Date : 20140805
Dossier :
T-889-08
Référence : 2014 CF 773
[TRADUCTION FRANÇAISE CERTIFIÉE, NON RÉVISÉE]
Ottawa (Ontario), le 5 août 2014
En présence de monsieur le juge Barnes
|
ENTRE : |
|
SUCCESSION DE A. GERARD BUOTE ET DAVID WHITE
|
|
demandeurs |
|
Et |
|
SA MAJESTÉ LA REINE |
|
défenderesse |
ORDONNANCE ET MOTIFS
[1] La Cour est saisie d’une requête présentée sur consentement au titre de l’article 334.16 des Règles des Cours fédérales, DORS/98-106 (les Règles), qui vise à autoriser l’action en l’espèce comme recours collectif pour le compte de 1 056 retraités de la GRC atteints d’une invalidité. Les parties ont aussi présenté une requête en vue de faire approuver une proposition de règlement du recours collectif, au titre de l’article 334.29 des Règles.
I. Le contexte
[2] Les questions en litige dans la présente instance sont similaires à celles sur lesquelles la Cour devait statuer dans les décisions Manuge c Canada, 2008 CF 624, [2008] ACF no 787; 2012 CF 499, [2012] ACF no 787; 2013 CF 341, [2013] ACF no 363. Dans cette affaire, une ordonnance d’autorisation de recours collectif a été accordée pour le compte de plusieurs milliers d’anciens membres des Forces canadiennes (FC) qui cherchaient à recouvrer les montants déduits des prestations au titre de la Loi sur les pensions, LRC 1985, c P-6, du revenu qui devait leur être versé au titre de la police d’assurance invalidité longue durée (ILD) des Forces canadiennes. La Cour suprême du Canada a ultimement confirmé l’ordonnance d’autorisation de recours collectif dans l’arrêt Manuge c Canada, 2010 CSC 67, [2010] RCS 672, et l’affaire a été instruite en tant que recours collectif. J’ai tranché, dans le contexte d’une requête interlocutoire présentée par les parties, un élément contesté d’interprétation contractuelle en faveur du groupe. Plus précisément, j’ai conclu que la pratique consistant à déduire les prestations d’invalidité versées sous le régime de la Loi sur les pensions des sommes qui étaient dues aux anciens membres des FC à titre de prestations d’invalidité était illégale. Aucun appel n’a été interjeté à l’encontre de cette décision et, après de longues négociations, les parties sont parvenues à s’entendre au sujet d’un règlement financier.
[3] La présente action concerne elle aussi la légalité de la pratique de la défenderesse de déduire les prestations d’invalidité versées sous le régime de la Loi sur les pensions des prestations de remplacement de revenu versées aux anciens membres de la GRC au titre de la police d’assurance invalidité longue durée de la GRC. Il convient toutefois de souligner que la question d’interprétation contractuelle en cause dans la présente affaire est différente de celle qui fut tranchée dans l’affaire Manuge.
[4] Il est possible de prétendre que la clause de compensation des prestations contenue dans la police d’ILD de la GRC est plus forte que celle prévue dans la police d’ILD des FC. Dans le cas de la police d’ILD des FC, la Cour a conclu que la compensation effectuée au titre de la Loi sur les pensions ne pouvait être faite, parce que la clause du contrat permettait uniquement la déduction des prestations de revenu et non des montants versés à titre de prestations d’invalidité. La police d’ILD de la GRC ne limite pas au remplacement de revenu la compensation des prestations effectuée au titre de la Loi sur les pensions; elle renvoie plutôt aux [traduction] « versements [reçus] sous le régime de la Loi sur les pensions pour une invalidité professionnelle […] ». Il s’ensuit que la question d’interprétation contractuelle diffère de manière importante de celle que j’ai tranchée dans l’affaire Manuge.
[5] La présente affaire a été instruite à Halifax, le 20 juin 2014. Selon l’affidavit de Daniel Wallace, il appert que l’avis préliminaire du règlement proposé a été envoyé par la poste régulière aux 1056 membres du groupe proposé, et que 126 exemplaires de la lettre ont été retournés car ils n’avaient pu être délivrés. Les avocats du groupe proposé ont aussi envoyé l’avis préliminaire à 160 membres faisant partie de leur liste de diffusion. L’avis est aussi publié sur Internet, notamment sur le site Web d’Anciens Combattants Canada. Je suis convaincu qu’un avis valide a été envoyé à la plupart des membres du groupe proposé et que les réponses reçues sont représentatives de l’opinion du groupe. Sur les 50 réponses reçues en date du 5 juin 2014, seulement trois d’entre elles faisaient part de réserves à propos des modalités du règlement et aucune ne faisait état de préoccupations à propos de l’autorisation. Lors de l’audition de l’affaire, plusieurs membres du groupe proposé étaient dans l’assistance, mais seul David White, le demandeur, a choisi de formuler des observations à la Cour. Il a exprimé son appui sans réserve à l’égard des modalités du règlement et du montant demandé en ce qui a trait aux honoraires et aux débours.
A. L’action devrait-elle être autorisée comme recours collectif?
[6] Les parties proposent la définition du groupe suivante :
[traduction]
Les anciens membres de la Gendarmerie royale du Canada dont les prestations d’invalidité de longue durée de la police d’assurance collective no 24892GM (le régime ILD de GWL) ont été réduites du montant des prestations d’invalidité qu’ACC leur a versées au titre de la Loi sur les pensions.
