler les noms des personnes qu’il avait ainsi rencontrées, à l’exception de celui de Terry McCool. En outre, les parties à la demande reconventionnelle ont convenu d’inclure dans le dossier de preuve de celle‑ci la transcription du témoignage donné par M. Sherman dans l’action principale[283].

 

[685]       Le témoignage de M. Sherman a été complété par ceux de deux autres membres d’Apotex, MM. Jack Kay et Gordon Fahner. M. Kay est le président et directeur de l’exploitation d’Apotex depuis 1995, et il y occupait auparavant le poste de vice-président directeur. M. Fahner est vice-président aux finances chez Apotex depuis 2003 et y occupait à l’époque pertinente le poste de directeur des finances.

 

[686]       M. Kay, comme M. Sherman, a témoigné sur sa connaissance de l’industrie pharmaceutique canadienne en général, ainsi que de la question particulière de l’état de la concurrence sur le marché du céfaclor. Il a aussi déposé au sujet des réunions qu’il avait eues avec des représentants de Lilly Canada. M. Fahner, quant à lui, a témoigné sur les pratiques comptables d’Apotex, ses systèmes financiers et ses pratiques d’établissement des coûts de revient. Ce dernier point a suscité une objection, mais il ne joue aucun rôle dans la présente décision. M. Fahner a en outre abordé les pratiques de réduction de prix. La transcription de son témoignage dans l’action principale a aussi été versée au dossier de preuve de la demande reconventionnelle sur consentement des parties.

 

[687]       Le dernier témoin factuel cité par Apotex était M. Barry Fishman, qui est actuellement le président-directeur général de Novopharm et qui a rempli, de 1992 à 1997, la fonction de vice-président à la commercialisation chez Lilly Canada. M. Fishman a témoigné sur la commercialisation du céfaclor chez Lilly, ainsi que sur l’accord conclu par cette dernière avec Pharmascience. De nombreuses objections ont été formulées à l’encontre du témoignage de M. Fishman. La Cour n’a relevé dans ce témoignage aucun élément déterminant ni même particulièrement pertinent pour aucune des questions examinées dans le présent exposé des motifs, de sorte qu’elle n’a pas à s’attarder sur ces objections.

 

[688]       Lilly et Shionogi ont cité six témoins factuels. Le premier témoin de Lilly était Me Thomas L. Pytinia, ancien employé de cette société qu’elle avait engagé en 1974. Entre autres fonctions, Me Pytinia a rempli celle de chef du contentieux de la division pharmaceutique de Lilly de 1994 à 1998. De 1989 à 1994, il était avocat-conseil et secrétaire à la Lilly International Corporation.

 

[689]       Me Pytinia a identifié des documents provenant des archives de Lilly, notamment les accords conclus par cette dernière avec Shionogi en 1975 et 1995. Il a aussi témoigné sur la chronologie des négociations entre Lilly et Shionogi qui ont conduit à la cession des brevets de cette dernière, et sur sa conviction que, avant cette cession, Lilly détenait une licence exclusive d’exploitation de ces brevets. Il a aussi déposé au sujet des accords conclus par Lilly avec des fournisseurs de céfaclor en vrac, y compris des accords de confidentialité, à la négociation et à la rédaction desquels il avait participé.

 

[690]       Le premier témoin de Shionogi était M. Takayuki Wada, qui a déposé avec l’aide d’un interprète. M. Wada, maintenant à la retraite, a travaillé chez Shionogi de 1955 à 1992. Il a occupé un poste de chercheur au service de la recherche de cette société jusqu’en 1965, pour ensuite passer au service des brevets, dont il était membre au moment de son départ à la retraite.

 

[691]       Il a témoigné sur sa participation aux travaux du groupe de recherche chargé de l’élaboration de 3‑halo‑céphalosporines à partir de pénicilline. Il semble avoir été le chef de facto de ce groupe, et à ce titre il rencontrait quotidiennement les scientiques de Shionogi. Il a aussi déclaré que Shionogi s’était lancée dans ces recherches à la suite d’une visite de M. Marvin Gorman, de Lilly, en juillet 1974. Selon son témoignage, les scientifiques de Shionogi (qu’il n’a pas désignés nommément) avaient communiqué à Lilly les résultats de leurs travaux sur l’objet du procédé de Shionogi à compter de novembre 1974. Il a exposé son interprétation de l’accord de 1975 qui avait été distribué au sein du service des brevets à l’époque pertinente. Il a également déclaré qu’il jouait un rôle direct dans ces activités lorsqu’il avait été mis fin au projet conjoint de recherche en 1976.

 

[692]       Le témoignage de M. Wada a suscité des objections, touchant en particulier les événements auxquels il n’avait pas participé directement, tels que la réunion de juin 1974 et l’entretien téléphonique supposé entre les scientifiques de Shionogi et de Lilly. La Cour accueille les moyens formulés par Shionogi dans son mémoire en date du 28 octobre 2008[284], sauf en ce qui a trait à la communication des résultats de ses recherches à Lilly. Afin d’établir s’il était nécessaire de motiver cette conclusion de manière plus détaillée, la Cour a examiné les questions sur lesquelles se fonde la présente décision en tenant compte, puis sans tenir compte, du témoignage de M. Wada. Comme le résultat est le même d’une façon ou de l’autre, il n’est pas nécessaire d’examiner cette objection plus avant.

 

[693]       M. Wada, qui a rédigé les demandes de brevet que Shionogi a déposées au Japon, a aussi témoigné sur les demandes de brevet déposées aussi bien au Japon qu’ailleurs et sur la participation de Lilly à ce processus. Bien qu’Apotex ait contesté la crédibilité de M. Wada en invoquant le fait qu’il recevait encore une pension de Shionogi et qu’il avait aussi fourni après son départ à la retraite des services d’expert-conseil à Lilly touchant le dépôt de demandes de brevet au Japon, la Cour estime qu’il est un témoin très crédible.

 

[694]       Le témoin suivant de Lilly était Me Anne Tucker, ancienne employée de Lilly (US), maintenant avocate chez Tucker Law Offices à Brownsburg (Indiana). Me Tucker a commencé sa carrière chez Lilly en 1967 comme chimiste. Après avoir obtenu son diplôme de droit, elle a travaillé comme avocate-fiscaliste (1973), puis, à partir de 1976 ou à peu près, dans le groupe des brevets internationaux au service du droit des brevets de Lilly. Elle a témoigné sur ses rapports, en cette dernière qualité, avec MM. Kanazawa et Wada de Shionogi, dans le cadre de la coopération entre cette dernière et Lilly touchant le dépôt de demandes de brevets étrangers pour le projet du 3‑halo‑céphème. Bien qu’elle ait directement participé à l’échange de certaines des lettres produites à ce sujet, Me Tucker ne se rappelait guère ces événements de manière indépendante.

 

[695]       Lilly a ensuite cité M. Terry McCool[285], directeur des affaires générales chez Lilly Canada depuis 1991. M. McCool a témoigné concernant les rencontres qu’il avait eues avec M. Kay lorsque Lilly essayait, devant la perte imminente de la protection par brevet d’un certain nombre de molécules (notamment le céfaclor), de former des partenariats avec des génériqueurs canadiens. Le témoignage de M. McCool contredisait directement celui de M. Sherman, étant donné qu’il a nié avoir jamais rencontré ce dernier. En revanche, il a reconnu avoir rencontré M. Kay, et ses souvenirs concordaient plus avec la description donnée par celui‑ci des événements.

 

[696]       Il est à noter que les réunions entre des représentants d’Apotex et de Lilly, dont MM. Kay et McCool ont fait état, avaient d’abord été évoquées dans le témoignage de M. Sherman. Ces faits n’ont pas été plaidés ni n’ont fait l’objet d’une communication ou d’interrogatoires préalables. Apotex soutient que cela n’était pas nécessaire, puisque la preuve relative à ces réunions ne tendait qu’à établir l’intention de Lilly de réduire la concurrence. Selon la Cour, tous les faits pertinents doivent être plaidés, quoi qu’on vise à établir par leur moyen. En tout état de cause, même si cette preuve était admissible, la Cour n’aurait pas été disposée à en tirer de conclusions étant donné les contradictions qui l’entachent, concernant notamment le contenu exact de la ou des réunions en question.

 

[697]       Le deuxième témoin de Shionogi était M. Sachio Tokaji, directeur général de cette société. Comme M. Wada, M. Tokaji a témoigné avec l’aide d’un interprète. M. Tokaji est entré au service de la commercialisation de Shionogi en 1970, puis est passé au service de la comptabilité en 1975, pour ensuite s’élever dans la hiérarchie jusqu’à devenir membre du conseil d’administration de la société. En 2007, il est devenu membre de la direction avant d’être nommé à son poste actuel en avril 2008.

 

[698]       M. Tokaji n’avait qu’une faible connaissance directe des faits pertinents. Il a témoigné au sujet de la commercialisation au Japon par Shionogi de produits d’autres entreprises, en particulier de produits de Lilly, notamment le céfaclor. Il a aussi déposé au sujet de la vente de produits de Shionogi dans le cadre d’accords de licence, en particulier avec Lilly et Schering‑Plough. M. Tokaji a également expliqué la nature des rapports de longue date (vieux d’un siècle) qui unissent Shionogi et Lilly. Bien que ce témoignage ajoute très peu de chose à la preuve déjà comprise dans la pièce A‑29 et aux faits admis, il a fait l’objet de nombreuses objections de la part d’Apotex.

[699]       Ici encore, aucun des éléments de la preuve contestée n’est déterminant. Afin d’éviter que le débat ne se prolongeât, la Cour a écarté les éléments visés par l’objection, en particulier pour ce qui concerne les facteurs pris en considération par Shionogi dans ses décisions relatives aux licences (décisions que le conseil d’administration de la société a prises à une époque où M. Tokaji ne jouait aucun rôle).

 

[700]       Dans le cadre du contre-interrogatoire de M. Tokaji, Apotex a essayé de faire admettre en preuve une série de lettres entre Lilly et Shionogi (pièces TX‑252 à TX‑259), dont le témoin n’avait pas directement connaissance. Cependant, M. Tokaji a pu nommer les membres de Shionogi à qui l’on avait communiqué ces lettres et expliquer la signification de diverses marques représentant les services de Shionogi qui les avaient reçues (surtout en traduisant les caractères japonais en question).

 

[701]       Le dernier témoin de Lilly était M. Peter Stringer, qui en 1994 dirigeait le service des brevets internationaux de Lilly (U.S.), notamment chargé de faire respecter les brevets de cette nature à l’extérieur des États-Unis. M. Stringer a expliqué comment et pourquoi c’était à sa demande que le brevet canadien avait été inclus dans l’accord de 1995. Le seul objet de son témoignage était d’éclairer le contexte des lettres échangées par Lilly et Shionogi juste avant la cession, qu’Apotex avait essayé de faire admettre en preuve au cours du contre-interrogatoire de M. Tokaji (pièces TX‑252 à TX‑259). Lilly et Shionogi se sont toutes deux opposées à l’admission de ces éléments, et la Cour a entendu le témoignage de M. Stringer sous réserve de sa décision sur ces objections.

 

[702]       Pour ce qui concerne les pièces TX‑252 à TX‑259, la Cour est arrivée à la conclusion qu’elles ne sont pas admissibles en preuve. Apotex a invoqué à l’appui de leur introduction en preuve dans la présente instance l’alinéa 69(2)c) de la Loi sur la concurrence :

(2) Dans toute procédure engagée devant le Tribunal ou dans toute poursuite ou procédure engagée devant un tribunal en vertu ou en application de la présente loi :

 

c) s’il est prouvé qu’un document a été en la possession d’un participant, ou dans un lieu utilisé ou occupé par un participant, ou en la possession d’un agent d’un participant, il fait foi sans autre preuve et atteste :

 

(i) que le participant connaissait le document et son contenu,

(ii) que toute chose inscrite dans le document ou par celui-ci enregistrée comme ayant été accomplie, dite ou convenue par un participant ou par l’agent d’un participant, l’a été ainsi que le document le mentionne, et, si une chose est inscrite dans le document ou par celui-ci enregistrée comme ayant été accomplie, dite ou convenue par l’agent d’un participant, qu’elle l’a été avec l’autorisation de ce participant,

(iii) que le document, s’il paraît avoir été écrit par un participant ou par l’agent d’un participant, l’a ainsi été, et, s’il paraît avoir été écrit par l’agent d’un participant, qu’il a été écrit avec l’autorisation de ce participant.

 

(2) In any proceedings before the Tribunal or in any prosecution or proceedings before a court under or pursuant to this Act,

 

 

(c) a record proved to have been in the possession of a participant or on premises used or occupied by a participant or in the possession of an agent of a participant shall be admitted in evidence without further proof thereof and is prima facie proof

(i) that the participant had knowledge of the record and its contents,

(ii) that anything recorded in or by the record as having been done, said or agreed on by any participant or by an agent of a participant was done, said or agreed on as recorded and, where anything is recorded in or by the record as having been done, said or agreed on by an agent of a participant, that it was done, said or agreed on with the authority of that participant, and

(iii) that the record, where it appears to have been written by any participant or by an agent of a participant, was so written and, where it appears to have been written by an agent of a participant, that it was written with the authority of that participant.

 

[703]       Selon l’interprétation de la Cour, ces dispositions ne s’appliquent qu’aux éléments produits à l’étape de la preuve principale de la partie concernée. En l’occurrence, Apotex a essayé de faire admettre les lettres en question après avoir clos sa preuve principale et au cours du contre-interrogatoire d’un témoin de Shionogi. En outre, la Cour n’a pas ici affaire à un problème de preuve qui entraînerait une injustice pour Apotex. Le problème de preuve est plutôt en grande partie causé par cette dernière.

 

[704]       En effet, Apotex a pris connaissance de ces documents bien avant d’en demander l’admission en preuve le 22 septembre 2008. Ils avaient fait l’objet d’interrogatoires préalables. Shionogi et Apotex avaient convenu de faire consigner en preuve certains éléments de ces interrogatoires préalables, mais celle‑ci était en fin de compte revenue sur cette décision. Les documents en question auraient pu être valablement versés au dossier de la preuve de cette façon; or Apotex en a décidé autrement. Elle ne peut invoquer le fait qu’elle n’aurait pas été au courant, avant le commencement de la présente instruction, de l’importance de ces documents : les rapports de ses propres experts y font référence. Qui plus est, la Cour lui a offert la possibilité de rouvrir sa preuve pour y permettre l’introduction régulière desdits documents, offre qu’elle a refusée.

 

[705]       Compte tenu de la totalité de ces circonstances, la Cour estime que les précédents cités par Apotex à l’appui de la production des documents en question peuvent facilement se distinguer de la présente espèce. Les documents cotés TX‑252 à TX‑259 ne sont pas admissibles en preuve. Cela dit, la Cour a examiné les questions pertinentes pour sa décision de la demande reconventionnelle en tenant compte, puis sans tenir compte, desdits documents. D’une façon ou de l’autre, ses conclusions restent les mêmes.

 

[706]       Pour ce qui concerne les témoins experts, Apotex en a cité six, et Lilly et Shionogi en ont collectivement cité deux[286]. Trois des témoins experts d’Apotex, soit MM. Aidan Hollis, Jeffrey Church et Thomas Ross, étaient des économistes (on trouvera l’exposé de leurs qualités professionnelles au tableau A). Il est évident que ces experts ont de l’expérience dans l’application des critères relatifs au comportement anticoncurrentiel sous le régime de la Loi sur la concurrence, mais les deux derniers ne possèdent ni connaissances ni expertise particulières concernant l’industrie pharmaceutique.

 

[707]       Le premier de ces témoins, M. Hollis, était chargé de définir le marché pertinent du céfaclor en vrac afin d’établir si la cession des brevets de Shionogi à Lilly avait influé sur la puissance commerciale de cette dernière. MM. Church et Ross ont ensuite essayé d’établir les effets sur la concurrence de la cession des droits de brevet de Shionogi à Lilly et le préjudice subi par Apotex du fait de cette cession, étant donné sa position d’acheteur de céfaclor en vrac.

 

[708]       Une partie des qualités professionnelles qu’on a voulu faire reconnaître à M. Hollis, notamment l’expertise en matière de pratiques de prescription, a suscité une objection. Comme la décision de la présente espèce ne repose d’aucune façon sur des éléments de preuve relatifs aux pratiques de prescription des médecins au Canada, la Cour n’a pas à trancher cette question.

 

[709]       Les autres experts appelés à témoigner pour Apotex étaient M. Robert McClelland, chimiste; M. Stephen Cole, comptable agréé et évaluateur d’entreprise; et le Dr Marvin Gans, médecin spécialisé en pédiatrie. M. McClelland, qui avait déposé dans l’action principale, a produit un rapport expliquant la distinction entre, d’une part, les brevets et les procédés de Lilly, et d’autre part ceux de Shionogi, et concernant le point de savoir s’il existait ou non, depuis 2003, d’autres procédés commercialement viables et connus du public qu’on puisse utiliser pour produire du céfaclor en vrac. Son témoignage visait à établir l’une des principales prémisses, sinon la plus importante, des opinions des économistes, en particulier de celles de M. Church[287], à savoir qu’il n’existait que deux procédés connus de fabrication du céfaclor.

 

[710]       Au départ, la position d’Apotex dans la demande reconventionnelle a laissé la Cour passablement perplexe, étant donné que dans l’action principale elle avait résolument soutenu qu’elle utilisait un procédé non contrefaisant. M. McClelland a aussi déclaré dans son contre-interrogatoire qu’il était arrivé à la même conclusion lorsque Apotex lui avait demandé d’effectuer les mêmes recherches à la fin des années 1990 (en 1997 ou 1998) et que, bien qu’Apotex ne l’en ait pas chargé, il pensait que quiconque aurait effectué les mêmes recherches en 1985 serait probablement parvenu à une conclusion identique.

 

[711]       M. Cole a déposé un rapport sur le point de savoir comment il convenait de calculer les dommages-intérêts d’Apotex et a proposé une hypothèse sur le taux de licence qui aurait été applicable si Shionogi avait concédé à Apotex une licence d’utilisation de ses procédés brevetés. Lilly s’est opposée à la reconnaissance de M. Cole comme expert au motif que son opinion ne proposait pas d’estimation des dommages-intérêts, seule chose que puisse offrir un comptable dans un rapport d’expert. En outre, Lilly s’est opposée à ce que M. Cole puisse fournir une opinion sur la fixation des taux de redevances, étant donné qu’il ne possédait pas de compétences dans ce domaine. En effet, la Cour n’aurait accordé que très peu de poids à la partie de la preuve de M. Cole portant sur les taux de redevances, car les données comparables qu’il utilise sont douteuses et insuffisantes, et il ne possède guère d’expertise sur ces questions. Cela dit, le niveau des redevances n’est pas un point sur lequel la Cour se soit prononcée.

 

[712]       Enfin, le Dr Gans a proposé des éléments de preuve touchant la manière dont les médecins choisissent les médicaments – en particulier les antibiotiques – qu’ils prescrivent à leurs clients. Apotex voulait par ces éléments réfuter la thèse des défenderesses reconventionnelles comme quoi le marché pertinent aux fins de l’examen relatif à l’article 45 était celui des antibiotiques en forme posologique de la même classe que le céfaclor, plutôt que le marché du céfaclor en vrac. Étant donné la base de sa décision, la Cour n’a tenu aucun compte de cette question ni de la preuve du Dr Gans.

 

[713]       Les experts qui ont témoigné pour le compte de Lilly et de Shionogi comprenaient un économiste, M. Iain Cockburn, et un médecin spécialisé en microbiologie, le Dr Donald Low. M. Cockburn, qui possède plus de compétences que les experts d’Apotex concernant certains produits pharmaceutiques et les pratiques de concession de licences dans l’industrie pharmaceutique, a proposé une opinion touchant l’effet sur la concurrence et en particulier sur Apotex de l’accord de cession de l995 entre Lilly et Shionogi. M. Cockburn a aussi formulé des observations sur les principaux rapports des trois experts d’Apotex en économique.

 

[714]       Le Dr Low a proposé une opinion sur les antibiotiques, en particulier le céfaclor et les produits parents ou concurrents de celui‑ci, et leur utilisation au Canada dans le traitement des infections bactériennes. Ici encore, ces éléments de preuve n’étaient pas pertinents quant aux questions sur lesquelles repose la présente décision.

 

[715]       La preuve d’expert a suscité de nombreuses objections. La Cour ne formulera ici d’observations que sur celles qui étaient pertinentes pour les conclusions sur lesquelles s’appuie la présente décision.

 

[716]       Pour évaluer cette preuve d’expert, la Cour a appliqué les critères énumérés par la Cour suprême du Canada dans R. c. Mohan, [1994] 2 R.C.S. 9, (1994), 114 D.L.R. (4th) 419 (Mohan). Comme l’y explique le juge John Sopinka, écrivant au nom de la Cour, « [l’]admission de la preuve d’expert repose sur l’application des critères suivants : a) la pertinence; b) la nécessité d’aider le juge des faits; c) l’absence de toute règle d’exclusion; et d) la qualification suffisante de l’expert » (paragraphe 17). Par exemple, la Cour n’a pas besoin de preuve d’expert sur des questions telles que l’interprétation de l’accord de 1975 à partir de l’analyse de la preuve circonstancielle. En outre, aucun de ces experts économistes n’était qualifié pour se prononcer sur de tels problèmes.

 

[717]       Une grande partie de la prétendue preuve d’expert proposée par les économistes n’était rien de plus qu’une argumentation présentée sous la forme d’une telle preuve. Les trois économistes témoignant pour Apotex semblaient particulièrement désireux de faire en sorte que la présente espèce soit la première affaire à mettre en jeu au fond le document « Propriété intellectuelle – Lignes directrices pour l’application de la loi », récemment élaboré par le Bureau de la concurrence. Pour les motifs dont l’exposé suit, il ne sera pas nécessaire dans la présente espèce d’étudier le critère qui convient à l’analyse relevant de l’article 45 ni les lignes directrices susdites.

 

12.1. Les dispositions législatives applicables

[718]       Le droit d’Apotex de recourir devant la Cour fédérale découle de l’article 36 de la Loi sur la concurrence, libellé comme suit :

36. (1) Toute personne qui a subi une perte ou des dommages par suite :

 

a) soit d’un comportement allant à l’encontre d’une disposition de la partie VI;

 

b) soit du défaut d’une personne d’obtempérer à une ordonnance rendue par le Tribunal ou un autre tribunal en vertu de la présente loi, peut, devant tout tribunal compétent, réclamer et recouvrer de la personne qui a eu un tel comportement ou n’a pas obtempéré à l’ordonnance une somme égale au montant de la perte ou des dommages qu’elle est reconnue avoir subis, ainsi que toute somme supplémentaire que le tribunal peut fixer et qui n’excède pas le coût total, pour elle, de toute enquête relativement à l’affaire et des procédures engagées en vertu du présent article.

 

[…]

 

(3) La Cour fédérale a compétence sur les actions prévues au paragraphe (1).

 

 

(4) Les actions visées au paragraphe (1) se prescrivent :

a) dans le cas de celles qui sont fondées sur un comportement qui va à l’encontre d’une disposition de la partie VI, dans les deux ans qui suivent la dernière des dates suivantes :

 

(i) soit la date du comportement en question,

 

(ii) soit la date où il est statué de façon définitive sur la poursuite;

36. (1) Any person who has suffered loss or damage as a result of

 

(a) conduct that is contrary to any provision of Part VI, or

 

 

(b) the failure of any person to comply with an order of the Tribunal or another court under this Act, may, in any court of competent jurisdiction, sue for and recover from the person who engaged in the conduct or failed to comply with the order an amount equal to the loss or damage proved to have been suffered by him, together with any additional amount that the court may allow not exceeding the full cost to him of any investigation in connection with the matter and of proceedings under this section.

 


[…]

 

(3) For the purposes of any action under subsection (1), the Federal Court is a court of competent jurisdiction.

 

(4) No action may be brought under subsection (1),

(a) in the case of an action based on conduct that is contrary to any provision of Part VI, after two years from


 

(i) a day on which the conduct was engaged in, or

 

(ii) the day on which any criminal proceedings relating thereto were finally disposed of, whichever is the later;

 

[719]       Les seules autres dispositions pertinentes de la Loi sur la concurrence (plus précisément de sa partie VI) sont celles de l’article 45, qui porte ce qui suit :

45. (1) Commet un acte criminel et encourt un emprisonnement maximal de cinq ans et une amende maximale de dix millions de dollars, ou l’une de ces peines, quiconque complote, se coalise ou conclut un accord ou arrangement avec une autre personne :

 

a) soit pour limiter, indûment, les facilités de transport, de production, de fabrication, de fourniture, d’emmagasinage ou de négoce d’un produit quelconque;

 

b) soit pour empêcher, limiter ou réduire, indûment, la fabrication ou production d’un produit ou pour en élever déraisonnablement le prix;

 

c) soit pour empêcher ou réduire, indûment, la concurrence dans la production, la fabrication, l’achat, le troc, la vente, l’entreposage, la location, le transport ou la fourniture d’un produit, ou dans le prix d’assurances sur les personnes ou les biens;

 

d) soit, de toute autre façon, pour restreindre, indûment, la concurrence ou lui causer un préjudice indu.

45. (1) Every one who conspires, combines, agrees or arranges with another person

 

 

 

 

 

 

 


(a) to limit unduly the facilities for transporting, producing, manufacturing, supplying, storing or dealing in any product,

 

 

(b) to prevent, limit or lessen, unduly, the manufacture or production of a product or to enhance unreasonably the price thereof,

 

(c) to prevent or lessen, unduly, competition in the production, manufacture, purchase, barter, sale, storage, rental, transportation or supply of a product, or in the price of insurance on persons or property, or

 

 

 

(d) to otherwise restrain or injure competition unduly, is guilty of an indictable offence and liable to imprisonment for a term not exceeding five years or to a fine not exceeding ten million dollars or to both.

 

12.2. Le cadre d’examen de la demande reconventionnelle d’Apotex

[720]       La demande reconventionnelle d’Apotex a fait l’objet avant l’instruction de requêtes en jugement sommaire, qui ont donné lieu à deux arrêts de la Cour d’appel fédérale, laquelle a en fin de compte rejeté ces requêtes[288]. Les principales conclusions examinées par la Cour d’appel fédérale dans ses motifs peuvent se résumer comme suit :

1.      La cession de droits de brevet peut faire intervenir l’article 45 de la Loi sur la concurrence.

 

2.      La question de savoir si la demande reconventionnelle d’Apotex était prescrite devait être tranchée par une instruction.

3.      La question de savoir si Apotex avait subi des dommages sous le régime de l’article 36 de la Loi sur la concurrence devait être tranchée par une instruction.

4.      La cession des brevets de Shionogi à Lilly réduisait la concurrence, mais la question de savoir si elle le faisait « indûment » devait être tranchée par une instruction[289].

 

[721]       Dans la présentation des moyens de sa demande reconventionnelle à l’instruction, Apotex s’est principalement attachée à prouver que la cession des brevets de procédé de Shionogi à Lilly enfreignait l’article 45 de la Loi. Lilly et Shionogy ont contesté cette affirmation et ont maintenu que Lilly avait une licence exclusive d’exploitation des brevets de Shionogi aux termes de l’accord de recherche-développement conclu entre elles en 1975. Tout cela se comprend sans doute mieux à la lumière du passage suivant des motifs de la Cour d’appel fédérale, dus au juge John Evans :

La question à trancher est la suivante : la diminution de la concurrence provoquée par la cession est-elle suffisamment importante pour être qualifiée d’indue? Voir R. c. Nova Scotia Pharmaceutical Society, précité, aux pages 646 et suivantes[[290]].

 

[722]       En conséquence, et malgré la preuve volumineuse produite par Apotex en vue d’établir la réduction de la concurrence comme telle, sans parler du caractère indu de cette réduction, la Cour a entendu pendant une journée entière des plaidoiries sur l’effet de cet arrêt. Le débat portait principalement sur le point de savoir si un jugement rejetant intégralement une requête en jugement sommaire pouvait néanmoins décider en partie les questions à trancher à l’instruction, en particulier lorsqu’une telle décision ne faisait pas partie de l’ordonnance.

 

[723]       Cependant, aucun élément de l’arrêt de la Cour d’appel fédérale ne donne à penser que la décision du point de savoir si le comportement de Lilly et de Shionogi réduirait indûment la concurrence soit le point de départ logique ou naturel de l’évaluation au fond de la demande reconventionnelle d’Apotex. Selon notre Cour, il n’est ni souhaitable, ni logique, ni conforme au régime de la Loi sur la concurrence, d’évaluer en premier lieu l’élément relatif à l’article 45 de la demande reconventionnelle d’Apotex.

 

[724]       C’est le commissaire de la concurrence (le commissaire) qui est chargé d’assurer et de contrôler l’application de la Loi sur la concurrence[291]. Le commissaire fait mener une enquête sur une infraction supposée à l’article 45 lorsque : i) six personnes demandent une telle enquête dans le cas où elles sont d’avis qu’une telle infraction a été perpétrée ou est sur le point de l’être[292], ou ii) qu’il a lui-même des raisons de le croire[293].

 

[725]       Le droit d’action en dommages-intérêts que confère l’article 36 de la Loi sur la concurrence est un recours spécial, prévu dans une partie précisément intitulée « Recours spéciaux ». Il ne peut donc y avoir d’enquêtes sur les actes d’autres personnes dans le contexte de l’application des dispositions de fond de la Loi, qui relève en général du commissaire, que lorsqu’il est clair que le comportement anticoncurrentiel supposé a eu pour effet de faire subir une perte ou des dommages à une personne. L’objet de l’article 36 de la Loi n’est pas d’encourager qui que ce soit à prendre la place du commissaire et à faire mener des enquêtes sur la conduite d’autres personnes. Cet article vise plutôt à fournir un moyen d’indemnisation aux victimes d’actes anticoncurrentiels[294].

 

[726]       Par conséquent, Apotex doit d’abord prouver, sous le régime de l’article 36 de la Loi sur la concurrence, qu’elle a subi une perte ou des dommages par suite du comportement qu’elle affirme enfreindre l’article 45 de la Loi. Si Apotex ne peut le faire, la Cour n’a aucune raison d’examiner le point de savoir si Lilly et Shionogi ont comploté pour réduire indûment la concurrence, ni n’a compétence pour le faire. Je reprends ici à mon compte les observations suivantes de la protonotaire Roza Aronovitch :

Il est de droit constant que la preuve de la perte ou du préjudice constitue un élément essentiel de la cause d’action lorsqu’il s’agit d’établir la responsabilité civile dans le cadre d’infractions à la Loi sur la concurrence : Price c. Panasonic Canada Inc. (2002) 22 C.P.C. (5th) 379, aux paragraphes 27 et 28; Culhane c. ATP Aero Training Products Inc., (2005), 39 C.P.C. (4th) 20, aux paragraphes 1 et 2; et Eli Lilly and Co. c. Apotex (2004), 32 C.P.R. (4th) 195, au paragraphe 6. Les questions de la responsabilité et du préjudice, relativement aux allégations de complot, sont trop étroitement liées pour pouvoir être disjointes. Par conséquent, Apotex ne peut établir le bien-fondé de sa prétention en responsabilité civile sous le régime des articles 36 et 45 de la Loi sur la concurrence si elle n’établit pas aussi son préjudice[[295]].

 

[Non souligné dans l’original.]

 

 

[727]       Donc, avant d’examiner au fond la demande reconventionnelle d’Apotex, la Cour doit être convaincue qu’elle n’est pas prescrite. La Cour se demandera ensuite si Apotex a établi avoir subi une perte ou des dommages et, le cas échéant, si ce préjudice découle des actes anticoncurrentiels supposés de Lilly et de Shionogi. Pour les motifs dont l’exposé suit, la Cour conclut que non seulement la demande reconventionnelle est prescrite, mais aussi qu’Apotex n’a établi ni les dommages ni le lien de causalité. Par suite, il n’est pas nécessaire d’examiner le point de savoir si la cession opérée en 1995 enfreint l’article 45 de la Loi sur la concurrence.

 

12.3. La demande reconventionnelle d’Apotex est-elle prescrite?

[728]       Comme il n’a pas été engagé de poursuites criminelles relativement au comportement anticoncurrentiel supposé de Lilly et de Shionogi, le sous-alinéa 36(4)a)(i) de la Loi sur la concurrence est d’application. Par suite, la Cour doit établir la date du dernier jour à laquelle on s’est livré au comportement supposé enfreindre l’article 45 de la Loi sur la concurrence : Transamerica Life Insurance Co. of Canada c. Canada Life Assurance Co. (1995), 25 O.R. (3d) 106, 41 C.P.C. (3d) 75 [C. Ont. (Div. gén.)], paragraphe 23.

 

[729]       Lilly et Shionogi invoquent toutes deux la décision Laboratoires Servier, où la juge Judith Snider écrit que « lorsque nous examinons le délai de prescription établi au paragraphe 36(4), la disposition renvoie à la date à laquelle l’accord a été conclu ou le complot ourdi » (paragraphe 482). Par conséquent, étant donné que Lilly et Shionogi ont conclu leur accord de cession des droits de brevet le 27 avril 1995, le délai de prescription applicable aurait expiré en 1997[296].

 

[730]       Même si l’on appliquait à la présente espèce le principe de la possibilité de découverte, dont Lilly et Shionogi soutiennent qu’il ne peut être invoqué dans le contexte du paragraphe 36(4) de la Loi sur la concurrence, Apotex a eu connaissance de la cession au plus tard en 1997, moment où l’accord a été plaidé dans la déclaration de Lilly. Par conséquent, font valoir Lilly et Shionogi, le délai de prescription ne peut avoir expiré après 1999[297].

 

[731]       Apotex réplique que la Cour doit prendre en considération les éléments de l’infraction créée par le paragraphe 45(1) de la Loi sur la concurrence dans l’interprétation de son paragraphe 36(4), opération que la juge Snider a omis d’effectuer dans Laboratoires Servier et qui mène à la conclusion [traduction] « que le délai de prescription de deux ans commence à courir, au plus tôt, à partir du comportement découlant de l’accord qui constitue une réduction indue de la concurrence »[298].

 

[732]       Selon Apotex, le délai de prescription ne devrait commencer à courir qu’à compter du moment où [traduction] « il [lui] a été donné avis que Lilly considérait comme contrefaisant chacun des procédés de rechange [qu’elle] avait employés »[299]. Ce moment est, selon Apotex, janvier 2001, où Lilly a modifié sa déclaration pour y ajouter des allégations de contrefaçon de ses brevets à propos du céfaclor en vrac obtenu de Lupin[300].

 

[733]       Subsidiairement, Apotex soutient que le paragraphe 36(4) de la Loi sur la concurrence vise un comportement continu. Selon elle, [traduction] « le comportement attaqué de Lilly se poursuit chaque jour après qu’elle a fait valoir contre Apotex les droits de brevet acquis du fait de l’accord conclu avec Shionogi et sur la durée où la concurrence s’en trouve indûment réduite »[301]. Or, comme Lilly continue de faire valoir les droits découlant des brevets de Shionogi dans l’action principale, le comportement enfreignant l’article 45 de la Loi sur la concurrence s’est poursuivi jusqu’aujourd’hui, de sorte que le délai de prescription n’a pas expiré.

 

[734]       Le juge Evans a expliqué cette position dans le contexte du deuxième arrêt de la Cour d’appel fédérale concernant une requête en jugement sommaire relative à la demande reconventionnelle d’Apotex :

Apotex fait valoir que la cession doit être examinée dans son contexte, sur le fait qu’elle a entraîné un renforcement du pouvoir commercial de Lilly, autrement dit, sur le fait qu’elle a renforcé la capacité de Lilly à agir de manière indépendante sur le marché puisqu’elle détenait désormais les brevets de tous les procédés de fabrication du céfaclor connus et commercialement viables. Dans cette perspective, le complot a continué d’exister tant et aussi longtemps que la cession a eu des effets anticoncurrentiels. Compte tenu de tous les éléments de preuve en jeu, il ne serait pas approprié de trancher cette question par un jugement sommaire[[302]].

 

 

[735]       L’affirmation voulant que le comportement anticoncurrentiel et ses effets continuent après le dépôt de la déclaration dans une action en contrefaçon et jusqu’à ce que la Cour statue sur cette action ne mérite tout simplement pas qu’on l’examine plus avant.

 

[736]       Cela dit, la Cour est disposée à admettre que le comportement enfreignant la partie VI de la Loi sur la concurrence « peut prendre la forme d’un incident isolé ou être de nature permanente »[303], selon l’infraction dont il s’agit dans le cas particulier. Cependant, selon la Cour, le comportement permanent ou continu ne peut être ainsi qualifié pour l’application du paragraphe 36(4) que tant qu’il continue à constituer une infraction sous le régime de la partie VI de la Loi sur la concurrence.

 

[737]       Il est par conséquent essentiel, pour établir le délai de prescription applicable, de se demander quel comportement peut former la base de l’infraction alléguée par Apotex, à savoir le complot en vue de réduire indûment la concurrence que vise l’article 45 de la Loi sur la concurrence.

 

[738]       Dans R. c. Nova Scotia Pharmaceutical Society, [1992] 2 R.C.S. 606, (1992), 93 D.L.R. (4th) 36 (Nova Scotia Pharmaceutical Society), le juge Charles Gonthier, écrivant au nom de la Cour suprême, expliquait que l’infraction créée par la disposition qui a précédé l’article 45 de la Loi sur la concurrence, à savoir l’alinéa 32(1)c) de la Loi relative aux enquêtes sur les coalitions, L.R.C. 1970, ch. C‑23, comprenait deux éléments importants :

1.         Un accord conclu par l’accusé (« toute personne qui complote, se coalise, se concerte ou s’entend avec une autre »);

2.         Le fait d’empêcher ou de diminuer la concurrence, résultant de cet accord (« pour empêcher ou diminuer, indûment, la concurrence dans la production, la fabrication, l’achat, le troc, la vente, l’entreposage, la location, le transport ou la fourniture d’un produit, ou dans le prix d’assurances sur les personnes ou les biens »)[[304]].

 

[739]       L’examen qu’il faut effectuer pour établir si les éléments de l’infraction sont présents porte sur deux points : i) la structure du marché (« vérifier le degré de puissance commerciale des parties [à l’accord] »[305]) et ii) le comportement des entreprises. Comme, s’agissant de déterminer la date d’ouverture du délai de prescription, la Cour s’intéresse au comportement, c’est ce deuxième point qui nous retiendra ici.

 

[740]       Cependant, on n’examine pas la question du comportement du point de vue des effets réels de l’accord, mais on se demande plutôt quels sont, au moment de sa conclusion, son objet et les effets probables de celui‑ci sur la concurrence. Ainsi que l’explique le juge Gonthier, « [d]ans l’examen, l’objet de l’accord est sans contredit l’élément relatif au comportement qui est le plus important »[306].

 

[741]       Le juge Gonthier cite en l’approuvant une décision antérieure de la Haute Cour de justice de l’Ontario, soit R. c. Northern Electric Co., [1955] 3 D.L.R. 449, aux pages 469 et 470 de laquelle le juge en chef James McRuer formule les observations suivantes :

[traduction] Quand il s’agit de décider si l’accord ou le complot tombe sous le coup de la loi, on ne juge pas de son illégalité par rapport à ce qui a été accompli en exécution de l’accord (quoique cela puisse servir à prouver l’accord), mais, comme je le disais plus haut, on examine la nature et la portée de l’accord tel que prouvé et on établit si celui‑ci, dans le cas où il serait exécuté, porterait préjudice à l’intérêt public à l’égard de la libre concurrence dans une mesure qui serait en fait indue. Pour paraphraser les remarques du juge en chef Duff dans Container Materials, [1942], 1 D.L.R. 529, R.C.S. 147, 77 Can.C.C. 129, et adapter celles du juge Kerwin, on examine l’accord conclu, qu’il ait ou non été exécuté en quoi que ce soit, on répond selon le sens commun à la question de fait de savoir quel est l’objet direct de l’arrangement attaqué, et l’on établit si cet objet, dans le cas où il serait mis à exécution, aurait pour effet d’empêcher ou de diminuer indûment la concurrence. Il peut très bien arriver que des personnes physiques ou morales concluent un accord illicite que, pour des raisons indépendantes de leur volonté, elles ne puissent pas mettre à exécution; la conclusion d’un tel accord n’en serait pas moins un acte criminel.

 

[Non souligné dans l’original.]

 

 

[742]       Le juge en chef McRuer invoque l’arrêt de la Cour suprême du Canada R. c. Container Materials Ltd., [1942] R.C.S. 147, [1942] 1 D.L.R. 529, où l’on peut lire ce qui suit sous la plume du juge Kerwin, à la page 159 :

[traduction] (...) une fois que l’accord est conclu, qu’on fasse ou non quoi que ce soit pour l’exécuter, il faut dans chaque espèce considérer la question comme un point de fait qu’il appartient au tribunal des faits d’établir, selon le point de vue du sens commun sur l’objet direct de l’arrangement attaqué. Dans ces affaires, la preuve relative à ce qui a été fait est seulement une meilleure preuve de cet objet que celle dont on aurait pu disposer s’il n’avait été commis aucun acte pour servir les fins communes.

 

[Non souligné dans l’original.]

 

[743]       Ces précédents militent pour la thèse que le comportement à examiner n’inclut aucun élément postérieur à la conclusion proprement dite de l’accord, qui n’est rien d’autre dans la présente espèce que l’accord de cession conclu par Lilly et Shionogi le 27 avril 1995. On peut examiner les effets de cet accord aux fins d’établir s’il devait avoir vraisemblablement pour effet de réduire indûment la concurrence, mais la durée de ce comportement ne se trouve pas pour autant prolongée. La preuve la plus convaincante en est que, même si l’accord n’avait été suivi d’aucune mesure, le fait de l’avoir conclu constituerait néanmoins une infraction dans le cas où les autres conditions seraient remplies.

 

[744]       L’arrêt de la Cour suprême du Canada Aetna Insurance Co. et autres c. La Reine [1978] 1 R.C.S. 731, (1977), 75 D.L.R. (3d) 332 (Aetna), ne contredit pas cette thèse. Le juge Roland Ritchie y déclarait au nom de la majorité (à la page 748) que la charge pesant sur le ministère public était de prouver « que cette conspiration, coalition, concertation ou entente, si elle était mise à exécution, préviendrait ou diminuerait indûment la concurrence » [souligné dans l’original].

 

[745]       La question n’est pas de savoir si le complot a eu cet effet dans les faits, mais seulement s’il l’aurait. Le comportement postérieur à l’entente n’est pas pertinent aux fins d’établir s’il y a eu infraction et ne peut donc l’être pour ce qui concerne les délais de prescription prévus au paragraphe 36(4) de la Loi sur la concurrence.

 

[746]       Le juge en chef Bora Laskin formule ce principe de manière peut-être plus vigoureuse dans ses motifs dissidents, à la page 739 de l’arrêt Aetna :

[Le juge de première instance] a affirmé qu’afin de déterminer si l’infraction dont les appelantes étaient accusées avait été commise, il lui fallait déterminer [traduction] « si, oui ou non, il y a eu une quelconque diminution indue de la concurrence ». Ceci ne tient pas compte du fait qu’il s’agit d’une accusation de complot. Il n’est pas nécessaire qu’il soit prouvé que la concurrence a été en fait indûment diminuée pour qu’il y ait infraction. À supposer même (quoique le juge de première instance ne le dise nulle part) que la preuve d’une diminution réelle de la concurrence puisse venir renforcer la conclusion qu’il y a eu un complot à cette fin et que celui‑ci visait une diminution indue, l’absence d’une telle preuve de diminution réelle de la concurrence, sans parler d’une diminution indue, ne résout pas la question à l’encontre de la prétention du ministère public.

 

[Non souligné dans l’original.]

 

 

[747]       Donc, aux fins de détermination du délai de prescription applicable sous le régime du paragraphe 36(4), la Cour n’a pas à tenir compte des effets du complot supposé. La Cour suprême de la Colombie-Britannique a récemment appliqué ce principe dans No. 1 Collision Repair & Painting (1982) Ltd. c. Insurance Corporation of British Columbia (1998), 4 C.C.L.I. (3d) 135, 78 A.C.W.S. (3d) 834, où le juge Alexander Henderson écrivait ce qui suit : [traduction] « On doit réclamer les dommages-intérêts prévus à l’article 45 de la Loi sur la concurrence dans les deux ans qui suivent la date du comportement en question : Loi sur la concurrence, précitée, sous-alinéa 36(4)a)(i). Or le complot supposé dans la présente espèce avait pris fin le 1er avril 1993[307]. »

 

[748]       L’examen des faits sous-jacents à cette décision confirme la signification que la Cour attribue à ce passage. Le 1er avril 1993 est la date à laquelle la défenderesse, l’Insurance Corporation of British Columbia, a apporté à ses pratiques une modification qui s’est révélée fatale pour l’entreprise demanderesse. Tous les effets anticoncurrentiels allégués par cette dernière se sont produits après cette date. Néanmoins, le juge a fixé au 1er avril 1993 le commencement du délai de prescription applicable, et ce – pour le redire encore une fois –, malgré le fait que la demanderesse n’ait encore subi alors aucun effet anticoncurrentiel.

 

[749]       Absolument aucun élément de la preuve ne donne à penser que Shionogi ait eu part à quelque décision que ce soit concernant la défense de ses brevets dans la présente espèce. Apotex n’accuse Shionogi d’aucune action postérieure à la cession qu’on puisse valablement considérer comme le fondement d’une allégation de complot.

 

[750]       La Cour estime que, dans la présente espèce, la date du comportement pertinent est le 27 avril 1995. Même en supposant, aux fins de la discussion, que le principe de la possibilité de découverte soit applicable dans le contexte du paragraphe 36(4) de la Loi sur la concurrence, Apotex a eu connaissance de la cession (le comportement en question) au plus tard en 1997, de sorte que, dans cette hypothèse aussi, le délai de prescription aurait expiré bien avant qu’elle ne formât sa demande reconventionnelle.

 

[751]       Même si je me trompais en cela, il resterait qu’Apotex n’a soulevé en l’occurrence qu’une seule question relative à la possibilité de découverte, soit le fait qu’elle ne savait pas, avant que Lilly ne déposât sa déclaration modifiée, que celle‑ci considérait comme contrefaisant chacun des procédés de rechange employés par elle. Apotex n’a produit aucun élément de preuve touchant la manière dont elle interprétait les modifications apportées en janvier 2001 et dont elle était arrivée à la conclusion vague formulée dans son mémoire[308]. Il ressort à l’évidence de la correspondance entre Me Fouillade et Lupin qu’Apotex était parvenue par ses propres moyens, dès septembre 1997, à la conclusion que le procédé de Lupin décrit dans le dossier de Santé Canada contrefaisait les brevets de Lilly. Comment Apotex pouvait-elle dès lors douter que Lilly ferait valoir ses droits de brevet? N’est‑ce pas là la raison même pour laquelle elle a essayé d’élaborer un procédé non contrefaisant avec Lupin?

 

[752]       Si le moyen susdit d’Apotex vise le troisième procédé (le « procédé contractuel »), il faut constater que la déclaration modifiée ne fait pas mention de ce procédé. En outre, cet argument serait surprenant, étant donné que Lilly a toujours soutenu que les fournisseurs d’Apotex n’avaient utilisé dans les faits que deux méthodes[309] pour fabriquer du céfaclor. Lilly n’a jamais allégué ni affirmé que le « procédé contractuel » était contrefaisant. Par conséquent, Apotex n’a pas établi qu’elle n’aurait pu découvrir les éléments pertinents de l’infraction qu’en janvier 2001.

 

[753]       Comme je le disais dans les motifs relatifs à l’action principale, Apotex a soutenu que les délais de prescription n’influaient pas sur son droit de réclamer en equity une défalcation de l’indemnisation pour contrefaçon demandée par Lilly. Or la Cour pense comme Lilly que la compensation en equity est un moyen de défense : le droit à une telle compensation ne peut être invoqué dans le contexte d’une demande reconventionnelle. J’ai déjà examiné ce moyen de défense à l’action principale, de sorte que je n’ai pas à y revenir ici.

 

12.4. Les dommages allégués par Apotex

[754]       J’extrais le passage suivant du document en date du 10 décembre 2002 par lequel Apotex a répondu à une demande de précisions :

[traduction] Apotex a subi les préjudices suivants du fait du comportement anticoncurrentiel des demanderesses : a) toute responsabilité pécuniaire afférente aux brevets de Shionogi; b) la différence entre ce qu’aurait coûté à Apotex l’acquisition du céfaclor en vrac n’eussent été les actes anticoncurrentiels de Lilly et les coûts qu’elle a supportés en fait; c) les frais de litige afférents à la présente espèce, ainsi qu’à la procédure engagée sous le régime du Règlement sur les médicaments brevetés (avis de conformité) à l’égard des brevets de Shionogi; et d) le manque à gagner causé par le fait que s’est trouvée retardée l’entrée d’Apotex sur les marchés canadien et étrangers du céfaclor en forme posologique finie.

 

[755]       Très tard dans l’instruction, Apotex a demandé et obtenu l’autorisation de modifier l’élément a) ci‑dessus pour y ajouter toute responsabilité pécuniaire afférente aux brevets de Lilly [310]. À l’instruction, Apotex n’a pas maintenu sa réclamation portant sur les frais de litige relatifs à la procédure engagée sous le régime du RMB(AC), ni la réclamation d) ci‑dessus, ayant admis qu’elle n’avait pas subi de préjudice de cette nature[311].

 

[756]       Suivant l’ordonnance de disjonction du juge Hugues en date du 8 mai 2007, Apotex n’est pas tenue de quantifier ses pertes relatives à sa responsabilité éventuelle en contrefaçon. Comme je le disais dans le jugement rendu sur l’action principale, cette responsabilité est à quantifier à une étape ultérieure. Apotex doit néanmoins prouver son droit à un rajustement par compensation de l’indemnisation pour contrefaçon réclamée par Lilly, ainsi que ses pertes réelles au titre de ses autres chefs de dommages.

 

12.5. La norme de preuve applicable

[757]       Apotex soutient que l’évaluation des dommages et l’examen du lien de causalité exigent l’application d’une norme de preuve qui attribue des probabilités de réalisation à tous les événements [traduction] « dont la possibilité n’est pas simplement conjecturale »[312], seule la somme des probabilités attribuées à chacun devant atteindre le seuil de la balance des probabilités fixé à plus de 50 %.

 

[758]       L’application de cette norme est nécessaire, fait valoir Apotex, parce que la détermination du lien de causalité et la quantification des pertes exigent une comparaison entre le monde réel et un [traduction] « monde hypothétique » dont on aurait retranché le comportement attaqué (ci‑après désigné simplement « monde hypothétique »). Selon Apotex, ce « monde hypothétique » comprend un certain nombre de scénarios où Shionogi n’aurait pas cédé ses brevets à Lilly[313].

 

[759]       Apotex invoque à l’appui de cette thèse l’arrêt de la Cour suprême du Canada Athey c. Leonati, [1996] 3 R.C.S. 458, [1996] A.C.S. no 102 (QL) [Athey], au paragraphe 27 duquel le juge Major fait observer ce qui suit :

Des événements hypothétiques (par exemple la vie qu’aurait menée le demandeur sans le préjudice délictuel subi) ou futurs n’ont pas à être prouvés selon la prépondérance des probabilités. Au contraire, on leur accorde simplement un certain poids en fonction de leur probabilité relative [...]

 

[760]       Ce passage, toutefois, s’inscrit dans le contexte de l’examen par la Cour des « rajustements pour les aléas », c’est‑à‑dire pour les conséquences aléatoires d’un acte délictueux. La Cour suprême du Canada a bien précisé que la pertinence de cette approche se limitait à l’évaluation d’événements potentiels ou hypothétiques aux fins de la quantification des dommages.

 

[761]       Or les pertes alléguées par Apotex ne sont à aucun égard des événements potentiels ou hypothétiques dans ce sens. Premièrement, la responsabilité en contrefaçon a été établie dans l’action principale, et le fait qu’elle ne sera quantifiée que plus tard n’en fait pas un événement aléatoire. Deuxièmement, la différence entre les coûts du céfaclor en vrac ne concerne que des achats déjà effectués, plus précisément de novembre 1996 à octobre 1998. Comme l’expliquait le juge Major dans Athey, un fait passé « ne peut être exprimé en probabilités » (paragraphe 30). Le passage précité ne peut donc s’appliquer aux préjudices supposés d’Apotex, qui ne se rapportent à aucun événement futur pertinent.

 

[762]       Au lieu d’étayer la thèse que la Cour devrait appliquer une norme de preuve relâchée, Athey dit en fait que c’est le critère bien établi du « facteur déterminant » (aussi désigné critère du sine qua non ou de la cause indispensable) qui s’applique à l’examen du lien de causalité. Dans la présente espèce, Apotex doit prouver suivant la norme civile habituelle qu’elle aurait évité les pertes supposées (sans égard pour leur quantité exacte) n’eût été la cession des brevets de Shionogi à Lilly.

 

[763]       Il y a une autre possibilité, mais ce n’est pas la norme qu’Apotex voudrait voir la Cour appliquer dans la présente espèce. Il s’agit du critère de la « contribution appréciable », défini dans Athey comme obligeant le demandeur à prouver, ici encore suivant la prépondérance des probabilités, que l’acte en question a contribué de manière plus que minimale au préjudice supposé. C’est là la norme de preuve d’un lien de causalité la moins rigoureuse que le droit reconnaisse, et son application se limite à des circonstances très particulières.

 

[764]       Ainsi que l’explique la juge en chef McLachlin au nom de la Cour suprême du Canada dans Resurfice Corp. c. Hanke, 2007 CSC 7, [2007] 1 R.C.S.333 (Resurfice Corp.), ne peut recourir à cette norme que le demandeur à qui il est impossible, pour des raisons indépendantes de sa volonté, de prouver le lien de causalité au moyen du critère du facteur déterminant. De plus, poursuit la juge en chef :

il doit être clair que le défendeur a manqué à une obligation de diligence envers le demandeur, l’exposant ainsi à un risque de préjudice déraisonnable, et que le demandeur doit avoir subi le type de préjudice en question[[314]].

 

[765]       L’application du critère de la « contribution appréciable », conclut la juge en chef McLachlin, est exceptionnelle et se limite aux cas où « il serait contraire aux notions fondamentales d’équité et de justice de ne pas reconnaître la responsabilité du défendeur par l’application du critère du "facteur déterminant" » (paragraphe 25).

 

[766]       De telles circonstances spéciales ne sont pas présentes ici. Apotex n’a pas établi l’impossibilité de prouver les éléments nécessaires pour l’application de l’article 36 de la Loi sur la concurrence, alors que cette charge pesait sur elle : Barker c. Montfort Hospital, 2007 ONCA 282, (2007), 278 D.L.R. (4th) 215, paragraphe 53. Encore une fois, Apotex n’a pas soutenu que le critère de la « contribution appréciable » soit applicable à la présente espèce.

 

[767]       En outre, comme nous le verrons plus loin, le problème fondamental de preuve [voir Bowes c. Edmonton (City), 2007 ABCA 347, (2007), 42 M.P.L.R. (4th) 192, paragraphe 235] dans la présente espèce se rapporte au comportement d’Apotex dans le « monde hypothétique », qui, même s’il constitue une impossibilité, n’est manifestement pas indépendant de sa volonté.

 

[768]       Invoquant Schwarzkopf c. McLaughlin, 2008 BCSC 730, (2008), 168 A.C.W.S. (3d) 787, Ticketnet Corp. c. Air Canada (1997), 154 D.L.R. (4th) 271, 105 O.A.C. 87, et Les Laboratoires Servier c. Apotex Inc., [2008] EWHC 2347 (Ch), Apotex fait valoir que [traduction] « la partie lésée ne devrait pas se trouver désavantagée par le fait que le préjudice, à cause de sa nature, est difficile à prouver ». « Le tribunal saisi, poursuit-elle, doit faire du mieux qu’il peut, avec ce dont il dispose, pour tirer ses conclusions[315]

 

[769]       En invoquant ces précédents, Apotex met la charrue avant les bœufs. Ces décisions portent toutes sur l’évaluation des dommages, le lien de causalité ayant déjà été établi. La question à laquelle elles essaient de répondre est celle de savoir quel est le niveau d’indemnisation nécessaire pour mettre le demandeur dans la situation qui aurait été la sienne dans le « monde hypothétique ». La Cour doit ici répondre à une question différente, soit celle de l’effet de la cession sur la situation d’Apotex, afin d’établir si une telle mesure réparatrice est même justifiée. Cette jurisprudence n’aide pas la Cour dans la présente espèce.

 

[770]       En conséquence, la Cour appliquera ici le critère normal à l’examen du lien de causalité, compte tenu des observations sur la nature de la charge de présentation formulées par le juge Major dans Athey[316] :

La causalité n’a pas à être déterminée avec une précision scientifique. Comme l’a dit Lord Salmon dans Alphacell Ltd. c. Woodward, [1972] 2 All E.R. 475, à la p. 490, passage cité par le juge Sopinka à la p. 328, il s’agit « essentiellement [d’] une question de fait pratique à laquelle on peut mieux répondre par le bon sens ordinaire ».

 

            12.6. Le contexte

[771]       Comme on l’a vu plus haut, les moyens d’Apotex concernant le lien de causalité convergent sur une comparaison entre le comportement réel des parties et un « monde hypothétique » comprenant un certain nombre de scénarios qui postulent tous que Shionogi n’a pas cédé ses droits de brevets à Lilly. Aux fins d’évaluation de ces divers scénarios, la Cour examinera d’abord les actions réelles des parties qui sont pertinentes pour ceux‑ci (par opposition aux dommages ou à l’infraction même créée par l’article 45).

 

[772]       La production de céfaclor paraît avoir suscité l’intérêt d’Apotex dès 1986. En effet, en mars 1986, elle a demandé une licence obligatoire sur trois brevets canadiens de Lilly, soit les brevets 537, 532 et 725 [317]. Le brevet 725 est l’un des quatre brevets de Lilly qui était encore en vigueur à la date de la cession[318]. Il fait donc partie de ce qu’Apotex affirme être le monopole de Lilly postérieur à la cession sur les procédés de production de céfaclor en vrac.

 

[773]       En 1988, Apotex a obtenu une licence obligatoire, aux termes de laquelle elle devait payer à Lilly des redevances de 4 % du prix net de vente[319]. En octroyant cette licence, le commissaire aux brevets a fait explicitement référence à une objection de Lilly à cette concession, motivée par le fait qu’Apotex n’avait pas demandé l’inclusion de brevets que Lilly estimait essentiels pour la fabrication de céfaclor, notamment – mais sans doute pas seulement – le brevet 536, un autre des quatre brevets de Lilly qui circonscrivaient le monopole supposé de celle‑ci.

 

[774]       Le commissaire aux brevets a examiné cette objection en rapport avec les arguments avancés par Apotex. Selon cette dernière, les autres brevets n’étaient pas essentiels pour la fabrication de céfaclor, ce qui impliquait que lui suffisaient les brevets qu’elle avait choisi d’inclure dans sa demande de licence. Ce qui est intéressant ici, c’est qu’Apotex a eu en 1986 la possibilité de demander une licence obligatoire sur les quatre brevets de Lilly en litige dans la présente espèce.

 

[775]       Apotex a explicitement décidé de se faire délivrer une licence qui ne comprenait pas la totalité des brevets de Lilly liés à la production de céfaclor en vrac[320], et ce, en dépit de l’objection de cette dernière. Si Apotex avait demandé une licence sur tous ces brevets, la cession des brevets de Shionogi n’aurait eu absolument aucun effet sur sa capacité à se procurer licitement du céfaclor en vrac afin de le transformer en Apo‑Cefaclor, puis de le vendre sous cette forme, au moins jusqu’à ce qu’elle donnât avis de la résiliation de sa licence obligatoire le 6 décembre 1996[321].

 

[776]       En mai 1993, Apotex a signifié à Lilly, sous le régime de l’article 5 du RMB(AC), un avis d’allégation (AA) où elle soutenait qu’elle ne contreferait aucun des brevets inscrits dans le formulaire IV (« Liste des brevets ») déposé par Lilly, aux motifs suivants : i) Apotex détenait une licence obligatoire sur certains des brevets inscrits dans ce formulaire; et ii) elle ne contreferait pas les autres en utilisant, fabriquant, construisant ou vendant du céfaclor en capsules ou en suspensions orales, puisque les brevets en question ne contenaient aucune revendication portant sur le médicament en soi ou son utilisation[322]. Il est important de noter que, dans ce formulaire [323] auquel Apotex fait référence dans son AA, Lilly avait inscrit les brevets de Shionogi que cette dernière lui avait cédés en 1995.

 

[777]       À la suite du dépôt de cet AA, Lilly et Shionogi ont engagé contre Apotex une procédure tendant à obtenir une ordonnance qui interdirait au ministre de la Santé nationale et du Bien-Être social de délivrer à Apotex des avis de conformité relatifs à diverses formes de capsules et de suspensions orales de céfaclor jusqu’à l’expiration des brevets de procédé de Lilly aussi bien que de Shionogi [la procédure relevant du RMB(AC)][324].

 

[778]       La demande formée sous le régime du RMB(AC) a été rejetée par la juge Sandra Simpson le 12 septembre 1995 : Eli Lilly and Co. c. Apotex Inc. (1995), 101 F.T.R. 33, 63 C.P.R. (3d) 245)[325]. Ce rejet était essentiellement motivé par le fait que la liste de brevets du formulaire IV n’était pas conforme à l’article 2 du Règlement, puisqu’elle ne contenait pas de revendications d’un médicament en soi ni d’une nouvelle utilisation d’un médicament.