[7] Cette description du groupe semble inclure les personnes qui ont un intérêt financier immédiat dans le recouvrement proposé des prestations.
[8] Compte tenu des motifs mentionnés antérieurement dans la décision Manuge c Canada, 2008 CF 624, [2008] ACF no 787 et, aussi, compte tenu de la vigueur du consentement de la défenderesse, il convient d’autoriser la présente action comme recours collectif, conformément à l’article 334.16 des Règles. Il a été satisfait à toutes les exigences de cette disposition des Règles. De plus, dans le contexte d’une requête en autorisation qui coïncide avec le règlement provisoire de l’affaire, il n’est ni nécessaire ni justifié d’avoir recours à une approche rigoureuse : voir Gariepy c Shell Oil Company, 117 ACWS (3d) 690, [2002] OJ no 4022, au paragraphe 27.
B. Le règlement proposé devrait-il être approuvé?
[9] Dans la décision Manuge c Canada, 2013 CF 341, aux paragraphes 4 à 6, j’ai traité des principes généraux applicables au règlement d’un recours collectif. Les points ci-dessous s’appliquent également en l’espèce :
Les principes généraux applicables aux règlements de recours collectifs
[4] Il y a lieu que la Cour approuve un règlement de recours collectif dans le cas où, au vu des circonstances globales, elle juge que le règlement est juste et raisonnable, et qu’il est dans le meilleur intérêt du groupe dans son ensemble : Bodnar c The Cash Store Inc, 2010 BCSC 145, [2010] BCJ no 192, au paragraphe 17. Dans la décision Chateauneuf c Canada, 2006 CF 286, [2006] ACF no 363, au paragraphe 7, la juge Danièle Tremblay‑Lamer a décrit la démarche générale de la Cour en matière d’approbation d’un recours collectif :
7 La Cour saisie d’un règlement d’un recours collectif n’y cherche pas la perfection, mais plutôt que le règlement soit raisonnable, un bon compromis entre les deux parties. Le but d’un règlement est d’éviter les risques d’un procès. Même imparfait, le règlement peut être dans les meilleurs intérêts de ceux qui sont affectés, particulièrement si on le compare aux risques et au coût d’un procès. Il faut toujours tenir compte qu’un règlement proposé signifie le désir des parties de régler le dossier hors cour sans aucune admission de part et d’autre ni quant aux faits ni quant au droit.
[5] La cour de révision ne peut réécrire les modalités de fond d’un règlement proposé, et les intérêts des membres du recours collectif ne devraient pas être examinés séparément de ceux de l’ensemble du groupe : voir Dabbs c Sun Life Assurance Co of Canada, [1998] OJ no 1598 (disponible sur QL), aux paragraphes 10 et 11.
[6] Il sera toujours d’une grande importance pour la Cour de ne pas rejeter à la légère un règlement négocié d’égal et égal et de bonne foi. Les parties sont, après tout, les mieux placées pour apprécier les risques et les coûts (autant d’un point de vue financier que d’un point de vue humain) liés au fait de mener à terme un recours collectif complexe. Le rejet d’un règlement comportant de multiples aspects, comme celui négocié en l’espèce, entraîne aussi le risque de déraillement du processus de négociation et de la perte de l’esprit de compromis.
[10] En l’espèce, le règlement que les parties demandent à la Cour d’approuver est le fruit de plusieurs mois de négociations. Il prévoit le remboursement aux membres du groupe d’un pourcentage important des prestations versées au titre de la Loi sur les pensions qui ont été déduites de leur revenu d’ILD, et il élimine complètement cette compensation pour l’avenir. Les parties estiment que la valeur du règlement se chiffre à environ 70 millions de dollars, soit 30,6 millions de dollars à titre de créances antérieures, 9,1 millions de dollars à titre d’intérêts calculés jusqu’au 31 octobre 2014, et 30,3 millions de dollars, soit le montant représentant la valeur actualisée des prestations payables à l’avenir aux bénéficiaires d’assurance ILD.
[11] Le montant proposé qui sera versé aux membres du groupe à titre de prestations rétroactives constitue 82 p. 100 du montant qu’ils pourraient recouvrer dans le meilleur des scénarios. Les parties expliquent l’escompte de 18 p. 100 par les risques, et aussi par la concession du défendeur à retirer sa défense fondée sur la prescription.
[12] Les montants payables aux membres du groupe ou aux personnes à leur charge survivantes comprendront des intérêts simples courant à compter du 1er février 1992 et comportant des taux variant entre 3 p. 100 et 6 p. 100 par année. Les versements sont évidemment assujettis à l’impôt sur le revenu.
[13] Une méthode exhaustive et simplifiée pour déterminer l’admissibilité a été proposée; cette méthode prévoit notamment un droit d’interjeter appel auprès d’un arbitre indépendant.
[14] La défenderesse a consenti à payer aux avocats du groupe des droits administratifs de 18 $ par membre pour couvrir les coûts relatifs à la distribution des prestations. La défenderesse assumera aussi les coûts découlant de l’embauche d’un surveillant professionnel qui veillera au respect constant des modalités du règlement.
[15] En contrepartie du versement des prestations auquel il a été fait référence ci-dessus, la défenderesse et la Compagnie d’assurance vie Great West sont libérées et exemptées de toute autre responsabilité relativement à la compensation des prestations au titre de la Loi sur les pensions, comme il a été décrit ci-dessus.
[16] À plusieurs égards, les modalités du règlement sont semblables à celles approuvées par la Cour dans la décision Manuge, précitée. Les détails complets du règlement sont décrits dans l’ordonnance énoncée plus loin.