 

[779]       Dans le cadre de la procédure relevant du RMB(AC), Lilly et Shionogi ont soutenu[326], s’appuyant sur une preuve d’expert[327], qu’il n’était pas possible à Apotex de fabriquer du céfaclor sans contrefaire les brevets inscrits dans le formulaire IV de Lilly et sur lesquels Apotex ne détenait pas de licence obligatoire. La juge Simpson note au paragraphe 9 de sa décision que cette preuve n’est pas contredite et qu’« [i]l est donc raisonnable de conclure qu’elle [Apotex] projette de contrefaire les brevets en copiant la méthode de production de Lilly » et que, si elle le fait, « il sera loisible à Lilly d’intenter un recours en contrefaçon en vertu de la common law ».

 

[780]       Le 27 avril 1995, juste avant la décision de la demande en ordonnance d’interdiction de Lilly et Shionogi, ces dernières ont conclu l’accord de cession des brevets de procédé de Shionogi à Lilly, ainsi qu’un accord simultané concédant une licence sur ces brevets à Shionogi[328].

 

[781]       Me Harry B. Randomski, avocat d’Apotex, a déclaré dans un affidavit que, à la fin de 1996, étant donné la décision de la juge Simpson et sa confirmation par la Cour d’appel fédérale, il était prévu qu’Apotex obtiendrait un AC relativement au céfaclor, de sorte qu’il avait alors avisé cette dernière qu’elle devait se préparer à une action en contrefaçon de la part de Lilly si elle décidait d’entrer sur le marché[329].

 

[782]       À un moment donné entre l’introduction de cette procédure et sa conclusion, un membre de Lilly a rencontré des représentants d’Apotex[330] pour proposer à celle‑ci une collaboration relativement au céfaclor et à d’autres produits. Les modalités de cette proposition d’accord ne sont pas établies avec précision, mais on peut supposer qu’il se serait probablement agi d’une entente semblable à celle que Lilly avait conclue avec Pharmascience le 30 juin 1995, qui concernait la distribution par cette dernière de céfaclor en forme posologique fabriqué par Lilly[331]. Il est à noter qu’un autre accord de Lilly avec un génériqueur canadien a été produit en preuve, soit un accord avec Novopharm, en date du 22 juin 1998, portant sur la fourniture de céfaclor en vrac[332].

 

[783]       Le 6 décembre 1996, M. Sherman a signifié à Lilly le préavis de trois mois requis pour la résiliation de la licence obligatoire d’Apotex[333].

 

[784]       Kyong Bo avait fait savoir à Apotex, par lettre en date du 16 décembre 1996 adressée à un intermédiaire, soit Pacific High Tech Canada, que son procédé de fabrication de céfaclor en vrac ne mettait pas en œuvre les leçons des brevets canadiens 611, 536 ni 725, qui appartenaient tous à Lilly[334]. Cette lettre résulte apparemment d’une enquête ouverte par Apotex au plus tard en décembre 1996 sur les procédés utilisés par ses fournisseurs de céfaclor en vrac et sur le point de savoir si ces procédés contrefaisaient les brevets de Lilly ou de Shionogi[335].

 

[785]       Apotex a obtenu son AC[336] le 17 janvier 1997 et a sans délai commencé à vendre du céfaclor en forme posologique sur le marché canadien. Son entrée sur le marché n’a été aucunement retardée par la cession. Apotex avait reçu de divers fournisseurs des quantités expérimentales de céfaclor en vrac dès mars 1991[337]. En outre, elle avait déjà reçu de Kyong Bo deux expéditions de quantités commerciales du même produit en vrac[338].

 

[786]       Comme prévu, Lilly a intenté sans délai une action en contrefaçon. Elle a introduit sa première action le 23 janvier 1997, mais s’en en par la suite désistée.[339] La présente action a été introduite le 18 juin 1997. Dans ces deux actions, Lilly alléguait qu’Apotex contrefaisait les brevets de Shionogi[340]. La deuxième faisait explicitement référence au procédé de Kyong Bo[341].

 

[787]       En mai 1997, Apotex a commencé à acheter des quantités commerciales de céfaclor en vrac à un autre fournisseur, soit Lupin[342]. La preuve produite devant la Cour indique que peu après, en juillet 1997, Apotex a commencé à demander à Lupin des renseignements sur les procédés qu’elle utilisait pour fabriquer le céfaclor en vrac qu’elle lui fournissait[343]. Comme je le disais plus haut, se fondant sur les réponses de Lupin à ces demandes de renseignements, Me Brigitte Fouillade, l’avocate-conseil d’Apotex en matière de propriété intellectuelle, semble être arrivée dès septembre 1997 à la conclusion que le procédé employé par Lupin contrefaisait les brevets de Lilly[344].

 

[788]       En conséquence, Apotex et Lupin ont ouvert des discussions en vue de modifier le procédé employé par Lupin, afin d’éviter de contrefaire les brevets de Lilly. Me Fouillade a alors suggéré à Lupin de mettre en œuvre les leçons d’une série de brevets expirés[345]. Lupin a convenu que c’était effectivement faisable et avait déjà à certains égards été fait à une échelle expérimentale, mais elle a ajouté qu’on obtiendrait ainsi des rendements plus faibles, de sorte que le céfaclor produit de cette manière serait plus cher[346].

 

[789]        En octobre 1997, Lupin et Apotex avaient établi un nouveau procédé. Apotex, acceptant le fait que le céfaclor coûterait ainsi plus cher à produire, a alors demandé à Glopec, son intermédiaire avec Lupin, de lui donner une estimation du prix du céfaclor en vrac fabriqué suivant ce procédé[347]. Apotex et Lupin ont ensuite passé en mars 1998 un contrat de fourniture relatif à l’utilisation de ce nouveau procédé[348].

 

[790]       Apotex paraît avoir adressé à Kyong Bo, au plus tard en octobre 1997, d’autres demandes de renseignements sur le procédé qu’utilisait cette dernière pour fabriquer le céfaclor qu’elle lui fournissait, en particulier pour ce qui concerne les brevets de Shionogi. Kyong Bo a répondu qu’elle employait le procédé de Shionogi, technologie qu’elle lui avait achetée en 1992 pour la production d’acide hydroxycitrique, substance intermédiaire utilisée dans la fabrication d’un autre médicament, le ceftibutène. Kyong Bo a également informé Apotex que la cession n’avait aucun effet sur son droit d’utiliser le procédé de Shionogi[349].

 

[791]       Apotex a demandé à Kyong Bo de lui donner des preuves qu’elle avait l’autorisation d’utiliser les brevets de Shionogi[350], preuves que Kyong Bo n’a pu lui fournir[351]. Apotex, qui n’avait pas reçu de céfaclor en vrac de Kyong Bo depuis septembre 1997, ne lui en a plus jamais acheté[352].

 

[792]       Apotex a admis que, mis à part la demande de licence obligatoire qu’elle avait présentée dans les années 1980, elle n’avait jamais demandé aucune sorte de licence pour le céfaclor en vrac à Shionogi ni à Lilly, pas plus qu’elle n’avait prié à quelque moment que ce soit ses fournisseurs de le faire[353]. Shionogi, avant 1995, n’a jamais concédé à aucune entité extérieure au groupe Lilly de licence pour l’utilisation de ses brevets aux fins de la fabrication de céfaclor en vrac[354].

 

12.7. Les scénarios hypothétiques d’Apotex concernant le lien de causalité

[793]       C’est dans ce contexte factuel qu’Apotex propose six scénarios hypothétiques possibles où Shionogi n’aurait pas cédé ses brevets à Lilly :

1.      Apotex est licenciée, directement ou indirectement, par Shionogi.

2.      Apotex est licenciée, directement ou indirectement, par Lilly.

3.      Apotex met en œuvre les brevets de Shionogi, sans licence, et n’est pas actionnée en contrefaçon.

 

4.      Apotex met en œuvre les brevets de Shionogi, sans licence, et est actionnée en contrefaçon.

 

5.      Apotex met en œuvre les brevets de Lilly, sans licence, et est actionnée en contrefaçon.

 

6.      Apotex met en œuvre les brevets de Lilly, sans licence, et n’est pas actionnée en contrefaçon.

 

[794]       Apotex soutient que les scénarios 1 et 2, pris ensemble, auraient été les plus probables dans son « monde hypothétique »[355]. Les quatre autres scénarios, bien que possibles, n’atteindraient pas selon elle le seuil nécessaire. Enfin, Apotex fait valoir que les scénarios 3 et 4 avaient un coefficient de probabilité plus élevé que les scénarios 5 et 6, le dernier étant le moins probable[356]. Dès l’abord, la Cour constate que la nécessité d’envisager tant de scénarios, dont chacun comporte ses sous-scénarios, montre jusqu’à quel point il faut conjecturer pour conclure que la cession a causé un préjudice à Apotex.

 

[795]       Avant de passer à l’examen proprement dit de ces scénarios, il est important de noter qu’il faut se montrer prudent à l’égard de la preuve d’expert fondée sur des hypothèses proposées par des avocats, et s’assurer d’abord que ces hypothèses ont été entièrement établies de manière indépendante et que les principes de la théorie économique générale sont applicables au scénario factuel examiné. Un de ces principes théoriques sur lesquels s’appuie l’expert d’Apotex est que les entreprises, normalement, ne rejettent pas les possibilités de faire des profits.

[796]       Les hypothèses sur lesquelles s’appuient les experts d’Apotex peuvent être contestées sous au moins trois rapports. Premièrement, ils supposent qu’Apotex rechercherait un fournisseur licencié de céfaclor en vrac avant de prendre le risque d’entrer sur le marché avec des produits contrefaisants. Pour des raisons exposées plus loin, la preuve présentée par le propre directeur général d’Apotex montre que cette hypothèse n’est pas fondée dans la présente espèce.

[797]        Deuxièmement, pour ce qui concerne l’applicabilité de la théorie économique générale, M. Kay a bien précisé qu’Apotex avait pour politique d’ensemble d’éviter les accords d’autorisation de génériqueurs. Au cours de son contre-interrogatoire, on a demandé à M. Kay si cette attitude serait maintenue quels que soient les profits envisageables dans le cas contraire, et il a répondu : [traduction] « Probablement »[357].

[798]       Troisièmement, M. Church a bien précisé – et cela apparaît aussi à la lecture des rapports des experts d’Apotex – qu’une des hypothèses fondamentales était qu’il n’y avait que deux sources licites de céfaclor en vrac connues du public, et que tous les acteurs, y compris les acheteurs éventuels (c’est‑à‑dire les génériqueurs), avaient connaissance de cette situation[358]. Cette hypothèse non plus ne semble pas correspondre aux faits. En effet, M. Sherman a déclaré dans son témoignage que, bien qu’on aurait pu soutenir qu’Apotex était la mieux informée de la situation du marché, étant donné les efforts qu’elle avait déployés dès le départ pour y entrer et les obstacles qu’elle avait rencontrés sur cette voie[359], il ne savait pas qu’il avait besoin d’une licence et ne cherchait pas de fournisseur licencié, ni même, au début, n’avait essayé de savoir quel procédé utilisait son fournisseur.

[799]       La Cour note aussi que la propre évaluation proposée par l’expert d’Apotex du prix de duopole dans le « monde hypothétique »[360] suppose que les 1 500,00 $ payés par Apotex étaient le prix d’un céfaclor en vrac potentiellement non contrefaisant. Nous aurions là une troisième source d’approvisionnement licite, ce qui paraît à première vue être en contradiction avec l’hypothèse formulée par ces experts – et contredit certainement la prémisse que M. Church a déclaré être nécessaire pour son opinion.

 

[800]       Il apparaît en outre que les experts n’avaient pas été informés du fait qu’Apotex avait aussi soutenu dans l’action principale que Lilly elle-même avait connaissance de l’existence d’un troisième procédé viable, étant donné qu’elle l’avait inclus dans sa propre PDN[361]. Il est également important de noter que, contrairement à l’opinion formulée par M. McClelland dans la présente demande reconventionnelle, Apotex, une fois que son avocat interne ait conclu que le céfaclor qu’elle achetait était en fait contrefaisant, a pu trouver en quelques mois un fournisseur de céfaclor non contrefaisant.

 

[801]       Cependant, comme je l’expliquerai plus loin, la Cour ne souscrit pas à l’évaluation donnée par Apotex de la probabilité de matérialisation des scénarios proposés. La preuve n’étaye pas la thèse qu’il soit plus probable qu’improbable qu’Apotex aurait été licenciée par Shionogi ou Lilly dans le « monde hypothétique », ni non plus l’affirmation selon laquelle le scénario 3, où Apotex mettrait en œuvre le procédé de Shionogi sans être poursuivie, viendrait ensuite dans l’ordre des probabilités. Ces scénarios ne sont rien de plus que de simples éventualités; ils n’équivalent pas, même considérés ensemble, à une possibilité réelle ou substantielle.

 

[802]       La preuve étaye tout au plus une conclusion réunissant les scénarios 4 et 5, c’est‑à‑dire selon laquelle Apotex, dans le « monde hypothétique », aurait mis en œuvre les procédés de Shionogi aussi bien que de Lilly et aurait été actionnée par les deux sociétés. En outre, la Cour pense comme Apotex que le scénario 6, considéré isolément, est si peu probable qu’il ne mérite pas d’être examiné[362].

 

 

12.7.1. Les scénarios 1 et 2 : Apotex obtient une licence de Shionogi ou de Lilly

[803]       Les scénarios 1 et 2 sont simplement deux versions d’une même hypothèse, à savoir qu’Apotex aurait été licenciée sous une forme ou une autre dans le « monde hypothétique ». M. Church a déclaré que, [traduction] « [n’]eût été la cession des droits de brevet, Lilly aurait été en concurrence avec Shionogi, ou plus exactement avec le licencié de cette dernière, sur le marché canadien du céfaclor en vrac »[363].

 

[804]       L’expert Thomas Ross pense aussi qu’il y aurait eu une telle concurrence, étant donné que, à la suite de l’expiration du brevet canadien visant le céfaclor en août 1994, [traduction] « Shionogi aurait été fortement motivée du point de vue financier à concéder à une autre société une licence d’utilisation de son brevet en vue de produire du céfaclor en vrac pour le marché canadien »[364]. Lilly aurait réagi à l’entrée de Shionogi sur ce marché en octroyant elle aussi une ou plusieurs licences, chacun de ces acteurs, motivé par la maximisation du profit, [traduction] « estimant rentable de concéder une licence à tous ceux qui en demanderaient une et d’approvisionner tous ses licenciés »[365].

 

[805]       M. Cockburn a contesté le scénario de concurrence et de concession de licences proposé par les experts d’Apotex en faisant valoir que, même à supposer que Shionogi ait licencié un tiers, ce qu’il n’admettait pas[366], [traduction] « Shionogi et Lilly auraient eu de puissants motifs de limiter le nombre des concurrents sur le marché des formes posologiques finies ». « Elles auraient licencié ou approvisionné tout au plus un génériqueur chacune »[367], poursuivait‑il. Dans une telle hypothèse, il n’est pas certain qu’Apotex aurait été l’un des deux bénéficiaires d’une licence de cette nature.

 

[806]       Tout en contestant cette position, les experts d’Apotex répondent que, si Shionogi et Lilly n’avaient chacune licencié qu’un génériqueur dans le « monde hypothétique », Apotex aurait été le bénéficiaire le plus probable d’une telle licence :

[traduction] En tant que distributeur dominant de médicaments génériques, Apotex aurait été de loin le candidat à la licence le plus intéressant pour Shionogi. Par conséquent, même si Shionogi avait décidé de ne concéder qu’une seule licence, ç’aurait très bien pu être pour approvisionner Apotex[[368]].

 

 

[807]       Il est à noter que ni M. Ross ni M. Church ne possèdent d’expertise concernant les entreprises japonaises en général et qu’ils n’étaient que très peu informés des pratiques commerciales de Shionogi en particulier. En outre, il n’a pas été produit d’éléments tendant à établir que qui que ce soit souhaitât offrir à Shionogi une quelconque incitation financière de la nature susdite. Shionogi n’aurait vraisemblablement pas offert de licences à moins qu’elles ne soient en demande.

[808]       À ce propos, M. Sherman, dont on peut penser qu’il connaît beaucoup mieux le secteur d’activité et ce marché particulier que les experts économistes peu au fait de l’industrie pharmaceutique, a déclaré que le céfaclor faisait l’objet d’une concurrence moins vive que d’autres médicaments, [traduction] « parce que Novopharm serait la seule autre entreprise capable d’en produire au Canada »[369]. En outre, a‑t‑il ajouté, le céfaclor n’était pas un produit de première importance[370]. Aucun élément de preuve ne donne à penser que Novopharm ait souhaité fabriquer ce produit à aucun moment avant la conclusion de son accord de licence et de fourniture avec Lilly en 1998.

 

[809]       En outre, comme l’a expliqué M. Sherman, les entreprises telles que Pharmascience ne seraient pas présentes sur le marché du céfaclor en vrac faute de capacité de fabrication. Si Pharmascience s’était d’une quelconque façon intéressée au céfaclor, il lui aurait fallu trouver un fournisseur de ce médicament en forme posologique[371].

 

[810]       M.Sherman fait certainement comprendre que, si Apotex n’était pas entrée sur le marché, il se peut fort bien que, sans égard pour la situation relative aux brevets[372], aucun autre génériqueur n’ait souhaité fabriquer du céfaclor en forme posologique. Vu cet état de choses, on ne peut simplement supposer que les mesures prises par Lilly pour contrebalancer l’entrée « illicite » d’Apotex sur le marché du céfaclor en forme posologique soient tout uniment représentatives de ce qu’elle aurait fait en l’absence de concurrence de la part de Shionogi sur le marché du céfaclor en vrac

 

[811]       En fait, l’intense activité de commercialisation de Lilly et le fait qu’elle était disposée à conclure des accords d’autorisation de génériqueurs relativement à plusieurs médicaments (le céfaclor n’étant que l’un de ceux‑ci) pourraient très bien expliquer le retard des autres génériqueurs à entrer sur le marché. Il apparaît que les experts d’Apotex n’ont à aucun moment tenu compte de ces questions, étant donné qu’ils ne semblaient même pas avoir connaissance de ces faits, et qu’ils n’ont certainement pas pris acte dans leurs rapports de ce qu’il n’y avait au Canada qu’une capacité limitée de fabrication de ce médicament ni de ce qu’on ne manifestait même que peu d’intérêt pour sa vente sur le marché canadien.

 

[812]       Cela dit, il y a deux grandes raisons pour lesquelles la Cour ne peut conclure que ces scénarios ne soient rien de plus que de simples possibilités : i) la conviction de Shionogi qu’elle était liée à Lilly par un accord de licence exclusive; et ii) le fait qu’Apotex ne cherchait pas une source d’approvisionnement licite.

 

[813]       La Cour n’a pas besoin de l’aide d’experts pour apprécier la preuve relative aux convictions de Shionogi, le juge des faits étant évidemment capable d’évaluer la preuve circonstancielle pertinente[373] (Mohan). Il est également à noter que l’évaluation de cette nature que propose M. Church, par exemple, est fondée sur une information sélective et est par conséquent incomplète en tout état de cause.

 

[814]       Shionogi affirme qu’elle n’aurait licencié aucune entreprise dans le « monde hypothétique » parce que, comme le révèlent ses antécédents, elle est de ces fabricants de médicaments de marque qui ne licencient pas de génériqueurs, directement ou indirectement. Shionogi n’a jamais exercé directement d’activité commerciale hors du Japon, sans parler du Canada, et aucun élément de preuve n’indique que, à quelque moment que ce soit, elle ait reçu une demande de licence, ou ait concédé à quiconque une licence, d’exploitation de son procédé breveté en vue de la fabrication de céfaclor en vrac. En outre, Shionogi fait état de ses liens vieux d’un siècle avec Lilly, qu’elle ne voudrait pas risquer de rompre pour concéder des licences sur ses brevets de procédé.

 

[815]       Il y a en effet des raisons qui pourraient très bien amener la Cour à conclure qu’il est improbable que Shionogi aurait licencié qui que ce soit dans le « monde hypothétique », à moins qu’on ne l’y ait invité de manière active et pressante et qu’on ne lui ait offert à cette fin une considérable incitation financière[374].

 

[816]       Mais se révèle plus important dans ce contexte le fait que M. Hollis a reconnu qu’il serait effectivement difficile pour Shionogi de licencier qui que ce soit même si elle n’avait que la simple conviction d’être déjà liée par un accord de licence exclusive avec Lilly[375].

 

[817]       Il n’est pas nécessaire, à la présente étape et aux fins d’appréciation de la vraisemblance du scénario considéré, de régler le débat entre les parties sur l’interprétation de l’accord de 1975. La Cour concentre son analyse sur l’état d’esprit subjectif de Shionogi dans le « monde hypothétique ». Ici encore, les opinions ou convictions de Shionogi dans le monde réel peuvent nous renseigner sur ce qu’elles auraient été dans ledit « monde hypothétique ».

 

[818]       La Cour a examiné attentivement la totalité de la preuve admissible que les parties ont produite afin d’établir les faits sur lesquels s’appuient leurs conclusions respectives[376]. Ces faits sont nombreux, et il ne serait pas utile de les énumérer ici. Qu’il nous suffise de dire qu’il y a des preuves que Shionogi, dans le monde réel, avait une conviction de la nature susdite et a agi en conséquence dans les mois qui ont suivi la signature de l’accord.

 

[819]       En effet, M. Kanazawa, qui a personnellement négocié l’accord de 1975 au nom de Shionogi, a écrit à Lilly pour lui demander où il convenait de déposer les demandes de brevet concernant le [traduction] « projet du 3‑halocéphène ». Apotex, lorsque la Cour lui a demandé ce que cette démarche pouvait signifier d’autre que la conviction de Shionogi que Lilly détenait les droits afférents à ces brevets, a proposé comme explication que c’était peut-être simplement à cause des liens de longue date qui unissaient les deux entreprises et de l’expertise de Lilly dans ce domaine que Shionogi avait demandé conseil à cette dernière. Or la preuve de M. Wada, en qui la Cour voit un témoin crédible et qui était particulièrement au fait de cette question, ayant lui-même rédigé la lettre signée par M. Kanazawa, n’étaye pas le point de vue d’Apotex selon lequel Shionogi aurait eu pour habitude de demander ce genre de conseils.

 

[820]       Il est également très révélateur que Shionogi ait même entrepris des démarches juridiques sur la base de cette conviction. Dans sa lettre à Gowlings, s.r.l., en date du 22 juin 1993[377], par laquelle elle autorisait ce cabinet à la représenter dans la procédure relevant du RMB(AC) relativement à ses brevets inscrits dans la liste du formulaire IV de Lilly, Shionogi écrivait qu’elle avait [traduction] « concédé une licence à Eli Lilly & Co. [sur les brevets en litige] à l’égard des composés intermédiaires menant au céfaclor »[378].

 

[821]       Pour plus de sûreté, la Cour, bien qu’elle ait refusé d’admettre en preuve les pièces TX‑251 à TX‑259, a pris leur effet en considération et examiné le point de savoir si elles l’auraient amenée à une conclusion différente touchant la conviction de Shionogi. Or la Cour est persuadée que tel n’aurait pas été le cas.

 

[822]       Il n’y a aucune bonne raison de conclure que la conviction de Shionogi dans le « monde hypothétique » aurait été le moindrement différente de celle qui était la sienne dans le monde réel. La seule chose qui aurait été différente, vraisemblablement, est qu’il n’y aurait pas eu de correspondance entre Lilly et Shionogi au sujet de la possibilité d’une cession.

 

[823]       Bien que ce fait soit plus pertinent pour les scénarios que nous examinerons plus loin, la Cour ajoute qu’elle estime également que telle était aussi la conviction de Lilly dans le monde réel. La preuve qui incite à le penser est particulièrement forte[379].

 

[824]       La Cour s’est également demandé si Apotex aurait pris une licence dans l’hypothèse où cette possibilité lui aurait été offerte. En effet, Lilly et Shionogi ont soutenu que la preuve montrait que, en tout état de cause, Apotex ne souhaitait pas s’approvisionner en céfaclor sous couvert de licence. La Cour souscrit à cette affirmation.

 

[825]       Il est intéressant de noter à ce propos que les experts d’Apotex ne se sont à aucun moment informés auprès de cette dernière de ses pratiques antérieures en matière de licences. Comme on l’a vu plus haut, ils ont simplement supposé qu’Apotex chercherait à obtenir une licence de la nature susdite si Shionogi offrait cette possibilité.

 

[826]       Les experts d’Apotex ont aussi essayé d’expliquer qu’ils n’aient pas pris en considération le fait que Shionogi n’avait licencié aucune entité extérieure au groupe Lilly, notamment pas Apotex, avant de céder ses brevets en 1995, en faisant valoir que le brevet sur le céfaclor était lui-même un obstacle à l’entrée sur le marché[380]. Évidemment, ils ont omis de tenir compte du fait qu’Apotex avait pris une licence obligatoire sur le brevet 536, relatif au composé céfaclor, dès 1988. Donc, pendant environ six ans avant l’expiration de ce brevet, Apotex aurait pu essayer d’acheter du céfaclor sous couvert de licence à Shionogi, ou même à Lilly, mais à aucun moment ne l’a fait.

 

[827]       Apotex n’a produit aucun élément tendant à prouver que, en dehors du système des licences obligatoires, elle ait jamais cherché à obtenir une licence sur des brevets de procédé applicables à un produit qu’elle souhaitait vendre sur le marché canadien[381]. Aucun élément de preuve non plus ne donne à penser qu’Apotex se souciât même vraiment de trouver une source licite de céfaclor en vrac.

 

[828]       Il est vrai qu’Apotex s’est enquise auprès de divers fournisseurs du point de savoir s’ils utilisaient des procédés brevetés au Canada[382]. Cependant, on ne trouve dans la preuve guère d’éléments concernant ses discussions avec Kyong Bo, hormis une lettre en date du 16 décembre 1996 adressée à Pacific High Tech Canada (agent de Kyong Bo), qui révèle ses préoccupations touchant la contrefaçon possible des brevets de Lilly, et les lettres échangées en octobre 1997 dans le contexte de la contestation de l’action en contrefaçon déjà intentée par Lilly. Il est surprenant que, en décembre 1996, Apotex n’ait demandé de renseignements à Kyong Bo que concernant la contrefaçon possible des brevets de Lilly, étant donné qu’elle avait connaissance des brevets de Shionogi et du fait que Lilly faisait valoir des droits découlant de ces derniers brevets depuis l’introduction de la procédure relevant du RMB(AC) en 1993.

 

[829]       Quoi qu’il en soit, Apotex n’a pas fondé son choix de Kyong Bo comme fournisseur sur le fait que celle‑ci utilisait le procédé de Shionogi. Comme M. Sherman l’a déclaré dans son témoignage, Apotex n’a pas fait ce choix parce qu’elle aurait recherché [traduction] « tout particulièrement un produit fabriqué au moyen du procédé de Shionogi »[383].

 

[830]       Apotex n’a pas non plus fait ce choix parce qu’elle aurait cru que Kyong Bo détenait une licence :

[traduction]

 

LA COUR : Avez-vous choisi ce fournisseur parce qu’il détenait une licence?

 

[M. SHERMAN] : Non.

 

[…]

 

LA COUR : […] Cherchiez-vous un fabricant détenant une licence?

 

[M. SHERMAN] : Non.

 

[…]

 

Nous ne cherchions pas de fabricant détenant une licence. À l’époque, nous cherchions simplement des fournisseurs capables de nous approvisionner. Nous ne savions pas qu’il fallait une licence[384]. À l’époque, nous cherchions simplement des fournisseurs capables de nous approvisionner. Cette entreprise paraissait être un bon fournisseur éventuel, elle offrait un produit et elle nous a dit qu’elle avait un accord avec Shionogi, mais ce n’est pas parce que nous cherchions tout particulièrement un produit fabriqué au moyen du procédé de Shionogi[385].

 

[831]       La Cour note que le souvenir de M. Sherman touchant l’accord que Kyong Bo disait avoir avec Shionogi paraît entaché d’une légère erreur de chronologie. En effet, la correspondance et les propres déclarations antérieures de M. Sherman indiquent qu’un tel accord a été invoqué bien plus tard, à savoir en octobre 1997. On a vite constaté l’inexistence d’un tel accord après que, à la demande de M. Sherman, Me Fouillade ait examiné la question de plus près.

 

[832]       Quoi qu’il en soit, la voie qu’aurait suivie Apotex à l’époque a été décrite par M. Sherman lorsqu’il a déclaré en interrogatoire préalable : [traduction] « Le scénario le plus probable est que nous aurions simplement utilisé les procédés [de Shionogi] sans payer du tout de redevances et sans négociations[386]. » Si M. Sherman n’a pas dit les choses aussi éloquemment à l’instruction, cette déclaration n’a pas été contredite. En fait, on peut lire ce qui suit dans la transcription de son témoignage :

dans la mesure où il y avait d’autres brevetés avec d’autres procédés, il n’aurait pas en général été nécessaire de traiter avec eux, puisqu’on se serait attendu à ce qu’ils ne fassent pas valoir leurs droits au Canada ou qu’il soit possible d’obtenir des licences sur ces procédés[387].

 

[Non souligné dans l’original.]

Ici encore, cette déclaration s’inscrit en contradiction avec le fait que, indépendamment de la cession, Lilly faisait valoir des droits relativement à ces brevets, fait dont M. Sherman aurait dû avoir connaissance.

 

[833]       En tout cas, il apparaît qu’Apotex n’était pas disposée à dépenser beaucoup pour une telle licence. M. Sherman a expliqué que si Shionogi avait demandé à Apotex plus de quelques points de pourcentage, celle‑ci n’aurait pas accepté et les deux entreprises se seraient retrouvées devant les tribunaux[388] :

s’ils avaient voulu faire valoir le brevet en vue d’obtenir un taux de redevances plus élevé, ils auraient dû nous affronter en justice et risquer ainsi l’invalidation de leurs brevets, lesquels ne leur auraient alors par été très utiles[[389]].

 

[834]       Cet élément de preuve donne à penser que, pour Apotex, l’obtention d’une licence relative au céfaclor en vrac était une possibilité de dernier recours. M. Sherman a déclaré dans son témoignage à l’instruction : « Nous pouvions prendre une licence si cela devenait nécessaire et quand cela le deviendrait[390]. » Cette déclaration ne suffit tout simplement pas pour amener la Cour à conclure que n’eût été la cession des brevets de Shionogi, Apotex aurait cherché à s’approvisionner sous couvert d’une licence.

 

12.7.2. Le scénario 3 : Apotex met en œuvre le procédé de Shionogi et n’est pas poursuivie

[835]       Ce scénario présente un certain nombre de difficultés du point de vue de la preuve. La première et la plus évidente est que le comportement d’Apotex démontre qu’elle était prête à se procurer du céfaclor sans égard pour la méthode de sa production. Comme je le disais ci‑dessus, sa décision de se fournir chez Kyong Bo ne dépendait pas du fait que celle‑ci employât une méthode déterminée. En outre, on n’a guère produit devant la Cour d’éléments de preuve concernant le point de savoir ce qui avait amené Apotex à commencer à s’approvisionner en céfaclor auprès de Lupin en mai 1997, si ce n’est que Lupin lui avait vraisemblablement fait une proposition[391].