[17] Il me semble évident que la vaste majorité des membres du groupe approuvent les modalités du règlement. Cela était prévisible, puisque le règlement proposé est juste et raisonnable. Pour quiconque préfère le recouvrement individuel, le droit de se retirer du règlement du recours collectif dans les 60 jours du prononcé de la présente ordonnance est prévu. Évidemment, cette démarche nécessitera l’introduction d’une action en justice personnelle, ce qui comporte des risques et des frais considérables et ce qui, selon moi, ne serait pas prudent. Il s’agit néanmoins d’une réponse complète aux préoccupations exprimées par quelques membres du groupe à propos des modalités du règlement.
[18] Je suis convaincu que les modalités du règlement proposé sont justes et raisonnables, et qu’elles sont dans le meilleur intérêt du groupe dans son ensemble. Plus particulièrement, la réduction de 18 p. 100 qui est proposée sur les arrérages des prestations est facilement justifiable par les risques inhérents au procès et par la valeur des autres avantages obtenus. Il y avait un risque bien réel que la présente action soit entièrement rejetée et, subsidiairement, que la défense de prescription de la défenderesse ait pour effet de restreindre de manière substantielle les montants recouvrables. De plus, l’élimination de la compensation effectuée au titre de la Loi sur les pensions pour l’avenir, une réussite remarquable, constitue elle aussi un avantage important qui justifie la modeste réduction des montants recouvrés.
[19] Pour les motifs qui précèdent, le règlement est approuvé tel que proposé.
[20] Les avocats du groupe proposent de déduire des remboursements rétroactifs payables aux membres du groupe un montant représentant 8 p. 100 de la valeur de ceux-ci, à titre d’honoraires, et un montant représentant 0,064 p. 100 de la valeur de ceux-ci, au titre des menues dépenses. Dans la mesure où il n’existe pas de méthode pratique pour recouvrer les honoraires à partir des remboursements payables dans un futur lointain, cette méthode représente une stratégie acceptable en l’espèce.
[21] La déduction de 8 p. 100 du montant des remboursements rétroactifs au titre des honoraires est compatible avec la stratégie retenue par la Cour dans la décision Manuge, précitée. Effectivement, dans cette affaire, la valeur totale du règlement était substantiellement plus élevée que dans la présente. Règle générale, dans les règlements comportant des montants élevés, voir énormes, plus le montant recouvré est important, plus il sera justifié de retenir un pourcentage moins élevé de ce montant en ce qui a trait aux honoraires. Si l’on ne tient pas compte du fait que le montant recouvré pour le compte du groupe est beaucoup moins important en l’espèce, le montant proposé par les avocats en ce qui a trait au recouvrement des honoraires est semblable à celui approuvé dans la décision Manuge.
[22] Dans la décision Manuge c Canada, 2013 CF 341, j’ai décrit ainsi les facteurs qui devraient être appliqués lors de la détermination des honoraires dans le contexte d’un recours collectif :
[28] L’obligation que les honoraires accordés aux avocats du groupe soient justes et raisonnables est au cœur de l’application de l’article 334.4 des Règles : voir Parsons et al c Canadian Red Cross Society et al, 49 OR (3d) 281, [2000] OJ no 2374 (Parsons et al). Lorsque la Cour est appelée à déterminer ce qui est juste et raisonnable, elle doit examiner un certain nombre de facteurs, y compris les résultats obtenus, l’étendue du risque assumé par les avocats du groupe, la quantité d’heures de travail effectivement consacrées au litige, le lien de causalité entre les efforts déployés par les avocats et le résultat obtenu, la qualité de la représentation, la complexité des questions soulevées par le litige, la nature et l’importance du litige, la probabilité que les réclamations individuelles aient été soumises aux tribunaux de toute façon, les opinions exprimées par le groupe, l’existence d’une convention d’honoraires et les honoraires approuvés dans des affaires comparables. On a aussi reconnu, dans certaines décisions, qu’il existe un intérêt public général à ce qu’un contrôle soit exercé sur les honoraires payables aux avocats : Endean c Canadian Red Cross Society, 2000 BCSC 971, au paragraphe 73, 2000 BCJ no 1254 (Endean).
[23] Aucune opposition sérieuse n’a été soulevée eu égard aux honoraires proposés. Les avocats du groupe ont assumé un risque considérable en acceptant le mandat relativement à la présente affaire et ils ont travaillé de manière ardue et compétente pour obtenir un généreux recouvrement pour le compte du groupe. Ils ont droit à une compensation raisonnable pour leurs efforts, surtout compte tenu du fait que l’incidence des honoraires sur les montants recouvrés par les membres ne sera pas disproportionnée.
[24] Pour les motifs qui précèdent, le recouvrement des honoraires et des débours proposé est approuvé.
ORDONNANCE
LA COUR ORDONNE :
[1] La présente action est autorisée comme recours collectif.
[2] David White est désigné comme représentant demandeur.
[3] Le groupe est ainsi défini :
Les anciens membres de la Gendarmerie royale du Canada dont les prestations d’invalidité de longue durée de la police d’assurance collective no 24892GM de la compagnie d’assurance Great West Life (le régime d’ILD de GWL) ont été réduites du montant des prestations d’invalidité qu’Anciens Combattants Canada leur a versées du 1er octobre jusqu’à la date de la présente ordonnance, en vertu de la Loi sur les pensions.
[4] L’énoncé de la nature des réclamations présentées en nom du groupe est le suivant :
a. Les alinéas A et B de l’article « montants dus » du régime d’ILD de GWL réduit les prestations mensuelles d’invalidité à long terme du bénéficiaire par « la valeur mensuelle de tout versement périodique reçu au titre de la Loi sur les pensions pour une invalidité professionnelle survenu alors qu’il était en service » (la compensation effectuée au titre de la Loi sur les pensions).
b. Le groupe soutient que la compensation effectuée au titre de la Loi sur les pensions :
i. est illégale/illégitime;
ii. outrepasse les pouvoirs conférés à la défenderesse par la loi;
iii. cède, grève, saisit, paie par anticipation, substitue ou donne en garantie, contrairement à l’article 30 de la Loi sur les pensions, LRC 1985, c P-6, les prestations d’invalidité d’ACC payées ou devant être payées au demandeur et au groupe;
iv. porte atteinte, dans son objet et dans ses effets, aux droits à l’égalité du demandeur et du groupe qui sont protégés par le paragraphe 15(1) de la Charte canadienne des droits et libertés (la Charte), notamment le droit d’être à l’abri de toute discrimination, et cette atteinte ne saurait être validée par l’article premier de la Charte;
v. annule l’objet pour lequel la couverture d’assurance invalidité longue durée a été mise en place et est contraire aux attentes raisonnables des parties;
vi. viole les obligations fiduciaires que la défenderesse avait envers les demandeurs et le groupe à titre d’anciens membres de la Gendarmerie royale du Canada, au service desquels il a été mis fin;
vii. a été appliqué et maintenu par la défenderesse de mauvaise foi.
[5] Le redressement sollicité par le groupe est le suivant :
a. Un jugement déclarant que la compensation effectuée au titre de la Loi sur les pensions est illégale;
b. Un jugement déclarant que la compensation effectuée au titre de la Loi sur les pensions outrepasse la compétence conférée à la défenderesse par la loi;
c. Un jugement déclarant que les prestations payées ou devant être payées aux demandeurs et au groupe au titre de la Loi sur les pensions ont été illégalement [traduction] « cédées, grevées, saisies, payées par anticipation, substituées ou données en garantie » par la défenderesse, contrairement à l’article 30 de la Loi sur les pensions, en raison de la compensation effectuée au titre de cette même loi;
d. Un jugement déclarant que la compensation effectuée au titre de la Loi sur les pensions porte atteinte, dans son objet et dans ses effets, aux droits à l’égalité des demandeurs et du groupe protégés par le paragraphe 15(1) de la Charte, notamment le droit d’être à l’abri de toute discrimination, et cette atteinte ne saurait être validée par l’article premier de la Charte;
e. Un jugement déclarant que la défenderesse a violé les obligations fiduciaires qu’elle avait envers les demandeurs et le groupe, en tant qu’anciens fonctionnaires et membres de la Gendarmerie royale du Canada, au service desquels il a été mis fin en raison de blessures qu’ils ont subies dans le cadre de leur service et qui leur ont occasionné des invalidités;
f. Un jugement déclarant que la Couronne a agi de mauvaise foi dans l’application de la compensation effectuée au titre de la Loi sur les pensions, sans tenir compte des répercussions de celle-ci sur les demandeurs et sur le groupe, en tant qu’anciens fonctionnaires et membres de la Gendarmerie royale du Canada au service desquels il a été mis fin en raison de blessures qu’ils ont subies dans le cadre de leur service et qui leur ont occasionné des invalidités;
g. Une ordonnance selon l’article 24 de la Charte, portant que la compensation effectuée au titre de la Loi sur les pensions est invalide;
h. Une ordonnance selon l’article 24 de la Charte, portant que les demandeurs et le groupe soient remboursés d’une somme égale aux prestations d’invalidité de longue durée qui, en application de la compensation effectuée au titre de la Loi sur les pensions, ont été déduites des prestations d’invalidité de longue durée par ailleurs payables aux demandeurs et au groupe;
i. Subsidiairement, des dommages-intérêts spéciaux d’une somme égale aux prestations payables aux demandeurs et au groupe, qui ont été illégalement et à tort déduites en application de la compensation effectuée au titre de la Loi sur les pensions, des prestations d’invalidité de longue durée par ailleurs payables aux demandeurs et au groupe;
j. Un jugement déclarant que la compensation effectuée au titre de la Loi sur les pensions est dissociée du reste du régime d’ILD de GWL et qu’elle est frappée de nullité, parce qu’elle est illégale, qu’elle contrevient à la Charte et/ou qu’elle est contraire à l’ordre public;
k. Un jugement déclarant que l’interprétation donnée par la défenderesse à la compensation effectuée au titre de la Loi sur les pensions et l’application de celle‑ci sont nulles et sans effet, car elles annulent l’objet pour lequel les demandeurs et le groupe ont souscrit à la couverture d’assurance invalidité longue durée et sont contraires aux attentes raisonnables des parties;
l. L’attribution d’une responsabilité et de dommages-intérêts généraux au titre de ce qui suit :
i. discrimination;
ii. violation d’obligations fiduciaires;
iii. mauvaise foi;
iv. souffrance morale.
m. Des dommages-intérêts punitifs, exemplaires et majorés;
n. Les intérêts prévus par la Loi sur les Cours fédérales et la Loi sur la responsabilité civile de l’État et le contentieux administratif;
o. Les dépens avocat-client afférents à la présente action;
p. Les dépens avocat-client afférents à la présente requête;
q. Tout autre redressement que la Cour pourra juger à propos.