 

[836]       Il est clair qu’Apotex a demandé des renseignements sur le procédé de Lupin en juillet 1997, alors qu’elle en avait déjà reçu au moins trois expéditions de céfaclor en vrac. La Cour ne peut conclure qu’Apotex croyait que Lupin employait le procédé de Shionogi ni, encore une fois, que les questions de cette nature soient devenues importantes ou pertinentes pour Apotex.

 

[837]       La Cour n’estime pas crédible que, n’eût été la cession, Apotex aurait fait un effort délibéré pour ne se procurer que du céfaclor en vrac fabriqué au moyen du procédé de Shionogi. La preuve étaye plutôt la conclusion que ce qui intéressait Apotex, c’était d’obtenir du céfaclor en vrac, indépendamment du procédé utilisé pour sa fabrication.

 

[838]       Si elle avait tiré une conclusion différente à cet égard, la Cour n’aurait quand même pas considéré le scénario à l’étude comme plus probable qu’improbable, n’étant pas convaincue que la preuve étaye la thèse d’Apotex voulant que l’utilisation exclusive du procédé de Shionogi n’aurait pas entraîné d’action en contrefaçon.

 

[839]       Plus précisément, Apotex n’a proposé absolument aucun élément de preuve ou explication à l’appui de l’idée que, dans le « monde hypothétique », la défense des droits de brevet de Shionogi ne se serait pas faite exactement de la même façon qu’elle s’est faite dans le cadre de la procédure relevant du RMB(AC). Comme je le disais ci‑dessus, il y a plus d’éléments qu’il n’en faut pour établir que Lilly croyait détenir (peu importe, encore une fois, que ce soit à tort ou à raison) une licence exclusive sur les brevets en litige, et il n’a été invoqué aucun motif sérieux qu’aurait eu Shionogi de ne pas être entièrement disposée à collaborer à la tâche de faire valoir ces brevets. Force est à la Cour de conclure que, dans le « monde hypothétique », Apotex aurait aussi été actionnée en contrefaçon, la seule différence étant que Lilly et Shionogi auraient alors toutes deux intenté l’action, de même qu’elles ont toutes deux engagé la procédure relevant du RMB(AC).

 

12.7.3. Les scénarios 4 et 5 : Apotex met en œuvre les procédés de Shionogi et de Lilly et est poursuivie par toutes deux

 

[840]       Comme je l’expliquais plus haut, la Cour ne peut conclure à la probabilité que, dans le « monde hypothétique », Apotex se serait procurée du céfaclor en vrac fabriqué au moyen d’un seul procédé, que ce soit celui de Shionogi ou de Lilly. Par conséquent, les scénarios 4 et 5 ne peuvent représenter ce qui serait arrivé dans ledit « monde hypothétique », puisqu’ils sont fondés sur le postulat qu’Apotex n’aurait mis en œuvre que l’un des deux procédés.

 

[841]       Le plus probable est que, dans le « monde hypothétique », Apotex aurait mis en œuvre les procédés de Shionogi et de Lilly à des degrés divers, exactement comme elle l’a fait dans le monde réel. Apotex a admis qu’il était très peu probable que, dans le « monde hypothétique », Lilly n’aurait pas fait valoir ses droits de brevet. Ainsi que je l’ai expliqué ci‑dessus, la Cour ne dispose d’aucun élément de preuve qui l’amènerait à conclure qu’une action de cette nature n’aurait pas été menée de la même façon que l’a été la procédure relevant du RMB(AC) pour ce qui concerne la contrefaçon des brevets de Shionogi.

 

12.8. La cession cause‑t‑elle une perte dans le scénario hypothétique le plus probable?

[842]       Il faut conclure de ce qui précède que la seule différence entre le monde réel et le scénario hypothétique le plus probable est que Shionogi aurait aussi été partie à l’action en contrefaçon. Les observations d’Apotex touchant ce qu’aurait été sa perte dans un tel scénario (voir les scénarios 4 et 5 du tableau B) ne sont pas particulièrement claires[392]. Si on lit ces observations parallèlement aux paragraphes 282 et 283 de son mémoire, il apparaît qu’Apotex avance les prétentions suivantes :

i) Si la Cour fixe le prix hypothétique du céfaclor en vrac à moins de 1 500,00 $US, elle l’a payé plus cher dans le monde réel qu’elle ne l’aurait payé dans le « monde hypothétique »[393].

ii) Le montant du dédommagement qu’elle risque d’avoir à verser par suite de la contrefaçon est plus élevé dans le monde réel qu’il ne l’aurait été dans le « monde hypothétique ».

Pour les motifs dont l’exposé suit, la Cour ne peut conclure qu’Apotex a subi quelque dommage que ce soit du fait de la cession.

 

[843]       Avant de concentrer notre attention sur les éléments de preuve invoqués par Apotex à l’appui des prétentions ci‑dessus, il importe de rappeler ce que les experts d’Apotex avaient à dire en contre-interrogatoire sur les pertes potentielles dans un scénario hypothétique où Apotex n’aurait pas demandé de licence à Shionogi, ou n’en aurait pas obtenu d’elle (que ce soit directement ou indirectement).

 

[844]       Premièrement, M. Church a déclaré : [traduction] « ce sur quoi je serais d’accord avec vous, c’est que [si] vous pouvez établir que dans le "monde hypothétique" Apotex n’aurait été approvisionnée ni par Shionogi ni par Lilly, elle n’aurait pas alors subi de préjudice »[394].

 

[845]       C’était aussi l’opinion de M. Ross :

[traduction]

 

[Avocat de Lilly] : Vous serez d’accord avec moi pour dire que si elle avait choisi de licencier une autre entreprise et non Apotex, l’accord de 1995 n’aurait eu aucun effet sur cette dernière?

 

[M. Ross] : Je crois que c’est exact. Mais prévenons tout malentendu : vous voulez dire que, en l’absence de l’accord de 1995, elle aurait licencié quelqu’un d’autre?

 

[Avocat de Lilly] : Oui, c’est ça.

 

[M. Ross] : Vous faites intervenir l’accord de 1995 et supposez que personne n’est licencié. Quel est alors l’effet sur Apotex? C’est exact.

 

[Avocat de Lilly] : Donc vous êtes d’accord pour dire qu’il n’y aurait pas eu d’effet sur Apotex?

 

[M. Ross] : Oui[[395]].

 

 

[846]       Quant à M. Cole, on lui a demandé de supposer que la Cour ait conclu qu’il y avait eu comportement anticoncurrentiel, et qu’Apotex avait contrefait les brevets en question et était par conséquent tenue de payer des dommages-intérêts. On lui a ensuite demandé d’examiner le scénario dans lequel notre Cour aurait aussi conclu que, dans le « monde hypothétique », Apotex n’aurait pas passé d’accord de licence. [traduction] « [S]elon cette logique ou cette hypothèse, a‑t‑il déclaré, il n’y aurait pas de dommages, à mon avis. Il n’y aurait pas de dommages [...] C’est là une supposition juste[396]. »

 

[847]       Or, malgré ces éléments de preuve, Apotex soutient qu’elle a subi une perte en fonction des scénarios 4 et 5, où il est évident qu’elle n’aurait obtenu de licence ni de Shionogi ni de Lilly.

 

[848]       La Cour examinera d’abord le point de savoir si Apotex a établi avoir subi une perte à l’égard du coût pour elle du céfaclor en vrac, étant donné que, selon le jugement du juge Hughes cité plus haut, elle doit être en mesure de quantifier la perte d’Apotex à cet égard.

 

12.9. Le coût supérieur du céfaclor en vrac d’origine licite

[849]       La Cour estime qu’Apotex n’a pas établi, de quelque point de vue qu’on se place, qu’elle aurait acheté son céfaclor en vrac dans le « monde hypothétique » à un prix inférieur à celui qu’elle a payé dans le monde réel. En effet, les prix du céfaclor en vrac d’origine licite, quels qu’ils aient pu être dans le « monde hypothétique », n’auraient pu influer sur le prix payé pour les produits contrefaisants (c’est‑à‑dire tout le céfaclor acheté, à part celui produit par Lupin en 1998). Selon l’interprétation de la Cour, c’est exactement là la raison pour laquelle les experts d’Apotex ont admis ce qu’on a vu plus haut et conclu que cette dernière n’avait subi aucune perte dans ce contexte.

 

[850]       En tout état de cause, même si le prix du céfaclor en vrac d’origine licite dans le « monde hypothétique » était pertinent en l’occurrence, Apotex n’a pas proposé à la Cour d’éléments suffisants pour l’amener à conclure qu’elle aurait subi une perte.

 

[851]       Les experts d’Apotex ne traitent que la question de la différence entre le prix de monopole[397] et le prix de duopole dans le « monde hypothétique ». Il apparaît qu’on ne leur a à aucun moment demandé d’établir précisément s’il y avait une différence entre le prix réellement payé et le prix de duopole dans le « monde hypothétique », puisqu’ils semblent se contenter d’une simple fourchette de prix possibles pour le céfaclor en vrac d’origine licite dans ledit « monde hypothétique », soit de 860,00 à 1 500,00 $US[398].

 

[852]       Bien que, en réponse au témoignage de M. Cockburn, ils aient déclaré que le prix de 1 150,00 $US demandé par Lilly à Novopharm pourrait être une estimation plus précise, MM. Church et Hollis ne sont jamais revenus sur leur thèse de départ. Au moment des plaidoiries, l’avocat d’Apotex a proposé à la Cour d’adopter l’estimation de 1 150,00 $, qui est très proche du milieu de la fourchette utilisée par les experts de cette entreprise. La Cour n’est pas convaincue qu’elle devrait retenir ce chiffre. La charge pesait sur Apotex d’établir sa perte; elle aurait très bien pu demander à ses experts de le faire. On peut raisonnablement inférer des témoignages de ceux‑ci qu’elle ne l’a pas fait parce que, selon eux, Apotex n’aurait subi aucune perte.

 

12.10. La responsabilité en contrefaçon

[853]       Apotex soutient[399] qu’en octroyant à Lilly une indemnisation qu’elle ne pourrait recouvrer qu’en vertu de droits obtenus illégalement, on lui accorderait un enrichissement injuste ou injustifié. Cependant, il est essentiel de se rappeler que, selon l’article 36, l’examen doit être axé sur les dommages réels subis par la partie demanderesse, qui ne peut recouvrer qu’« une somme égale au montant de la perte ou des dommages qu’elle est reconnue avoir subis »[400].

 

[854]       Pour ce qui concerne les brevets de Shionogi, Apotex fait valoir que, dans le « monde hypothétique », elle ne serait tenue de payer, en fait de dédommagement, qu’une somme [traduction] « qui ne serait pas supérieure à un taux raisonnable de redevances »[401]. Quant aux brevets de Lilly, Apotex soutient que, bien qu’ils n’aient pas fait l’objet de la cession, l’indemnisation qu’elle aurait pu être tenue de verser à leur égard aurait néanmoins été inférieure dans le « monde hypothétique », étant donné que Lilly aurait dû y soutenir la concurrence de Shionogi. Par conséquent, Lilly aurait réclamé l’indemnisation d’un manque à gagner moindre[402].

 

12.10.1. Les brevets de Lilly

[855]       Apotex n’a guère produit d’éléments de preuve à l’appui de son argument, exception faite d’une seule page d’un seul rapport d’un seul expert, soit M. Church[403], à laquelle Shionogi et Lilly ont à peine répondu. Dans cette page, M. Church propose la formule [pm p]qA, où : pm [traduction] « est le prix que Lilly a perdu en tant que monopoleur »[404], p [traduction] « est le prix que Lilly aurait demandé pour le céfaclor en vrac s’il y avait eu concurrence »[405], et qA est la quantité des ventes d’Apotex (en forme posologique).

 

[856]       Lorsque la Cour lui a demandé d’expliquer la pertinence de cette formule et comment elle pourrait être utilisée, M. Church a formulé spontanément des remarques qui font apparaître ce que la Cour estime être de très sérieuses lacunes de sa démarche :

[traduction]

 

[La Cour] : Donc, vous me dites que vous auriez pu calculer cela avec précision, mais que vous ne l’avez pas fait parce qu’on ne vous l’a pas demandé.

 

[M. Church] : Non, on ne me l’a pas demandé et je ne le pouvais pas – en fait, peut-être que j’aurais été capable de calculer ces choses, mais cela ne faisait pas partie de mon mandat. Tout ce qu’on m’a demandé de faire, c’est d’élaborer un cadre.

 

[La Cour] : Pourquoi dites-vous « peut-être que j’aurais été capable », « tout ce qu’on m’a demandé de faire » et ainsi de suite? Comment le ferai‑je si vous dites que peut-être vous en auriez été capable?

 

[M. Church] : Pardonnez-moi, madame la juge. Je veux dire qu’on ne m’a pas demandé de faire cela.

 

[La Cour] : D’accord, ça va. Alors votre réponse est que vous ne l’avez pas fait, que vous auriez pu le faire ou en auriez été capable, mais qu’on ne vous a pas demandé de le faire.

 

[M. Church]: Exactement. Ce que je propose, c’est un cadre permettant d’établir qu’ils auraient pu subir un dommage[[406]].

 

[Non souligné dans l’original.]

 

 

[857]       Premièrement, la Cour constate qu’il s’agit là d’une partie particulièrement obscure de la preuve de cet expert et qu’Apotex n’a fait absolument aucun effort pour expliquer le paragraphe 283 de son mémoire. Ce paragraphe semble se fonder sur l’hypothèse que les profits réalisés par Lilly sur le céfaclor en vrac sont pertinents pour la quantification du prédudice de contrefaçon dans le cadre de l’action principale.

 

[858]       Deuxièmement, comme je le disais plus haut, ce cadre d’analyse n’est pas conforme aux positions adoptées à l’instruction par M. Church lui-même, ainsi que par d’autres experts d’Apotex. Il ne peut donc avoir été conçu pour s’appliquer au seul scénario hypothétique plausible ici, qui ne comporte la concession d’aucune licence par Shionogi.

 

[859]       Quoi qu’il en soit, le cadre d’analyse proposé par M. Church ne peut servir qu’à établir qu’Apotex aurait pu subir un préjudice, et non que tel ait été en fait le cas. Même si la quantification des dommages a fait l’objet d’une disjonction, la charge n’en pesait pas moins sur Apotex d’établir qu’elle a bel et bien subi des dommages, et non pas simplement qu’elle « aurait pu » en subir. Apotex n’a rien fait de plus que proposer des conjectures à la Cour sur ce sujet.

 

[860]       La Cour n’est disposée à formuler aucune conclusion sur la base de cette preuve.

 

12.10.2. Les brevets de Shionogi

[861]       Dans le « monde hypothétique », Shionogi et Lilly auraient été codemanderesses et auraient soutenu, ainsi qu’elles l’ont fait dans le monde réel, que Lilly est licenciée ou que, à tout le moins, elle peut se réclamer du breveté sous le régime du paragraphe 55(1) de la Loi sur les brevets.

 

[862]       Apotex n’a pas persuadé la Cour qu’il y aurait eu ne serait‑ce qu’une possibilité réelle ou appréciable que Shionogi, dans un tel scénario, se contentât du faible taux de redevances évoqué par M. Sherman dans son témoignage, et ce, en supposant qu’Apotex ait jugé bon de présenter une offre de cette nature[407].

 

[863]       Il s’ensuit que le seul argument qui reste est celui-là même qui a été invoqué dans le monde réel contre Lilly, à savoir qu’Apotex ne devrait être tenue de payer qu’un taux raisonnable de redevances, au motif que les brevets de Shionogi n’ont pas été exploités ni commercialisés au Canada[408]. Or la Cour a rejeté cet argument, en dépit de l’exposition approfondie qui en a été donnée.

 

[864]       Vraisemblablement – encore qu’elle ne l’ait pas soutenu –, cet argument avait selon Apotex plus de force dans le « monde hypothétique », puisque Lilly aurait alors eu à établir qu’elle avait effectivement des droits découlant de ceux du breveté.

 

[865]       Cela nous ramène à l’accord de 1975 et aux rapports entre les deux demanderesses dans le « monde hypothétique », et exige que la Cour fasse des conjectures sur la décision que rendrait le tribunal saisi dans ledit monde.

 

[866]       Je parle de « conjectures » parce que, s’il n’y avait pas eu de cession, la preuve produite devant la Cour aurait probablement été très différente. Par exemple, il n’existerait probablement pas de correspondance entre Lilly et Shionogi touchant la possibilité d’une cession[409]. Shionogi aurait très bien pu participer à l’instance américaine avec Lilly, et il pourrait même exister un jugement sur cette question. En outre, il n’y aurait vraisemblablement guère d’éléments de preuve, voire aucun, touchant le ou les accords conclus par Shionogi et Lilly avec des tiers, puisque dans le « monde hypothétique », Apotex n’aurait probablement pas eu le droit de se faire communiquer de renseignements à ce sujet[410].

 

[867]       Bien que ce soit là aussi un raisonnement conjectural, on pourrait supposer que la Cour, dans le « monde hypothétique », disposerait d’un dossier de preuve semblable à celui de l’action principale, mais augmenté d’éléments de la demande reconventionnelle. Par exemple, il y aurait aussi dans le « monde hypothétique » des éléments tendant à établir que M. Gorman, de Lily, aurait demandé l’aide de Shionogi dans l’élaboration d’[traduction] « une méthode économique de synthèse de la 3‑halo‑céphalosporine »[411] en juin 1974 et que, avant la date présumée de l’invention (février 1975), M. Cooper aurait rencontré le groupe de recherche de Shionogi pour le renseigner sur les travaux de Lilly, notamment sur le composé désigné « thiazoline de Cooper », qui est le composé de départ du procédé de Shionogi.

 

[868]       La Cour appliquerait dans le « monde hypothétique » les principes généraux exposés dans les motifs de l’action principale, notamment les observations suivantes formulées par le juge Rothstein au paragraphe 99 de l’arrêt Apotex (2000) :

Peut-être est‑il indiqué de faire remarquer qu’en l’espèce, la présumée titulaire de licence n’est pas la seule à ester en justice pour contrefaçon de brevet, la brevetée également s’adresse à la Cour comme codemanderesse et appuie la revendication de GWI. Il est difficile de concevoir ce qu’on pourrait demander de plus.

 

[869]       Il est à mon sens aussi probable qu’improbable que, dans le contexte d’une telle action en contrefaçon, la Cour conclurait que Lilly peut effectivement se réclamer du breveté.

 

[870]       Par conséquent, même si la Cour était en droit de conjecturer autant qu’Apotex soutient qu’elle le devrait, on ne m’a pas convaincue que cette partie ne risquerait pas de la voir tirer exactement les mêmes conclusions que celles qu’elle a formulées dans l’action principale.

 

[871]       En outre, même si l’on supposait que Lilly ne détenait pas de droits découlant de ceux du breveté, Shionogi pourrait fort bien avoir droit à la comptabilisation des profits d’Apotex. Dans un tel cas, la restitution est fonction du gain du défendeur plutôt que de la perte du demandeur : Monsanto Canada Inc. c. Rivett, 2009 CF 317, [2009] A.C.F. no 410 (QL), paragraphe 21 (Monsanto Canada Inc. c. Rivett); et Bayer Aktiengesellschaft c. Apotex Inc. (2001), 10 C.P.R. (4th) 151 (C.S.J. Ont.), conf. par (2002), 16 C.P.R. (4th) 417 (où la Cour d’appel de l’Ontario a rejeté l’argument d’Apotex comme quoi il ne faudrait pas enrichir injustement la partie lésée en prononçant en sa faveur une indemnisation supérieure à sa perte réelle).

 

[872]       Comme l’a noté le juge Russel Zinn au paragraphe 23 de Monsanto Canada Inc. c. Rivett, si cette possibilité n’était pas ouverte à Shionogi, il serait trop facile pour le défendeur de dire : « Essayez toujours de m’attraper pour voir ». « Et s’il se faisait prendre, le défendeur devrait verser la somme qu’en tout état de cause il aurait dû payer pour exploiter le brevet. S’il ne se faisait pas prendre, il profiterait alors d’une "aubaine". » Si l’on se rappelle le témoignage de M. Sherman, ce raisonnement sonne particulièrement juste dans la présente espèce.

 

[873]       Qui plus est, Apotex n’a proposé absolument aucun élément de preuve tendant à établir que les bénéfices qu’elle devrait restituer seraient vraisemblablement inférieurs aux dommages-intérêts qui pourraient être octroyés à Lilly si cette dernière choisissait de demander ce mode d’indemnisation plutôt qu’une comptabilisation des profits.

 

[874]       Bref, même si la Cour était convaincue qu’une fraction quelconque de sa responsabilité en contrefaçon soit attibuable à la cession que nous examinerons maintenant, Apotex ne s’est pas acquittée de la charge qui pesait sur elle d’établir que cette responsabilité serait probablement différente dans le « monde hypothétique » de ce qu’elle est dans le monde réel.

 

[875]       Examinons maintenant l’argument de Shionogi et de Lilly selon lequel Apotex [traduction] « réclame le beurre et l’argent du beurre ». Shionogi et Lilly font en outre valoir qu’accueillir le genre d’argument ici avancé par Apotex équivaudrait à la munir d’une police d’assurance contre les conséquences de ses actes contrefaisants. Cela serait selon elles déraisonnable, étant donné que la responsabilité en contrefaçon d’Apotex découle en fait de sa décision de contrefaire les brevets plutôt que de la cession de ces derniers. Apotex répond[412] que ce raisonnement ne tient pas compte du fait que si elle a dû prendre des risques pour entrer sur le marché, c’est seulement à cause de l’arrangement illicite entre Shionogi et Lilly. La Cour ne souscrit pas à cette dernière affirmation.

 

[876]       En effet, la preuve établit qu’Apotex a pris la décision commerciale d’acheter son céfaclor en vrac sans essayer d’établir si elle contrefaisait les brevets, ou l’un ou l’autre des brevets, dont elle savait, ou aurait dû savoir, que Lilly et Shionogi affirmaient la pertinence pour la fabrication de ce produit. Cette décision n’était pas fondée sur le fait qu’il coûterait moins cher de contrefaire le procédé de Shionogi. Si Apotex avait porté son attention de ce côté, elle n’aurait pu que conclure, étant donné que les brevets de Shionogi figuraient sur la liste de Lilly, à la probabilité que cette dernière ferait valoir des droits sur ces brevets.

 

[877]       Par conséquent, même si Apotex avait établi avoir subi une perte à l’égard de sa responsabilité en contrefaçon, elle n’aurait pas convaincu la Cour que cette perte découlât de la cession[413].

 

[878]       Enfin, il ne faut pas oublier que la Loi sur la concurrence a été adoptée pour protéger l’intérêt public. Elle n’a pas pour objet de protéger les droits de ceux qui choisissent d’agir de manière contraire à la loi. Ce que soutient ici Apotex, c’est qu’elle a le droit de contrefaire des brevets au moindre coût possible.

 

[879]       La chose est devenue très claire lorsque la Cour, voulant mieux comprendre la position d’Apotex, lui a demandé son avis sur le scénario hypothétique suivant : Supposons que le breveté soit une petite entreprise disposant de peu de moyens pour faire valoir ses brevets et décide de vendre son brevet, à la juste valeur marchande, à une plus grande entreprise ayant pour règle d’assurer rigoureusement le respect de ses droits de brevet. Apotex soutiendrait-elle avoir subi une perte du fait qu’elle risquerait maintenant d’être actionnée en contrefaçon? [traduction] « [L]a réponse serait oui »[414], a déclaré l’avocat d’Apotex.

 

[880]       On ne peut tout simplement pas admettre ce genre de raisonnement.

 

[881]       Après mûr examen, je suis arrivée à la conclusion qu’il ne conviendrait pas de formuler d’observations sur les autres questions que soulève la présente espèce, en particulier le point de savoir s’il y a eu violation de l’article 45 de la Loi sur la concurrence. Il s’agit là de questions importantes et nouvelles auxquelles on ne devrait pas répondre par des remarques incidentes[415].

 

12.11. Les dépens

[882]       Lilly et Shionogi ont présenté des conclusions approfondies à l’appui de leur réclamation de dépens avocat-client dans la présente espèce. Après examen de la totalité des arguments et des facteurs énumérés à l’article 400 des Règles, la Cour a conclu que l’adjudication de dépens avocat-client ne se justifie pas ici. Il est cependant évident que certaines circonstances invoquées dans les conclusions susdites de Lilly et Shionogi justifient l’adjudication de dépens plus élevés que ce qui est normalement prévu. En conséquence, les dépens afférents à tous les services rendus avant l’instruction seront fixés au maximum de la colonne III du tarif B, tandis que ceux relatifs aux services rendus après le début de l’instruction seront fixés au maximum de la colonne IV du même tarif.

 

[883]       Les défenderesses reconventionnelles ont droit aux dépens afférents à deux avocats, ainsi qu’au recouvrement d’honoraires et de débours raisonnables au titre des témoins experts qui ont déposé à l’instruction.


JUGEMENT

 

Pour les motifs exposés ci‑dessus, la Cour, après instruction de la présente action, statue comme suit :

  1. La défenderesse, Apotex Inc., a contrefait au moins une revendication valide de chacun des brevets canadiens dont les numéros suivent, en important, fabriquant, exportant, vendant et offrant à la vente du céfaclor au Canada :
    1. 1133007,
    2. 1146536,
    3. 1133468,
    4. 1150725,
    5. 1095026,
    6. 1132547,
    7. 1136132,
    8. 1144924.

  2. Les demanderesses ont le choix entre une comptabilisation des profits de la défenderesse et des dommages-intérêts les indemnisant en totalité du préjudice subi par suite du manque à gagner qui découle directement pour elles de la contrefaçon par la défenderesse des revendications susdites des brevets de Lilly (nos 007, 536, 468 et 725) et des brevets de Shionogi (nos 026, 547, 132 et 924). Ces dommages-intérêts seront fixés dans le cadre d’un renvoi, précédé d’une phase de communication et d’interrogatoires préalables si demande en est faite.

 

  1. La défenderesse aura le droit de déduire de sa responsabilité un maximum de 187 kilos de céfaclor en vrac sous le régime du paragraphe 55.2(1) de la Loi sur les brevets. La quantité exacte sera fixée dans le cadre du renvoi, conformément à mes motifs.

  2. Les demanderesses ont droit aux intérêts avant jugement sur le montant des dommages-intérêts qui leur seront octroyés (dans le cas où elles choisiraient d’être indemnisées par voie de dommages-intérêts), intérêts non composés, d’un taux à calculer séparément pour chaque année à compter du début de l’activité contrefaisante, égal au taux bancaire annuel moyen établi par la Banque du Canada comme taux minimum auquel elle consent des avances à court terme aux banques énumérées à l’annexe 1 de la Loi sur les banques, L.R.C. 1985, ch. B‑1. Cependant, cette décision est subordonnée à la condition que le juge du renvoi n’accorde pas d’intérêts en vertu d’un droit visé à l’alinéa 36(4)f) de la Loi sur les Cours fédérales.

  3. Si les demanderesses choisissent la comptabilisation des profits, le juge du renvoi établira les intérêts applicables.

  4. Les demanderesses ont droit à des intérêts après jugement, non composés, au taux annuel de cinq pour cent (5 %), conformément à l’article 4 de la Loi sur l’intérêt, L.R.C. 1985, ch. I‑15. Ces intérêts commenceront à courir au moment de la taxation définitive du montant des dommages-intérêts ou des profits à restituer. Jusqu’à ce moment, les intérêts avant jugement seront applicables.

  5. Les demanderesses ont droit aux dépens, qui feront l’objet d’une ordonnance distincte. Les parties ont trente (30) jours pour présenter sur le montant desdits dépens des observations remplissant les conditions que fixent mes motifs.

  6. La demande reconventionnelle de la défenderesse est rejetée, avec dépens, à taxer conformément à mes motifs.

 

 

« Johanne Gauthier »

Juge

 


TABLEAU « A »

 

Contrefaçon

 

 

 

 

 

 

 

Nom

Objet

Date

Numéro de pièce

Qualifications

Courte note biographique

 

1

Anthony G.M. Barrett

Lilly contrefaçon, preuve principale –procédé de Kyong Bo

19 octobre 2007

E-1

Expert en chimie, chimie organique, en particulier en chimie des bêta‑lactamines notamment les céphalosporines et les pénicillines; techniques de recherche en chimie, synthèse de composés organiques et de composés médicinaux, fabrication, manipulation, mécanismes d’action et activité des antibiotiques; tests de chimie expérimentale et de chimie analytique, techniques et interprétation, dont analyse et interprétation et propriétés des composés chimiques, analyse et identification de composés et de structures.

M. Barrett est professeur de chimie organique et de chimie de synthèse à l’Imperial College of Science, Technology and Medicine (Royaume‑Uni). Il a obtenu son doctorat en 1975. Au cours de sa carrière, il a aussi enseigné à l’Université Northwestern et à l’Université d’État du Colorado. Il est membre de la Royal Society (R.‑U.) depuis 2003. Il est spécialiste en synthèse des bêta‑lactamines et étudie les pénicillines et les céphalosporines depuis les années 1970. Il a beaucoup publié dans ce domaine pendant trois décennies. Il est l’auteur de plus de 330 publications.

 

2

Marvin Miller

Lilly
contrefaçon, preuve principale –procédé de Lupin (expériences)

8 octobre 2007

E‑2

Expert en : 1) chimie, chimie organique, chimie médicinale, en particulier la chimie des bêta‑lactamines, dont les céphalosporines et les pénicillines; 2) techniques de recherche en chimie, synthèse de composés organiques et de composés médicinaux, fabrication, manipulation, mécanismes d’action et activité des antibiotiques; 3) tests de chimie expérimentale et de chimie analytique, techniques et interprétation, dont RMN, spectroscopie infrarouge et chromatographie en phase liquide-spectrométrie de masse (CL‑SM), analyse et interprétation et propriétés des composés chimiques, analyse et identification de composés et de structures.

Professeur et ancien directeur du Département de chimie et de biochimie de l’Université Notre‑Dame, en Indiana. Doctorat en chimie bioorganique, Université Cornell, 1976. Recherches post‑doctorales à l’Université de la Californie à Berkeley. Vaste expérience en chimie organique et en synthèse de bêta‑lactamines. A été rédacteur en chef de diverses revues consacrées à la recherche. Auteur ou coauteur de plus de 225 publications revues par les pairs.

 

3

Marvin Miller

Lilly
contrefaçon, preuve principale –procédé de Lupin

19 octobre 2007

E‑3

Voir ci-dessus.

Voir ci-dessus.

 

4

Garrett Moraski

Lilly contrefaçon, preuve principale – procédé de Lupin –expériences (essais)

19 octobre 2007

E‑4

Expert en divers aspects de la recherche en chimie expérimentale et en chimie analytique (techniques, pratiques, instruments et documentation) et en RMN et spectroscopie infrarouge.