[6] Les questions suivantes sont certifiées comme questions communes :
a. La compensation effectuée au titre de la Loi sur les pensions est-elle illégale?
b. La compensation effectuée au titre de la Loi sur les pensions outrepasse-t-elle les pouvoirs conférés à la défenderesse par la loi?
c. Les prestations payées au groupe conformément à la Loi sur les pensions sont‑elles [traduction] « cédées, grevées, saisies, payées par anticipation, substituées ou données en garantie » par la défenderesse, contrairement à l’article 30 de la Loi sur les pensions, en conséquence de l’application de la compensation effectuée au titre de la Loi sur les pensions?
d. La compensation effectuée au titre de la Loi sur les pensions porte-t-elle atteinte aux droits à l’égalité du groupe protégés par le paragraphe 15(1) de la Charte, notamment à leur droit d’être à l’abri de toute discrimination, d’une manière qui ne saurait être validée par l’article premier de la Charte?
e. La défenderesse a-t-elle manqué à ses obligations fiduciaires envers le groupe en mettant en application la compensation effectuée au titre de la Loi sur les pensions ?
f. La défenderesse a-t-elle agi de mauvaise foi dans le cadre de l’application de la compensation effectuée au titre de la Loi sur les pensions?
g. Le groupe a-t-il droit à une réparation en vertu de l’article 24 de la Charte, et quelle réparation devrait être accordée le cas échéant?
h. Devrait-on déclarer que la compensation effectuée au titre de la Loi sur les pensions est nulle et sans effet, qu’elle constitue une violation du contrat, du fait qu’elle est contraire à la Charte, qu’elle est illégale et/ou qu’elle contrevient à l’ordre public?
i. La violation du contrat justifie-t-elle d’accorder des dommages-intérêts aux demandeurs et au groupe, y compris des dommages-intérêts pour souffrances morales?
j. L’interprétation donnée par la défenderesse à la compensation effectuée au titre de la Loi sur les pensions devrait-elle être déclarée nulle et sans effet, car elle annule l’objet de la police d’assurance?
k. La défenderesse doit-elle verser des dommages-intérêts spéciaux?
l. La défenderesse devrait-elle être tenue de verser des dommages-intérêts généraux pour discrimination, violation d’obligations fiduciaires et mauvaise foi?
m. Quelle réparation globale, le cas échéant, est justifiée selon l’article 334 des Règles des Cours fédérales?
n. La conduite de la défenderesse justifie-t-elle l’attribution de dommages-intérêts punitifs, et quel devrait être, le cas échéant, le montant de ces dommages‑intérêts?
o. Des intérêts sont-ils payables au groupe en vertu des dispositions de la Loi sur les Cours fédérales?
p. Les dépens afférents à la présente action devraient-ils être accordés au groupe, et si oui, sous quelle base?
[7] Tous les membres du groupe pourront, dans les 60 jours à compter de la date à laquelle la défenderesse, par l’intermédiaire de Morneau Shepell, distribue les avis pertinents à la dernière adresse connue des membres du groupe (la période de retrait), se retirer du groupe. Une personne peut se désister de son retrait avant la fin de la période de retrait.
[8] La défenderesse consent aux modalités suivantes, à condition que ce consentement ne constitue pas un aveu de responsabilité à l’égard de quelque allégation que ce soit formulée par le groupe demandeur.
[9] La défenderesse cessera, en date de la fin du mois suivant immédiatement le mois au cours duquel la présente ordonnance est rendue, de déduire des prestations courantes d’invalidité de longue durée (ILD) versées au titre du régime d’ILD de GWL le montant des prestations d’invalidités versées aux membres sous le régime de la Loi sur les pensions (la compensation effectuée au titre de la Loi sur les pensions).
[10] La défenderesse, par l’entremise de la Compagnie d’assurance-vie Great West (Great West), déterminera un montant qui sera désigné sous le nom de « remboursement du principal » pour le compte de chacun des membres du groupe, lequel montant sera calculé selon la formule suivante :
82 p. 100 multiplié par z
z = le total de tous les montants déduits des prestations d’ILD du membre du groupe en raison de la compensation effectuée au titre de la Loi sur les pensions.
[11] La défenderesse paiera des intérêts simples sur le remboursement du principal, selon les taux suivants :
a. Aucuns intérêts ne seront payés pour la période antérieure au 1er février 1992;
b. 6 p. 100 par année pour la période allant du 1er février 1992 au 31 décembre 1995;
c. 5 p. 100 par année pour la période allant du 1er janvier 1996 au 31 décembre 2008;
d. 3 p. 100 par année pour la période allant du 1er janvier 2009 à la date à laquelle le montant est versé dans le compte en fiducie du cabinet McInnes Cooper.
(désignés collectivement, le montant à titre d’intérêt).
[12] Le remboursement du principal et le montant à titre d’intérêt seront désignés ci‑après sous le nom de « remboursement ».
[13] Sous réserve des paragraphes 18 et 19, dans les six mois de la présente ordonnance, la défenderesse déposera, par l’entremise de Great West, le remboursement dans le compte en fiducie du cabinet McInnes Cooper, après avoir déduit les montants suivants :
a. Tout montant dû par le membre du groupe à Great West (le recouvrement de trop‑payé);
b. Toute retenue fiscale prescrite par la loi. Les membres du groupe peuvent déclarer cette retenue en tant que crédit pour impôt payé, conformément à la Loi de l’impôt sur le revenu, LRC 1985, c 1 (5e supp).