Titulaire d’un baccalauréat en chimie (1997) de l’Université Notre‑Dame. Il est actuellement technicien en recherche et gestionnaire de laboratoire au laboratoire de M. Miller à l’Université Notre‑Dame. Quatre années d’expérience comme adjoint à la recherche chez Pfizer et plusieurs autres années d’expérience comme chercheur dans une jeune entreprise pharmaceutique. A participé activement aux activités de recherche de M. Miller et a été coauteur de nombreux articles revus par les pairs.

 

5

Brian Hunter

Lilly contrefaçon, preuve principale – procédé de Lupin – RMN du P et données sur le spectre infrarouge du complexe cinétique

22 octobre 2007

E‑5

Chimiste dont les travaux sont axés sur l’utilisation de la résonance magnétique nucléaire et de la spectroscopie infrarouge pour l’étude du comportement moléculaire dans divers systèmes.

Professeur émérite de chimie et de génie chimique à l’Université Queen’s, à Kingston. Retraité depuis 2001. Doctorat de l’Université Western Ontario en 1969. Boursier du Conseil national de recherche du Canada au Collège universitaire de London de 1969 à 1971. Recherche et enseignement spécialisés dans l’utilisation de la spectroscopie de résonance magnétique nucléaire (RMN), y compris la RMN du phosphore, pour l’étude du comportement moléculaire. A fourni des conseils sur l’interprétation du spectre RMN dans tous les domaines de la chimie. Auteur d’un manuel intitulé Modern RMN Spectroscopy: a Guide for Chemists (2nd éd. 1993).

 

6

Jack Baldwin

Lilly contrefaçon, preuve principale – procédé de Lupin

 

19 octobre 2007

E‑6

Expert en : 1) chimie, chimie organique, chimie médicinale, en particulier la chimie des bêta‑lactamines, dont les céphalosporines et les pénicillines; 2) techniques de recherche en chimie, synthèse de composés organiques et de composés médicinaux, fabrication, manipulation, mécanismes d’action et activité des antibiotiques; 3) techniques expérimentales et interprétation auxquelles ont recours les chimistes de ce domaine dans leurs travaux.

Sir Baldwin est professeur de chimie à l’Université d’Oxford (retraité depuis 2005) et a été professeur de chimie au Massachusetts Institute of Technology de 1972 à 1978. Il a obtenu son doctorat de l’Imperial College en 1964. Il est membre de la Royal Society depuis 1978 et a été nommé chevalier en 1997 en reconnaissance de sa contribution au domaine de la chimie. Tout au long de sa brillante carrière, il s’est intéressé particulièrement à la synthèse des bêta‑lactamines, en particulier les pénicillines et les céphalosporines. Il est au fait des travaux de l’industrie dans ce domaine.

 

7

Diane Azzarello

Lilly contrefaçon, preuve principale – exigences réglementaires de Santé Canada

19 octobre 2007

E‑7

Experte en affaires réglementaires, notamment la préparation et le dépôt de présentations de drogues nouvelles, et dans d’autres sujets dont il est question dans son rapport.

Mme Azzarello est pharmacienne titulaire d’une licence de l’Ontario. Elle possède plus de 20 ans d’expérience au sein de l’industrie pharmaceutique dans les domaines de la recherche clinique, des ventes et des affaires réglementaires. Elle a déjà occupé le poste de directrice, Affaires réglementaires, chez Upjohn Canada. Depuis 1996, elle est présidente du groupe‑conseil Market Access Strategic Regulatory Services Inc., où elle offre des conseils aux fabricants de produits innovateurs et de produits génériques sur le dépôt de présentations de drogues à Santé Canada.

 

8

Garrett C. Moraski

Lilly contrefaçon, réponse – essais du 21 février 2008 en réponse à MM. Cowley et McClelland (sous réserve d’une objection générale)

28 février 2008

E‑8

Voir ci-dessus.

Voir ci-dessus.

 

9

Garrett C. Moraski

Lilly
contrefaçon réponse – essais de MM. Hunter et Miller. Complétée par une nouvelle pièce E‑9a le 20 juin 2008

18 janvier 2008

E‑9

Voir ci-dessus.

Voir ci-dessus.

 

10

Garrett C. Moraski

Lilly
contrefaçon, réponse – réponse aux essais de M. Chase

19 avril 2008

E‑10

Voir ci-dessus.

Voir ci-dessus.

 

11

David Gorenstein

Lilly
contrefaçon, réponse – procédé de Lupin (sous réserve d’une objection générale)

19 mars 2008

E‑11

Expert dans le domaine de la mise au point de la spectroscopie RMN et de son application aux systèmes biologiques, et chimiste expert qui a mené des recherches approfondies en chimie des composés phosphorés et des composés organophosphorés.

M. Gorenstein est doyen associé à la recherche à la School of Medicine de l’Université du Texas. Il est aussi professeur aux Départements de biochimie et biologie moléculaire, et de neurosciences et biologie cellulaire. Dans le cadre de ses recherches, il s’intéresse à la mise au point de la spectroscopie RMN et à son application aux systèmes biologiques (y compris la RMN du 31P). Il est également directeur du Gulf Coast Consortium in Magnetic Resonance, centre de RMN utilisé conjointement par plusieurs universités régionales et par Dow Chemical. Il est depuis près de deux décennies rédacteur en chef de la revue publiée par l’International Society of Magnetic Resonance et est responsable de la publication d’un manuel de RMN en ligne. Il est l’auteur de plus de 245 publications, dont un article de 1984 intitulé « Phosphorous‑31 RMN Principles and Applications » et possède une vaste expérience en enseignement théorique et pratique de la spectroscopie RMN. Il a aussi mené de nombreuses recherches sur la chimie des composés phorphorés au cours des 40 dernières années.

 

12

Anthony G.M. Barrett

Lilly contre‑réponse, contrefaçon – procédé de Lupin – (sur autorisation, mais sous réserve d’une objection – concernant certains paragraphes)

15 juin 2008

E‑15

Voir ci-dessus.

Voir ci-dessus.

13

Brian K. Hunter

Lilly
réponse, contrefaçon,
brevets de Lilly – réponse au rapport de McClelland du 18 janvier 2008 et au rapport de Cowley du 17 janvier 2008 (sous réserve d’une objection : voir TX‑343 à TX‑344)

20 mars 2008

E‑17

Voir ci-dessus.

Voir ci-dessus.

14

Brian K. Hunter

Lilly
réponse supplémentaire – contrefaçon – essais d’Apotex d’avril 2008 à l’Université de Toronto (Chase)

20 avril 2008

E‑16

Voir ci-dessus.

Voir ci-dessus.

15

Tomasz A. Modro

Apotex contrefaçon, réponse – spectroscopie RMN du P en Afrique du Sud

7 mai 2008

A‑6

Expert en chimie organique des composés phosphorés, des composés sulfurés et du silicone, ainsi qu’en chimie organique physique, également expert dans la réalisation de réactions expérimentales en chimie des composés phosphorés.

M. Modro a obtenu un doctorat en chimie des composés organophosphorés en 1962 de la Polish Academy of Sciences et son Habilitation de l’Université de Lodz en 1969. En 1974, il est entré au Département de chimie de l’Université de Toronto à titre de chargé de cours, puis est devenu professeur adjoint. En 1979, il est entré au Département de chimie de l’Université de Cape Town, puis, en 1987, est devenu professeur de chimie et directeur du Centre for Heteroatom Chemistry à l’Université de Pretoria, où il est depuis 2002 professeur émérite.
M. Modro est spécialisé dans le domaine de la chimie des hétéroatomes, en particulier en chimie organique des composés phosphorés, des composés sulfurés et du silicone, de même que dans la synthèse de nouveaux composés organophosphorés et dans leur utilisation dans les transformations chimiques. Il a été reconnu comme un chef de file dans son domaine par la National Research Foundation (Afrique du Sud) et est membre de la Royal Society (Afrique du Sud) et de la South African Academy of Sciences. Il a publié plus de 210 articles.

16

Preston Allen Chase

Apotex contrefaçon, réponse – essais à l’Université de Toronto

11 et 17 avril 2008

TX‑1626 C, D, E, F, G, H.

Expert en chimie des composés organophosphorés, la chimie des réactions faisant intervenir des composés organiques.

M. Chase est associé de recherche à l’Université de Toronto. Il a obtenu son doctorat en avril 2003 de l’Université de Calgary et a été boursier du Conseil de recherches en sciences naturelles et en génie (CRSNG). Après avoir obtenu son doctorat, il a entrepris des recherches postdoctorales à l’Université d’Utrecht (Pays‑Bas). De 2006 à 2008, il a travaillé à l’Université de Windsor, où ses travaux de chimie étaient liés à ses recherches doctorales et portaient aussi sur la chimie des composés phosphorés et des composés azotés. Il a une grande expérience en ce qui concerne la réalisation de réactions faisant intervenir des composés organophosphorés et a publié un certain nombre d’articles traitant de ces composés.

 

17

Robert A. McClelland

Apotex contrefaçon, réponse – procédé de Lupin

18 janvier 2008

TX‑1764

Expert en chimie physique, organique, biologique et médicinale y compris les propriétés de synthèse et l’utilisation des composés organophosphorés dans des réactions chimiques.

M. McClelland est professeur émérite à l’Université de Toronto. Il a obtenu son doctorat en chimie de l’Université de Toronto in 1969 et fait partie du corps professoral de cette université depuis 1973. Ses domaines de recherche sont la chimie physique, organique, biologique et médicinale. Il est membre de la Société royale du Canada et a reçu des prix de la Société canadienne de chimie pour ses travaux en chimie organique.

 

18

Robert A. McClelland

Apotex contrefaçon, réponse – essais à l’Université de Toronto

6 mai 2008

TX‑1765

Voir ci-dessus.

Voir ci-dessus.

 

19

Alan H. Cowley

Apotex contrefaçon, réponse – brevet 007 et destinataire du brevet 536

17 janvier 2008

A‑9

Chimiste chercheur spécialisé dans la préparation, les structures et les profils de réactivité des composés des éléments chimiques non métalliques, et expert dans le domaine de la chimie des composés phosphorés et dans l’utilisation et l’évaluation de la spectroscopie RMN du 31P.

M. Cowley est membre de la Royal Society (R.‑U.) et titulaire de la chaire Robert J. Welch en chimie à l’Université du Texas à Austin. Il a obtenu un doctorat en chimie inorganique de l’Université de Manchester, au Royaume-Uni, en 1958. Il est devenu membre du corps professoral de l’Université du Texas (Austin) en 1962 et professeur titulaire en 1970. Ses recherches portent essentiellement sur la préparation, la structure et les profils de réactivité des composés des éléments chimiques non métalliques, en particulier la chimie des composés phosphorés.

 

20

Stephen Hanessian

Apotex contrefaçon, réponse –commentaires généraux

22 janvier 2008

A‑10

Expert en chimie organique, bioorganique et médicinale, notamment la chimie des pénicillines synthétiques et des bêta‑lactamines, et dans la mise au point de procédés chimiques de synthèse.

M. Hanessian est professeur de chimie et titulaire de la chaire McConnell à l’Université de Montréal, où il s’est joint au corps professoral en 1969. Depuis l’an 2000, il est professeur praticien en chimie et en biologie chimique à l’Université de la Californie à Irvine, où il dirige un programme d’études supérieures en sciences pharmaceutiques et en chimie médicinale.
M. Hanessian s’intéresse en particulier à la synthèse totale des produits naturels, notamment la synthèse des antibiotiques de type aminoglycoside et des pénicillines synthétiques, ainsi qu’à la chimie médicinale, à la conception de médicament et à la mise au point de nouvelles méthodes de synthèse. Il a publié plus de 465 articles dans ces domaines. Sa contribution a été reconnue par des nominations comme membre de la Société royale du Canada et de l’Ordre du Canada.

 

21

Stephen Hanessian

Apotex
réponse à E‑15 – (sur autorisation) –contrefaçon – procédés de Lupin

2 juillet 2008

A‑20

Voir ci-dessus.

Voir ci-dessus.

 

22

Sue E. Wehner

Apotex contrefaçon, réponse – exigences réglementaires de Santé Canada

22 janvier 2008

A‑11

Experte des affaires réglementaires dans le milieu pharmaceutique, dont la préparation et le dépôt de présentations de drogues nouvelles; l’évaluation des fiches maîtresses des médicaments; et les pratiques et procédures, lignes directrices, politiques et exigences réglementaires de Santé Canada concernant les pratiques en matière de produits pharmaceutiques.

Mme Wehner est présidente fondatrice de Med-Script Associates, groupe‑conseil spécialisé dans les affaires réglementaires au Canada, aux États‑Unis et en Europe, de même que dans la R&D, les essais cliniques et les études de bioéquivalence de produits. Elle compte plus de 30 années d’expérience dans ce domaine et a déposé des présentations de drogues nouvelles et des présentations abrégées de drogues nouvelles pour de nombreux médicaments.

 

 

Validité

 

 

 

 

 

 

23

Robert A. McClelland

Apotex
preuve principale – validité

19 octobre 2007

A‑12

Voir ci-dessus.

Voir ci-dessus.

 

24

Tomasz A. Modro

Apotex
preuve principale – validité du brevet 007

19 octobre 2007

A‑13

Voir ci-dessus.

Voir ci-dessus.

 

25

Tomasz A. Modro

Apotex
preuve principale – validité – affidavit sur les essais (TX‑1774 A à M, L et M étant sous réserve d’une objection)

2 juin 2008

A‑14

Voir ci-dessus.

Voir ci-dessus.

 

26

Stephen Hanessian

Apotex
preuve principale – validité – brevets de Shionogi

19 octobre 2007

A‑15

Voir ci-dessus.

Voir ci-dessus.

 

27

Stephen F. Martin

Apotex
preuve principale – validité – brevets de Shionogi

19 octobre 2007

A‑17

Expert en chimie organique de synthèse, chimie hétérocyclique et chimie bioorganique, en particulier la conception et la mise au point de modèles de synthèse et leur application à la synthèse de composés hétérocycliques, dont les lactamines, et la synthèse totale de produits naturels complexes.

M. Martin est titulaire de la chaire M. June et J. Virgil Waggoner (conseil d’université) de chimie à l’Université du Texas à Austin, dont il est membre du corps professoral depuis 1974. Il est aussi professeur praticien à la Texas School of Medicine de l’Université du Texas. Il a obtenu son doctorat de l’Université Princeton en 1972, où il s’est spécialisé en chimie hétérocyclique. Au cours de sa carrière, M. Martin a été très actif dans les domaines de la conception et de la mise au point de méthodes de synthèse et leur application à la synthèse de composés hétérocycliques et à la synthèse totale de produits naturels. Il est l’auteur de plus de 250 publications dans les domaines de la chimie organique de synthèse et de la chimie hétérocyclique, dont certaines traitent des lactamines (mais pas des β‑lactamines) et datent d’avant 1975.

 

28

Tristram Chivers

Apotex
preuve principale – validité –brevet 007 de Lilly

19 octobre 2007

A‑18

Expert en chimie inorganique de synthèse, en particulier les réactions chimiques faisant intervenir le soufre et le phosphore, et dans l’utilisation des techniques de spectroscopie RMN du 31P.

M. Chivers a obtenu son doctorat en chimie de l’Université de Durham (Royaume‑Uni) en 1964 et est membre du corps professoral du Département de chimie de l’Université de Calgary depuis 1969. Ses recherches sont axées sur la chimie inorganique, en particulier les éléments suivants : soufre, sélénium, tellure, bore et phosphore. Il est l’auteur de plus de 300 articles scientifiques. Ses travaux se sont vus récompensés par de nombreux prix, et il a été reçu membre de la Société royale du Canada en 1991.

 

29

George Andrew Olah

Apotex
preuve principale – invalidité des brevets 536 et 007 de Lilly

18 octobre 2007

A‑19

Expert en chimie organique, en chimie des composés organosulfurés, en chimie organique physique, y compris la synthèse de nouveaux composés organiques ioniques et leur utilisation dans d’autres transformations chimiques, en chimie des hydrocarbures et dans le domaine des réactifs et des méthodes de synthèse.

M. Olah est directeur du Loker Hydrocarbon Research Institute et professeur distingué de chimie organique à l’Université du Sud de la Californie à Los Angeles, où il est membre du corps professoral depuis 1977. Il a obtenu son doctorat en chimie de l’Université technique de Budapest (1949). Il a déjà dirigé le Département de chimie organique de l’Institute of the Hungarian Academy of Sciences et à été professeur à l’Université Western Reserve (maintenant Case Western). Il a aussi été chercheur chez Dow pendant sept ans. Il mène des recherches en chimie organique et en chimie des composés organosulfurés. Il s’intéresse aussi à la synthèse de nouveaux composés organiques ioniques et à leur utilisation dans d’autres transformations chimiques, à la chimie des hydrocarbures, de même qu’aux réactifs et aux méthodes de synthèse. Il a publié plus de 1 300 articles dans des revues à comité de lecture et est membre de nombreuses sociétés savantes. Il a reçu le prix Nobel en 1994 pour ses travaux sur les composés de carbone chargés positivement.

 

30

Anthony G.M. Barrett

Lilly
réponse – validité – brevets de Shionogi

21 janvier 2008

E‑14

Voir ci-dessus.

Voir ci-dessus.

 

31

Brian K. Hunter

Lilly
réponse – validité des brevets de Lilly – réponse à MM. Modro, McClelland, Olah et Chivers

21 janvier 2008

E‑18

Voir ci-dessus.

Voir ci-dessus.

 

32

Jack Baldwin

Lilly
réponse – validité des brevets de Lilly

18 janvier 2008

E‑19

Voir ci-dessus.

Voir ci-dessus.

 

33

Kevin P. Murphy

Lilly

réponse – validité des brevets de Lilly et de Shionogi – allégation d’irrégularité des demandes complémentaires

21 janvier 2008

E‑20

Spécialiste des poursuites sur les brevets canadiens, en particulier les brevets dans les domaines de la chimie, des produits pharmaceutiques et de la science des matériaux, ainsi que de l’analyse du contenu des brevets canadiens, des demandes de brevets et de l’historique des dossiers, en particulier les brevets dans les domaines de la chimie, des produits pharmaceutiques et de la science des matériaux. Expert également dans les pratiques, procédures, règles et exigences du Bureau des brevets du Canada, y compris le Recueil des pratiques du Bureau des brevets.

M. Murphy est agent de brevets et associé principal au cabinet Ogilvy Renault de Montréal. Il est devenu agent enregistré de brevets au Canada et aux États‑Unis en 1972. Auparavant, il était agent de brevets au Royaume‑Uni, où il a obtenu un baccalauréat en chimie (1968) de l’Université de Southampton. Il a poursuivi des milliers de demandes de brevets canadiens au Bureau des brevets du Canada et se spécialise dans les brevets dans les domaines de la chimie, des produits pharmaceutiques et de la science des matériaux.

 

 

Concurrence

 

 

 

 

 

 

34

Aidan Michael Hollis

Apotex
preuve principale – marché concurrentiel

7 décembre 007

A‑22

Expert en microéconomie et en économie du droit et des politiques en matière de concurrence; expertise particulière dans la structure et l’économie des marchés pharmaceutiques et de l’industrie pharmaceutique canadienne, la fixation des prix des médicaments, les pratiques en matière d’ordonnance (sous opposition) et les effets concurrentiels associés à la production de médicaments génériques.

M. Hollis est professeur agrégé d’économie à l’Université de Calgary. Il a obtenu son doctorat en économie de l’Université de Toronto en 1996. Il est chercheur universitaire à l’Institute for Advanced Policy Research et l’a été également à l’Institute of Health Economics. M. Hollis a été titulaire de la chaire T.D. MacDonald en économie au Bureau de la concurrence de 2003 à 2004. Dans le cadre de ses recherches, il s’intéresse principalement à l’économie des marchés pharmaceutiques. Il a également publié des articles sur le marché pharmaceutique et a été lecteur spécialisé pour de nombreuses revues. Il a agi à titre de consultant pour l’industrie pharmaceutique surtout pour des questions touchant le Canada.

 

35

Robert A. McClelland

Apotex
preuve principale – existence d’autres procédés commerciaux viables pour fabriquer le céfaclor

14 décembre 2007

A‑23

Voir ci-dessus.

Voir ci-dessus.

 

36

Jeffrey Church

Apotex
preuve principale – effet du transfert des droits de brevet de Shionogi à Lilly

19 avril 2008

A‑24

Expert en microéconomie, organisation industrielle, concurrence stratégique, économie des réseaux et stratégies de dissuasion d’entrée, avec une expertise particulière en économie du droit et des politiques en matière de concurrence, dont l’interaction entre le droit de la concurrence et les droits de propriété intellectuelle. Il a aussi étudié l’économie de divers marchés.

M. Church est actuellement professeur au Département d’économie et à l’Institute for Advanced Policy Research de l’Université de Calgary. Il a obtenu son doctorat de l’Université de la Californie à Berkeley en 1989. M. Church a été titulaire de la chaire T.D MacDonald en économie industrielle au Bureau de la concurrence de 1995 à 1996. Il a été l’une des trois personnes externes à rédiger la première ébauche du document intitulé Propriété intellectuelle - Lignes directrices pour l’application de la loi. En ce qui concerne ses recherches, il s’intéresse particulièrement à l’organisation industrielle, à l’économie des politiques en matière de concurrence et de la réglementation. Il est président, depuis son incorporation en 1992, de Church Economic Consultants Ltd., un cabinet de services‑conseils en économie.

 

37

Stephen Cole

Apotex preuve principale – détermination des dommages-intérêts recouvrables

14 décembre 2007

A‑25

Expert en évaluation d’entreprises et en comptabilité judiciaire, plus particulièrement en calcul et évaluation quantitative des dommages associés à une assertion de droits de propriété intellectuelle, sous réserve d’une objection étant donné qu’il n’a aucune expérience en ce qui concerne les redevances, ce qui revient à dire qu’il n’a aucune expérience en matière d’assertion de droits de propriété intellectuelle. Bien que cet expert soit qualifié à titre de comptable pour estimer les dommages, étant donné qu’il ne fournit pas d’estimation dans ce rapport, il n’est pas qualifié pour donner une opinion.

M. Cole est le directeur de Cole Valuation Partners Limited, cabinet établi à Toronto et spécialisé exclusivement dans les domaines suivants : évaluation d’entreprises, détermination des dommages financiers, comptabilité d’enquête, comptabilité judiciaire et établissement des prix de cession interne. Il est titulaire d’un baccalauréat de l’Université de Toronto. Il est devenu comptable agréé en 1975 et évaluateur d’entreprises agréé en 1979. Il est membre de l’Institut canadien des comptables agréés depuis 1996 et de l’Institut canadien des experts en évaluation d’entreprises depuis 2000. Il est aussi coauteur de deux publications sur le calcul des dommages et la comptabilité du calcul des profits dans les affaires de propriété intellectuelle et a donné des conférences pour des organisations professionnelles.

 

38

Marvin Gans

Apotex preuve principale – pratiques des médecins en matière d’ordonnance

13 décembre 2007

A‑26

Médecin et formateur qui possède une vaste expérience du traitement des maladies infectieuses chez les enfants et connaît bien les pratiques cliniques en matière d’ordonnance.

Le Dr Gans est professeur de pédiatrie à l’Université de Toronto et pratique la pédiatrie en cabinet privé. Il a obtenu son diplôme de médecine de l’Université de Toronto en 1963 et a été admis au Collège royal des médecins à titre de spécialiste en pédiatrie en 1969. Il a été membre actif du personnel et médecin traitant à l’unité des maladies infectieuses (1969‑1997), a occupé un poste majeur à temps partiel au service de pédiatrie (1997‑2005) et a été directeur du programme de perfectionnement des médecins au service de pédiatrie (2005‑2006) de l’Hospital for Sick Children de Toronto. Il a été pédiatre consultant de 1969 à 1997. Il est l’auteur ou le coauteur de six publications sur des sujets liés au développement du nourrisson, aux réactions des parents à la maladie chez leurs enfants, à la défense des droits des enfants et au rôle de parent.

 

39

Thomas Ross

Apotex
preuve principale – effet du transfert des droits de brevet de Shionogi à Lilly

14 décembre 2007

A‑27

Expert en microéconomie, organisation industrielle, économie du droit et des politiques en matière de concurrence et évaluation des dommages économiques associés aux diverses activités de fixation des prix.

M. Ross est doyen associé (recherche), professeur en réglementation et en politiques en matière de concurrence et titulaire de la chaire de la Fondation UPS à la Sauder School of Business de l’Université de la Colombie-Britannique. Il a obtenu son doctorat en économie de l’Université de la Pennsylvanie en 1981. Il a été titulaire de la chaire T.D. MacDonald en économie industrielle au Bureau de la concurrence de 1990 à 1991. Il a publié plus de 70 articles.

 

40

Aidan Michael Hollis

Apotex
réponse – réponse aux affidavits de M. Cockburn du 27 février 2008 et de M. Low du 28 février 2008

28 mars 2008

A‑30

Voir ci-dessus.

Voir ci-dessus.

 

41

Jeffrey Church

Apotex
réponse – réponse aux affidavits de M. Cockburn du 27 février 2008

31 mars 2008

A‑31

Voir ci-dessus.

Voir ci-dessus.

 

42

Donald E. Low

Lilly et Shionogi réponse – usage d’antibiotiques

28 février 2008

S‑1

Médecin spécialiste possédant une expertise particulière en ce qui concerne l’utilisation des antibiotiques, dont le céfaclor.

Le Dr Low est microbiologiste en chef au Mount Sinai Hospital de Toronto. Il est aussi chef du service de médecine de laboratoire et de biopathologie et enseigne au Département de génétique et de microbiologie médicales de l’Université de Toronto. Il a obtenu son diplôme de médecine de l’Université du Manitoba en 1972. Il est membre du Collège royal des médecins et chirurgiens du Canada et de l’American Academy of Microbiology. Il est l’auteur ou le coauteur de plus de 400 publications et a donné plus de 700 conférences dans le monde.

 

43

Iain Cockburn

Lilly et Shionogi réponse – impact de la cession de 1995 conclue entre Lilly et Shionogi

27 février 2008

E‑22

Expert en économie, en particulier en économie des sciences pharmaceutiques et des sciences de la santé; en économie de la propriété intellectuelle, dont l’octroi de licences et les partenariats, et des questions de concurrence liées à la propriété intellectuelle; de même qu’en économie des changements technologiques.

M. Cockburn est professeur de finance et d’économie à la School of Management de l’Université de Boston. Il a obtenu son doctorat en économie de l’Université Harvard en 1990. Sur le plan de la recherche, ses intérêts se portent sur l’économie des changements technologiques, les stratégies de concurrence, l’organisation industrielle, l’économie des sciences pharmaceutiques et des sciences de la santé et l’économétrie appliquée. Il a été corédacteur en chef ou lecteur spécialisé pour des revues universitaires en économie et en gestion. Il a agi comme expert dans 25 affaires jugées devant divers tribunaux au Canada et aux États‑Unis. Il a publié plus de 25 articles et a contribué à plus de 15 volumes publiés en collaboration.

 

 


TABLEAU B

Scénarios 1 et 2

           

 

(285)

Préjudice – [responsabilité en contrefaçon]

[différence entre le prix réellement payé par Apotex et le prix hypothétique]

Fourchette des prix hypothétiques

510

633,35

764,5

860

1 000

1 150

1 500

                                                                                                                                  (209 à 211, 295 et 296)

Prix réels

TX-1759

Quantité

$US/kg

250

1 ?50

3 125

1 075

2 752,6

1 070

7 500

1 500

Différence entre les prix réels et les prix hypothétiques (tous les scénarios hypothétiques autres que 1 500)

[formule = prix réel – prix hypothétique x quantité]

TX-1759

 

 

 

 

 

 

Quantité

$US/kg

510

633,35

764,5

860

1 000

1 150

250

1 150

1 60 000

121 663

96 375

72 500

37 500

0

3 125

1 075

1 765 625

1 286 406

970 313

671 875

234 375

– 234 375

2 752,6

1 070

1 541 456

1 119 345

840 919

578 046

192 682

– 220 208

3 000

860

1 050 000

589 954

286 500

?

420 000

870 000

7 500

1 500

7 425 000

6 ?74 875

5 516 250

4 800 000

3 750 000

2 625 000

Total

 

11 942 081

9 392 239

7 7?0 357

6 122 421

3 794 557

1 300 417

RÉSULTAT : APOTEX N’AURAIT PAS EU À PAYER PLUS DANS LE MONDE HYPOTHÉTIQUE.

PAR CONSÉQUENT, SON PRÉJUDICE EST ÉGAL À SA RESPONSABILITÉ EN CONTREFAÇON.

Différence entre les prix réels et les prix hypothétiques (scénario hypothétique 1 500)

[formule = prix réel – prix hypothétique x quantité]

TX-1759

 

Quantité

$US/kg

1 500

250

1 150

– 87 500,00

3 125

1 075

– 1 328 125,00

2 752,6

1 070

– 1 183 618,00

3 000

860

– 1 920 000,00

7 500

1 500

0,00

Total

 

-4 519 243,00

 

RÉSULTAT : APOTEX AURAIT PAYÉ PLUS DANS LE MONDE HYPOTHÉTIQUE, ET LE PRÉJUDICE QU’ELLE A SUBI EST SA RESPONSABILITÉ EN CONTREFAÇON ENVERS LILLY DE 4 519 243,00 $.


Scénario 3 

 

Préjudice – [responsabilité en contrefaçon]

[différence entre le prix réellement payé par Apotex et le prix hypothétique]

(282)

 
RÉSULTAT : COMME APOTEX A PAYÉ LA TOTALITÉ DE SON CÉFACLOR EN VRAC À UN PRIX SUPÉRIEUR AU PRIX DE CONCURRENCE (PAS DE BREVETS), SON PRÉJUDICE SERAIT ÉGAL À SA RESPONSABILITÉ EN CONTREFAÇON ENVERS LILLY


Scénario 4

Dans chaque scénario, le montant de la responsabilité envers Shionogi se rapprocherait du prix hypothétique parce que le résultat probable serait l’octroi de dommages-intérêts reflétant ce prix, Shionogi vendant pour des redevances ou n’étant pas présente sur le marché canadien.

(282)

 
RÉSULTAT : LE MÊME QUE DANS LES SCÉNARIOS 1 ET 2


Scénario 5

Dans tous les scénarios autres que le premier (celui qui est marqué d’une flèche), le montant de la responsabilité envers Lilly se rapprocherait du prix hypothétique parce que le résultat probable serait l’octroi de dommages-intérêts reflétant ce prix, une ou plusieurs licences étant concédées sur le marché canadien.

RÉSULTAT : LE MÊME QUE DANS LES SCÉNARIOS 1 ET 2

(282-283)

Dans le premier scénario, le montant de la responsabilité d’Apotex envers Lilly dépasserait le prix hypothétique, mais serait inférieure à sa responsabilité en monde réel parce que les brevets de Lilly ont moins de valeur, ne lui donnant pas un monopole effectif sur le céfaclor en vrac licite.

RÉSULTAT : APOTEX DEMANDERAIT À LA COUR DE RÉDUIRE LE MONTANT DE LA RESPONSABILITÉ DÉCOULANT POUR ELLE DE L’ACTION EN CONTREFAÇON DANS UNE PROPORTION REPRÉSENTANT CETTE DIFFÉRENCE

(283)

 


COUR FÉDÉRALE

AVOCATS INSCRITS AU DOSSIER

 

DOSSIER :                                        T‑1321‑97

 

INTITULÉ :                                       ELI LILLY AND COMPANY et ELI LILLY CANADA INC. c. APOTEX INC. ET ENTRE : APOTEX INC. c. ELI LILLY AND COMPANY, ELI LILLY CANADA INC. et SHIONOGI & CO. LTD.

 

LIEU DE L’AUDIENCE :                 Ottawa (Ontario)

 

DATE DE L’AUDIENCE :               L’instruction a commencé le 21 avril 2008 et s’est poursuivie, avec des interruptions, jusqu’au 13 novembre 2008, les conclusions finales ayant été entendues le 9 décembre de la même année

 

MOTIFS DU JUGEMENT :            LA JUGE GAUTHIER

 

DATE DES MOTIFS :                      Le 1er octobre 2009

 

 

COMPARUTIONS :

 

Anthony Creber

Patrick Smith

John Norman

William Vanveen

Isabel Raasch

POUR LES DEMANDERESSES

(DÉFENDERESSES RECONVENTIONNELLES)

Harry Radomski

David Scrimger

Miles Hastie

Sandon Shogilev

Ben Hackett

Belle Van

POUR LA DÉFENDERESSE

(DEMANDERESSE RECONVENTIONNELLE)

Steven Garland

Timothy Stevenson

Colin Ingram

A. David Morreau

POUR LA DÉFENDERESSE RECONVENTIONNELLE

 

AVOCATS INSCRITS AU DOSSIER :

 

Gowling Lafleur Henderson, s.r.l.

Avocats

POUR LES DEMANDERESSES

(DÉFENDERESSES RECONVENTIONNELLES)

Goodmans, s.r.l.

Avocats

POUR LA DÉFENDERESSE

(DEMANDERESSE RECONVENTIONNELLE)

Smart & Biggar

Avocats

POUR LA DÉFENDERESSE RECONVENTIONNELLE

 



[1] Voir l’exposé des faits convenu entre les parties, LRTA no 21a).

 

[2] Ibid., LRTA nos 1 et 51.

[3] Ibid., LRTA nos 9 et 50.

[4] Cette demande a été rejetée au motif que les brevets ne remplissaient pas les critères énoncés dans la version du RMB(AC) en vigueur à l’époque.

[5] La Cour, ayant examiné la totalité de la preuve et de la jurisprudence produites, y compris toutes les antériorités alléguées, s’est laissé guider par les observations qu’a formulées la Cour suprême du Canada dans R. c. R.E.M., 2008 CSC 51, [2008] R.C.S. 3, en particulier au paragraphe 43.

[6] Et du composé 3-chloro-3-céphème dans le cas des brevets de procédés de Lilly.

[7] Voir les faits sur lesquels s’entendent les parties, demande de reconnaissance d’Apotex (DRA), no 81.

[8] La transcription du 21 avril 2008 contient une erreur typographique à la page 179, ligne 2.

[9] Cela étant dit, cette question n’est pas pertinente en l’espèce.

[10] Voir Eli Lilly and Co. c. Apotex Inc. (2000), 8 C.P.R. (4th) 413, 99 A.C.W.S. (3d) 319 (Eli Lilly (2000)), conf., 2001 C.A.F. 141, 12 C.P.R. (4th) 127 (Eli Lilly (2001)). Les demandes faites par Apotex après ces décisions auraient dû faire l’objet d’une motion pour l’obtention d’une réponse s’il y avait des motifs valables de croire que la chose n’était pas jugée.

[11] En l’espèce, rien n’indique que les personnes responsables des tests chez Apotex savaient que Lupin aurait modifié son procédé en 1998 ou en tout autre temps.

[12] À ce moment-ci, il faut souligner que les parties ont utilisé différentes versions des transcriptions dans leurs observations. De même, la Cour a tout d’abord utilisé la version électronique des transcriptions révisées jusqu’à ce qu’il soit découvert que cette version n’était pas en format PDF et que la pagination n’était pas fiable. Dans les notes en bas de page des présents motifs, je renvoie à la version imprimée de la transcription révisée, mais il peut encore exister des inexactitudes. Voir le contre-interrogatoire de M. Sherman, le 6 mai 2008, page 157, ligne 2 à page 158, ligne 1; le contre-interrogatoire de M. Sherman, le 3 septembre 2008, page 90, ligne 24 à page 91, ligne 17, page 95, lignes 3 à 12 et page 96, ligne 5 à page 97, ligne 16.

[13] Il faut souligner que cela ne devrait pas être décrit comme étant des dossiers complets, puisque M. Singh a indiqué qu’il n’archivait pas ou qu’il ne conservait pas l’intégralité de ses dossiers.

[14] Le tableau A inclut, sous la rubrique intitulée Concurrence, les huit rapports d’experts déposés dans la demande reconventionnelle.

[15] En réponse, Lilly a également présenté le témoignage de M. Gorenstein, mais comme il sera discuté plus loin, la Cour n’a pas pris en compte ce témoignage d’expert.

[16] La Cour n’a aucunement pris en compte les paragraphes à l’égard desquels il y a eu opposition dans E-17 (voir TX‑343; TX-344). Simplement pour éviter tout autre débat incident sur cette question, la Cour a conclu que ce témoignage n’était pas nécessaire pour montrer la pertinence des résultats pour les questions à trancher.

[17] A. Spaggiari, L.C. Blaszczak et F. Prati, « Low-Temperature Deacylation of N-Monosubstituated Amides », (2004) 6 Organic Letters 3885.

[18] Cela semble contredire directement la description de la personne à qui le brevet 007 est adressé, contenue dans le mémoire d’Apotex. Mais puisque ni Apotex ni Lilly n’ont soulevé cette question à l’égard des deux experts, peut-être en raison de leurs connaissances particulières des composés phosphorés, la Cour a accordé un certain poids à leur témoignage.

[19] Bien que la Cour ne soit pas convaincue que l’un ou l’autre expert se qualifiait à titre de personne versée dans l’art dans les années 1970, ils le sont certainement devenus peu après. De même, en 1976, M. Barrett travaillait sous la supervision d’une personne versée dans l’art, Sir Derek Barton, et il a étudié la chimie des céphalosporines au début des années 1970 (voir l’interrogatoire de M. Barrett, le 22 avril 2009, page 15, lignes 18 à 23 et page 19, lignes 1 à 19).

[20] Contre-interrogatoire de M. Olah, le 24 juin 2008, page 92, ligne 18 à la page 93, ligne 1. Contrairement à M. McClelland et à M. Chivers, M. Olah n’indique pas dans son rapport qu’une différence de plus d’une ppm désigne des complexes cinétiques différents.

[21] Compte tenu des circonstances très particulières entourant le dépôt des deux rapports de MM. Hanessian et Barrett (A-20 et E-15, respectivement), le poids de la preuve de ces deux experts à l’égard des questions relevant de leur expertise n’est pas diminué par le fait qu’ils ont accepté de se prononcer sur des questions à l’égard desquelles il ne ressort pas clairement qu’ils avaient l’expertise nécessaire (pratiques de fabrication).

[22] Il semble ici que personne chez Apotex n’ait vérifié si de telles modifications étaient nécessaires, malgré le fait qu’Apotex savait que Lupin était tenue par contrat de modifier son procédé.

[23] Apotex n’a pas expliqué la raison pour laquelle cela était logique à l’égard des brevets de Lilly, déclarant simplement que Lilly et Lilly Canada [traduction] « se sont trompées » lorsqu’elles ont fait cette modification et qu’elles doivent en subir les conséquences.

[24] Voir Whirlpool, au paragraphe 45 et Free World Trust, au paragraphe 31e).

[25] 4e éd., Toronto, Carswell, 1969, à la page 219.

[26] Voir notamment l’affidavit de M. Hanessian (A-10; A-15), paragraphe 7; l’affidavit de M. Martin (A‑17), paragraphe 12; le mémoire d’Apotex sur la contrefaçon, paragraphe 172.

[27] La transcription du 28 avril 2008, page 231, ligne 23 à la page 232, ligne 4. Bien que M. Baldwin ait fait ces commentaires alors qu’il discutait des brevets de procédés Lilly, ils s’appliquent de toute évidence de manière plus générale.

[28] Pour M. Olah, voir A-19, paragraphe 8 et pour M. McClelland, voir A-12, paragraphe 7. Voir aussi M. Chivers (A-18), au paragraphe 6.

[29] Voir le paragraphe 120 du mémoire d’Apotex sur la contrefaçon.

[30] Dans Generics (UK) Ltd. c. Daiichi Pharmaceutical Co. Ltd. & another, [2009] EWCA Civ 646 (Daiichi), aux paragraphes 23 à 28, la cour d’appel d’Angleterre et du pays de Galles a également senti le besoin d’examiner le droit relativement aux connaissances générales courantes de la personne versée dans l’art.

[31] Aucune explication n’a été fournie à cet égard, même si la Cour avait exprimé son grand intérêt à entendre sa version des événements qui seront discutés à l’examen des documents de Lupin et du voir dire en ce qui a trait à la preuve de la contrefaçon.

[32] L’expertise de M. Martin visait uniquement les lactamines et non les β-lactamines.

[33] Dans le cas des revendications 4 et 13, spécifiquement le TPP.

[34] Dans le cas de la revendication 4, le Cl seulement.

[35] Dans le cas de la revendication 17, spécifiquement un hydrocarbure aromatique ou halogéné.

[36] Bien qu’Apotex n’ait basé son argumentation que sur le déplacement chimique en RMN du 31P du produit cinétiquement contrôlé dans le chlorure de méthylène (CH2Cl2), sa thèse devrait en théorie s’appliquer à toutes les autres caractéristiques (sauf la demi-vie) du produit cinétiquement contrôlé décrites au tableau 1 et incluses dans la revendication 6.

[37] Voir la revendication 1.

[38] Ces éléments d’art antérieur sont déposés en preuve, les références exactes (et les numéros de pièces) étant D.G. Coe, S.R. Landauer & H.N. Rydon, « The Organic Chemistry of Phosphorous. Part II.* The Action of Triphenyl Phosphite Dihalides on Alcohols: Two Further New Methods for the Preparation of Alkyl Halides. » (1954) J. Chem. Soc. 2281 (TX-1562, ci-après « Coe ») et H.N. Rydon & B.L. Tonge, « The Organic Chemistry of Phosphorus. Part III.* The Nature of the Compounds of Triaryl Phosphites and the Halogens. » (1956) J. Chem. Soc. 3043 (TX-1564, ci-après « Rydon »).

[39] La preuve n’établit pas que la personne versée dans l’art comprendrait que la formule générale avec un ● ou que la mention d’un caractère cationique signifient que la formule limite de quelque façon que ce soit la nature de la liaison chimique entre le triarylphosphite et les halogènes ou qu’elle se limite elle‑même à une forme covalente ou ionique particulière ou à un mélange d’équilibre particulier, le cas échéant.

[40] Voir le paragraphe 10 de l’affidavit de M. Baldwin (E-19).

[41] Voir la note au bas du tableau 1, page 8, du brevet 007. Dans le brevet et dans certains documents d’art antérieur, par exemple les articles de Ramirez (F. Ramirez, A.J. Bigler & C.P. Smith, « Pentaphenoxyphosphorane » (1968) 90 J. Am. Chem. Soc. 3507 (TX-1596)), Tseng (Chien K. Tseng, « Reinvestigation of Diahalotriphenoxyphosphoranes » (1979), 44 J. Org. Chem. 2793 (TX-1764C)) et Michalski (Jan Michalski, Marek Pakulski & Aleksandra Skowroński, « Reaction of Triphenyl Phosphite with Elemental Bromine and Chlorine » (1980) 45 J. Org. Chem. 3122 (TX-1764D)), les auteurs ont utilisé une ancienne convention et indiquent ‑3,7 ou ‑7 ou ‑4,5 et +22. Depuis, la convention a changé et, dans le présent jugement, les chiffres +3,7 et ‑22 ppm seront utilisés dans toute la preuve présentée à la Cour.

[42] M. McClelland a affirmé être surpris que le déplacement en RMN du 31P soit le même et estimait qu’il y avait là une incohérence (examen de M. McClelland, 27 mai 2008, de la ligne 18, page 123, à la ligne 17, page 124). Voir aussi l’affidavit de M. Chivers (A-18), paragraphe 22).

[43] Encore une fois, le tableau 1, page 8, du brevet indique +22,7 ppm, mais, comme je l’avons déjà mentionné, la convention a changé et la nouvelle convention est adoptée dans les présents motifs.

[44] Comme la nature instable ou transitoire du composé revendiqué est déjà indiquée par la référence au produit cinétiquement contrôlé, lequel est défini que le produit de la réaction le plus rapide à se former, et par le ● dans les formules incluses dans les diverses revendications, celles‑ci ne font aucune mention de la demi‑vie.

[45] Voir William L. Hayhurst, Q.C., « The Art of Claiming and Reading a Claim » dans Gordon F. Henderson et al., eds., Patent Laws of Canada (Scarborough: Carswell, 1994) 177 (Hayhurst).

[46] Après avoir examiné et soupesé avec soin les éléments de preuve soulignés par Apotex dans les notes de bas de page de son mémoire et dans ses témoignages oraux, la Cour note, entre autres, que ces éléments ne peuvent pas tous être jugés importants ou même pris en considération aux fins de l’interprétation. Il est certain que les explications au sujet de la compréhension subjective de l’inventeur ne sont pas pertinentes. C’est particulièrement vrai étant donné que la Cour n’est pas même convaincue que les citations mentionnées (voir la pièce A-16, extraits de la découverte de Blaszczak) sont correctement utilisées ou comprises.

[47] Bien qu’il s’agisse là d’une affirmation quelque peu surprenante (voir le contre‑interrogatoire de M. McClelland du 12 mai 2008, page 149, lignes 14-18), ce passage a été expressément mentionné dans les conclusions finales de Lilly et aucune demande de modification n’a été faite à ce sujet. Cela corrobore l’affirmation de la description selon laquelle il s’agit d’un terme de l’art.

[48] Contre-interrogatoire de M. McClelland, 12 mai 2008, page 158, lignes 4-8.

[49] Comme l’a fait l’avocat d’Apotex au cours du contre‑interrogatoire des experts de Lilly. M. McClelland a convenu qu’un déplacement chimique à +6 ppm indique la présence du produit cinétiquement contrôlé visé par la revendication 1. Il est intéressant de noter que, dans son affidavit sur la validité (A-12), M. McClelland indique, au paragraphe 38, que [traduction] « le signal négatif de ‑6,3 ppm est clairement dû au « produit cinétique » instable revendiqué à titre de nouveau composé dans le brevet 007. Les pics de +22 à +23 atteints lorsque ce composé instable réagit sont clairement dus au produit thermodynamique ». À cet égard, il semble n’avoir absolument aucune difficulté à comprendre la revendication 1 et à l’appliquer à un complexe cinétique, qui n’est pas caractérisé par un signal de +3,7 ppm.

[50] Voir la page 5, lignes 1-2 : [traduction] « sont considérés comme des synonymes et doivent aussi être distingués des dihalogénures de triarylphosphite de l’art antérieur ».

[51] Voir aussi l’interrogatoire principal de M. McClelland du 8 mai 2008, de la ligne 25, page 174, à la ligne 18, page 176.

[52] Voir le brevet 007 de la ligne 25, page 2, à la ligne 14, page 3; page 4, lignes 20-28; page 7, lignes 18-21; et page 9, lignes 1‑5.

[53] Son affidavit, E-11 et tous les éléments de preuve connexes n’ont pas été pris en considération.

[54] Il est clair, d’après la preuve fournie par M. McClelland, qu’une petite différence d’environ 5 % dans la quantité d’espèces covalentes par rapport aux espèces ioniques dans le mélange d’équilibre, représentée par la moyenne pondérée obtenue en RMN du 31P, expliquerait la distinction entre une lecture de +3,7 ppm et une lecture de +7 ou +8 ppm.

[55] Si ce n’était du (●) dans la formule générale et de la mention des produits cinétiquement contrôlés, ces mots, en soi, pourraient s’appliquer aux composés thermodynamiques ou, à ce qu’il est convenu d’appeler les dihalogénures de triarylphosphite de l’art antérieur.

[56] Au cours du procès, Apotex a abandonné l’argument qu’elle avait d’abord présenté en ce qui concerne le dépôt de demandes complémentaires irrégulières, mais cet argument figure toujours dans la version finale de la défense. Ce serait certainement une bonne façon de faire que de modifier les plaidoyers avant le procès de façon à s’assurer qu’ils correspondent véritablement à la position de chaque partie.

[57] Il semble que tous ces inventeurs faisaient partie du groupe de recherche de Lilly sur les β-lactamines.

[58] Aussi désigné plus tard dans les motifs comme « dans un seul tube réactionnel » .

[59] Il s’agit du procédé « dans un seul tube réactionnel » (une seule réaction) dans lequel le complexe cinétique est utilisé pour modifier de façon séquentielle les groupes en positions 1, 3 et 7 de la céphalosporine (voir l’affidavit de M. Baldwin (E-6), paragraphes 64-68).

[60] Les parties n’ont présenté aucun argument concernant l’interprétation des revendications 18 et 34, particulièrement à savoir si les caractéristiques précises qui y sont décrites constituent ou non des éléments essentiels de ces revendications. La Cour n’a pas à prendre de décision à cet égard, car il lui suffit de déterminer qu’une seule des revendications est contrefaite pour rendre un jugement en faveur de Lilly. Pour des motifs qui seront précisés plus loin, la Cour estime que d’autres revendications ont été contrefaites, et il n’y a donc pas lieu d’en dire plus sur les revendications 18 et 34.

[61] L’expression « procédés perfectionnés » est utilisée ici au sens de l’art. 2 de la Loi sur les brevets, à la définition du terme « invention ». Elle ne désigne pas le « perfectionnement » d’un procédé breveté décrit à l’art. 32 de la Loi.

[62] Il semble toutefois que M. Hanessian ne s’en soit pas rendu compte même après avoir examiné les brevets (contre‑interrogatoire de M. Hanessian, 15 mai 2008, de la ligne 25, page 76, à la ligne 13, page 84).

[63] Le caractère suffisant du mémoire descriptif n’a pas non plus fait l’objet de contestations de la part d’Apotex.

[64] Il convient de souligner que la version anglaise est probablement une traduction approximative de la demande soumise en japonais.

[65] Les autres éléments communs des mémoires descriptifs ne concernent que l’un des brevets : page 8, lignes 5-15 (026); page 9, ligne 21 (026); page 10, lignes 19-20 (026); page 14, lignes 25-29 (026); page 15, lignes 15-17 (547); page 15, lignes 17-19 (924); de la ligne 23, page 15, à la ligne 6, page 18 (132); de la ligne 7, page 18, à la ligne 11, page 23 (026); de la ligne 21, page 23, à la ligne 12, page 35 (547); de la ligne 13, page 35, à la ligne 7, page 47 (132); de la ligne 1, page 51, à la ligne 26, page 66 (026); page 67 (026); et de la ligne 24, page 69, à la page 76 (547).

[66] Tant les revendications de procédés que les revendications des composés produits au moyen des procédés comportent plusieurs variantes.

[67] Un certificat de correction a été émis pour ajouter la ligne pointillée représentant la thiazoline.

[68] Les figures A et B représentent le même composé, dont les formes énol et céto sont en équilibre.

[69] Une fois encore, C et D représentent le même composé ou un mélange d’équilibre des deux.

[70] Cela a été confirmé par M. Barrett lors de son contre‑interrogatoire du 19 juin 2008, page 61, lignes 9-22.

[71] Ibid., de la ligne 9, page 61, à la ligne 10, page 62.

[72] Il est évident que les acides utilisés pour la cyclisation comprennent les acides de Lewis, qui seront utilisés pour éliminer les substituants R autres que H décrits dans le mémoire descriptif avant la cyclisation des composés.

[73] Comme le paragraphe 1 ne fait pas expressément mention de l’ouverture du cycle thiazoline, lorsqu’il est présent, par l’acide aqueux utilisé pour traiter l’énamine, il n’y avait pas lieu de mentionner l’élimination de tout substituant thiol restant autre que H avant la cyclisation au moyen d’un acide adéquat. Selon moi, la personne versée dans l’art le comprendrait, en particulier vu la mention explicite à ce sujet dans le mémoire descriptif.

[74] Voir la correspondance datée du 18 novembre 2008 envoyée par l’avocat de Lilly et la réplique de l’avocat d’Apotex datée du 25 novembre 2008; argument principal de l’avocat d’Apotex, 31 octobre 2008, page 161, lignes 2-19; de la ligne 22, page 179, à la ligne 3, page 180; réplique de l’avocat d’Apotex, 4 novembre 2008, de la ligne 5, page 69, à la ligne 5, page 70.

[75] Il apparaît, à la lecture de l’article 78.2 de la Loi sur les brevets, que la version de son article 55.1 modifiée par l’article 193 de la Loi de mise en œuvre de l’Accord de libre-échange nord-américain, L.C. 1993, ch. 44, est applicable aux brevets délivrés avant 1989.

[76] Voir l’exposé des faits convenus entre les parties, LRTA no 44e).

[77] Voir le paragraphe 239 du mémoire d’Apotex sur la contrefaçon. La Cour ne pense pas que puissent être invoqués à l’appui de cette thèse le paragraphe 33 de SmithKline Beecham Pharma Inc. c. Apotex Inc. (2001), 267 N.R. 101, 10 C.P.R. (4th) 338 (C.A.F.), ni le paragraphe 15 de Pfizer Canada Inc. c. Apotex Inc., 2003 CF 1428, 245 F.T.R. 243.

[78] Voir le paragraphe 102 du mémoire de Lilly.

[79] Demande d’aveux, LRTA no 115, dossier de l’instruction, onglet 24, page 34.

[80] Voir les pièces TX‑1671 et TX‑1654.

[81] La Cour n’a pas tenu compte de la preuve fondée sur la lettre de Ladas et Perry (datée du 12 juin 1996), qui n’a pas été consignée en preuve. Par conséquent, j’ai décidé de ne pas formuler de conclusions touchant la revendication 6, qui porte sur des capteurs d’halogène particuliers comportant un anneau de six atomes de carbone tels que le cyclohexène.

[82] En outre, une expérience de M. Modro confirme que le produit thermodynamique ne pouvait provoquer ces réactions.

[83] Voir aussi le rapport de l’expert Miller (pièce E‑3).

[84] La requête de Lilly demandait entre autres la production d’un affidavit amélioré accompagné de documents concernant les procédés de fabrication du céfaclor d’Apotex, mais il semble qu’elle ait renoncé à cette exigence sur la foi de l’engagement d’Apotex de rechercher les documents additionnels se trouvant en sa possession, sous son autorité ou sous sa garde qui appartenaient à certaines catégories énumérées dans l’ordonnance.

[85] Ivor Hughes était présent à l’une de ces séances.

[86] En fait, l’avocat de Lupin était présent à l’audience du 5 juillet 2000.

[87] Il apparaît que Lupin ne conservait pas ses dossiers sur la fabrication plus de deux ans après la production des marchandises en cause.

[88] Certains documents ont pu être récupérés, et l’on a essayé de reconstituer partiellement les dossiers touchés.

[89] Bien que la Cour ait exhorté Apotex à déposer des éléments de preuve expliquant la non-production de cette lettre, son avocat n’en a proposé qu’une explication verbale, à savoir qu’un secrétaire du cabinet d’avocats avait classé la lettre en pensant que les avocats concernés l’avaient vue. Malheureusement, M. Sarkis, du cabinet Ivor Hughes, a été retranché de la liste des témoins d’Apotex.

[90] S’il ne fait pas de doute que les documents relatifs à l’usine de fabrication ont été détruits, on n’a pas établi de façon à me convaincre qu’il n’y avait pas de documents pertinents dans les dossiers du service de R‑D.

[91] Pour ce motif, la Cour, accueillant l’objection 61A, n’a pas pris en considération les parties de la pièce E‑15 portant sur la viabilité du procédé E.

[92] Deux réactifs et un procédé à deux pots, au lieu de trois réactifs et d’un procédé à trois pots.

[93] En ce qu’il avait pour point de départ la pénicilline V.

[94] Étant donné la nature disculpatoire du schéma joint à la lettre du 4 juillet 2000, Lilly a proposé une explication que la Cour ne peut accepter du fait de son caractère purement conjectural.

[95] Demande d’aveux, LRTA no 84, dossier de l’instruction, onglet 24, page 33.

[96] Contre-interrogatoire de M. Hanessian, 15 mai 2008, de la ligne 1 de la page 163 à la ligne 8 de la page 164.

[97] La Cour prend en considération, en plus de la présomption de bonne foi, le fait que la loi obligeait Kyong Bo à divulguer le procédé qu’elle utilisait pour produire le céfaclor vendu au Canada et qu’elle était tenue de mettre son dossier à jour à cet égard chaque fois qu’elle allait apporter des changements.

[98] Lilly a excipé contre cette preuve de ce qu’elle relève du ouï-dire double et que, Me Fouillade étant décédée, il n’a été produit aucun élément tendant à établir que n’aurait pas pu témoigner un représentant de Kyong Bo possédant une connaissance directe des faits, tel que M. Seung‑Ho An.

[99] Il ne suffirait pas en droit à Apotex de prouver qu’elle croyait que Kyong Bo avait une licence, mais la Cour estime qu’elle n’a pas même prouvé cela.

[100] Voir l’exposé des faits convenus entre les parties, ARTA no 295. Toutes les parties ont confirmé que cet exposé s’appliquait à la fois à l’action principale et à la demande reconventionnelle.

[101] Apotex réserve plus de 30 pages de son mémoire à ce moyen, qui est celui auquel l’avocat d’Apotex a consacré le plus de temps dans sa plaidoirie.

[102] Ce moyen s’applique aussi aux brevets de Lilly, mais, comme on l’a vu plus haut à propos de ces brevets, Apotex conteste vigoureusement aussi que son fournisseur ait utilisé à l’étranger les procédés qui y sont visés.

[103] Il s’agit de la première affaire anglaise où un tribunal a statué que le défendeur avait contrefait un brevet anglais visant un procédé de fabrication d’un composé intermédiaire (l’ortho-toluène-sulfo-chlorure en l’occurrence) en important et vendant en Angleterre un produit final (la saccharine) fabriqué à l’étranger. Voir aussi Beecham Group Ltd. c. Bristol Laboratories Ltd., [1978] RPC 153, [1977] F.S.R. 215, page 184, où le lord juge Patrick Russell écrivait ce qui suit au nom de la Cour d’appel d’Angleterre : [traduction] « À notre avis, cette extension des principes énoncés dans Elmslie c. Boursier et Von Heyden c. Neustadt était valable et légitime. (Il convient cependant d’ajouter en passant que c’est une façon assez libre de s’exprimer que de dire que l’ortho-toluène-sulfo-chlorure était "contenu dans" la saccharine (page 319, ligne 3), étant donné que, après la réaction chimique ultérieure, ce composé n’avait pas d’existence séparée sur le plan de sa structure chimique, ce dont le juge Buckley était manifestement conscient.) »

[104] Apotex cite à cet égard les décisions suivantes : Brown c. Duchesme, 60 U.S. 183, 15 L. Ed. 595 (1856); Dowagiac Mfg. Co. c. Minnesota Moline Plow Co., 235 U.S. 641, 35 S. Ct. 221 (1915); Deepsouth Packing Co c. Laitram Corp., 406 U.S. 518, 92 S. Ct. 1700 (1972); et Microsoft Corp. c. AT&T Corp., 550 U.S. 437, 127 S. Ct. 1746 (2007).

[105] En date du 5 octobre 1973, paragraphe 64(2).

[106] Process Patent Amendment Act, 35 U.S.C. § 271(g).

[107] Voir la note de bas de page 11 du mémoire d’Apotex sur la contrefaçon.

[108] Voir les paragraphes 104 et suivants du mémoire d’Apotex sur la contrefaçon. La Cour note qu’Apotex a essayé d’intervenir dans l’appel de la décision de la juge Snider, mais que sa requête a été rejetée et que l’appel a en fin de compte été abandonné.

[109] Selon Apotex, un tel examen n’a en fait jamais été effectué, et le besoin se fait sentir d’une analyse approfondie.

[110] Il est intéressant de noter que dans cette affaire, lord Atkinson, tout en souscrivant à la décision de la majorité, a rédigé des motifs distincts touchant le point de savoir s’il convenait d’interpréter le droit exclusif du titulaire d’un brevet de procédé comme comprenant le droit exclusif de vendre des produits fabriqués par d’autres personnes sises à l’étranger. Il faut en conclure que les lords juges ont pris en considération les arguments qu’Apotex fait valoir aujourd’hui avant de rendre leur décision majoritaire confirmant celle de la Cour d’appel.

[111] Selon l’exemple invoqué en première instance, l’utilisation d’un marteau fabriqué suivant un procédé breveté dans l’assemblage d’un wagon pourrait être considérée comme contrefaisante. Dans Pfizer, la juge Snider a évoqué l’utilisation de ciseaux brevetés pour tailler le tissu d’un costume italien importé au Canada.

[112] Lord Diplock résume comme suit le droit conféré et l’interdiction correspondante : [traduction] « Le droit conféré est "le droit exclusif et le plein pouvoir" de "fabriquer, utiliser, exercer et vendre ladite invention au Royaume-Uni [...]" et de "jouir de tous les bénéfices et avantages découlant de ladite invention". L’interdiction correspondante est celle de porter atteinte à ce droit. Elle fait en sorte "que le breveté puisse être le seul à utiliser et exercer l’invention et à en tirer tous les avantages [...]", et elle oblige tous les sujets britanniques "à s’abstenir en tout temps [...] d’utiliser ou de mettre en pratique, directement ou indirectement, ladite invention, ainsi que d’imiter celle‑ci de quelque manière que ce soit". »

[113] Le juge Noël, au paragraphe 40 de l’arrêt American Cyanamid Co c. Charles E. Frosst & Co., [1965] 2 Ex.C.R. 355, 47 C.P.R. 215 (American Cyanamid Co.), a très clairement interprété ce passage comme signifiant que la vente d’un produit fabriqué au moyen d’un procédé breveté contreferait le brevet de procédé même si ce brevet ne comportait aucune revendication visant le produit.

[114] Il est à noter que, de tous les juges qui ont eu à examiner ces questions, le président Jackett paraît avoir été le plus disposé à prêter une oreille favorable aux arguments de la nature de ceux qu’avance Apotex à propos de la territorialité et des limites du monopole conféré par une revendication de procédé.

[115] C’était là le seul produit visé par un brevet canadien. Cependant, au moment où il était importé au Canada, il avait été transformé en tétracycline.

[116] Voir les paragraphes 55 à 57.

[117] Annexe 1C de l’Accord de Marrakech instituant l’Organisation mondiale du commerce, 15 avril 1994.