[14] La défenderesse, par l’entremise de Great West, émettra tous les formulaires fiscaux T4 et T4A et, au besoin, T1198, aux membres de groupe et à l’Agence du Revenu du Canada (l’ARC).
[15] La défenderesse, par l’entremise de Great West, fournira les renseignements suivants aux avocats du groupe, et ce, pour chacun des membres du groupe : le montant du remboursement du principal, le montant à titre d’intérêt, le montant de tout recouvrement de trop‑payé et le montant de toute retenue fiscale.
[16] La défenderesse, par l’entremise de Great West, fournira à l’avocat du groupe les renseignements qu’elle détient en ce qui a trait aux derniers numéros de téléphone et adresses connus des membres du groupe.
[17] La défenderesse, par l’entremise de Great West, afin de déterminer l’admissibilité aux prestations continues d’ILD :
a. considérera que les membres du groupe ont été invalides au sens du régime d’ILD de GWL pendant les 24 premiers mois suivant la fin de leur service;
b. considèrera les personnes dont les prestations d’ILD ont été réduites à néant par la compensation effectuée au titre de la Loi sur les pensions (les membres à prestations nulles) comme ayant été invalides au sens du régime d’ILD de GWL pendant la période où elles :
(i) étaient admissibles à recevoir une allocation d’incapacité exceptionnelle au titre de l’article 72 de la Loi sur les pensions, LRC 1985, c P-6, dans la mesure où l’invalidité en question est apparue alors qu’elles étaient assurées pour les fins des prestations d’invalidité longue durée au titre du régime d’ILD de GWL;
(ii) répondaient aux conditions prévues au paragraphe 42(2) du Régime de pensions du Canada, LRC 1985, c C-8, dans la mesure où l’invalidité en question est apparue alors qu’elles étaient assurées pour les fins des prestations d’invalidité longue durée au titre du régime d’ILD de GWL.
[18] Sous réserve de la reconnaissance de l’invalidité par la défenderesse, par l’entremise de Great West, en raison du paragraphe 17 et à la condition que les membres répondent à l’exigence d’admissibilité financière, la défenderesse évaluera le degré d’invalidité et, le cas échéant, le montant du remboursement quant aux membres du groupe à partir des renseignements dont elle et Great West disposent et qui sont tirés :
a. de leurs propres dossiers;
b. des dossiers des entités mentionnés dans l’ordonnance de contingentement, jointe à la présente ordonnance à l’annexe A;
c. en corrélation avec les alinéas 17a) et b) ci-dessus, des renseignements médicaux supplémentaires pouvant être demandés au médecin traitant, à la clinique de traitement, etc., ainsi que des renseignements financiers supplémentaires, indiqués à l’annexe B – ces renseignements seront demandés dès que Great West établit que des renseignements supplémentaires sont nécessaires;
d. les membres du groupe disposeront de six mois pour répondre à toute demande de renseignements, à moins que la Cour ne leur accorde, sur demande, une prorogation du délai.
[19] La défenderesse, par l’entremise de Great West, déposera dans le compte en fiducie de McInnes Cooper le montant du remboursement pour le compte de chacun des membres du groupe dans les six mois suivant la réception des renseignements médicaux et/ou financiers supplémentaires exigés par l’alinéa 18c) de l’ordonnance.
[20] Great West fournira à l’avocat du groupe des rapports mensuels comportant une liste de personnes pour lesquelles les demandes de renseignements présentées conformément à l’alinéa 18 c) de l’ordonnance sont restées sans réponse pendant plus d’un mois.
[21] Si un différend survient au sujet de la question de savoir si un membre du groupe à prestations nulles, y compris les membres décrits au paragraphe 18, était invalide (le différend quant à l’invalidité), le membre en question disposera de 90 jours pour interjeter appel devant l’arbitre à l’encontre de cette décision (l’appel quant à l’invalidité), conformément aux dispositions du protocole d’appel, joint à la présente ordonnance à l’annexe C. Les membres du groupe à l’égard desquels on a déjà conclu qu’ils n’étaient pas complètement invalides au titre du régime d’ILD de GWL peuvent aussi, s’ils déclarent qu’ils n’ont pas interjeté appel de cette décision relativement à l’application de la compensation, interjeter appel devant l’arbitre. Great West, avant que cet appel soit instruit par l’arbitre, peut réexaminer la question de savoir si le membre du groupe souffre d’une invalidité complète, et si le membre du groupe déclare qu’il n’a pas interjeté appel de cette décision en raison de l’application de la compensation.
[22] Si un différend survient au sujet du calcul du remboursement (le différend quant au calcul), le membre du groupe disposera de 30 jours après la réception du remboursement pour aviser l’arbitre du différend (l’appel relativement au calcul) et pour lui transmettre tout dossier ou rapport à l’appui, selon les modalités prévues au protocole d’appel joint à la présente ordonnance à l’annexe C.
[23] La décision de l’arbitre au sujet d’un différend quant à l’invalidité ou d’un différend quant au calcul est définitive, sans droit d’appel. La décision de l’arbitre devra être conforme aux modalités du régime d’ILD de GWL. L’arbitre aura le droit de recommander des règles et des protocoles aux avocats du groupe et à la défenderesse et, si nécessaire, de demander des directives à la Cour au sujet de l’avis à envoyer à ces derniers.
[24] La défenderesse conserve ses droits habituels prévus au régime d’ILD de GWL relativement à la fourniture ou aux demandes d’éléments de preuve d’ordre médical ou financier visant à justifier les paiements futurs autres que le remboursement.
[25] Les membres du groupe décédés en date de la présente ordonnance auront droit aux paiements dus jusqu’à la date de leur décès; les montants de ces paiements seront versés uniquement et directement aux survivants, selon l’ordre de priorité suivant :
a. Tous les montants des paiements sont versés à « l’époux » ou au « conjoint de fait » survivant du membre décédé.
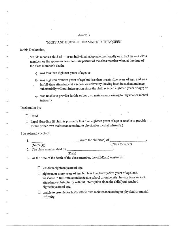
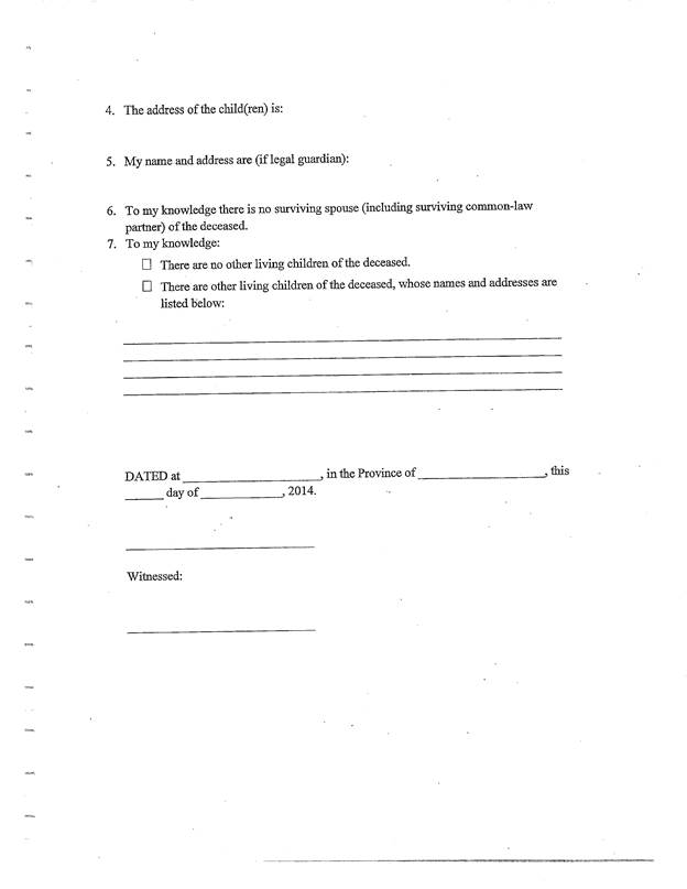
b. Si le membre n’a pas d’époux ou de conjoint de fait survivant, tous les montants des paiements sont répartis également et versés aux « enfants ».
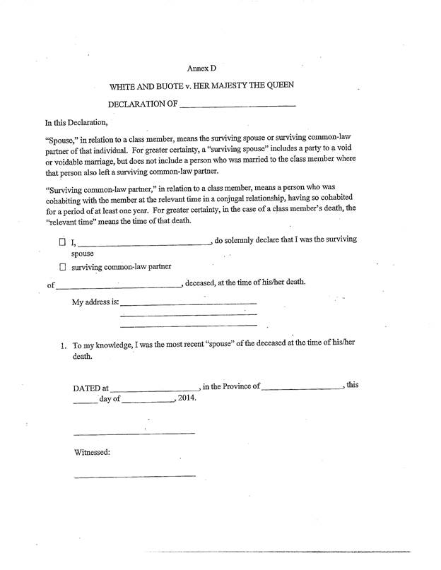
c. S’il n’y a pas « d’époux », de « conjoint de fait » ou « d’enfant » au sens des annexes D et E ci-jointes au moment du décès du membre, la défenderesse n’a aucun paiement à effectuer.
[26] Si un membre du groupe décède après la date de la présente ordonnance, mais avant la réception de son remboursement, le remboursement sera versé à la succession du membre en question.
[27] Les éventuels demandeurs de paiements au titre du paragraphe 25 à l’égard des membres du groupe décédés devront signer la déclaration figurant dans le formulaire joint à l’annexe D de la présente ordonnance (pour époux et conjoints de fait) ou la déclaration figurant à dans le formulaire joint à l’annexe E (pour enfants).
[28] Sa Majesté la Reine du chef du Canada, ses héritiers et successeurs, et ses ayants droit, Great West, le ministre de la Sécurité publique et de la Protection civile, la Gendarmerie royale du Canada, le Conseil du Trésor du Canada et les avocats du groupe, notamment les cabinets McInnes Cooper et Branch MacMaster, seront dégagées de toute responsabilité à l’égard des réclamations, poursuites, actions, causes d’action ou demandes de quelque nature que ce soit qui découlent, directement ou indirectement, d’un paiement effectué au titre de la présente ordonnance à un époux, à un conjoint de fait, à un enfant à charge ou à une succession.
[29] Deloitte sera désignée comme surveillante, et elle aura pour tâche de vérifier et surveiller l’évolution du respect par la défenderesse des paragraphes 8 à 25, et de faire un rapport à ce sujet chaque trimestre, jusqu’à la date précisée par la Cour.
[30] Laura Bruneau sera désignée à titre d’arbitre.
[31] Les comptes de la surveillante et de l’arbitre seront payés par la défenderesse; tout différend à l’égard de ces comptes, ou de la portée du mandat de la surveillante et de l’arbitre, sera réglé par la Cour.