[118] Comme Kyong Bo a contrefait au moins une revendication de chacun des brevets de Shionogi, la Cour utilisera simplement l’expression « le procédé de Shionogi » pour désigner toutes les revendications ainsi contrefaites de chacun des brevets.

[119] Ici encore, la Cour emploiera l’expression « le procédé de Lilly », étant donné que le procédé de Lupin contrefait tous les brevets de procédé de Lilly, notamment le brevet 536 (triple combinaison). Il est important de noter à ce propos que, même si la Cour estime qu’il y a eu contrefaçon de la revendication 17 du brevet 007, cette conclusion n’est pas très pertinente, étant donné que la contrefaçon des brevets de procédé est en soi suffisante. En fait, la contrefaçon du brevet 536 suffirait à étayer en l’occurrence le raisonnement de la Cour.

[120] Les experts ont donné diverses descriptions des procédés de Kyong Bo aussi bien que de Lupin, qui regroupent plus ou moins diverses réactions chimiques. Voir par exemple, concernant le procédé de Kyong Bo, la pièce TX‑129 (la partie réservée de la FMM de Kyong Bo), à comparer à la pièce W‑18 (le diagramme de procédé de Kyong Bo).

[121] Pour fabriquer le céfaclor expédié à Apotex à compter de juin 1998.

[122] Que l’on se fonde sur les prix de 840 $ et de 1 250 $ par kg ou sur les prix de facture contestés (1 070 $ ou 1 500 $ par kg); voir les pièces TX‑1671, TX‑1759, TX‑1050, TX‑1062, TX‑1082, TX‑1105, TX‑1123, TX‑1126, TX‑1131, TX‑1134, TX‑1137, TX‑1144, TX‑1151, TX‑1156, TX‑1161, TX‑1166, TX‑1171, TX‑1180 et TX‑1193.

[123] Par exemple comme échantillons à l’intention de pharmaciens ou de médecins.

[124] La Cour estime que les quantités en question n’ont pas fait l’objet pendant l’instruction d’une analyse suffisamment détaillée pour lui permettre de rendre une décision définitive à cet égard.

[125] Voir aussi le paragraphe 24 de Monsanto Canada Inc., où la Cour suprême du Canada déclarait : « Le brevet de Monsanto a déjà été délivré, et il incombe à M. Schmeiser de démontrer que le commissaire a commis une erreur en accueillant la demande de brevet : Apotex Inc. c. Wellcome Foundation Ltd., [2002] 4 R.C.S. 153, 2002 CSC 77, par. 42‑44. Il ne s’est pas acquitté de ce fardeau de preuve. Nous concluons donc que le brevet est valide. »

[126] Il est à noter qu’aucune des parties de Wellcome (2002) n’a pris de conclusions sur cette question. Par contre, la question de la norme de contrôle applicable aux appels interjetés sous le régime de l’article 42 a été débattue dans Harvard College (2002). Cette question a divisé la majorité de la Cour d’appel fédérale et le juge en chef Julius Isaac, dissident. Voir les paragraphes 43 à 63 et 179 à 186 de Harvard College c. Canada (Commissaire aux brevets) [2000] 4 C.F. 528, 223 F.T.R. 320 [Harvard College (2000)]. La Cour suprême du Canada a prononcé sa décision sur cette affaire le même jour que l’arrêt Wellcome (2002), ce qui pourrait expliquer les observations formulées dans les motifs de ce dernier.

[127] Plus récemment, la juge Snider faisait remarquer aux paragraphes 75 et 76 de Sanofi-Aventis Canada Inc. c. Apotex Inc., 2009 CF 676, que la charge qui pèse sur les défendeurs aux actions en contrefaçon tels qu’Apotex « n’est pas facile à définir en fonction des normes applicables au contrôle judiciaire » et que « [e]n très grande partie, la décision du commissaire n’[avait] simplement aucune pertinence par rapport à la décision [qu’elle devait] rendre ».

 

[128] Pour ce qui concerne l’opinion de M. McClelland selon laquelle il y aurait solution de continuité entre les divers brevets, il n’est pas nécessaire, comme je le disais plus haut, de l’examiner de manière tant soit peu détaillée. Je note cependant que la Cour est convaincue que les composés cibles du brevet 547 peuvent servir de composés de départ pour le brevet 924, ce qui n’est pas contesté. La Cour estime aussi que les composés cibles des revendications 31 et 37 (les revendications 4 et 12 visent la première étape) du brevet 924 peuvent être utilisés comme composés de départ pour le procédé visé par le brevet 132. De plus, les composés de la revendication 58 (produits au moyen du procédé de la revendication 38) du brevet 132 peuvent servir de composés de départ pour les réactions visées par le brevet 026, qui, comme on l’a vu plus haut, produisent le 3‑hydroxy‑3‑céphème.

[129] Voir Canada (Commissioner of Patents) c. Farbwerke Hoechst Aktien-Gesellschaft Vormals Meister Lucius & Bruning, [1964] R.C.S. 49 (Farbwerke), où l’objet du pourvoi était en fait la décision du commissaire de refuser le dépôt de demandes divisionnaires.

[130] Shionogi aurait pu décider de revendiquer toutes les étapes dans une seule demande et se limiter à un seul brevet, mais il est évident qu’elle n’aurait pu ainsi revendiquer les composés produits au moyen des procédés qu’elle revendique dans ses demandes divisionnaires, ni faire valoir des revendications dépendantes visant chacune des étapes. Elle se serait retrouvée avec un monopole limité et facile à contourner. C’est là le choix difficile que doivent faire tous les demandeurs de brevet lorsqu’ils déposent les modifications qu’exige le Recueil des pratiques du Bureau des brevets (le RPBB). Voir le chapitre 10 de la version de 1979 du RPBB, que M. Murphy étudie aux paragraphes 11 à 22 de son affidavit (E‑20).

[131] Voir la lettre de l’avocat de Lilly en date du 18 novembre 2008, et la réponse en date du 25 du même mois qu’y a donnée l’avocat d’Apotex.

[132] Comme on l’a vu plus haut, l’ancienne loi n’avait pas de dispositions portant explicitement sur l’évidence, et les tribunaux utilisaient la définition du terme « invention » pour ajouter la valeur inventive à la liste des critères de l’invention.

[133] Bien que le contexte en soit différent, voir Laboratoires Servier c. Apotex Inc., 2009 CAF 222, [2009] A.C.F. no 821 (QL) [Servier (2009)], paragraphe 69.

[134] À mon sens, la leçon de Consolboard (1981) est que les brevets découlant du dépôt obligatoire de demandes divisionnaires ne peuvent être contestés au motif du double brevet. Cela explique peut-être qu’Apotex ait abandonné ses allégations de double brevet.

[135] Il n’a pas été cité de jurisprudence à l’appui du principe que deux inventions seraient identiques du simple fait qu’elles tirent leur valeur inventive de la même idée.

[136] Riello Canada, Inc. c. Lambert (1986), 3 F.T.R. 23, 8 C.I.P.R. 286; Scott Paper Co. c. Minnesota Mining and Manufacturing Co. (1981), 53 C.P.R. (2d) 26, [1981] A.C.F. no 5 (QL) [1re inst.]; et Pfizer Canada Inc. c. Apotex Inc., 2005 CF 1421, 282 F.T.R. 8.

[137] Par exemple, le paragraphe 60(1) de la version alors en vigueur des Règles sur les brevets disposait qu’une demande qui ne renferme pas une revendication de plus grande portée que toutes ses autres revendications est censée viser plus d’une invention.

[138] Exposé introductif de l’avocat d’Apotex concernant la question de la validité, 2 juin 2008, page 32, lignes 18 à 22; page 33, lignes 14 à 23 (brevets de Lilly); et page 41, lignes 14 à 16 (brevets de Shionogi).

[139] Dans Merrell Dow Pharmaceuticals Inc., il est évident que, même s’il n’y avait qu’une seule invention, la Cour était disposée à invalider les revendications de produit, mais pas les revendications de procédé. La Cour a même accordé à la demanderesse un délai pour modifier ses revendications de procédé de manière à prendre en compte ce qu’elle avait décidé touchant les revendications de produits. Voir aussi les observations formulées au paragraphe 63 de Servier (2009).

[140] La revendication 1 porte sur tous les triarylphosphites mélangés avec du Br ou du Cl, tandis que le document d’art d’antériorité invoqué par Apotex ne vise que le triphénylphosphite et le Cl.

[141] Interrogatoire principal de M. Baldwin, 25 juin 2008, de la page 28, ligne 19, à la page 29, ligne 1.

[142] Comme dans Abbott (2006), la stabilisation ou le maintien en solution du composé n’est un élément essentiel d’aucune des revendications du brevet ici considéré (le brevet 007).

[143] Encore une fois, Apotex semble partir du principe que l’examen de la question de l’antériorité s’applique à l’invention brevetée ou au concept inventif, par opposition à ce qui est visé dans les revendications en litige.

[144] Voir aussi Pfizer Canada Inc. c. Apotex Inc., 2008 CAF 8, 72 C.P.R. (4th) 141, paragraphe 29.

[145] Le juge Ian Binnie, au paragraphe 44 de Free World Trust, se réfère explicitement à cette publication souvent citée pour définir le concept des connaissances générales courantes.

[146] À propos de l’examen du droit relatif au caractère réalisable qu’il a effectué dans Webber c. Vestas-Celtic Wind Technology Ltd., [2007] EWHC 2636 (Pat.), et de la confirmation par la Cour d’appel d’Angleterre et du Pays de Galles, particulièrement pour ce qui concerne le critère de l’« essai allant de soi », de sa décision Generics (U.K.) Ltd. and others c. H. Lundbeck Als, [2008] EWCA Civ. 311, 101 BMLR 52.

[147] Voir aussi les observations formulées par la Cour d’appel d’Angleterre et du Pays de Galles aux paragraphes 26 à 28 de Daiichi.

[148] Dans la version de la Loi antérieure au 1er octobre 1989, la date clé sous le rapport de l’évidence était la date de l’invention, qui, en l’absence de preuve attestant une date antérieure, était présumée être la date de priorité de dépôt, le cas échéant, ou la date de dépôt.

[149] Pete G. Sammes, « Recent Chemistry of the β-Lactam Antibiotics » (1976) 76 Chemical Reviews 113 (TX‑194).

[150] Évidemment, cela ne veut pas dire que tout élément non traité par Sammes serait nécessairement exclu des connaissances générales courantes ou de l’état de la technique.

[151] Cet article a cependant été complété par un addendum. Il apparaît à l’évidence qu’il fait maintenant référence à des publications de 1974, et même de 1975, vraisemblablement parues avant que l’éditeur ne reçût le manuscrit révisé le 28 juin 1975.

[152] Edwin H. Flynn, dir. de la publ., Cephalosporins and Penicillins; Chemistry and Biology, New York: Academic Press, 1972, comptait parmi ces publications, encore que M. Barrett en ait annexé certains chapitres à son rapport, produit sous la cote E‑14. Voir aussi la pièce TX‑196.

[153] Pour le dire une fois encore, la date de dépôt (y compris celle de la demande prioritaire, le cas échéant) n’est que la date présumée de l’invention sauf preuve du contraire.

[154] Il ne faut pas oublier qu’une revendication peut être antériorisée sans être évidente. Voir par exemple SmithKline Beecham Pharma Inc. c. Apotex Inc., 2001 CF 770, [2001] 4 C.F. 518, conf. par 2002 CAF 216, [2003] 1 C.F. 118 (C.A.), en particulier le paragraphe 22 des motifs de la CAF.

[155] Lilly a fait observer qu’il y avait lieu de se demander si l’expérimentation était permise dans ce contexte. La Cour n’a pas à examiner ce point ici, étant donné ses conclusions sur l’ensemble de la question.

[156] Comme la personne versée dans l’art n’a pas à posséder de connaissance particulière de la chimie des β‑lactamines ou des céphalosporines, la Cour rejette l’idée qu’elle saurait quels solvants conviennent aux opérations sur les substrats de céphalosporine. Voir aussi la transcription du contre-interrogatoire de M. Olah, 24 juin 2008, page 205, ligne 1, et page 206, ligne 17.

[157] Shire, au paragraphe 24 : [traduction] « le brevet débute en reconnaissant que certaines choses sont déjà connues et font partie, dans la langue des brevets, de l’art antéieur. Cette reconnaissance par le breveté est considérée comme une admission contraignante à l’égard de l’art antérieur […] ».

[158] La Cour indique ici tous les renseignements qui peuvent s’avérer pertinents non seulement en ce qui concerne le brevet 007, mais également pour ce qui est des brevets de procédés de Lilly afin d’examiner ces publications une seule fois.

[159] M. Olah a cependant souligné qu’il s’agit là d’une spéculation qui n’a jamais été confirmée. Contre‑interrogatoire de M. Olah, 24 juin 2008, page 142, lignes 9-15.

[160] Par exemple, [traduction] « on peut s’attendre à ce que le dihalogénure de triphénoxyle covalent soit en équilibre avec les six formes ioniques possibles ou avec l’une ou l’autre d’entre elles ». (Rydon, page 3045)

[161] Aucun des experts qui a vérifié la réaction entre le TPP et le Cl n’a réussi à cristalliser des échantillons purs du complexe cinétique. Le brevet 007 indique que le complexe cinétique n’a pas pu être isolé.

[162] La méthode utilisée par les auteurs pour mélanger le Cl et le TPP dans toutes leurs expériences était de faire lentement passer du Cl gazeux à travers le TPP (barbotage).

[163] Une expérience a été réalisée in situ, soit la dilution de TPP dans l’alcool.

[164] Selon M. Modro, cet enseignement est contraire aux enseignements du brevet 007.

[165] Voir le rapport de M. Hunter (E-18) au paragraphe 33, où il dit que c’est ainsi qu’il comprend l’article de Ramirez. La Cour a pris en considération son contre‑interrogatoire du 23 juin, pages 198-200, sur ce point. Voir aussi le contre‑interrogatoire de M. Chivers du 11 juin 2008, de la page 97 à la ligne 4, page 98.

[166] Apotex n’a fait mention d’aucune expérience décrite dans l’article de Richard Anschütz & William O. Emery, « Ueber die Einwirkung von Phosphortichlorid auf Salicylsäure und auf Phenol » (1889) 253 Annalen der Chemie 105, qui est cité (en allemand seulement) lorsqu’il est question du mélange du Cl et du TPP dans une solution d’hexane. La Court en déduit qu’une telle expérience n’a jamais eu lieu.

[167] Selon la nouvelle convention.

[168] Forme de dichlorure de triphénylphosphite, contre‑interrogatoire de M. Hunter, 23 juin 2008, page 203, lignes 11-15. Contre‑interrogatoire de M. Chivers, 11 juin 2008, de la ligne 17, page 96, à la ligne 1, page 97.

[169] L’ordre d’ajout n’est pas pertinent pour ce qui est de la revendication 17, mais, aux fins de la réalisation, on peut conclure du mémoire descriptif qu’il est préférable d’ajouter le TPP au Cl.

[170] La Cour constate que le rapport original de M. Chivers a été modifié de façon à tenir compte de l’objection de Lilly au sujet du double emploi de la preuve. En particulier, les paragraphes 49 et 50, qui traitaient des mêmes éléments que ceux auxquels M. Modro faisait allusion ci‑dessus, ont été supprimés. M. Chivers, totalement instruit des travaux de Tseng et Michalski, en était semble‑t‑il arrivé à la même conclusion.

[171] Comme elle l’a déjà mentionné, la Cour n’a pas retenu l’interprétation proposée par Apotex voulant que toutes les revendications soient limitées à un complexe ayant un déplacement de +3,7 ppm. Toutefois, elle n’a pas compris pourquoi cet argument ne s’appliquait que si le nombre de ppm de déplacement du complexe cinétique était un élément essentiel de la revendication correctement interprétée.

[172] Encore une fois, cela montre que cet expert n’a pas mené de recherches dans ce domaine et n’a agi que sur la foi des documents qui lui ont été fournis (énumérés au paragraphe 3(d) de son affidavit). Aucune raison n’a été fournie pour expliquer pourquoi Apotex ne lui a pas remis cette publication à laquelle M. Olah avait visiblement accès.

[173] Encore là, l’avocat d’Apotex ne lui a pas remis ces deux publications.

[174] Rien n’indique que M. Olah ait été avisé de ne pas utiliser ces connaissances.

[175] A-21, onglet 33, page 124, et onglet 35, page 147.

[176] M. Chivers a pris soin de décrire les travaux de Michalski comme étant simplement « similaires » au procédé de Rydon.

[177] Voir les autres publications portant aussi le nom de M. Michalski, qui sont énumérées aux pieds de pages 3a) et b) de TX-1764D. De même, il est quelque peu étonnant que M. Modro n’ait pas fait mention des travaux de M. Michalski étant donné qu’ils avaient travaillé en étroite collaboration et avaient publié ensemble plus tôt dans leur carrière.

[178] Les auteurs ont confirmé le point de vue de Rydon en ce qui concerne l’équilibre (forme ionique c. forme covalent) des espèces participant à la réaction.

[179] Voir le rapport d’étape de la Division de recherche et développement de procédés de Lilly (TX-211), page 7; et L.D. Hatfield et al. « Application of Phosphorus-Halogen Compounds in Cleavage of the 7‑Amide Group of Cephalosporins » dans G.I. Gregory, ed., Recent advances in the chemistry of β-Lactam Antibiotics (London: The Royal Society of Chemistry, 1980) p. 109-118 (TX-221, aussi reproduit sous une forme différente dans TX-220).

[180] En 1976, une demande générale d’aide et de suggestions concernant des réactifs possibles à essayer a été transmise par l’équipe de M. Hatfield (voir A-21, onglet 21, page 97).

[181] Comme il a été mentionné, ces observations sont pertinentes pour la prochaine question, qui concerne les brevets de procédés de Lilly.

[182] « Reduction of 3 Cephalosporin Sulfoxides » (3 octobre 1968) (TX-1584). Brevet dont il est question dans la description du brevet 536, sur lequel s’appuient expressément les experts d’Apotex et qui, selon la défenderesse, fait partie des connaissances générales courantes.

[183] Les deux seuls autres phosphites mentionnés dans cette recension sont le TPP (employé seul), qui réduit les sulfoxydes de diméthyle à des températures élevées, et le chlorophospholane.

[184] Bien que Drabowicz soit cité dans « Cephalosporin Reduction Process », brevet américain no 4,223,133 (1er février 1979) (TX-1783A), il n’est pas clair s’il s’agissait d’art cité par l’examinateur ou l’inventeur étant donné qu’il n’y a aucune mention de cette publication dans le mémoire descriptif de ce brevet.

[185] Un cristal.

[186] L’efficacité de cet agent a été établie par E.H. Amonodo-Neizer et coll. dans un article publié en 1965 dans le J. Chem. Soc., 4296, où la réduction s’effectuait à une température élevée. M. Baldwin a affirmé dans son témoignage qu’une personne versée dans l’art aurait beaucoup de réticences à faire chauffer du sulfoxyde de céphalosporine.

[187] TX-1783A.

[188] (1976) Tetrahedron Lett. 971.

[189] Contre-interrogatoire de M. Baldwin, 25 juin 2009, de la ligne 16, page 218, à la ligne 7, page 219.

[190] Plutôt que d’examiner chaque revendication une à une, la Cour décrit l’idée originale générale des revendications des brevets de procédés. Il est entendu que l’exercice devrait normalement être fait pour chacune des revendications en litige, mais la Cour est convaincue, après avoir fait l’exercice elle‑même, qu’elle arriverait aux mêmes résultats.

[191] Les expériences de M. Modro ont confirmé que le composé thermodynamique, ou produit final de cette réaction, ne peut pas servir à réaliser les trois étapes prévues dans le brevet 536. La description des brevets indique aussi clairement que le composé thermodynamique ne peut pas servir à effectuer les autres étapes décrites dans les brevets 725 et 468.

[192] Coe et Rydon ne traitent que de l’halogénation d’alcools simples.

[193] Même si ce commentaire semble s’appliquer à la chimie organique générale (M. McClelland n’a pas d’expérience en chimie des β-lactamines), il n’en demeure pas moins pertinent.

[194] La propre expérience de M. Modro confirme que le composé thermodynamique ne peut pas être employé à la place du complexe cinétique dans les réactions chimiques décrites dans les brevets de procédés auxquelles sont soumises les céphalosporines.

[195] Ces chercheurs possédaient une vaste expérience en chimie des céphalosporines. (A-21, onglet 6, page 149, lignes 1-2.)

[196] En anglais « laundry list ». Voir A-21, onglet 32.

[197] Voir A-21, onglet 21, page 97, et A-16, onglet 4.

[198] Voir A-21, onglet 19, page 91.

[199] Voir A-21, onglet 80; TX-211, TX-220 et TX-221.

[200] Contre‑interrogatoire de M. Baldwin, 28 avril 2008, page 219, lignes 12-15.

[201] Cette antériorité n’est pertinente qu’en ce qui concerne le choix de la base employée dans la réaction revendiquée. Étant donné qu’il n’y a pas là matière à controverse, il n’en sera pas question plus avant.

[202] Selon leurs observations écrites finales.

[203] Voir l’affidavit de M. Barrett (E-14), paragraphes 42-51 et 116.

[204] Voir l’interrogatoire principal de M. Barrett, 22 avril 2008, de la ligne 19, page 42, à la ligne 24, page 43; le contre‑interrogatoire de M. Barrett, 18 juin 2008, page 71, lignes 18-20; le contre‑interrogatoire de M. Barrett, 17 juin 2008, page 50, lignes 3-12; l’affidavit de M. Barrett (E-14), paragraphes 27, 29 et 40.

[205] M. Morin, tout comme M. Cooper, était un chimiste chercheur chez Lilly.

[206] Voir le brevet, TX-147.

[207] Divulgation commune, page 2.

[208] La bromination allylique est un type particulier d’halogénation allylique.

[209] L’ozone est un agent électrophile.

[210] M. Barrett a indiqué que ce composé ne convenait pas aux types de réactions chimiques décrites dans le procédé de Shionogi. Il ne pouvait être utilisé que pour fabriquer un composé qui n’avait pas besoin de chaîne latérale.

[211] Voir le contre‑interrogatoire de M. Barrett, 18 juin 2008, page 54, lignes 8-13.

[212] Voir Sammes, page 143.

[213] Il est généralement admis que la rétrosynthèse consiste à scinder la molécule ciblée en rompant séquentiellement des liaisons clés et/ou en modifiant la fonctionnalité selon un procédé par étapes afin d’aboutir à la molécule précurseur souhaitée.

[214] Apotex s’est opposée à ce témoignage aux motifs de ouï‑dire. La Cour n’est pas du même avis, car c’est exactement ce que le témoignage d’expert, dans ce contexte, tente d’établir. Quoi qu’il en soit, si l’opinion de M. Barrett n’était pas prise en considération, la Cour serait devant un vide, car elle ne disposerait pas d’assez d’éléments pour conclure que la rétrosynthèse était couramment utilisée par la personne versée dans l’art dans ce contexte. L’opinion de M. McClelland n’a pas eu de poids à cet égard.

[215] Apotex n’a pas fourni de traduction de ce document ni des deux autres publications en allemand sur lesquelles s’appuyaient ses experts. De toute évidence, c’est contraire aux règles de la Cour et à une directive précise donnée lors d’une des conférences de gestion de l’instruction. Le poids de l’opinion des experts fondée sur ces documents est réduit du fait que la Cour n’a pas pu examiner correctement les documents. Les documents anglais utilisés par M. Barrett ne sont pas les mêmes que les documents allemands.

[216] Selon la preuve présentée, il peut y avoir un délai de cinq mois, et même plus, entre la publication d’une demande de brevet et la mention de cette publication dans Chemical Abstracts, selon la quantité de matériel à résumer dans une période donnée.

[217] M. Chauvette a fait réagir un 3-hydroxy-céphème (le composé cible du procédé global de synthèse) avec un chlorure de sulfonyle, puis a utilisé un sel de fluor pour effectuer une substitution afin d’obtenir un 3‑fluoro‑céphème.

[218] Voir TX-1610 et TX-1611, qui ont été déposés sous réserve d’une objection. Ces documents sont tous deux inadmissibles.

[219] Le contenu de la note de bas de page 22 de TX-1609 constitue un ouï‑dire. Il est contraire à la pratique décrite par M. Martin et à sa propre opinion à savoir si M. Kishi lit le texte de ses exposés. La Cour n’est pas convaincue que M. Kishi ait lu ce texte en entier à aucune de ces conférences.

[220] Voir Servier (2009) (au paragraphe 58), qui confirme que la Cour peut se référer à la description pour déterminer l’idée originale lorsque celle‑ci est difficile à repérer dans les revendications.

[221] L’utilité des nouveaux composés mentionnés dans l’un ou l’autre des brevets de Shionogi, y compris les composés A, B, C, et D du brevet 026, n’est pas contestée, sauf en ce qui concerne certains substituants dont il sera question dans une section distincte.

[222] Si elle devait considérer la demande de Chauvette, pour les motifs énumérés lorsqu’il a été question du témoignage de M. Hanessian, la Cour préférerait le témoignage de M. Barrett, selon lequel le composé 3‑hydroxy-céphème ne serait pas considéré par la personne versée dans l’art comme un composé qui fournirait de l’information pertinente au sujet de la réactivité des composés de départ de Shionogi (structure à cycle ouvert).

[223] Nul ne conteste le fait que ladite description donne assez de détails pour permettre à la personne versée dans l’art de suivre chaque étape revendiquée dans le contexte de cette voie globale. Voir aussi la note de bas de page 128.

[224] Au cours de son contre-témoignage, il a simplement reconnu que, si l’un de ses étudiants diplômés avait formulé une telle idée, il aurait eu droit à une augmentation (19 juin 2008, page 152). En fait, sa réponse à la page 129, lignes 5-12 (19 juin 2008) selon laquelle [traduction] « si une personne versée dans l’art se voyait remettre le composé final et la matière de départ et qu’on lui demandait de concevoir une méthode de synthèse, il n’est pas déraisonnable ni improbable de croire que, parmi les nombreuses méthodes possibles, celle‑ci [le procédé de Shionogi] aurait peut-être été celle qu’elle aurait conçue », semble affaiblir sérieusement, voire directement contredire, la thèse d’Apotex.

[225] Fait intéressant, même si cela concerne vraisemblablement son domaine d’expertise, M. McClelland a admis qu’il ne connaissait l’existence d’aucun des brevets de Lilly (ni du complexe cinétique) avant un litige auquel il avait pris part pour Apotex vers 1996-1997.

[226] Contre‑interrogatoire de M. Hanessian, 19 juin 2008, de la ligne 21, page 145, à la ligne 5, page 146. La Cour note qu’il n’existe aucune preuve relative à l’évidence ni au succès attendu de toutes ces méthodes raisonnables qui, on peut le supposer, comportaient toutes des réactions chimiques connues. Si l’on suit le raisonnement de M. Hanessian, ne pourrait‑on pas croire que toutes ces méthodes n’étaient par conséquent que des variations banales, à l’exception d’une seule qui fonctionnait réellement?

[227] C’est notamment évident parce que M. Kukolja a continué de chercher une solution même après que Shionogi ait mis au point son procédé à la demande et aux frais de Lilly.

[228] Tout comme M. Blaszczak.

[229] Voir la note de bas de page 128.

[230] Voir Canada (Commissaire aux brevets) c. Ciba Ltd., [1959] R.C.S. 378, où le raisonnement appliqué aux revendications de produits était appliqué aux revendications de procédés. De même, un composé qui n’a pas été fabriqué, même s’il a été divulgué en tant que partie d’une classe, peut être revendiqué ultérieurement si le brevet divulgue un certain avantage de ce composé par rapport aux autres membres de sa classe. Il n’est pas nécessaire que cet avantage soit revendiqué pour qu’il procure une valeur inventive à ce qui est revendiqué (Sanofi, paragraphe 31).

[231] Ce même principe a été appliqué d’une façon modifiée dans Shell Oil (pages 550-552 du R.C.S.). Dans cette affaire, le seul motif pour lequel l’utilisation devait être incluse dans la revendication était que le composé n’était pas nouveau; si son usage n’avait pas été revendiqué, il aurait été antériorisé.

[232] Par comparaison, voir par exemple la réponse donnée par M. Barrett au cours de son contre‑interrogatoire du 18 juin 2008, de la ligne 9, page 28, à la ligne 4, page 29.

[233] Contre‑interrogatoire, 5 juin 2008, de la ligne 4, page 244, à la ligne 6, page 245.

[234] Je crois sincèrement qu’une baignoire à remous lui aurait été particulièrement utile.

[235] La Cour est ici d’accord avec l’opinion de M. Barrett.

[236] Contrairement au composé isomérisé décrit dans Cooper 2.

[237] L’argument de M. McClelland semble s’appliquer aussi aux brevets de procédés de Lilly, mais, comme il a déjà été mentionné, la Cour n’a accordé qu’un poids faible, voire nul, à cette partie de son témoignage. La Cour est également d’accord avec Lilly pour dire que cet argument n’a pas été débattu correctement en défense pour ce qui est des brevets de procédés de Lilly. Voir le paragraphe 61 de son affidavit (A-12), lorsqu’il traite des quantités de réactifs et des conditions dans lesquelles ces réactifs sont combinés. Dans ce contexte, il est évident que ce dont parle M. McClelland est la nature du réactif et non pas ce dont il est question au paragraphe 61. Toutefois, le libellé de son paragraphe 62, qui traite de la prédiction valable, c’est‑à-dire pour les composés qui ne sont pas cités en exemple dans le brevet, a une portée assez vaste pour prévoir cet argument.

[238] En ce qui concerne l’opinion de M. Modro, il faut souligner que le brevet 007, en plus des exemples dont il a déjà été question, renferme des exemples pour toutes les variantes de Z : Z = H, voir les exemples 1, 2, 3, 4, 6, 7A-E; halogène, voir les exemples 9 et 10; chlore, alkyle C1-C4, voir les exemples 5 et 7F; alkoxyle C1-C4, voir l’exemple 7G.

[239] Selon M. Modro, ces substituants pourraient produire de nouveaux effets à cause de leur grande proximité avec le centre réactionnel. Ils pourraient [traduction] « bloquer le centre réactionnel, ralentir la réaction ou même déclencher de toutes nouvelles réactions » (l’interrogatoire principal de M. Modro, 4 juin 2008, de la ligne 20, page 89, à la ligne 4, page 90).

[240] Z représente un OCH3 en position para.

[241] Voir le paragraphe 275 du mémoire de Lilly sur la validité. D’après ce mémoire, la validité de la revendication 17 du brevet 007 pourrait être remise en cause.

[242] Même si, depuis 2001, M. Modro a réalisé environ 60 expériences liées à ces brevets.

[243] À cet égard, M. Modro a fait référence en particulier à un article de Gloede publié en 1994 (J. Gloede, « Halogenation of ortho-Substituted Aryl Phosphites » (1994) 64 Russian Journal of General Chemistry 1203, TX-1592 (Gloede))

[244] M. Modro a affirmé avoir eu des inquiétudes qui se sont confirmées par ce qui était signalé dans TX‑211. Étonnamment, il n’a pas fait mention des expériences divulguées dans le brevet 007 qui concernent directement bon nombre de ces substituants.

[245] Pour M. McClelland, voir le 9 juin 2008, pages 78-91. Pour M. Modro, voir le 5 juin 2008, de la ligne 10, page 80, à la ligne 24, page 89.

[246] M. Baldwin a cependant admis que les groupes tert-butoxyle et tert-butyle seraient les substituants les plus gros et que plus le groupe est gros, plus il risque d’avoir un effet stérique. Il n’a pas modifié son opinion à savoir qu’il s’agissait de substituants relativement petits.

[247] Même si MM. Modro et McClelland ont mis en doute le caractère opérant de certains des composés, ils n’ont jamais abordé directement la question de savoir si, au moment pertinent, d’après les exemples fournis dans les brevets, les inventeurs pouvaient objectivement prédire l’utilité de tous les substituants Z méta, para et ortho revendiqués dans les brevets.

[248] Il convient de souligner que, tout au long de la présente action, Apotex a allégué que la Cour ne devait pas prendre en considération le rendement plus élevé des composés préférentiels parce qu’il n’était pas revendiqué. La défenderesse ne peut pas affirmer que les composés étaient inopérants si leur rendement était inférieur à celui des réalisations préférentielles.

[249] La preuve fournie par les experts d’Apotex aurait pu être suffisante pour alléguer l’invalidité dans le contexte d’une instance relative à un AC, mais elle ne suffit certainement pas à s’acquitter du fardeau d’établir, selon la prépondérance des probabilités, que ces composés étaient dénués d’utilité ou que leur utilité ne pouvait pas faire l’objet d’une prédiction valable. Bon nombre des décisions auxquelles a fait référence Apotex avaient été prises dans le contexte d’une instance relative à un AC.

[250] L’argument relatif à l’inversion de l’ordre d’ajout ne sera pas abordé parce que la Cour a établi que le complexe cinétique se formerait au moyen du procédé décrit dans Coe et Rydon et que M. McClelland a indiqué au cours de son contre‑interrogatoire que cette inversion réduirait le rendement, mais ne rendrait pas le composé inactif.

[251] Voir le contre‑interrogatoire de M. McClelland, 9 juin 2008, de la ligne 20, page 108, à la ligne 1, page 109.

[252] M. McClelland a convenu qu’il n’existe aucune raison de croire que le complexe cinétique ne pourrait pas être préparé à la température ambiante. Cela a été corroboré par le témoignage de M. Moraski, qui a relaté des expériences dans lesquelles le complexe cinétique avait été produit à la température ambiante et à 0º Celsius. (Interrogatoire principal de M. Moraski, 20 juin 2008, de la ligne 24, page 16, à la ligne 5, page 18; E-9.)

[253] Quoi qu’il en soit, M. Modro a admis au cours de son contre‑interrogatoire que la formation du complexe cinétique n’était pas le problème, étant donné qu’il se formerait nécessairement. Au paragraphe 70 de son affidavit (A-13), il ne traite que du produit final (le composé thermodynamique).

[254] M. Baldwin a souligné que, si l’on considérait les données divulguées dans Gloede sans les mettre à l’essai, on ne pourrait pas dire avec certitude quelle réaction se produirait en premier lieu, en présumant que l’on sait qu’une deuxième réaction se produit. (Voir l’interrogatoire principal de M. Baldwin, 25 juin 2008, de la ligne 6, page 14, à la ligne 18, page 15.)

[255] Voir les paragraphes 354-358 du mémoire d’Apotex sur la validité; les paragraphes 151-153 de l’affidavit de M. McClelland (A-12).

[256] Comme il a été mentionné au cours du témoignage de M. Barrett, il n’y a aucun problème lié à l’argument lorsque la thiazoline est en place, comme dans les revendications 4, 10, 12, 31, 35 et 37. Voir aussi le contre‑interrogatoire de M. McClelland, 9 juin 2008, de la ligne 20, page 177, à la ligne 20, page 178.

[257] Au paragraphe 363 de son mémoire sur l’invalidité, Apotex traite des revendications 22 et 34, mais ses experts n’ont fourni aucun élément de preuve en ce qui concerne ces deux revendications.

[258] Affidavit de M. McClelland (A-12), paragraphes 167-170; affidavit de M. Hanessian (A-15), paragraphe 94.

[259] Voir le contre‑interrogatoire de M. McClelland, 9 juin 2008, page 211, lignes 5-11; et de la ligne 13, page 219, à la ligne 5, page 220.

[260] Jerry March, Advanced Organic Chemistry: Reactions, Mechanisms, and Structure (New York: McGraw-Hill, 1968), p. 294 (TX-1618).

[261] Contre‑interrogatoire de M. Hanessian, 19 juin 2008, page 141, lignes 1-9.

[262] Contre‑interrogatoire de M. McClelland, 10 juin 2008, page 37, lignes 6-22.

[263] Ibid., page 38, lignes 6-12.

[264] Contre‑interrogatoire de M. McClelland, 10 juin 2008, page 39, lignes 17-20.

[265] Contre‑interrogatoire de M. Barrett, 18 juin 2008, page 322, lignes 7-8.

[266] La Cour comprend ici que seules les personnes possédant des connaissances spécialisées sur le fluor utiliseraient un tel produit. Ces personnes sauraient comment manipuler ce produit pour contrer le danger qu’il représente.

[267] Voir la revendication 1 ainsi que la description, de la ligne 21, page 20, à la ligne 8, page 21.

[268] Il n’est pas certain que ce dernier élément tienne toujours étant donné qu’il ne reste qu’une seule revendication de procédé.

[269] Vu l’interprétation adoptée par la Cour, il s’agit de la seule distinction qui demeure pertinente.

[270] Comme il a déjà été mentionné, la seule variante de la revendication 17 liée à la revendication 10 doit être considérée comme une revendication indépendante sur laquelle l’argument avancé n’aura aucune incidence.

[271] Dans Rydon, dont il est question dans la description, les auteurs signalent qu’un ratio 2:1 ne produira qu’un monochlorure.

[272] Voir les paragraphes 18-21 de E-19.

[273] L’alinéa 112b) porte ce qui suit : [traduction] « La défenderesse et demanderesse reconventionnelle réclame en conséquence : [...] b) des dommages-intérêts de la nature prévue à l’article 36 de la Loi sur la concurrence, à payer à Apotex et/ou, subsidiairement, à déduire de tous dommages-intérêts qui seraient prononcés contre cette dernière [...] »

[274] Voir AlliedSignal Inc. c. Du Pont Canada Inc. (1998), 142 F.T.R. 241, 78 C.P.R. (3d) 129, paragraphes 21 et 24.

[275] La présente affaire a été portée deux fois devant la Cour d’appel fédérale, dans le cadre de requêtes en jugement sommaire, et une autre fois à l’occasion de l’appel interjeté contre une ordonnance de protonotaire.

[276] En fait, deux des brevets de Lilly ont expiré après l’expiration de la totalité des brevets de Shionogi.

[277] Voir la pièce TX‑686.

[278] Voir le paragraphe 36(7) de la Loi sur les Cours fédérales.

[279] L’équivalent de l’alinéa 36(4)b) de la Loi sur les Cours fédérales, du paragraphe 2(2)b) de la Judgment Interest Act et de l’alinéa 2c) de la Court Order Interest Act.

[280] Voir aussi Sands Motor Hotel Ltd. c. Edmonton (City), 2005 ABCA 402, 376 A.R. 365, paragraphes 31 et 32.

[281] Voir son alinéa 1b).

[282] Exposé modifié de la défense et de la demande reconventionnelle d’Apotex, paragraphe 110.

[283] Cet accord est consigné dans une lettre en date du 22 octobre 2008 adressée à la Cour par l’avocat d’Apotex.

[284] Entre autres choses, les personnes présentes à la réunion de juin 1974 étaient décédées, et le fait de cette réunion avait été communiqué à M. Wada à l’époque où il s’était produit et dans le cadre de son emploi.

[285] Étant donné la communication tardive de l’allégation de réunions entre Lilly et Apotex et le fait qu’aucun autre participant n’ait été clairement identifié, Lilly n’était pas en mesure de citer d’autres témoins que M. McCool pour réfuter la preuve d’Apotex à cet égard (c’est‑à‑dire les témoignages de MM. Sherman et Kay).

[286] Apotex a convenu que Shionogi n’aurait pas à citer ses propres experts économistes et pouvait s’appuyer sur le témoignage de M. Cockburn, même si les services de ce dernier n’avaient à l’origine été retenus que par Lilly. Cette décision a eu pour effet d’abréger l’instruction.

[287] Voir la transcription du 6 octobre 2008, page 183, ligne 18, jusqu’à la ligne 3 de la page 184.

[288] 2003 CF 1171, (2003), 28 C.P.R. (4th) 37, infirmée en appel par 2004 CAF 232, (2004), 240 D.L.R. (4th) 679, qui a renvoyé l’affaire devant la Cour fédérale : 2004 CF 1445, [2005] 2 R.C.F. 225, décision elle aussi infirmée en appel par 2005 CAF 361, [2006] 2 R.C.F. 477.

[289] Cette conclusion était en fait considérée comme une conclusion du juge James Hugessen dans la décision contestée devant la Cour d’appel fédérale (2004 CF 1445, [2005] 2 R.C.F. 225, paragraphe 22), que la Cour d’appel présumait avoir été rendue compte tenu de l’accord de 1995 aussi bien que de celui de 1975, malgré les observations du juge Hugessen comme quoi la preuve était entachée de contradictions et d’obscurités concernant la prévisibilité et la portée de l’accord de 1975, problèmes que seule une instruction intégrale pourrait résoudre (2004 CF 1445, [2005] 2 R.C.F. 225, paragraphe 25).

[290] 2005 CAF 361, [2006] 2 R.C.F. 477, paragraphe 39.

[291] Loi sur la concurrence, alinéa 7(1)a).

[292] Ibid., alinéas 9(1)c) et 10(1)a).

[293] Ibid., sous-alinéa 10(1)b)(iii). Dans la présente espèce, c’est en vertu de cette dernière disposition qu’une enquête aurait pu être ouverte à la suite d’une plainte déposée par Apotex en septembre 2002. En outre, l’un des experts témoignant pour Apotex, M. Church, a contacté le Bureau de la concurrence après la première décision du juge Hugessen sur les requêtes en jugement sommaire afin de porter à son attention cette décision, qu’il estimait être en contradiction avec le point de vue exprimé par le Bureau dans son document intitulé « Propriété intellectuelle – Lignes directrices pour l’application de la loi » (contre-interrogatoire de M. Church, 9 septembre 2008, de la page 73, ligne 3, à la ligne 12 de la page 77). Or le commissaire n’a pas fait mener d’enquête sur ce point.

[294] Ce recours s’ajoute à ceux qu’offre la common law à une telle victime, qui sont assortis de délais de prescription différents. Il est important de ne pas oublier que la Loi sur la concurrence prévoit des règles assez exceptionnelles pour les procédures intentées sous son régime [voir son paragraphe 69(2)]. Le rôle central du commissaire est aussi démontré par le fait que le délai de prescription que prévoit l’article 36 ne commence à courir qu’à la date de la décision définitive de la procédure initiale lorsqu’une telle procédure est engagée.

[295] Eli Lilly and Co. et al. c. Apotex Inc. (21 décembre 2006), Ottawa, T 1321‑97 (C.F.), confirmée en appel par 2007 CF 367, (2007), 156 A.C.W.S. (3d) 807. La Cour note que ce principe, en plus d’être étayé par les précédents que cite la protonotaire Aronovitch, a été réaffirmé dans deux autres décisions plus récentes, soit :   Harmegnies c. Toyota Canada, 2007 QCCS 539, J.E. 2007‑842 (confirmée en appel par 2008 QCCA 380, J.E. 2008‑584), paragraphes 38, 50 et 51; et A.P.I. Alarm Inc. c. D’Arterio, [2009] O.J. No. 1599 (QL) [C. sup. Ont.], paragraphe 20.

[296] Conclusions écrites d’Eli Lilly and Company et d’Eli Lilly Canada, Inc. (phase relative à la concurrence), paragraphes 292 et 295 à 297; et exposé des arguments de la défenderesse reconventionnelle, Shionogi & Co. Ltd. (concernant la question de la concurrence), paragraphes 118 et 121 à 124.

[297] Ibid., Lilly, paragraphes 298 à 303, et Shionogi, paragraphes 125 à 130.

[298] Exposé des arguments de la défenderesse, Apotex Inc. (concernant la question de la concurrence), paragraphe 302.

[299] Ibid., paragraphe 306.

[300] Déclaration modifiée de Lilly, 11 janvier 2001, paragraphe 28.

[301] Exposé des arguments de la défenderesse, Apotex Inc. (concernant la question de la concurrence), paragraphe 313.

[302] 2005 CAF 361, [2006] 2 R.C.F. 477, paragraphe 52.

[303] Voir 351694 Ontario Ltd. c. Paccar of Canada Ltd., 2004 CF 1565, (2004), 264 F.T.R. 12, paragraphe 18.

[304] Nova Scotia Pharmaceutical Society, paragraphe 72.

[305] Ibid., paragraphe 99.

[306] Ibid., paragraphe 106.

[307] Modifiée en appel – mais non sur ce point, que l’appelante n’a pas contesté – par 2000 BCCA 463, (2000), B.C.A.C 1.

[308] Exposé des arguments de la défenderesse, Apotex Inc. (concernant la question de la concurrence), paragraphe 306.

[309] Les renseignements dont disposait Lilly sur le procédé utilisé en fait par Lupin étaient fondés sur la partie réservée du dossier de Santé Canada qu’elle avait reçue en exécution d’une ordonnance du juge Hugessen.

[310] Voir la décision contenue dans la transcription de l’audience du 9 décembre 2008.

[311] Voir l’exposé des faits admis par les parties, LRTA no 82.

[312] Exposé des arguments de la défenderesse, Apotex Inc. (concernant la question de la concurrence), paragraphe 155.

[313] Ibid., paragraphe 273.

[314] Resurfice Corp., paragraphe 25.

[315] Transcription des conclusions orales de l’avocat d’Apotex, 6 novembre 2008, page 20, lignes 14 à 18.

[316] Paragraphe 16.

[317] Voir l’exposé des faits convenus entre les parties, LRTA no 150 et SRTA no 15a), ainsi que la pièce TX‑265.

[318] Ibid., LRTA no 51.

[319] Ibid., LRTA no 151 et SRTA no 15b); et pièce TX-266.

[320] M. Sherman a déclaré dans son témoignage que ce choix avait probablement été fait par l’avocat d’Apotex à l’époque (contre-interrogatoire de M. Sherman, 6 mai 2008, page 125, lignes 11 à 20). Lilly a posé, dans le contre-interrogatoire de M. McClelland, une série de questions qui pourraient expliquer cette décision (contre-interrogatoire de M. McClelland, 8 septembre 2008, de la page 52, ligne 18, à la ligne 19 de la page 53).

[321] Voir l’exposé des faits convenus entre les parties, LRTA no155 et SRTA no 15c), ainsi que la pièce TX-267.

[322] Ibid., SRTA no 17b); et pièce TX-241.

[323] Ibid., LRTA no 156; et pièce TX-118.

[324] Ibid., SRTA no 19a) et LRTA no 160; TX-645; TX-246; et TX-247.

[325] Ibid., SRTA no 19c); confirmée en appel par (1996), 199 N.R. 4, 68 C.P.R. (3d) 126.

[326] La demanderesse à cette procédure était Eli Lilly Canada Inc. Eli Lilly and Company et Shionogi & Co. Ltd., propriétaires des brevets de Lilly et de Shionogi, ont été portées parties à la demande en vertu du paragraphe 6(4) du Règlement, ayant auparavant consenti à l’inscription de leurs brevets dans le formulaire IV déposé par Eli Lilly Canada Inc. sous le régime du paragraphe 4(1) dudit Règement.

[327] Voir l’exposé des faits convenus entre les parties, SRTA no 19b), ainsi que la pièce TX‑644 (affidavit de Thomas L. Emmick, en date du 17 juin 1993).

[328] Ibid., ARTA no 220, LRTA n205 et SRTA no 48; et pièces TX‑227 et TX‑228.

[329] Voir l’affidavit de Me Harry B. Randomsy, en date du 13 novembre 2003 (TX‑641), paragraphe 4.

[330] Bien qu’il soit contesté que M. Sherman ait jamais rencontré M. McCool, il ne l’est pas qu’au moins une rencontre de cette nature a eu lieu entre M. McCool et M. Kay.     

[331] Voir la pièce TX‑1684.

[332] Voir la pièce TX‑261.

[333] La Cour note que M. Sherman a déclaré dans son témoignage que c’est probablement l’assurance ferme donnée par Kyong Bo qu’elle n’utilisait pas le procédé de Lilly qui avait amené Apotex à résilier la licence obligatoire (contre-interrogatoire de M. Sherman, 6 mai 2008, de la page 132, ligne 22, à la ligne 12 de la page 133). Cependant, le seul élément de preuve dont la Cour dispose concernant cette assurance ferme est contenu dans la lettre de Pacific High Tech Canada, dont la date est postérieure de dix jours à celle du préavis de résiliation de la licence obligatoire (voir le paragraphe suivant).

[334] Voir la pièce TX-662, l’exposé des faits convenus entre les parties, LRTA no 1, ainsi que la pièce TX‑334.

[335] Voir l’exposé des faits convenus entre les parties, SRTA nos 83a) et b).

[336] Ibid., LRTA no 46; et TX‑119.

[337]Ibid, LRTA no 82; et TX‑651.

[338] Ibid., LRTA no 83 et SRTA no 31; et TX‑1759.

[339] Voir TX‑686.

[340] Voir l’exposé des faits convenus entre les parties, SRTA nos 70a) et c).

[341] Voir la déclaration en date du 18 juin 1997, paragraphe 26.

[342] Voir l’exposé des faits convenus entre les parties, LRTA no 83 et SRTA no 31, ainsi que la pièce TX‑1759.

[343] Vor Glopec‑16 et Glopec‑17.

[344] Voir Glopec‑20.

[345] Ibid., Glopec‑23.

[346] Voir Glopec- 2 et Glopec‑25.

[347] Voir TX‑679.

[348] Voir TX‑1656. Le contrat ne dit rien du prix, mais Apotex paraît avoir payé 1 500 $US par kilogramme le céfaclor produit en exécution de ce contrat (voir TX‑1759), contre 860 – 1 150 $US auparavant. Le coût du céfaclor en vrac contenu dans une dose de 500 mg vendue s’élève, selon les calculs de la Cour, à 0,75 $US, contre 0,43 $US lorsque le prix du produit en vrac était de 860 $US le kilogramme. Apotex vendrait une telle dose au Canada au prix approximatif de 1,50 $CAN (soit entre 1,12 et 0,97 $US, selon les taux de change mensuels le plus élevé et le plus bas en vigueur de novembre 1996 à octobre 1998), et les coûts de distribution représentent chez Apotex de 2 à 3 % du chiffre des ventes. (Interrogatoire de M. Sherman, 3 septembre 2008, page 40, lignes 22 et 23; et réinterrogatoire de M. Fahner, 3 septembre 2008, page 247, lignes 8 et 9.

[349] Voir TX‑662.

[350] Voir TX‑663.

[351] Voir TX‑664.

[352] Voir TX 1759.

[353] Voir l’exposé des faits convenus entre les parties, LRTA nos 93, 94, 95, 96, 100, 101, 103, 104 et 108, et SRTA nos 72, 73, 74b), 74f), 75a), 75c), 76a) et 77a).

[354] Ibid., ARTA no 295.

[355] Conclusions de l’avocat d’Apotex, 6 novembre 2008, page 39, lignes 5 à 12.

[356] Ibid., de la page 39, ligne 14, à la ligne 21 de la page 40.

[357] Contre-interrogatoire de M. Kay, 3 septembre 2008, page 214, ligne 4.

[358] Voir la transcription du 6 octobre 2008, de la page 183, ligne 12, à la ligne 3 de la page 184.

[359] Rappelons, par exemple, la procédure relevant du RMB(AC) et l’opinion de Me Randomski comme quoi l’entrée sur le marché serait immédiatement suivie d’une action en contrefaçon.

[360] Prix reflétant la concurrence entre Lilly et Shionogi sur le marché du céfaclor en vrac.

[361] Voir le mémoire de la défenderesse, Apotex Inc. (concernant la question de la contrefaçon), paragraphe 453.

[362] Conclusions de l’avocat d’Apotex, 6 novembre 2008, page 36, lignes 20 à 23, et page 40, lignes 12 à 14.

[363] Rapport principal de M. Church, en date du 14 décembre 2007 [pièce JC‑2 annexée à son affidavit du 19 avril 2008 (pièce A‑24)], page 29.

[364] Affidavit principal de M. Ross, fait le 14 décembre 2007 (pièce A‑27), paragraphe 34.

[365] Rapport en réponse de M. Church, 28 mars 2008 [pièce JC‑1 annexée à son affidavit du 31 mars 2008 (pièce A‑31)], paragraphe 52. Voir aussi l’affidavit principal de M. Ross, précité, paragraphe 34.

[366] Il est à noter que la cession concerne seulement les brevets canadiens et américains de Shionogi (TX‑228). La preuve révèle que des demandes de brevet ont été déposées dans d’autres pays (voir la pièce TX‑233, ainsi que l’interrogatoire principal de M. Takayuki Wada, 15 septembre 2008, de la page 192, ligne 14, à la ligne 7 de la page 193), mais on n’a pas produit devant la Cour d’éléments relatifs au comportement d’octroi de licences de Shionogi dans les pays non touchés par la cession.

[367] Affidavit en réponse de M. Cockburn, fait le 27 février 2008 (pièce E‑22), paragraphe 111.

[368] Rapport en réponse de M. Church, en date du 28 mars 2008 [pièce JC‑1 annexée à son affidavit du 31 mars 2008 (A‑31)], paragraphe 49. Voir aussi l’affidavit principal de M. Ross, fait le 14 décembre 2007 (A‑27), paragraphe 59.

[369] Réinterrogatoire de M. Sherman, 3 septembre 2008, page 166, lignes 19 à 22. Voir aussi le contre-interrogatoire de M. Sherman, 3 septembre 2008, page 133, lignes 17 à 25.

[370] La demande de céfaclor en forme posologique était en baisse au moment de l’entrée des génériqueurs sur le marché.

[371] Ce marché n’est pas celui que les experts d’Apotex estimaient pertinent, pas plus qu’il ne formait la base de leur opinion.

[372] Selon lui, [traduction] « [l]a question des brevets n’était pas pertinente à cet égard » (contre-interrogatoire de M. Sherman, 3 septembre 2008, page 134, ligne 7).

[373] Pareillement, même si les experts avaient eu les compétences nécessaires, ce que la Cour conteste, la preuve de tels experts n’est pas nécessaire pour interpréter l’arrêt rendu par la Cour d’appel fédérale dans la présente instance ni l’accord de 1975.

[374] Il ne faut pas oublier que le chiffre annuel de ses ventes de céfaclor en forme posologique au Japon s’élevait à environ 900 millions de dollars américains.

[375] Contre-interrogatoire de M. Hollis, 5 septembre 2008, page 95, lignes 14 à 21.

[376] Voir l’exposé des arguments de la défenderesse, Apotex Inc. (concernant la question de la concurrence), paragraphes 242 à 269, les conclusions écrites d’Eli Lilly and Company et d’Eli Lilly Canada Inc. (concernant la question de la concurrence), paragraphes 117 à 126, ainsi que l’exposé des arguments de la défenderesse reconventionnelle, Shionogi & Co. Ltd., paragraphes 25 à 43.

[377] Pièce TX‑244.

[378] Ibid.

[379] Voir par exemple l’interrogatoire de M. Pytynia, 15 septembre 2008, page 17, lignes 14 à 17, ainsi que les pièces TX‑237, TX‑238 et TX‑240.

[380] Ensuite, M. Ross a simplement supposé que Shionogi avait immédiatement tiré parti de la possibilité qui s’offrait de céder ses brevets à Lilly. Si l’on admet l’hypothèse que Shionogi était impatiente de commercialiser ses brevets, il aurait été logique de sa part de commencer à se préparer ou de prendre des mesures avant l’expiration du brevet sur le céfaclor, ou certainement en tout cas dès cette expiration. En fait, c’est seulement quelques mois plus tard que Lilly a fait des ouvertures à Shionogi.

[381] Évidemment, cette observation s’applique aux brevets détenus par des personnes autres que le titulaire d’origine (l’innovateur), qui offrait un produit concurrent sur le marché canadien, étant donné que [traduction] « la politique générale d’Apotex ne favorisait pas l’obtention de licences sur des génériques de marque, [son] succès reposant sur [sa] capacité à développer tous ces produits génériques de manière indépendante » (interrogatoire de Jack Kay, 3 septembre 2008, page 183, lignes 8 à 12).

[382] Voir l’exposé des faits convenus entre les parties, SRTA nos 83a) et b).

[383] Interrogatoire de M. Sherman, 3 septembre 2008, page 30, lignes 6 à 8. Cela malgré la préférence déclarée de M. Sherman pour un procédé appartenant à un breveté qui n’est pas le titulaire d’origine : [traduction] « s’il y avait des brevets détenus par d’autres, tels que Shionogi, ce qui est souvent le cas, et que ces autres ne soient pas le titulaire d’origine au Canada, il semblait aller sans dire que, dans le cas où nous voudrions utiliser le produit fabriqué suivant le procédé en question, soit ils n’auraient pas de motifs de s’y opposer, soit ils seraient heureux de concéder une licence sur ce procédé » (interrogatoire de M. Sherman, 3 septembre 2008, page 32, lignes 7 à 13).

[384] Il est à noter que M. Church, lorsqu’on lui demandé d’expliquer s’il était vraiment important pour son opinion, et en quoi il l’était, qu’il n’y ait que deux procédés commerciaux connus, a bien précisé qu’il était essentiel dans le scénario qu’il posait au fondement de son opinion que tous les acheteurs de céfaclor sachent qu’il n’existait que deux procédés commercialement viables de fabrication du céfaclor en vrac (voir la transcription du 6 octobre 2008, page 183, ligne 18, jusqu’à la ligne 2 de la page 184).

[385] Interrogatoire de M. Sherman, 3 septembre 2008, de la page 29, ligne 5, à la ligne 8 de la page 30.

[386] Interrogatoire préalable de M. Sherman, 11 juillet 2006, de la page 342, ligne 24, à la ligne 1 de la page 343.

[387] Contre-interrogatoire de M. Sherman, 3 septembre 2008, page 67, lignes 18 à 23.

[388] Cela semble réduire la valeur de la théorie de M. Ross concernant les motifs financiers qu’aurait eus Shionogi de licencier des entreprises telles qu’Apotex. Il est certainement évident que M. Ross n’a pas pris cet élément en considération.

[389] Interrogatoire préalable de M. Sherman, 11 juillet 2006, page 343, lignes 7 à 11.

[390] Interrogatoire de M. Sherman, 3 septembre 2008, page 33, lignes 20 et 21.

[391] Tout comme de nombreux autres fournisseurs éventuels qui avaient aussi soumis des échantillons à Apotex (voir l’exposé des faits convenus entre les parties, LRTA no 82).

[392] Avocat d’Apotex, 6 novembre 2008, de la page 114, ligne 15, à la ligne 6 de la page 134.

[393] Voir les tableaux du paragraphe 294 du mémoire d’Apotex.

[394] Contre-interrogatoire de M. Church, 9 septembre 2008, page 149, lignes 17 à 21.

[395] Contre-interrogatoire de M. Ross, 11 septembre 2008, page 160, lignes 6 à 19.

[396] Contre-interrogatoire de M. Cole, 10 septembre 2008, page 111, lignes 15 à 25.

[397] Prix qu’Apotex n’a jamais eu à payer puisqu’elle a acheté du céfaclor en vrac contrefaisant jusqu’en 1998, après quoi elle a obtenu le céfaclor en vrac licite d’un tiers (Lupin).

[398] Interrogatoire de M. Church, 9 septembre 2008, page 31, lignes 4 à 7; et contre-interrogatoire de ce dernier, 9 septembre 2008, page 160, lignes 7 et 8, et page 232, lignes 22 à 24.

[399] Voir l’exposé des arguments de la défenderesse, Apotex Inc. (concernant la question de la concurrence), paragraphe 287.

[400] Il y a d’autres recours en common law où l’argument de l’enrichissement injuste pourrait se révéler plus pertinent.

[401] Exposé des arguments de la défenderesse, Apotex Inc. (concernant la question de la concurrence), paragraphe 282.

[402] Cet argument ne serait évidemment applicable que si Lilly avait choisi de demander une indemnisation fondée sur ses propres profits plutôt que sur une comptabilisation de ceux d’Apotex.

[403] Rapport principal de M. Church, 14 décembre 2007 [pièce JC‑2 de son affidavit en date du 19 avril 2008 (A‑24)], page 31.

[404] Ibid.

[405] Ibid.

[406] Contre-interrogatoire de M. Church, 9 septembre 2008, de la page 215, ligne 18, à la ligne12 de la page 216.

[407] La Cour infère des déclarations nuancées de M. Sherman à ce propos qu’Apotex aurait évalué la situation à cette étape.

[408] Exposé des arguments de la défenderesse, Apotex Inc. (concernant la question de la concurrence), paragraphe 282.

[409] Par exemple les lettres qu’Apotex a essayé de faire admettre en preuve (pièces TX‑252 à TX‑259).

[410] Dans le « monde hypothétique », il n’aurait pas été déposé de demande reconventionnelle sous le régime de la Loi sur la concurrence.

[411] Interrogatoire de M. Wada, 15 septembre 2008, page 165, lignes 17 et 18.

[412] Exposé des arguments de la défenderesse, Apotex Inc. (concernant la question de la concurrence), paragraphe 287.

[413] En fait, bien que les contextes diffèrent, la décision d’Apotex est analogue à ce que le juge Gogg, dans Koch Marine Inc. c. D’Amica Societa di Navigazione A.R.L. ( The “Elena D’Amico”), [1980] 1 Lloyd’s L.R. 75 (Q.B. Comm. Div.) a défini comme une décision entraînant la rupture du lien de causalité entre une contravention et une perte : « une décision indépendante, indépendante de la contravention, prise par l’acheteur sur le fondement de son examen du marché. Il est tout à fait vrai que l’acheteur prend cette décision dans le contexte d’une contravention antérieure du vendeur au contrat, au sens où cette contravention a été l’occasion pour l’acheteur de porter son jugement sur le marché; cependant, même s’il n’y avait pas eu contravention du tout, il aurait néanmoins été possible à l’acheteur de prendre la même décision » (non souligné dans l’original, page 89).

[414] Transcription du 13 novembre 2008, page 201, lignes 19 et 20.

[415] La Cour conservera toutes les pièces et écritures nécessaires pour décider ces questions jusqu’à l’épuisement des droits d’appel, afin d’être prête à les décider s’il devenait nécessaire de le faire.

 Vous allez être redirigé vers la version la plus récente de la loi, qui peut ne pas être la version considérée au moment où le jugement a été rendu.