[32] Les membres du groupe sont réputés accorder à la défenderesse et à Great West l’exonération de responsabilité suivante :
[traduction]
EN CONTREPARTIE de l’acceptation par la défenderesse des conditions de la présente ordonnance, chaque membre du groupe LIBÈRE PAR LES PRÉSENTES de façon permanente la Compagnie d’assurance vie Great West, la défenderesse et ses dirigeants, administrateurs, employés, mandataires, sociétés mères, filiales, sociétés affiliées, prédécesseurs, successeurs, ayants droit et héritiers, conjointement et solidairement, de toute responsabilité relativement à l’ensemble des pertes, dommages, dettes, charges, coûts, réclamations, poursuites, actions, causes d’action et demandes de quelque nature que ce soit que le membre du groupe a déjà eu, ou dont ils font l’objet ou que lui-même et ses héritiers, exécuteurs, successeurs ou ayants droit peuvent avoir actuellement ou à l’avenir contre la défenderesse qui résultent, directement ou indirectement, de la compensation, y compris toutes les réclamations présentées ou susceptibles d’être présentées dans le cadre de la présente action.
[33] Les membres du groupe recevront l’avis figurant dans la formule jointe à titre d’annexe F (l’avis), de la manière prescrite ci-dessous :
a. Les avocats du groupe donneront à Morneau Shepell la directive de distribuer l’avis à la dernière adresse connue des membres du groupe qui figure au dossier de Great West dans les 10 jours suivant le prononcé de la présence ordonnance;
b. L’avis sera publié sur le site Web des avocats du groupe, et un lien menant à l’avis sera placé sur la page d’accueil des sites Web d’Anciens combattants Canada, de la GRC et de Great West dans les 10 jours suivant le prononcé de la présente ordonnance;
c. Les avocats du groupe enverront l’avis par courriel aux membres du groupe connus dans les 10 jours du prononcé de la présente ordonnance;
d. Les parties publieront un communiqué de presse conjoint relativement à l’avis dans les 10 jours suivant le prononcé de la présente ordonnance;
e. La défenderesse assumera les coûts liés à la distribution de l’avis, sauf ceux liés à la publication de l’avis sur le site Web des avocats du groupe et à l’envoi des courriels aux membres du groupe connus;
f. La défenderesse avisera les avocats du groupe de tout avis retourné à l’expéditeur, et les avocats du groupe auront alors le droit de prendre des mesures supplémentaires afin de localiser cette personne, à leurs propres frais;
g. La formule de retrait, reproduite à l’annexe G, sera jointe.
[34] Les avocats du groupe ont le droit de déduire du montant payable au titre du paragraphe 13 :
a. pour ses honoraires, un montant équivalant à 8 p. 100 du remboursement et des dettes annulées d’un membre du groupe envers Great West;
b. pour ses débours, un montant équivalent à 0,064 p. 100 du remboursement et des dettes annulées d’un membre du groupe envers Great West;
c. le montant de TPS, TVH et des taxes de vente provinciales applicables du remboursement; ils remettront ce montant à l’Agence du revenu du Canada ou à l’organisme provincial indiqué.
[35] Au moment où le paiement mentionné au paragraphe 13 est effectué, la défenderesse versera à McInnes Cooper 18 $, pour chaque membre du groupe, à titre de compensation relativement aux frais administratifs. La défenderesse remboursera aussi McInnes Cooper dans les 30 jours de la réception d’une facture relativement aux frais rattachés à l’envoi des chèques par courrier recommandé.
[36] Les avocats du groupe n’exigeront pas le paiement d’honoraires ou le versement de débours relativement à l’augmentation des versements mensuels ou à de nouveaux versements mensuels qui seront payables quant à des périodes postérieures à la date de cessation de la compensation.
[37] La Cour prononce le désistement de la demande présentée dans le dossier de la Cour no T‑479‑09, sans frais.
[38] La Cour garde sa compétence générale de contrôle sur la présente action ainsi que sur toute question que l’une ou l’autre partie pourrait soumettre à la Cour par voie de demande.
[39] Aucuns dépens ne sont adjugés.
« R.L. Barnes »
Juge
Traduction certifiée conforme
Maxime Deslippes, LL.B., B.A. Trad.
COUR FÉDÉRALE
AVOCATS INSCRITS AU DOSSIER
|
DOSSIER : |
T-889-08
|
|
INTITULÉ : |
SUCCESSION DE A. GERARD BUOTE ET DAVID WHITE c SA MAJESTÉ LA REINE
|
|
LIEU DE L’AUDIENCE : |
HalifaX (N.-É.)
|
|
DATE DE L’AUDIENCE : |
LE 20 JUIN 2014
|
|
ORDONNANCE ET MOTIFS : |
LE JUGE barnes
|
|
DATE DES MOTIFS ET DE L’ORDONNANCE : |
le 5 août 2014 |
COMPARUTIONS :
|
Ward Branch Peter Driscoll Daniel Wallace
|
POUR LES DEMANDEURS
|
|
Paul Vickery Travis Henderson Lori Rasmussen
|
POUR LA DÉFENDERESSE
|
AVOCATS INSCRITS AU DOSSIER :
|
Branch MacMaster Halifax (N.-É.) et McInnes Cooper Halifax (N.-É.)
|
POUR LES DEMANDEURS
|
For The Applicant
|
|
William F. Pentney Sous-procureur général du Canada Ottawa (ON) et Halifax (N.-É.) |
POUR LA DÉFENDERESSE
|
For The Respondent
|